Патент на изобретение №2179203
|
||||||||||||||||||||||||||
(54) ЭЛЕКТРОЛИТ БЛЕСТЯЩЕГО МЕДНЕНИЯ
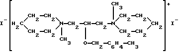
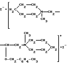
(57) Реферат: Изобретение относится к гальваностегии, в частности к нанесению блестящих медных покрытий на сталь без нанесения промежуточного слоя. Электролит содержит 90-100 г меди сернокислой, 150-250 г аммония сернокислого, 15-25 г полиэтиленполиамина, 10 моль/л дийодметилата 1,3-дипиперидино-2-метилбензил- оксипропана, 10 моль/л N-морфолинбензила и воду до 1 л. Технический результат: получение качественных осадков непосредственно на сталь без подслоя и без наводороживания стальной основы. 3 табл. Изобретение относится к гальваностегии, в частности к нанесению блестящих медных покрытий на сталь без нанесения промежуточного подслоя. Известны электролиты [1-3] на основе полиэтиленполиамина (ПЭПА), позволяющие наносить медные покрытия непосредственно на сталь. Наиболее близким по технической сущности и достигаемому эффекту является электролит [4] , содержащий сернокислую медь, сернокислый аммоний, водный раствор аммиака, полиэтиленполиамин и блескообразователи – конго красный, 2,4 – динитрофенилгидразин и воду. Недостатками указанных электролитов является невозможность получения зеркальных медных покрытий с высокой твердостью без наводороживания стальной основы. Задачей изобретения является получение качественных гальванических осадков с зеркальной поверхностью. Технический результат заключается в получении качественных осадков непосредственно на сталь без применения промежуточного подслоя и практически без наводороживания стальной основы. Сущность изобретения заключается в том, что электролит блестящего меднения, включающий сернокислую медь, сернокислый аммоний, полиэтиленполиамин, блескообразователи и воду, отличается тем, что он в качестве блескообразователей содержит дийодметилат 1, 3 -дипиперидино-2-метилбензил-оксипропан, MM= 559, формулы ![]() и N- морфолинбензил, MM= 167, формулы ![]() при следующем соотношении компонентов: Медь сернокислая г – 90-100 Аммоний сернокислый, г – 150-250 Полиэтиленполиамин, г – 15-25 Дийодметилат 1,3-дипиперидино-2-метилбензил-оксипропан, моль/л – 10-4-10-3 N-морфолинбензил, моль/л – 10-4-10-3 Вода, л – до 1 Условия электроосаждения Дк = 1-4 А/дм2, pH – 8,6 – 9,0. Электролит готовят следующим образом: растворяют отдельно при температуре 60-70oC сернокислую медь и сернокислый аммоний, перемешивая растворы. После охлаждения при перемешивании вводят небольшими порциями ПЭПА, при этом раствор нагревался в результате реакции комплексообразования, прорабатывали в течение 4-6 ч для удаления примесей. Для приготовления электролита использовали реактивы марки ч. д. а. Свойства медных осадков, полученных из заявляемого электролита, представлены в табл. 2 и 3. Для получения электролита были приготовлены три состава компонентов (см. табл. 1). В качестве образцов для исследования наводороживания применяли отрезки стальной пружинной проволоки из углеродистой стали У8-А 0,8 мм, длиной 120 мм и стальные пластинки размером 40х40х2 мм, сталь 10. Образцы полировались микронной шкуркой, обезжиривались венской известью. Пластичность стальных катодов определялась по числу скручивания на машине К-5 до разрушения, при растягивающей нагрузке 1,5 кг и рассчитывали по формуле: N = (а/ао) 100%, где а и ао- число оборотов омедненного образца и без покрытия.
Толщина медного слоя составляла 20 мкм. Потенциал катода измеряли на потенциометре Р-375 относительно хлорсеребряного электрода с пересчетом на стандартную водородную шкалу. Блеск покрытий измеряли на блескомере ФБ – 2 с фотоэлементом по отношению к увиолевому стеклу, блеск которого составляет 65 отн. единиц. Область значений 10-50 соответствует полублестящей, 50-90 блестящей, 90-100 зеркальной поверхности. Внешний вид осадка описывался с помощью микроскопа. Выход по току определяли с помощью медного кулонометра. Пористость покрытий – по ГОСТу 9.302-79, микротвердость измеряли на приборе ПМТ-3 методом статического вдавливания алмазной пирамиды под нагрузкой 20 г. Рассеивающую способность определяли по методу Херинга-Блюма. Сцепление с основой (адгезия) определяли нанесением взаимнопересекающих царапин и методом скручивания проволочных образцов на машине К-5.
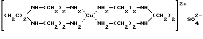
Электроосаждение меди на основе ПЭПА имеет ряд преимуществ по сравнению с сульфатными электролитами. Объясняется это тем, что потенциал катода имеет отрицательное значение [4-11] и ионы металла разряжаются с большими затруднениями. ПЭПА (полиэтиленполиамины) – смесь, соединенная общей формулой H2N(CH2CH2NH)nH, где n= 1-5, представляет из себя темно-окрашенную жидкость. В этой смеси содержится 90% триэтилентетраамина, который образует с медью комплекс:![]() Потенциал катода сильно понижен E = – 0,48 – 0,66 В, т. е. повышается перенапряжение катодных процессов за счет адсорбции триэтилентетрааминовых комплексов на электроде (табл. 2, N 1). Образующиеся осадки мелкокристаллические, гладкие, хорошо сцепленные с основой, без питтинга и нетевидных дендритов с полублестящей и блестящей поверхностью ( = 46-68 отн. ед. ). Твердость медных покрытий составляет 131- 143 кгс/мм2, PC 29-38%. Все приведенные параметры для осадков меди значительно выше, чем полученные из сульфатных электролитов. Однако осадки пористы (25-9 пор на 1 см2), что не препятствует диффузии адмолекул водорода в стальную основу. Пластичность стальных образцов равна 84-75%.
Введение в ПЭПА электролиторганических добавок – дийодметилат 1,3-дипиперидино-2-метилбензилоксипропана и N-морфолинобензила приводит к еще большему торможению катодного процесса (E = -0,58 – 0,85 и – 0,42 – 0,78 В (табл. 2 N 2-5), способствует получению более качественных осадков ( = 54-80 и 58-77 отн. ед. ), менее пористых (2-9 и 5-16 пор на 1 см2), затрудняя диффузию водорода в сталь, N = 92-99 и 85-92% соответственно.
Однако только совместное присутствие этих двух добавок в ПЭПА электролите позволило получить зеркальные медные покрытия ( = 93 – 100, 97 – 100 отн. ед. табл. 2, N 6 и 7), более высокой твердостью 185-200 и 191-208 кгс/мм2 (табл. 3, N 6 – 7), практически беспористы, так при толщине медного покрытия 7 – 10 мкм число пор на 1 см2 составляет 2-1, при этом беспористые покрытия практически не пропускают водород в стальную основу и пластичность равна 94-100 и 95 – 100%. Высокий ингибирующий и блескообразующий эффект добавки – N – морфолинобензила связан с адсорбционными центрами на атомах азота и кислорода, у второй добавки – два атома N и О из трех электронодонорных метальных групп – CH3, которые смещают электронную плотность к атому азота, что и обеспечивает более устойчивую хемосорбционную связь добавок с поверхностью металла катода.
Пример 1.
Для осаждения меди из ПЭПА электролита использовали состав 1 табл. 1 и табл. 2,3 N 6. Потенциал катода при совместном присутствии обеих добавок в данном электролите сильно тормозит катодный процесс E = – 0,58 – 1,09 В, что обеспечивает получение мелкокристаллических, равномерных, гладких осадков, хорошо сцепленных с основой, зеркальной поверхностью ( = 93 – 100). Выход по току составляет 90 – 98%. Электролит обладает высокой PС-40-55%, осадки достаточно твердые: 182-200 кгс/мм2 и малопористы – число пор 1-5 на 1 см2 при толщине покрытия 10 – 3 мкм. Практически отсутствует наводороживание стали, пластичность образцов – 94-100%.
Пример 2.
В более концентрированном растворе состава 2 табл. 1 и табл. 2 и 3, N 7 потенциал катода еще более смещен в отрицательную сторону (E = – 0,65 – 1,12 В), качество осадков улучшается: они более мелкокристаллические, равномерные, гладкие, хорошо сцепленные с основой, зеркальные при всех режимах электролиза ( = 97 – 100), практически беспористы (1 – 2 пора на 1 см2) при толщине 10-5 мкм и пластичность стальных образцов максимальна N = 95-100%.
Электролит обладает высокой PC до 62%, что позволяет равномерно покрывать детали сложной конфигурации. Твердость осадков наибольшая 191-208 кгс/мм2.
Таким образом, приведенные примеры на основе ПЭПА электролита в присутствии блескообразователей – дийодметилат 1,3-дипиперидино-2-метилбензилоксипропана и N- морфолинобензила демонстрируют преимущества заявляемого электролита и обеспечивают получение зеркальных медных покрытий с высокой твердостью непосредственно на сталь без применения промежуточного подслоя и практически без наводороживания стальной основы.
Источники информации1. А. с. 344026, С 23 В 5/18. Электролит меднения. 2. А. с. 396429, С 23 В 5/18. Способ меднения. 3. А. с. 857304, С 25 D 3/38. Электролит меднения. 4. А. с. 2103420, МПК 7 С 25 D 3/38. 5. Патент 3770598 USA МКИ С 25 D 3/38. 6. Патент 0163131 ЕР, МКИ С 25 D 3/38. 7. Healy I. P. , Pletcher D. , Goodenough M. Electroanal, 1992, V. 338, nl-2 P 155. 8. Куприн А. В. Походенко О. В. Лошкарев Ю. M. и др. – Упр. хим. журн. 1989, Т 55, N 8, С. 832. 9. Фоломеев А. И. Капочюс В. А. Исследование в области осаждения металлов. – Вильнюс, 1986. – С. 11. 10. Лошкарев Ю. М. Защита металлов. 1998. Т. 34, N 5. С. 451-468. 11. Химический энциклопедический словарь. -M. : Сов. энциклопедия, 1983. – С. 470. Формула изобретения
![]() и N-морфолинобензил, ММ= 167, формулы ![]() при следующем соотношении компонентов: Медь сернокислая, г – 90-100 Аммоний сернокислый, г – 150-250 Полиэтиленполиамин, г – 15-25 Дийодметилат 1,3-дипиперидино-2-метилбензилоксипропан, моль/л – 10-4-10-3 N-Морфолинобензил, моль/л – 10-4-10-3 Вода, л – До 1 РИСУНКИ
MM4A Досрочное прекращение действия патента Российской Федерации на изобретение из-за неуплаты в установленный срок пошлины за поддержание патента в силе
Дата прекращения действия патента: 17.11.2002
Номер и год публикации бюллетеня: 16-2004
Извещение опубликовано: 10.06.2004
|
||||||||||||||||||||||||||



0,8 мм, длиной 120 мм и стальные пластинки размером 40х40х2 мм, сталь 10. Образцы полировались микронной шкуркой, обезжиривались венской известью. Пластичность стальных катодов определялась по числу скручивания на машине К-5 до разрушения, при растягивающей нагрузке 1,5 кг и рассчитывали по формуле: N = (а/ао)
100%, где а и ао- число оборотов омедненного образца и без покрытия.
Толщина медного слоя составляла 20 мкм. Потенциал катода измеряли на потенциометре Р-375 относительно хлорсеребряного электрода с пересчетом на стандартную водородную шкалу. Блеск покрытий измеряли на блескомере ФБ – 2 с фотоэлементом по отношению к увиолевому стеклу, блеск которого составляет 65 отн. единиц. Область значений 10-50 соответствует полублестящей, 50-90 блестящей, 90-100 зеркальной поверхности. Внешний вид осадка описывался с помощью микроскопа. Выход по току определяли с помощью медного кулонометра. Пористость покрытий – по ГОСТу 9.302-79, микротвердость измеряли на приборе ПМТ-3 методом статического вдавливания алмазной пирамиды под нагрузкой 20 г. Рассеивающую способность определяли по методу Херинга-Блюма. Сцепление с основой (адгезия) определяли нанесением взаимнопересекающих царапин и методом скручивания проволочных образцов на машине К-5.
Электроосаждение меди на основе ПЭПА имеет ряд преимуществ по сравнению с сульфатными электролитами. Объясняется это тем, что потенциал катода имеет отрицательное значение [4-11] и ионы металла разряжаются с большими затруднениями. ПЭПА (полиэтиленполиамины) – смесь, соединенная общей формулой H2N(CH2CH2NH)nH, где n= 1-5, представляет из себя темно-окрашенную жидкость. В этой смеси содержится 90% триэтилентетраамина, который образует с медью комплекс:
= 46-68 отн. ед. ). Твердость медных покрытий составляет 131- 143 кгс/мм2, PC 29-38%. Все приведенные параметры для осадков меди значительно выше, чем полученные из сульфатных электролитов. Однако осадки пористы (25-9 пор на 1 см2), что не препятствует диффузии адмолекул водорода в стальную основу. Пластичность стальных образцов равна 84-75%.
Введение в ПЭПА электролиторганических добавок – дийодметилат 1,3-дипиперидино-2-метилбензилоксипропана и N-морфолинобензила приводит к еще большему торможению катодного процесса (E = -0,58 – 0,85 и – 0,42 – 0,78 В (табл. 2 N 2-5), способствует получению более качественных осадков (
