Патент на изобретение №2177603
|
||||||||||||||||||||||||||
(54) СПОСОБ ОРИЕНТИРОВАНИЯ ПАРЫ СНИМКОВ
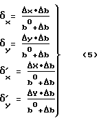
(57) Реферат: Изобретение относится к фотограмметрии и может быть использовано при ориентировании пары снимков. Измеряют соответствующие точки левого и правого снимков. Выполняют взаимное ориентирование снимков, при котором определяют элементы однородного проективного преобразования координат точек из системы правого снимка в систему координат левого снимка по соответствующим формулам. Производят трансформирование координат соответственных точек пары снимков и вводят в координаты точек левого и правого снимков поправки за рельеф. Выполняют внешнее ориентирование снимков. Способ позволяет обрабатывать снимки, полученные камерами с неизвестными или с переменными элементами внутреннего ориентирования. 1 табл. Изобретение относится к области фотограмметрии. Известен способ, позволяющий ориентировать одиночные снимки по плановым координатам точек местности [1]. В основе способа лежит однородное проективное преобразование координат точек снимка в систему координат местности, что позволяет трансформировать изображения без использования элементов внутреннего ориентирования. К недостаткам способа относится то, что он не позволяет учесть смещения точек на снимке, вызванные влиянием рельефа местности. Наиболее близким к предлагаемому заявлению является способ, основанный на приведении наклонных снимков к горизонтальным снимкам и внесении в координаты точек поправок за рельеф [2]. Приведение наклонных снимков к горизонтальным выполняется путем взаимного трансформирования пары снимков, включающего внутреннее ориентирование снимков, определение элементов взаимного ориентирования, трансформирование координат точек снимков, введение поправок за рельеф в положение точек на левом и правом снимке и внешнее ориентирование снимков в системе координат местности. К недостаткам способа относится то, что необходимость выполнять внутреннее ориентирование снимков остается. Для этого необходимо определять элементы внутреннего ориентирования с достаточно высокой точностью, что производится в процессе калибровки съемочной аппаратуры. Этот процесс легко выполняется для жестко фокусированных систем, какими являются топографические фотоаппараты. Но при съемке не метрическими фотоаппаратами или видеокамерами возникает необходимость изменения увеличения изображения за счет изменения фокусного расстояния. При этом не удается с необходимой точностью зафиксировать значение коэффициента трансфокации, а следовательно, не удается установить фактическое фокусное расстояние снимков. Поэтому данный способ неприменим, если в процессе съемки меняется фокусное расстояние съемочной камеры. Задачей изобретения является: – обеспечение обработки снимков с неизвестными элементами внутреннего ориентирования; – обеспечение обработки снимков с изменяющимися, в процессе съемки, элементами внутреннего ориентирования. Поставленная задача решается следующим путем: – производят измерения соответственных точек стереопары; – выполняют взаимное ориентирование пары снимков путем однородного проективного преобразования координат точек правого снимка из системы координат правого снимка в систему координат левого снимка; – вводят поправки в положение точек снимков, учитывающие влияние рельефа местности; – выполняют внешнее ориентирование снимков. При взаимном ориентировании определяют элементы преобразования координат точек из системы координат правого снимка в систему координат левого снимка на основе формул (1) – (4). ![]() ![]() ![]() ![]() где x’, y’ – координаты точки в системе координат правого снимка, x, y – координаты точки в системе координат левого снимка, a’1, a’2, a’3, b’1, b’2, b’3 – элементы аффинного преобразования координат, X’, Y’ – координаты точек, вычисленные в системе левого снимка по элементам аффинного преобразования и по координатам в системе координат правого снимка, a1, a2, a3, b1, b2, b3, c1, c2 – элементы проективного преобразования координат. Для этого из решения уравнений (1) вычисляют элементы аффинного преобразования, по формулам (2) вычисляют координаты X’, Y’, из решения уравнений (3) вычисляют параметры проективного преобразования, по формулам (4) вычисляют окончательные координаты точек правого снимка в системе левого снимка. Центральную точку левого снимка принимают за точку надира, так как считают этот снимок горизонтальным. Координаты точки надира правого снимка вычисляют по координатам центральной точки правого снимка по формулам (2) и (4). Получают координаты точек надира Xn, Yn, X’n, Y’n соответственно левого и правого снимка в системе координат левого снимка. Расхождения координат x, y и X, Y обусловлены влиянием рельефа местности. Для учета этих погрешностей используют выражения (5). ![]() где x, y, X, Y- приращения координаты точек модели относительно проекции точки надира, b0 – базис модели, вычисленный как расстояние между проекциями точек надира левого и правого снимков, b – проекция смещения точек левого и правого снимков на базис модели.
Исправленные плановые координаты точек снимков используются для внешнего ориентирования, которое выполняется по формулам (1) – (4). В качестве исходных применяются геодезические координаты опорных точек, а в качестве определяемых – координаты соответственных точек снимков.
Работоспособность способа проверена на макетных и реальных снимках. Макетные снимки создавались со следующими параметрами:– фокусное расстояние – 9 мм, – высота фотографирования – 500 м, – коэффициент трансфокации – 6 крат, – колебание рельефа в пределах стереопары от 10 до 50 м. В соответствии с заданными параметрами задавались плановые координаты точек местности и элементы внешнего ориентирования снимков. Высоты точек рассчитывались по закону равномерного распределения в заданном интервале превышения h. По этим данным рассчитывались координаты точек снимка, в которые вводились ошибки измерений по закону нормального распределения. Производилась обработка измерений, а полученные координаты точек местности сравнивались с макетными координатами. Средние квадратичные отклонения подсчитывались по результатам стократного повторения обработки для каждого варианта. Результаты моделирования на ЭВМ приведены в таблице.
Методическая погрешность способа не превышает 0.4 м, что позволяет рассчитывать на возможность картографирования территорий в масштабе 1:2000.
Проверка способа на реальных снимках выполнялась по результатам обработки материалов населенного пункта площадью 2 кв. км. Ориентирование снимков выполнялось по цифровым планам масштаба 1:500, построенным с погрешностью, не превышающей 25 см. Для ориентирования пяти стереопар использовалось по 6 точек. Оценка точности производилась по 15 контрольным точкам. Среднее квадратичное отклонение координат контрольных точек, полученных при обработке данных, составило 0.3 м.
Способ позволяет обрабатывать снимки, полученные камерами с неизвестными или с переменными элементами внутреннего ориентирования (видеофильмы, цифровые снимки, фотоснимки). Способ может быть использован для целей создания и обновления топографических и кадастровых планов населенных пунктов масштаба 1:2000 с использованием материалов аэровидеосъемки.
Используемые источники1. Смирнов С. А. Стереоперспектива в фотограмметрии. – М: Недра, 1984. -142 с. 2. Лобанов А.Н. Фотограмметрия. – М.: Недра, 1984. – 550 с. Формула изобретения
РИСУНКИ
MM4A – Досрочное прекращение действия патента СССР или патента Российской Федерации на изобретение из-за неуплаты в установленный срок пошлины за поддержание патента в силе
Дата прекращения действия патента: 23.01.2006
Извещение опубликовано: 20.02.2007 БИ: 05/2007
|
||||||||||||||||||||||||||






x,