Патент на изобретение №2179171
|
||||||||||||||||||||||||||
(54) СПОСОБ ПОЛУЧЕНИЯ СОЛИ КЛАВУЛАНОВОЙ КИСЛОТЫ
(57) Реферат: Изобретение относится к способу получения фармацевтически приемлемой соли клавулановой кислоты формулы I путем взаимодействия клавулановой кислоты или ее соли, в частности аминовой соли, с источником катионов, способным к образованию фармацевтически приемлемой соли клавулановой кислоты, в частности калиевой соли, в изобутаноле (2-метил-1-пропаноле) в качестве растворителя в присутствии воды. Фармацевтически приемлемая соль клавулановой кислоты в качестве микропримесей содержит до 5 мас. % или меньше изобутанола и воду. Смесь, обладающая антибиотическим действием, включает амоксициллин и калиевую соль клавулановой кислоты, содержащей изобутанол и воду. Способ получения соли щелочного металла клавулановой кислоты формулы I из аминовой соли клавулановой кислоты путем добавления соли щелочного металла в присутствии изобутанола в качестве растворителя и 2,0 – 5,0% воды. Технический результат: упрощение способа получения фармацевтически приемлемой соли клавулановой кислоты. 5 с. и 14 з. п. ф-лы.
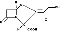
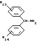
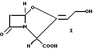
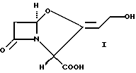
Настоящее изобретение относится к способу получения фармацевтически приемлемых солей клавулановой кислоты формулы ![]() Известны фармацевтически приемлемые соли клавулановой кислоты и описаны различные способы ее получения, например, путем а) ферментации с использованием микроорганизма, который способен продуцировать клавулановую кислоту, б) выделения клавулановой кислоты из ферментационного бульона, в) очистки клавулановой кислоты, в частности с промежуточным получением ее соли, г) превращения очищенной клавулановой кислоты, полученной на стадии в), в частности ее соли, в фармацевтически приемлемую соль клавулановой кислоты. Стадию ферментации а) можно, например, осуществлять так, как это в общем виде описано, в частности, в патенте Великобритании 1508977 и международной заявке WO 93/25557. Конкретный способ ферментации описан, например, в европейской заявке 182522, согласно которой в процессе ферментации предусмотрено непрерывное или периодическое введение источника углерода; поддержание, как указано, в частности, в международной заявке WO 96/18743, низкой концентрации аммония и мочевины; получение, как сказано, в частности, в европейской заявке 349121, в международной заявке WO 95/03416, патенте Канады 2108113, международных заявках WO 94/18326, WO 94/12654 и WO 96/10084, клавулановой кислоты из организма хозяина, трансформированного вектором, включающим ДНК или фрагмент ДНК, который кодирует по меньшей мере один фермент, участвующий в продуцировании клавулановой кислоты. Соответствующим микроорганизмом может служить, например, микроорганизм рода Streptomyces, такой, как S. clavuligerus, т. е. штамм NRRL 3585, Streptomyces sp. P6621 FERM 2804 (патент Японии 55-162993) или другие мутанты. Более подробно способы ферментации в соответствующих условиях описаны во многих публикациях, например, в тех литературных источниках, которые упомянуты в отношении стадии а) и содержание которых, а также перечисленных примеров известных технических решений включено в настоящее описание в качестве ссылок. Стадию выделения б) можно осуществлять, например, экстракцией из подкисленного ферментационного бульона не смешивающимся с водой растворителем, в котором растворима клавулановая кислота, например, прямой экстракцией из такого ферментационного бульона или после удаления по меньшей мере части твердых частиц, суспендированных в ферментационном бульоне. Твердые частицы можно удалять, в частности, посредством флокуляции, фильтрования, например, микрофильтрования, или центрифугирования. Для повышения фильтруемости ферментационного бульона в последний перед удалением твердых частиц можно добавлять не смешивающийся с водой растворитель. С целью достичь конкретные диапазоны концентрации водную жидкость, содержащую клавулановую кислоту, можно предварительно концентрировать, предпочтительно перед подкислением и экстракцией, например, анионообменным или осмотическим методами. Для дальнейшей очистки раствор клавулановой кислоты в органическом растворителе, который, например, может быть получен экстракцией, можно обрабатывать, в частности, обратной экстракцией в воде. Эффективность процесса разделения водной и органической фаз можно повысить, например, методом центрифугирования. Для достижения конкретных количественных значений содержания воды перед дальнейшей обработкой раствор клавулановой кислоты в органическом растворителе можно высушить. Более подробно способы выделения в соответствующих условиях описаны во многих публикациях, например, в европейской заявке 387178, международных заявках WO 93/25557, WO 95/11295, WO 95/34194, WO 96/28452 и WO 96/22296. Содержание публикаций, упомянутых в отношении стадии б), а также перечисленных примеров известных технических решений включено в настоящее описание в качестве ссылок. Стадию очистки в) можно, например, осуществлять хроматографическим методом или посредством солеобразования, в частности путем получения соли клавулановой кислоты, которую можно осаждать, например, кристаллизовать, из используемого растворителя. Эта соль может представлять собой, в частности, литиевую соль клавулановой кислоты, например, такую, как описанная в патенте Великобритании 1543563 или 1508977, или аминовую соль. Приемлемые амины, которые образуют с клавулановой кислотой соль, описаны во многих публикациях, в частности, трет-бутиламин описан в европейской заявке 26044, N, N-(ди)алкилалкилендиамины, такие, как диизопропилэтилендиамин, описаны в европейской заявке 562583, N, N, N’, N’-тетраметилэтилендиамин описан в европейской заявке 719778, трет-октиламин, описан, например, в патенте Великобритании 2264944, а в международной заявке WO 93/25557 описан, например, класс аминов, представленных формулой ,где значения R1, R2 и R3 выбирают в соответствии со следующими возможными вариантами: ва) R1 обозначает необязательно замещенную циклическую группу общей формулы R-(CHR4)m-, где m обозначает ноль или целое число 1-5, R обозначает необязательно замещенную алифатическую углеводородную циклическую систему, содержащую 3-8 кольцевых атомов углерода, R4 обозначает водород или алкил, амино- или гидроксизамещенный алкил, замещенный аминозамещенный алкил или группу той же вышеприведенной общей формулы для R1, R2 и R3 независимо друг от друга выбирают из тех же самых групп, из которых выбирают значения R1, или из водорода, алкила, алкенила, амино- или гидроксизамещенного алкила или алкенила либо замещенного аминозамещенного алкила или алкенила, или вб) значения R1, R2 и R3, которые одинаковы или различны, независимо друг от друга выбирают из водорода, алкила, алкенила, амино-, гидрокси- или алкоксизамещенного алкила или алкенила, или замещенного аминозамещенного алкила или алкенила; или вв) R1 обозначает необязательно замещенную арильную группу общей формулы ![]() где R4 обозначает водород или один или несколько заместителей и m обозначает ноль или целое число 1-5, R2 и R3 независимо друг от друга выбирают из водорода, алкила, амино- или гидроксизамещенного алкила или замещенного аминозамещенного алкила; или из групп той же общей формулы, из которых выбирают значения для R1; или вг) R1, R2 и необязательно R3 совместно с атомом азота, с которым они соединены, представляют собой остаток необязательно замещенной гетероциклической кольцевой системы, включающей кольцевой атом азота и необязательно один или несколько дополнительных кольцевых гетероатомов, а если R3 не является частью циклической системы, то значения R3 независимо от других радикалов выбирают из водорода, алкила, амино- или гидроксизамещенного алкила или замещенного аминозамещенного алкила; или вд) R1 обозначает группу общей формулы ![]() где R4 и R5 каждый независимо друг от друга обозначает водород, алкил, аминозамещенный алкил или замещенный аминозамещенный алкил, R2 и R3 независимо друг от друга выбирают из водорода, алкила, амино- или гидроксизамещенного алкила или замещенного аминозамещенного алкила и m обозначает ноль или целое число 1-5; или ве) один или оба R1 и R2 обозначают водород, а R3 обозначает остаток аминокислоты, в котором карбоксилатная группа аминокислоты может быть этерифицирована или содержится в аминовой форме. Далее, амин может представлять собой соединение, описанное, например, в международной заявке WO 94/22873, такое, как амин формулы ![]() где R6 и R7 каждый обозначает C1-C8алкил, C3-C8циклоалкил или C3-C8циклоалкилC1-C8алкил, необязательно замещенные одним или несколькими инертными заместителями, или они связаны между собой с образованием кольца с 4-7 кольцевыми атомами, R8 и R9 каждый обозначает C1-C8алкил, C3-C8циклоалкил или C3-C8циклоалкилC1-C8алкил, необязательно замещенный одним или несколькими инертными заместителями, или R8 и R9 связаны между собой с образованием кольца с 4-7 кольцевыми атомами, X обозначает водород или водородсодержащую группу, образующую мостик, и m’ и n’ каждый независимо друг от друга обозначает целое число от нуля до 5. Конкретно можно назвать такие амины, как N, N, N’, N’-тетраметил-1,2-диаминоэтан и 1,3-бис(диметиламино)-2-пропанол. Кроме того, амин может, например, представлять собой соединение, описанное в международной заявке WO 96/20199, такое, как амин формулы ![]() где R10 обозначает алкиленовую группу, необязательно замещенную одним или несколькими инертными заместителями, и R11 и R12 каждый независимо друг от друга обозначает водород или алкил, необязательно замещенный одним или несколькими инертными заместителями, или R11 и R12 совместно с атомом азота образуют гетероциклическое кольцо, содержащее 4-7 атомов углерода и необязательно замещенное одним или несколькими инертными заместителями. Далее, в качестве амина можно, в частности, использовать соединение, описанное в европейской заявке 729961, такое, как амин формулы ![]() где R13 и R14 независимо друг от друга обозначают водород или фармацевтически приемлемый заместитель. Кроме того, в качестве амина можно, например, использовать соединение, описанное в международной заявке WO 94/21647, такое, как амин формулы ![]() где R15, R16, R17 и R18 обозначают водород, прямоцепочечную или разветвленную C1-C8алкильную группу, аралкильную группу, в которой алкильным радикалом является метильный или этильный радикал, а арильный радикал представляет собой фенильный радикал, который необязательно замещен N-алкильной или N, N-диалкильной группой, где алкильной группой является C1-C4алкил; или R15, R16, R17 и R18 попарно независимо друг от друга обозначают циклические алкиленовые радикалы, включающие 3-6 метиленовых групп, причем одна из этих групп необязательно замещена атомом кислорода или серы или аминогруппой; R19 обозначает водород или метильную группу и p обозначает целое число 1-3. Более подробно очистка в соответствующих условиях описана во многих публикациях, например, в публикациях, указанных в отношении стадии в), содержание которых, а также перечисленных примеров известных технических решений включено в настоящее описание в качестве ссылок. В способе в соответствии со стадией г) клавулановую кислоту можно подвергать превращению как таковую или в форме ее лабильного производного, например, ее соли, в частности ее литиевой соли или натриевой соли, или в форме ее аминовой соли. Для получения соли можно осуществлять контактирование амина с клавулановой кислотой в растворе в органическом растворителе или системе растворителей. Пригодным для применения является тот же растворитель, который используют для экстракции клавулановой кислоты из водной фазы, например, из необязательно предварительно обработанного ферментационного бульона. Перед контактированием органического раствора, содержащего клавулановую кислоту, с амином этот раствор можно подвергать концентрированию. Контактирование клавулановой кислоты с амином можно осуществлять по любому приемлемому методу. Так, например, амин можно добавлять в раствор клавулановой кислоты в органическом растворителе, например, простым введением в раствор клавулановой кислоты в растворителе или, например, примешиванием амина в поток раствора клавулановой кислоты в растворителе. Необходимую соль клавулановой кислоты и амина можно выделять из органического растворителя, например, фильтрованием или центрифугированием, если соль образуется в виде твердых частиц, в частности, если соль кристаллизуется. В смесь, содержащую клавулановую кислоту, можно добавлять второй растворитель, если этот второй растворитель и амин могут вызвать осаждение аминовой соли клавулановой кислоты. Аминовую соль клавулановой кислоты можно получать в форме сольвата, например, ацетонового сольвата. Можно осуществлять перекристаллизацию аминовой соли клавулановой кислоты. Если растворитель полностью или частично не смешивается с водой, аминовую соль клавулановой кислоты можно также экстрагировать в воде с получением водного раствора такой соли, который может быть высоко концентрированным, как это описано, например, в международной заявке WO 95/21173. Условия проведения такой реакции, конкретные реакционные параметры, реагенты и их количества, диапазоны концентраций, температура и т. д. , соблюдаемые во время очистки и/или выделения соли клавулановой кислоты, например, аминовой соли, известны, например, из публикаций, которые указаны в разделах а), б) и в) и содержание которых, а также перечисленных примеров известных технических решений включено в настоящее описание в качестве ссылок. Стадию конверсии г) можно осуществлять в соответствии с известными методами. Фармацевтически приемлемая соль клавулановой кислоты может представлять собой, например, соль клавулановой кислоты и фармацевтически приемлемого щелочного или щелочноземельного металла, предпочтительно калиевую соль. Обычно осуществляют контактирование клавулановой кислоты или ее соли, например, ее аминовой соли, предпочтительно в растворе, с источником катионов, который способен образовывать фармацевтически приемлемую соль клавулановой кислоты. Приемлемые источники катионов описаны, например, в упомянутых выше публикациях. Предпочтительным источником катионов может служить соль щелочного или щелочноземельного металла и карбоновой кислоты, например, 2-этилгексановой кислоты, в частности ее калиевая соль, или, например, ацетат, необязательно в сочетании с уксусной кислотой. Условия проведения такой реакции, конкретные реакционные параметры, реагенты и их количества, диапазоны концентраций, температура и т. д. , соблюдаемые во время очистки и/или выделения соли клавулановой кислоты, например, аминовой соли, известны, например, из публикаций, которые указаны в разделах а), б) и в) и содержание которых, а также перечисленных примеров известных технических решений включено в настоящее описание в качестве ссылок. Фактически во многих упомянутых выше публикациях описана конверсия аминовой соли клавулановой кислоты в растворителе, которым на практике служит этанол или изопропанол, путем добавления калиевой соли 2-этилгексановой кислоты или ацетата калия с получением калиевой соли клавулановой кислоты, которую можно осаждать, например, кристаллизовать. В ходе проведения такого процесса обычно добавляют воду в количестве нескольких процентов, а во время конверсии образуется дополнительное количество воды. Вода загрязняет используемые растворители и, таким образом, создает проблемы с возвратом растворителей в процесс. Поскольку этанол и изопропанол с водой образуют азеотропы, их возврат сопряжен с технологическими затруднениями, поэтому воду необходимо удалять из растворителя посредством тройных азеотропов, например, добавлением необязательно замещенного бензола, других ароматических углеводородов или циклогексана. Однако такие растворители могут загрязнять возвращаемый в процесс растворитель. Согласно настоящему изобретению неожиданно был найден растворитель, в котором клавулановую кислоту, например, в форме ее соли, в частности в форме ее аминовой соли, можно превращать в присутствии соответствующего источника катионов в фармацевтически приемлемую соль клавулановой кислоты с достижением высоких выхода продукта и степени его чистоты, и который, кроме того, можно легко рекуперировать без применения дополнительных растворителей. Такие растворители можно применять в промышленном масштабе. Согласно настоящему изобретению предлагается способ получения фармацевтически приемлемой соли клавулановой кислоты формулы I путем превращения клавулановой кислоты в ее фармацевтически приемлемую соль, который отличается тем, что это превращение осуществляют в н-бутаноле или изобутаноле (2-метил-1-пропаноле) в качестве растворителя. В качестве растворителей н-бутанол и изобутанол могут быть использованы в виде смеси или предпочтительно можно применять либо н-бутанол, либо изобутанол. Далее согласно изобретению предлагается применение н-бутанола или изобутанола при получении фармацевтически приемлемой соли клавулановой кислоты формулы I путем превращения клавулановой кислоты в ее фармацевтически приемлемую соль. Клавулановую кислоту можно подвергать превращению как таковую или в форме ее соли, например, ее литиевой, натриевой или аминовой соли. В предпочтительном варианте можно использовать аминовую соль клавулановой кислоты, например, так, как это описано в вышеперечисленных публикациях, в частности в форме сольвата, такого, как ацетоновый сольват. Аминовую соль можно использовать так, как это указано в любой из вышеупомянутых публикаций. Предпочтительные аминовые соли включают соли клавулановой кислоты и трет-бутиламина, трет-октиламина (2-амино-2,4,4-триметилпентана), N, N’-диизопропилэтилендиамина, N, N, N’, N’-тетраметилдиаминоэтана и 1,3-бис(диметиламино)-2-пропанола. Более предпочтительны соли трет-октиламина и трет-бутиламина. Согласно настоящему изобретению предлагается также способ получения фармацевтически приемлемой соли клавулановой кислоты формулы I путем превращения соли клавулановой кислоты, например, ее аминовой соли, причем, в частности, эту аминовую соль выбирают из солей клавулановой кислоты и трет-бутиламина, трет-октиламина (2-амино-2,4,4-триметилпентана), N, N’-диизопропилэтилендиамина, N, N, N’, N’-тетраметилдиаминоэтана и 1,3-бис(диметиламино)-2-пропанола, в фармацевтически приемлемую соль клавулановой кислоты, который отличается тем, что это превращение осуществляют в н-бутаноле или изобутаноле в качестве растворителя. Фармацевтически приемлемая соль клавулановой кислоты может представлять собой ее фармацевтически приемлемую соль щелочного или щелочноземельного металла, например, калиевую соль. Далее согласно изобретению предлагается способ получения калиевой соли клавулановой кислоты формулы I путем превращения клавулановой кислоты, например, в форме соли, в частности в форме ее аминовой соли, например, в форме соли клавулановой кислоты и амина, выбираемого из трет-бутиламина, трет-октиламина (2-амино-2,4,4-триметилпентана), N, N’-диизопропилэтилендиамина, N, N, N’, N’-тетраметилдиаминоэтана и 1,3-бис(диметиламино)-2-пропанола, в калиевую соль клавулановой кислоты, который отличается тем, что это превращение осуществляют в н-бутаноле или изобутаноле в качестве растворителя. Превращение в соответствии с настоящим изобретением можно проводить по обычным методам, например, так, как это описано в любой из публикаций, которые указаны выше в разделах а), б) в) и г) и содержание которых, а также перечисленных примеров известных технических решений включено в настоящее описание в качестве ссылок, но с использованием н-бутанола или изобутанола в качестве растворителя, причем в предпочтительном варианте его можно проводить следующим образом. Клавулановую кислоту, например, ее соль, предпочтительно ее аминовую соль, можно растворять в н-бутаноле или изобутаноле. При этом может содержаться вода. Воду можно использовать в небольших концентрациях, таких, как 0,5-10%, например, 1,0-5%, в частности 1,0-4%, например, 1,5-3,0%. Количество н-бутанола или изобутанола относительно количества клавулановой кислоты решающего значения не имеет, но оно должно быть достаточным для того, чтобы обеспечить растворение соли, необязательно в присутствии воды. Так, например, если используют аминовую соль клавулановой кислоты, это количество может зависеть от природы амина, применяемого для получения аминовой соли. На грамм аминовой соли клавулановой кислоты можно использовать 3-15 мл, например, 4-12 мл, н-бутанола или изобутанола. Эффективность процесса растворения можно повысить подогревом системы растворителей до примерно 45oC, например, до 35oC. С целью получить прозрачный раствор необязательно перед последующей обработкой для удаления, например, окрашенных побочных продуктов такой раствор можно обрабатывать активированным углем и фильтровать. Можно осуществлять также контактирование раствора клавулановой кислоты с источником катионов, который способен образовывать фармацевтически приемлемую соль клавулановой кислоты. Источником катионов может служить любой приемлемый источник углерода, например, такой, как описанный в любой из указанных выше публикаций, содержание которых, а также перечисленных примеров известных технических решений включено в настоящее описание в качестве ссылок, например, фармацевтически приемлемая соль щелочного или щелочноземельного металла, а в предпочтительном варианте ею может служить соль C2-C8карбоновой кислоты, более предпочтительно соль 2-этилгексановой кислоты, в частности ее калиевая соль, или фармацевтически приемлемый ацетат, в частности ацетат калия. Ацетат необязательно может быть использован в сочетании с уксусной кислотой. Если в сочетании с ацетатом применяют уксусную кислоту, последнюю можно использовать в количестве от примерно 1 до 5 молей, в частности от примерно 1,5 до примерно 3 молей, прежде всего от 1,5 до примерно 2,5 моля на эквивалент ацетата. Контактирование источника катионов с клавулановой кислотой можно осуществлять по обычной методике, например, так, как это описано в любой из указанных выше публикаций, содержание которых, а также перечисленных примеров известных технических решений включено в настоящее описание в качестве ссылок. Так, например, в раствор клавулановой кислоты можно добавлять раствор источника катионов, предпочтительно в том же самом растворителе, который используют для растворения клавулановой кислоты. Количество растворителя, например, н-бутанола или изобутанола, решающего значения не имеет, но его должно быть достаточно для растворения используемого источника катионов, и оно может зависеть, например, от химической природы источника катионов и количества других добавляемых веществ, таких, как вода, или, если источником катионов служит ацетат, то таких, как уксусная кислота. В случае применения, например, соли карбоновой кислоты, такой, как 2-этилгексаноат калия, в качестве источника катионов на миллимоль соли растворитель можно добавлять в количестве приблизительно 0,2 мл и больше, в частности 0,5 мл и больше. Если применяют ацетат, например, ацетат калия необязательно в присутствии уксусной кислоты, на грамм ацетата калия растворитель можно добавлять, в частности, в количестве 1,5 мл и больше, например, 2,0 мл или больше, в частности от примерно 2,0 мл до примерно 2,5 мл. Если в сочетании с ацетатом используют уксусную кислоту, последняя может содержаться либо в растворе клавулановой кислоты, либо в растворе ацетата. Источник катионов можно вводить сразу целиком или несколькими порциями. Температура при введении решающего значения не имеет и может соответствовать значению, указанному, например, в любой из приведенных выше публикаций, содержание которых, а также перечисленных примеров известных технических решений включено в настоящее описание в качестве ссылок, предпочтительно температура составляет от менее 0oC до примерно комнатной температуры, в частности от примерно 0oC до примерно 25oC, в частности от примерно 10oC до примерно 20oC. Количества используемого источника катионов и количества применяемой клавулановой кислоты могут быть равными, например, соответствовать тем, которые приведены в любой из указанных выше публикаций, содержание которых, а также перечисленных примеров известных технических решений включено в настоящее описание в качестве ссылок, причем, например, один моль клавулановой кислоты (соли) можно вводить в контакт по меньшей мере с одним эквивалентом источника катионов, в частности фармацевтически приемлемой соли щелочного или щелочноземельного металла, такой, как калиевая соль. Источник катионов можно добавлять в избытке относительно количества клавулановой кислоты. В предпочтительном варианте на моль клавулановой кислоты можно вводить от примерно 1,0 до примерно 3,0 экв. , более предпочтительно от примерно 1,1 до 2,0 экв. источника катионов. При контактировании клавулановой кислоты с источником катионов фармацевтически приемлемая соль клавулановой кислоты может осаждаться, например, кристаллизоваться. При необходимости можно добавлять второй растворитель, вызывающий осаждение, как это описано в любой из указанных выше публикаций, содержание которых, а также перечисленных примеров известных технических решений включено в настоящее описание в качестве ссылок. С целью обеспечить полноту конверсии перед выделением фармацевтически приемлемой соли клавулановой кислоты реакционную смесь можно перемешивать в течение некоторого периода времени и охлаждать, например, до температур от менее 0oC до примерно 10oC, в частности от примерно 0oC до примерно 5oC, как это описано в любой из упомянутых публикаций. Фармацевтически приемлемую соль выделяют, например, по обычному методу, в частности так, как это описано в любой из упомянутых выше публикаций, предпочтительно фильтрованием или центрифугированием, более предпочтительно фильтрованием, необязательно с промывкой органическим растворителем, в котором эта соль не растворяется или растворяется незначительно, как это описано, например, в любой из упомянутых выше публикаций, например, ацетоном, и сушат. Кристаллическую калиевую соль клавулановой кислоты можно получать в свободной от розеток форме, например, в соответствии с приведенными ниже примерами, или в форме розеток, как описано, например, в европейской заявке 277008, содержание которой, а также процитированных в ней источников включено в настоящее описание в качестве ссылок. Фармацевтически приемлемая соль клавулановой кислоты, например, калиевая соль клавулановой кислоты, содержащая в качестве микропримесей н-бутанол или изобутанол, например, до 5 мас. % или меньше, 4 мас. % или меньше, 3 мас. % или меньше, 2 мас. % или меньше, 1 мас. % или меньше, в частности 0,6 мас. % или меньше, например, 0,5 мас. % или меньше, например, от 0,1 мас. % или меньше до 0,6 мас. %, в частности 0,1-0,6 мас. %, является новым продуктом и также составляет часть настоящего изобретения. Такие продукты являются фармацевтически приемлемыми и вполне допустимыми. Еще одним объектом настоящего изобретения является фармацевтически приемлемая соль клавулановой кислоты, содержащая в качестве микропримесей н-бутанол или изобутанол, например, до 5 мас. % или меньше, в частности до 0,6 мас. % или меньше. Аминовую соль клавулановой кислоты можно получать контактированием амина с неочищенным раствором клавулановой кислоты в органическом растворителе, например, так, как это описано выше или как описано в любой из указанных выше публикаций, включая процитированные в них источники. Неочищенный раствор клавулановой кислоты в органическом растворителе можно готовить экстракцией неочищенного подкисленного водного раствора клавулановой кислоты органическим растворителем, например, так, как это описано выше или как описано в любой из указанных выше публикаций, включая процитированные в них источники. Неочищенный подкисленный водный раствор клавулановой кислоты можно получить из ферментационного бульона, который после завершения ферментации подкисляют, и/или из ферментационного бульона, который частично собирают во время ферментации и подкисляют, например, так, как это описано выше или как описано в любой из указанных выше публикаций, включая процитированные в них источники. Неочищенный водный раствор клавулановой кислоты перед подкислением можно концентрировать, например, так, как это описано выше или как описано в любой из указанных выше публикаций, включая процитированные в них источники. Ферментационный бульон можно непосредственно экстрагировать органическим растворителем или перед экстракцией органическим растворителем и необязательно перед подкислением из него можно удалить по меньшей мере часть суспендированных в ферментационном бульоне твердых частиц, например, так, как это описано выше или как описано в любой из указанных выше публикаций, включая процитированные в них источники. Ферментационный бульон, содержащий клавулановую кислоту, можно получать ферментацией с использованием микроорганизма, который способен продуцировать клавулановую кислоту, например, так, как описано это выше или как описано в любой из указанных выше публикаций, включая процитированные в них источники. Далее, согласно изобретению предлагается способ получения фармацевтически приемлемой соли клавулановой кислоты формулы I путем превращения клавулановой кислоты, например, в форме аминовой соли, в фармацевтически приемлемую соль клавулановой кислоты, при этом – аминовую соль получают контактированием амина с неочищенным раствором клавулановой кислоты в органическом растворителе и при необходимости выделяют, – неочищенный раствор клавулановой кислоты в органическом растворителе получают экстракцией неочищенного подкисленного водного раствора клавулановой кислоты органическим растворителем, – неочищенный подкисленный водный раствор клавулановой кислоты получают из ферментационного бульона, который по завершении ферментации подкисляют, и/или из ферментационного бульона, который частично собирают во время ферментации и подкисляют, – при необходимости перед подкислением неочищенный водный раствор клавулановой кислоты концентрируют, – ферментационный бульон непосредственно экстрагируют органическим растворителем либо перед экстракцией органическим растворителем из него удаляют по меньшей мере часть твердых частиц, суспендированных в ферментационном бульоне, – ферментационный бульон, содержащий клавулановую кислоту, получают ферментацией с использованием микроорганизма, который способен продуцировать клавулановую кислоту. В другом варианте согласно изобретению предлагается способ получения соли щелочного металла клавулановой кислоты формулы ![]() из аминовой соли клавулановой кислоты добавлением соли щелочного металла, отличающийся тем, что в качестве растворителя используют изобутанол или н-бутанол. Преимущество растворителей в соответствии с настоящим изобретением, т. е. н-бутанола и изобутанола, состоит в том, что – их полярность оказывается неожиданно достаточно высокой для растворения аминовых солей клавулановой кислоты, – их полярность оказывается неожиданно достаточно низкой для того, чтобы соли щелочных металлов оставались практически нерастворимыми, – их можно рекуперировать в сухом виде простой гетероазеотропной ректификацией без добавления дополнительного растворителя для получения гетероазеотропа. Калиевую соль клавулановой кислоты, полученную в соответствии со способом по настоящему изобретению, можно использовать в качестве антибиотика, и она особенно эффективна, например, в смеси с другим антибиотиком, например, таким, как амоксициллин, например, тригидрат амоксициллина. Такая смесь может обладать особыми свойствами, как об этом говорится, например, в патенте Великобритании 2005538 и международной заявке WO 95/28927. Смесь клавуланата калия, содержащего н-бутанол или изобутанол, с амоксициллином, эффективная, например, в препарате для введения в организм, является новым продуктом. Смесь клавуланата калия, содержащего н-бутанол или изобутанол, с амоксициллином, например, с тригидратом амоксициллина, в частности в количественных соотношениях, диапазоны которых указаны в патенте Великобритании 2005538 и международной заявке WO 95/28927, является новым продуктом и также составляет часть настоящего изобретения. Согласно настоящему изобретению предлагается также смесь, включающая калиевую соль клавулановой кислоты, которая содержит н-бутанол или изобутанол, и амоксициллин. Смеси калиевой соли клавулановой кислоты и амоксициллина в особых интервалах количественных соотношений, включающие фармацевтически приемлемый носитель и/или разбавитель, можно готовить, например, так, как это описано в патенте Великобритании 2005538 и международной заявке WO 95/28927, содержание которых, а также перечисленных примеров известных технических решений включено в настоящее описание в качестве ссылок. Растворители, используемые для превращения клавулановой кислоты, например, соли клавулановой кислоты, такой, как аминовая соль клавулановой кислоты, т. е. н-бутанол и изобутанол, можно легко рекуперировать, хотя эти растворители включают воду, необязательно добавляемую на стадии превращения и/или образующуюся во время такого превращения. Это можно осуществлять, например, с применением системы колонн гетероазеотропной ректификации, включающей устройство для отделения азеотропных смесей, такое, как так называемая азеотропная головка. На практике не содержащий воды н-бутанол или изобутанол и воду, которая по существу свободна от н-бутанола или изобутанола, можно получать, в частности, с применением ректификационной системы, описанной в приведенном ниже примере А. Еще одним объектом настоящего изобретения является способ, в котором н-бутанол или изобутанол, используемый для превращения клавулановой кислоты в ее фармацевтически приемлемую соль, рекуперируют азеотропной перегонкой с получением практически не содержащего воды н-бутанола или практически не содержащего воды изобутанола и воды, которая по существу свободна от н-бутанола или изобутанола. Любая публикация, упомянутая в настоящем описании, так и процитированные в них источники включены в настоящее описание в качестве ссылок на любой из объектов настоящего изобретения. В приведенных ниже примерах все температуры указаны в градусах Цельсия. Содержание н-бутанола или изобутанола в клавуланате калия, полученном в соответствии с этими примерами, составляет от примерно 0,2 до примерно 0,6 мас. %. Пример 1 4,5 г 2-амино-2,4,4-триметилпентан(2R, 5R, Z)-3-(2- гидроксиэтилиден)-7-оксо-4-окса-1-азадицикло[3,2,0] гептан-2- карбоксилата (трет-октиламиновой соли клавулановой кислоты) растворяют в 50 мл 2-метил-1-пропанола, содержащего 2,5% воды. При перемешивании в течение приблизительно 30 мин добавляют 0,22 г активированного угля (продукт Norite CG 1) и смесь осветляют фильтрованием. При 10oC в течение примерно 25 мин и интенсивном перемешивании добавляют 10 мл 2-молярного раствора калиевой соли 2-этилгексановой кислоты в 2-метил-1-пропаноле. Смесь охлаждают до +4oC и перемешивают в течение примерно 2 ч. Образуется осадок, который отфильтровывают, промывают 50 мл ацетона и сушат в течение 18 ч при 20oC под остаточным давлением 1 мбар. Таким путем получают клавуланат калия (по данным 1H-ЯМР-спектра). Пример 2 10 г 2-амино-2,4,4-триметилпентан(2R, 5R, Z)-3-(2- гидроксиэтилиден)-7-оксо-4-окса-1- азадицикло[3,2,0] гептан-2- карбоксилата (трет-октиламиновой соли клавулановой кислоты) растворяют в 100 мл 2-метил-1-пропанола, содержащего 2,5% воды, и осветляют фильтрованием. В течение примерно 30 мин при 20oC и интенсивном перемешивании добавляют 20 мл 2-молярного раствора калиевой соли 2-этилгексановой кислоты в 2-метил-1-пропаноле. Смесь охлаждают до +4oС и в течение приблизительно 2 ч дают возможность завершиться кристаллизации. Образуется осадок, который отфильтровывают, промывают 100 мл ацетона и сушат в течение 16 ч при 20oC под остаточным давлением 1 мбар. Таким путем получают клавуланат калия (по данным 1H-ЯМР-спектра). Пример 3 10,0 г трет-бутиламино(2R, 5R, Z)-3-(2-гидроксиэтилиден)-7- оксо-4-окса-1-азадицикло[3,2,0] гептан-2-карбоксилата (третбутиламиновой соли клавулановой кислоты) растворяют в 40 мл 2-метил-1-пропанола, содержащего 2% воды, и осветляют фильтрованием. В течение примерно 15 мин при 20oC и интенсивном перемешивании добавляют 20,2 мл 2-молярного раствора калиевой соли 2-этилгексановой кислоты в 2-метил-1-пропаноле. Смесь охлаждают до +4oC и в течение приблизительно 2 ч перемешивают. Образуется осадок, который отфильтровывают, промывают 50 мл ацетона и сушат в течение около 15 ч при 20oC под остаточным давлением 1 мбар. Таким путем получают клавуланат калия (по данным 1H-ЯМР-спектра). Пример 4 13,6 г трет-октиламиновой соли клавулановой кислоты растворяют в 170 мл н-бутанола, содержащего 5,0% воды. Добавляют 0,4 г активированного угля (продукт Norite CG 1). По истечении приблизительно 30 мин смесь осветляют фильтрованием. В течение примерно 30 мин при 10oC и интенсивном перемешивании добавляют 40 мл 2-молярного раствора калиевой соли 2-этилгексановой кислоты в н-бутаноле. Смесь охлаждают до +4oC и в течение приблизительно 2 ч перемешивают. Образуется осадок, который отфильтровывают, промывают 50 мл ацетона и сушат в течение 18 ч при 22oC под остаточным давлением 1 мбар. Таким путем получают клавуланат калия (по данным 1H-ЯМР-спектра). Пример 5 5,5 г трет-октиламиновой соли клавулановой кислоты при температуре приблизительно 35oC растворяют в 60 мл изобутанола, содержащего 3,0% воды. Добавляют 0,32 г активированного угля (продукт Norite CG 1). Суспензию перемешивают в течение примерно 15 мин, фильтруют и фильтрат промывают 20 мл изобутанола. Раствор охлаждают до приблизительно 15oC и добавляют 0,2 мл уксусной кислоты. В 55 мл изобутанола, содержащего 0,25 мл воды, растворяют 2,1 г ацетата калия и медленно добавляют в реакционную смесь. Смесь охлаждают до примерно 2oС и перемешивают в течение примерно 1 ч. Образуется осадок, который отфильтровывают, промывают 30 мл ацетона и сушат в течение приблизительно 20 ч в вакууме при примерно 45oC. Таким путем получают клавуланат калия. 1H-ЯМР-спектр (300 МГц в D2O в сравнении с d4-Na-3-триметилсилилпропионовой кислотой): 3,14 (1H, d, J = 17,0 Гц, H-6′), 3,57 (1H, dd, J = 17,0 и 2,8 част. /млн, H-6′), 4,19 (2H, d, J = 7,4 Гц, CH2-OH), 4,91-4,96 (2H, m, H-2 и = CH), 5,73 (1H, d, J = 2,8 Гц, H-5). Пример 6 5,5 г трет-октиламиновой соли клавулановой кислоты при температуре приблизительно 35oC растворяют в 55 мл изобутанола, содержащего 3,0% воды. Добавляют 0,32 г активированного угля (продукт Norite CG 1). Суспензию перемешивают в течение примерно 15 мин, фильтруют и фильтрат промывают 20 мл изобутанола. Маточный раствор охлаждают до приблизительно 10oC. В 55 мл изобутанола, содержащего 0,25 мл воды и 0,3 мл уксусной кислоты, растворяют 2,1 г ацетата калия и медленно добавляют в реакционную смесь. Смесь охлаждают до примерно oC и перемешивают в течение около 2 ч. Образуется осадок, который отфильтровывают, промывают 30 мл ацетона и сушат в течение приблизительно 20 ч в вакууме при примерно 45oC. Таким путем получают клавуланат калия (по данным 1H-ЯМР-спектра). Пример 7 5,5 г трет-октиламиновой соли клавулановой кислоты растворяют в 50 мл бутанола, содержащего 3,0% воды. Добавляют 0,32 г активированного угля (продукт Norite CG 1). Суспензию перемешивают в течение примерно 15 мин, фильтруют и фильтрат промывают 20 мл бутанола. Маточный раствор охлаждают до приблизительно 10oC. В 50 мл бутанола растворяют 2,1 г ацетата калия и этот раствор медленно добавляют в реакционную смесь. Смесь охлаждают до примерно 4oC и перемешивают в течение около 2 ч. Образуется осадок, который отфильтровывают, промывают 30 мл ацетона и сушат в течение приблизительно 20 ч в вакууме при примерно 40oC. Таким путем получают клавуланат калия (по данным 1H-ЯМР-спектра). Пример 8 5,5 г трет-октиламиновой соли клавулановой кислоты растворяют в 50 мл бутанола, содержащего 3,0% воды. Добавляют 0,32 г активированного угля (продукт Norite CG 1). Суспензию перемешивают в течение примерно 15 мин, фильтруют и фильтрат промывают 20 мл бутанола. Раствор охлаждают до приблизительно 10oC. Добавляют 0,3 мл уксусной кислоты. В 50 мл бутанола растворяют 2,1 г ацетата калия и этот раствор при интенсивном перемешивании медленно добавляют в реакционную смесь. Смесь охлаждают до примерно 5oC и перемешивают в течение около 2 ч. Образуется осадок, который отфильтровывают, промывают 30 мл ацетона и сушат в течение приблизительно 20 ч в вакууме при примерно 45oC. Таким путем получают клавуланат калия (по данным 1H-ЯМР-спектра). Пример 9 5,5 г трет-октиламиновой соли клавулановой кислоты при температуре приблизительно 35oC растворяют в 55 мл изобутанола, содержащего 3,0% воды. В 55 мл изобутанола, содержащего 0,25 мл воды и 0,2 мл уксусной кислоты, растворяют 2,1 г ацетата калия. В раствор клавулановой кислоты по каплям добавляют 6,0 мл раствора ацетата калия. Добавляют 0,32 г активированного угля (продукт Norite CG 1). Суспензию перемешивают в течение примерно 15 мин, фильтруют и фильтрат промывают 20 мл изобутанола. Раствор охлаждают до приблизительно 10oC и медленно добавляют оставшуюся часть раствора ацетата калия, приготовленного по изложенному выше. Смесь охлаждают до примерно 5oC и перемешивают в течение около 2 ч. Образуется осадок, который отфильтровывают, промывают 30 мл ацетона и сушат в течение приблизительно 20 ч в вакууме при примерно 45oС. Таким путем получают клавуланат калия (по данным 1H-ЯМР-спектра). Аналогично описанному выше в примерах 1-9 в н-бутаноле или изобутаноле калиевую соль клавулановой кислоты можно также получать с использованием вместо трет-октиламина (2-амино-2,4,4-триметилпентана) или трет-бутиламина соли клавулановой кислоты и амина, выбранного из N, N-диизопропилэтилендиамина, N, N, N’, N’-тетраметилдиаминоэтана или 1,3-бис(диметиламино)-2-пропанола. Пример А: Рекуперация растворителя а) 130 мл первичного маточного раствора, полученного в соответствии с примером 9, упаривают в вакууме. Дистиллят, представляющий собой изобутанол, содержащий примерно 1,5-2% воды, при нормальном давлении перегоняют в ректификационной колонне, снабженной азеотропной головкой, в таких условиях, в которых в этой головке отделяется нижняя водная фаза (содержащая приблизительно 91% воды), а верхнюю фазу, содержащую примерно 15% воды, возвращают в ректификационную установку. Когда никакого дополнительного количества нижней фазы в азеотропной головке не образуется, изобутанол в остатке перегонки в ректификационной установке становится свободным от воды. б) Нижнюю водную фазу в азеотропной головке (содержащую приблизительно 9% изобутанола), которую удаляют на стадии а), можно обогащать изобутанолом в азеотропной головке с помощью второй ректификационной колонны путем перегонки до образования гетероазеотропной композиции воды и изобутанола (т. е. композиции, которая образуется на стадии, предшествующей разделению на фазы, а именно, приблизительно 70% изобутанола, 30% воды). Верхнюю фазу в азеотропной головке (содержащую примерно 85% изобутанола и воду) удаляют, а нижнюю фазу возвращают в ректификационную установку. В остатке перегонки в ректификационной установке получают воду, которая практически не содержит изобутанола. Верхнюю фазу, получаемую в азеотропной головке, можно подвергать второй ректификации, как это описано выше. Аналогичный описанному метод может быть также использован для разделения воды и н-бутанола. Таким образом можно получать изобутанол или н-бутанол, практически свободный от воды, и воду, практически не содержащую изобутанола или н-бутанола. В соответствии с обычными методами была приготовлена таблетка, содержащая следующие ингредиенты: Соединение – Количество (мг) Тригидрат амоксициллина – 583 Клавуланат калия (содержащий 0,1% изобутанола и 0,6% воды) – 161 Стеарат магния – 12 Тальк – 33 Поливинил пирролидон – 30 Целлюлоза – 45 Кроскармеллоза – 100 Этилцеллюлоза – 28 Метилцеллюлоза – 8 Триэтилцитрат – 2 Диоксид титана – 16 Формула изобретения
![]() путем превращения клавулановой кислоты или ее соли в фармацевтически приемлемую соль клавулановой кислоты, отличающийся тем, что клавулановую кислоту или ее соль подвергают взаимодействию с источником катионов, способным к образованию фармацевтически приемлемой соли клавулановой кислоты, в изобутаноле (2-метил-1-пропаноле) в качестве растворителя в присутствии воды. 2. Способ по п. 1, отличающийся тем, что превращению подвергают клавулановую кислоту в форме соли. 3. Способ по п. 2, отличающийся тем, что превращению подвергают клавулановую кислоту в форме аминовой соли. 4. Способ по п. 3, отличающийся тем, что аминовую соль выбирают из солей клавулановой кислоты и трет-бутиламина, трет-октиламина (2-амино-2,4,4-триметилпентана), N, N’-диизопропилэтилендиамина, N, N, N’, N’-тeтраметилдиаминоэтана или 1,3-бис(диметиламино)-2-пропанола. 5. Способ по любому из предыдущих пунктов, отличающийся тем, что получают калиевую соль клавулановой кислоты. 6. Способ по любому из пп. 3-5, отличающийся тем, что аминовую соль получают контактированием амина с неочищенным раствором клавулановой кислоты в органическом растворителе и при необходимости выделяют. 7. Способ по п. 6, отличающийся тем, что неочищенный раствор клавулановой кислоты в органическом растворителе получают экстракцией неочищенного подкисленного водного раствора клавулановой кислоты органическим растворителем. 8. Способ по п. 7, отличающийся тем, что неочищенный подкисленный водный раствор клавулановой кислоты получают из ферментационного бульона, который по завершении ферментации подкисляют, и/или из ферментационного бульона, который частично собирают во время ферментации и подкисляют. 9. Способ по п. 8, отличающийся тем, что неочищенный водный раствор клавулановой кислоты перед подкислением концентрируют. 10. Способ по любому из пп. 8 или 9, отличающийся тем, что ферментационный бульон непосредственно экстрагируют органическим растворителем. 11. Способ по любому из пп. 8 или 9, отличающийся тем, что перед экстракцией органическим растворителем из ферментационного бульона удаляют по крайней мере часть суспендированных в нем твердых частиц. 12. Способ по любому из пп. 8-11, отличающийся тем, что ферментационный бульон, содержащий клавулановую кислоту, получают в результате ферментации микроорганизма, способного продуцировать клавулановую кислоту. 13. Способ по любому из предыдущих пунктов, отличающийся тем, что изобутанол, используемый в процессе превращения клавулановой кислоты в ее фармацевтически приемлемую соль, рекуперируют азеотропной перегонкой с получением практически не содержащего воды изобутанола и воды, которая практически свободна от изобутанола. 14. Фармацевтически приемлемая соль клавулановой кислоты, отличающаяся тем, что она содержит в качестве микропримесей изобутанол и воду. 15. Соль клавулановой кислоты по п. 14, отличающаяся тем, что она содержит до 5 мас. % или меньше изобутанола. 16. Соль клавулановой кислоты по любому из пп. 14 или 15, отличающаяся тем, что она содержит до 0,6 мас. % или меньше изобутанола. 17. Применение изобутанола в присутствии воды для получения фармацевтически приемлемой соли клавулановой кислоты формулы I по п. 1. 18. Смесь, обладающая антибиотическим действием, включающая амоксициллин и калиевую соль клавулановой кислоты, содержащую изобутанол и воду. 19. Способ получения соли щелочного металла клавулановой кислоты формулы ![]() из аминовой соли клавулановой кислоты добавлением соли щелочного металла, отличающийся тем, что в качестве растворителя используют изобутанол в присутствии 2,0 – 5,0% воды. PC4A – Регистрация договора об уступке патента Российской Федерации на изобретение
Прежний патентообладатель:
(73) Патентообладатель:
Дата и номер государственной регистрации перехода исключительного права: 28.10.2005 № РД0003571
Извещение опубликовано: 20.12.2005 БИ: 35/2005
MM4A – Досрочное прекращение действия патента СССР или патента Российской Федерации на изобретение из-за неуплаты в установленный срок пошлины за поддержание патента в силе
Дата прекращения действия патента: 15.11.2007
Извещение опубликовано: 20.07.2010 БИ: 20/2010
|
||||||||||||||||||||||||||


,







