Патент на изобретение №2176686
|
||||||||||||||||||||||||||
(54) ИНГИБИТОР ДЛЯ ЗАЩИТЫ СТРОИТЕЛЬНЫХ СТАЛЕЙ ОТ КОРРОЗИОННО-МЕХАНИЧЕСКОГО РАЗРУШЕНИЯ В СЕРОВОДОРОДСОДЕРЖАЩИХ МИНЕРАЛИЗОВАННЫХ СРЕДАХ
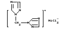
(57) Реферат: Изобретение относится к защите металлов от коррозионно-механического разрушения в сероводородсодержащих минерализованных средах. Предложен ингибитор следующего состава, об. %: комплекс 1,2,4-бистриазолилметан-NiС12 5-15, бутанол 45-60, вода остальное. Степень защиты строительной стали (сталь 20) ингибитором в сероводородсодержащей среде при концентрации 100 мг/л составляет: 97,9% от общей коррозии, 90,6% от сероводородного растрескивания и 37,4% от коррозионной усталости. Ингибитор обладает повышенной эффективностью, снижается трудоемкость его получения. 3 табл. Изобретение относится к защите металлов от коррозионно-механического разрушения (КМР) в сероводородсодержащих минерализованных средах. Среди наиболее близких по назначению ингибиторов известно, например, применение 5-метил-5-ацетил-1,3-диоксана в качестве ингибитора КМР низколегированных сталей в сероводородсодержащих минерализованных средах [патент РФ N 2082714 от 27.06.97]. Недостатком данного ингибитора является трудоемкость его получения по сравнению с предлагаемым ингибитором. К заявляемому ингибитору близок по составу (прототип) ингибитор сероводородной коррозии и наводороживания металлов, включающий, мас.%: хлорсодержащую четвертичную соль аммония общей формулы [RC8-С15N+(CH3)2R1]Cl–, где R1= CH2-CHCl, или -CH2 – CCl = CH2, или смесь указанных хлорсодержащих радикалов, – 1,00 – 20,73; соль третичного амина формулы [RС8–С15N+(CH3)2H]Cl– – 1,62 – 47,40 и воду – остальное до 100 [патент РФ N 2064021 от 25.08.92]. Данный ингибитор получают конденсацией хлорсодержащих органических соединений (1,2 – дихлорпропана, или 2,3 – дихлорпропена, или их смеси) с третичным амином формулы RС8–С15-N(CH3)2 при их мольном соотношении 1: (1,0-2,5) соответственно, температуре 90-175oC в течение 1,5 – 7,5 часов до исчезновения расслоения реакционной смеси. Указанный третичный амин получают гидрохлорированием первичного спирта C8 – C15 в присутствии ZnCl2 с последующим аминированием полученного алкилхлорида диметиламином. Недостатками прототипа являются: 1) трудоемкость получения по сравнению с предлагаемым ингибитором; 2) невозможность эффективной защиты строительных сталей от КМР. Изобретение решает техническую задачу: 1) повышения эффективности ингибиторов КМР; 2) снижения трудоемкости получения по сравнению с прототипом; 3) расширения ассортимента ингибиторов. Указанный технический результат достигается тем, что согласно изобретению в отличие от известного ингибитора КМР строительных сталей в сероводородсодержащих минерализованных средах, включающего комплексы на основе азотсодержащего соединения и воду, предлагаемый ингибитор в качестве азотсодержащего комплекса содержит комплекс 1,2,4-бистриазолилметан – NiCl2 вида: ![]() и дополнительно содержит бутанол при следующем соотношении компонентов, об.%: Комплекс 1,2,4-бистриазолилметан – NiCl2 – 5-15 Бутанол – 45-60 Вода – Остальное Предлагаемый ингибитор получают в нормальных условиях смешиванием компонентов в указанном соотношении. Комплекс 1,2,4 – бистриазолилметан – NiCl2 получают в нормальных условиях компаундированием компонентов при их массовом соотношении (1,0-1,3):1 соответственно. Определение ингибирующей эффективности композиций проводили на образцах из стали 20, широко используемой при строительстве газонефтепроводов. В качестве коррозионной среды (КС) применяли модель пластовой воды месторождения “Чекмагушнефть” АНК “Башнефть” состава, г/л: NaCl – 100; CaCl2 – 63; MgCl3 – 2,4; FeCl3 – 0,01; CaSO4 – 6,6; Na2SO4 – 0,06; H2S – 0,037. Эффективность защиты стали ингибитором от общей коррозии (ОК) оценивали по поляризационным кривым следующим образом [РД 39-141-96 “Ингибиторы коррозионно-механического разрушения металлов”, Уфа, 1996, далее – РД]. Экстраполяцией тафелевых участков анодных и катодных ветвей поляризационных кривых, снятых в неингибированной и ингибированной КС, до значений потенциалов коррозии получали величины плотностей токов коррозии i0 и i соответственно. Степень защиты стали от ОК определяли по формуле: Z = (i0-i)/i0 100%Результаты измерений приведены в табл. 1. Далее проводили коррозионно-механические испытания образцов [РД] на разрывной машине типа МР-5-8В на воздухе, в модельной среде месторождения “Чекмагушнефть” и в той же среде с добавлением ингибитора. Для испытания образцов в КС применяли герметичную ячейку. Скорость деформирования металла составляла 7,2 10-8 м/с, что соответствует динамике развития деформаций в металле действующего нефтегазового оборудования.
Затем определяли влияние ингибитора на относительное сужение образцов при испытаниях на разрыв в неингибированной и ингибированной КС. Параметр характеризует запас пластичности стали [РД], резко уменьшающийся при ее коррозии в сероводородсодержащих средах, и, таким образом, свидетельствует о степени наводороживания металла, которое является одной из основных причин КМР в этих условиях.
В табл. 2 приведены результаты этой серии испытаний.
Степень защиты стали ингибитором в данном случае определяли по формуле:![]() где к, и и в – относительные сужения образцов, разрушенных в неингибированной и ингибированной КС, а также на воздухе соответственно.
Степень защиты стали ингибитором в условиях коррозионно-усталостного (КУ) нагружения, заключающегося в воздействии на сталь суммарных циклических знакопеременных напряжений, характерных для газонефтепроводов, определяли следующим образом [РД).
Плоские стальные образцы подвергали консольному изгибу с размахом упруго-пластической деформации 0,74% при частоте симметричного цикла нагружения 0,6 Гц, что соответствует реальным условиям эксплуатации нефтегазового оборудования. Нагружение проводили на воздухе, а также в герметичной накладной ячейке в КС и в КС с добавлением ингибитора. Определяли число циклов до полного разрушения образцов.
Степень защиты стали ингибитором от КУ рассчитывали по формуле:![]() где Nв, Nк и Nи – усталостные долговечности образцов в циклах до разрушения при испытаниях на воздухе, в неингибированной и ингибированной КС соответственно. В табл. 3 приведены результаты данной серии испытаний. Из данных, приведенных в табл. 1 – 3, следует, что разработанный ингибитор КМР строительных сталей СПМ-1 обладает высокой степенью защиты как от ОК, так и от СР и КУ в рассмотренных КС. Ингибитор может найти применение в нефтедобывающей промышленности для защиты от коррозии оборудования систем нефтесбора и поддержания пластового давления. Использование предлагаемого состава ингибитора позволит увеличить степень защиты по сравнению с прототипом и, тем самым, значительно повысить эффективность защиты оборудования от ОК и КМР. Формула изобретения
![]() при следующем соотношении компонентов, об.%: Комплекс 1,2,4-бистриазолилметан-NiСl2 – 5 – 15 Бутанол – 45 – 60 Вода – Остальноео РИСУНКИ
MM4A Досрочное прекращение действия патента Российской Федерации на изобретение из-за неуплаты в установленный срок пошлины за поддержание патента в силе
Дата прекращения действия патента: 30.07.2001
Номер и год публикации бюллетеня: 2-2003
Извещение опубликовано: 20.01.2003
|
||||||||||||||||||||||||||


100%
при испытаниях на разрыв в неингибированной и ингибированной КС. Параметр 

