Патент на изобретение №2176802
|
||||||||||||||||||||||||||
(54) СПОСОБ ЭЛЕКТРИЧЕСКОГО КАРОТАЖА ОБСАЖЕННЫХ СКВАЖИН
(57) Реферат: Изобретение относится к геофизическим исследованиям скважин и может найти применение при определении электрического сопротивления пластов горных пород, окружающих обсаженную металлической колонной скважину. В способе электрического каротажа обсаженных скважин используют зонд, состоящий из трех эквидистантных измерительных электродов и двух, расположенных за пределами зоны измерительных электродов, симметрично относительно среднего измерительного электрода, токовых электродов. В колонну через каждый из двух токовых электродов поочередно подают от одного и того же полюса источника электрический ток. При каждой из подач тока измеряют потенциал электрического поля колонны в точке контакта с ней среднего измерительного электрода, первую разность потенциалов на участке колонны между двумя крайними измерительными электродами и вторую разность потенциалов на том же участке колонны. Удельное электрическое сопротивление определяют по соответствующей формуле. Технический результат – повышение точности, расширение диапазона измерений. 12 ил. Изобретение относится к области геофизических исследований скважин и может найти применение при определении электрического сопротивления пластов горных пород, окружающих обсаженную металлической колонной скважину. Известен способ определения удельного сопротивления пластов в обсаженной скважине (патент США N 4796186, НКИ 364/422, опубл. 03.01.1989 [1] и патент США N 5543715, НКИ 324/368, опубл. 06.08.1996 [2]). Согласно способу проводят два раздельных измерения первых разностей потенциала электрического поля на двух парах измерительных электродов при двух различных возбуждениях поля: первым – двухполюсным зондом (пятиэлектродный зонд), вторым – однополюсным зондом (четырехэлектродный зонд). Затем расчетным способом корректируют одно измерение через другое. Недостатком способа является его слабая защищенность от влияния внешних электрических помех (например, теллурических) и неоднородностей обсадной колонны, что приводит к искажениям и погрешностям при определении удельного электрического сопротивления окружающих колонну пластов горных пород. Способ [2] отличается, в основном, от способа [1] тем, что он предназначен для измерения удельного сопротивления пласта, при котором используется одножильный каротажный кабель. Наиболее близким к изобретению по технической сущности является способ дивергентного каротажа обсаженных скважин, включающий измерение потенциала электрического поля и его второй разности при помощи контактирующего с колонной однополюсного зонда второй разности, конструктивно выполненного в виде трех эквидистантных измерительных электродов и одного, расположенного выше на заданном расстоянии от них, токового электрода (Альпин Л.М. Дивергентный каротаж. Прикладная геофизика. М., Гостоптехиздат. 1962 г. Вып.32, с. 192-212 – прототип) [3]. Способ позволяет определять отношение электрического сопротивления окружающих скважину пород к электрическому сопротивлению колонны через отношение потенциала электрического поля в точке измерения ко второй разности потенциалов в данной точке при возбуждении электрического поля исследуемой среды одним однополюсным источником тока. Недостатком известного способа-прототипа является то, что в измеряемом параметре присутствует электрическое сопротивление колонны. Практически способ в реальных обсаженных скважинах малопригоден к применению, так как сопротивление колонны может заметно изменяться (изменения толщины стенки колонны, некачественный контакт в замках колонны и др.). Заметное искажение измеренного сопротивления окружающих колонну пластов горных пород связано с тем, что зонд питается от одного однополюсного источника тока, основная доля которого в пределах измерительных электродов течет вдоль по колонне и в миллионы раз превышает долю тока, текущего в пласт в пределах тех же измерительных электродов. В результате точность определения параметров пласта невысока, а диапазон измерения ограничен. В предложенном способе решается задача повышения точности и расширение диапазона измерения параметров пласта, в частности удельного электрического сопротивления пластов горных пород, окружающих обсаженную скважину за счет подавления влияния на результаты измерений неоднородностей обсадной колонны и внешних случайных электрических помех. Задача решается тем, что в способе электрического каротажа обсаженных скважин, включающем измерение потенциала электрического поля и его второй разности при помощи многоэлектродного зонда второй разности, выполненного в виде измерительных и токовых электродов, согласно изобретению используют зонд второй разности, конструктивно выполненный в виде трех эквидистантных измерительных электродов и двух токовых, верхнего и нижнего, электродов, которые расположены за пределами измерительных электродов симметрично относительно среднего измерительного электрода, в каждый из двух токовых электродов поочередно подают электрический ток от одного и того же полюса источника, и при каждой из подач тока измеряют потенциал электрического поля колонны в точке контакта среднего измерительного электрода, первую разность потенциалов на участке колонны между контактами двух крайних измерительных электродов и вторую разность потенциалов на том же участке колонны между контактами всех трех измерительных электродов, а в качестве параметра электрического каротажа обсаженных скважин используют удельное электрическое сопротивление окружающих колонну пластов горных пород, которое определяют по формуле: ![]() где к – коэффициент, полученный из уравнения ![]() вытекающего из необходимости условия наличия экстремума потенциала электрического поля вдоль колонны в пределах зоны измерительных электродов зонда; потенциалы электрического поля колонны в точке контакта с ней среднего измерительного электрода, соответственно, при подаче токов в первый и второй токовые электроды зонда; первые разности потенциалов электрического поля на участке колонны между контактами с ней двух крайних измерительных электродов зонда, соответственно, при подаче токов в первый и второй токовые электроды зонда; вторые разности потенциалов электрического поля на участке колонны между контактами с ней всех трех измерительных электродов зонда, соответственно, при подаче токов в первый и второй токовые электроды зонда; – токи, подаваемые к колонне в точках соприкосновения с ней первого и второго токовых электродов зонда.
Сущность изобретенияНа фиг. 1 дана блок-схема устройства, реализованного по предлагаемому способу, где 1 – скважина; 2 – обсадная металлическая колонна; 3 – окружающий скважину пласт горных пород; 4 – скважинный прибор; 5 – средний измерительный электрод N; 6 и 7 – симметрично расположенные относительно среднего измерительные электроды M1 и М2, 8 и 9 – токовые электроды, соответственно, A1 и A2; 10 – электронный переключатель тока в цепи токовых электродов A1 и A2; 11 – генератор тока; 12 – линия связи первого полюса генератора 11 с электронным переключателем 10; 13 – обратный токовый электрод B, подключенный ко второму полюсу генератора 11; 14 – усилитель первой разности потенциалов между измерительными электродами 6 и 7; 15 – усилитель второй разности потенциалов между измерительными электродами 6, 7 и 5; 16 – усилитель потенциала UN между средним измерительным электродом 5 и удаленным электродом N – 17.
На фиг. 2 проиллюстрировано распределение электрического потенциала вдоль оси скважины от однополюсного токового электрода.
На фиг. 3 проиллюстрировано распределение электрического потенциала вдоль оси скважины между двумя однополюсными токовыми электродами при ![]() На фиг. 4 дана кривая моделирования способом-прототипом [3] на первой модели среды. На фиг. 5 даны кривые моделирования способом-прототипом [3] на первой и второй моделях сред при вставках-неоднородностях колонны с сопротивлением, увеличенным в 1.00032 раза. На фиг. 6 дана кривая моделирования способом-аналогом на модели 3 при отсутствии неоднородностей в колонне и внешних случайных электрических помех. На фиг. 7 дана кривая моделирования предлагаемым способом на модели 3 при отсутствии неоднородностей в колонне и внешних случайных электрических помех. На фиг. 8 даны результаты моделирования способом-аналогом на первой и второй моделях сред. На фиг. 9 даны результаты моделирования предлагаемым способом на первой и второй моделях сред. На фиг. 10 даны результаты моделирования способом-аналогом на модели 3 при внешних случайных помехах с максимальной амплитудой 3 10-6 от величины тока питания зонда.
На фиг. 11 даны результаты моделирования способом-аналогом на модели 3 при внешних случайных помехах с максимальной амплитудой 3 10-3 от величины тока питания зонда.
На фиг. 12 даны результаты моделирования предлагаемым способом на модели 3 при внешних случайных помехах с максимальной амплитудой 3 10-3 от величины тока питания зонда.
На фиг. 4-12 по оси абсцисс отложена глубина залегания пластов – Z, а по оси ординат – удельное электрическое сопротивление пластов п.Рассмотрим принцип электрического каротажа обсаженных скважин, электрическое сопротивление обсадной колонны которых непостоянно, на основе непосредственного измерения вторых разностей потенциалов электрического поля. Поместим в скважину (фиг. 2) [3], в точку A, источник, от которого в исследуемую среду подводится постоянный электрический ток I (на практике вместо постоянного тока подают низкочастотный переменный ток), и определим распределение электрического потенциала вдоль ее оси. Известно [3], что ![]() и только при (необходимое условие, которое в обсаженных скважинах всегда выполняется) ,где U(Z) – электрический потенциал в скважине в точке наблюдения с координатой z; Iz(Z) – электрический ток через поперечное сечение обсаженной скважины с этой же координатой; Jr(Z) – ток, стекающий со стенки скважины в окружающую породу на единицу интервала глубин (линейная плотность тока с размерностью [А/м] ); r – электрическое сопротивление [Ом м], оказываемое средой току Jr(Z); z – (как уже отмечалось выше) электрическое сопротивление отрезка скважины току осевого направления, функционально зависящее от координаты z вследствие непостоянства геометрических и др. параметров обсадной колонны.
Выделим отрезок столба скважины в точке z с высотой z и с центром в точке наблюдения и к замкнутой поверхности этого цилиндрического отрезка применим уравнение непрерывности вектора плотности тока взятое в интегральной форме, т.е.
![]() Поверхность S состоит из оснований цилиндра Sp и Sg и его боковой поверхности Sb. Следовательно, левая часть уравнения (3) представляет сумму трех потоков ![]() ![]() ![]() Таким образом, согласно (3), имеем Iz(z+ z/2)-Iz(z- z/2)+Jr(z)![]() z = o( z), (4)откуда Iz(z)/ z = -Jr(z) + 0(1) и в пределе при z —> 0:![]() Продифференцируем выражение (1) по z, учитывая, что z есть функция электрического сопротивления колонны, изменяющегося в реальной скважине вдоль ее ствола с изменением координаты z, т.е. z = z(z) const:![]() Подставив в уравнение (6) равенства (2) и (5), получим уравнение распределения потенциала источника вдоль оси скважины с непостоянным вдоль оси электрическим сопротивлением колонны ![]() Анализ уравнения (7) и результаты математического моделирования, которые будут приведены ниже, показывают, что измерение электрического потенциала и его второй производной (как это предлагалось в [3]) не определяет искомое отношение z/ r ввиду присутствия в этом уравнении члена d z/dz, сильно зависящего от изменчивости обсадной колонны.
Предлагаемый способ электрического каротажа обсаженных скважин, на результаты измерений которого неоднородности ствола обсаженной скважины практически не влияют, отличается тем, что электрическое поле вдоль колонны задают таким, чтобы кривая распределения потенциала вдоль этой колонны имела экстремум в области измерительных электродов (в области координаты z = zN), т. е. dU(zN)/dz = 0. Следовательно, из уравнения (7) исключается член, содержащий неопределенную величину d z/dz, и это уравнение в точке z = zN принимает следующий вид![]() или ![]() На основании уравнения (9), измерив потенциал и его вторую производную в точке с координатой zN, при наличии там экстремума, можно определить искомое отношение r/ z.Достижение экстремума потенциала в месте нахождения измерительных электродов осуществляется при помощи двух источников A1 и A2 (фиг. 3), расположенных с обеих сторон на одинаковом расстоянии от среднего электрода N (точка измерения), и подбора в них токов таких величин, чтобы разность потенциалов между двумя симметричными относительно N электродами M1 и M2 равнялась нулю, т.е. ![]() Достижение экстремума в точке измерения z = zN означает исключение осевой составляющей тока Iz(zN), которая в обсаженной скважине, при возбуждении исследуемой среды одним однополюсным источником, многократно больше (в миллионы раз) радиальной составляющей r(zN). На практике для измерения r/ z вместо второй производной потенциала (уравнение (9)) используют пропорциональную ей вторую конечную разность потенциалов![]() Реализация предлагаемого способа электрического каротажа обсаженных скважин заключается в исключении из измеряемого параметра искажающих влияний электрического сопротивления колонны, его изменения и внешних случайных электрических помех через формулу ![]() где к – коэффициент, полученный из уравнения ,вытекающего из необходимости условия наличия экстремума потенциала электрического поля вдоль колонны в пределах зоны измерительных электродов зонда с целью обнуления там осевого тока. При этом нет необходимости в подборе токов в токовых электродах зонда A1 и A2 а всего лишь достаточно измерить разности потенциалов и в функции произвольно заданных токов каждого из двух токовых электродов и подставить эти разности в уравнение (12), при помощи которого находят величину коэффициента к, который определяет амплитуду тока источника A1 по отношению к амплитуде тока источника A2 для выполнения вышеуказанного условия.
Для исключения искажающего влияния на результаты измерений самого сопротивления колонны служит множитель перед второй скобкой в формуле (11).
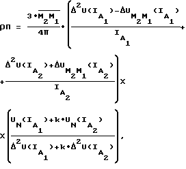
Для предложенного способа с пятиэлектродным зондом результаты измерений выражаются через истинное удельное электрическое сопротивление окружающих колонну пластов горных пород по вытекающей из выражений (11) и (12) формуле:![]() где потенциалы электрического поля колонны в точке контакта с ней среднего измерительного электрода, соответственно, при подаче токов в верхний и нижний токовые электроды зонда, вольты; первые разности потенциалов электрического поля на участке колонны между контактами с ней двух крайних измерительных электродов зонда, соответственно, при подаче токов в верхний и нижний токовые электроды зонда, вольты; вторые разности потенциалов электрического поля на участке колонны между контактами с ней всех трех измерительных электродов зонда, соответственно, при подаче токов в верхний и нижний токовые электроды зонда, вольты; токи, подаваемые к колонне в точках соприкосновения с ней верхнего и нижнего токовых электродов зонда, амперы.
Пример конкретного выполненияНа фиг. 1 представлена блок-схема аппаратуры, выполненной по предложенному способу. На блок-схеме показана скважина 1 в поперечном разрезе с обсадной металлической колонной 2, которую окружает пласт 3. Скважинный прибор 4 находится в скважине и примыкает к участку пласта 3, удельное сопротивление которого измеряют. В скважинном приборе 4 находится зонд, состоящий из среднего измерительного электрода N, обозначенного на фиг.1 номером 5, двух дополнительных измерительных электродов M1 – 6 и М2 – 7 и двух токовых электродов верхнего A1 – 8 и нижнего A2 – 9. Все пять электродов прижаты к стенке колонны и имеют с ней электрический контакт. В скважинном приборе 4 находится электронный переключатель 10 для последовательной подачи тока в токовые электроды 8 и 9. Электронный переключатель 10 соединен с первым полюсом находящегося на дневной поверхности генератора 11 переменного тока инфранизкой частоты линией связи 12. Второй полюс генератора 11 заземлен на дневной поверхности через обратный токовый электрод B, обозначенный цифрой 13. В скважинном приборе 5 находятся также усилитель разности потенциалов – 14 между электродами 6 и 7 и усилитель второй разности потенциалов – 15. Усилитель потенциала UN – 16 может находиться в скважинном приборе или на поверхности. Потенциал UN центрального измерительного электрода 5 измеряется относительно удаленного электрода N – 17, который может располагаться как на дневной поверхности, так и в скважине на достаточно большом удалении от скважинного прибора и зонда. Компьютер, обрабатывающий сигналы U, U, 2U и I по формуле (13), и регистратор кривой сопротивления п на фиг. 1 не показаны. Удельное электрическое сопротивление п в данном примере конкретного выполнения получено из формулы (13). Как уже отмечалось выше, эта формула выведена из предпосылки, что результирующая осевая составляющая тока, текущего вдоль колонны между измерительными электродами 6 и 7, равна нулю. Благодаря этому, в частности, искажающее влияние электрического сопротивления колонны на результаты измерения отсутствует, и регистратор после обработки сигналов по формуле (13) регистрирует истинное сопротивление пласта п, что подтверждено моделированием на математических моделях.
На фиг. 4-12 представлены вычисления параметра п предложенным способом, способом-аналогом и способом-прототипом для трех математических моделей среды.
Первая модель среды – пласт неограниченной мощности по координате Z от – до + с удельным электрическим сопротивлением, равным 100 Oм м, который пронизан неоднородной по электрическому сопротивлению колонной. В интервале от -1.5 м до +3.5 м сопротивление колонны увеличено в 2 раза по сравнению с остальными ее участками.
Вторая модель отличается от первой тем, что пласт неограниченной мощности обладает удельным электрическим сопротивлением 5 Ом м.
Третья модель среды – пачка пластов: первый пласт с удельным электрическим сопротивлением 10 Ом м, простирающийся по глубине z от – до -4.5 м; второй пласт с сопротивлением 100 Ом м, простирающийся по глубине от -4.5 м до -1.5 м; третий пласт с сопротивлением 5 Oм м, простирающийся по глубине от -1.5 м до -0.5 м; четвертый пласт с сопротивлением 10 Ом м, простирающийся по глубине от -0.5 м до 1.5 м; пятый пласт с сопротивлением 5 Oм м, простирающийся по глубине от 1.5 м до 3.5 м; шестой пласт с сопротивлением 1 Ом м, простирающийся по глубине от 3.5 м до + ; вся пачка пластов пронизана скважиной и колонной, однородной по сопротивлению.
На фиг. 4 дана кривая моделирования способом-прототипом [3] на модели среды 1. Как видно из фиг., в местах изменения в два раза электрического сопротивления колонны (z = -1.5 м и z = +3.5 м) измеряемый параметр выходит за границы рамки фигуры. А там, где сопротивление участка – вставки колонны не меняется, измеряемый параметр по своей величине снизился в два раза, т. е. настолько, насколько увеличилось сопротивление колонны. Чтобы зрительно установить степень влияния изменения сопротивления колонны на измеряемый способом-прототипом [3] параметр, электрическое сопротивление вставки в колонну в моделях 1 и 2 увеличено всего лишь в 1.00032 раза, при этом измеряемый параметр изменился, например, для модели 1 (фиг. 5) примерно в два раза. Следовательно, по данным моделирования, способ-прототип [3] малопригоден для определения электрического сопротивления пластов горных пород, обсаженных неоднородной обсадной колонной.
На фиг. 6 и 7 даны кривые моделирования способом-аналогом [1] и предлагаемым способом на модели 3, где колонна по координате z однородна и отсутствуют внешние электрические помехи. Как видно из фигур, обе кривые для этого случая близки и отражают истинное удельное электрическое сопротивление пластов горных пород за пределами обсадной колонны.
На фиг. 8 и 9 даны кривые моделирования способом-аналогом [1] и предлагаемым способом на моделях сред 1 и 2 с вставками-неоднородностями в стволе обсадной колонны. Как видно из фигур, в зонах постоянного электрического сопротивления как самой колонны, так и вставки независимо от их различного электрического сопротивления оба способа одинаково хорошо отражают истинное электрическое сопротивление находящейся за стенкой колонны среды. В точках изменения электрического сопротивления колонны на кривых обоих способов наблюдаются небольшие всплески шириной 1 м, равной расстоянию между крайними измерительными электродами зондов M1M2. Как видно из фиг. 8, на которой изображены результаты моделирования способом-аналогом [1] , эти всплески примерно в два раза выше по амплитуде по сравнению с всплесками на фиг. 9, где изображены кривые моделирования предлагаемым способом.
Также проводилось моделирование с целью выяснения устойчивости предлагаемого способа к воздействию внешних случайных помех. К внешним случайным помехам относятся теллурические токи, текущие по колонне, и промышленные помехи, исходящие от различных энергетических установок на эксплуатируемых месторождениях. В совокупности эти хаотические токи в некоторых районах могут достигать величин до нескольких миллиампер, а иногда и первых десятков миллиампер. А так как ток питания зонда в силу ограниченной пропускной способности каротажного кабеля составляет 3-5 А, то доля внешней помехи может иногда достигать величин примерно до 10-3 от величины тока питания зонда.
На фиг. 10 дана кривая моделирования способом-аналогом [1] на шестипластовой модели среды 3 с постоянным электрическим сопротивлением обсадной колонны. При внешней случайной помехе с максимальной амплитудой 3-10-6 от величины тока питания зонда, что при токе питания зонда в 3 А составляет всего лишь 1 мкA, отклонение в точках с максимальной амплитудой помехи на кривой сопротивлений по фиг. 10 составляет 5% от такой же кривой сопротивлений, не подверженной воздействию помехи (фиг. 6).
На фиг. 11 дана кривая моделирования способом-аналогом [1] на той же модели среды 3 с внешними случайными помехами тысячекратной интенсивности по сравнению с интенсивностью помехи по фиг. 10, т.е. их максимальная амплитуда составляет 3-10-3 от величины тока питания зонда. Как видно из этой фигуры, кривая сопротивлений разваливается до такой степени, что вряд ли реально возможно восстановить ее при помощи фильтрации и накопления.
В то же время при внешней случайной помехе с максимальной амплитудой 3-10-3 от величины тока питания зонда, при которой кривая сопротивлений, полученная способом-аналогом [1] , на модели 3 (фиг. 11) разваливается, на кривой сопротивлений предлагаемым способом (фиг. 12) она вырисовывается без каких-либо видимых отклонений от такой же кривой, полученной на модели 3 без воздействия помех (фиг. 7). Как видно из результатов моделирования, предлагаемый способ более устойчив к влиянию неоднородностей обсадной колонны и внешних случайных электрических помех, чем аналог и прототип.
Предложенный способ реализован в виде аппаратурного макета и испытан в скважине. Результаты испытаний макета в обсаженной скважине подтвердили совпадение с результатами стандартного каротажа сопротивлений, полученными до обсадки скважины. Следует отметить, что в данном макете токи IA1, IA2 стабилизировались и равнялись значению 5 А, но стабилизация токов питания в предлагаемом способе необязательна, так как он постоянно измеряется, и, если он меняет свое значение, то компьютер вводит поправку в измеренные потенциалы и их разности пропорционально изменению тока питания. При этом в данном макете потенциалы N от возбуждения каждым из двух источников составляли в среднем 8-12 мВ, первые разности потенциалов – в среднем 40-60 мкВ и вторые разности – от 0 до 1 мкВ.
Отметим, что по сравнению с прототипом [3], предлагаемый способ позволяет повысить точность и расширить диапазон измерения удельного сопротивления пластов горных пород. По предложенному способу точность измерения составляет 5%, а по прототипу – до 100%. Диапазон измерения удельного электрического сопротивления по предложенному способу составляет не менее 1000, а по прототипу – не более 100.
Внедрение предлагаемого способа в практику геофизических исследований скважины даст значительный экономический эффект, так как позволит контролировать в эксплуатируемых нефтяных скважинах уровень водонефтяного контакта там, где это невозможно по той или иной причине методами радиоактивного каротажа, например при низкой пористости пластов-коллекторов или если вода, подпирающая нефтяной пласт, опреснена.
Формула изобретения
![]() где k – коэффициент, полученный из уравнения ![]() вытекающего из необходимости условия наличия экстремума потенциала электрического поля вдоль колонны в пределах зоны измерительных электродов зонда; расстояние между измерительными электродами M1 и М2; потенциалы электрического поля в точке контакта с колонной среднего измерительного электрода, соответственно, при подаче токов в первый и второй токовые электроды зонда; первые разности потенциалов электрического поля на участке колонны между контактами с ней двух крайних измерительных электродов зонда, соответственно, при подаче токов в первый и второй токовые электроды зонда; вторые разности потенциалов электрического поля, соответственно, при подаче токов в первый и второй токовые электроды зонда; токи, подаваемые к колонне в точках контакта с ней первого и второго токовых электродов зонда.
РИСУНКИ
QB4A Регистрация лицензионного договора на использование изобретения
Лицензиар(ы): Кашик Алексей Сергеевич
Вид лицензии*: ИЛ
Лицензиат(ы): ООО “Центр новых технологий ГИС”
Номер и год публикации бюллетеня: 12-2004
Договор № 18893 зарегистрирован 31.03.2004
Извещение опубликовано: 27.04.2004
* ИЛ – исключительная лицензия НИЛ – неисключительная лицензия
QZ4A – Регистрация изменений (дополнений) лицензионного договора на использование изобретения
Лицензиар(ы): Кашик Алексей Сергеевич
Вид лицензии*: ИЛ
Лицензиат(ы): ООО “Центр новых технологий ГИС”
Характер внесенных изменений (дополнений):
Дата и номер государственной регистрации договора, в который внесены изменения:
Извещение опубликовано: 10.06.2006 БИ: 16/2006
* ИЛ – исключительная лицензия НИЛ – неисключительная лицензия
QB4A Регистрация лицензионного договора на использование изобретения
Лицензиар(ы): Кашик Алексей Сергеевич
Вид лицензии*: НИЛ
Лицензиат(ы): Индивидуальный предприниматель Цой Валентин
Договор № РД0023650 зарегистрирован 02.07.2007
Извещение опубликовано: 10.08.2007 БИ: 22/2007
* ИЛ – исключительная лицензия НИЛ – неисключительная лицензия
|
||||||||||||||||||||||||||



потенциалы электрического поля колонны в точке контакта с ней среднего измерительного электрода, соответственно, при подаче токов в первый и второй токовые электроды зонда;
первые разности потенциалов электрического поля на участке колонны между контактами с ней двух крайних измерительных электродов зонда, соответственно, при подаче токов в первый и второй токовые электроды зонда;
вторые разности потенциалов электрического поля на участке колонны между контактами с ней всех трех измерительных электродов зонда, соответственно, при подаче токов в первый и второй токовые электроды зонда;
– токи, подаваемые к колонне в точках соприкосновения с ней первого и второго токовых электродов зонда.
Сущность изобретения
между измерительными электродами 6 и 7; 15 – усилитель второй разности потенциалов
между измерительными электродами 6, 7 и 5; 16 – усилитель потенциала UN между средним измерительным электродом 5 и удаленным электродом N
– 17.
На фиг. 2 проиллюстрировано распределение электрического потенциала вдоль оси скважины от однополюсного токового электрода.
На фиг. 3 проиллюстрировано распределение электрического потенциала вдоль оси скважины между двумя однополюсными токовыми электродами при 
10-6 от величины тока питания зонда.
На фиг. 11 даны результаты моделирования способом-аналогом на модели 3 при внешних случайных помехах с максимальной амплитудой 3
п.
(необходимое условие, которое в обсаженных скважинах всегда выполняется)
,
r – электрическое сопротивление [Ом
z и с центром в точке наблюдения и к замкнутой поверхности этого цилиндрического отрезка применим уравнение непрерывности вектора плотности тока
взятое в интегральной форме, т.е.





const:






,
и
в функции произвольно заданных токов каждого из двух токовых электродов и подставить эти разности в уравнение (12), при помощи которого находят величину коэффициента к, который определяет амплитуду тока источника A1 по отношению к амплитуде тока источника A2 для выполнения вышеуказанного условия.
Для исключения искажающего влияния на результаты измерений самого сопротивления колонны служит множитель перед второй скобкой в формуле (11).
Для предложенного способа с пятиэлектродным зондом результаты измерений выражаются через истинное удельное электрическое сопротивление окружающих колонну пластов горных пород по вытекающей из выражений (11) и (12) формуле:
потенциалы электрического поля колонны в точке контакта с ней среднего измерительного электрода, соответственно, при подаче токов в верхний и нижний токовые электроды зонда, вольты;
первые разности потенциалов электрического поля на участке колонны между контактами с ней двух крайних измерительных электродов зонда, соответственно, при подаче токов в верхний и нижний токовые электроды зонда, вольты;
вторые разности потенциалов электрического поля на участке колонны между контактами с ней всех трех измерительных электродов зонда, соответственно, при подаче токов в верхний и нижний токовые электроды зонда, вольты;
токи, подаваемые к колонне в точках соприкосновения с ней верхнего и нижнего токовых электродов зонда, амперы.
Пример конкретного выполнения
– 14 между электродами 6 и 7 и усилитель второй разности потенциалов
– 15. Усилитель потенциала UN – 16 может находиться в скважинном приборе или на поверхности. Потенциал UN центрального измерительного электрода 5 измеряется относительно удаленного электрода N
5%, а по прототипу – до 

расстояние между измерительными электродами M1 и М2;
потенциалы электрического поля в точке контакта с колонной среднего измерительного электрода, соответственно, при подаче токов в первый и второй токовые электроды зонда;
первые разности потенциалов электрического поля на участке колонны между контактами с ней двух крайних измерительных электродов зонда, соответственно, при подаче токов в первый и второй токовые электроды зонда;
вторые разности потенциалов электрического поля, соответственно, при подаче токов в первый и второй токовые электроды зонда;
токи, подаваемые к колонне в точках контакта с ней первого и второго токовых электродов зонда.