Патент на изобретение №2177951
|
||||||||||||||||||||||||||
(54) ПРОИЗВОДНЫЕ ПРЕГНАНА, НЕЗАМЕЩЕННЫЕ В 17
(57) Реферат: Описываются соединения формулы I, в которой либо R1 означает галоген, гидроксил, либо R1 и R2 образуют вместе вторую связь и R2 означает галоген или водород, Z выбирается из алкилтиогруппы с 1-8 атомами углерода, при необходимости замещенной, арилтиогруппы, при необходимости замещенной ОН или ОАс, алкилоксигруппы с 1-8 атомами углерода, галогена, циано, причем пунктирная линия означает вторую возможную связь за исключением 9 -фтор-11 -гидрокси-16 -метил-21-хлор-прегна-1,4-диен-3,20-диона и при условии, что если R1 и R2 образуют вместе двойную связь, Z не является атомом галогена, а также их аддитивные соли. Описывается способ их получения, промежуточные продукты этого способа и фармацевтическая композиция на их основе, обладающая противовоспалительной и иммуноподавляющей активностью. 5 с. и 3 з. п. ф-лы, 4 табл.
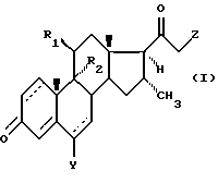
Изобретение касается стероидов, их применения в качестве лекарственного средства, способов их получения, промежуточных продуктов этого способа и фармацевтических композиций с их содержанием. Изобретение касается соединений общей формулы I ![]() где либо R1 означает атом галогена, гидроксильный радикал, алкилоксирадикал с 1-8 атомами углерода, ацилоксирадикал с 1-12 атомами углерода и R2, означает атом галогена или атом водорода, либо R1 и R2 образуют вместе вторую связь, Z выбирают из алкилоксигруппы с 1-8 атомами углерода, алкилтиогруппы с 1-8 атомами углерода, незамещенной или замещенной, арилтиогруппы с 6-12 атомами углерода, незамещенной или замещенной, галогена, циано, меркапто, тиоцианата, СO2А и CH2CO2A, причем А означает атом водорода или алкильную группу с 1-8 атомами углерода, Y означает атом водорода или метил, причем пунктирная линия в положении 1-2 или 5-6 означает возможную вторую связь, а также их аддитивных солей с кислотами или основаниями, за исключением 9 -фтор-11 -гидрокси-16 -метил-21-хлор-прегна-1,4-диен-3,20-диона и при условии, когда R1 и R2 вместе образуют двойную связь, Z не является атомом галогена.
Под атомом галогена понимаются атомы фтора, брома, хлора и йода.
Под алкилоксирадикалом и алкилтиорадикалом, содержащими от 1 до 8 атомов углерода, понимаются предпочтительно метокси, этокси, пропокси и бутилоксирадикалы, а также соответствующие серосодержащие радикалы.
Под ацилоксирадикалом с 1-12 атомами углерода понимаются предпочтительно ацетилокси, пропионилокси, бутирилокси и бензоилоксирадикалы.
Под алкильным радикалом с 1-8 атомами углерода понимаются метил, этил, пропил, изопропил, бутил, изобутил, трет-бутил, н-пентил, н-гексил, 2-метилпентил, 2,3-диметилбутил, н-гептил, 2-метилгексил, 2,2-диметилпентил, 3,3-диметилпентил, 3-этилпентил, н-октил, 2,2-диметилгексил, 3,3-диметилгексил, 3-метил-3-этилпентилрадикалы. В частности, речь идет о метил, этил, пропил, изопропил, бутил, изобутил и трет-бутилрадикалах.
Под арилтиорадикалом понимается преимущественно тиофенил.
Если Z означает замещенный алкилтиорадикал или арилтиорадикал, то имеются в виду следующие заместители: фтор, хлор, бром, йод, алкильный радикал, такой как метил, этил, пропил, изопропил, бутил, изобутил, трет-бутил, алкоксирадикал, такой как метокси, этокси, пропилокси, изопропилокси, бутилоксирадикалы, алкилтиорадикал, такой как метилтио-, этилтио-, пропилтио-, изопропилтиорадикал, бутилтиорадикал, аминорадикал, алкиламинорадикал, такой как метиламино- или этиламинорадикал, диалкиламинорадикал, такой как диметиламино-, диэтиламино-, метилэтиламинорадикал, гидроксильный радикал, при необходимости ацилированный, например ацетокси, или радикал формулы -О-СО-(СН2)nСО2Н, где n = 2-5, ацильный радикал с 2-8 атомами углерода, такой как ацетил, пропионил, бутирил, бензоил, свободный карбоксильный радикал, этерифицированный карбоксильный радикал, такой как алкоксикарбонил, например метоксикарбонил или этоксикарбонил, циано, трифторметил или фенил. Алкильный радикал содержит 1-12 атомов углерода.
Выражение “замещенный при необходимости” означает, что могут присутствовать один или несколько одинаковых или разных заместителей.
Замещение на ариле может происходить в орто-, мета- или параположении.
Если Z означает алкилтиорадикал, который при необходимости замещен, то в этом случае понимают преимущественно группу S-СН2-СН2-А’, в которой А’ означает гидроксил, атом галогена или ацетилоксигруппу.
Если цикл В является насыщенным, то Y находится предпочтительно в альфа-положении.
Изобретение относится к солям соединений формулы (I) в том случае, когда эти соединения содержат аминофункцию, в частности с соляной кислотой, бромисто-водородной кислотой, с азотной, серной, фосфорной, уксусной, муравьиной, пропионовой, бензойной, малеиновой, фумаровой, янтарной, винной, лимонной, щавелевой, глиоксиловой, аспарагиновой кислотами, алкансульфокислотами, такими как метан- и этан-сульфокислоты, арилсульфокислотами, такими как бензол- и паратолуол-сульфокислоты, и арилкарбоновыми кислотами, и, когда соединения формулы (I) содержат кислотную функцию, к солям щелочных, щелочно-земельных металлов и аммония, при необходимости замещенного.
Изобретение касается, в частности, соединений формулы (I), описанных выше, где R1 означает гидроксильный радикал, R2 – атом фтора, а также их аддитивных солей с кислотами или основаниями.
Из соединений согласно изобретению можно указать преимущественно на соединения формулы (I), в которых цикл В насыщен, Y означает атом водорода, а также на их аддитивные соли с кислотами или основаниями.
Изобретение касается, в частности, соединений формулы (I), описанных выше, в которых Z означает цианорадикал или алкилтиогруппу с 1-8 атомами углерода.
Из предпочтительных соединений согласно изобретению можно указать на следующие:– 9 -фтор-11 -гидрокси-16 -метил-прегн-4-ен-3,20-диоксо-21- карбонитрил,– 3,20-диоксо-11 -гидрокси-16 -метил-21-норхолан-1,4-диен-24-метилат,– 21-фтор-11 -гидрокси-16 -метил-прегна-1,4-диен-3,20-дион,– 21-тио-(2-гидроксиэтилен)-9 , 11 -дихлор-16 -метил-прегна-1,4-диен-3,20-дион,– 21-тио-(2-ацетилоксиэтилен)-9 , 11 -дихлор-16 -метил-прегна-1,4-диен-3,20-дион,– 9 , 11 -дихлор-21-фтор-16 -метил-прегна-1,4-диен-3,20-дион и особенно– 9 -фтор-11 -гидрокси-16 -метил-прегна-1,4-диен-3,20-диоксо-21-карбонитрил,– 9 -фтор-11 -гидрокси-16 -метил-21-тиометил-прегна-1,4-диен-3,20-дион.
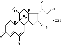
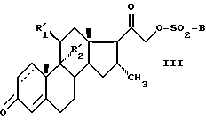
Изобретение касается также способа получения соединений формулы (I), заключающегося в том, что соединение общей формулы (II)![]() где либо R’1 означает гидроксил, R’2 – галоген или водород, либо R’1 означает галоген, R’2 – галоген или водород, либо R’1 и R’2 образуют вместе вторую связь, Y имеет приведенное выше значение, подвергают воздействию реактива активации спирта формулы Ha1-SO2-В, причем Hal означает атом брома или хлора, В означает алкильный радикал с 1-6 атомами углерода, незамещенный или замещенный 1-5 атомами галогена, или фенильную или нафтильную группу, незамещенную или замещенную 1-5 алкильными группами с 1-6 атомами углерода, с целью получения соединения общей формулы (III) ![]() и полученное соединение формулы (III) при необходимости подвергают одной или нескольким из следующих реакций, осуществляемых в произвольной очередности с целью получения соединения общей формулы (I): – воздействию реактива хлорирования, йодирования, бромирования или фторирования, – воздействию алкилтиола или арилтиола, которые при необходимости замещены, – воздействию тиоамида или тиомочевины с последующим гидролизом, – воздействию KCN, – гидролизу цианогруппы в кислой среде, затем при необходимости этерификации или солеобразованию, – последовательно воздействию CH2(COOEt)2, реакции омыления, затем реакции декарбоксилирования, при необходимости с последующей реакцией этерификации, – воздействию KSCN или NaSCN, – воздействию спирта или алкоголята, – реакции ацилирования в положении 11, – реакций алкилирования в положении 11, – восстановлению двойной связи в положении 1-2, – образованию двойной связи в положении 1-2, – реакции дегидратации с целью образования двойной связи в положении 9-11, – солеобразованию. Предпочтительно, чтобы В означал радикалы -СН3, -СF3, -Ph-Me. Мезилат, тозилат и трифлат формулы (III) образуются в результате взаимодействия при низкой температуре метансульфонилхлорида, тозилхлорида или ангидрида трифлата с соответствующим спиртом формулы (II) в присутствии основания, такого как пиридин. Получение 21-хлорпроизводного на основе соответствующего мезилата формулы (III) проводится известными среднему специалисту методами, в частности воздействием хлорида лития или калия. Получение 21-бромпроизводного из соответствующего мезилата формулы (III) проводится известными среднему специалисту методами, в частности воздействием бромида лития или калия. Можно также непосредственно получать 21-бромпроизводные из соответствующих спиртов путем воздействия бромводородной кислоты или трибромида фосфора. Получение 21-йодпроизводного из соответствующего мезилата формулы (III) проводится известными среднему специалисту методами, в частности воздействием йодида натрия или калия. Получение 21-фторпроизводного из соответствующих 21-хлор-, 21-бром- или йодпроизводных проводится, в частности, обработкой фторидом калия в среде гликоля с обратным холодильником или использованием краун-эфира, фазовым переносом или посредством ионообменной смолы. Получение 21-фторпроизводного из соответсвующего мезилата формулы (III) проводится с помощью известных среднему специалисту методов, в частности обработкой фторидом калия. Получение 21-алкилтио- или арилтиопроизводных из соответствующего 21-хлорпроизводного проводится преимущественно воздействием алкилтиола или аритиола в присутствии основания, такого как триэтиламин в тетрагидрофуране. Получение соответствующего тиола проводится преимущественно косвенным методом, т. е. воздействием тиоамида или тиомочевины с последующим гидролизом. Получение 21-цианопроизводных проводится действием цианида калия в этанольной среде на соответствующее 21-хлор-, бром- или йодпроизводное. Реакция гидролиза 21-цианогрупп проводится предпочтительно в присутствии соляной или серной кислоты. Получение 21-тиоцианатпроизводных проводится воздействием тиоцианата калия или натрия в этанольной среде на соответствующее 21-хлорпроизводное. Воздействие этилмалоната на 21-хлорпроизводное с целью получения соответствующего соединения 21-СН(COOEt)2 осуществляют предпочтительно в присутствии сильного основания, такого как гидрид натрия, в среде диполярного апротонного растворителя, такого как триамид гексаметилфосфорной кислоты (НМРТ). Реакция омыления проводится известными методами, например в присутствии гидроксида натрия в этанольной среде. Реакция декарбоксилирования проводится также известными среднему специалисту методами, в частности термическим способом. Реакция этерификации проводится известными среднему специалисту методами, в частности воздействием диазометана. Можно также предварительно приготовить хлорангидрид кислоты и затем воздействовать на него алифатическим спиртом. Образование 21-алкилоксильных производных происходит преимущественно при воздействии алифатического спирта, такого как СН3ОН или нВuОН, на 21-хлорпроизводное в диполярном апротонном растворителе, таком как диметилсульфоксид, в присутствии основания, такого как гидроксид натрия. Реакции солеобразования могут проводиться в обычных условиях, например в присутствии этанольного раствора гидроксида натрия. Можно также использовать натриевую соль, такую как карбонат или бикарбонат натрия или калия. Реакция дегидратации соединений общих формул (I), (II) или (III), где R1 означает гидроксил, R2 – атом водорода, проводимая с целью получения соединений формулы (I) с двойной связью в положении 9-11, проводится обычными методами, из которых можно указать, например, обработку мезилатхлоридом или ангидридом трифлата с последующей термореакцией. Соединения формулы (I), имеющие вторую связь в положении 1-2, могут быть восстановлены до соединений формулы (I) с насыщенной связью в положении 1-2 путем реакции гидрогенизации, проводимой обычными, известными среднему специалисту методами. Образование двойной связи в положении 1-2 может происходить при использовании обычных методов, ферментативных или химических, в частности под действием 2,3-дихлор-5,6-дицианбензохинона (DDQ) в диоксане. Реакция ацилирования гидроксила в положении 11 протекает под действием карбоновой кислоты или ее ангидрида. Реакция алкилирования гидроксила в положении 11 протекает, например, под действием алкилйодида в присутствии основания, такого как трет-бутилат калия в растворе, таком как тетрагидрофуран. Изобретение касается, кроме того, соединений общей формулы (III) в качестве новых промышленных продуктов, за исключением следущих соединений: – 21-(метансульфонилокси)-16 -метилпрегна-1,4,9(11)-триен-3,20-дион,– 21-(метансульфонилокси)-11 -гидрокси-16 -метил-прегна-1,4-диен-3,20-дион,– 21 -(4-метилфенилсульфонилокси)-16 -метил-прегна-1,4,9(11)-триен-3,20-дион.
Продукты формулы (II), используемые в качестве исходных в способе получения, являются в общем общеизвестными. В частности, имеются в виду дезоксиметазон (США 3232839), 9 -, 11 -дихлор-16 -метил-21-гидроксипрегна-1,4-диен-3,20-дион (заявка 2381065 на выдачу дополнительного патента), 16 -метил-1,4-прегнадиен-11 , 21-диол-3,20-дион (США 3354186), 6 , 16 -диметил-1,4-прегнадиен-11 , 21-диол-3,20-дион (США 3232839) или 6 -фтор, 16 -метил-1,4-прегнадиен-11 , 21-диол-3,20-дион (США 3232839).
Из противовоспалительных и иммуноподавляющих молекул, известных в настоящее время, одним из наиболее терапевтически сильных классов являются глюкокорткоиды.
Однако их применение ограничивается в связи с их многочисленными побочными явлениями, среди которых можно указать на следующие:– воздействие в направлении: гипоталамус-гипофиз-надпочечник; – непереносимость глюкозы, способной спровоцировать диабет; – атрофия мышц; – задержка рубцевания; – атрофия кожи; – остеопороз; – повышенная восприимчивость к инфекциям; – неврологические нарушения; – гиперхолестеринемия. Эффекты, вызываемые глюкокортикоидами, обусловлены ядерными рецепторами из семейства стероидных рецепторов. Такие рецепторы являются фактором транскрипции “лиганд-индукция”, способным модулировать положительную или отрицательную транскрипцию генов-мишеней (Evans, R. M. , 1988 Science, 240, стр. 889-895), (Green, S. , Kumar, V. , Theulaz, I. , Wahli, W. , Chambon, P. , 1988, ж. ЕМВО, 7, стр. 3037-3044), (Beato, M. , 1989, Cell, 56, стр. 335-344), (Jonat, С. , Rahmansdorf, H. J. , Park, K. K. , Cato, A. C, Gebel, S. , Ponta, H. , Herrlich, P. , 1990, Cell, 62, стр. 1189-1204), (Pfahl, M. , 1993, Endocrine Reviews, 14, стр. 651-658). Применение мутантов рецепторов глюкокортикоидов позволило сделать вывод относительно того, что разные участки указанных рецепторов участвуют в функциях трансактивации или трансрепрессии и что, следовательно, обе эти функции теоретически нераздельны между собой (Heck, S. , Kullmann, M. , Gast, A. , Ponta, H. , Rahmansdorf, H. J. , Herrlich, P. , Cato, А. С. В. , 1994, ж. ЕМВО, 13, стр. 4087-4095). Получение лигандов глюкокортикоидного рецептора, обладающих in vivo противовоспалительными свойствами и лишенных функции трансактивации, позволило бы создать более толерантные молекулы. Соединения общей формулы (I) обладают следующими интересными фармакологическим свойствами: 1) Глюкокортикоидная активность Заявитель выявил в действительности новый класс глюкокортикоидов. Различные типы животных (крысы, мыши) позволили обнаружить очень эффективные противовоспалительные свойства продуктов согласно изобретению. В частности, им присуща превосходная, локально проявляющаяся глюкокортикоидная активность (см. тестирование на ушной отек, вызываемый маслом кротона у мыши, активность in vivo аналогична или превосходит активность преднизолона или дексаметазона). 2) Разъединяющая активность Продукты согласно изобретению воздействуют посредством следующего механизма: указанные молекулы позволяют в действительности разъединить функции трансактивации и трансрепрессии рецептора. Они обладают так называемой “разъединяющей” активностью в отношении транскрипции генов-мишеней. Молекулы согласно изобретению тестировали на моделях клеток HELA, претерпевших трансфекцию под действием плазмида GRE-tk-CAT (трансактивация) или плазмида pColl-CAT (трансрепрессия) (см. ТЕСТ 1). Эти молекулы, как и дексаметазон, способны замедлять транскрипцию промотора коллагеназы, напротив, они не активируют или активируют очень незначительно транскрипцию промотора GRE-tk. Поскольку описанные продукты обладают противовоспалительными и иммуноподавляющими свойствами в одинаковой мере, что и преднизолон, то типы применения в терапевтических целях являются классическими, описанными для медикаментов, приготовленных на основе преднизолона. Эти продукты могут применяться, например, при лечении аллергических, дерматологических, пищеварительных, эндокринных, инфекционных, неопластических, почечных, неврологических, офтальмологических, респираторных и ревматологических нарушений или заболеваний, а также нарушений и болезней крови и новообразований. Они представляют особый интерес при трансплантации органов с целью предупреждения отторжения пересаженных органов, а также при лечении местных воспалительных реакций, как например отеки, дерматозы, зуд, различные формы экземы, солнечные эритемы, тендиниты и дистории. Они представляют также особый интерес при лечении воспалительных офтальмических нарушений. Их разъединяющая активность придает соединениям согласно изобретению особый интерес при лечении указанных выше заболеваний, при котором снижаются некоторые побочные эффекты. Изобретение касается, следовательно, продуктов формулы (I), a также их аддитивных солей с фармацевтически совместимыми кислотами или основаниями, применяемых в качестве медикаментов. Изобретение касается, в частности, продуктов формулы (I), а также их аддитивных солей с фармацевтически совместимыми кислотами или основаниями, применяемыми в качестве лекарственных средств с глюкокортикоидной активностью. Изобретение касается, в частности, продуктов формулы (I), a также их аддитивных солей с фармацевтически совместимыми кислотами или основаниями, применяемыми в качестве лекарственных средств с разъединяющей глюкокортикоидной активностью, причем такое разъединение позволяет уменьшить или исключить побочные эффекты. Из лекарственных средств согласно изобретению можно в частности назвать следующие: – 9 -фтор-11 -гидрокси-16 -метил-прегна-1,4-диен-3,20-диоксо-21-карбонитрил,– 9 -фтор-11 -гидрокси-16 -метил-3,20-диоксо-прегн-4-ен-21-карбонитрил,– 9 -фтор-11 -гидрокси-16 -метил-21-тиометил-прегна-1,4-диен-3,20-дион,– 3,20-диоксо-11 -гидрокси-16 -метил-21-нор-холан-1,4-диен-24-метилат,– 21-фтор-11 -гидрокси-16 -метил-прегна-1,4-диен-3,20-дион.
Из медикаментов согласно изобретению можно в частности указать на следующие:– 9 -фтор-11 -гидрокси-16 -метил-прегна-1,4-диен-3,20-дион-21-карбонитрил,– 9 -фтор-11 -гидрокси-16 -метил-21-тиометил-прегна-1,4-диен-3,20-дион.
Полезная дозировка меняется в зависимости от подлежащего лечению заболевания и от способа приема лекарства. Дозировка может составлять, например, от 1 до 1000 мг в сутки для взрослого при оральном приеме.
Изобретение относится к фармацевтическим композициям, содержащим в качестве активного начала по меньшей мере один из медикаментов, таких как указаны выше.
Соединения формулы (I) применяются через пищеварительный канал, парентерально и локально, например чрескожно. Они могут предписываться в виде таблеток, драже, капсул, гранул, свечей, шариков, впрыскиваемого препарата, мази, кремов, гелей, микрошариков, имплантантов, пластырей, приготавляемых традиционными способами.
Активное или активные начала могут быть введены в них вместе с экципиентами, обычно используемыми в фармацевтических композициях, такими как тальк, аравийская камедь, лактоза, крахмал, стеарат магния, масло какао, водные или неводные носители, жировые вещества животного или растительного происхождения, парафиновые производные, гликоли, различные смачивающие, диспергирующие или эмульгирующие агенты, консерванты.
Полезная дозировка меняется, в частности, в зависимости от больного и вида заболевания. Она может состоять, например, из 1-4-разового суточного нанесения мази с содержанием 0,1-5% продукта из примера 1.
Изобретение касается, в частности, фармацевтических композиций, предназначенных для локального нанесения и содержащих в качестве лекарственного средства (активного начала) соединения, такие как перечислены выше.
ПримерыСоединения формулы (I) Приготовление 1: 9 -фтор-11 -гидрокси-16 -метил-21-хлор-прегна-1,4-диен-3,20-дион (см. Mol. and Cell. Endocrinal, 1981 г. , N 22, стр. 153-168).
После растворения 6 г дезоксиметазона в 24 мл пиридина добавляли 6 г хлорида лития и 6 мл хлорангидрида метансульфокислоты, поддерживая температуру ниже 50oС, затем перемешивали в течение 2 часов при комнатной температуре. Выливали в воду, центрифугировали, промывали и сушили сырой продукт, затем очищали хроматографией на двуокиси кремния, элюируя смесью хлороформ : этилацетат в пропорции 2: 8 и получали 1,86 г чистого целевого продукта.
Т. пл. = 185oС.
Инфракрасный спектрC= О 1726 и 1707 см-1. Пример 1: 9 -фтор-11 -гидрокси-16 -метил-21-тиометил-прегна-1,4-диен-3,20-дион.
После растворения 1,86 г продукта, полученного в Приготовлении 1, в 20 мл тетрагидрофурана (THF) и 2 мл триэтиламина (TEA) барботировали в течение 1 часа при 0oС метилтиол и встряхивали в течение 48 часов при комнатной температуре. Выливали в воду, центрифугировали, промывали и сушили сырой продукт, очищали перекристаллизацией в смеси метиленхлорид (CH2Cl2) : изопропиловый эфир и получали 1,477 г чистого целевого продукта.
Т. пл. = 166oС.
Инфракрасный спектр (CHCl3)ОН 3620 см-1 + ассоциированный; С= O 1715 (выступающая часть), 1694, 1666 см-1; С= С 1627, 1611 см-1. Пример 2: 9 -фтор-11 -гидрокси-16 -метил-прегна-1,4-диен-3,20-дион-21-карбонитрил.
В атмосфере инертного газа и при кипячении с обратным холодильником смешивали в течение 1,5 ч 3,9 г соединения, полученного в Приготовлении 1, 39 мл этанола, 1,080 г цианида калия (90%) и 1,6 мл воды. После охлаждения на ледяной бане и доведения до показателя рН 4 добавлением уксусной кислоты получали после центрифугирования минеральные соли, выпаривали при пониженном давлении до получения 4,7 г сырого продукта, который затем очищали хроматографией на двуокиси кремния, элюируя смесью этилацетат : бензол в пропорции 4: 6. Получили 2,7 г чистого целевого продукта.
Т. пл. = 250oС.
Инфракрасный спектр (СНС1з)ОН 3615 см-1 + ассоциированный; С= O 1723, 1664 см-1; 1-4 1627, 1608 см-1;C N 2260 см-1.
Пример 3: 21-хлор-9 -фтор-11 -гидрокси-16 -метил-прегн-4-ен-3,20-дион.
Действовали способом, аналогичным описанному при Приготовлении 1, но использовали 8 г 16 -метил-9 ‘-фтор-прегн-4-ен-11 , 21-диол-3,20-диона (заявка Франции 1315629). После перекристаллизации в 2,2-диметокси-пропане получили 4,95 г чистого целевого продукта.
Т. пл. = 196oС.
Инфракрасный спектр (CHCl3).
ОН 3616 см-1 + ассоциированный;С= O 1725, 1706 см-1; 4 1663, 1624 cм-1.
Пример 4: 9 -фтор-11 -гидрокси-16 -метил-3,20-диоксо-прегн-4-ен-21-карбонитрил.
Действовали, как описано в примере 2, но использовали 3,450 г продукта, полученного в примере 3. Получили 2,36 г чистого целевого продукта.
Т. пл. = 224oС.
Инфракрасный спектр (CHCl3)ОН 3610 см-1 + ассоциированный; С= O 1722 см-1; 4 1667, 1625 см-1;C N 2260 см-1.
Пример 5: 3,20-диоксо-11 -гидрокси-16 -метил-21-норхолан-1,4-диен-24-метилат.
Стадия А: 21-хлор-16 -метил-прегна-1,4,9 (11)-триен-3,20-дион.
В атмосфере инертного газа в смесь из 15 г 16 -метил-21-гидрокси-прегна-1,4,9(11)-триен-3,20-диона и 40 мл метилу-этилового пиридина вводили при 10 oС 8,8 мл хлорангидрида метансульфонда кислоты и перемешивали при комнатной температуре в течение 5 часов. Выливали в смесь воды со льдом, подкисляли добавкой соляной кислоты, фильтровали, промывали и сушили. Получили 16,2 г сырого целевого продукта, который очищали хроматографией, элюируя смесью бензол: этилацетат в пропорции 8: 2. Получили 13,4 г чистого целевого продукта.
Т. пл. = 154oС.
Стадия В: 3,20-диоксо-23-этоксикарбонил-16 -метил-21-норхола -1,4,9(11)-триен-24-этилат.
В атмосфере инертного газа в смесь из 1,860 г 50% гидрида натрия в 50 мл триамида гексаметилфосфорной кислоты и 6 мл этилмалоната добавляли 13,9 г хлорсодержащего продукта, полученного на предыдущей стадии, в 80 мл триамида гексаметилфосфорной кислоты и перемешивали при комнатной температуре в течение 4 часов. Выливали в воду, экстрагировали этилацетатом, сушили и выпаривали при пониженном давлении. Получили 21,5 г сырого продукта, который очищали хроматографией, элюируя смесью бензол: этилацетат в пропорции 9: 1. Получили 16,4 г чистого целевого продукта.
Стадия С: 23-карбокси-3,20-диоксо-16 ‘-метил-21-норхола-1,4,9(11)-триен-24-овая кислота.
Смешивали 16,4 г сложного диэфира, полученного на предыдущей стадии, 200 мл этанола и 100 мл 2N гидроксида натрия и встряхивали при комнатной температуре в течение 3 часов. После выпаривания этанола при пониженном давлении разбавляли смесью воды со льдом (1 л) и подкисляли соляной кислотой. После фильтрации, промывки и сушки получили 14,6 г целевого продукта.
Т. пл. = 170oС.
Стадия D: 3,20-диоксо-16 -метил-21-норхола-1,4,9(11)-триен-24-вая кислота.
Нагревали в течение 4 мин на металлической бане, предварительно нагретой до 180oС, смесь, состоящую из 14,6 г дикислоты, полученной на предыдущей стадии, и 250 мл триамида гексаметилфосфорной кислоты, выливали в 1500 мл смеси воды со льдом. Выпавшую в осадок одноосновную кислоту фильтровали, промывали и сушили. Получили 11,9 г целевого продукта.
Т. пл. = 208oС.
Стадия Е: 3,20-диоксо-16 -метил-21-норхола-1,4,9(11)-триен-24-метилат.
В растворе 11,9 г одноосновной кислоты, полученной на предыдущей стадии, в 250 мл дихлорметана, добавляли раствор диазометана в концентрации 13 г/л в дихлорметане, выпаривали при пониженном давлении. Получили 12,3 г целевого продукта.
Т. пл. = 98oС.
Стадия F: 9 -бром-3,20-диоксо-11 -гидрокси-16 -метил-21-норхола-1,4-диен-24-метилат.
В инертной атмосфере в смесь из 10,8 г сложного метилового эфира и 150 мл ацетона добавляли 7,3 г N-бром-сукцинимида, затем при температуре от 0 до 10oС 7,3 мл хлорной кислоты и 35 мл воды. Перемешивали в течение 2 часов при 0-5oС, затем выливали в 500 мл воды, фильтровали и осадок сушили. Получили 12,8 г целевого продукта.
Т. пл. = 230oС.
Стадия G: 3,20-диоксо-11 -гидрокси-16 -метил-21-норхола-1,4-диен-24-метилат.
18 г ацетата хрома в инертной атмосфере добавляли в смесь из 12,8 г бромгидрина, приготовленного на предыдущей стадии, в 50 мл диметилсульфоксида и 6 мл тиофенола, смешивали в течение 1 часа при комнатной температуре. Затем реакционную смесь выливали в 1 л воды, экстрагировали этилацетатом, промывали и сушили органическую фазу, после этого выпаривали при пониженном давлении и получили 16 г сырого целевого продукта, который очищали хроматографией, элюируя смесью бензол: этилацетат в пропорции 7: 3, и перекристаллизацией в горячем этаноле. Получили 3,4 г целевого продукта.
Т. пл. = 166oС.
Инфракрасный спектр (CHCl3)С= О 1735 см-1 (сложный эфир), 1709 см-1 (20-кето); С= С 1609 см-1, 1626 см-1, 1664 cм-1; ОН 3615 см-1. Пример 6: Пример на фармацевтическую композицию, содержащую соединение формулы (I). Были изготовлены таблетки, содержащие 50 мг продукта в качестве активного вещества, полученного в примере 1. Продукт примера 1 – 50 мг Экципиент (тальк, крахмал, стеарат магния). Фармакологическое исследование продуктов согласно изобретению 1) Исследование регуляции транскрипции в клетках Hela, претерпевших трансфекцию Клетки Hela (АТСС: CCL-2) распределяли в 6-луночном планшете в питательной среде при плотности 4 105 клеток/мл за 24 часа до начала трансфекции и инкубировали при 37oС. Транзиторные трансфекции вызывали методом осаждения фосфата кальция. При исследовании трансактивации трансфекции клетки были трансфицированы 1 мкг плазмиды GRE-tk-CAT, 1 мкг плазмиды polyII -CAL и плазмидой KS (Стратажен) в количестве, достаточном для 5 мкг. При исследовании трансрепрессии трансфекцию в клетках вызывали 3 мкг плазмиды Coll (-517/+63) CAT, 250 нг плазмиды pSV-cjun, 1 мкг плазмиды polyII -GAL и плазмидой КS (Стратажен) в количестве, достаточном для 5 мкг. Осадок выдерживали в контакте с клетками в течение 16 часов. После этого их промывали и наносили на них питательную среду, содержавшую в разных концентрациях дексаметазон или исследуемые продукты (10-9 М, 10-8 М, 10-7 М, 10-6 М). Через 24 часа после добавки продуктов клетки лизировали в 250 мкл буфера MOPS-NaCl-Triton Х-100. Дозирование CAT (хлорамфеникол-ацетилтрансфераза) в клеточных экстрактах производили с помощью комплекта ELISA (ф. Boehringer, г. Маннгейм). Классические глюкокортикоиды, такие как дексаметазон, активируют транскрипцию промотора GRE-tk и подавляют транскрипцию промотора коллагеназы (см. табл. 1).
Вывод: Продукты, полученные в примерах 1 и 2, являются хорошими ингибиторами коллагеназы, но слабыми активаторами транскрипции.
2) Противовоспалительная активностьТест на гранулему. Тимолитическая активность Противовоспалительную активность исследовали классическим тестом на гранулему. Использованная методика представляет собой модификацию метода Майера и Колла (Meier, Coll). (Experentia, 1950 г. , N 6, стр. 469). Крысам-самкам Wistar весом от 90 до 100 г подкожно в грудной части имплантировали два хлопковых тампона весом по 10 мг. Сразу же орально вводились продукты из расчета: один раз в день в течение четырех дней. После этого животных умерщвляли. Тампоны, окруженные тканью образовавшейся гранулемы, взвешивали в свежем виде, затем – после выдержки в течение восемнадцати часов при 60oС. Вес гранулемы получили вычетом первоначального веса хлопка. Извлекали также вилочковые железы и взвешивали их с целью определения тимолитической активности продуктов (см. табл. 2). Вывод: Продукты, полученные в примерах 1 и 2, обладают противовоспалительной активностью, близкой к активности преднизолона. Проба опухоли уха, вызванная кротоновым маслом. Продукты тестировали также на модели опухоли уха мыши, вызванной кротоновым маслом, по методу, описанному Tonelli и сотр. (Endocrinology, 1965 г. , 77, стр. 625-634). Опухоль уха провоцировали у мышей-самцов весом от 18 до 22 г кротоновым маслом (2 объм. %) в растворе “пиридин-вода-эфир” в пропорции 4: 1: 14,6 (по объему). Через 6 часов животных умерщвляли, удаляли уши и взвешивали их. Разница между весом уха, обработанного кротоновым маслом, и весом другого уха (не обработанного) позволила определить 100% опухоли. Тестируемые продукты были растворены в кротоновом масле и нанесены на ухо (см. табл. 3). Вывод: Продукт, полученный в примере 2, в этом тесте показал противоспалительную активность, среднюю между активностью преднизолона и дексаметазона. 3) Иммуноподавляющая активность Иммуноподавляющую активность исследовали в тесте на гиперчувствительность замедленного типа, который описан в статье Hambleton и сотр. (Agents et Actions (Агенты и их воздействие, 990, 29, стр. 328). Крыс-самцов Wistar весом от 150 до 160 г сенсибилизировали в день 0 суспензией Mycobacterium Tuberculosis в количестве 4 мг/мл в парафиновом масле, введенной подкожно у основания хвоста (0,1 мл/животное). Продукты вводились перорально с 4-го по 7-й день. На седьмой день, через час после последнего введения, животным делали инъекцию фракции антигена, вызывающего реакцию гиперчувствительности замедленного типа: 0,4 мг/крыса в 0,2 мл подподошвенно в заднюю лапу, во вторую ввели такое же количество растворителя. Замер опухоли производили через 24 часа с помощью плетизмометра UGO BASTIL ф. APELEX. Активность продуктов определяли в процентах, на которые уменьшился отек инъекцированной лапы по сравнению с лапами контрольных животных (см. табл. 4). Вывод: Преднизолон сохраняет высокой эффективную дозу ED 50 в диапазоне 5-20 мг/кг при максимальном угнетении 50%, продукты, полученные в примерах 1 и 2, имеют эффективную дозу ED 50, равную соответственно 2,3 и 1,5 мг/кг. Их активность зависит от дозы, при этом максимальное угнетение составляет 82% (пример 1) и 90% (пример 2) при 10 мг/кг. Формула изобретения
-положении общей формулы I![]() в которой либо R1 означает гидроксильный радикал, атом галогена и R2 означает атом галогена или атом водорода, либо R1 и R2 образуют вместе вторую связь; Z выбрано из алкоксигруппы с 1-8 атомами углерода, галогена, циано, алкилтиогруппы с 1-8 атомами углерода, при необходимости замещенной ОН или ОАс, причем пунктирная линия означает вторую возможную связь за исключением 9 -фтор-11 -гидрокси-16 -метил-21-хлор-прегна-1,4-диен-3,20-диона и при условии, что если R1 и R2 образуют вместе двойную связь, Z не является атомом галогена.
2. Соединения формулы I по п. 1, в которой R1 означает гидроксильный радикал, R2 – атом фтора, или их аддитивные соли с кислотами или основаниями.
3. Соединения формулы I по одному из пп. 1 и 2, в которой Z выбрано из цианогруппы и алкилтиогруппы, имеющих 1-8 атомов углерода.
4. Соединения формулы I по п. 1, имеющие следующие наименования:9 -фтор-11 -гидрокси-16 -метил-прегна-1,4-диен-3,20-диоксо-21-карбонитрил,9 -фтор-11 -гидрокси-16 -метил-прегн-4-ен-3,20-диоксо-21-карбонитрил;9 -фтор-11 -гидрокси-16 -метил-21-тиометил-прегна-1,4-диен-3,20-дион,3,20-диоксо-11 -гидрокси-16 -метил-21-норхолан-1,4-диен-24-метилат,21-фтор-11 -гидрокси-16 -метил-прегна-1,4-диен-3,20-дион,21-тио-(2-гидроксиэтилен)-9 , 11 -дихлор-16 -прегна-1,4-диен-3,20-дион,21-тио-(2-ацетилоксиэтилен)-9 , 11 -дихлор-16 -метил-прегна-1,4-диен-3,20-дион,9 , 11 -дихлор-21-фтор-16 -метил-прегна-1,4-диен-3,20-дион.
5. Способ получения соединений формулы I по п. 1, отличающийся тем, что соединение общей формулы II![]() где либо R1‘ означает гидроксил, R2‘ – галоген или водород, либо R1‘ означает галоген и R2‘ – галоген или водород, либо R1‘ и R2‘ образуют вместе вторую связь, подвергают действию агента активации спирта общей формулы Hal-SO2-В, где Hal означает атом брома или хлора; В означает алкильный остаток с 1-6 атомами углерода, для получения соединения общей формулы III ![]() где В имеет указанные значения, и соединение формулы III подвергают одной или нескольким следующим реакциям в соответствующей последовательности для получения соединения общей формулы I: воздействию агента хлорирования, йодирования или фторирования, воздействию алкилтиола, воздействию КСN, последовательно воздействию соединением СН2(СООЕt)2, реакции омыления, затем реакции декарбоксилирования при необходимости с последующей реакцией этерификации, воздействию спирта и солеобразования. 6. Соединения формулы I по пп. 1-4, обладающие противовоспалительной и иммуноподавляющей активностью. 7. Фармацевтическая композиция, обладающая противовоспалительной и иммуноподавляющей активностью, содержащая соединения по пп. 1-4, 6. 8. Соединения общей формулы III по п. 5 в качестве промышленных продуктов за исключением соединений: 21-(метансульфонилокси)-11 -гидрокси-16 -метил-прегна-1,4-диен-3,20-диона,9 -фтор-21-(метансульфонилокси)11 -гидрокси-16 -метил-прегна-1,4-диен-3,20-диона,21-(метансульфонилокси)-16-альфа-метилпрегна-1,4,9(11)-триен-3,20-диона. РИСУНКИ
RH4A – Выдача дубликата патента Российской Федерации на изобретение
Дата выдачи дубликата: 08.09.2004
Наименование лица, которому выдан дубликат:
Извещение опубликовано: 10.10.2004 БИ: 28/2004
PD4A – Изменение наименования обладателя патента Российской Федерации на изобретение
(73) Новое наименование патентообладателя:
Извещение опубликовано: 20.03.2005 БИ: 08/2005
MM4A Досрочное прекращение действия патента Российской Федерации на изобретение из-за неуплаты в установленный срок пошлины за поддержание патента в силе
Дата прекращения действия патента: 18.04.2005
Извещение опубликовано: 27.12.2006 БИ: 36/2006
|
||||||||||||||||||||||||||

-ПОЛОЖЕНИИ, СПОСОБ ИХ ПОЛУЧЕНИЯ, ПРОМЫШЛЕННЫЕ ПРОДУКТЫ, ФАРМАЦЕВТИЧЕСКАЯ КОМПОЗИЦИЯ
-гидрокси-16



1-4 1627, 1608 см-1;
N 2260 см-1.
Пример 3: 21-хлор-9
105 клеток/мл за 24 часа до начала трансфекции и инкубировали при 37oС. Транзиторные трансфекции вызывали методом осаждения фосфата кальция. При исследовании трансактивации трансфекции клетки были трансфицированы 1 мкг плазмиды GRE-tk-CAT, 1 мкг плазмиды polyII 

