Патент на изобретение №2179170
|
||||||||||||||||||||||||||
(54) СРЕДСТВО, ИНГИБИРУЮЩЕЕ ПРОЛИФЕРАЦИЮ ЛИМФОЦИТОВ
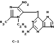
(57) Реферат: Изобретение относится к медицине и органической химии и касается проблемы создания новых лекарственных препаратов, ингибирующих пролиферацию лимфоцитов. Такие препараты могли бы быть использованы в практической медицине для иммунодепрессивной и противолейкозной терапии. Цель изобретения – новое биологически активное соединение 2-амино-6-/1-этил-2-метил-4-нитроимидазолил-5/-тиопурин, ингибирующее пролиферацию лимфоцитов. 2-Амино-6-/1-этил-2-метил-4-нитроимидазолил-5/-тиопурин эффективно ингибирует первичный иммунный ответ животных на тимусзависимый и тимуснезависимый антигены и обладает большой широтой терапевтического действия. 3 ил. Изобретение относится к проблеме создания новых лекарственных препаратов, ингибирующих пролиферацию лимфоцитов, которые могли бы быть использованы в практической медицине для иммунодепрессивной и противолейкозной терапии. Объектом изобретения является новое производное пурина – соединение С-1 (формулы С-1 и его структурных аналогов представлены ниже: ![]() ![]() ![]() Указанное соединение и его свойства в литературе не описаны. Иммунодепрессивное и антипролиферативное действия аналогов пуриновых оснований хорошо известны. В этой группе соединений подробно изучены 6-меркаптопурин, азатиоприн, 8-азагуанин, гуанеран и другие. Одним из эффективных современных иммунодепрессантов является азатиоприн, который широко используется при лечении аутоиммунных и ревматических заболеваний (Е. Berger, L. Rumbach, Rev. Med. Interne, 1999, 20, 346S-350S; Т. Munster, D. Е. Furst, Clin. Exp. Rhewnatol. , 1999, 17 (6), S29- S36), терапии идиопатического легочного фиброза (R. P. Baughman, Е. Е. Lower, Clin. lmmunotherap. , 1996, 6 (6), 431-442), клинической трансплантации (С. G. Groth, L. Backman, Morales J. M. et al. , Transplantation, 1999, 67 (7), 1036-1042; N. Perico, G. Remuzzi, Drugs, 1999, 54 (4), 533-570; Г. Н. Першин, Журнал ВХО им. Д. И. Менделеева, 1970, 15 (2), 216-222; ) и др. Однако этот препарат имеет небольшую терапевтическую широту (Л. Н. Филитис, Ю. А. Соркина, Г. Н. Першин и др. Фармакология и токсикология, 1971, 34 (6), 708-713) и дает серьезные побочные эффекты (J. N. Stolk, А. М. Boerbooms, R. A. de Abreu et al. , Arthritis Rheum. , 1998, 41 (10), 1858-1866; М. F. Neurath, R. Wanitschke, M. Peters et al. , Gut, 1999, 44 (5), 625-628). Поэтому поиск новых иммунодепрессивных соединений остается актуальной задачей теоретической и практической медицины. В справочнике (Р. В. Петров, В. М. Манько, Иммунодепрессоры, М. : Медицина, 1971, с. 31), а также в работе (Л. Н. Филитис, Ю. А. Соркина, Г. Н. Першин и др. , Фармакология и токсикология, 1971, 34 (6), 708-713) описаны иммунодепрессивные свойства тиогуанинового аналога азатиоприна-2-амино-6-(1-метил-4-нитроимидазолил-5)-меркаптопурина(тиамиприна), дана подробная характеристика его действия на гуморальный иммунный ответ, однако это соединение обладало сравнительно высокой токсичностью и поэтому не нашло широкого применения. Целью изобретения является новое соединение 2-амино-6-(1-этил-2-метил-4-иитроимидазолил-5)-тиопурин, обладающее преимуществами перед известным препаратом азатиоприном. Синтез нового соединения осуществляется предложенным нами способом. Предложенный способ иллюстрируется следующим примером. Пример. Смесь 23,8 г (0,143 моль) тиогуанина, 27,0 г (0,143 моль) 1-этил-2-метил-4-нитро-5хлор-имидазола, 1 л воды и 14,5 г (0,145 моль) 40% водного раствора едкого натра перемешивают 3-3,5 ч при 70oC, при этом происходит выделение осадка. К горячей реакционной массе прибавляют 4-5 мл ледяной уксусной кислоты до кислой реакции водного слоя, смесь охлаждают до 15-20oC, осадок отфильтровывают, промывают на фильтре водой до исчезновения хлоридов, сушат при 70oC до постоянного веса. Получают 46,2 г (96% выход) технического вещества с Т. пл. 232-233oC (с разложением). Препарат очищают кристаллизацией из дистиллированной воды 1: 150 с добавлением 2-3 г активированного угля. Выход чистого вещества с Т. пл. 236-237 – 39,6 г (82%), Т. пл. oC (с разложением) составляет 39,6 г (79%). Найдено, %: С 39,17; H 4,47; N 33,10; S 9,30; H2O 5,30; C11H12N8O2 H2О.
Вычислено, %: С 39,04; H 4,17; N 33,12; S 9,47; H2O 5,32.
Rf = 0,45 (система бутанол-вода-уксусная кислота 5: 4: 1).
Исследование токсического и иммунодепрессивного действия нового соединения проводили в сравнении с азатиоприном. Оба препарата использовали в виде суспензии в 1% крахмальном геле, которую вводили животным внутрибрюшинно.
Определение острой токсичности проводили по Литчфильду и Уилкоксону. В течение 14 дней регистрировали внешний вид, поведение и гибель животных. Клиника отравления обоими препаратами была одинаковой: при введении токсичных доз мыши в обоих случаях на 3 день начинали резко терять в весе и погибали на 7-9 день. При вскрытии – селезенка истончена, лимфатические узлы отсутствуют, имеются кровоизлияния во внутренние органы. Были получены следующие значения ЛД50: С-1 – 80 мг/кг (62,2-97,5), для азатиоприна – 350 мг/кг (286 – 428). Кривая токсичности азатиоприна была более пологой, что указывает на разную токсикодинамику исследуемых препаратов.
При исследовании подавления первичного иммунного ответа в качестве антигенов применяли эритроциты барана (ЭБ) в дозе 5х108 клеток и полисахаридный Vi-антиген (Vi-АГ) в дозе 5 мкг, которые вводили мышам внутривенно в стерильном физиологическом растворе. Контрольные мыши получали внутрибрюшинно крахмальный гель в эквивалентном объеме. Иммунный ответ подопытных и контрольных животных оценивали на 4 сутки после иммунизации по числу антителообразующих клеток (АОК) в селезенке методом локального гемолиза в геле. Терапевтический индекс ТИ рассчитывали по формуле ТИ = ЛД50/ЭД50. В предварительных экспериментах мы определили оптимальный срок введения обоих препаратов по отношению к антигенному стимулу: иммунный ответ мышей на ЭБ и Vi-АГ при действии обоих препаратов угнетался в наибольшей степени при их введении через сутки после антигена.
После выяснения оптимального срока введения С-1 мы провели сравнительное исследование подавления иммунного ответа на ЭБ в зависимости от дозы соединений. Результаты экспериментов представлены на фиг. 1, на котором видно, что новый препарат достоверно сильнее угнетал иммунную реакцию животных по сравнению с азатиоприном. Наиболее сильное ингибирование иммуногенеза новым препаратом отмечалось в диапазоне доз 30-50 мг/кг (число АОК в селезенке < 10% от контроля). Следует также отметить, что терапевтический индекс С-1 оказался значительно выше такового для азатиоприна (соответственно 13,3 и 8,0).
На заключительном этапе работы мы провели единовременное сравнение действия азатиоприна и нового препарата в эквитоксичных дозах на тимусзависимый (ЭБ, фиг. 2) и тимуснезависимый (Vi-АГ, фиг. 3) иммунный ответ. Так же, как и в предыдущем разделе работы, новое соединение более эффективно угнетало иммунный ответ мышей на оба антигена, чем азатиоприн. Обнаруженные различия были высоко достоверны.
Подводя итог, следует сказать, что представленный выше препарат С-1 можно использовать в качестве иммунодепрессанта. Во всяком случае, по этому показателю он превосходит азатиоприн несмотря на большую токсичность. Как уже отмечалось, широта терапевтического действия нового препарата выше таковой для азатиоприна, что характеризует его как более безопасное средство и указывает на перспективность его дальнейшего изучения.
Формула изобретения
![]() ингибирующий пролиферацию лимфоцитов. РИСУНКИ
MM4A Досрочное прекращение действия патента Российской Федерации на изобретение из-за неуплаты в установленный срок пошлины за поддержание патента в силе
Дата прекращения действия патента: 06.10.2002
Номер и год публикации бюллетеня: 16-2004
Извещение опубликовано: 10.06.2004
|
||||||||||||||||||||||||||




H2О.
Вычислено, %: С 39,04; H 4,17; N 33,12; S 9,47; H2O 5,32.
Rf = 0,45 (система бутанол-вода-уксусная кислота 5: 4: 1).
Исследование токсического и иммунодепрессивного действия нового соединения проводили в сравнении с азатиоприном. Оба препарата использовали в виде суспензии в 1% крахмальном геле, которую вводили животным внутрибрюшинно.
Определение острой токсичности проводили по Литчфильду и Уилкоксону. В течение 14 дней регистрировали внешний вид, поведение и гибель животных. Клиника отравления обоими препаратами была одинаковой: при введении токсичных доз мыши в обоих случаях на 3 день начинали резко терять в весе и погибали на 7-9 день. При вскрытии – селезенка истончена, лимфатические узлы отсутствуют, имеются кровоизлияния во внутренние органы. Были получены следующие значения ЛД50: С-1 – 80 мг/кг (62,2-97,5), для азатиоприна – 350 мг/кг (286 – 428). Кривая токсичности азатиоприна была более пологой, что указывает на разную токсикодинамику исследуемых препаратов.
При исследовании подавления первичного иммунного ответа в качестве антигенов применяли эритроциты барана (ЭБ) в дозе 5х108 клеток и полисахаридный Vi-антиген (Vi-АГ) в дозе 5 мкг, которые вводили мышам внутривенно в стерильном физиологическом растворе. Контрольные мыши получали внутрибрюшинно крахмальный гель в эквивалентном объеме. Иммунный ответ подопытных и контрольных животных оценивали на 4 сутки после иммунизации по числу антителообразующих клеток (АОК) в селезенке методом локального гемолиза в геле. Терапевтический индекс ТИ рассчитывали по формуле ТИ = ЛД50/ЭД50. В предварительных экспериментах мы определили оптимальный срок введения обоих препаратов по отношению к антигенному стимулу: иммунный ответ мышей на ЭБ и Vi-АГ при действии обоих препаратов угнетался в наибольшей степени при их введении через сутки после антигена.
После выяснения оптимального срока введения С-1 мы провели сравнительное исследование подавления иммунного ответа на ЭБ в зависимости от дозы соединений. Результаты экспериментов представлены на фиг. 1, на котором видно, что новый препарат достоверно сильнее угнетал иммунную реакцию животных по сравнению с азатиоприном. Наиболее сильное ингибирование иммуногенеза новым препаратом отмечалось в диапазоне доз 30-50 мг/кг (число АОК в селезенке < 10% от контроля). Следует также отметить, что терапевтический индекс С-1 оказался значительно выше такового для азатиоприна (соответственно 13,3 и 8,0).
На заключительном этапе работы мы провели единовременное сравнение действия азатиоприна и нового препарата в эквитоксичных дозах на тимусзависимый (ЭБ, фиг. 2) и тимуснезависимый (Vi-АГ, фиг. 3) иммунный ответ. Так же, как и в предыдущем разделе работы, новое соединение более эффективно угнетало иммунный ответ мышей на оба антигена, чем азатиоприн. Обнаруженные различия были высоко достоверны.
Подводя итог, следует сказать, что представленный выше препарат С-1 можно использовать в качестве иммунодепрессанта. Во всяком случае, по этому показателю он превосходит азатиоприн несмотря на большую токсичность. Как уже отмечалось, широта терапевтического действия нового препарата выше таковой для азатиоприна, что характеризует его как более безопасное средство и указывает на перспективность его дальнейшего изучения.
