Патент на изобретение №2176645
|
||||||||||||||||||||||||||
(54) ИНГИБИТОРЫ ТРОМБИНА, ФАРМАЦЕВТИЧЕСКАЯ КОМПОЗИЦИЯ НА ИХ ОСНОВЕ, СПОСОБ ЛЕЧЕНИЯ, СПОСОБ ИХ ПОЛУЧЕНИЯ (ВАРИАНТЫ) И ЗАЩИЩЕННОЕ ПРОИЗВОДНОЕ
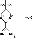
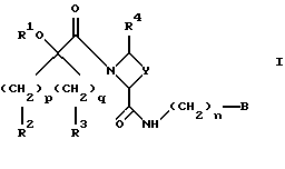
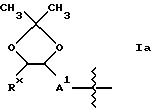
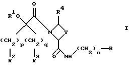
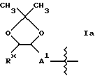
(57) Реферат: Описываются новые соединения формулы (I), где р и q независимо равны 0, 1, 2, 3 или 4; R представляет собой Н, 2,3-эпоксипропил, C1-6алкил (последний возможно замещен или оканчивается одной или более чем одной гидроксигруппой), структурный фрагмент формулы Iа, где А1 представляет собой С1-4алкилен, и Rх представляет собой Н, или, когда р = 0, вместе с R2 представляет собой структурный фрагмент формулы Iб, где Rу представляет собой Н; R2 представляет собой Н, нафтил, индолил, С1-4алкил (последняя группа возможно замещена или оканчивается одной или более чем одной гидроксигруппой), С3-8циклоалкил, фенил (последние две группы возможно замещены одним или более чем одним С1-4алкилом, С1-4алкокси, галогено, гидрокси, нитро, метилендиокси, трифторметилом, N(H)R23 или C(О)OR24), или, когда р = 0, вместе с R1 представляет собой структурный фрагмент формулы 1б; R3 представляет собой Н, нафтил, индолил, С1-6алкил (последняя группа возможно замещена или оканчивается одной или более чем одной гидроксигруппой), С3-8циклоалкил или фенил (последние две группы возможно замещены одним или более чем одним С1-4алкилом, С1-4алкокси, галогено, гидрокси, нитро, метилендиокси, трифторметилом, N(H)R27 или C(О)OR28); R23 и R27 независимо представляют собой Н, C1-4алкил или C(О)R29; R24, R28 и R29 независимо представляют собой Н или С1-4алкил; R4 представляет собой Н или С1-4алкил; Y представляет собой C1-4алкилен, возможно замещенный С1-4алкилом, метиленом или оксо; n = 1 или 2; и В представляет собой структурный фрагмент формулы IVa, IVб или IVв, где R5 представляет собой Н; и Х’ и X2 независимо представляют собой простую связь или СН2; при условии, что когда R1, R2 и R4 все представляют собой Н, р = 0, Y представляет собой (СН2)2, n = 1 и (а) R3 представляет собой незамещенный фенил и (1) В является структурным фрагментом формулы IVa, и R5 представляет собой Н, тогда q не равно 0 или 1; и (2) В является структурным фрагментом формулы IVб, и X’ и X2 оба представляют собой СН2, тогда q 0; и (б) R3 представляет собой незамещенный циклогексил, В представляет собой структурный фрагмент формулы IVa, и R5 представляет собой Н, тогда q 0; или его фармацевтически приемлемая соль. Новые соединения полезны в качестве конкурирующих ингибиторов трипсин-подобных протеаз, таких как тромбин, и, в особенности, при лечении состояний, при которых требуется ингибирование тромбина (например, тромбоз), или в качестве антикоагулянтов. Описывается также фармацевтическая композиция на их основе, способ лечения, способ их получения (варианты) и защищенное производное. 7 с. и 37 з.п. ф-лы.
Изобретение относится к новым соединениям, обладающим активностью ингибиторов тромбина, способам их получения и их использованию в медицине. Коагуляция крови представляет собой ключевой процесс, который включает в себя как гомеостаз (то есть предотвращение потери крови из поврежденных сосудов), так и тромбоз (то есть образование сгустка крови в кровеносном сосуде или в сердце, что иногда приводит к закупорке сосудов). Коагуляция является результатом сложной серии ферментативных реакций. Одной из основных стадий в этой серии реакций является превращение профермента протромбина в активный фермент тромбин. Известно, что тромбин играет центральную роль в коагуляции. Он активирует тромбоциты, что приводит к их агрегации, превращает фибриноген в фибриновые мономеры, которые спонтанно полимеризуются в фибриновые полимеры, активирует фактор XIII, который, в свою очередь, сшивает эти полимеры с образованием нерастворимого фибрина. Далее, тромбин активирует фактор V и фактор VIII, что приводит к генерации тромбина из протромбина по методу “положительной обратной связи”. Поэтому следует ожидать, что эффективные ингибиторы тромбина будут проявлять антитромботическую активность путем ингибирования агрегации тромбоцитов и образования и сшивки фибрина. Кроме того, можно ожидать, что антитромботическая активность может быть повышена эффективным ингибированием механизма положительной обратной связи. Разработка низкомолекулярных ингибиторов тромбина описана [Claesson, Blood Coagul.Fibrinol.(1994) 5, 411]. Известны [Blombaeck et al., J. Clin. Lab. Invest. 24., suppl. 107, 59, (1969)] ингибиторы тромбина на основе аминокислотной последовательности, расположенной вокруг сайта расщепления цепи A фибриногена. Как полагали авторы, из рассмотренных аминокислотных последовательностей наиболее эффективным ингибитором может быть последовательность Phe-Val-Arg (P9-P2-P1, на которую здесь и далее ссылаются как на последовательность P3-P2-P1) [классификация субстратной специфичности дана в Schechten and Bergen, Biophys. Res. Commun. (1967) 27, 157 и (1968) 32, 898].
Известны [патент США N 4346078, Международная заявка WO 93/11152] ингибиторы тромбина на основе дипептидильных производных C , – аминоалкилгуанидином в положении P1. Аналогично, сообщалось о родственных по структуре дипептидильных производных. Например, известны [Международная заявка WO 94/29336] соединения с, например, аминометилбензамидинами, циклическими аминоалкиламидинами и циклическими аминоалкилгуанидинами в положении P1; известны [Заявка на Европейский патент 0648780] соединения с, например, циклическими аминоалкилгуанидинами в положении P1.
Известны [Заявки на Европейский патент 0468231, 0559046 и 0641779] ингибиторы тромбина на основе пептидильных производных, также имеющие циклические аминоалкилгуанидины (например, либо 3-, либо 4-аминометил-1-амидинопиперидин) в положении P1.
Известны [Заявка на Европейский патент 0185390] ингибиторы тромбина на основе трипептидильных производных с аргининальдегидом в положении P1.
Совсем недавно были описаны пептидильные производные на основе аргининальдегида, модифицированные в положении P3, например гидроксикислотами [Международная заявка WO 93/18060], дезаминокислотами [Заявка на Европейский патент 0526877], О-метилминдальными кислотами [Заявка на Европейский патент 0542525] в положении P3.
Известны также ингибиторы сериновых протеаз (например, тромбина) на основе электрофильных кетонов в положении P1, например пептидил -кетоэфиры и амиды [Заявка на Европейский патент 0195212], фторалкиламидкетоны [Заявка на Европейский патент 0362002], , , -трикетосоединения [Заявка на Европейский патент 0364344] и -алкоксикетонные производные аргинина [Заявка на Европейский патент 0530167).
Известны [Заявка на Европейский патент 0293881] и другие, отличные по структуре, ингибиторы трипсиноподобных сериновых протеаз на основе производных аргинина с C-концевыми бороновыми кислотами и их изотиоурониевых аналогов.
Совсем недавно были раскрыты [Заявки на Европейский патент 0669317, 0686642, 0648780 и Международные заявки WO 95/35309, WO 95/23609 и WO 94/29336] ингибиторы тромбина на основе трипептидильных производных.
Тем не менее потребность в эффективных, доступных при пероральном введении ингибиторах трипсиноподобных сериновых протеаз, таких как тромбин, по-прежнему сохраняется.
Таким образом, в задачу изобретения входило создание новых соединений, способных селективно ингибировать тромбин, которые могут быть использованы в качестве лекарственных средств для лечения заболеваний, при которых требуется ингибирование тромбина, а также разработка фармацевтических композиций на их основе и способов лечения указанных заболеваний с использованием этих соединений. В задачу изобретения также входила разработка способов получения соединений по изобретению.
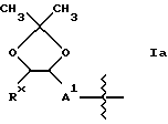
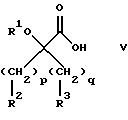
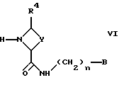
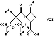
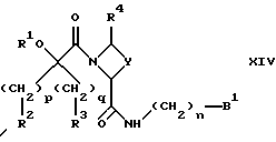
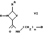
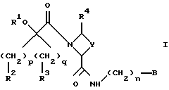
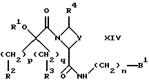
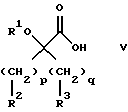
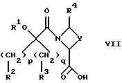
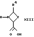
Поставленная задача решается тем, что предложено соединение формулы ,где p и q независимо равны 0, 1, 2, 3 или 4; R1 представляет собой H, 2,3-эпоксипропил, C1-6алкил (последняя группа возможно замещена или оканчивается одной или более чем одной гидроксигруппой), структурный фрагмент формулы Ia ,где A1 представляет собой C1-4алкилен, и Rx представляет собой H, или, когда p равно 0, вместе с R2 представляет собой структурный фрагмент формулы Iб ,где Ry представляет собой H, R2 представляет собой H, нафтил, индолил, C1-4алкил (последняя группа возможно замещена или оканчивается одной или более чем одной гидроксигруппой), C3-8циклоалкил, фенил (последние две группы возможно замещены одним или более чем одним C1-4алкилом, C1-4алкокси, галогено, гидрокси, нитро, метилендиокси, трифторметилом, N(H)R23 или C(O)OR24), или, когда p равно 0, вместе с R1 представляет собой структурный фрагмент формулы Iб; R3 представляет собой H, нафтил, индолил, C1-6алкил (последняя группа возможно замещена или оканчивается одной или более чем одной гидроксигруппой), C3-8циклоалкил или фенил (последние две группы возможно замещены одним или более чем одним C1-4алкилом, C1-4алкокси, галогено, гидрокси, нитро, метилендиокси, трифторметилом, N(H)R27 или C(O)OR28); R23 и R27 независимо представляют собой H, C1-4алкил или C(O)R29; R24, R28 и R29 независимо представляют собой H или C1-4алкил; R4 представляет собой H или C1-4алкил; Y представляет собой C1-3алкилен, возможно замещенный C1-4алкилом, метиленом или оксо; n равно 1 или 2; и В представляет собой структурный фрагмент формулы IVa, IVб или IVв ![]() ![]() ,где R5 представляет собой H; и X1 и X2 независимо представляют собой простую связь или CH2; при условии, что когда: (а) B представляет собой структурный фрагмент формулы IVa, в котором R5 представляет собой H, структурный фрагмент формулы IVб, в котором X1 и X2 оба представляют собой CH2, или структурный фрагмент формулы IVв; n равно 1; Y представляет собой незамещенный C1-3алкилен; R4 представляет собой H; и R1 представляет собой H или C1-6алкил; тогда (I) когда q равно 0, a R3 представляет собой H:- (1) R2 не представляет собой незамещенный С1-4алкил, нафтил, индолил или C3-8ациклоалкил или фенил (последние две группы возможно замещены одним или более чем одним C1-4алкилом, C1-4алкокси, галогено, гидрокси, метилендиокси, трифторметилом и C(O)OR24): и (2) группа -(CH2)p-R2 не представляет собой C1-6алкил, замещенный OH: или (II) когда p равно 0, a R2 представляет собой H:- (1) R3 не представляет собой незамещенный C1-6алкил, нафтил, индолил или C3-8циклоалкил или фенил (последние две группы возможно замещены одним или более чем одним C1-4алкилом, C1-4алкокси, галогено, гидрокси, метилендиокси, трифторметилом и C(O)OR28); и (2) группа -(CH2)q-R3 не представляет собой C1-6алкил, замещенный OH; (III) R2 не представляет собой H или незамещенный C1-4алкил, когда R3 представляет собой H или незамещенный C1-6алкил, а общее количество атомов углерода в структурном фрагменте – C((CH2)pR2)((CH2)qR3)- равно шести или менее; (б) B представляет собой структурный фрагмент формулы IVa, в котором R5 представляет собой H, структурный фрагмент формулы IVб, в котором X1 представляет собой CH2, а X2 представляет собой простую связь или CH2, или структурный фрагмент формулы IVв; Y представляет собой незамещенный C1алкилен или C2алкилен, возможно замещенный (в 4-положении относительно N-атома) C1-4алкилом; R4 представляет собой H; и R1 представляет собой H или C1-4алкил; тогда (I) когда группа -(CH2)q-R3 представляет собой H или C1-4алкил:- (1) группа -(CH2)q-R2 не представляет собой C1-8алкил; и (2) p не равно 0, 1 или 2, когда R2 представляет собой нафтил, незамещенный C3-8циклоалкил или фенил (последняя группа возможно замещена C1-4алкилом, C1-4алкокси, галогено и гидрокси); или (II) когда группа -(CH2)p-R2 представляет собой H или C1-4алкил:- (1) группа -(CH2)q-R3 не представляет собой C1-8алкил, и (2) q не равно 0, 1 или 2, когда R3 представляет собой нафтил, незамещенный C3-8циклоалкил или фенил (последняя группа возможно замещена C1-4алкилом, C1-4алкокси, галогено и гидрокси); и (в) B представляет собой структурный фрагмент формулы IVa, структурный фрагмент формулы IVб, в котором X1 и X2 оба представляют собой CH2, или структурный фрагмент формулы IVв: Y представляет собой незамещенный C1-3алкилен или C3алкилен, замещенный (в 4-положении относительно N-атома) C1-4алкилом; R4 представляет собой H; и R1 представляет собой H, тогда (I) когда q равно 0, R3 представляет собой H, и p равно 0 или 1, то R2 не представляет собой фенил, возможно замещенный:- (1) заместителями в количестве от одного до пяти, выбранными из фторо и хлоро; (2) заместителями в количестве от одного до трех, выбранными из бромо, C1-4алкила, C1-4алкокси и гидрокси: (3) одной или двумя C(O)OR24 группами; и/или (4) одной трифторметильной или нитрогруппой; и (II) когда p равно 0, R2 представляет собой H, и q равно 0 или 1, то R3 не представляет собой фенил, возможно замещенный:- (1) заместителями в количестве от одного до пяти, выбранными из фторо и хлоро; (2) заместителями в количестве от одного до трех, выбранными из бромо, C1-4алкила, C1-4алкокси и гидрокси; (3) одной или двумя C(O)OR28 группами; и/или (4) одной трифторметильной или нитрогруппой; или его фармацевтически приемлемая соль (далее соединение по изобретению). Когда B представляет собой структурный фрагмент формулы IVa, IVв или IVб, в последнем из которых X1 и X2 оба представляют собой CH2, предпочтительные соединения по изобретению включают в себя те, в которых n равно 1. Когда B представляет собой структурный фрагмент формулы IVб, где X1 представляет собой простую связь, а X2 представляет собой либо простую связь, либо CH2, предпочтительными соединениями по изобретению являются те, в которых n равно 2. Когда B представляет собой структурный фрагмент формулы IVa, предпочтительными являются соединения по изобретению, в которых R5 представляет собой H. Наиболее предпочтительными из указанных выше соединений формулы I являются те, в которых: R4 представляет собой H, p равно 0; Y представляет собой CH2, (CH2)2, (CH2)3, CH2CН(CH3)CH2, CH2C(=O)CH2 или CH2C(=CH2)CH2, более предпочтительно, когда Y представляет собой CH2, (CH2)2 или CH2C(=O)CH2; R1 представляет собой H, метил, 2,3-дигидроксипропил или (2,2-диметил-1,3-диоксалан-4-ил)метил, более предпочтительно, когда R1 представляет собой H; q равно 0, 1 или 2, более предпочтительно, когда q равно 0, R2 представляет собой H, возможно замещенный C1-4алкил или возможно замещенный фенил, более предпочтительно, когда R2 представляет собой возможно замещенный C1-4алкил, а возможным заместителем является гидроксигруппа; при этом наиболее целесообразно, чтобы гидроксигруппа была присоединена к атому углерода, который является – атомом по отношению к атому углерода, к которому присоединен OR1;предпочтительно также, когда R2 представляет собой H, метил, гидроксиметил или этил; R3 представляет собой C1-6алкил, нафтил, индолил, возможно замещенный циклогексил или возможно замещенный фенил, более предпочтительно – возможно замещенный фенил или возможно замещенный циклогексил. Особо предпочтительны те из описанных выше соединений по изобретению, в которых Y представляет собой CH2 или CH2C(= CH2)CH2, когда R1 и R2 оба представляют собой H, R3 представляет собой незамещенный фенил или незамещенный циклогексил, и q равно 0 или 1, а также те из них, в которых R2 представляет собой метил, гидроксиметил или этил, когда R1 представляет собой H, R3 представляет собой незамещенный фенил или незамещенный циклогексил, и q равно 0 или 1. Особо предпочтительны те из указанных соединений, в которых R3 замещен одной или более чем одной гидрокси, фтор, хлор, метил, метокси, амино, нитро, трифторметил, метилендиокси, этокси или пропоксигруппой, когда он представляет собой возможно замещенный фенил или возможно замещенный циклогексил. Наиболее предпочтительны соединения, в которых R3 замещен одной или более чем одной гидрокси, моно- или дифтор, хлор, метил, метокси или метилендиоксигруппой. Особенно предпочтительными соединениями по изобретению являются те, в которых: Y представляет собой CH2; B представляет собой структурный фрагмент формулы IVa. Предпочтительными также являются соединения по изобретению, в которых – -аминокислотный углерод фрагмента![]() находится в S-конфигурации. Волнистые линии у атомов азота и углерода в вышеуказанном фрагменте обозначают положение связи фрагмента. Когда R1 и R2 оба представляют собой H, и p равно 0, предпочтительными соединениями по изобретению являются те, в которых – углерод фрагмента![]() находится в R-конфигурации. Волнистая линия у атома углерода вышеуказанного фрагмента обозначает положение связи этого фрагмента. Особо предпочтительными также являются соединения по изобретению, где R3 представляет собой фенил, замещенный одним или более чем одним заместителем, выбранным из группы, состоящей из N(H)R27 и галогено. Еще более предпочтительны соединения, где R3 представляет собой фенил, замещенный N(H)R27 и галогено, из них наиболее предпочтительны те, где R3 представляет собой фенил, замещенный N(H)R27 и хлоро. Особо предпочтительными соединениями по изобретению являются: Ch-(R,S)CH(OH)-C(O)-Aze-Pab; Ch-(R)CH(OH)-C(O)-Aze-Pab; Ph-(R)CH(OH)-C(O)-Aze-Pab; Ph(3-Me)-(R,S)CH(OH)-C(O)-Aze-Pab; Ph(3-OMe)-(R,S)CH(OH)-C(O)-Aze-Pab, Ph(3,5-диOMe)-(R,S)CH(OH)-C(O)-Aze-Pab; Ph(3-OMe,4-OH)-(R,S)CH(OH)-C(O)-Aze-Pab; Ph-(R,S)C(Et)(OH)-C(O)-Aze-Pab; Ph-(R,S)C(Et)(OH)-C(O)-Pro-Pab; (Ph)2C(OH)-C(O)-Aze-Pab; Ph(3-OMe,4-OH)-(R,S)CH(OH)-C(O)-Pro-Pab; Ph-(R)CH(OH)-C(O)-Aze-Pac; Ph-(R)CH(OH)-C(O)-(R,S)Pic(cis-4-Me)-Pab; Ph(3,4-(-O-CH2-O-))-(R,S)CH(OH)-C(O)-Aze-Pab; Ph(3-OMe)-(R,S)CH(OH)-C(O)-Pro-Pab; Ph(3,5-диОМе)-(R,S)CH(OH)-C(O)-Pro-Pab; Ph-(R,S)C(Me)(OH)-C(O)-Aze-Pab; Ph(3,5-диMe)-(R,S)CH(OH)-C(O)-Aze-Pab; Ph(3-NH2)-(R,S)CH(OH)-C(O)-Aze-Pab; Ph(3-NH2)-(R,S)CH(OH)-C(O)-Pro-Pab; Ph(3-NO2)-(R,S)CH(OH)-C(O)-Pro-Pab; Ph(3,4-(-O-CH2-O-))-(R,S)CH(OH)-C(O)-Pro-Pab, Ph(3,5-диF)-(R,S)CH(OH)-C(O)-Pro-Pab; Ph-(R)CH(O-CH2-(R,S)CH(-O-C(CH3)2-O-CH2-))-C(O)-Aze-Pab; Ph-(R)C(Me)(OH)-C(O)-Pro-Pab; Ph-(S)C(Me)(OH)-C(O)-Pro-Pab; Ph(3,4-диF)-(R,S)CH(OH)-C(O)-Pro-Pab, Ph-(R)CH(OH)-C(O)-(R,S)Pic(4-метилен)-Pab, Ph(3-Cl)-(R,S)CH(OH)-C(O)-Aze-Pab; Ph-(R,S)C(-O-C(CH3)2-O-CH2-)-C(O)-Aze-Pab; Ph-(R,S)C(-O-C(CH3)2-O-CH2-))-C(O)-Pro-Pab, Ph-(R,S)C(CH2OH)(OH)-C(O)-Aze-Pab или Ph-(R,S)C(CH2OH)(OH)-C(O)-Pro-Pab. Для решения поставленной задачи также предложена фармацевтическая композиция, обладающая активностью ингибитора тромбина, содержащая соединение по изобретению, как оно определено выше, или его фармацевтически приемлемую соль, в смеси с фармацевтически приемлемым адъювантом, разбавителем или носителем. Поставленная задача решается также тем, что предложено соединение по изобретению или его фармацевтически приемлемая соль для применения в качестве фармацевтического средства, для применения при лечении состояния, где требуется ингибирование тромбина, более конкретно, для применения при лечении тромбоза и в качестве антикоагулянта. Предложено также соединение по изобретению или его фармацевтически приемлемая соль для применения в качестве активного ингредиента при производстве лекарства для лечения состояния, где требуется ингибирование тромбина, в частности при производстве лекарства для лечения тромбоза и при производстве антикоагулянта. Задача изобретения решается также тем, что предложен способ лечения состояния, где требуется ингибирование тромбина, при котором воздействуют терапевтически эффективным количеством соединения по изобретению или его фармацевтически приемлемой соли, на лицо, страдающее от такого состояния или склонное к такому состоянию, предпочтительно таким состоянием является тромбоз и гиперкоагуляция в крови и тканях. Для решения поставленной задачи предложен способ получения соединения по изобретению, при котором сочетают соединение формулы V ,где p, q, R1, R2 и R3 такие, как определено выше, с соединением формулы VI ,где R4, Y, n и B такие, как определено выше. Предложен также способ получения соединения по изобретению, при котором сочетают соединение формулы VII, ,где p, q, R1, R2, R3, R4 и Y такие, как определено выше, с соединением формулы VIII H2N-(CH2)n-B, VIII где n и B такие, как определено выше. И наконец, предложено соединение формулы XIV ,где B1 представляет собой структурный фрагмент формулы IVг, IVд или IVe ![]() ![]() ![]() D1 и D2 независимо представляют собой H или бензилоксикарбонил и p, q, R1, R2, R3, R4, Y, n, R5, X1 и X2 такие, как определено выше, при условии, что D1 и D2 не оба представляют собой H. Соединения по изобретению могут проявлять таутомерию. Все таутомерные формы и их смеси включены в рамки данного изобретения. Соединения по изобретению могут также содержать один или более чем один асимметричный атом углерода и, следовательно, могут проявлять оптическую изомерию и/или диастереоизомерию. Все диастереоизомеры могут быть разделены с использованием традиционных методик, например хроматографией или фракционной кристаллизацией. Разные стереоизомеры могут быть выделены путем разделения рацемической или другой смеси соединений с использованием традиционных методик, например фракционной кристаллизации или HPLC (жидкостная хроматография высокого разрешения). Альтернативно, желаемые оптические изомеры могут быть получены взаимодействием подходящих оптически активных исходных материалов в условиях, не допускающих рацемизации или эпимеризации, или путем получения производных, например с гомохиральной кислотой, с последующим отделением диастереомерных эфиров традиционными способами (например, HPLC или хроматографией на диоксиде кремния). Все стереоизомеры включены в рамки данного изобретения. Алкильные группы, которыми могут быть представлены R1, Rx, Ry, R2, R3, R4, R5, R23, R24, R27, R28 и R29 либо которыми могут быть замещены R2, R3 и Y; циклоалкильные группы, которыми могут быть представлены R2, R3 и алкоксигруппы, которыми могут быть замещены R2 и R3, могут быть линейными или разветвленными, насыщенными или ненасыщенными. Алкиленовые группы, которыми могут быть представлены A1 и Y, могут быть насыщенными или ненасыщенными. Галогеновые группы, которыми может быть представлен R5 и которыми могут быть замещены R2 и R3, включают в себя фтор, хлор, бром и йод. Волнистые линии у атомов углерода на фрагментах формул Iа, Iб, IVa, IVб и IVв обозначают положение связи фрагмента. Аббревиатуры перечислены в конце описания изобретения. Получение соединений по изобретению предложенными способами можно осуществлять, например, в присутствии системы сочетания (например, оксалилхлорида в DMF, EDC, DCC или TBTU), соответствующего основания (например, пиридина, DMAP или DIPEA) и подходящего органического растворителя (например, дихлорметана, ацетонитрила или DMF). Соединения формулы V являются либо коммерчески доступными, хорошо известными из литературы, либо их можно получить с помощью известных методик. Например, соединения формулы V, где R1 и R2 оба представляют собой H, p и q равны 0, и R3 представляет собой нафтил или фенил, возможно замещенный одним или более чем одним C1-4алкилом, C1-4алкокси, галогеном, гидрокси, метилендиокси, нитро, трифторметилом, N(H)R27 или C(O)R28, могут быть получены путем взаимодействия альдегида формулы IX R3aCHO, IX где R3a представляет собой нафтил или фенил, возможно замещенный одним или более чем одним C1-4алкилом, C1-4алкокси, галогеном, гидрокси, метилендиокси, нитро, трифторметилом, N(H)R27 или C(O)OR28, и R27 и R28 такие, как определено выше, с: (1) соединением формулы X R”CN, X где R” представляет собой H или (CH3)3Si, например при повышенной температуре (например, выше комнатной, но ниже 100oC) в присутствии подходящего органического растворителя (например, хлороформа) и, при необходимости, в присутствии подходящей каталитической системы (например, хлорида бензиламмония) с последующим гидролизом в присутствии соответствующего основания (например, NaOH); (2) хлороформом, например при повышенной температуре (например, выше комнатной, но ниже 100oC) в присутствии подходящего органического растворителя (например, хлороформа) и, при необходимости, в присутствии подходящей каталитической системы (например, хлорида бензиламмония) с последующим гидролизом в присутствии соответствующего основания (например, NaOH); (3) соединением формулы XI ,где M представляет собой Mg или Li, с последующим окислительным расщеплением (например, озонолизом или катализируемым осмием или рутением) в условиях, хорошо известных специалистам, или (4) трис(метилтио)метаном при условиях, хорошо известных специалистам, с последующим гидролизом в присутствии соответствующего основания. Соединения формулы V, где R1 представляет собой H, R2 представляет собой CH2OH, p и q оба равны 0, и R3 представляет собой нафтил или фенил, возможно замещенный одним или более чем одним C1-4алкилом, C1-4алкокси, галогеном, гидрокси, метилендиокси, нитро, трифторметилом, N(H)R27 или C(O)OR28, могут быть получены путем взаимодействия соединения формулы XII R3aC(O)C2H5, XII где R3a такой, как определено выше, с гипохлоритом натрия, например при комнатной температуре в присутствии подходящего растворителя (например, воды). Соединения формулы VI и VII являются либо коммерчески доступными, хорошо известными из литературы, либо могут быть получены с использованием известных методик. Например, соединения формулы VI могут быть получены стандартным пептидным сочетанием соединения формулы XIII ,где R4 и Y такие, как определено выше, с соединением формулы VIII, как определено выше, например в условиях, таких как описано выше для синтеза соединения формулы I. Аналогично, соединение формулы VII может быть также получено стандартным пептидным сочетанием соединения формулы XIII, как оно определено выше, с соединением формулы V, как оно определено выше, например в условиях, таких как описано выше для синтеза соединения формулы I. Соединения формулы VIII, IX, X, XI. XII и XIII являются либо коммерчески доступными, хорошо известными из литературы, либо могут быть получены с использованием известных методик. Заместители на фенильной группе в соединениях формулы V, VII, IX и XII могут быть подвергнуты взаимопревращению с помощью хорошо известных специалистам методик. Соединения по изобретению могут быть выделены из их реакционных смесей с использованием традиционных методик. Специалисту очевидно, что в описанном выше способе может возникнуть необходимость в защите функциональных групп промежуточных соединений защитными группами. Функциональные группы, которые желательно защитить, включают в себя гидрокси, амино, амидино, гуанидиногруппы и карбоновую кислоту. Подходящие защитные группы для гидроксила включают в себя триалкилсилил и диарилалкилсилилгруппы (например, трет-бутилдиметилсилил, трет-бутилдифенилсилил или триметилсилил) и тетрагидропиранил. Подходящие защитные группы для гидроксигрупп, присоединенных к соседнему атому углерода, включают в себя O,O’-изопропилиден. Подходящие защитные группы для амино, амидино и гуaнидинoгрупп включают в себя трет-бутилоксикарбонил или бензилоксикарбонил. Атомы азота амидино и гуанидиногрупп могут быть либо моно-, либо дизащищенными. Подходящие защитные группы для карбоновой кислоты включают в себя C1-6алкиловые или бензиловые эфиры. Введение и снятие защиты с функциональных групп могут иметь место до или после реакции сочетания. В частности, соединения по изобретению могут быть получены способом, включающим сочетание N-ацилированных аминокислот или N-защищенных аминокислот. Когда используют N-защищенные аминокислоты, тогда ацильная группа может быть введена после сочетания, а снятие защиты с атома азота может быть затем осуществлено с использованием стандартных способов. Защитные группы могут быть удалены согласно известным специалистам методикам и как описано ниже. Некоторые защищенные промежуточные соединения формулы I, в которых атомы азота амидино и гуанидиногрупп в B защищены и которые могут быть получены до стадии окончательного снятия защиты с образованием соединений по изобретению, являются новыми. Применение защитных групп в полной мере описано в “Protective Groups in Organic Chemistry” под ред. J. W. F. McOmie, Plenum Press (1973), и в “Protective Groups in Organic Synthesis”, 2-е издание, T.W. Greene and P.G. M. Wutz, Wiley-Interscience (1991). Специалисту также очевидно, что хотя такие защищенные производные соединений формулы I сами по себе могут не обладать фармакологической активностью, однако они могут быть введены парентерально или перорально и с этого времени могут подвергаться метаболизму в организме с образованием соединений по изобретению, которые являются фармакологически активными. Такие производные, следовательно, могут быть определены как “пролекарства”. Все пролекарства соединений формулы I включены в рамки данного изобретения. Защищенные производные соединений формулы I, которые являются особенно полезными в качестве пролекарств, включают в себя соединения формулы XIV. Как уже упоминалось выше, соединения по изобретению могут быть использованы для лечения состояний, где требуется ингибирование тромбина, в частности тромбоза. Соединения по изобретению также показаны при лечении состояний, при которых имеется нежелательный избыток тромбина без признаков гиперкоагуляции, например при нейродегенеративных заболеваниях, таких как болезнь Альцгеймера. Конкретные болезненные состояниями, которые следует упомянуть, включают в себя лечение и/или профилактику тромбоза вен и эмболию легких, тромбоза артерий (например, при нестабильной стенокардии инфаркта миокарда, при ударе в результате тромбоза и при периферическом артериальном тромбозе) и системной эмболии обычно из предсердия при артериальной фибрилляции или из левого желудочка после трансмурального инфаркта миокарда. Более того, ожидается, что соединения по изобретению найдут применение при профилактике повторной закупорки (то есть тромбоза) после тромболиза, чрескожной внутрипросветной ангиопластики (РСТА), операций коронарного шунтирования, микрохирургии и сосудистой хирургии в целом. Далее, показания включают в себя лечение и профилактику диссеминированной внутрисосудистой коагуляции, вызываемой бактериями, множественными травмами, интоксикацией или любым другим механизмом; лечение антикоагулянтами, когда кровь находится в контакте с чужеродными поверхностями в организме, такими как сосудистые трансплантаты, сосудистые стенты, сосудистые катетеры, механические и биологические протезы клапанов или любые другие медицинские устройства: лечение антикоагулянтами, когда кровь находится в контакте с медицинскими устройствами вне организма, такими как во время сердечно-сосудистой хирургии с использованием аппарата “сердце-легкое” или при гемодиализе. Известно, что, кроме его влияния на процесс коагуляции, тромбин активирует большое число клеток (таких как нейтрофилы, фибробласты, эндотелиальные клетки и клетки гладкой мускулатуры). Следовательно, соединения по изобретению можно также использовать для лечения или профилактики идиопатического или респираторного дистресс-синдрома взрослых, легочного фиброза вследствие лечения радиацией или химиотерапией, септического шока, септицемии, воспалительных реакций, которые включают в себя, но не ограниченно, отек, острый или хронический атеросклероз, такой как коронарное артериальное заболевание, церебральное артериальное заболевание, периферическое артериальное заболевание, реперфузионное повреждение и рестеноз после чрескожной внутрипросветной ангиопластики (РТСА). Соединения по изобретению, которые ингибирует трипсин и/или тромбин, могут быть также полезными при лечении панкреатита. Соединения по изобретению обычно следует вводить перорально, подкожно, трансбуккально, ректально, трансдермально, назально, через трахею, через бронхи или любым другим парентеральным путем или с помощью ингаляции, в форме фармацевтических препаратов, содержащих активный ингредиент, либо в виде свободного основания, либо в виде фармацевтически приемлемой нетоксичной соли присоединения органической или неорганической кислоты, в фармацевтически приемлемой форме стандартной дозы. В зависимости от заболевания и пациента, которого должно лечить, и способа введения, эти композиции могут вводиться в различных дозах. Соединения по изобретению можно также комбинировать с любым антитромботическим агентом любого механизма действия, таким как противотромбоцитные агенты, ацетилсалициловая кислота, тиклопидин, клопидогрель, ингибиторы тромбоксанового рецептора и/или синтетазы, антагонисты рецептора фибриногена, миметики простациклина и ингибиторы фосфодиэстеразы. Соединения по изобретению далее можно комбинировать с тромболитиками, такими как тканевый плазминогенный активатор (природный или рекомбинантный), стрептокиназа, урокиназа, проурокиназа, анизолированный комплекс стрептокиназы и активатора плазминогена (ASPAC), активаторы плазминогена слюнных желез живтоных и т.п., при лечении тромботических заболеваний, в частности инфаркта миокарда. Подходящими суточными дозами соединений по изобретению при терапевтическом лечении человека являются дозы приблизительно 0,001-100 мг/кг веса тела при пероральном введении и 0,001-50 мг/кг веса тела при парентеральном введении. Соединения по изобретению обладают преимуществом, которое заключается в том, что они могут быть более эффективными, менее токсичными, могут действовать продолжительнее, иметь более широкий спектр активности, быть более сильными, давать меньше побочных эффектов, легче абсорбироваться или иметь другие полезные фармакологические свойства по сравнению с известными соединениями. Биологические испытания Тест А Определение тромбинового времени свертывания (ТТ) Человеческий тромбин (Т 6769, Sigma Chem Co) в буферном растворе, pH 7,4, 100 мкл, и раствор ингибитора, 100 мкл, инкубировали в течение 1 мин. Затем добавляли пулированную нормальную цитратную человеческую плазму, 100 мкл, и измеряли время образования сгустка в автоматическом устройстве (КС 10, Amelung). Строили зависимость времени свертывания в секундах от концентрации ингибитора, и путем интерполяции определяли IC50TT. IC50TT представляет собой концентрацию ингибитора, которая удваивает тромбиновое время свертывания для человеческой плазмы. Тест Б Определение парциального активированного тромбопластинового времени (АРТТ) АРТТ определяли в пулированной нормальной цитратной человеческой плазме с помощью реагента РТТ Automated 5, выпускаемого фирмой Stago. К плазме добавляли ингибиторы (10 мкл раствора ингибитора на 90 мкл плазмы), затем реагент и раствор хлорида кальция, и АРТТ определяли в смеси путем использования анализатора коагуляции КС 10 (Amelung) согласно инструкциям производителя реагента. Строили зависимость времени свертывания в секундах от концентрации ингибитора и путем интерполяции определяли IC50APTT. IC50APTT определяют как концентрацию ингибитора в человеческой плазме, которая удваивает парциальное активированное тромбопластиновое время. Тест В Определение тромбинового времени ex vivo Ингибирование тромбина после перорального или парентерального введения соединений по изобретению исследовали на крысах, находящихся в сознании, которым за один или два дня до эксперимента был установлен катетер для взятия образцов крови из сонной артерии. В день эксперимента образцы крови отбирали в фиксированное время после введения соединения в пластиковые пробирки, содержащие 1 часть раствора цитрата натрия (0,13 моль/литр) и 9 частей крови. Пробирки центрифугировали с получением обедненной тромбоцитами плазмы. Эту плазму использовали для определения тромбинового времени, как описано ниже. Цитратную плазму крыс, 100 мкл, разбавляли физиологическим раствором, 0,9%, 100 мкл, и коагуляцию плазмы инициировали добавлением человеческого тромбина (T 6769, Sigma Chem Co, USA) в буферном растворе, pH 7,4, 100 мкл. Время свертывания измеряли в автоматическом устройстве (KC 10, Amelung, Germany). В тех случаях, когда вводили соединение формулы XIV, концентрации соответствующего активного ингибитора тромбина формулы I в плазме крыс оценивали с использованием стандартных кривых зависимости тромбинового времени в пулированной цитратной плазме крыс от известных концентраций соответствующих “активных” ингибиторов тромбина, растворенных в физиологическом растворе. Тест Г Определение тромбинового времени в моче ex vivo Находящихся в сознании крыс помещали в камеру для исследования метаболизма на 24 ч после перорального введения соединений по изобретению. Тромбиновое время определяли по собранной моче, как описано ниже. Пулированную нормальную цитратную человеческую плазму (100 мкл) инкубировали с концентрированной мочой крыс, или ее разведениями в физиологическом растворе, в течение 1 мин. Затем инициировали коагуляцию плазмы путем введения человеческого тромбина (T 6769, Sigma Chem Company) в буферном растворе (pH 7,4; 100 мкл). Время свертывания измеряли в автоматическом устройстве (KC 10, Amelung). В тех случаях, когда вводили соединение формулы XIV, концентрации соответствующих активных ингибиторов тромбина формулы I в моче крыс оценивали с использованием стандартных кривых зависимости тромбинового времени в пулированной нормальной цитратной плазме крыс от известных концентраций соответствующих “активных” ингибиторов тромбина, растворенных в концентрированной моче крыс (или ее разведениях в физиологическом растворе). Умножая общую продукцию мочи крыс за 24 ч на установленную среднюю концентрацию упомянутого выше активного ингибитора в моче, можно подсчитать количество экскретированного активного ингибитора. Изобретение иллюстрируется следующими примерами. Примеры Общие экспериментальные методики Масс-спектры регистрировали на Finnigan MAT TSQ 700 триплетно- квадрупольном масс-спектрометре, снабженном электрорассеивающей поверхностью (FAB-MS), и VG Platform II масс-спектрометре, снабженном электрорассеивающей поверхностью (LC-MS). Измерения 1H ЯМР и 13C ЯМР проводили на BRUKER АСР 300 и Varian UNITY plus 400 и 500 спектрометрах, действующих на 1H частотах 300,13, 399,96 и 499,82 МГц соответственно, и на 13C частотах 75,46, 100,58 и 125,69 МГц соответственно. Пример 1 Ch-(R,S)CH(OH)-C(O)-Aze-Pab HCl(1) Boc-Aze-OH Ди-трет-бутил дикарбонат (13,75 г; 63 ммоль) добавляют при перемешивании при комнатной температуре к смеси 5,777 г (57 ммоль) L- азетидин-2-карбоновой кислоты (H-Aze-OH) и 6,04 г (57 ммоль) карбоната натрия в 50 мл воды и 100 мл THF. Через 60 ч THF удаляют в вакууме, разбавляют смесь водой и подкисляют 2 М гидросульфата калия. После экстрагирования метиленхлоридом с последующим высушиванием (сульфат магния) и выпариванием растворителя получают остаток, который перекристаллизовывают из метиленхлорида с получением 10,87 г (95%) бесцветных кристаллов. 1H ЯМР (300 МГц, CDCl3): 4,85 – 4,7(br s, 1), 4,0-3,75 (m, 2), 2,65-2,35 (m, 2), 1,4 (s, 9).
(2) Boc-Aze-Pab(Z)При комнатной температуре добавляют EDC (13,5 г, 70 ммоль) к смеси Boc-Aze-OH (10,87 r, 54 ммоль; из стадии (1), приведенной выше), H-Pab(Z) HCl (18,31 г, 57 ммоль; получено согласно способу, описанному в Международной заявке WO 94/29336) и DMAP (9,9 г; 81 ммоль) в ацетонитриле (270 мл). Через 16 ч растворитель удаляют в вакууме и заменяют этилацетатом. Смесь промывают водой и водным раствором лимонной кислоты. Органический слой высушивают (сульфат магния) и удаляют растворитель в вакууме с получением остатка, который после кристаллизации из смеси метиленхлорида, толуола, диизопропилового эфира и петролейного эфира дает Boc-Aze-Pab(Z) (17,83 г).
1H ЯМР (300 МГц; CDCl3): 7,85-7,75 (d, 1), 7,45-7, (m, 7), 5,2 (s,2), 4,7 (t,1), 4,6-4,4 (m,2), 3,95-3,8 (“q”, 1), 3,8-3,7 (q, 1), 2,5-2,3 (m, 2), 1,4 (s, 9).
(3) H-Aze-Pab(Z)Boc-Aze-Pab(Z) (2,44 г, 5,2 ммоль; из стадии (2), приведенной выше) растворяют в смеси 10 мл трифторуксусной кислоты и 10 мл метиленхлорида. Через 30 мин растворитель и трифторуксусную кислоту удаляют в вакууме и остаток растворяют в метиленхлориде. Органическую фазу промывают 10%-ным карбонатом натрия и высушивают (карбонат калия). Удаляют растворитель в вакууме с получением остатка, который после кристаллизации из метиленхлорида дает H-Aze-Pab(Z) (1,095 г; 57%) в виде бесцветных кристаллов. 1H-ЯМР (300 МГц; CD3OD): 7,85-7,75 (d,2), 7,45-7,25 (m,7), 5,2 (s,2), 4,5 (s,2), 4,3 (d,1), 3,65 (q,1), 3,4-3,3 (m,1), 2,7-2,5 (m,1), 2,4-2,2 (m, 1).
(4) Ch-(R,S)CH(OH)-C(O)-Aze-Pab(Z)Получают согласно способу, описанному Kelly and LaCour (Synth. Comm. 22, 859 (1992)), следующим образом. К раствору (R,S)- гексагидроминдальной кислоты (0,30 г, 1,9 ммоль), каталитического количества DMAP и пиридина (0,31 г, 3,9 ммоль) в метиленхлориде (5 мл) по каплям добавляют TMSCl (0,42 г, 3,9 ммоль). Реакционную смесь перемешивают при комнатной температуре в течение 4 ч. Реакционную смесь охлаждают до 0oC и добавляют каталитическое количество DMF (3 капли из шприца на 2 мл), а затем оксалилхлорид (0,25 г, 2,0 ммоль). Реакционную смесь перемешивают в течение 1 ч при 0oC, добавляют смесь H-Aze-Pab(Z) (0,67 r, 1,8 ммоль, из стадии (3), приведенной выше) и пиридина (0,50 г, 6,3 ммоль), и дают возможность реакционной смеси нагреться до комнатной температуры и перемешивают в течение ночи. К реакционной смеси добавляют 10%-ный раствор лимонной кислоты в метаноле (6 мл). Через 30 мин реакционную смесь выливают в делительную воронку, разбавляют 30 мл этилацетата и экстрагируют водную фазу этилацетатом. Объединенные органические слои промывают насыщенным раствором бикарбоната, а затем рассолом и высушивают (Na2SO4). После выпаривания и флэш-хроматографии на силикагеле с использованием смеси метиленхлорид:метанол (от 99:1 до 92:8) в качестве элюента получают указанное в подзаголовке соединение (60 мг, 6%). 1H ЯМР (300 МГц; CDCl3): 1,0-1,9(m, 11H), 2,4- 2,7 (m, 2H), 3,80 (d, 1H), 4,05-4,25 (m, 1H), 4,3-4,5 (m, 2H), 4,85- 5,0 (m, 1H), 5,18 (s, 2H), 7,1-7,5 (m, 7H), 7,65-7,8 (m, 2H) 7,86 (bt, 1H, минорный диастереомер и/или ротамер), 8,33 (bt, 1H, мажорный диастереомер и/или ротамер).
13C ЯМР (75 МГц; CDCl3) амидиновые и карбонильные углероды: 174,8, 170,6, 168,0 и 164,5.
(5) Ch-(R,S)CH(OH)-C(O)-Aze-Pab HClCh-(R,S)CH(OH)-C(O)-Aze-Pab(Z)(60 мг, 0,12 ммоль; из стадии (4), приведенной выше) растворяют в этаноле (5 мл) и добавляют 5%-ный Pd/C и HCl (0,1 мл; конц). Смесь гидрогенизируют при атмосферном давлении в течение 2 ч. После фильтрации и выпаривания продукт очищают препаративной RPLC с использованием (0,005 М NH4OAc, 0,005 М HOAc):CH3CN 4:1 в качестве элюента. После высушивания замораживанием добавляют HCl (водный) и раствор высушивают замораживанием. Выход продукта, указанного в заголовке, составляет 15 мг (31%). 1H-ЯМР (300 МГц; D2O) спектр усложнен благодаря диастереомерам и/или ротамерам: 0,7-2,0 (m, 11H), 2,25- 2,4 (m, 1H), 2,65-2,9 (m, 1H), 3,79 (d, 1H, минорный), 4,03 (d, 1H, мажорный), 4,05-4,15 (m, 2H, минорный), 4,35- 4,45 (m (bt), 2H, мажорный), 4,5-4,6 (m, 2H), 5,20 (m, 1H, минорный: мажорный сигнал частично перекрывается сигналом HOD), 7,5-7,65 (m, 2H), 7,75-7,85 (m, 2H).
13C ЯМР (75 МГц; CDCl3) амидиновые и карбонильные углероды (диастереомеры и/или ротамеры): 176,3, 175,4, 173,7. 173,3, 167,2 и 167,0.
Пример 2Ch-(R)CH(OH)-C(O)-Aze-Pab HCl(1) Ch-(R)CH(OH)-C(O)-Aze-Pab(Z) Указанное в подзаголовке соединение получают согласно способу, описанному в примере 1(4), с (R)-гексагидроминдальной кислотой (от 0.60 г; 3,8 ммоль) с выходом 0,15 г (10%). (2) Ch-(R)CH(OH)-C(O)-Aze-Pab HClУказанное в заголовке соединение получают согласно способу, описанному в примере 1 (5), из Ch-(R)CH(OH)-C(O)-Aze-Pab(Z) (0,12 г, 0,24 ммоль; из стадии (1), приведенной выше). Выход: 52 мг (54%). 1H ЯМР (300 МГц; D2O) спектр усложнен благодаря ротамерам: 0,7-2,0 (m, 11H), 2,25-2,4 (m, 1H), 2,6-2,9 (m, 1H), 3,79 (d, 1H, минорный), 4,02 (d, 1H, мажорный), 4,05-4,15 (m, 2H, минорный), 4,35-4,45 (m (bt), 2H, мажорный), 4,5-4,6 (m, 2H), 5,19 (m, 1H, минорный; мажорный сигнал частично перекрывается сигналом HOD), 7,5-7,65 (m, 2H), 7,75-7,85 (m, 2H).
13C ЯМР (75 МГц; CDCl3) амидиновые и карбонильные углероды (ротамеры): 171,9, 170,2, 169,8 и 163,8.
Пример 3(Et)2C(OH)-C(O)-Aze-Pab HCl(1)H-Aze-Pab(Z) 2HClУказанное в подзаголовке соединение получают путем взаимодействия Boc-Aze-Pab(Z) (смотри пример 1(2), приведенный выше) с EtOAc, насыщенным газообразным HCl. Реакционную смесь через полчаса выпаривают с получением H-Aze-Pab(Z) 2HCl с количественным выходом.
(2) (Et)2C(OH)-C(O)-Aze-Pab(Z)Смесь диэтилгликолевой кислоты (0,13 г; 0,80 ммоль), H-Aze-Pab(Z) 2HCl (0,39 г; 0,88 ммоль, из стадии (1), приведенной выше), TBTU (0,28 г, 0,88 ммоль) в DMF (15 мл) охлаждают на ледяной бане. Добавляют DIPEA (0,41 г, 3,2 ммоль) и перемешивают реакционную смесь при комнатной температуре в течение ночи. Полученную смесь выливают в 500 мл воды и экстрагируют 3 раза этилацетатом. Объединенную органическую фазу промывают водным NaHCO3 и водой, высушивают (Na2SO4) и выпаривают. Неочищенный продукт подвергают флэш-хроматографии на силикагеле с использованием смеси метиленхлорид: THF в качестве элюента. Выход: 30 мг (8%).
1H-ЯМР (400 МГц: CDCl3): 8,04 (bt, 1H), 7.77 (d, 2H), 7,40 (d, 2H), 7,35-7,2 (m, 5H), 5,17 (s, 2H). 4,90 (m, 1H), 4,46 (dd, 1H), 4,39 (dd, 1H), 4,3-4,2 (m, 2H), 2,66 (m, 1H), 2,44 (m, 1H), 1,8-1,5 (m, 4H), 0,9-0,75 (m, 6H).
(3) (Et)2C(OH)-C(O)-Aze-Pab HClУказанное в заголовке соединение получают согласно способу, описанному в примере 1(5), из (Et)2C(OH)-C(O)-Aze-Pab(Z) (30 мг; 0,063 ммоль; из стадии (2), приведенной выше). Выход: 19 мг (79%). 1H ЯМР (300 МГц; D2O) спектр усложнен благодаря ротамерам: 7,80 (d, 2H), 7,65-7,5 (m, 2H), 5,43 (m, 1H, минорный ротамер), 4,90 (m,1H,мажорный ротамер), 4,6-4,5 (m, 3H), 4,11 (m, 1H, ротамер), 3,70 (m, 1H, ротамер), 2,8-2,55 (m, 1H), 2,35-2,15 (m, 1H), 1,9-1,6 (m, 4H), 1,0-0,75 (m, 6H).
13C ЯМР (75 МГц; CDCl3) амидиновые и карбонильные углероды (ротамеры): 178,3, 177,4, 175,0, 173,5 и 167,2.
Пример 4(Ph)2C(OH)-C(O)-Aze-Pab HCl(1) (Ph)2C(OH)-C(O)-Aze-Pab(Z) Указанное в подзаголовке соединение получают согласно способу, описанному в примере 3(2), из бензиловой кислоты (0,18 г; 0,80 ммоль). Выход: 0,16 г (35%). 1H ЯМР (300 МГц; D2O): 7,93 (bt, 1H), 7,71 (d, 2H), 7,54-7,15 (m, 17H), 5,14 (s, 2H), 4,89 (m, 1H), 4,57 (m, 1H), 4,48 (dd, 1H), 4,35 (dd, 1H), 3,60 (m, 1H), 3,44 (m, 1H), 2,44 (m, 1H), 2,23 (m, 1H).
(2) (Ph)2C(OH)-C(O)-Aze-Pab HClУказанное в заголовке соединение получают согласно способу, описанному в примере 1(5), из (Ph)2C(OH)-C(O)-Aze-Pab(Z) (0,16 г; 0,28 ммоль; из стадии (1), приведенной выше). Выход: 90 мг (68%). 1H ЯМР (400 МГц; D2O) спектр усложнен благодаря ротамерам: 7,65-7,55 (m, 2H), 7,4-7,1 (m, 12H), 5,13 (m, 1H, минорный ротамер), 4,77 (m, 1H, мажорный ротамер), 4,43 (d, 1H), 4,40 (d, 1H), 4,12 (m, 1H, мажорный ротамер), 4,05-3,9 (m, 1H, плюс 1H минорный ротамер), 2,55 (m, 1H, минорный ротамер), 2,39 (m, 1H, мажорный ротамер), 2,08 (m, 1H).
13C ЯМР (75 МГц; D2O) амидиновые и карбонильные углероды (ротамеры): 175,7, 174,9, 174,6, 173,4 и 167,1.
Пример 5n-C6H13-(R,S)CH(OH)-C(O)-Aze-Pab HCl(1) n-C6H13-(R,S)CH(OH)-C(O)-Aze-Pab(Z) Указанное в подзаголовке соединение получают согласно способу, описанному в примере 3(2), из (R,S)-2-гидроксиоктановой кислоты (0,13 г; 0,80 ммоль) с выходом 0,25 г (61%). 1H ЯМР (400 МГц: CDCl3): 8,24 (bt, 1H, один диастереомер), 7,89 (bt, 1H, один диастереомер), 7,8-7,75 (m, 2H), 7,4-7,45 (m, 2H), 7,35-7,25 (m, 5H), 5,18 (s, 2H), 4,95-4,85 (m, 1H), 4,55-4,35 (m, 2H), 4,2-4,0 (m, 3H), 2,8-2,65 (m, 1H), 2,6-2,4 (m, 1H), 2,0-1,2 (m, 10H), 0,9-0,8 (m, 3H).
(2) n-C6H13-(R,S)CH(OH)-C(O)-Aze-Pab HClУказанное в заголовке соединение получают согласно способу, описанному в примере 1(5), из n-C6H13-(R,S)CH(OH)-C(O)-Aze-Pab(Z) (0,14 г, 0,28 ммоль; из (1), приведенной выше) с выходом 88 мг (78%). 1H ЯМР (400 МГц; D2O): 7,7-7,6 (m, 2H), 7,45-7,3 (m, 2H), 5,03 (m, 1H, один диастереомер), 4,74 (m, 1H, один диастереомер частично перекрывается сигналом воды), 4,45-4,35 (m, 2H), 4,3-4,1 (m, 2H), 4,0-3,8 (m, 1H), 2,65-2,45 (m, 1H), 2,3-2,1 (m, 1H), 1,6-0,9 (m, 10H), 0,75-0,65 (m, 3H).
13C ЯМР (75 МГц; D2O) амидиновые и карбонильные углероды (ротамеры): 176,8, 176,0, 173,5, 173,3, 173,2 и 167,2.
Пример 6Ph-(R)CH(OH)-C(O)-Aze-Pab (1) Ph-(R)CH(OH)-C(O)-Aze-Pab(Z) Указанное в подзаголовке соединение получают согласно способу, описанному в примере 3(2), из (R)-миндальной кислоты (0,12 г; 0,8 ммоль). Неочищенный продукт (0,315 г) очищают флэш-хроматографией (Si-гель; THF:EtOAc (6: 4)). Выход 0,128 г (32%) белого порошка, чистота 91,2% (HPLC). 1H ЯМР (499,803 МГц; CDCl3): 8,14 (t, 1H), 7,72 (d, 2H), 7,42 (d, 2H), 7,33 (t, 4H), 7,28 (m, 3H), 7,22 (d, 2H), 5,18 (s, 2H), 4,92 (s, 1H), 4,79 (dd, 1H), 4,54 (широкий s, 1H), 4,39 (d, 2H), 4,00 (q, 1H), 3,53 (q, 1H), 2,48 (m, 1H), 2,24 (m, 1H), 2,19 (широкий s, 1H)13C ЯМР (125,688 МГц; CDCl3) (карбонильные и амидиновые углероды): 173,1, 170,3, 168,1, 164,5.
(2) Ph-(R)CH(OH)-C(O)-Aze-PabPh-(R)CH(OH)-C(O)-Aze-Pab(Z) (107 мг; 0,214 ммоль: из стадии (1), приведенной выше) растворяют в смеси THF:вода (2:1), добавляют 37 мг Pd/C (4 мол% Pd) и гидрогенизируют полученный раствор в течение 6 ч. Раствор фильтруют через фильтры hyflo и выпаривают до сухости. К полученному белому порошку добавляют 20 мл воды, подкисленной 0,42 мл 1 М HCl (примерно 2 экв.). Полученный раствор промывают 5 мл EtOAc и 10 мл диэтилового эфира и дважды высушивают замораживанием. Выход: 72 мг (84%) белого порошка. Чистота 91% (HPLC). 1H ЯМР (399,968 МГц: D2O): 7,57 (t, 2H), 7,36 (d, 1H), 7,32 (s, 3), 7,27 (s, 1H), 7,25 (d, 1H), 7,19 (m, 1H), 5,17 (s, 1H, мажорный), 5,09 (s, 1H, минорный), 5,00 (dd, 1, минорный), 4,38 (s, 2, мажорный), 4,20 (dd, 1H, мажорный), 3,98 (dd, 2H, минopный), 3,97 (m, 1H, мажорный), 3,75 (dd, 1H), 2,68 (s, 1H, минорный), 2,65 (m, 1H, минорный), 2,35 (m, 1H, мажорный), 2,12 (m, 1H, мажорный), 2,03 (m, 1H, минорный).
13C ЯМР (111,581 МГц; D2O) (карбонильные и амидиновые углероды): 174,5, 173,2, 172,5, 172,4.
Пример 7Ph(4-CF3)-(R,S)CH(OH)-C(O)-Aze-Pab HCl(1) Ph(4-CF3)-(R,S)CH(OH)-C(O)-Aze-Pab(Z) Указанное в подзаголовке соединение получают согласно способу, описанному в примере 3(2), из (R,S)-4-трифторметилминдальной кислоты (0,19 г; 0,88 ммоль). Флэш-хроматография (Si-гель; CH2Cl2: THF (6:4)) дает 0,13 г (26%) белого порошка. 1H ЯМР (300 МГц; CDCl3): 9,6- 9,2 (b, 1H), 8,1 (bt, 1H, диастереоизомер), 7,9 (bt, 1H, диастереомер), 7,7-7,1 (m, 13H), 5,16 (s, 2H), 5,07 (s, 1H, диастереомер), 4,98 (s, 1H, диастереомер), 4,80 (m, 1H), 4,5-4,2 (m, 2H), 4,1- 3,5 (m, 2H), 2,5-2,2 (m, 2H).
13C ЯМР (75 МГц; CDCl3), амидиновые и карбонильные углероды (диастереомеры): O 173,3, 172,4, 170,3, 168,3, 164,4.
(2) Ph(4-CF3)-(R,S)CH(OH)-C(O)-Aze-Pab HClПолучают согласно способу, описанному в примере 1(5) из Ph(4- CF3)-(R, S)CH(OH)-C(O)-Aze-Pab(Z) (133 мг; 0,23 ммоль, из стадии (1), приведенной выше) с получением указанного в заголовке соединения в виде белого кристаллического порошка. Выход 77 мг (70%). 1H ЯМР (300 МГц; D2O): 8,84 (m, 1H, диастереомер/ротамер), 8,73 (m, 1H, диастереомер/ротамер), 8,52 (m, 1H, диастереомер/ротамер), 7,8-7,4 (m, 8H), 5,46, 5,44, 5,30, 5,20 (синглет, 1H, диастереомеры/ротамеры), 4,96 (m, 1H, диастереомер/ротамер, другие сигналы того же протона перекрываются сигналом HDO), 4,6-4,0 (m, 4H), 2,9-2,5 (m, 1H), 2,4- 2,1(т, 1H).
13C ЯМР (75 МГц; D2O), амидиновые и карбонильные углероды (диастереомеры и ротамеры): 173,6, 173,3, 173,1, 173,0, 172,9, 167,0.
Пример 8Ph(4-OMe)-(R,S)CH(OH)-C(O)-Aze-Pab HCl(1) Ph(4-OMe)-(R,S)CH(OH)-C(O)-Aze-Pab(Z) Указанное в подзаголовке соединение получают согласно способу, описанному в примере 3(2), из (R,S)-4-метоксиминдальной кислоты (0,18 г; 1,0 ммоль). Флэш-хроматография (Si-гель; EtOAc:МеОH (95:5)) дает 27 мг (17%) белого порошка. Соотношение диастереомеров 85:15; сигналы мажорного диастереомера: 1H ЯМР (400 МГц; CDCl3): 8,19 (m, 1H), 7,80 (d, 2H), 7,45 (d, 2H), 7,4-7,2 (m, 7H), 7,13 (d, 2H, минорный ротамер), 6,90 (d, 2H, мажорный ротамер), 6,82 (d, 2H, минорный ротамер), 5,21 (s, 2H), 4,9-4,85 (m, 2H; его синглет на 4,89 (1H)), 4,6-4,4 (m, 2H), 4,02 (m, 1H), 3,81 (s, 3H), 3,55 (m, 1H), 2,62 (m, 1H), 2,32 (m, 1H).
13C ЯМР (100 МГц; CDCl3), амидиновые и карбонильные углероды: 173,6, 170,3, 167,8, 164,6.
(2) Ph(4-OMe)-(R,S)CH(OH)-C(O)-Aze-Pab HClУказанное в заголовке соединение получают согласно способу, описанному в примере 1(5) из Ph(4-OMe)-(R,S)CH(OH)-C(O)-Aze-Pab(Z) (27 мг, 0,05 ммоль; из стадии (1), приведенной выше). Выход 15 мг (68%) в виде белого порошка. Соотношение диастереомеров 85:15; сигналы мажорного диастереомера; 1H ЯМР (400 МГц; D2O): 7,7-7,6 (m, 2H), 7,5- 7,3 (m, 4H), 7,18 (d, 2H, ротамер), 6,97 (d, 2H, ротамер), 6,9- 6,85 (m, 2H, ротамер), 5,19 (s, 1H, ротамер), 5,14 (s, 1H, ротамер), 5,01 (m, 1H, ротамер), 4,76 (m, 1H, ротамер), 4,48 (s, 1H), 4,3-3,7 (m, 7H, 2 его синглета на 3,78, 3,77 (3H)), 2,73 (m, 1H, ротамер), 2,46 (m, 1H, ротамер), 2,3-2,0 (m, 1H).
13C ЯМР (75 МГц; D2O) амидиновые и карбонильные углероды (ротамеры): 175,5, 174,1, 173,3, 173,1, 167,1, 167,0.
Пример 9Ph(4-OH)-(R,S)CH(OH)-C(O)-Aze-Pab HCl(1) Ph(4-OH)-(R,S)CH(OH)-C(O)-Aze-Pab(Z) Указанное в подзаголовке соединение получают согласно способу, описанному в примере 3(2), из (R,S)-4-гидроксиминдальной кислоты (0,34 г; 2,0 ммоль). Флэш-хроматография (Si-гель; EtOAc/EtOH 9/1) дает 0,18 г (17%). 1H ЯМР (400 МГц; CDCl3): 7,70 (d, 2H, минорный диастереомер/ротамер), 7,64 (d, 2H, мажорный диастереомер/ротамер), 7,5-7,0 (m, 7H), 6,82 (d, 2H, мажорный диастереомер/ротамер), 6,67 (d, 2H, минорный диастереомер/ротамер), 6,43 (d, 2H, мажорный диастереомер/ротамер), 5,30, 5,26, 5,22, 5,21 (синглеты, 2H, диастереомер/ротамер), 4,95-4,8 (m, 2H), 4,15-4,05 (m, 2H), 4,0-3,7 (m, 2H), 2,7-2,5 (m, 2H).
(2) Ph(4-OH)-(R,S)CH(OH)-C(O)-Aze-Pab HClУказанное в подзаголовке соединение получают согласно способу, описанному в примере 1(5) из Ph(4-OH)-(R,S)CH(OH)-C(O)-Aze-Pab(Z) (94 мг, 0,18 ммоль; из (1), приведенной выше). Выход 37 мг (49%) в виде белого порошка. 1H ЯМР (600 МГц: D2O): 7,76, 7,72, 7,71, 7,68, 7,52, 7,47, 7,40, 7,35, 7,25, 7,19, 7,11, 6,97, 6,82, 6,76, 6,73, 6,71 (дублеты, 8H, диастереомеры/ротамеры), 5,19 (s, 1H, диастереомер/ротамер), 5,17 (s, 1H, диастереомер/ротамер), 5,14 (s, 1H, диастереомер/ротамер), 5,01 (m, 1H, диастереомер/ротамер), 4,88(m, 1H, диастереомер/ротамер, другие сигналы этого протона перекрываются сигналом HDO), 4,6- 3,8 (m, 4H), 2,77 (m, 1H, диастереомер/ротамер), 2,62 (m, 1H, диастереомер/ротамер), 2,49 (m, 1H, диастереомер/ротамер), 2,3- 2,1 (m, 1H).
13C ЯМР (75 МГц; D2O) амидиновые и карбонильные углероды (диастереомеры и ротамеры): 175,9, 174,8, 174,3, 173,3, 173,2, 172,9, 167,1.
Пример 10Ph-CH2-(R)CH(OH)-C(O)-Aze-Pab HCl(1) Ph-CH2-(R)CH(OH)-C(O)-Aze-Pab(Z) Указанное в подзаголовке соединение получают согласно способу, описанному в примере 3(2), из (R)-фенилмолочной кислоты (0,25 г; 1,5 ммоль). Флэш-хроматография (Si-гель; CH2Cl2:THF (6:4)) дает 0,28 г (36%). 1H ЯМР (500 МГц; CDCl3): 8,19 (m, 1H), 7,72 (d, 2H), 7,43 (d, 2H), 7,4-7,1 (m, 10H), 5,19 (s, 2H), 4,73 (m, 1H), 4,45-4,25 (m, 2H), 4,19 (m, 1H), 3,86 (m, 1H), 3,18 (m, 1H), 3,0-2,9 (m, 2H), 2,42 (m, 1H), 2,14 (m, 1H).
13C ЯМР (125 МГц; CDCl3) амидиновые и карбонильные углероды: 174,5, 170,2, 167,9, 164,3.
(2) Ph-CH2-(R)CH(OH)-C(O)-Aze-Pab HClУказанное в заголовке соединение получают согласно способу, описанному в примере 1(5) из Ph-CH2-(R)CH(OH)-C(O)-Aze-Pab(Z) (0,22 г; 0,43 ммоль; из стадии (1), приведенной выше) с получением 101,5 мг (57%) белого порошка. 1H ЯМР (600 МГц; D2O): 7,73 (d, 2H, мажорный ротамер), 7,62 (d, 2H, минорный ротамер), 7,5-7,4 (m, 2H), 7,4-7,2 (m, 5H), 7,10 (m, 2H, минорный ротамер), 4,71 (m, 1H, мажорный ротамер), 4,5-4,4 (m, 2H), 4,34 (m, 1H, минорный ротамер), 4,14 (m, 1H), 4,03 (m, 1H), 3,53 (m, 1H), 3,05-2,95 (m, 2H, мажорный ротамер), 2,9-2,7 (m, 2H, минорный ротамер), 2,65-2,5 (m, 1H, минорный ротамер), 2,5-2,3 (m, 1H, мажорный ротамер), 2,3-2,1 (m, 1H).
13C ЯМР (75 МГц; D2O) амидиновые и карбонильные углероды (ротамеры): 175,9, 175,0, 173,7, 173,2, 167,1, 166,8.
Пример 11Ch-(R)CH(OH)-C(O)-Pic-Pab (1) Boc-Pic-OH Получают согласно известному (M. Bodanszky and A. Bodanszky, “The Practise of Peptide Synthesis”, Springer-Verlag) способу с использованием THF вместо диоксана в качестве растворителя. 1H ЯМР (300 МГц; CDCl3): 5,0-4,8 (br d, 1H), 4,0 (br s, 1H), 3,0 (br s, 1H), 2,20 (d, 1H), 1,65 (m, 2H), 1,5-1,3 (s+m, 13H).
(2) Boc-Pic-Pab(Z)Указанное в заголовке соединение получают согласно способу, описанному в примере 1(2) из Boc-Pic-OH (2,02 г, 8,8 ммоль; из стадии (1), приведенной выше) с выходом 1,59 г (44%). FAB-MS m/z 495 (M+1)+ 1H ЯМР (400 МГц; CDCl3): 7,83 (d, 2H), 7,43 (d, 2H), 7,36-7,11 (m, 5H), 6,52 (bs, NH), 5,20 (s, 2H), 4,81-4,72 (m, 2H), 4,61-4,34 (m, 2H), 4,10-3,90 (m, 2H), 2,79-2,64 (m, 2H), 2,36-2,25(m, 2H), 1,7-1,3 (m, 14H).
(3) H-Pic-Pab(Z) 2HClBoc-Pic-Pab(Z) (1,59 г; 3,25 ммоль; из стадии (2), приведенной выше) растворяют в 100 мл EtOAc, насыщенного HCl. Реакционную смесь выпаривают через полчаса с получением указанного в заголовке соединения с количественным выходом. FAB-MS m/z 395 (М+1)+ 1H ЯМР (300 МГц; D2O): 7,82 (d, 2H), 7,63-7,41 (m, 7H), 5,47 (s, 2H), 4,69-4,49 (АВ-система, центрированная на 4,59, 2H), 4,03 (dd, 1H), 3,52 (bd, 1H), 3,10 (dt, 1H), 2,29 (dd, 1H), 2,08-1,61 (m, 5H).
(4) H-Pic-Pab(Z)Указанное в заголовке соединение получают путем растворения дигидрохлорида из стадии (3), приведенной выше, в 2 М NaOH с последующей экстракцией CH2Cl2 и выпаривания органического растворителя. (5) Ch-(R)CH(OH)-C(O)-Pic-Pab(Z) Указанное в заголовке соединение получают согласно способу, описанному в примере 3(2) из (R)-гексагидроминдальной кислоты (0,152 г, 0,96 ммоль) и H-Pic-Pab(Z) (0,417 г; 1,06 ммоль; из стадии (4), приведенной выше). Флэш-хроматография (Si-гель, сначала EtOAc:толуол (2:3), затем EtOAc) дает 90 мг (18%). 1H ЯМР (300 МГц; CDCl3): 7,82 (d, 2H), 7,5-7,2 (m, 7H), 6,63 (t, X часть ABX-системы, NH), 5,21 (s, 2H), 5,14 (d, 2H), 4,46 (ABX-система, 2H), 4,26 (видимая s, 1H), 3,61 (bd, 1H), 3,52 (bd, 1H), 3,06 (dt, 1H), 2,30 (bd, 1H), 1,92-1,0 (m, 14H), 0,95-0,8 (m, 1H).
13C ЯМР (75 МГц; CDCl3) амидиновые и карбонильные углероды: 174,8, 170,3, 167,8 и 164,6.
(5) Ch-(R)CH(OH)-C(O)-Pic-Pab HClУказанное в заголовке соединение получают согласно способу, описанному в примере 1(5) из Ch-(R)CH-(OH)C(O)-Pic-Pab(Z) (из 59 мг; 0,11 ммоль; из стадии (5), приведенной выше) с выходом 19 мг (40%). FAB-MS m/z 401 (М+1)+ 1H ЯМР (300 МГц; D2O) спектр усложнен благодаря ротамерам: 7,91-7,72(m, мажорный и минорный ротамер, 2H), 7,58 (d, минорный ротамер, 2H), 7,53(d, мажорный ротамер, 2H), 5,17 (видимая bs, мажорный ротамер, 1H), 4,66-4,28 (m, 3H), 3,96 (bd, мажорный ротамер, 1H), 3,26 (bt, мажорный ротамер, 1H), 3,05-2,88 (m, минорный ротамер, 1H), 2,39-2,20 (m, 1H), 2,0-0,75 (m, 16H).
13C ЯМР (75 МГц; MeOD) амидиновые и карбонильные углероды на 175,86, 173,20, 168,53.
Пример 12Ch-CH2-(R)CH(OH)-C(O)-Pic-Pab HCl(1) Ch-CH2-(R)CH(OH)-C(O)OH Раствор фенилмолочной кислоты (2,75 г) и родия на оксиде алюминия (0,75 г) в МеОH (170 мл) гидрогенизируют в H2-атмосфере при давлении 3 атмосферы в течение 2 дней. Смесь фильтруют через hyflo и выпаривают до сухости с получением продукта с количественным выходом. 1H ЯМР (400 МГц; CDCl3): 4,23 (bdd, 1H), 3,24 (видимая s, ОH), 1,68(bd, 1H), 1,63-1,43 (m, 6H), 1,43-1,31 (m, 1H), 1,21-1,0 (m, 3H), 0,95-0,75 (m, 157 мг (0,91 ммоль) 2H)(2)Ch-CH2-(R)CH(OH)-C(O)-Pic-Pab(Z) Указанное в заголовке соединение получают согласно способу, описанному в примере 1(4), из H-Pic-Pab(Z) 2HCl (353 мг, 0,76 ммоль; смотри пример 11(3)) и Ch-CH2-(R)CH(OH)-COOH (157 мг, 0,91 ммоль; из стадии (1), приведенной выше). Продукт подвергают флэш-хроматографии (Si-гель, EtOAc:толуол (7:3)) с получением 92 мг (22%).
1H ЯМР (300 МГц, CDCl3): 7,72 (d, 2H), 7,46-7,1 (m, 7H), 6,90 (t, NH), 5,18 (s, 2H), 5,07 (d, 1H), 4,45 (bd, 1H), 4,37 (d, 2H), 3,73-3,47 (m, 2H), 3,10 (bt, 1H), 2,24 (bd, 1H), 2,15-2,0 (m, 1H), 1,90(bd, 1H), 1,80-1,05 (m, 12H), 1,05- 0,75 (m, 3H)13C ЯМР (75 МГц, CDCl3) амидиновые и карбонильные углероды: 175,88, 170,43, 168,04 и 164,58.
(3) Ch-CH2-(R)CH(OH)-C(O)-Pic-Pab HClУказанное в заголовке соединение получают согласно способу, описанному в примере 1(5), из Ch-CH2-(R)CH(OH)-C(O)-Pic-Pab(Z) (62 мг; 0,113 ммоль; из стадии (2), приведенной выше) с выходом 47 мг (92%). FAB-MS m/z 415 (М+1)+ 1H ЯМР (300 МГц; D2O) спектр усложнен благодаря ротамерам: 7,85-7,71 (m, мажорный и минорный ротамер, 2H), 7,56 (d, минорный ротамер, 2H), 7,50(d, мажорный ротамер, 2H), 5,12 (видимая bs, мажорный ротамер, 1H), 4,68-4,25 (m, 3H, частично скрытый HDO), 3,80 (bd, мажорный ротамер, 1H), 3,24 (bt, мажорный ротамер, 1H), 2,89 (bt, минорный ротамер, 1H), 2,25 (m, 1H), 1,92-0,82 (m, 17H), 0,60-0,40 (m, мажорный ротамер, 1H).
13C ЯМР (75 МГц; D2O) амидиновые и карбонильные углероды (ротамеры): 177,10, 173,88, 173,07, 167,24Пример 13 Ph-(R)CH(OMe)-C(O)-Aze-Pab HCl(1) H-Aze-OMe HClMeOH (200 мл) охлаждают до -40oC в атмосфере аргона. По каплям добавляют тионилхлорид (47,1 г; 0,396 моль) и перемешивают реакционную смесь при -10oC в течение 35 мин. Добавляют H-Aze-OH (10,0 г; 0,099 моль) и перемешивают смесь при комнатной температуре в течение ночи. Затем реакционную смесь выпаривают с получением указанного в заголовке соединения с выходом 16,1 г (100 %). 1H ЯМР (400 МГц; CDCl3): 5,12-5,24 (m, 1H), 4,08-4,29 (m, 2H), 3,84 (s, 3H), 2,65-2,87 (m, 2H).
(2) Ph-(R)CH(OMe)-C(O)-Aze-OMeУказанное в подзаголовке соединение получают согласно способу, описанному в примере 1(2), из R(-)- -метоксифенилуксусной кислоты (0,60 г; 3,6 ммоль) и H-Aze-OMe HCl (0,55 г, 3,6 ммоль; из стадии (1), приведенной выше) с выходом 0,32 г (34%).
1H ЯМР (400 МГц; CDCl3): 7,29-7,48 (m, 5H), 4,71-5,08 (m, 2H), 3.92-4,31 (m, 2H), 3,69-3,83 (m, 3H), 3,19-3,46 (m, 3H), 2,13-2,65 (m, 2H).
(3) Ph-(R)CH(OMe)-C(O)-Aze-OHК раствору Ph-(R)CH(OMe)-C(O)-Aze-OMe (0,32 г; 1,2 ммоль; из стадии (2), приведенной выше) в THF (10 мл) добавляют раствор моногидрата гидроксида лития (0,071 г, 1,7 ммоль) в 2O (6 мл). Реакционную смесь перемешивают в течение 3 ч, а затем выпаривают. Остаток растворяют в H2O и экстрагируют толуолом. pH водного слоя доводят до 3 с помощью водного раствора HCl, а затем экстрагируют этилацетатом (4 раза). Объединенный органический слой выпаривают с получением 0,28 г (92%) указанного в заголовке соединения. 1H ЯМР (400 МГц; CDCl3): 7,30-7,50 (m, 5H), 4,95-5,10 (m, 1H), 4,80 (s, 1H), 4,10-4,35 (m, 1H), 3,40 (s, 3H), 2,40-2,80 (m, 2H)(4) Ph-(R)CH(OMe)-C(O)-Aze-Pab(Z) Указанное в подзаголовке соединение получают согласно способу, описанному в примере 1(2), из H-Pab(Z) HCl (0,36 г, 1,0 ммоль) и Ph-CH(OMe)-C(O)-Aze-OH (0,25 г; 1,0 ммоль: из стадии (3), приведенной выше) с выходом 0,39 г (76%) в виде белого порошка.
1H ЯМР (400 МГц; CDCl3): 08,29 (m, 1H), 7,77 (d, 2H), 7,45 (d, 2H), 7,4-7,2 (m, 10H), 5,22 (s, 2H), 4,93 (m, 1H), 4,69 (s, 1H), 4,44 (m, 2H), 4,15 (m, 2H), 3,35 (s, 3H), 2,69 (m, 1H), 2,42 (m, 1H)(5) Ph-(R)CH(OMe)-C(О)-Aze-Pab HClУказанное в заголовке соединение получают согласно способу, описанному в примере 1(5), из Ph-(R)CH(OMe)-C(O)-Aze-Pab(Z) (0,15 г; 0,29 ммоль; из стадии (4), приведенной выше) с выходом 50,4 мг (41%) в виде белого порошка. 1H ЯМР (400 МГц; CD3OD; -водород Aze и бензильный водород манделата были затемнены CD3OH-сигналом): 7,8-7,6 (m, 2H), 7,6-7,4 (m, 2H), 7,4-7,1 (m, 5H), 4,6-4,4 (m, 2H), 4,3-4,0 (m, 2H), 3,29 (s, 3Н), 2,7-2,5 (m, 1H), 2,4-2,1 (m, 1H).
Пример 14Ph(3-OMe)-(R,S)CH(OH)-C(O)-Aze-Pab HCl(1) Ph(3-OMe)-(R,S)CH(OH)-C(O)-Aze-Pab(Z) Указанное в подзаголовке соединение получают согласно способу, описанному в примере 3(2), из (R,S)-3-метоксиминдальной кислоты (270 мг, 1,5 ммоль) с выходом 340 мг (43%); соотношение диастереомеров 1:1. FAB-MS m/z 531 (М+1)+ 1H ЯМР (400 МГц; CDCl3): 08,14 (m, 1H, диастереомер), 7,87 (m, 1H, диастереомер), 7,0 (m, 10H), 6,9-6,7 (m, 3H), 5,16 (s, 2H), 4,96(s, 1H, диастереомер), 4,88 (s, 1H, диастереомер), 4,85-4,7 (m, 1H), 4,4- 4,2 (m, 2H), 4,05-3,9 (m, 1H), 3,71 (s, 3H, диастереомер), 3,71 (m, 1H, диастереомер), 3,66 (s, 3H, диастереомер), 3,58 (m, 1H, диастереомер), 2,5-2,35 (m, 1H), 2,32 (m, 1H, диастереомер), 2,20 (m, 1H, диастереомер).
13C ЯМР (100 МГц; CDCl3) амидиновые и карбонильные углероды (диастереомеры): 173,9, 173,0, 170,5, 170,4, 168,3, 168,2, 164,5.
(2) Ph(3-OMe)-(R,S)CH(OH)-C(O)-Aze-Pab HClУказанное в заголовке соединение получают согласно способу, описанному в примере 1(5), из Ph(3-OMe)-(R,S)CH(OH)-C(O)-Aze-Pab(Z) (230 мг; 0,43 ммоль; из стадии (1), приведенной выше) с выходом продукта 126 мг (67%). Соотношение диастереомеров 1:1. FAB-MS m/z 397 (М+1)+ 1H ЯМР (400 МГц; D2O; усложнен благодаря (диастереомерам/ротамерам) и некоторым примесям: 7,6-7,1 (m, 5H), 6,9-6,6 (m, 3H), 5,2-4,7 (m, 1-2H), 4,4-3,7 (m, 4-5H), 3,63 (s, 3H, диастереомер/ротамер), 3,55 (m, 3H, диастереомер/ротамер), 2,5-2,3 (m, 1H), 2,2-2,0 (m, 1H).
13 ЯМР (75 МГц; D2O) амидиновые и карбонильные углероды (диастереомеры/ротамеры): 175,8, 175,4, 174,8, 174,6, 168,5.
Пример 15Ph(3-Me)-(R,S)CH(OH)-C(O)-Aze-Pab HOAc(1) (R,S)-3-метилминдальная кислота Смесь 3-метилбензальдегида (12,0 г, 0,1 моль) и бензилтриэтиламмония хлорида (1,23 г 0,005 моль) в CHCl3 (16 мл) перемешивают при 56oC. К смеси по каплям добавляют раствор NaOH (25 г) в H2О (25 мл). По завершении реакционную смесь перемешивают в течение 1 ч. Реакционную смесь разбавляют H2О (с получением 400 мл) и экстрагируют диэтиловым эфиром (3 х 50 мл). pH смеси доводят до 1 с помощью H2SO4 (конц.), затем экстрагируют диэтиловым эфиром (6 х 50 мл). Объединенный органический слой высушивают (MgSO4) и выпаривают. Hеочищенный продукт (11,6 г) перекристаллизовывают из толуола с получением 8,47 г (51%) указанного в заголовке соединения. LC-MS m/z 165 (M-1)–, 331 (2M-1)– 1H ЯМР (400 МГц; CD3OD): 7,10-7,28 (m, 4H), 5,08 (s, 1H), 2,32 (s, 3H).
(2) Ph(3-Me)-(R,S)CH(OH)-C(O)-Aze-Pab(Z)Указанное в подзаголовке соединение получают согласно способу, описанному в примере 3(2), из (R,S)-3-метилминдальной кислоты (0,22 г, 1,3 ммоль: из стадии (1), приведенной выше) с выходом 0,37 г (54%). LC-MS m/z 515 (M+1)+ 1H ЯМР (400 МГц; CDCl3): 08,11-8,21 (t, NH), 6,97-7,89 (m, 13H), 5,18- 5,24 (m, 2H), 4,83-5,00 (m, 2H), 4,37- 4,58 (m, 2H), 3,50-4,11 (m, 2H), 2,39-2,71 (m, 2H), 2,27-2,38 (m, 3H).
(3) Ph(3-Me)-(R,S)CH(OH)-C(O)-Aze-Pab HOAcСмесь Ph(3-Me)-(R,S)CH(OH)-C(O)-Aze-Pab(Z) (0,105 г; 0,20 ммоль: из стадии (2), приведенной выше), уксусной кислоты (0,012 г; 0,20 ммоль) и Pd/C (5%, 0,14 г) в этаноле (12 мл) гидрогенизируют при атмосферном давлении в течение 6 ч. Реакционную смесь фильтруют и фильтрат выпаривают. Неочищенный продукт (97 мг) растворяют в H2O и высушивают замораживанием с получением липкого продукта. Этот продукт растворяют в H2O, фильтруют через HPLC-фильтр и высушивают замораживанием. Выход указанного в заголовке соединения составляет 67 мг (76%). LC-MS m/z 381 (M+1)+ 1H ЯМР (400 МГц, D2O): 06,89-7,72 (m, 8H), 4,79-5,23 (m, 2H), 3.76-4,51 (m, 4H), 2,38-2,82 (m, 2H), 2,15-2,27 (m, 3H).
13C ЯМР (75,5 МГц; D2O; усложнен благодаря диастереомерам/ротамерам) амидиновые и карбонильные углероды (ротамеры): 181,21, 175,43, 174,38, 173,94, 173,23, 173,06, 173,16, 167,00.
Пример 16Ph(3-OEt)-(R,S)CH(OH)-C(O)-Aze-Pab HOAc(1) (R,S)-3-этоксиминдальная кислота (R, S)-3-гидроксиминдальную кислоту растворяют в ацетонитриле (15 мл). Добавляют K2CO3 (2,34 г, 16,94 ммоль) и по каплям добавляют этилиодид (1,03 мл, 12,71 ммоль). Реакционную смесь кипятят с обратным холодильником в течение 2 ч и затем выпаривают. Остаток растворяют в H2O (25 мл) и ацетоне (6 мл) и смесь перемешивают при комнатной температуре в течение 3 ч. Реакционную смесь выпаривают и образующийся H2O слой экстрагируют этилацетатом. pH водного слоя доводят до 2 водным раствором KHSO4 и добавляют еще H2O для растворения образовавшейся соли. H2O-pacтвop экстрагируют этилацетатом (3 раза). Объединенный органический слой промывают H2O, высушивают (Na2SO4) и выпаривают. Остаток подвергают препаративной RPLC (25% ацетонитрила: 75% 0,1 М HOAc) и выпаривают фракции, содержащие продукт. Полученный водный слой экстрагируют этилацетатом (3 раза), и объединенный органический слой промывают H2O, высушивают (Na2SO4) и выпаривают. Выход указанного в подзаголовке продукта составляет 182 мг (22%). LC-MS M/Z 195 (М-1)–, 391 (2М-1)–, 587 (3М-1)– 1H ЯМР (400 МГц; CD3OD): 6,80-7,27 (m, 4H), 5,08 (s, 1H), 3,99-4,13 (m, 2H), 1,34-1,40 (t, 3H).
(2) Ph(3-OEt)-(R,S)CH(OH)-C(O)-Aze-Pab(Z)Указанное в подзаголовке соединение получают согласно способу, описанному в примере 3(2), из (R,S)-3-этоксиминдальной кислоты (0,178 г, 0,907 ммоль; из стадии (1), приведенной выше) с выходом 259 мг (52%). LC-MS m/z 545 (М+1)+ 1H ЯМР (400 МГц, CDCl3): 06,77-7,77 (m, 13H), 5,16-5,21 (d, 2H), 4,78-4,99 (m, 2H), 4,27-4,51 (m, 2H), 3,53-4,07 (m, 4H), 2,21-2,60 (m, 2H), 1,29-1,41 (m, 3H).
(3) Ph(3-OEt)-(R,S)CH(OH)-C(O)-Aze-Pab HOAcУказанное в заголовке соединение получают согласно способу, описанному в примере 15(3), из Ph(3-OEt)-(R, S)CH(OH)-C(O)-Aze-Pab(Z) (0,182 г, 0,33 ммоль; из стадии (2), приведенной выше) с выходом 157 мг (100%). LC-MS m/z 411 (М+1)+ 1H ЯМР (400 МГц, CD3OD: 07,71-7,79 (m, 2H), 7,49-7,60 (m, 2H), 7,19-7,30 (m, 1H), 6,94-7,02 (m, 2H), 6,81-6,90(m, 1H), 5,09-5,18 (m, 1H), 4,74-4,81 (m, 1H), 4,39-4,62 (m, 2H), 3,93-4,35 (m, 4H), 2,10-2,61 (m, 2H), 1,32-1,40 (m, 3H).
13C ЯМР (100,6 МГц; D2O, усложнен благодаря диастереомерам/ротамерам) амидиновые и карбонильные углероды (ротамеры): 180,68, 174,30, 173,50, 173,07, 172,44, 172,26.
Пример 17Ph(3-OPr(n))-(R,S)CH(OH)-C(O)-Aze-Pab x HOAc (1) (R,S)-3-Аллилоксиминдальная кислота (R, S)-3-Гидроксиминдальную кислоту (0,504 г, 3,0 ммоль) растворяют в сухом ацетоне (25 мл) в атмосфере азота. Добавляют аллилбромид (0,907 г, 7,5 ммоль) и сухой K2CO3 (1,037 г, 7,5 ммоль) и перемешивают реакционную смесь в атмосфере азота в течение 16 ч. Затем реакционную смесь выпаривают. Остаток растворяют в H2O (25 мл) и ацетоне (6 мл) и перемешивают смесь в течение 2 ч (затем проводят HPLC). Смесь выпаривают и водный слой экстрагируют этилацетатом. pH водного слоя доводят до 2 с помощью KHSO4 и экстрагируют этилацетатом (3 раза). Объединенный органический слой промывают H2O, высушивают (Na2SO4) и выпаривают с получением указанного в подзаголовке продукта с выходом 0,175 г (28%). 1H ЯМР (500 МГц; CDCl3): 06,87-7,30 (m, 4H), 5,97-6,10 (m, 1H), 5,26-5,44 (m, 2H), 5,20 (s, 1H), 4,51-4,55 (d, 2H).
(2) Ph(3-OCH2CH=CH2)-(R,S)CH(OH)-C(O)-Aze-Pab(Z)Указанное в подзаголовке соединение получают согласно способу, описанному в примере 3(2), из (R,S)-аллилоксиминдальной кислоты (0,167 г; 0,8 ммоль; из стадии (1), приведенной выше) с выходом 260 мг (58%). 1H ЯМР (500 МГц; CDCl3): 8,09-8,17 (t, NH). 6,79-7,87 (m, 13H), 5,94-6,08 (m, 1H), 5,20-5,44 (m, 4H), 4,86-5,02 (m, 2H), 4,32-4,62 (m, 4H), 3,54-4,15 (m, 2H), 2,30-2,74 (m, 2H).
(3) Ph(3-OPr(n))-(R,S)CH(OH)-C(O)-Aze-Pab HOAcУказанное в заголовке соединение получали согласно способу, описанному в примере 15(3), из Ph(3-OCH2CH=CH2)-(R,S)CH(OH)-C(O)-Aze-Pab(Z) (0,06 г, 0,1 ммоль; из стадии (2), приведенной выше) с выходом 47 мг (97%). LC-MS m/z 425 (М+1)+, 423 (М-1)– 1H ЯМР (500 МГц; D2O): 6,7- 7,71 (m, 8H), 4,70-5,25 (m, 2H), 3,78-4,53 (m, 6H), 2,05-2,80 (m, 2H), 1,56-1,75 (m, 2H), 0,82-0,95 (m, 3H).
Пример 18Ph(3-OPr(изо))-(R,S)CH(OH)-C(O)-Aze-Pab HOAc(1) (R,S)-3-изопропоксиминдальная кислота Указанное в подзаголовке соединение получают согласно способу, описанному в примере 16(1), из (R,S)-3-гидроксиминдальной кислоты (0,70 г; 4,16 ммоль), Cs2CO3 (5,87 г; 16,65 ммоль) и изопропилиодида (1,25 мл; 12,49 ммоль) с выходом 62 мг (7%). LC-MS m/z 209 (М-1)– 1H ЯМР (400 МГц; CD3OD): 06,81- 7,25 (m, 4H), 5,08 (s, 1H), 4,53-4,64 (m, 1H), 1,28-1,32 (d, 6H).
(2)Ph (3-OPr(изо))-(R,S)CH(OH)-C(O)-Aze-Pab(Z)Указанное в подзаголовке соединение получают согласно способу, описанному в примере 3(2), из (R,S)-3-изопропоксиминдальной кислоты (0,063 г; 0,3 ммоль; из стадии (1), приведенной выше) с выходом 60 мг (34%). LC-MS m/z 559 (М+1)+ 1H ЯМР (400 МГц; CDCl3): 06,75-7,79 (m, 13H), 5,18-5,24 (m, 2H), 4,81-4,99 (m, 2H), 4,31-4,58 (m, 3H), 3,97-4,15 (m, 1H), 3,55-3,77(m, 1H), 2,24-2,64 (m, 2H), 1,23-1,33 (m, 6H).
(3) Ph(3-OPr(изо))-(R,S)CH(OH)-C(O)-Aze-Pab HOAcУказанное в заголовке соединение получают согласно способу, описанному в примере 15(3), из Ph(3-OPr(изо))-(R,S)CH(OH)-C(O)-Aze-Pab(Z) (0,05 г; 0,090 ммоль; из стадии (2), приведенной выше) с выходом 41 мг (94%). LC-MS m/z 425 (М+1)+ 1H ЯМР (400 МГц; CD3OD): 06,81-7,80 (m, 8H), 5,08-5,18 (m, 1H), 4,74-4,80(m, 1H), 4,53- 4,64 (m, 2H), 4,41-4,51 (m, 1H), 3,93-4,35 (m,2H), 2,23-2,60 (m, 2H), 1,25-1,32( m, 6H).
13C ЯМР (100,6 МГц; D2O; усложнен благодаря диастереомерам/ротамерам) амидиновые и карбонильные углероды: 181,10, 173,60, 173,15, 172,48, 166,39.
Пример 19Ph(2-OMe)-(R,S)CH(OH)-C(O)-Aze-Pab HOAc(1) Ph(2-OMe)-(R,S)CH(OH)-C(O)-Aze-Pab(Z) Указанное в подзаголовке соединение получают согласно способу, описанному в примере 3(2), из (R,S)-2-метоксиминдальной кислоты (0,18 г; 1,0 ммоль) с выходом 80 мг (17%). 1H ЯМР (500 МГц; CDCl3): 08,16-8,22 (t, NH), 6,81-7,85 (m, 13H), 5,16-5,20 (m, 2H), 4,79-4,91 (m, 1H), 4,35-4,49 (m, 2H), 3,84-4,02 (m, 2H), 3,63- 3,80 (m, 3H), 3,32-3,56 (m, 1H), 2,21-2,57 (m, 2H).
(2) Ph(2-OMe)-(R,S)CH(OH)-C(O)-Aze-Pab HOAcУказанное в заголовке соединение получают согласно способу, описанному в примере 15(3), из Ph(2-OMe)-(R,S)CH(OH)-C(O)-Aze-Pab(Z) (0,08 г; 0,15 ммоль; из стадии (1), приведенной выше) с выходом 45 мг (71%). FAB-MS m/z 397 (М+1)+ 1H ЯМР (500 МГц; D2O): 06,83-7,70 (m, 8H), 4,71-4,97 (m, 1H), 4,34-4,51 (m, 2H), 3,87-4,22 (m, 3H), 3,67-3,75 (m, 3H), 2,00-2,74 (m, 2H).
13C ЯМР (75,5 МГц; D2O; усложнен благодаря диастереомерам/ротамерам) амидиновые и карбонильные углероды: 179,96, 176,28, 174,97, 174,50, 173,44, 173,39, 173,29, 173,10, 167,12.
Пример 20Ph(3,5-диOMe)-(R,S)CH(OH)-C(O)-Aze-Pab HOAc.
(1) Ph(3,5-диOMe)-(R,S)CH(OH)-C(O)-Aze-Pab(Z)Указанное в подзаголовке соединение получают согласно способу, описанному в примере 3(2), из (R,S)-3,5-диметоксиминдальной кислоты (0,21 г; 1,0 ммоль; получена согласно известному способу (Synthesis (1974) 724)) с выходом 0,31 г (62%). 1H ЯМР (500 МГц; CDCl3): 08,11-8,16 (t, NH), 7,17-7,86 (m, 9H), 641-6,49 (m, 3H), 5,21- 5,24 (d, 2H), 4,84-5,03 (m, 2H), 4,29-4,66 (m, 2H), 3,67-4,17 (m, 8H), 2,32-2,72 (m, 2H).
(2) Ph(3,5-диOMe)-(R,S)CH(OH)-C(O)-Aze-Pab HOAcУказанное в заголовке соединение получают согласно способу, описанному в примере 15(3), из Ph(3,5-диОМе)-(R,S)CH(OH)-C(O)-Aze- Pab(Z) (0,15 г; 0,27 ммоль; из стадии (1), приведенной выше) с выходом 120 мг (100%). 1H ЯМР (500 МГц; D2O): 07,34-7,75 (m, 4H), 6,44-6,66 (m, 3H), 4,67-5,12 (m, 1H), 3,97-4,55 (m, 5H), 3,79 (s, 3H), 3,71-3,74 (m, 3H), 2,14-2,85 (m, 2H).
13C ЯМР (75,5 МГц; D2O; усложнен благодаря диастереомерам/ротамерам)амидиновые и карбонильные углероды: 181,17, 174,85, 173,92, 173,53, 173,09, 172,98, 182,90, 166,77.
Пример 21Ph(3-OMe,4-OH)-(R,S)CH(OH)-C(O)-Aze-Pab HOAc(1) Ph(3-OMe,4-OH)-(R,S)CH(OH)-C(O)-Aze-Pab(Z) Указанное в подзаголовке соединение получают согласно способу, описанному в примере 3(2), из (R,S)-4-гидрокси-3-метоксиминдальной кислоты (0,20 г; 1,0) с выходом 89 мг (16%). LC-MS m/z 547 (М+1)+, 545 (М-1)– 1H ЯМР (400 МГц; CDCl3): 08,07-8,15 (m, NH), 6,64-7,86 (m, 12H), 5,20-5,27 (m, 2H), 3,57-5,00 (m, 9H), 2,31-2,74 (m, 2H).
(2) Ph(3-OMe,4-OH)-(R,S)CH(OH)-C(O)-Aze-Pab HOAcУказанное в заголовке соединение получают согласно способу, описанному в примере 15(3), из Ph(3-OMe,4-OH)-(R,S)CH(OH)-C(O)-Aze-Pab(Z) (0,085 г; 0,16 ммоль; из стадии (1), приведенной выше) с выходом 57 мг (78%). FAB-MS m/z 413 (М+1)+ 1H ЯМР (500 МГц; D2O; усложнен благодаря диастереомерам/ротамерам): 06,66-7,83 (m, 8H), 4,80-5,25 (m, 2H), 3,88-4,59 (m, 4H), 3,68-3,88 (m, 3H), 2,10-2,85 (m, 2H).
13C ЯМР (75,5 МГц; D2O; усложнен благодаря диастереомерам/ротамерам) амидиновые и карбонильные углероды: 182,01, 175,56, 174,43, 174,04, 173,20, 173,05, 166,90, 166,85.
Пример 22Ph(2-F,5-CF3)-(R,S)CH(OH)-C(O)-Aze-Pab HOAc(1) Ph(2- F,5-CF3)-(R,S)CH(OH)-C(O)-Aze-Pab(Z) Указанное в подзаголовке соединение получают согласно способу, описанному в примере 3(2), из (R,S)-2-фтор-5-трифторметилминдальной кислоты (0,3 г; 1,2 ммоль; получена известным способом (Org. Synth. Coll. 1, 336)) с выходом 0,32 г (51%). FAB-MS m/z 587 (М+1)+ 1H ЯМР (400 МГц; CDCl3): 07,15-7,87 (m, 12H), 5,19-5,30 (m, 2H), 4,87-5,00 (m, 1H), 4,36-4,60 (m, 3H), 4,05-4,20 (m, 1H), 3,60-3,73 (m, 1H), 2,32- 2,72 (m, 2H).
(2) Ph(2-F,5-CF3)-(R,S)CH(OH)-C(O)-Aze-Pab HOAcУказанное в заголовке соединение получают согласно способу, описанному в примере 15(3), из Ph(2-F,5-CF3)-(R,S)CH(OH)-C(O)-Aze-Pab(Z) (0,15 г; 0,26 ммоль; из стадии (1), приведенной выше) с выходом 110 мг (90%). 1H ЯМР (500 МГц: D2O): 07,28-7,83 (m, 7H), 5,43-5,65 (m, 1H), 4,82-5,18 (m, 1H), 3,97-4,56 (m, 4H), 2,14-2,85 (m, 2H).
13C ЯМР (75,5 МГц: D2O; усложнен благодаря диастереомерам/ротамерам) амидиновые и карбонильные углероды): 173,61, 173,33, 173,06, 172,83, 172,68, 172,62, 166,86, 164,27, 161,15, 160,92.
Пример 23Ph-(R,S)C(Et)(OH)-C(O)-Aze-Pab HOAc(1) Ph-(R,S)C(Et)(OH)-C(O)-Aze-Pab(Z) Указанное в подзаголовке соединение получают согласно способу, описанному в примере 3(2), из (R,S)-2-гидрокси-2-фенилбутановой кислоты (0,18 г; 1,0 ммоль) с выходом 79 мг (15%). LC-MS m/z 529 (М+1)+, 527 (М-1)– 1H ЯМР (400 МГц; CDCl3): 07,27-7,86 (m, 14H), 5,22 (s, 2H), 4,82-4,93 (m, 1H), 4,39-4,57 (m, 2H), 3,84-3,98 (m, 2H), 2,02-2,64 (m, 4H), 0,86-0,93 (m, 3H).
(2) Ph-(R,S)C(Et)(OH)-C(O)-Aze-Pab HOAcУказанное в заголовке соединение получают согласно способу, описанному в примере 15(3), из Ph-(R,S)C(Et)(OH)-C(O)-Aze-Pab(Z) (0,08 г; 0,15 ммоль; из стадии (1) приведенной выше) с выходом 62 мг (90%). FAB- MS m/z 395 (M+1)+ 1H ЯМР (400 МГц, D2O): 07,27-7,84 (m, 9H), 4,83-5,35 (m, 1H), 3,89-4,60 (m, 4H), 2,40-2,61 (m, 1H), 1,95-2,30 (m, 3H), 0,78-0,95 (m, 3H).
13C ЯМР (75,5 МГц; D2O; усложнен благодаря диастереомерам/ротамерам) амидиновые и карбонильные углероды: 0182,09, 175,79, 175,48, 174,53, 173,23, 167,05.
Пример 24Ph-(R,S)C(Me)(OH)-C(O)-Aze-Pab HOAc(1) Ph-(R,S)C(Me)(OH)-C(O)-Aze-Pab(Z) Указанное в подзаголовке соединение получают согласно способу, описанному в примере 3(2), из (S)-(+)-2-гидрокси-2-фенилпропионовой кислоты (0,20 г; 1,2 ммоль) с выходом 0,17 г (31%). 1H ЯМР (500 МГц, CDCl3): 08,04-8,14 (t, NH), 7,17-7,80 (m, 14H), 5,20 (s, 2H), 4,76-4,86 (m, 1H), 4,31-4,50 (m, 2H), 3,76-3,94 (m, 2H), 2,19-2,44 (m, 2H), 1,70 (s, 3H).
(2) Ph-(R,S)C(Me)(OH)-C(O)-Aze-Pab HOAcУказанное в заголовке соединение получают согласно способу, описанному в примере 15(3), из Ph-(R,S)C(Me)(OH)-C(O)-Aze-Pab((Z) (0,08 г; 0,16 ммоль: из стадии (1), приведенной выше) с выходом 48 мг (78%), соотношение диастереомеров 85:15. 1H ЯМР (500 МГц; D2O): 07,30-7,79 (m, 9H), 3,99-4,82 (m, 5H), 2,09-2,74 (m, 2H), 1,70-1,77 (m, 3H).
1C ЯМР (75,5 МГц; D2O; усложнен благодаря диастереомерам/ротамерам) амидиновые и карбонильные углероды: 176,90, 176,34, 173,89, 173,48,167,00.
Пример 25Ph-(R)CH(OH)-C(O)-Aze-Pac HOAc(1) Boc-Aze-OSu Смесь Boc-Aze-OH (5 г, 25 ммоль) и HOSu (2,88 г, 25 ммоль) в 25 мл THF охлаждают на ледяной бане. Добавляют EDC (4,3 мл, 25 ммоль) и перемешивают раствор в течение ночи. Выпаривают его, растворяют в этилацетате, промывают KHSO4 (водный, 0,3 М), Na2CO3 (водный, 10%), высушивают (MgSO4) и выпаривают. Кристаллизация из смеси этилацетатпетролейный эфир дает 3,78 г (51%) указанного в подзаголовке соединения. 1H ЯМР (300 МГц; CDCl3): 04,89 (m, 1H), 4,07 (m, 1H), 3,95 (m, 1H), 2,85 (s, 4H), 2,67 (m, 1H), 2,45 (m, 1H), 1,42 (s, 9H).
(2) Boc-Aze-Pac(Z)Смесь H-Pac(Z) 2HCl (0,227 г, 0,63 ммоль), Boc-Aze-Osu (0,194 г, 0,65 ммоль) и триэтиламина (0,2 мл, 1,4 ммоль) в 10 мл THF перемешивают при комнатной температуре в течение 18 ч. После выпаривания остаток растворяют в этилацетате, фильтруют через пробку из целита (Celite) и подвергают хроматографии на силикагелевой колонке со смесью этилацетат: THF (2:1). Элюент выпаривают, растворяют в этилацетате, промывают водой, сушат (MgSO4) и выпаривают с получением 0,250 г (81%) указанного в подзаголовке соединения.
1H ЯМР (300 МГц; CDCl3): 07,4-7,2 (m, 5H), 5,05 (s, 2H), 4,55 (bt, 1H), 3,85 (bq, 1H), 3,72 (bq, 1H), 3,2-3,0 (m, 2H), 2,4-2,2 (m, 2H), 2,10 (m, 1H), 1,9-1,7 (m, 4H), 1,5-1,3 (m, 11H, его s на 1,36, 9H), 1,0-0,8 (m, 2H).
(3) H-Aze-Pac(Z)Указанное в подзаголовке соединение получают согласно способу, описанному в примере 3(1), из Boc-Aze-Pac(Z) (из стадии (2), приведенной выше) с последующей щелочной экстракцией. (4) Ph-(R)CH(OTBDMS)-C(O)-Aze-Pac(Z) Указанное в подзаголовке соединение получают аналогично способу, описанному в примере 3(2), из Ph-(R)CH(OTBDMS)-C(O)OH (0,236 г; 0,89 ммоль; получен согласно Hamada et al., J.Am. Chem. Soc (1989) 111, 669) и H-Aze-Pac(Z) (0,25 г, 0,53 ммоль; из стадии 3; предварительно активирован перемешиванием в смеси CH2Cl2:трифторуксусная кислота (1:1, 10 мл) в течение 30 мин) с выходом 160 мг (48%). 1H ЯМР (500 МГц; CDCl3): 07,20-7,44 (m, 10H), 5,22 (s, 1H), 5,06-5,16 (m, 2H), 4,80-4,90 (m, 1H), 3,92-4,43 (m, 2H), 2,88-3,12 (m, 2H), 2,35- 2,60 (m, 2H), 1,25-2,10 (m, 10H), 0,84-0,94 (m, 9H), 0,00-0,15 (m, 6H).
(5) Ph-(R)CH(OH)-C(O)-Aze-Pac HOAcУказанное в заголовке соединение получают согласно способу, описанному в примере 15(3), из Ph-(R)CH(OTBDMS)-C(O)-Aze-Pac(Z) (0,16 г;: 0,25 ммоль, из стадии (4), приведенной выше) с очисткой путем RPLC с выходом 15 мг (14%). FAB-MS m/z 373 (М+1)+ Пример 26 Ph-(R)CH(OH)-C(O)-Aze-Pig HOAc(1) Boc-Aze-Pig(Z) Указанное в подзаголовке соединение получают аналогично способу, описанному в примере 1(2), из Boc-Aze-OH (1,03 г; 5,12 ммоль; смотри пример 1(1)) и H-Pig(Z) 2HCl (1,86 г, 5,12 ммоль; получен согласно известному способу (Международная заявка WO 94/29336) с выходом 1,24 г (51%).
1H ЯМР (400 МГц: CDCl3): 07,27-7,43 (m, 5H), 5,12 (s, 2H), 4,60-4,67 (t, 1H), 4,16-4,26 (d, 2H), 3,86-3,95 (m, 1H), 3,74-3,82 (m, 1H), 3,11-3,30(m, 2H), 2,78-2,89 (m, 2H), 2,33-2,52 (bs, 2H), 1,71-1,83 (m, 3H), 1,44 (s, 9H), 1,15-1,29 (m, 2H).
(2) H-Aze-Pig(Z) HClBoc-Aze-Pig(Z) (1,2 г, 2,53 ммоль; из стадии (1), приведенной выше) в этилацетате, насыщенном HCl (75 мл) перемешивают при комнатной температуре в течение 1 ч. Реакционную смесь выпаривают, разбавляют водой и экстрагируют толуолом. Водный слой сушат вымораживанием с получением 1,085 г (96%) указанного в заголовке соединения. 1H ЯМР (500 МГц; CD3OD): 07,32-7,46( m, 5H), 5,28 (s, 2H), 4,99-5,05 (t, 1H), 4,08-4,16 (m, 1H), 3,91-3,99 (m, 3H), 3,13-3,25 (m, 4H), 2,79-2,88 (m, 1H), 2,47-2,57 (m, 1H), 1,82- 1,96 (m, 3H), 1,26-1,40 (m, 2H).
(3)Ph-(R)CH(OTBDMS)-C(O)-Aze-Pig(Z)Указанное в подзаголовке соединение получают аналогично способу, описанному в примере 25(4), из Ph-(R)CH(OTBDMS)-C(O)OH (0,401 г; 1,5 ммоль) и H-Aze-Pig(Z) 2HCl (0,672 г; 1,5 ммоль; из стадии (3)) с выходом 350 мг (46%).
LC-MS m/z 508 (M+1)+, 530 (M+Na)+(4) Ph-(R)CH(OH)-C(O)-Aze-Pig HOAcУказанное в заголовке соединение получают согласно способу, описанному в примере 15(3), из Ph-(R)CH(OTBDMS)-C(O)-Aze-Pig(Z) (0,1 г, 0,197 ммоль; из стадии (3)) с выходом 81 мг (95%). LC-MS m/z 374 (M+1)+ 1H ЯМР (400 МГц; CD3OD): 07,25-7,50 (m, 5H), 5,15 (s, 1H), 4,65-4,75 (m, 1H), 4,25-4,35 (m, 1H), 3,80-4,00 (m, 3H), 2,95-3,50 (m, 4H), 2,05-2,50 (m, 2H), 1,75-1,90 (m, 3H), 1,15-1,30 (m, 2H).
Пример 27Ph-(R)CH(OH)-C(O)-Pro-(R,S)Hig HOAc(1) H-(R,S)Hig(Z)x2HCl Указанное в подзаголовке соединение получают согласно способу, описанному в примере 3(1), из Boc-(R,S)Hig(Z) (получен согласно известному способу (Международная заявка WO 94/29336)). (2) Ph-(R)CH(OTBDMS)-C(O)-Pro-OBn Указанное в подзаголовке соединение получают согласно способу, описанному в примере 1(2), из бензилового эфира L-пролина HCl (2 г, 8,26 ммоль) и Ph-(R)CH(OTBDMS)-C(O)OH (2,0 г, 7,51 ммоль, получен согласно известному способу (Hamada et al., J.Am. Chem. Soc. (1989) 111, 669)) с выходом 2,0 г (59%).
1H ЯМР (500 МГц; CDCl3): 07,22-7,55 (m, 10H), 5,45 (s, 1H), 5,15 (s, 2H), 4,45-4,55 (m, 1H), 3,70-3,82 (m, 1H), 3,05-3,15 (m, 1H), 1,65-2,15 (m, 4H), 0,85-1,05 (m, 9H), 0,00-0,22 (m, 6H).
(3) Ph-(R)CH(OTBDMS)-C(O)-Pro-OHСмесь Ph-(R)CH(OTBDMS)-C(O)-Pro-OBn (1,9 г, 4,19 ммоль, из стадии (2)) и Pd/C (10%, 0,21 г) в этаноле (80 мл) гидрогенизируют при атмосферном давлении в течение 3 ч. Реакционную смесь фильтруют через целит и фильтрат упаривают. Выход составляет 1,36 г (91%) указанного в заголовке соединения. LC-MS m/z 362 (М-1)– 1H ЯМР (500 МГц; CD3OD): 07,20-7,50 (m, 5H), 5,45 (s, 1H), 4,30-4,40 (m, 1H), 3,30-3,70 (m, 2H); 1,75-2,30 (m, 4H), 0,85-1,00 (m, 9H), 0,00- 0,20 (m, 6H).
(4) Ph-(R)CH(OTBDMS)-C(O)-Pro-(R,S)-Hia(Z)Указанное в подзаголовке соединение получают аналогично способу, описанному в примере 25(4), из Ph-(R)CH(OTBDMS)-C(O)-Pro-OH (0,36 г; 1 ммоль; из стадии (3)) и H-(R,S)-Hig(Z) 2HCl (0,36 г, 1 ммоль, из стадии (1)) с выходом 0,65 г неочищенного продукта, который используют без дополнительною очистки на следующей стадии (17%).
LC-MS m/z 636 (M+1)+1 ЯМР (100,5 МГц; CDCl3) амидиновые и карбонильные углероды: 171,57, 171,20, 163,79, 159,22.
(5) Ph-(R)CH(OH)-C(O)-Pro-(R,S)-Hig(Z)Смесь Ph-(R)CH(OTBDMS)-C(O)-Pro-(R,S)-Hig(Z) (0,63 г, 1 ммоль, из стадии (4)) и TFA (10 мл, 20% в CH2Cl2) перемешивают при комнатной температуре в течение 3 ч. pH реакционной смеси доводят до 9 с помощью водного K2CO3, и затем реакционную смесь экстрагируют CH2Cl2. Объединенный органический слой сушат (Na2SO4) и выпаривают. Неочищенный продукт очищают флэш-хроматографией на колонке с силикагелем (40 г), элюируя CH2Cl2 (100 мл), смесью CH2Cl2:EtOH (95:5) (100 мл) и смесью CH2Cl2:EtOH (9:1) (300 мл). Выход составляет 138 мг (26%) указанного в подзаголовке соединения. LC-MS m/z 522 (М+1)+ 13C ЯМР (100,5 МГц; CDCl3) амидиновые и карбонильные углероды: 0172,21, 171,20, 163,64, 159,11.
(6) Ph-(R)CH(OH)-C(O)-Pro-(R,S)Hig HOAcУказанное в заголовке соединение получают согласно способу, описанному в примере 15(3), из Ph-(R)CH(OH)-C(O)-Pro-(R,S)-Hig(Z) (0,071 г; 0,14 ммоль; из стадии (5)) с выходом 49 мг (80%). LC-MS m/z 388 (М+1)+ 1H ЯМР (400 МГц; D2O; усложнен благодаря диастереомерам/ротамерам): 07,32-7,56 (m, 5H), 5,37-5,52 (m, 1H), 4,32-4,64 (m, 1H), 3,57-3,75 (m,2H), 3,24-3,56 (m, 4H), 2,89-3,15 (m, 2H), 1,25-2,80 (m, 9H).
13C ЯМР (75,5 МГц; D2O; усложнен благодаря диастереомерам/ротамерам)амидиновые и карбонильные углероды: 181,92, 474,92, 173,69, 173,03.
Пример 28Ph-(R)CH(OH)-C(O)-Pro-Dig HOAc(1) Ph-(R)CH(OTBDMS)-C(O)-Pro-Dig(Z) Указанное в подзаголовке соединение получают аналогично способу, описанному в примере 25 (4), из H-Dig(Z) (0,14 г; 0,507 ммоль: смотри Международную заявку WO 94/29336) и Ph-(R)CH(OTBDMS)-C(O)-Pro-OH (0,23 г, 0,608 ммоль, смотри пример 27(3)) с выходом 316 мг неочищенного продукта, который используют без дополнительной очистки на следующей стадии. LC-MS m/z 622 (М+1)+ (2) Ph-(R)CH(OH)-C(O)-Pro-Dig(Z) Трифторуксусную кислоту (6 мл, 20% в CH2Cl2) добавляют к Ph-(R)CH(OTBDMS)-C(O)-Pro-Dig(Z) (0,315 г, 0,506 ммоль; из стадии (1)) при 0oC и смесь перемешивают при комнатной температуре в течение 2 ч. pH реакционной смеси доводят до 8 с помощью водного K2CO3 и экстрагируют CH2Cl2. Органический слой промывают водным NaCl, сушат (Na2SO4) и выпаривают. Неочищенный продукт (250 мг) подвергают флэш-хроматографии на колонке с силикагелем, используя в качестве элюента смесь CH2Cl2:MeOH (9:1), с получением 180 мг (70%) указанного в заголовке соединения. 1H ЯМР (400 МГц; CDCl3): 7,25-7,39 (m, 10H), 5,32-5,37 (bs, 1H), 5,08-5,19 (m, 2H), 4,40-4,49 (m, 1H), 4,21-4,35 (m, 2H), 3,87-4,03 (m, 2H), 3,71-3,79 (m, 2H), 3,18-3,32 (m, 2H), 3,00-3,10 (m, 1H), 2,61-2,73 (m, 1H), 2,14- 2,24 (m, 1H), 1,62-2,07 (m, 8H).
(3) Ph-(R)CH(OH)-C(O)-Pro-Dig HOAcУказанное в заголовке соединение получают согласно способу, описанному в примере 15(3), из Ph-(R)CH(OH)-C(O)-Pro-Dig(Z) (0,14 г; 0,276 ммоль; из стадии (2)) с выходом 112 мг (94%). 1H ЯМР (500 МГц; CD3OD): 07,27-7,44 (m, 5H), 5,34 (s, 1H), 4,29-4,35 (m, 1H), 4,17-4,25 (m, 2H), 3,75-7,83 (m, 2H), 3,63-3,73 (m, 1H), 3,25-3,34 (m, 1H), 3,08-3,23 (m, 2H), 2,79-2,90 (m, 1H), 1,70-2,10 (m, 6H).
13C ЯМР (100,6 МГц; CD3OD) амидиновые и карбонильные сигналы: 174,79, 173,26, 158,16.
Пример 29Ph-(R)CH(OH)-C(O)-(R или S)Pic(cis-4-Me)-Pab HOAc иPh-(R)CH(OH)-C(O)-(S или R)Pic(cis-4-Me)-Pab HOAc(1) (R,S)-N-Boc-Pic(cis-4-Me)-Pab(Z) Указанное в подзаголовке соединение получают аналогично способу, описанному в примере 1(2), из (R,S)-N-Boc-Pic(cis-4-Me)-OH (0,88 г; 4,1 ммоль; получен согласно известному (Shuman et al. J. Org. Chem. (1990), 55, 738) способу) с выходом 405 мг (19%). FAB-MS m/z 509 (М+1)+ 1H ЯМР (400 МГц: CDCl3): 7,25-7,90 (m, 9H), 5,20 (s, 2H), 4,45-4,50 (m, 2H), 4,34-4,40 (m, 1H), 3,15-3,70 (m, 2H), 1,70-2,00 (m, 4H), 1,45 (s, 9H), 1,15-1,30 (m, 1H), 0,90-1,05 (m, 3H).
(2) H-(R,S)Pic(cis-4-Me)-Pab(Z)(R, S)-N-Boc-Pic(cis-4-Me)-Pab(Z) (0,40 г; 0,79 ммоль; из стадии (1)) растворяют в CH2Cl2 (5 мл), добавляют трифторуксусную кислоту (5 мл) и смесь перемешивают в течение 0,5 ч. Реакционную смесь упаривают и остаток растворяют в CH2Cl2, промывают водным Na2CO3, сушат (MgSO4) и упаривают. Неочищенный продукт очищают с помощью флэш-хроматографии на колонке с силикагелем, элюируя смесью CH2Cl2:MeOH (95:5) и CH2Cl2:MeOH (9:1). Выход составляет 10 мг (94%) указанного в подзаголовке соединения. FAB-MS m/z 409 (М+1)+ 1H ЯМР (500 МГц; CD3OD): 07,25-7,85 (m, 9H), 5,15 (s, 2H), 4,35-4,45 (m, 2H), 2,55-3,60 (m, 3H), 1,85-2,05 (m, 1H), 1,35-1,65 (m, 2H), 0,90-1,20 (m, 5H).
(3)Ph-(R)CH(OTBDMS)-C(O)-(R,S)Pic(cis-4-Me)-Pab(Z)Указанное в подзаголовке соединение получают аналогично способу, описанному в примере 3(2), из H-(R,S)Pic(cis-4-Me)-Pab(Z) (0,290 г; 0,71 ммоль; из стадии (2)) и Ph-(R)CH(OTBDMS)-C(O)-OH (0,189 г, 0,71 ммоль, получен согласно известному способу (Hamada et al., J. Am. Chem. Soc. (1989) 1110, 669)) с выходом 0,40 г неочищенного продукта, который используют без дополнительной очистки на следующей стадии. (4) Ph-(R)CH(OH)-C(O)-(R,S)Pic(cis-4-Me)-Pab(Z) Ph-(R)CH(OTBDMS)-C(O)-(R, S)Pic(cis-4-Me)-Pab(Z) (0,40 г, неочищенный из стадии (3)) обрабатывают трифторуксусной кислотой (20% в CH2Cl2) в течение 3 ч. Реакционную смесь упаривают и остаток очищают с помощью флэш-хроматографии на колонке с силикагелем, элюируя смесью CH2Cl2:MeOH (98:2, 95:5, 9: 1). Выход составляет 45 мг (11%) указанного в подзаголовке соединения. (5) Ph-(R)CH(OH)-C(O)-(R или S)Pic(cis-4-Me)-Pab HOAc и Ph-(R)CH(OH)-C(O)-(S или R)Pic(cis-4-Me)-Pab x HOAcСмесь Ph-(R)CH(OH)-C(O)-(R,S)Pic(cis-4-Me)-Pab(Z) (0,045 г, 0,083 ммоль; из стадии (4)) и Pd/C (5%, 0,06 г) в этаноле (8 мл) гидрогенизируют при атмосферном давлении в течение 2,5 ч. Реакционную смесь фильтруют и фильтрат упаривают. Неочищенный продукт подвергают препаративной RPLC (0,1 М NH4OAc; 30% ацетонитрил), в результате чего диастереомеры разделяются. Выход составляет 7 мг соединения 29А с соотношением диастереомеров > 99:1 и 11 мг соединения 29Б с соотношением диастереомеров 98:2. Соединение 29А: LC-MS m/z 409 (М+1)+, 407 (М-1)– 1H ЯМР (500 МГц; D2O): 07,20-7,80 (m, 9H), 5,65 (s, 1H), 4,65-5,35 (m, 1H), 4,40-4,55 (m, 2H), 3,85-4,00 (m, 1H), 3,65-3,75 (m, 1H), 2,65-3,15 (m, 2H), 2,05-2,20 (m, 1H), 1,05-1,75 (m, 2H), 0,70-0,90 (m, 3H).
Соединение 29Б:LC-MS m/z 409 (M+1)+, 407 (М-1)– 1H ЯМР (500 МГц; D2O): 7,25-7,80 (m, 9H), 4,55-5,75 (m, 2H), 4,35-4,50 (m, 3H), 3,75-3,85 (m, 1H), 2,70-2,80 (m, 1H), 1,80-2,20 (m, 1H), 0,70-1,70 (m, 6H).
Пример 30Ph-(CH2)2-(R)CH(OH)-C(O)-Aze-Pab HCl(1) Ph-(CH2)2-(R)CH(OH)-C(O)-Aze-Pab(Z) Указанное в подзаголовке соединение получают аналогично способу, описанному в примере 3(2), из H-Aze-Pab(Z) 2HCl (0,434 г; 0,988 ммоль) и (R)-(-)-2-гидрокси-4-фенилмасляной кислоты (0,162 г, 0,898 ммоль), TBTU (0,433 г, 1,348 ммоль) и N-метилморфолина (0,363 r, 3,59 ммоль) в DMF (15 мл) с выходом 105 мг (22%).
LC-MS m/z 529 (М+1)+ 527 (M-1)–1H ЯМР (500 МГц, CDCl3): 08,17-8,25 (m, NH), 7,05-7,72(m, 14H), 5,16-5,22 (m, 2H), 4,71-4,88 (m, 1H), 4,32-4,41 (m, 2H), 3,92-4,04 (m, 2H), 3,79-3,88 (m, 1H), 2,62-2,86 (m, 2H), 2,29-2,57 (m, 2H), 1,80-1,98 (m, 2H).
(2) Ph-(CH2)2-(R)CH(OH)-C(O)-Aze-Pab HClУказанное в заголовке соединение получают согласно способу, описанному в примере 1(5), из Ph-(CH2)2-(R)CH(OH)-C(O)-Aze-Pab(Z) (0,112 г; 0,212 ммоль; из стадии (1)) с выходом 77 мг (84%). LC-MS m/z 395 (М+1)+, 393 (М-1)– 1H ЯМР (400 МГц; CD3OD): 7,77-7,77 (m, 9H), 4,73-5,19 (m, 1H), 4,40-4,62 (m, 2H), 3,92-4,34 (m, 3H), 2,48-2,84 (m, 3H), 2,09-2,33 (m, 1H), 1,83-2,05 (m, 2H).
13C ЯМР (100,6 МГц; D2O; усложнен благодаря ротамерам) амидиновые и карбонильные углероды: 175,66, 174,80, 172,56, 172,49, 166,14, 165,87.
Пример 312-Hафтил-(R,S)CH(OH)-C(O)-Aze-Pab HOAc(1) (R,S)-(2-нафтил)гликолевая кислота Указанное в подзаголовке соединение получают согласно способу, описанному в примере 15(1), из 2-нафтальдегида (15,6 г, 100 ммоль) с выходом 12,37 г (61%). LC-MS m/z 201 (M-1)+, 403 (2M-1)– 1H ЯМР (500 МГц; CD3OD): 07,43-7,98 (m, 7H), 5,29-5,35 (m, 1H).
(2) 2-нафтил-(R,S)CH(OH)-C(O)-Aze-Pab(Z)Указанное в подзаголовке соединение получают согласно способу, описанному в примере 3(2), из (R,S)-(2-нафтил)гликолевая кислота (0,162 г; 0,8 ммоль; из стадии (1)) с выходом 266 мг (60%). LC-MS m/z 551 (М+1)+ 1H ЯМР (400 МГц; CDCl3): 7,18-7,91 (m, 16H), 4,86-5,26 (m, 3H), 4,05-5,60 (m, 3H), 3,52-3,78 (m, 2H), 2,24-2,73 (m, 2H).
(3) 2-нафтил-(R,S)CH(OH)-C(O)-Aze-Pab HOAcУказанное в заголовке соединение получают согласно способу, описанному в примере 15(3), из 2-нафтил-(R, S)CH(OH)-C(O)-Aze- Pab(Z) (0,266 г; 0,48 ммоль; из стадии (2)) с выходом 202 мг (88%). LC-MS m/z 417 (M+1)+ 1H ЯМР (500 МГц; CD3OD): 07,28-7,96 (m, 11H), 5,30-5,40 (m, 1H), 3,95-4,82 (m, 5H), 2,09-2,59 (m, 2H).
Пример 323-Индолил-CH2-(R,S)CH(OH)-C(O)-Aze-Pab HOAc(1) 3-Индолил-CH2-(R,S)CH(OH)-C(O)-Aze-Pab(Z) Указанное в подзаголовке соединение получают согласно способу, описанному в примере 3(2), из (R,S)-3-(3-индолил)молочной кислоты (0,21 г, 1,0 ммоль) с выходом 0,22 г (45%). 1H ЯМР (500 МГц, CDCl3): 06,57-7,80 (m, 14H), 5,24 (s, 2H), 4,59-4,83 (m, 1H), 4,19-4,51 (m, 3H), 3,69-3,99 (m, 2H), 3,03-3,36 (m, 2H), 2,31-2,56 (m, 2H).
(2) 3-Индолил-CH2-(R,S)CH(OH)-C(O)-Aze-Pab HOAcУказанное в заголовке соединение получают согласно способу, описанному в примере 15(3), из 3-индолил-CH2-(R,S)CH(OH)-C(O)-Aze-Pab(Z) (0,11 г; 0,20 ммоль: из стадии (1)) с выходом 75 мг (80%). FAB-MS m/z 420 (M+1)+ 1H ЯМР (500 МГц; D2O): 7,00-7,75 (m, 9H), 4,61 -4,71 (m, 1H), 3,74-4,51 (m, 5H), 3,00-3,28 (m, 2H), 1,95-2,42 (m, 2H).
13C ЯМР (75,5 МГц; D2O; усложнен благодаря диастереомерам/ротамерам) амидиновые и карбонильные углероды: 179,38, 176,19, 175,56, 173,06, 166,78.
Пример 33(CH3)2CH-(R)CH(OH)-C(O)-Aze-Pab HOAc(1) (CH3)2CH-(R)CH(OH)-C(O)-Aze-Pab(Z) Указанное в подзаголовке соединение получают согласно способу, описанному в примере 3(2), из (R)-2-гидроксиизовалериановой кислоты (0,12 г; 1,0 ммоль) с выходом 68 мг (16%). 1H ЯМР (300 МГц; CDCl3): 8,25-8,40 (t, NH), 7,15-7,90 (m, 9H), 5,20 (s, 2H), 4,85-4,95 (m, 1H), 4,30-4,55 (m, 2H), 4,05-4,25 (m, 2H), 3,75-3,90 (m, 1H), 1,65-2,75 (m, 3H), 0,70-1,05 (m, 6H).
(2) (CH3)2CH-(R)CH(OH)-C(O)-Aze-Pab HOAcУказанное в заголовке соединение получают согласно способу, описанному в примере 15(3), из (CH3)2CH-(R)CH(OH)-C(O)-Aze-Pab(Z) (0,068 г; 0,15 ммоль, из стадии (1)) с выходом 13 мг (23%). 1H ЯМР (300 МГц; D2O); 07,45-7,80 (m, 4H), 4,85-5,25 (m, 1H), 4,45-4,65 (m, 2H), 4,30-4,40 (m, 1H), 3,80-4,10 (m, 2H), 2,60-2,80 (m, 1H), 2,20-2,35 (m, 1H), 1,90-2,05 (m, 1H), 0,70-1,00 (m, 6H).
13C ЯМР (75,5 МГц; D2O; усложнен благодаря ротамерам) амидиновые и карбонильные углероды 182,37, 176,34, 175,38, 173.84, 173,26, 167,16.
Пример 34(CH3)2CH-(CH2)2-(R,S)CH(OH)-C(O)-Aze-Pab HOAc(1) (CH3)2CH-(CH2)2)-(R,S)CH(OH)-C(O)-Aze-Pab(Z) Указанное в подзаголовке соединение получают согласно способу, описанному в примере 3(2), из (R,S)-изолейциновой кислоты (0,12 г; 0,88 ммоль) с выходом 0,15 г (36%). 1H ЯМР (300 МГц; CDCl3): 07,15-7,80 (m, 9H), 5,20 (s, 2H), 4,85-4,95( m, 1H), 4,35-4,55 (m, 2H), 3,85-4,20 (m, 3H), 2,40-2,80 (m,2H), 1,75-2,10 (m, 1H), 1,20-1,55 (m,2H), 0,75-1,00 (m, 6H).
(2) (CH3)2CH-(CH2)2-(R,S)CH(OH)-C(O)-Aze-Pab HOAcУказанное в заголовке соединение получают согласно способу, описанному в примере 15(3), из (CH3)2CH-(CH2)2-(R,S)CH(OH)-C(O)- Aze-Pab(Z) (0,13 г; 0,27 ммоль; из стадии (1)) с выходом 0,11 г (100%). 1H ЯМР (400 МГц; D2O): 7,63-7,69 (m, 2H), 7,37-7,46 (m, 2H), 4,72-5,12 (m, 1H), 4,40-4,46 (m, 2H), 4,17-4,31 (m, 2H), 3,90-4,02 (m, 1H), 2,50-2,69 (m, 1H), 2,11-2,27 (m, 1H), 1,12-1,72 (m, 3H), 0,61-0,85 (m, 6H).
13C ЯМР (75,5 МГц; D2O; усложнен благодаря диастереомерам/ротамерам) амидиновые и карбонильные углероды: 176,97, 176,80, 176,61, 176,19, 173,38, 173,28, 173,17, 173,10, 166,78, 182,02.
Пример 35Ph(3-OH)-(R,S)CH(OH)-C(O)-Pro-Pab HCl(1) Boc-Pro-Pab(Z) HClУказанное в подзаголовке соединение получают аналогично способу, описанному в примере 1(2), из Boc-Pro-OH (10,2 г; 47,4 ммоль) и добавляют H-Pab(Z) HCl (15,9 г, 49,8 ммоль) с выходом 21,74 г (95,5%).
FAB-MS m/z 481 (М+1)+1H ЯМР (400 МГц; CD3OD): 08,0-7,8 (m, 2H), 7,5-7,25 (m, 7H), 5,17 (s, 2H), 4,6-4,15 (m, 3H), 3,6-3,35 (m, 2H), 2,3-2,1 (m, 1H), 2,1-1,8 (m, 3H), 1,5-1,3 (два широких синглета, ротамеры Boc, 9H).
(2) H-Pro-Pab(Z)Указанное в подзаголовке соединение получают аналогично способу, описанному в примере 3(1), из Boc-Pro-Pab(Z) HCl (из стадии (1)) с последующей щелочной экстракцией.
(3) Ph(3-OH)-(R,S)CH(OH)-C(O)-Pro-Pab(Z)Указанное в подзаголовке соединение получают аналогично способу, описанному в примере 3(2), из (R,S)-3-гидроксиминдальной кислоты (0,25 г, 1,5 ммоль) и H-Pro-Pab(Z) (0,63 г; 1,65 ммоль; из стадии (2)) с выходом 51 мг (6%). FAB-MS m/z 531 (М+1)+ (4) Ph(3-OH)-(R,S)CH(OH)-C(O)-Pro-Pab HClУказанное в заголовке соединение получают согласно способу, описанному в примере 1(5), из Ph(3-OH)-(R,S)CH(OH)-C(O)-Pro-Pab(Z) (0,05 г; 0,094 ммоль; из стадии (3)) с выходом 30 мг (74%). FAB-MS m/z 397 (М+1)+ 13C ЯМР (75,5 МГц; D2O; усложнен благодаря диастереомерам/ротамерам)амидиновые и карбонильные углероды: 175,36, 175,13, 172,92, 167,13.
Пример 36Ph(3,5-диOMe)-(R,S)CH(OH)-C(O)-Pro-Pab HOAc(1) Ph(3,5-диOMe)-(R,S)CH(OH)-C(O)-Pro-Pab(Z) Указанное в подзаголовке соединение получают согласно способу, описанному в примере 3(2), из (R,S)-3,5-диметоксиминдальной кислоты (0,08 г; 0,38 ммоль; получена согласно известному (Synthesis (1974), 724) способу) и H-Pro-Pab(Z) (0,16 г, 0,42 ммоль, смотри пример 35(2)) с выходом 61 мг (28%). 1H ЯМР (500 МГц; CD3Cl): 07,70-7,80 (t, NH), 7,08-7,50 (m, 9H), 6,30-6,50 (m, 3H), 5,20 (s, 2H), 5,00-5,10 (m, 1H), 4,25-4,70 (m, 3H), 3,60-3,80 (m, 6H), 3,35-3,55 (m, 1H), 2,95- 3,25 (m, 1H),1,70-2,25 (m, 4H).
(2) Ph(3,5-диOMe)-(R,S)CH(OH)-C(O)-Pro-Pab HOAcУказанное в заголовке соединение получают согласно способу, описанному в примере 15(3), из Ph(3,5-диОМе)-(R,S)CH(OH)-C(O)-Pro-Pab(Z) (0,06 г: 0,10 ммоль, из стадии (1)) с выходом 35 мг (72%). 1H ЯМР (500 МГц; D2O): 7,23-7,80 (m, 4H), 6,41-6,65 (m, 3H), 5,35-5,45 (m, 1H), 4,35-4,60 (m, 3H), 3,80 (s, 3H), 3,10-3,75 (m, 5H), 1,70- 2,35 (m, 4H).
13C ЯМР (75,5 МГц; D2O; усложнен благодаря диастереомерам/ротамерам) амидиновые и карбонильные углероды: 175,28, 175,05, 174,03, 173,46, 172,80, 172,73, 167,11, 166,95.
Пример 37Ph(3-OMe-(R,S)CH(OH)-C(O)-Pro-Pab HOAc(1) Ph(3-OMe)-(R,S)CH(OH)-C(O)-Pro-Pab(Z) Указанное в подзаголовке соединение получают согласно способу, описанному в примере 3(2), из (R,S)-3-метоксиминдальной кислоты (0,27 г; 1,5 ммоль) и H-Pro-Pab(Z) (0,57 г, 1,5 ммоль; смотри пример 35(2)) с выходом 158 мг (20%). FAB-MS m/z 545 (M+1)+ 1H ЯМР (400 МГц; CDCl3): 7,77-7,84 (m, 2H), 7,01-7,48 (m, 8H), 6,80-6,91 (m, 3H), 5,20-5,24 (m, 2H), 5,06-5,11 (m, 1H), 4,30-4,72 (m, 3H), 3,68-3,79 (m, 3H), 3,38-3,57 (m, 1H), 2,92-3,17 (m, 1H), 1,68-2,31 (m, 4H).
(2) Ph(3-OMe)-(R,S)CH(OH)-C(O)-Pro-Pab HOAcУказанное в заголовке соединение получают согласно способу, описанному в примере 15(3), из Ph(3-OMe)-(R,S)CH(OH)-C(O)-Pro-Pab(Z) (0,06 г; 0,11 ммоль; со стадии (1)) с выходом 39 мг (75%). LC-MS m/z 411 (M+1)+, 409 (M-1)– 1H ЯМР (400 МГц; D2O): 6,81-7,84 (m, 8H), 5,47 (s, 1H), 4,35-4,59 (m, 3H), 3,60-3,88 (m, 4H), 3,07-3,29 (m, 1H), 1,74-2,37 (m, 4H).
Пример 38Ph(3,4-(O-CH2-O))-(R,S)CH(OH)-C(O)-Aze-Pab HOAc(1) Ph(3,4-(O-CH2-O))-(R,S)CH(OH)-C(O)-Aze-Pab(Z) Указанное в подзаголовке соединение получают согласно способу, описанному в примере 3(2), из (R,S)-3,4-метилендиоксиминдальной кислоты (0,20 г 1,0 ммоль: получена согласно известному (Synthesis (1974) 724) способу) с выходом 0,22 г (44%). 1H ЯМР (400 МГц; ацетон-d6): 6,68-8,12 (m, 12H), 5,94-6,05 (m, 2H) 5,18 (s, 2H), 3,81-5,12 (m, 6H), 2,30-2,54( m, 2H).
(2) Ph(3,4-(O-CH2-O))-(R,S)CH(OH)-C(O)-Pro-Aze HOAcУказанное в заголовке соединение получают согласно способу, описанному в примере 15(3), из Ph(3,4-(O-CH2-O))- (R,S)CH(OH)-C(O)-Aze-Pab(Z) (0,11 г; 0,20 ммоль; из стадии (1)) с выходом 72 мг (76%). 1H ЯМР (500 МГц: D2O): 6,64-7,80 (m, 7H), 5,91-6,01 (m, 2H), 4,80-5,24 (m, 2H), 3,88-4,57 (m, 4H), 2,11- 2,84 (m, 2H).
13C ЯМР (75,5 МГц, D2O; усложнен благодаря диастереомерам/ротамерам)амидиновые и карбонильные углероды: 176,03, 175,70, 175,07, 174,82, 168,86.
Пример 39Ph(3-OMe,4-OH)-(R,S)CH(OH)-C(O)-Pro-Pab HOAc(1) Ph(3-OMe,4-OH)-(R,S)CH(OH)-C(O)-Pro-Pab(Z) Указанное в подзаголовке соединение получают аналогично способу, описанному в примере 3(2), из (R,S)-4-гидрокси-3-метоксиминдальной кислоты (0,40 г; 2,0 ммоль) и H-Pro-Pab(Z) (0,76 г, 2,0 ммоль; смотри пример 35(2)) с выходом 132 мг (12%). FAB-MS m/z 561 (М+1)+ 1H ЯМР (400 МГц; CDCl3): 6,62-7,84 (m, 12H), 5,20-5,25 (m, 2H), 4,15-5,08 (m, 3H), 3,42-3,84 (m, 4H), 2,91-3,25 (m, 1H), 1,66-2,37 (m, 4H).
(2) Ph(3-OMe,4-OH)-(R,S)CH(OH)-C(O)-Pro-Pab HOAcУказанное в заголовке соединение получают согласно способу, описанному в примере 15(3), из Ph(3-OMe,4-OH)-(R,S)CH(OH)-C(O)-Pro-Pab(Z) (0,048 г; 0,09 ммоль; из стадии (1)) с выходом 23 мг (55%). FAB-MS m/z 427 (M+1)+ 1H ЯМР (400 МГц; D2O): 6,72-7,83 (m, 1H), 5,42 (s, 1H), 4,38-4,68 (m, 3H), 3,55-4,10 (m, 4H), 3,09-3,29 (m, 1H), 1,72-2,37 (m, 4H).
13C ЯМР (75,5 МГц; D2O) амидиновые и карбонильные углероды: 175,12, 173,25, 167,09.
Пример 40Ph-(R,S)C(Et)(OH)-C(O)-Pro-Pab HOAc(1) Ph-(R,S)C(Et)(OH)-C(O)-Pro-Pab(Z) Указанное в подзаголовке соединение получают согласно способу, описанному в примере 3(2), из (R,S)-2-гидрокси-2-фенилбутановой кислоты (0,36 г; 2,0 ммоль) и H-Pro-Pab(Z) (0,76 г, 2,0 ммоль; смотри пример 35(2)) с выходом 57 мг (5%). FAB-MS m/z 543 (М+1)+ 1H ЯМР (400 МГц; CDCl3): 7,24-7,88 (m, 14H), 5,23 (s, 2H), 4,44-4,81 (m, 3H), 2,98-3,25 (m, 2H), 1,49-2,32 (m, 6H), 0,85-0,95 (m, 3H).
(2) Ph-(R,S)C(Et)(OH)-C(O)-Pro-Pab HOAcУказанное в заголовке соединение получают согласно способу, описанному в примере 15(3), из Ph-(R,S)C(Et)(OH)-C(O)-Pro-Pab(Z) (0,055 г 0,1 ммоль; из стадии (1)) с выходом 34 мг (72%). FAB-MS m/z 409 (М+1)+ 1H ЯМР (400 МГц; D2O): 7,33-7,82 (m, 9H), 4,38-4,60 (m, 3H), 3,19-3,71 (m, 2H), 1,54-2,34 (m, 6H), 0,73-0,90 (m, 3H).
13C ЯМР (75,5 МГц; D2O; усложнен благодаря диастереомерам/ротамерам)амидиновые и карбонильные углероды: 182,05, 176,42, 175,73, 175,59, 174,70, 174,47, 167,18.
Пример 41Ph(3,5-диMe)-(R,S)CH(OH)-C(O)-Aze-Pab HOAc(1) (R,S)-3.5-диметилминдальная кислота Указанное в подзаголовке соединение получают согласно способу, описанному в примере 15(1), из 3,5-диметилбензальдегида (5,0 г; 37 ммоль) с выходом 2,8 г (42%). 1H ЯМР (400 МГц; CD3OD): 7,05 (s, 2H), 6,94 (s, 1H), 5,04 (s, 1H), 2,28 (s, 6H).
(2) Ph(3,5-диMe)-(R,S)CH(OH)-C(O)-Aze-Pab(Z)Указанное в подзаголовке соединение получают согласно способу, описанному в примере 3(2), из (R,S)-3,5-диметилминдальной кислоты (0,27 г; 1,5 ммоль; из стадии (1)) с выходом 0,403 г (51%). FAB-MS m/z 529 (М+1)+ 1H ЯМР (500 МГц; CDCl3): 6,85-7,88 (m, 12H), 5,22-5,26 (m, 2H), 4,84-5,03 (m, 2H), 4,43-4,62 (m, 2H), 3,57-4,13 (m, 2H), 2,25-2,74 (m, 8H).
(3) Ph(3,5-диMe)-(R,S)CH(OH)-C(O)-Aze-Pab HOAcУказанное в заголовке соединение получают согласно способу, описанному в примере 15(3), из Ph(3,5-диMe)-(R,S)CH(OH)-C(O)-Aze- Pab(Z) (0,102 г; 0,194 ммоль: из стадии (2)) с выходом 74 мг (84%). FAB-MS m/z 395 (M+1)+ 1H ЯМР (400 МГц; D2O): 6,76-7,82 (m, 7H), 4,80-5,27 (m, 2H), 3,87-4,62 (m, 4H), 2,20-2,87 (m, 8H).
13C ЯМР (75,5 МГц; D2O; усложнен благодаря диастереомерам/ротамерам) амидиновые и карбонильные углероды: 182,07, 175,60, 174,49, 174,37, 173,96, 173,23, 173,09, 173,05, 172,93, 166,98, 166,90.
Пример 42Ph(3-NH2)-(R,S)CH(OH)-C(O)-Aze-Pab HOAc(1) Ph(3-NO2)-(R,S)CH(OH)-C(O)-Aze-Pab(Z) Указанное в подзаголовке соединение получают согласно способу, описанному в примере 3(2), из (R,S)-3-нитроминдальной кислоты (0,30 г; 1,5 ммоль) с выходом 0,40 мг (48%). LC-MS m/z 545 (М+1)+ 1H ЯМР (400 МГц; CDCl3): 7,16-8,22 (m, 13H), 5,18-5,23 (m, 2H), 4,85-5,15 (m, 2H), 4,08-4,60 (m, 3H), 3,65-3,81 (m, 1H), 2,31-2,71 (m, 2H).
(2) Ph(3-NH2)-(R,S)CH(OH)-C(O)-Aze-Pab HOAcУказанное в заголовке соединение получают согласно способу, описанному в примере 15(3), из Ph(3-NO2)-(R, S)CH(OH)-C(O)-Aze-Pab(Z) (0,102 г; 0,19 ммоль; из стадии (1)) с выходом 0,074 г (89%). LC-MS m/z 382 (М+1)+ 1H ЯМР (400 МГц; D2O): 6,58-7,82 (m, 8H), 4,80-5,25 (m, 2H), 3,60-4,60 (m, 4H), 2,12-2,88 (m, 2H).
13C ЯМР (75,5 МГц; D2O; усложнен благодаря диастереомерам/ротамерам)амидиновые и карбонильные углероды: 181,96, 175,27, 174,25, 173,84, 173,19, 173,01, 166,93.
Пример 43Ph(3-NO2)-(R,S)CH(OH)-C(O)-Aze-Pab HOAcК смеси Ph(3-NO2)-(R, S)CH(OH)-C(O)-Aze-Pab(Z) (0,100 г, 0,18 ммоль, смотри пример 42(1)) и CH2Cl2 (10 мл) добавляют анизол (0,030 г, 0,27 ммоль) и трифторметансульфоновую кислоту (0,138 г, 0,92 ммоль). Реакционную смесь перемешивают при комнатной температуре в течение 10 мин. Добавляют H2O и pH доводят до 9 с помощью водного Na2CO3. В вакууме удаляют CH2Cl2 и экстрагируют оставшийся H2O- слой диэтиловым эфиром (3 х 5 мл) с последующей сушкой вымораживанием. Неочищенный продукт подвергают RPLC с получением 62 мг (60%) указанного в заголовке продукта после сушки вымораживанием. 1H ЯМР (400 МГц; D2O): 7,38-8,31 (m, 8H), 4,83-5,50 (m, 2H), 4,03-4,57 (m, 4H), 2,17-2,86 (m, 2H).
13C ЯМР (75,5 МГц; D2O; усложнен благодаря диастереомерам/ротамерам)амидиновые и карбонильные углероды: 181,5, 173,84, 173,39, 173,15, 173,04, 172,96, 172,80, 166,85.
Пример 44Ph(3-NH2)-(R,S)CH(OH)-C(O)-Pro-Pab HOAc(1) Ph(3-NH2)-(R,S)CH(OH)-C(O)-Pro-Pab(Z) Указанное в подзаголовке соединение получают согласно способу, описанному в примере 3(2), из (R,S)-3-нитроминдальной кислоты (0,30 г; 1,5 ммоль) и H-Pro-Pab(Z) 2HCl (0,75 г, 1,65 ммоль; смотри пример 35(2)) с выходом 0,61 г (73%).
LC-MS m/z 560 (М+1)+1H ЯМР (400 МГц; CDCl3): 7,26-8,23 (m, 13H), 5,20-5,28 (m, 3H), 4,33-4,73 (m, 3H), 3,46-3,68 (m, 1H), 2,92-3,14 (m, 1H), 1,79-2,33 (m, 4H). (2) Ph(3-NH2)-(R,S)CH(OH)-C(O)-Pro-Pab HOAcУказанное в заголовке соединение получают согласно способу, описанному в примере 15(3), из Ph(3-NH2)-(R, S)CH(OH)-C(O)-Pro-Pab(Z) (0,104 г; 0,19 ммоль; со стадии (1)) с выходом 64 мг (76%). LC-MS m/z 396 (М+1)+ 1H ЯМР (400 МГц; D2O): 6,74-7,82 (m,8H), 5,34-5,40 (m, 1H), 4,55- 4,58 (m, 3H), 3,09-3,78 (m, 2H), 1,75-2,35 (m, 4H).
13C ЯМР (75,5 МГц; D2O: усложнен благодаря диастереомерам/ротамерам) амидиновые и карбонильные углероды: 182,04, 175,38 175,18, 173,12, 173,04, 167,07.
Пример 45Ph(3-NO2)-(R или S)CH(OH)-C(O)-Pro-Pab HOAcУказанное в заголовке соединение получают согласно способу, описанному в примере 40(3), из Ph(3-NO2)-(R, S)CH(OH)-C(O)-Pro- Pab(Z) (0,117 г; 0,21 ммоль: смотри пример 44(1)). Фракции концентрируют с получением 23 мг (45%) соединения с соотношением диастереомеров более 99:1. LC-MS m/z 424 (М-1)–, 426 (М+1)+ 1H ЯМР (500 МГц; D2O): 7,31-8,35 (m, 8H), 5,50-5,71 (m, 1H), 3,64-4,57 (m, 4H), 3,24-3,32 (m, 1H), 1,76-2,42 (m, 4H).
13C ЯМР (75,5 МГц: D2O; усложнен благодаря ротамерам) амидиновые и карбонильные углероды: 175,21, 173,98, 172,58, 172,18, 167,12, 166,82.
(Более ранние фракции концентрируют с получением 22 мг (43%) эпимера вышеуказанного соединения с соотношением диастереомеров более 99:1).
Пример 46Ph(3,4-(-O-CH2-O-))-(R,S)CH(OH)-C(O)-Pro-Pab HCl(1) Ph(3,4-(-O-CH2-O-))-(R,S)CH(OH)-C(O)-Pro-Pab(Z) Указанное в подзаголовке соединение получают согласно способу, описанному в примере 3(2), из (R,S)-3,4-метилендиоксиминдальной кислоты (0,20 г; 1,0 ммоль; получена согласно известному (Synthesis (1974), 724) способу) и H-Pro-Pab(Z) 2HCl (0,35 г, 0,91 ммоль; смотри пример 35(2)) с выходом 80 мг (16%).
FAB-MS m/z 559 (М+1)+1H ЯМР (500 МГц; CDCl3): 6,69-7,89 (m, 12H), 5,91-6,04 (m, 2H), 4,30-5,28 (m, 2H), 3,00-3,61 (m, 6H), 1,95-2,35 (m, 4H).
(2) Ph(3,4-(-O-CH2-O-))-(R,S)CH(OH)-C(O)-Pro-Pab HClУказанное в заголовке соединение получают согласно способу, описанному в примере 1(5), из Ph(3,4-(-O-CH2-O-))-(R,S)CH(OH)-C(O)-Pro-Pab(Z) (0,08 г; 0,14 ммоль, из стадии (1)) с выходом 48 мг (73%). FAB-MS m/z 425 (М+1)+ 1H ЯМР (500 МГц; D2O): 6,81-7,85 (m, 7H), 5,90-6,05 (m, 2H), 5,33-5,44 (m, 1H), 4,37-4,90 (m, 3H), 3,62-3,77 (m, 1H), 3,13-3,28 (m, 1H), 1,80-2,36 (m, 4H).
13C ЯМР (75,5 МГц; D2O: усложнен благодаря диастереомерам/ротамерам) амидиновые и карбонильные углероды: 175,37, 175,09, 173,66, 173,08, 173,00, 167,03.
Пример 47Ph(3,5-диF)-(R,S)CH(OH)-C(O)-Pro-Pab HOAc(1) Ph(3,5-диF)-(R,S)CH(OH)-C(O)-Pro-Pab(Z) Указанное в подзаголовке соединение получают согласно способу, описанному в примере 3(2), из (R,S)-3,5-дифторминдальной кислоты (0,28 г; 1,5 ммоль) и H-Pro-Pab(Z) 2HCl (0,75 г, 1,65 ммоль; смотри пример 35(2)) с выходом 0,42 г (51 %).
LC-MS m/z 549 (М-1)–, 551 (М+1)+H ЯМР (400 МГц; CDCl3): 6,72-7,84 (m, 12H), 5,22 (s, 2H), 5,08 (s, 1H), 4,34-4,73 (m, 3H), 3,41-3,60 (m, 1H), 2,96-3,19 (m, 1H), 1,80-2,34 (m, 4H).
(2) Ph(3,5-диF)-(R,S)CH(OH)-C(O)-Pro-Pab HOAcУказанное в заголовке соединение получают согласно способу, описанному в примере 15(3), из Ph(3,5-диF)-(R,S)CH(OH)-C(O)-Pro- Pab(Z) (0,104 г: 0,19 ммоль; из стадии (1)) с выходом 79 мг (88%). LC-MS m/z 415 (М-1)–, 417 (М+1)+ 1H ЯМР (400 МГц; D2O): 6,86-7,80 (m, 7H), 5,50 (s, 1H), 3,58-4,72 (m, 4H), 3,19-3,32 (m, 1H), 1,80- 2,37 (m, 4H).
13C ЯМР (75,5 МГц; D2O; усложнен благодаря диастереомерам/ротамерам) амидиновые и карбонильные углероды: 181,87, 175,21, 174,98, 174,12, 172,57, 172,12, 171,97, 167,10, 165,24.
Пример 48Ph-(R)CH(O-CH2-(R,S)CH(OH)-CH2OH)-C(O)-Aze-Pab HOAc(1) Ph-(R)CH(OH)-C(O)OBn (R)-Миндальную кислоту (3,0 г, 19,7 ммоль) растворяют в DMF (50 мл) и добавляют карбонат цезия (3,21 г, 9,86 ммоль). Реакционную смесь перемешивают при комнатной температуре в течение ночи. Смесь разбавляют H2О (200 мл) и H2O-слой экстрагируют EtOAc. После разделения органический слой промывают водным HCl, сушат (Na2SO4) и упаривают. Выход указанного в заголовке соединения составляет 4,2 г (88%). LC-MS m/z 265 (M+Na)+ 1H ЯМР (400 МГц; CDCl3): 7,17-7,44 (m, 10H), 5,12-5,27 (m, 3H).
(2) Ph-(R)CH(O-CH2-CH=CH2)-C(O)OBnСмесь соединения Ph-(R)CH(OH)-C(O)OBn (1,0 г, 4,13 ммоль; из стадии (1)), сульфата магния (0,1 г, 0,83 ммоль) и оксида серебра (I) (2,58 г, 11,2 ммоль) в петролейном эфире (t.кип. 40-60oC; 25 мл) перемешивают в темноте при комнатной температуре в атмосфере азота. По каплям добавляют аллилбромид (0,75 г, 6,19 ммоль), а затем двумя порциями добавляют оксид серебра (I) (2,58 г, 11,2 ммоль). Реакционную смесь перемешивают в течение ночи при комнатной температуре. Затем смесь фильтруют через целит и фильтрат выпаривают с получением 1,143 г (98%) указанного в подзаголовке соединения. 1H ЯМР (500 МГц; CDCl3): 7,20-7,50 (m, 10H), 5,89-5,99 (m, 1H), 5,09-5,31 (m, 4H), 4,99 (s, 1H), 4,03-4,11 (m, 2H).
(3)Ph-(R)CH(O-CH2-(R,S)CH(OH)-CH2OH)-C(O)OBnСмесь соединения Ph-(R)CH(O-CH2-CH=CH2)-C(O)OBn (0,74 г, 2,62 ммоль, из стадии (2)), N-метилморфолин-N-оксида (0,425 г, 3,15 ммоль) и тетраоксида осмия (0,0027 г, 0,01 ммоль) в смеси H2O:ацетон (2:1, 10 мл) перемешивают при комнатной температуре в течение 2 дней. Добавляют пиросульфит натрия (1,5 г, 7,89 ммоль) и перемешивают смесь в течение 1 ч. Затем реакционную смесь фильтруют через целит, и фильтрат упаривают. Выход указанного в подзаголовке соединения составляет 0,51 г (62%). 1H ЯМР (400 МГц; CDCl3): 7,16-7,44 (m, 10H), 5,09-5,20 (m, 2H), 4,96 (s, 1H), 3,55-3,97 (m, 5H).
(4) Ph-(R)CH(O-CH2-(R,S)CH(-O-C(CH3)2-O- CH2-))-C(O)OBnPh-(R)CH(O-CH2-(R,S)CH(OH)-CH2OH)-C(O)OBn (0,51 г, 1,61 ммоль, из стадии (3)) растворяют в ацетоне (20 мл). Добавляют моногидрат п-толуолсульфоновой кислоты (0,007 г, 0,0037 ммоль) и смесь перемешивают при комнатной температуре в течение 24 ч. Добавляют карбонат калия (0,09 г) и реакционную смесь перемешивают при комнатной температуре в течение 1 ч. Затем смесь фильтруют через целит, и фильтрат упаривают с получением 0,559 г (97%) указанного в подзаголовке соединения. 1H ЯМР (400 МГц; CDCl3): 7,18-7,48 (m, 10H), 5,01-5,21 (m, 3H), 4,27-4,40 (m, 1H), 4,02-4,11 (m, 1H), 3,76-3,90 (m, 1H), 3,49-3,67 (m, 2H), 1,34-1,41 (m, 6H).
(5) Ph-(R)CH(O-CH2-(R,S)CH(-O-C(CH3)2-O-CH2-))- C(O)OHPh-(R)CH(O-CH2-(R, S)CH(-O-C(CH3)2-O-CH2-))- C(O)OBn (0,183 г, 0,51 ммоль; из стадии (4)) растворяют в этаноле (10 мл). Добавляют Pd/C (5%, 0,09 г) и реакционную смесь гидрогенизируют при атмосферном давлении в течение 1 ч. Затем смесь фильтруют через целит, и фильтрат упаривают с получением 0,137 г (100 %) указанного в подзаголовке соединения. LC-MS m/z 265 (М-1)– 1H ЯМР (400 МГц; CD3OD): 7,28-7,48 (m, 5H), 4,97 (s, 1H), 4,25-4,35 (m, 1H), 4,01-4,09 (m, 1H), 3,72-3,84(m, 1H), 3,43-3,65 (m, 2H), 1,30-1,37 (m, 6H).
(6) Ph-(R)CH(O-CH2-(R,S)CH(-O-C(CH3)2-O- CH2-))-C(O)-Aze-Pab(Z)Указанное в подзаголовке соединение получают согласно способу, описанному в примере 3(2), из Ph-(R)CH(O-CH2-(R,S)CH(-O-C(CH3)2-O-CH2-))- C(O)OH (0,165 г; 0,62 ммоль; из стадии (5)) с выходом 0,20 г (52%). LC-MS m/z 613 (М-1)–, 615 (М+1)+ 1H ЯМР (500 МГц; CDCl3): 7,22-7,88 (m, 14H), 5,22 (s, 2H), 4,87-4,95 (m, 2H), 3,40-4,54 (m, 9H), 2,36-2,76 (m, 2H), 1,22-1,42 (m, 6H).
(7) Ph-(R)CH(O-CH2-(R,S)CH(-O-C(CH3)2-O- CH2-))-C(O)-Aze-Pab HOAcУказанное в заголовке соединение получают согласно способу, описанному в примере 15(3), из Ph-(R)CH(O-CH2-(R, S)CH(-O-C(CH3)2– O-CH2-))-C(O)-Aze-Pab(Z) (0,20 г; 0,325 ммоль; из стадии (6)) с выходом 179 мг (100%). LC-MS m/z 479 (М-1)–, 481 (М+1)+ 1H ЯМР (500 МГц; D2O): 7,33-7,80 (m, 9H), 4,81-5,31 (m, 2H), 3,94-4,59 (m, 6H), 3,25-3,80 (m, 3H), 2,16-2,88 (m, 2H), 1,29-1,44 (m, 6H).
13C ЯМР (75,5 МГц; D2O; усложнен благодаря диастереомерам/ротамерам) амидиновые и карбонильные углероды: 181,99, 173,12, 172,93, 172,18, 166,84.
(8) Ph-(R)CH(O-CH2-(R,S)CH(OH)-CH2OH)-C(O)-Aze-Pab HOAcPh-(R)CH(O-CH2-(R, S)CH(-O-C(CH3)2-O- CH2-))-C(O)-Aze-Pab HOAc (0,094 г, 0,17 ммоль, со стадии (7) растворяют в смеси HOAc:H2O (4:1, 10 мл) и реакционную смесь перемешивают при комнатной температуре в течение 24 ч. Смесь упаривают и остаток растворяют в H2O и сушат вымораживанием. Выход указанного в заголовке соединения составляет 85 мг (100%).
LC-MS m/z 439 (М-1)–, 441 (М+1)+1H ЯМР (500 МГц; D2O): 7,32-7,78 (m, 9H), 4,81-5,28 (m, 2H), 3,28-4,56 (m, 9H), 2,15-2,90 (m, 2H).
13C ЯМР (100,6 МГц; D2O; усложнен благодаря диастереомерам/ротамерам) амидиновые и карбонильные углероды: 179,14, 172,93, 172,89, 172,51, 171,96, 166,54.
Пример 49Ph-(R)CH(O-CH2-(R,S)CH(OH)-CH2OH)-C(O)-Pro-Pab HOAc(1) Ph-(R)CH(O-CH2-(R,S)CH(-O-C(CH3)2– O-CH2-))-C(O)-Pro-Pab(Z) Указанное в подзаголовке соединение получают согласно способу, описанному в примере 3(2), из Ph-(R)CH(O-CH2-(R,S)CH(-O-C(CH3)2-O-CH2-))- C(O)OH (0,108 г; 0,4 ммоль; смотри пример 48(5)) и H-Pro-Pab(Z) 2HCl (0,202 г, 0,46 ммоль, смотри пример 35(2)) с выходом 0,10 г (40%).
LC-MS m/z 627(М-1)–, 629 (М+1)+, 651 (M+Na)+1H ЯМР (500 МГц; CDCl3): 7,23-7,87 (m, 14H), 5,03-5,27 (m, 3H), 3,34-4,64 (m, 10H), 1,71-2,39 (m, 4H), 1,23-1,41 (m, 6H).
(2) Ph-(R)CH(O-CH2-(R,S)CH(-O- C(CH3)2-O-CH2-))-C(O)-Pro-Pab HOAcУказанное в подзаголовке соединение получают согласно способу, описанному в примере 15 (3), из Ph-(R)CH(O-CH2-(R,S)CH(-O-C(CH3)2-O-CH2))- C(O)-Pro-Pab(Z) (0,100 г; 0,159 ммоль; из стадии (1)) с выходом 85 мг (96%). LC-MS m/z 493 (М-1)–, 495 (М+1)+ 1H ЯМР (500 МГц; D2O): 7,30-7,82 (m, 9H), 5,22-5,38 (m, 1H), 4,32-4,62 (m, 4H), 4,01-4,11 (m, 1H), 3,22-3,83 (m, 5H), 1,78-2,22 (m, 4H), 1,33-1,44 (m, 6H).
13C ЯМР (100,6 МГц; D2O; усложнен благодаря диастереомерам/ротамерам) амидиновые и карбонильные углероды: 181,47, 174,74, 173,53, 171,64, 171,50, 171,00, 170,94, 166,58.
(3) Ph-(R)CH(O-CH2-(R,S)CH(OH)-CH2OH)-C(O)-Pro-Pab HOAcУказанное в заголовке соединение получают согласно способу, описанному в примере 48(8), из Ph-(R)CH(O-CH2-(R,S)CH(-O-C(CH3)2-O-CH2)-C(O)-Pro-Pab HOAc (0,038 г; 0,069 ммоль; из стадии (2)) с выходом 35 мг (98%).
LC-MS m/z 453 (М-1)–, 455 (М+1)+1H ЯМР (500 МГц; D2O): 7,30-7,82 (m, 9H), 5,20-5,38 (m, 1H), 3,18-4,60 (m, 10H), 1,70-2,38 (m, 4H).
13C ЯМР (100,6 МГц; D2O; усложнен благодаря диастереомерам/ротамерам) амидиновые и карбонильные углероды: 180,26, 174,74, 173,47, 171,80, 171,26, 166,61.
Пример 50Ph-(R или S)C(-O-C(CH3)2-O-CH2-)- C(O)-Aze-Pab HOAc иPh-(S или R)C(-O-C(CH3)2-O-CH2)-C(O)-Are-Pab HOAc(1) Ph-(R,S)C(-O-C(CH3)2-O-CH2-)-C(O)OH Указанное в подзаголовке соединение получают согласно способу, описанному в примере 48(4), из -гидрокситроповой кислоты (3,5 г; 20,35 ммоль; получена согласно Guthrie et al., Can.J. Chem (1991) 69, 1904) с выходом 3,37 г (74%).
1H ЯМР (500 МГц; CDCl3): 7,30-7,65 (m, 5H), 4,95 (d, 1H), 4,10 (d, 1H), 1,70 (s, 3H), 1,50 (s, 3H).
(2) Ph-(R,S)C(-O-C(CH3)2-O-CH2-)-C(O)- Aze-Pab(Z)Указанное в подзаголовке соединение получают согласно способу, описанному в примере 3(2), из Ph-(R,S)C(-O-C(CH3)2-O- CH2)-C(O)OH (0,25 г; 1,12 ммоль; из стадии (1)) с получением 0,30 г (53%). 1H ЯМР (400 МГц; CDCl3): 7,20-7,90 (m, 14H), 5,22 (s, 2H), 3,70-5,10 (m, 7H), 2,15-2,75 (m, 2H), 1,40-1,65 (m, 6H).
(3) Ph-(R или S)C(-O-C(CH3)2-O-CH2)- C(O)-Aze-Pab HOAc иPh-(S или R)C(-O-C(CH3)2-O-CH2)-C(O)-Aze-Pab HOAcСмесь Ph-(R, S)C(-O-C(CH3)2-O-CH2)-C(O)-Aze-Pab(Z) (0,30 г, 0,53 ммоль; из стадии (2)), формиата аммония (0,30 г, 4,76 ммоль), муравьиной кислоты (3 капли) и Pd/C (5%, 0,30 r) в метаноле (10 мл) перемешивают при комнатной температуре в течение 30 мин. Реакционную смесь фильтруют через целит, и фильтрат упаривают. Неочищенный продукт (0,29 г) подвергают препаративной RPLC. Несколько фракций концентрируют с получением 80 мг (35%) соединения 50А с соотношением диастереомеров более 99:1. Поздние фракции концентрируют с получением 80 мг (35%) соединения 50Б с соотношением диастереомеров более 98:2. Соединение 50А: LC-MS m/z 437 (М+1)+ 1H ЯМР (400 МГц, CD3OD): 7,28-7,85 (m, 9H), 3,70-4,95 (m, 7H), 2,10-2,55 (m, 2H), 1,55 (s, 3H), 1,50 (s, 3H).
Соединение 50Б:LC-MS m/z 437 (М+1)+ 1H ЯМР (400 МГц; CD3OD): 7,25-7,80 (m, 9H), 3,70-5,00 (m, 7H), 2,25-2,45 (m, 2H), 1,60 (s, 3H), 1,48 (s, 3H).
Пример 51Ph-(R или S)C(OH)(CH2OH)-C(O)-Aze-Pab HCl иPh-(S или R)C(OH)(CH2OH)-C(O)-Aze-Pab HCl(1) Ph-(R или S)C(OH)(CH2OH)-C(O)-Aze-Pab HClPh-(R или S)CH(-O-C(CH3)2-O-CH2-)-C(O)-Aze-Pab HOAc (0,060 г; 0,12 ммоль; соединение 50А из примера 50) растворяют в уксусной кислоте (4 мл) и добавляют H2О (1 мл). Смесь перемешивают в течение ночи при комнатной температуре, а затем 6 ч при 90oC. Добавляют HCl (конц., 1 мл), смесь перемешивают при комнатной температуре в течение 5 мин. Уксусную кислоту и HCl удаляют под вакуумом в присутствии толуола и EtOH, остаток растворяют в H2O (4 мл) и сушат вымораживанием. Неочищенный продукт подвергают препаративной RPLC с получением 9 мг (16%) указанного в заголовке соединения.
LC-MS m/z 395 (М-1)–, 397 (М+1)+1H ЯМР (400 МГц; CD3OD): 7,20-7,85 (m, 9H), 3,90-4,70 (m, 5H), 3,30-3,70 (m, 2H), 2,00-2,65 (m, 2H).
(2) Ph-(S или R)C(OH)(CH2OH)-C(O)-Aze-Pab HClУказанное в заголовке соединение получают согласно способу, описанному на стадии (1) из Ph-(S или R)CH(-O-C(CH3)2-O-CH2-)-C(O)-Aze-Pab HOAc (0,060 г, 0,12 ммоль; соединение 50Б из примера 50) с выходом 22 мг (40%).
LC-MS m/z 397 (М+1)+1H ЯМР (400 МГц, CD3OD): 7,20-7,85 (m, 9H), 3,90-4,75 (m, 6H), 3,50-3,60 (m, 1H), 2,10-2,50 (m,2H).
Пример 52Ph-(R или S)C(-O-C(CH3)2-O-CH2-)-C(O)-Pro-Pab HOAc иPh-(S или R)C(-O-C(CH3)2-O-CH2-)-C(O)-Pro-Pab HOAc(1) Ph-(R,S)C(-O-C(CH3)2-O-CH2-)-C(O)- Pro-Pab(Z) Указанное в подзаголовке соединение получают согласно способу, описанному в примере 3(2), из Ph-(R,S)C(-O-C(CH3)2-O-CH2-)-C(O)OH (0,25 г, 1,12 ммоль; смотри пример 50(1)) с выходом 0,19 г (32%). FAB-MS m/z 585 (М+1)+ 1H ЯМР (400 МГц; CDCl3): 7,20-7,95 (m, 14H), 5,25 (s, 2H), 5,10-5,20 (m, 1H), 4,32-4,70 (m, 3H), 3,65-3,95 (m, 2H), 3,00-3,25 (m, 1H), 1,30-2,35 (m, 10H).
(2) Ph-(R или S)C(-O-C(CH3)2-O-CH2-)-C(O)-Pro-Pab HOAc иPh-(S или R)C(-O-C(CH3)2-O-CH2)-C(O)-Pro-Pab HOAcУказанные в заголовке соединения получают согласно способу, описанному в примере 50(3), из Ph-(R,S)C(-O-C(CH3)2-O-CH2-)-C(O)-Pro-Pab(Z) (0,37 г; 0,63 ммоль; из стадии (1)). Несколько фракций концентрируют с получением 120 мг соединения 52А с соотношением диастереомеров более 99:1. Поздние фракции концентрируют с получением 120 мг соединения 52Б с соотношением диастереомеров более 98:2. Соединение 52А: LC-MS m/z 451 (М+1)+ 1H ЯМР (400 МГц; CD3OD): 7,25-7,80 (m, 9H), 4,35-5,05 (m, 4H), 3,80-4,95 (m, 1H), 3,60-3,65 (m, 1H), 3,00-3,10 (m, 1H), 2,10-2,20 (m, 1H), 1,75-1,90 (m, 3H), 1,55 (s, 3H), 1,45 (s, 3H).
Соединение 52Б:LC-MS m/z 451 (М+1)+ 1H ЯМР (400 МГц; CD3OD): 7,25-7,80 (m, 9H), 4,40-5,10 (m, 4H), 3,30- 3,80 (m, 3H), 1,75-2,20 (m, 4H), 1,50-1,55 (m, 6H).
Пример 53Ph-(R или S)C(OH)(CH2OH)-C(O)-Pro-Pab HCl иPh-(S или R)C(OH)(CH2OH)-C(O)-Pro-Pab HCl(1) Ph-(R или S)C(OH)(CH2OH)-C(O)-Pro-Pab HClУказанное в заголовке соединение получают согласно способу, описанному в примере 51(1), из Ph-(R или S)C(-O-C(CH3)2-O-CH2-)-C(O)-Pro-Pab HOAc (0,060 г; 0,12 ммоль; соединение 52А из примера 52) с выходом 2 мг (2%).
LC-MS m/z 409 (М-1)–, 411 (M+1)+1H ЯМР (400 МГц; CD3OD): 7,20-7,85 (m, 9H), 4,40-4,60 (m, 3H), 4,05-4,30 (m, 1H), 2,95-3,90 (m, 3H), 1,60- 2,20 (m, 4H).
(2) Ph-(S или R)C(OH)(CH2OH)-C(O)-Pro-Pab HClУказанное в заголовке соединение получают согласно способу, описанному в примере 51(1), из Ph-(S или R)CH(-O-C(CH3)2-O-CH2-)-C(O)-Pro-Pab HOAc0 (0,060 г: 0,12 ммоль; соединение 52Б из примера 52) с выходом 1 мг (1%).
LC-MS m/z 409 (М-1)–, 411 (М+1)+1H ЯМР (400 МГц; CD3OD): 7,25-7,85 (m, 9H), 4,40-4,65 (m, 3H), 4,05-4,20 (m, 1H), 3,25-3,75 (m, 3H), 1,40-2,20 (m, 4H).
Пример 54Ph-(R)C(Me)(OH)-C(O)-Pro-Pab HCl(1) Ph-(R)C(Me)(OH)-C(O)-Pro-Pab(Z) Указанное в подзаголовке соединение получают согласно способу, описанному в примере 3(2), из (R)-(-)-2-гидрокси-2-фенилпропионовой кислоты (0,20 г, 1,2 ммоль) и H-Pro-Pab(Z) HCl (0,50 г; 1,1 ммоль, смотри пример 35(2)) с выходом 0,13 г (22%).
1H ЯМР (500 МГц; CDCl3): 7,18-7,87 (m, 14H), 5,25 (s, 2H), 4,35-4,61 (m, 3H), 3,03-3,19 (m, 2H), 1,50-2,17 (m, 7H).
(2) Ph-(R)C(Me)(OH)-C(O)-Pro-Pab HClУказанное в заголовке соединение получают аналогично способу, описанному в примере 1(5), из Ph-(R)C(Me)(OH)-C(O)-Pro-Pab(Z) (0,13 г; 0,25 ммоль, из стадии (1)) с выходом 92 мг (89%). FAB-MS m/z 395 (М+1)+ 1H ЯМР (500 МГц; D2O): 7,37-7,91 (m, 9H), 4,33-4,61 (m, 3H), 3,15-4,01 (m, 2H), 1,72-2,33 (m, 7H).
13C ЯМР (75,5 МГц; D2O; усложнен благодаря ротамерам) амидиновые и карбонильные углероды: 176,06, 175,49, 174,88, 166,90.
Пример 55Ph-(S)C(Me)(OH)-C(O)-Pro-Pab HCl(1) Ph-(S)C(Me)(OH)-C(O)-Pro-Pab(Z) Указанное в подзаголовке соединение получают согласно способу, описанному в примере 3(2), из (S)-(+)-2-гидрокси-2-фенилпропионовой кислоты (0,20 г, 1,2 ммоль) и H-Pro-Pab(Z) 2HCl (0,50 г; 1,1 ммоль; смотри пример 35(2)) с выходом 0,19 г (33%).
1H ЯМР (500 МГц; CDCl3): 7,20-7,77 (m, 14H), 5,22 (s, 2H), 4,53-4,58 (m, 1H), 4,32-4,44 (m, 2H), 3,13-3,38 (m, 2H), 1,53-2,04 (m, 7H).
(2) Ph-(S)C(Me)(OH)-C(O)-Pro-Pab HClУказанное в заголовке соединение получают согласно способу, описанному в примере 1(5), из Ph-(S)C(Me)(OH)-C(O)-Pro-Pab(Z) (0,12 г: 0,23 ммоль; из стадии (1)) с выходом 80 мг (82%). FAB-MS m/z 395 (М+1)+ H ЯМР (500 МГц; D2O): 7,35-7,84 (m, 9H), 4,47-4,63 (m, 3H), 3,30-3,70 (m, 2H), 1,60-2,29 (m, 7H).
13C ЯМР (75,5 МГц; D2O; усложнен благодаря ротамерам) амидиновые и карбонильные углероды: 175,58, 175,23, 174,79, 167.07.
Пример 56Ph(3,4-диF)-(R,S)CH(OH)-C(O)-Pro-Pab HClPh(3,4-диF)-(R,S)CH(OH)-C(O)-Pro-Pab(Z) Указанное в подзаголовке соединение получают согласно способу, описанному в примере 3(2), из (R,S)-3,4-дифторминдальной кислоты (0,20 г; 1,06 ммоль) и H-Pro-Pab(Z) 2HCl (0,53 г, 1,17 ммоль; смотри пример 35(2)) с выходом 445 мг (76%).
LC-MS m/z 549 (М-1)–, 551 (М+1)+1H ЯМР (400 МГц; CDCl3): 6,98-7,74 (m, 12H), 5,16-5,21 (m, 2H), 5,06-5,01 (m, 1H), 4,22-4,56 (m, 3H), 3,32-3,58 (m, 1H), 2,88-3,12 (m, 1H), 1,70-2,12 (m, 4H).
(2) Ph(3,4-диF)-(R,S)CH(OH)-C(O)-Pro-Pab HClУказанное в заголовке соединение получают согласно способу, описанному в примере 1(5), из Ph(3,4-диF)-(R, S)CH(OH)- C(O)-Pro-Pab(Z) (0,175 г, 0,31 ммоль; из стадии (1)) с выходом 127 мг (88%) LC-MS m/z 417 (М+1)+ 1H ЯМР (400 МГц; CD3OD): 7,11-7,86 (m, 7H), 5,37 (s, 1H), 4,36-5,00 (m, 1H), 3,66-3,78 (m, 1H), 1,80-2,31 (m, 4H).
13C ЯМР (100,6 МГц; D2O: усложнен благодаря диастереомерам/ротамерам) амидиновые и карбонильные углероды: 174,66, 174,40, 171,96, 171,82, 166,48.
Пример 57Ph-(R)CH(OH)-C(O)-(R,S)Pic(4-оксо)-Pab HOAc(1) Boc-(R,S)Pic(4-оксо)-OCH3 Смесь Boc-(R,S)Pic(4-гидрокси)-OCH3 (1,1 г; 4,25 ммоль; получено согласно Gillard et al., J.Org. Chem. (1996) 61, 2226), PCC (1,8 г, 8,5 ммоль) и молекулярных сит (в виде порошка; 1,0 г) в CH2Cl2 (20 мл) перемешивают при комнатной температуре в течение 4 ч. Добавляют диэтиловый эфир (60 мл), реакционную смесь фильтруют через короткую колонку с силикагелем, элюируя смесью EtOAc:гексан (1:1). Фильтрат упаривают с получением 1,0 г (92%) указанного в подзаголовке соединения.
FAB-MS m/z 258 (М+1)+1H ЯМР (500 МГц; CDCl3): 4,75-5,20 (m, 1H), 3,55-4,15 (m, 5H), 2,40-2,90 (m, 4H), 1,30-1,65 (m, 9H).
(2) H-(R,S)Pic(4-оксо)-OCH3Boc-(R, S)Pic(4-оксо)-OCH3 (0,48 г; 1,87 ммоль; из стадии (1)) обрабатывают трифторуксусной кислотой в CH2Cl2 (50%, 4 мл) при комнатной температуре в течение 30 мин. Реакционную смесь упаривают, а остаток растворяют в CH2Cl2, промывают водным Na2CO3, сушат (K2CO3) и упаривают. Выход указанного в подзаголовке соединения составляет 0,23 г (78%). 1H ЯМР (500 МГц; CDCl3): 3,65-3,80 (m, 4H), 3,30-3,40 (m, 1H), 2,90- 3,00 (m, 1H), 2,30-2,70 (m, 4H).
(3) Ph-(R)CH(OTBDMS)-C(O)-(R,S)Pic(4-оксо)-OCH3Указанное в подзаголовке соединение получают аналогично способу, описанному в примере 3(2), из H-(R,S)Pic(4-оксо)-OCH3 (0,22 г, 1,4 ммоль: из стадии (2)) и Ph-(R)CH(OTBDMS)-C(O)OH (0,372 г, 1,4 ммоль, получено согласно способу, описанному в Hamada et al., J.Am. Chem. Soc. (1989) 111, 669) с выходом 288 мг (51%). FAB-MS m/z 406 (M+1)+ 1H ЯМР (500 МГц; CDCl3): 7,20-7,50 (m, 5H), 5,25-5,70 (m, 2H), 4,15-4,75 (m, 1H), 3,20-3,80 (m, 4H), 2,00-2,90 (m, 3H), 1,30-1,65 (m, 1H), 0,85-1,15 (m, 9H), 0,10-0,35 (m, 6H).
(4) Ph-(R)CH(OTBDMS)-C(O)-(R,S)Pic(4-оксо)-OHСмесь Ph-(R)CH(OTBDMS)-C(O)-(R, S)Pic(4-оксо)-OCH3 (0,28 г, 0,69 ммоль, из стадии (3)) и раствор гидроксида лития (2 М, 10 мл) в THF (10 мл) перемешивают при комнатной температуре в течение 1,5 ч. THF удаляют в вакууме, остаток подкисляют (pH 2) с помощью KHSO4 (2 М) и экстрагируют EtOAc. Органический слой промывают H2O, сушат (MgSO4) и упаривают. Выход указанного в подзаголовке соединения составляет 0,24 г (89%). FAB-MS m/z 392 (M+1)+ 1H ЯМР (400 МГц; CDCl3): 07,20-7,55 (m, 5H), 5,15-5,75 (m, 2H), 4,10-4,30 (m, 1H), 3,20-3,80 (m, 1H), 2,05-3,00 (m, 4H), 1,35-1,55 (m, 1H), 0,90-1,05 (m, 9H), 0,10-0,25 (m, 6H).
(5) Ph-(R)CH(OTBDMS)-C(O)-(R,S)Pic(4-оксо)-Pab(Z)Указанное в подзаголовке соединение получают аналогично способу, описанному в примере 1(2), из Ph-(R)CH(OTBDMS)-C(O)-(R,S)Pic (4-оксо)-OH (0,227 г; 0,58 ммоль; из стадии (4)) с выходом 92 мг (24%). FAB-MS m/z 657 (M+1)+ 1H ЯМР (500 МГц; CDCl3): 6,90-7,90 (m, 14H), 5,10-5,80 (m, 4H), 3,60-4,70 (m, 3H), 2,10-3,20 (m, 4H), 1,40-1,70 (m, 1H), 0,80-1,10 (m, 9H), 0,00-0,25 (m, 6H).
(6) Ph-(R)CH(OH)-C(O)-(R,S)Pic(4-оксо)-Pab(Z)Указанное в подзаголовке соединение получают согласно способу, описанному на стадии (2), из Ph-(R)CH(OTBDMS)-C(O)-(R,S)Pic-(4- оксо)-Pab(Z) (0,09 г, 0,14 ммоль, из стадии (5)) с выходом 61 мг (82%). FAB-MS m/z 543(M+1)+ 1H ЯМР (500 МГц, CDCl3): 6,95-7,90 (m, 14H), 5,00-5,55 (m, 4H), 3,95-4,70 (m, 2H), 3,20-3,70 (m, 2H), 1,20-2,80 (m, 4H).
(7) Ph-(R)CH(OH)-C(O)-(R,S)Pic(4-оксо)-Pab OAcУказанное в заголовке соединение получают согласно способу, описанному в примере 15(3), из Ph-(R)CH(OH)-C(O)-(R,S)Pic(4-оксо)- Pab(Z) (0,061 г, 0,11 ммоль, из стадии (6)) с выходом 46 мг (90%). LC-MS m/z 407 (М-1)–, 409 (М+1)+ 1H ЯМР (400 МГц; D2O): 07,20-7,85 (m, 9H), 5,00-5,80 (m, 2H), 4,35-4,55 (m, 2H), 3,40-4,05 (m, 2H), 1,80-3,10 (m, 4H).
Пример 58Ph-(R)CH(OH)-C(O)-(R или S)Pic(4-метилен)-Pab HOAc иPh-(R)CH(OH)-C(O)-(S или R)Pic(4-метилен)-Pab HOAc(1) Boc-(R,S)Pic(4-метилен)-OCH3 Метилтрифенилфосфоний бромид (2,68 г, 7,5 ммоль) высушивают под вакуумом в течение 20 мин и суспендируют сухим THF (20 мл) при 0oC. По каплям добавляют бутиллитий (1,6 н в гексане; 4,7 мл, 7,5 ммоль) и смесь перемешивают при комнатной температуре в течение 30 мин. Реакционную смесь охлаждают до -78oC и добавляют Boc- (R, S)Pic(4-оксо)-OCH3 (1,3 г, 5,0 ммоль, смотри пример 57(1)). Реакционную смесь перемешивают при -78oC в течение 30 мин, а затем 2 ч при комнатной температуре. К реакционной смеси добавляют аммоний хлорид и после разделения H2O-слой дважды экстрагируют диэтиловым эфиром. Объединенный органический слой сушат и упаривают с получением неочищенного продукта, который очищают флэш-хроматографией, элюируя смесью EtOAс:гексан (30:70), с получением 480 мг (37%) указанного в подзаголовке соединения. FAB-MS m/z 256 (М+1)+ 1H ЯМР (500 МГц; CDCl3): 4,70-5,10 (m, 3H), 3,95-4,15 (m, 1H), 3,70 (s, 3H), 2,10-3,10 (m, 5H), 1,35- 1,60 (m, 9H).
(2) H-(R,S)Pic(4-метилен)-OCH3,Boc-(R, S)Pic(4-метилен)-OCH3 (0,48 г, 1,88 ммоль, из стадии (1)) обрабатывают трифторуксусной кислотой (50% в CH2Cl2, 6 мл) при комнатной температуре в течение 40 мин. Реакционную смесь упаривают, и остаток растворяют в CH2Cl2 промывают Na2CO3 (насыщенным), сушат (K2CO3) и упаривают. Выход указанного в подзаголовке соединения составляют 0,27 г (95%). 1H ЯМР (500 МГц, CDCl3): 4,70-4,85 (m, 2H), 3,75 (m, 3H), 3,35-3,45 (m, 1H), 3,15-3,25 (m, 1H), 2,55-2,70 (m, 2H), 2,10-2,30 (m, 3H).
(3) Ph-(R)CH(OTBDMS)-C(O)-(R,S)Pic(4-метилен)-OCH3Указанное в подзаголовке соединение получают аналогично способу, описанному в примере 3(2), из Ph-(R)CH(OTBDMS)-C(O)OH (0,37 г; 1,4 ммоль, получен согласно способу, описанному в Hamada et al., J. Am. Chem. Soc. (1989), 111, 669) и H-(R,S)Pic(4-метилен)-OCH3 (0,21 г, 1,4 ммоль; из стадии (2)) с выходом 0,283 г (52%). FAB-MS m/z 404 (М+1)+ 1H ЯМР (500 МГц; CDCl3): 7,25-7,55 (m, 5H), 5,15-5,70 (m, 2H), 4,20-4,85 (m, 3H), 3,65-3,75 (m, 3H), 1,90-3,20 (m, 5H), 0,90-1,10 (m, 9H), 0,10-0,30 (m, 6H).
(4) Ph-(R)CH(OTBDMS)-C(O)-(R,S)Pic(4-метилен)-OHУказанное в подзаголовке соединение получают согласно способу, описанному в примере 57(4), из Ph-(R)CH(OTBDMS)-C(O)-(R,S)Pic(4-метилен)-OCH3 (0,28 г; 0,69 ммоль; из стадии (3)) с выходом 0,24 г (89%). FAB-MS m/z 390 (М+1)+ 1H ЯМР (500 МГц; CDCl3): 7,15-7,50 (m, 5H), 5,15-5,95 (m, 2H), 3,55-5,00 (m, 3H), 1,75-3,25 (m, 5H), 0,85- 1,05 (m, 9H), 0,10-0,25 (m, 6H).
(5) Ph-(R)CH(OTBDMS)-C(O)-(R,S)Pic(4-метилен)-Pab(Z)Указанное в подзаголовке соединение получают аналогично способу, описанному в примере 3(2), из Ph-(R)CH(OTBDMS)-C(O)-(R,S)Pic(4-метилен)-OH (0,235 г; 1,6 ммоль; из стадии (4)) и H-Pab(Z) HCl (0,211 г, 0,66 ммоль) с выходом 0,124 г (35%).
FAB-MS m/z 655 (М+1)+1H ЯМР (500 МГц; CDCl3): 7,10-7,90 (m, 14H), 5,15-5,10 (m, 4H), 4,10-5,05 (m, 4H), 1,75-3,05 (m, 6H), 0,80-1,10 (m, 9H), 0,00-0,25 (m, 6H).
(6) Ph-(R)CH(OH)-C(O)-(R,S)Pic(4-метилен)-Pab(Z)Указанное в подзаголовке соединение получают аналогично способу, описанному в примере 57(6), из Ph-(R)CH(OTBDMS)-C(O)-1(R,S)Pic(4-метилен)-Pab(Z) 0 (0,08 г; 0,12 ммоль: из стадии (5)) с выходом 0,06 г (91%). LC-MS m/z 541 (M+1)+ 1H ЯМР (500 МГц; CD3OD): 7,15-1,90 (m, 14H), 5,20-5,80 (m, 4H), 4,35-4,90 (m, 4H), 3,70-4,15 (m, 1H), 3,20-3,40 (m, 1H), 1,10-2,90 (m, 4H).
(7) Ph-(R)CH(OH)-C(O)-(R или S)Pic(4-метилен)-Pab HOAc иPh-(R)CH(OH)-C(O)-(S или R)Pic(4-метилен)-Pab HOAcСмесь Ph-(R)CH(OH)-C(O)-(R, S)Pic(4-метилен)-Pab(Z) (0,035 г, 0,065 ммоль, из стадии (6)), ацетата аммония (0,50 г, 7,4 ммоль) и имидазола (0,20 г, 3,0 ммоль) в метаноле (5 мл) перемешивают при 60oC в течение ночи. Реакционную смесь упаривают, а остаток подвергают препаративной RPLC. Одни фракции концентрируют с получением 1,8 мг соединения 58Б. Последние фракции концентрируют с получением 7 мг соединения 58А. Соединение 58А: LC-MS m/z 405 (М-1)–, 407 (М+1)+ 1H ЯМР (400 МГц; D2O): 7,15-7,80 (m, 9H), 5,65-5,70 (m, 1H), 4,80-5,25 (m, 1H), 4,45-4,60 (m, 2H), 3,60-4,00 (m, 2H), 1,30-3,30 (m, 6H).
Соединение 58Б:LC-MS m/z 407 (M+1)+ 1H ЯМР (400 МГц; D2O): 7,30-7,80 (m, 9H), 5,45-5,75 (m, 1H), 4,80-5,20 (m, 1H), 4,35-4,70 (m, 3H), 3,75-3,90 (m, 1H), 1,70-3,05 (m, 6H).
Пример 59Ph(3-Cl)(R,S)CH(OH)-C(O)-Aze-Pab HOAc(1) (R,S)-3-хлорминдальная кислота Указанное в подзаголовке соединение получают согласно способу, описанному в примере 15(1), из 3-хлорбензальдегида (7,03 г; 50 ммоль) с выходом 2 г (21%). LC-MS m/z 185 (М-1)–, 370 (2M-1)– 1H ЯМР (400 МГц; CD3OD): 7,28-7,51 (m, 4H), 5,14 (s, 1H).
(2) Ph(3-Cl)-(R,S)CH(OH)-C(O)-Aze-Pab(Z)Указанное в подзаголовке соединение получают согласно способу, описанному в примере 3(2), из (R,S)-3-хлорминдальной кислоты (0,149 г, 0,8 ммоль, из стадии (1)) с выходом 0,30 г (70%). 1H ЯМР (500 МГц; CDCl3): 7,08-7,84 (m, 13H), 5,18-5,24 (m, 2H), 4,86-5,01 (m, 2H), 4,02-4,56 (m, 3H), 3,57-3,76 (m, 1H), 2,30-2,72 (m, 2H).
(3) Ph(3-Cl)-(R,S)CH(OH)-C(O)-Aze-Pab HOAcУказанное в заголовке соединение получают согласно способу, описанному в примере 43, из Ph(3-Cl)-(R,S)CH(OH)-C(O)-Aze-Pab(Z) (0,10 г: 0,19 ммоль, из стадии (2)) с выходом 55 мг (63%). LC-MS m/z 399 (М-1)–, 401 (М+1)+ 1H ЯМР (400 МГц; D2O): 7,10-7,85 (m, 8H), 4,82-5,37 (m, 2H), 3,96-4,79 (m, 4H), 2,14-2,85 (m, 2H).
1C ЯМР (100,6 МГц; D2O; усложнен благодаря диастереомерам/ротамерам) амидиновые и карбонильные углероды: 174,00, 173,17, 172,83, 172,61, 166,59.
Пример 60Ph(3-Cl,4-OH)(R,S)CH(OH)-C(O)-Pro-Pab HOAc(1) Ph(3-Cl,4-OH)(R,S)CH(OH)-C(O)-Pro-Pab(Z) Указанное в подзаголовке соединение получают согласно способу, описанному в примере 3(2), из (R,S)-3-хлор-4-гидроксиминдальной кислоты (0,25 г; 1,23 ммоль) и H-Pro-Pab(Z) 2HCl (0,615 г, 1,35 ммоль: смотри пример 35(2)) с выходом 382 мг (55%).
LC-MS m/z 564 (M-1)–1H ЯМР (400 МГц; CD3OD): 6,80-7,85 (m, 12H), 5,16-5,25 (m, 3H), 4,35-4,51 (m, 3H), 3,45-3,75 (m, 1H), 3,07-3,42 (m, 1H), 1,72-2,18 (m, 4H).
1C ЯМР (100,6 МГц; D2O; усложнен благодаря диастереомерам/ротамерам) амидиновые и карбонильные углероды: 174,62, 174,27, 173,02, 172,88, 170,41, 165,04.
(2) Ph(3-Cl,4-OH)-(R,S)CH(OH)-C(O)-Pro-Pab HOAcУказанное в заголовке соединение получают аналогично способу, описанному в примере 43, из Ph(3-Cl,4-OH)-(R,S)CH(OH)-C(O)-Pro-Pab(Z) (0,10 г; 0,177 ммоль; из стадии (1)), 3-фторуксусной кислоты (3,7 мл, 48 ммоль) и тиоанизола (1,04 мл, 8,85 ммоль) с выходом 57 мг (70%). LC-MS m/z 431 (М+1)+ 1H ЯМР (500 МГц, D2O): 6,84-7,86 (m, 7H), 5,25-5,42 (m, 1H), 4,30-4,68 (m, 3H), 3,05-4,05 (m, 2H), 1,70-2,37 (m, 4H).
Пример 61Указанные в заголовках соединения из примеров 1-60 тестировали в вышеописанном тесте А, и было установлено, что все они имеют значения IC50TT менее чем 0,3 мкМ. Сокращения aq – водный, Aze – азетидин-2-карбоновая кислота, Boc – трет-бутилоксикарбонил, Bn – бензил, Bu – бутил, Ch – циклогексил, DCC – дициклогексилкарбодиимид, DIPEA-диизопропилэтиламин, DMAP – N,N-диметиламинопиридин, DMF – диметилформамид, DC – 1-(3-диметиламинопропил)-3-этилкарбодиимида гидрохлорид Et – этил, EtOH – этанол, HCl – соляная кислота, HOAc – уксусная кислота, HOSu – N-гидроксисукцинимид, H-Dig – 1-амидино-3-аминоэтилазетидин, H-Dig(Z) – 3-аминоэтил-1-(N-бензилоксикарбониламидино)азетидин H-Hig – 1-амидино-3-аминоэтилпирролидин, H-Hig(Z) – 3-аминоэтил-1-(N-бензилоксикарбониламидино)-пирролидин, H-Pac – 1-амидино-4-аминометилциклогексан, H-Pac(Z) – 4-аминометил-1-(N-бензилоксикарбониламидино)-циклогексан, H-Pic – пипеколиновая кислота, H-Pig – 1-амидино-3-аминометилпиперидин, H-Pig(Z) – 3-аминометил-1-(N-бензилоксикарбониламидино) пиперидин, H-Pab – 1-амидино-4-аминометилбензол, H-Pab(Z) – 4-аминометил-1-(N-бензилоксикарбониламидино)бензол, PCC – пиридина хлорхромат, HPLC – жидкостная хроматография высокого разрешения, Me – метил, Ph – фенил, RPLC – жидкостная хроматография высокого разрешения с обращенной фазой, Su – сукцинимид, TBDMS – трет-бутилдиметилсилил, TBTU – [N,N,N’,N’-тетраметил-O-(бензотриазол-1-ил)урония тетрафторборат, THF – тетрагидрофуран, THP – тетрагидропиранил, TMS – триметилсилил, WSCl – водорастворимый карбодиимид, Z – бензилоксикарбонил. Приставки n, s, i и t означают: нормальный, изо, вторичный и третичный. Стереохимия аминокислот по умолчанию (S). Формула изобретения
![]() где p и q независимо равны 0, 1, 2, 3 или 4; R1 представляет собой Н, 2,3-эпоксипропил, С1-6 алкил (последняя группа возможно замещена или оканчивается одной или более чем одной гидроксигруппой), структурный фрагмент формулы I а ![]() где А1 представляет собой С1-4 алкилен; Rx представляет собой Н, или, когда р = 0, вместе с R2 представляет собой структурный фрагмент формулы Iб ![]() где Ry представляет собой Н; R2 представляет собой Н, нафтил, индолил, С1-4алкил (последняя группа возможно замещена или оканчивается одной или более чем одной гидроксигруппой), С3-8циклоалкил, фенил (последние две группы возможно замещены одним или более чем одним С1-4алкилом, С1-4алкокси, галогено, гидрокси, нитро, метилендиокси, трифторметилом, N(Н)R23 или С(О)OR24), или, когда р=0, вместе с R1 представляет собой структурный фрагмент формулы Iб; R3 представляет собой Н, нафтил, индолил, С1-6алкил (последняя группа возможно замещена или оканчивается одной или более чем одной гидроксигруппой), С3-8циклоалкил или фенил (последние две группы возможно замещены одним или более чем одним С1-4алкилом, С1-4 алкокси, галогено, гидрокси, нитро, метилендиокси, трифторметилом, N(Н)R27 или С(О)OR28); R23 и R27 независимо представляют собой Н, С1-4алкил или С(О)R29; R24, R28 и R29 независимо представляют собой Н или С1-4алкил; R4 представляет собой Н или С1-4алкил; Y представляет собой С1-3алкилен, возможно замещенный С1-4алкилом, метиленом или оксо; n=1 или 2; В представляет собой структурный фрагмент формулы IVa, IVб или IVв ![]() ![]() ![]() где R5 представляет собой Н; Х1 и Х2 независимо представляют собой простую связь или СН2; при условии, что когда: (а) В представляет собой структурный фрагмент формулы IVа, в котором R5 представляет собой Н, структурный фрагмент формулы IVб, в котором Х1 и Х2 оба представляют собой СН2, или структурный фрагмент формулы IVв; n=1; Y представляет собой незамещенный С1-3алкилен; R4 представляет собой Н; R1 представляет собой Н или С1-6алкил, тогда (I) когда q=0, а R3 представляет собой Н: (1) R2 не представляет собой незамещенный С1-4алкил, нафтил, индолил или С3-8циклоалкил или фенил (последние две группы возможно замещены одним или более чем одним С1-4алкилом, С1-4алкокси, галогено, гидрокси, метилендиокси, трифторметилом и С(О)OR24); и (2) группа -(СН2)р-R2 не представляет собой С1-6алкил, замещенный ОН; или (II) когда р=0, а R2 представляет собой Н: (1) R3 не представляет собой незамещенный С1-6алкил, нафтил, индолил или С3-8циклоалкил или фенил (последние две группы возможно замещены одним или более чем одним С1-4алкилом С1-4алкокси, галогено, гидрокси, метилендиокси, трифторметилом и С(О)OR28); и (2) группа -(СН2)q-R3 не представляет собой С1-6алкил, замещенный ОН; (III) R2 не представляет собой Н или незамещенный С1-4алкил, когда R3 представляет собой Н или незамещенный С1-6алкил, а общее количество атомов углерода в структурном фрагменте -С((СН2)рR2)((СН2)qR3)- равно шести или менее; (б) В представляет собой структурный фрагмент формулы IVа, в котором R5 представляет собой Н, структурный фрагмент формулы IVб, в котором Х1 представляет собой СН2, а Х2 представляет собой простую связь или СН2, или структурный фрагмент формулы IVв; Y представляет собой незамещенный С1алкилен или С2алкилен, возможно замещенный (в 4-положении относительно N-атома) С1-4алкилом; R4 представляет собой Н; и R1 представляет собой Н или С1-4алкил; тогда (I) когда группа -(СН2)q-R3 представляет собой Н или С1-4алкил: (1) группа -(СН2)p-R2 не представляет собой С1-8алкил; и (2) р 0, 1 или 2, когда R2 представляет собой нафтил, незамещенный С3-8циклоалкил или фенил (последняя группа возможно замещена С1-4алкилом, С1-4алкокси, галогено и гидрокси); или(II) когда группа -(СН2)p-R2 представляет собой Н или С1-4алкил: (1) группа -(СН2)q-R3 не представляет собой С1-8алкил; и (2) q 0, 1 или 2, когда R3 представляет собой нафтил, незамещенный С3-8циклоалкил или фенил (последняя группа возможно замещена С1-4алкилом, С1-4алкокси, галогено и гидрокси); и(в) В представляет собой структурный фрагмент формулы IVа, структурный фрагмент формулы IVб, в котором Х1 и Х2 оба представляют собой СН2, или структурный фрагмент формулы IVв; Y представляет собой незамещенный С1-3алкилен или С3алкилен, замещенный (в 4-положении относительно N-атома) С1-4алкилом; R4 представляет собой Н; и R1 представляет собой Н; тогда (I) когда q= 0, R3 представляет собой Н, и р=0 или 1, то R2 не представляет собой фенил, возможно замещенный: (1) заместителями в количестве от одного до пяти, выбранными из фторо и хлоро; (2) заместителями в количестве от одного до трех, выбранными из бромо, С1-4алкила, С1-4алкокси и гидрокси; (3) одной или двумя С(О)OR24 группами; и/или (4) одной трифторметильной или нитрогруппой; и (II) когда р= 0, R2 представляет собой Н, и q=0 или 1, то R3 не представляет собой фенил, возможно замещенный: (1) заместителями в количестве от одного до пяти, выбранными из фторо и хлоро; (2) заместителями в количестве от одного до трех, выбранными из бромо, С1-4алкила, С1-4алкокси и гидрокси; (3) одной или двумя С(О)OR28 группами; и/или (4) одной трифторметильной или нитрогруппой; или его фармацевтически приемлемая соль. 2. Соединение по п.1, в котором n=1, когда В представляет собой структурный фрагмент формулы IVа, IVв или IVб, в последнем из которых Х1 и Х2 оба представляют собой СН2. 3. Соединение по п.1, в котором n=2, когда В представляет собой структурный фрагмент формулы IVб, где Х1 представляет собой простую связь, а Х2 представляет собой либо простую связь, либо СН2. 4. Соединение по п.1 или 2, в котором R5 представляет собой Н, когда В представляет собой структурный фрагмент формулы IVа. 5. Соединение по любому из пп.1-4, в котором R4 представляет собой Н. 6. Соединение по любому из пп.1-5, в котором p=0. 7. Соединение по любому из пп.1-6, в котором Y представляет собой СН2, (СН2)2, (СН2)3, СН2СН(СН3)СН2, СН2С(=О)СН2 или СН2С(=СН2)СН2. 8. Соединение по п. 7, в котором Y представляет собой СН2, (СН2)2 или СН2С(=СН2)СН2. 9. Соединение по любому из пп.1-8, в котором R1 представляет собой Н, метил, 2,3-дигидроксипропил или (2,2-диметил-1,3-диоксалан-4-ил)метил. 10. Соединение по п.9, в котором R1 представляет собой Н. 11. Соединение по любому из пп.1-10, в котором q=0, 1 или 2. 12. Соединение по п.11, в котором q=0. 13. Соединение по любому из пп.1-12, в котором R2 представляет собой Н, возможно замещенный С1-4алкил или возможно замещенный фенил. 14. Соединение по п.13, в котором, когда R2 представляет собой возможно замещенный С1-4алкил, возможным заместителем является гидроксигруппа. 15. Соединение по п.14, в котором гидроксигруппа присоединена к атому углерода, который является -атомом по отношению к атому углерода, к которому присоединен OR1.
16. Соединение по п.13, в котором R2 представляет собой Н, метил, гидроксиметил или этил.
17. Соединение по любому из пп.1-16, в котором R3 представляет собой С1-6 алкил, нафтил, индолил, возможно замещенный циклогексил или возможно замещенный фенил.
18. Соединение по п. 17, в котором R3 представляет собой возможно замещенный фенил или возможно замещенный циклогексил.
19. Соединение по любому из пп.1-18, в котором Y представляет собой СН2 или СН2С(= СН2)СН2, когда R1 и R2 оба представляют собой Н, R3 представляет собой незамещенный фенил или незамещенный циклогексил, и q=0 или 1.
20. Соединение по любому из пп.1-18, в котором R2 представляет собой метил, гидроксиметил или этил, когда R1 представляет собой Н, R3 представляет собой незамещенный фенил или незамещенный циклогексил, и q=0 или 1.
21. Соединение по любому из пп.1-20, в котором R3 замещен одной или более чем одной гидрокси, фтор, хлор, метил, метокси, амино, нитро, трифторметил, метилендиокси, этокси или пропоксигруппой, когда он представляет собой возможно замещенный фенил или возможно замещенный циклогексил.
22. Соединение по п.21, в котором R3 замещен одной или более чем одной гидрокси, моно- или дифтор, хлор, метил, матокси или метилендиоксигруппой.
23. Соединение по любому из пп.1-22, в котором Y представляет собой СН2.
24. Соединение по любому из пп.1-23, в котором В представляет собой структурный фрагмент формулы IVа.
25. Соединение по любому из пп.1-24, в котором -аминокислотный углерод фрагмента![]() находится в S-конфигурации. 26. Соединение по любому из пп. 1-25, в котором, когда R1 и R2 оба представляют собой Н и p=0, -углерод фрагмента![]() находится в R-конфигурации. 27. Соединение по п.1, где R3 представляет собой фенил, замещенный одним или более чем одним заместителем, выбранным из группы, состоящей из N(Р)R27 и галогено. 28. Соединение по п. 27, где R3 представляет собой фенил, замещенный N(Н)R27 и галогено. 29. Соединение по п. 28, где R3 представляет собой фенил, замещенный N(Н)R27 и хлоро. 30. Соединение, которое представляет собой Ch-(R,S)СН(ОН)-С(О)-Aze-Pab; Ch-(R)СН(ОН)-С(О)-Aze-Pab; Ph-(R)СН(ОН)-С(О)-Aze-Pab; Ph(3-Ме)-(R,S)СН(ОН)-С(О)-Aze-Pab; Ph(3-ОМе)-(R,S)СН(ОН)-С(О)-Aze-Pab; Ph(3,5-диОМе)-(R,S)СН(ОН)-С(О)-Aze-Pab; Ph(3-ОМе,4-ОН)-(R,S)СН(ОН)-С(О)-Aze-Pab; Ph-(R,S)С(Et)(ОН)-С(О)-Aze-Pab; Ph-(R,S)С(Et)(ОН)-С(О)-Pro-Pab; (Ph)2С(ОН)-С(О)-Aze-Pab; Ph(3-ОМе,4-ОН)-(R,S)СН(ОН)-С(О)-Pro-Pab; Ph-(R)СН(ОН)-С(О)-Aze-Pac; Ph-(R)СН(ОН)-С(О)-(R,S)Pic(cis-4-Ме)-Pab; Ph(3,4-(-О-СН2-О-))-(R,S)СН(ОН)-С(О)-Aze-Pab; Ph(3-ОМе)-(R,S)СН(ОН)-С(О)-Pro-Pab; Ph(3,5-диОМе)-(R,S)СН(ОН)-С(О)-Pro-Pab; Ph-(R,S)С(Ме)(ОН)-С(О)-Aze-Pab; Ph(3,5-диМе)-(R,S)СН(ОН)-С(О)-Aze-Pab; Ph(3-NH2)-(R,S)СН(ОН)-С(О)-Aze-Pab; Ph(3-NH2)-(R,S)СН(ОН)-С(О)-Pro-Pab; Ph(3-NO2)-(R,S)СН(ОН)-С(О)-Pro-Pab; Ph(3,4-(-О-СН2-О-))-(R,S)СН(ОН)-С(О)-Pro-Pab; Ph(3,5-диF)-(R,S)СН(ОН)-С(О)-Pro-Pab; Ph-(R)СН(О-СН2-(R,S)СН(-О-С(СН3)2-О-СН2-))-С(О)-Aze-Pab; Ph-(R)С(Ме)(ОН)-С(О)-Pro-Pab; Ph-(S)С(Ме)(ОН)-С(О)-Pro-Pab; Ph(3,4-диF)-(R,S)СН(ОН)-С(О)-Pro-Pab; Ph-(R)СН(ОН)-С(О)-(R,S)Pic(4-метилен)-Pab; Ph(3-Cl)-(R,S)СН(ОН)-С(О)-Aze-Pab; Ph-(R,S)С(-О-С(СН3)2-О-СН2-)-С(О)-Aze-Pab; Ph-(R,S)С(-О-С(СН3)2-О-СН2-))-С(О)-Pro-Pab; Ph-(R,S)С(СН2ОН)(ОН)-С(О)-Aze-Pab; или Ph-(R,S)С(СН2ОН)(ОН)-С(О)-Pro-Pab. 31. Фармацевтическая композиция, обладающая активностью ингибитора тромбина, содержащая соединение, как оно определено в любом из пп.1-30, или его фармацевтически приемлемую соль, в смеси с фармацевтически приемлемым адъювантом, разбавителем или носителем. 32. Соединение по любому из пп.1-30 или его фармацевтически приемлемая соль для применения в качестве фармацевтического средства. 33. Соединение по любому из пп.1-30 или его фармацевтически приемлемая соль для применения при лечении состояния, где требуется ингибирование тромбина. 34. Соединение по любому из пп.1-30 или его фармацевтически приемлемая соль для применения при лечении тромбоза. 35. Соединение по любому из пп.1-30 или его фармацевтически приемлемая соль для применения в качестве антикоагулянта. 36. Соединение по любому из пп.1-30 или его фармацевтически приемлемая соль для применения в качестве активного ингредиента при производстве лекарства для лечения состояния, где требуется ингибирование тромбина. 37. Соединение по п. 36 или его фармацевтически приемлемая соль для применения в качестве активного ингредиента при производстве лекарства для лечения тромбоза. 38. Соединение по любому из пп.1-30 или его фармацевтически приемлемая соль для применения в качестве активного ингредиента при производстве антикоагулянта. 39. Способ лечения состояния, где требуется ингибирование тромбина, при котором воздействуют терапевтически эффективным количеством соединения, как оно определено в любом из пп.1-30, или его фармацевтически приемлемой соли, на лицо, страдающее от такого состояния или склонное к такому состоянию. 40. Способ по п.39, где состояние является тромбозом. 41. Способ по п.39, где состояние является гиперкоагуляцией в крови и тканях. 42. Способ получения соединения, как оно определено в п.1, при котором сочетают соединение формулы V ![]() где p, q, R1, R2 и R3 такие, как определено в п.1, с соединением формулы VI, ![]() где R4, Y, n и B такие, как определено в п.1. 43. Способ получения соединения, как оно определено в п.1, при котором сочетают соединение формулы VII, ![]() где p, q, R1, R2, R3, R4 и Y такие, как определено в п.1, с соединением формулы VIII Н2N-(СН2)n-В VIII где n и В такие, как определено в п.1. 44. Соединение формулы XIV ![]() где B1 представляет собой структурный фрагмент формулы IVг, IVд или IVе ![]() ![]() ![]() D1 и D2 независимо представляют собой Н или бензилоксикарбонил, и p, q, R1, R2, R3, R4, Y, n, R5, X1 и X2 такие, как определено в п.1, при условии, что D1 и D2 оба не представляют собой Н. Приоритет по пунктам: 07.07.1995 по пп.1-29 и 31-44; 07.11.1995 и 22.12.1995 по п.30; 06.07.1995 и 05.12.1995 по пп.1-29, 30 и 31-44. |
||||||||||||||||||||||||||

0; и (б) R3 представляет собой незамещенный циклогексил, В представляет собой структурный фрагмент формулы IVa, и R5 представляет собой Н, тогда q
фибриногена. Как полагали авторы, из рассмотренных аминокислотных последовательностей наиболее эффективным ингибитором может быть последовательность Phe-Val-Arg (P9-P2-P1, на которую здесь и далее ссылаются как на последовательность P3-P2-P1) [классификация субстратной специфичности дана в Schechten and Bergen, Biophys. Res. Commun. (1967) 27, 157 и (1968) 32, 898].
Известны [патент США N 4346078, Международная заявка WO 93/11152] ингибиторы тромбина на основе дипептидильных производных C
– аминоалкилгуанидином в положении P1. Аналогично, сообщалось о родственных по структуре дипептидильных производных. Например, известны [Международная заявка WO 94/29336] соединения с, например, аминометилбензамидинами, циклическими аминоалкиламидинами и циклическими аминоалкилгуанидинами в положении P1; известны [Заявка на Европейский патент 0648780] соединения с, например, циклическими аминоалкилгуанидинами в положении P1.
Известны [Заявки на Европейский патент 0468231, 0559046 и 0641779] ингибиторы тромбина на основе пептидильных производных, также имеющие циклические аминоалкилгуанидины (например, либо 3-, либо 4-аминометил-1-амидинопиперидин) в положении P1.
Известны [Заявка на Европейский патент 0185390] ингибиторы тромбина на основе трипептидильных производных с аргининальдегидом в положении P1.
Совсем недавно были описаны пептидильные производные на основе аргининальдегида, модифицированные в положении P3, например гидроксикислотами [Международная заявка WO 93/18060], дезаминокислотами [Заявка на Европейский патент 0526877], О-метилминдальными кислотами [Заявка на Европейский патент 0542525] в положении P3.
Известны также ингибиторы сериновых протеаз (например, тромбина) на основе электрофильных кетонов в положении P1, например пептидил
,
-трикетосоединения [Заявка на Европейский патент 0364344] и
,
,
,

,

,
,
,
,


,
,
HCl
1,0 г) в CH2Cl2 (20 мл) перемешивают при комнатной температуре в течение 4 ч. Добавляют диэтиловый эфир (60 мл), реакционную смесь фильтруют через короткую колонку с силикагелем, элюируя смесью EtOAc:гексан (1:1). Фильтрат упаривают с получением 1,0 г (92%) указанного в подзаголовке соединения.
FAB-MS m/z 258 (М+1)+













