Патент на изобретение №2176643
|
||||||||||||||||||||||||||
(54) СПОСОБ ПОЛУЧЕНИЯ 5-ГИДРОКСИМЕТИЛ ЗАМЕЩЕННЫХ ОКСАЗОЛИДИНОНОВ, СПОСОБ ПОЛУЧЕНИЯ 5-АМИНОМЕТИЛ ЗАМЕЩЕННЫХ ОКСАЗОЛИДИНОНОВЫХ АМИНОВ, ОКСАЗОЛИДИНОНСУЛЬФОНАТ
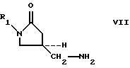
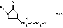
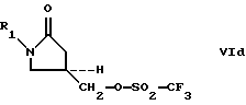
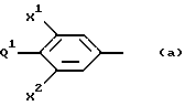
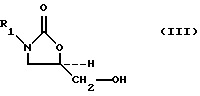
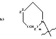
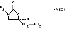
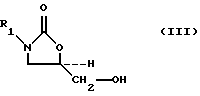
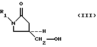
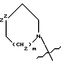
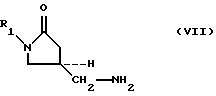
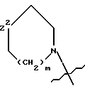
(57) Реферат: Изобретение относится к способу получения 5-гидроксиметил замещенных оксазолидинонов формулы (III) из карбаматов формулы (IIа) или трифторацетамида формулы (IIb) с использованием в качестве исходного вещества дигидрокси соединения формулы (I) или глицидола. Способ получения 5-аминометил замещенных оксазолидиноновых аминов формулы (VII) путем взаимодействия 5-гидроксиметил замещенных оксазолидинонов формулы (III) с сульфонирующим агентом и последующим взаимодействием полученного оксазолидинонсульфоната формулы (VIa-VId) с аммиаком при давлении меньшем, чем 207 кПа (2,1 ати). Новые производные оксазолидинонсульфоната формулы (VIa-VIb), где R1 представляет (а), X1 представляет Н или F, X12 представляет Н или F, Q1 представляет (b), Z2 представляет -N(R7)-, -О-, R7 представляет R3-O-C(O)-, где R3 является фенилом, m = 1, n1 = 0, 1 или 2, n2 = 0, 1 или 2, n3 = 5-(n1+n2). Технический результат – новый способ получения 5-гидроксиметил замещенных оксазолидинонов, новый способ получения 5-аминометил замещенных оксазолидиноновых аминов, новые производные оксазолидинонсульфоната. 3 с. и 15 з.п. ф-лы. ![]() R1-NH-COOM2 IIa R1-NH-CO-CF3 IIb M1-CH2-CH(OH)-CH2-OH I ![]() ![]() ![]() ![]() ![]()
Область техники, к которой относится изобретение Изобретение относится к способам получения 5-гидроксиметил замещенных оксазолидиноновых спиртов (III). Также раскрывается способ превращения 5-гидроксиметил замещенных оксазолидиноновых спиртов (III) в соответствующие оксазолидиноновые амины (VII), которые используют для получения оксазолидиноновых антибактериальных фармацевтических препаратов (VIII). Уровень техники Патенты США N 5164510, 5182403 и 5225565 описывают используемые в качестве антибактериальных агентов 5′-индолинилоксазолидиноны, 3-(5′-индазолил)оксазолидиноны и фенолоксазолидиноны, замещенные в 3-положении конденсированными кольцами. Патенты США 5231188 и 5247090 представляют используемые в качестве антибактериальных агентов различные трициклические [6.5.5] и [6.6.5]-конденсированные циклические оксазолидиноны. В опубликованной международной заявке WO 93/09103 описаны антибактериальные соединения моно- и ди-галоидфенил-оксазолидинон, которые используют в качестве фармацевтических агентов в связи с их антибактериальным действием. Патенты США N 4150029, 4250318, 4476136, 4340606 и 4461773 описывают синтез 5-гидроксиметилоксазолидинонов из аминов (R-NHX1, где X1 является -H или п-толуолсульфонилом) и R,S-глицидола (C*H2-O-C*H-CH2-OH), в котором атомы углерода, обозначенные знаком *, связаны между собой и циклизированы с образованием эпоксида. Смесь энантиомеров, полученных этим способом (представленная формулой R-NH-CH2-CHOH-CH2-OH), разделяют путем фракционной кристаллизации солей миндальной кислоты. Энантиомерно чистый R-диол превращают затем в соответствующие 5R-гидроксиметил замещенные оксазолидиноны (III) конденсацией с диэтилкарбонатом в присутствии метилата натрия. Эти 5R-гидроксиметил замещенные оксазолидиноны используют в качестве синтетических предшественников, применяемых в фармакологии оксазолидинонов. К недостаткам данного способа следует отнести излишнюю многостадийность процесса. В J. Med. Chem., 32, 1673 (1989), Tetrahedron 45, 1323 (1989) и патенте США N 4948801 описан способ получения оксазолидинонов путем взаимодействия изоцианата (R-N= C=O) с (R)-глицидилбутиратом в присутствии каталитического количества комплекса бромид лития – трибутилфосфиноксид для получения соответствующего 5R-бутирилоксиметил замещенного оксазолидинона. Процесс проводят при 135-145oС. Затем на следующей стадии эфир масляной кислоты гидролизуют с образованием соответствующего 5-гидроксиметил замещенного оксазолидинона. Относительно высокая стоимость и/или доступность изоцианата как исходного материала и необходимость использования высоких температур существенно снижают привлекательность этого способа. Abstracts of Papers, 206th National Meeting of the American Chemical Society, Chicago, IL, August, 1993; American Chemical Society: Washington, DC, 1993; ORGN 089; J. Med. Chem. 39, 673 (1996); J. Med. Chem. 39, 680 (1996); международные заявки WO 93/09103, WO 93/09103, WO 95/07271 и WO 93/23384; заявки PCT PCT/US95/12751 и PCT/US95/10992; Abstracts of Papers, 35th Interscience Conference on Antimicrobial Agents and Chemotherapy, San Francisco, CA, September, 1995; American Society for Microbiology: Washington, DC, 1995; Abstract N F208; Abstracts of Papers, 35th Interscience Conference on Antimicrobial Agents and Chemotherapy, San Francisco, CA, September, 1995; American Society for Microbiology: Washington, DC, 1995; Abstract N F207; Abstracts of Papers, 35th Interscience Conference on Antimicrobial Agents and Chemotherapy, San Francisco, CA, September, 1995; American Society for Microbiology: Washington, DC, 1995; Abstract No. F206; Abstracts of Papers, 35th Interscience Conference on Antimicrobial Agents and Chemotherapy, San Francisco, CA, September, 1995; American Society for Microbiology: Washington, DC, 1995; Abstract N F227 описывают реакцию карбамата с н-бутиллитием, диизопропиламидом лития или гексаметилдисилазидом лития при температуре от -78 до -40oС и затем с глицидилбутиратом при -78oС с последующим нагреванием до 20-25oС для получения 5-гидроксиметил замещенных оксазолидинонов (III), где эфир расщепляется во время реакции. Патенты США N 4062862 и 4236012 раскрывают способ получения оксазолидинонов, включающий взаимодействие эпоксида с первичным (в отсутствие любого заместителя на атоме азота) карбаматом в присутствии катализатора. Процесс “предпочтительнее всего проводят при температуре от 100 до 150oС в течение нескольких часов”. Канадский патент N 681830 описывает способ получения оксазолидинонов, включающий взаимодействие арилового эфира глицидола с первичным карбаматом в присутствии щелочного катализатора (предпочтительно амида лития или гидроксида лития). Процесс ведут в “предпочтительном диапазоне температур от 150 до 165oС”. Продуктами процесса являются ариловые эфиры 5-гидроксиметил замещенных оксазолидинонов и при этом выход продукта невелик (40-78%). В публикации J. Am. Chem. Soc. , 64, 1291 (1942) и в патенте США N 3547951 описывают способ превращения первичных спиртов в амины, который включает обработку метансульфонилхлоридом для получения мезилата (метансульфонат) с последующим взаимодействием мезилата с безводным аммиаком под высоким давлением в герметичном сосуде при температуре окружающей среды. Известно также, что мезилаты первичных спиртов взаимодействуют с жидким аммиаком с образованием соответствующих первичных аминов, но при этом требуются высокая температура и высокое давление (6 ати). Обычно этот процесс не может быть использован в обычных реакторах общего назначения, а должен осуществляться в специальных реакторах, работающих при высоких давлениях. Международная заявка WO 95/07271 раскрывает аммонолиз мезилата оксазолидинона. Патент США N 4476136 описывает способ превращения 5-гидроксиметил замещенных оксазолидинонов (III) в соответствующие 5(S)-аминометил замещенные оксазолидиноны (VII), который включает обработку метансульфонилхлоридом с последующей обработкой фталимидом калия и затем гидразином. Эта последовательность реакций сопровождается образованием побочных продуктов, которые трудно отделить от целевого продукта. J. Med. Chem., 32, 1673 (1989) и Tetrahedron 45, 1323 (1989) предлагают способ превращения 5-гидроксиметил замещенных оксазолидинонов в соответствующие 5S-ацетамидометил замещенные оксазолидиноны, который включает взаимодействие с метансульфонилхлоридом или тозилхлоридом (толилсульфонилхлоридом) с последующей обработкой азидом натрия, затем триметилфосфитом или двуокисью платины/водородом с последующей обработкой уксусным ангидридом или ацетилхлоридом для получения требуемых 5(S)-ацетамидометил замещенных оксазолидинонов. Известно, что азид натрия взрывоопасен. Патент США N 5210303 предлагает способ превращения различных замещенных бензилхлоридов в соответствующие бензиламины путем нагревания с водным раствором аммиака в присутствии ароматических альдегидов для подавления диалкилирования. Диалкилированная примесь обычно является трудно удаляемой, см. Chem. Lett., 1057 (1978). Сущность изобретения Предлагается способ получения 5-гидроксиметил замещенных оксазолидинонов общей формулы (III): ![]() где R1 представляет ![]() где X1 представляет -H или -F; X2 представляет -H или -F; Q1 представляет: ![]() ![]() ![]() ![]() ![]() ![]() ![]() ![]() ![]() ![]() ![]() Q1 и X2, взятые вместе, представляют ![]() где Z1 является: a) -CH2-, b) -CH(R4)-CH2-, c) -C(O)- или d) -CH2CH2CH2-; Z2 является: a) -O2S-, b) -O-, c) -N(R7)-, d) -OS- или e) -S-; Z3 является: a) -O2S-, b) -O-, c) -OS- или d) -S-; A1 является: a) H- или b) CH3; A2 является: a) H-, b) HO-, c) CH3-, d) CH3O-, e) R2O-CH2-C(O)-NH-, f) R3O-C(O)-NH-, g) (C1-C2)алкил-O-C(O)-, h) HO-CH2-, i) CH3O-NH-, j) (C1-C3)алкил-O2C-, k) CH3-C(O)-, l) CH3-C(O)-CH2-, ![]() ![]() A1 и A2, взятые вместе, представляют: ![]() b) O= ![]() где R1 является: a) -CHO, b) -COCH3, c) -COCHCl2, d) -COCHF2, e) -CO2CH3, f) -SO2CH3 или g) -COCH2OH; R2 является: a) H-, b) CH3-, c) фенил-CH2– или d) CH3C(O)-; R3 является: a) (C1-C3)алкил- или b) фенил-; R4 является: a) H- или b) HO-; R5 представляет: a) H-, b) (C1-C3)алкил-, c) CH2=CH-CH2– или d) CH3-O-(CH2)2-; R6 является: a) CH3-C(O)-, b) H-C(O)-, c) Cl2CH-C(O)-, d) HOCH2-C(O)-, e) CH3SO2-, ![]() g) F2CHC(O)-, ![]() i) H3C-C(O)-O-CH2-C(O)-, j) H-C(O)-O-CH2-C(O)-, ![]() l) HC CH-CH2O-CH2-C(O)- илиm) фенил-CH2-O-CH2-C(O)-; R7 является: a) R2O-C(R10)(R11)-C(O)-, b) R3O-C(O)-, c) R8-C(O)-, ![]() ![]() f) H3C-C(O)-(CH2)2-C(O)-, g) R9SO2-, ![]() i) HO-CH2-C(O)-, j) R16-(CH2)2-, k) R13-C(O)-O-CH2-C(O)-, l) (CH3)2N-CH2-C(O)-NH-, m) NC-CH2– или n) F2-CH-CH2-; R8 является: a) H-, b) (C1-C4)алкил, c) арил-(CH2)p, d) ClH2C-, e) Cl2HC-, f) FH2C-, g) F2HC- или h) (C3-C6)циклоалкил; R9 является: a) -CH3, b) -CH2Cl, c) -CH2CH=CH2, d) арил или e) -CH2CN; R10 представляет H или CH3-, R11 представляет H или CH3-; R12 является: a) H-, b) CH3O-CH2O-CH2– или c) HOCH2-; R13 является: a) CH3-, b) HOCH2-, c) (CH3)2N-фенил или d) (CH3)2N-CH2-; R14 является: a) HO-, b) CH3O-, c) H2N-, d) CH3O-C(O)-O-, e) CH3-C(O)-O-CH2-C(O)-O-, f) фенил-CH2-O-CH2-C(O)-O-, g) HO-(CH2)2-O-, h) CH3O-CH2-O-(CH2)2-O- или i) CH3O-CH2-O-; R15 является: a) H- или b) Cl-; R16 является: a) HO- b) CH2O- или c) F; m равняется 0 или 1; n принимает значения от 1 до 3; p принимает значения 0 или 1; арил является фенилом с числом заместителей ноль (0) или один (1), представляющих: a) -F, b) -Cl, c) -OCH3, d) -OH, e) -NH2, f) -(C1-C4)алкил, g) -O-C(O)-OCH3, или h) -NO2 и их защищенные формы, включающий (способ) взаимодействие гидрокси соединения, выбранного из группы, содержащей: a) (S)-, (R)-дигидрокси соединение формулы (I): M1-CH2-CH(OH)-CH2-OH, (I) или его любую смесь, где M1 является -Cl, -Br или -O-SO2– -CH3, илиb) (S)-, (R)-глицидол (IV): C*H2-C*H-CH2-OH, (IV) или его любую смесь, где все атомы углерода, обозначенные знаком *, связаны с одним и тем же атомом кислорода (-O-) для образования трехчленного кольца, с карбаматом формулы (IIA): R1-NH-CO-O-M2, (IIA) или трифторацетамидом формулы (IIB): R1-NH-CO-CF3, (IIB) в присутствии катиона лития и основания, чья сопряженная кислота имеет pKa больше примерно 8, и где -O-M2 представляет основание, чья сопряженная кислота имеет pKa в пределах между величинами приблизительно 8 и приблизительно 24, и где значения R1 приведены выше. Также описывается способ получения 5-аминометил замещенных оксазолидиноновых аминов формулы (VII): ![]() где R1 определено выше, который (способ) включает (1) взаимодействие 5-гидроксиметил замещенных оксазолидиноновых спиртов формулы (III): ![]() где R1 определено выше, с сульфонилирующим агентом, выбранным из группы, содержащей соединения формулы (Va-Vd): ![]() ![]() O(SO2-F)2, (Vc) O(SO2-CF3)2, (Vd) где n1 = 0, 1 или 2; где n2 = 0 – 4 при условии, что: если n1 = 0, n2 = 2, 3 или 4, если n1 = 1, n2 = 0 или 1, если n1 = 2, n2 = 0; где n3 = 5-(n1+n2); где M3 представляет Cl- или Br-, для получения соответствующего оксазолидинонсульфоната формулы (VIa-VId): ![]() ![]() ![]() и (2) взаимодействие оксазолидинонсульфоната (VIa-VId) с аммиаком при давлении меньшем 2,1 ати. Подробное описание изобретения В способе получения 5-гидроксиметил замещенных оксазолидиноновых спиртов (III) можно использовать нециклические (S)-, (R)-дигидрокси соединения формулы (I) или любую их смесь, или (S)-, (R)-глицидол (IV), или любую смесь для сочетания с карбаматом (IIA) или трифторацетамидом формулы (IIB). 5-гидроксиметил замещенные оксазолидиноновые спирты (III) являются промежуточными продуктами при получении 5-аминометил замещенных оксазолидиноновых аминов (VII), которые могут быть ацилированы для получения используемых в фармацевтических целях 5-ациламидометил замещенных оксазолидиноновых (VIII) антибактериальных агентов. Ввиду наличия энантиомерного центра могут быть получены 5(R)-, 5(S)-ациламидометил замещенные оксазолидиноны (VIII) и их смеси, (S)-энантиомер 5-ациламидометил замещенного оксазолидинона (VIII) имеет антибактериальную активность, в то время как (R)-энантиомер ее не имеет. Энантиомер 5(S)-аминометил замещенного оксазолидинонового амина (VII) получают из энантиомера 5(R)-гидроксиметил замещенного оксазолидинонового спирта (III), который, в свою очередь, получается из (S)-дигидрокси соединения (I) или из (S)-глицидола (IV). Исходя из этого, желаемой и предпочтительной энантиомерной последовательностью является использование энантиомерно чистого (S)-дигидрокси соединения (I) или (S)-глицидола (IV) для получения (R)-5-гидроксиметил замещенного оксазолидинонового спирта (III), который используют для получения энантиомерно чистого (S)-5-аминометил замещенного оксазолидинонового амина (VII), который превращают в энантиомерно чистый (S)-5-ациламидометил замещенный оксазолидинон (VIII). Однако специалистам ясно, что можно легко осуществить аналогичные стадии процесса с иными энантиомерными формами и на любой стадии процесса нежелательную энантиомерную конфигурацию превратить в желаемую конфигурацию. Таким образом, использование химических реакций предлагаемого способа с любой из энантиомерных форм считается эквивалентным заявленным способам. Дигидрокси соединения, M1-CH2-CH(OH)-CH2-OH, формулы (I) и соединения глицидола C*H2-C*H-CH2-OH формулы (IV), где звездочкой * обозначены атомы углерода, связанные с одним и тем же атомом кислорода -(O)-, образуя трехчленное кольцо, известны квалифицированным специалистам в данной области или могут быть легко получены из известных компонентов с помощью методов, известных указанным специалистам. Предпочтительно, чтобы исходный гидрокси материал был дигидрокси соединением (I). Представляется предпочтительным, чтобы дигидрокси соединение (I) и глицидол (IV) являлись (S)-энантиомерами. Предпочтительно, чтобы M1 представляло Cl-; предпочтительно, чтобы дигидрокси соединение (I) по пункту 5 формулы изобретения могло быть приобретено коммерческим путем. Карбаматы R1-NH-CO-O-M2 формулы (IIA) и трифторацетамид R1-NH-CO-CF3 формулы (IIB) или известны квалифицированным специалистам в данной области, или могут быть легко получены из известных соединений с помощью известных специалистам способов. Природа удаляемой группы M2 не важна, так как эта группа теряется в ходе реакции, как известно специалистам. Действующими M2 (удаляемыми группами) являются те, для которых -O-M2 является основанием, чья сопряженная кислота имеет pKa между примерно 8 и примерно 24. Предпочтительно M2 включает: C1-C20 алкил, C3-C7 циклоалкил, – необязательно замещенный одним или двумя C1-C3 алкилами или F-, Cl-, Br-, I-.
CH2=CH-CH2-,CH3-CH=CH-CH2-, (CH3)2C=CH-CH2-, CH2=CH-, -CH=CH-CH2-, -CH2 – необязательно замещенное по одним или двумя -Cl, C1-C4 алкилами, -NO2, -CN, -CF3,9-флуоренилметил, (Cl)3C-CH2-, 2-триметилсилилэтил -CH2-CH2-,1-адамантил, ( )2CH-,CH C-C(CH3)2-,2-фуранилметил, изоборнил, более предпочтительными удаляемыми группами являются C1-C4алкил или бензил. Любая другая удаляемая группа, работающая похожим образом, считается эквивалентной группам, определенным выше. Карбамат (IIA) и трифторацетамид (IIB) несут ароматическую/гетероароматическую группу (R1-) 5-гидроксиметил замещенного оксазолидинонового спирта (III). Предпочтительно, чтобы R1 был фенилом, замещенным одной -F и одной замещенной аминогруппой; более предпочтительно, чтобы R1 являлся 3-фтор-4- [4-(бензилоксикарбонил)-1- пиперазинил] фенилом или 3-фтор-4-(морфолинил)фенилом. В зависимости от конкретных заместителей R1, группы могут быть защищены, как это известно специалистам, способами, предотвращающими нежелательные побочные реакции. Например, если заместитель R1 имеет свободную первичную или вторичную гидроксигруппу, не обязательно, но предпочтительно защитить ее с помощью защищающей спирт группы при образовании 5-гидроксиметил замещенных оксазолидиноновых спиртов (III). В общем, незащищенный спирт не будет вмешиваться в реакцию дигидрокси соединения (I) или глицидола (IV) с карбаматом (IIA) или трифторацетамидом (IIB) при получении 5-гидроксиметил замещенных оксазолидиноновых спиртов (III). Однако, незащищенный спирт будет, как правило, препятствовать превращению 5-гидроксиметил замещенных оксазолидиноновых спиртов (III) в соответствующие 5-аминометил замещенные амины (VII), так как очень трудно или даже невозможно избирательно защитить первичный или вторичный спирт по функциональной группе R1 в присутствии другого первичного или вторичного спирта. Пригодные для защиты спирта группы хорошо известны специалистам, и предпочтительными являются C1-C5алкил, -CH2-, CH3-O-CH2-, CH3-, CH3-S-CH2-, -CH2-O-CH2-, тетрагидропиранил, CH3CH(-O-C2H5)-, п-метоксибензил, п-метоксифенил, п-нитробензил, ( )3C-, (CH3)3Si-, [CH3-CH(CH3)]3Si-, -(CH3)2Si-. Эти защитные группы удаляются известными специалистам способами. Например, если R1 содержит гидрокси заместитель, он должен быть защищен в процессе превращения 5-гидроксиметил замещенного оксазолидинонового спирта (III) в 5-аминометил замещенный оксазолидиноновый амин (VII) или в 5-ациламидометил замещенный оксазолидинон (VIII). Если R1 заместитель содержит свободный первичный или вторичный амин в качестве заместителя, то в этом случае он не должен быть защищен в ходе процесса образования 5-гидроксиметил замещенных оксазолидиноновых спиртов (III), но должен быть защищен в ходе превращения 5-гидроксиметил замещенных оксазолидиноновых спиртов (III) в соответствующие 5-аминометил замещенные оксазолидиноновые амины (VII) и 5-ациламидометил замещенные оксазолидиноны (VIII). Причина в том, что аминогруппа будет в основном подвергаться нежелательным побочным реакциям во время одной или более стадий превращения 5-гидроксиметил замещенных оксазолидиноновых спиртов (III) в соответствующие 5-ациламидометил замещенные оксазолидиноны (VIII). Следовательно, предпочтительно защитить любой аминовый заместитель в функциональной группе R1 до проведения реакции дигидрокси соединения (I) или глицидола (IV) с карбаматом (IIA) или трифторацетамидом (IIB). Защитные группы для аминов хорошо известны квалифицированным специалистам. Предпочтительными аминозащитными группами являются(I) C1-C4 алкил, (II) -CH2-,(III) ( )3C-,(IV) Ra-CO-, где Ra представляет (A) H-, (B) C1-C4 алкил, (C) C5-C7 циклоалкил, (D) (C1-C5алкил)-O-, (E) Cl3C-CH2-O-, (F) H2C=CH-CH2O-, (G) -CH= CH-CH2-O-, (H) -CH2-O-, (I) п-метоксифенил-CH2-O-, (J) п-нитрофенил-CH2-O-, (K) -O-, (L) CH3-CO-CH2-, (M) (CH3)3Si-O-,(V) Rb-SO2-, где Rb представляет (A) (C1алкил)-, (B) -, (C) п-метилфенил- и (D) -CH2-. Предпочтительной аминозащитной группой является бензилоксикарбонил, который, как известно специалистам, может быть удален путем каталитической гидрогенизации. Нет ничего нового в использовании защитных групп в этих реакциях или в природе отдельных защитных групп. Все это хорошо известно специалистам в данной области. Как известно специалистам, защитные группы могут быть удалены после последней реакции, в которой защищенный заместитель должен подвергаться воздействию и сохраняться и удаляться после последующих реакций. Например, может быть предпочтительно сохранять защитную группу до тех пор, пока не будет завершена конечная стадия ацилирования. Заместитель R1 может быть необязательно модифицирован после получения 5-ациламидометил замещенных оксазолидинонов (VIII) в зависимости от того, какие известные специалистам реакции для этого требуются.
Реакция дигидрокси соединений (I) или глицидола (IV) с карбаматом (IIA) или трифторацетамидом (IIB) приводит к образованию одинаковых 5-гидроксиметил замещенных оксазолидиноновых спиртов (III). Выбор использования дигидрокси соединения (I) или глицидола (IV) для получения отдельного 5-гидроксиметил замещенного оксазолидинонового спирта (III) может быть сделан произвольным образом. Нет такого исходного продукта, который был бы предпочтителен во всех случаях; нет такого предпочтительного в общем случае пути, который был бы основан только на законах химии. Решение включает коммерческую доступность каждого исходного реагента, его химическую и энантиомерную чистоту, его цену и т.д., что хорошо известно специалистам.
Один из способов предлагаемого изобретения представляет собой реакцию дигидрокси соединения (I) или глицидола (IV) с карбаматом (IIA) или трифторацетамидом (IIB) в присутствии катиона лития (Li+) и основания, чья сопряженная кислота имеет рКа больше примерно 8.
По способу требуется примерно один мольный эквивалент или дигидрокси соединения (I), или глицидола (IV)/эквивалент карбамата (IIA), или трифторацетамидов (IIB). Для проведения реакции требуется основание, природа которого не является критической, если только основание достаточно сильно для депротонирования карбамата (II). Реакционноспособными основаниями являются те, чья сопряженная кислота имеет pKa больше примерно 8. Предпочтительные основания включают соединения, выбранные из группы, включающей:алкокси соединения, содержащие от одного до семи атомов углерода, карбонат, метил, втор-бутил и трет-бутил карбанионы, три(алкил)амины, в которых алкильные группы содержат от одного до 4 атомов углерода, сопряженное основание карбамата (II), DBU, DBN, N-метилпиперидин, N-метилморфолин, 2,2,2-трихлорэтоксид и Cl3C-CH2-O-; наиболее предпочтительными основаниями являются алкокси с четырьмя или пятью атомами углерода. Предпочтительно, чтобы спиртовыми основаниями с четырьмя или пятью атомами углерода были трет-амилат или трет-бутоксид. Натриевые или калиевые основания в комбинации с солью лития (такие как хлорид лития или бромид лития) могут использоваться для формирования катиона лития и основания in situ. Природа растворителя не является критичной. Пригодные растворители включают циклические эфиры, такие как THF, амиды, такие как DMF и DMAC, амины, такие как триэтиламин, ацетонитрил, и спирты, такие как трет-амиловый спирт и трет-бутиловый спирт. Выбор растворителя зависит от растворимости карбамата (IIA) или трифторацетамида (IIB), что известно опытным специалистам в данной области. В случае, если исходный реагент является дигидрокси соединением (I), то наиболее благоприятным может быть взаимодействие дигидрокси соединения (I) с циклизирующим агентом до контактирования с карбаматом (IIA) или трифторацетамидом (IIB). Термин “циклизирующий агент” относится к основанию, которое циклизирует дигидрокси соединение (I) до глицидола (IV). Пригодные циклизирующие агенты включают основания, чья сопряженная кислота имеет pKa больше примерно 7; предпочтительными циклизирующими агентами являются бутоксид натрия, калия или лития, гидроксид натрия или калия, карбонат калия, DBU, амилат лития, натрия и калия, наиболее предпочтительным является трет-бутоксид калия. Предпочтительно проводить реакцию при температуре < 100oС, более предпочтительно при температуре < 70oС, еще более предпочтительно при температуре < 50oС и наиболее предпочтительно проводить реакцию при температуре < 25oС. Реакция может идти при комнатной температуре (приблизительно от 20 до 25oС). При температуре около 20oС реакция требует порядка 8 ч для полного завершения (в DMAC). Если желательна более быстрая реакция, реакцию можно вести при более высокой температуре. Как сказано выше, провести дифференциацию между первичными спиртами и вторичными спиртами затруднительно. При реакции циклизации образуется простой спирт. Например, бензиловый спирт образуется тогда, когда бензилкарбонат подвергают условиям циклизации. Этот спирт необходимо удалить для успешного превращения спирта в амин. Это совершается путем кристаллизации с использованием смеси этилацетат/гептан (1/2). Бензиловый спирт остается в растворе, а нужный оксазолидиноновый спирт выделяется в виде твердого вещества. Схема C представляет способы превращения 5-гидроксиметил замещенных оксазолидиноновых спиртов (III) в соответствующие 5-аминометил замещенные оксазолидиноновые амины (VII). Вопросы защиты спиртовых и/или аминогрупп на функциональном фрагменте R1 были рассмотрены выше. 5-гидроксиметил замещенные оксазолидиноновые спирты (III) взаимодействуют с сульфонилирующим агентом (Va-Vd) четырех типов. Это O(SO2-F)2 (Vc) и O(SO2-CF3)2 (Vd). M3 представляет подвижную группу, которая включает Cl- или Br-; предпочтительно M3 представляет Cl-. 5-гидроксиметил замещенные оксазолидиноны (III) взаимодействуют с сульфонилирующим агентом (Va-Vd) с образованием в качестве промежуточного соединения оксазолидинонового сульфоната (VIa-VId).
Превращение 5-гидроксиметил замещенных оксазолидинонов (III) путем сульфонирования в соответствующие оксазолидинонсульфонаты (VI) осуществляют взаимодействием 5-гидроксиметил замещенных оксазолидинонов (III) с по крайней мере одним мольным эквивалентом сульфонилирующего агента (Va-Vd) в присутствии основания в инертном растворителе при температуре около 0oС. Пригодные основания включают триэтиламин, трибутиламин, диизопропилэтиламин, DABCO, DBU, DBN, н-бутиллитий, этилмагнийхлорид и их эквиваленты; предпочтительным является триэтиламин. Инертные растворители включают большинство органических растворителей, таких как метиленхлорид, THF, DMA, DMF, этилацетат и их эквиваленты; предпочтительным является метиленхлорид.
Реакцию превращения оксазолидиноновых сульфонатов (VI) путем аммонолиза в соответствующие 5-аминометил замещенные оксазолидиноновые амины (VII) ведут в открытых условиях или в негерметичных условиях, или в герметичных условиях, хотя предпочтительней вести ее в герметичных условиях.
В любом случае реакцию аммонолиза проводят путем взаимодействия оксазолидинонсульфоната (VI) с аммиаком (лучше водным), предпочтительно с растворителем или смесью растворителей. Предпочтительными растворителями являются те, в которых растворяются как оксазолидиноновые сульфонаты (VI), так и водный аммиак, потому что при растворении обоих контакт между ними обеспечен. Однако, процесс также проходит и с растворителями, которые лишь частично растворяют оксазолидиноновые сульфонаты (VI); недостатком является то, что реакция в целом проходит медленней. Для случая м-нитробензолсульфонатов предпочтительным растворителем является смесь ацетонитрил/изопропанол или THF/изопропанол. В системе создают пониженное давление. Затем систему закрывают или герметизируют, добавляют аммиак (предпочтительно водный аммиак) и нагревают до температуры ниже 50oС, предпочтительно до температуры ниже 40oС, предпочтительно до примерно 38oС (около 0,21 ати). При температуре около 38-40oС давление должно находиться в интервале от 0 до 0,7 ати, что намного ниже предельной нормы давления для реакторов общего назначения. При соблюдении этих условий при температуре около 60oС давление составляет величину около 1,4 ати. Предпочтительно, чтобы реакцию аммонолиза проводили при давлении от 0 до 1,4 ати, предпочтительно от 0 до 0,35 ати и температуре около 60oС или меньше. В альтернативном случае, реакцию проводят в открытой системе при кипячении с обратным холодильником. В этом случае температура будет несколько меньше, а реакция потребует несколько больше времени для полного своего завершения. Аммиак может быть водным, спиртовым или безводным; однако водный аммиак предпочтительней.
В другом случае взаимодействие с водным аммиаком может проводиться в присутствии ароматического альдегида (IX, Ar-CHO), предпочтительно салицилальдегида. 5-Аминометил замещенные оксазолидиноновые амины (VII) и альдегид (IX) образуют основание Шиффа формулы (оксазолидинон-N=CH-Ar), которое затем гидролизуют в присутствии водного раствора кислоты, как известно специалистам, с целью получения 5-аминометил замещенного оксазолидинонового амина (VII). Ароматический альдегид (IX) используют для подавления образования димера.
5-Аминометил замещенные оксазолидиноновые амины (VII) ацилируют известными средствами, таким как ацилгалогениды или ацилангидриды для образования соответствующего 5-ациламидометил замещенного оксазолидинона (VIII), см. схему D. Любые группы, защищающие спирт или амин, могут быть удалены после получения 5-ациламидометил замещенного оксазолидинона (VIII). Однако, как известно специалистам, они могут быть удалены и на более ранней стадии реакции в зависимости от конкретных заместителей.
Известно, что 5-ациламидометил замещенные оксазолидиноны (VIII) являются антибактериальными фармацевтическими агентами. R2 выбирается из группы, состоящей из -H, C1-C12 алкила, необязательно замещенного одним или более галогенами, (C3-C7)цикло(C5-C9)алкила или -O-R2a, где R2a представляет C1-C6 алкил. Предпочтительно, чтобы R2 представлял C1алкил.
Определения и условные обозначенияОпределения и пояснения даны ниже для встречающихся во всем описании терминов, включая и формулу изобретения. Условные обозначения для формул и определения переменных Химические формулы, представляющие различные соединения или молекулярные фрагменты в описании и в формуле изобретения, могут содержать переменные заместители в дополнение к точно определенным структурным признакам. Эти переменные заместители идентифицируются с помощью букв или букв с цифровыми индексами, например “Z1” или “Ri“, где i является целым числом. Эти переменные заместители могут быть или одновалентными, или двухвалентными, что означает, что они представляют собой группу, присоединенную к формуле одной или двумя химическими связями. Например, группа Z1 будет представлять двухвалентную переменную, если она присоединена к формуле CH3-C(=Z1)H. Группы Ri и Rj будут представлять одновалентные переменные заместители, если они присоединены к формуле CH3-CH2-C(Ri)(Rj)-H. Когда химические формулы представлены в линейном виде, как это сделано выше, переменные заместители, заключенные в скобках, связаны с атомом, стоящим непосредственно слева от переменного заместителя, заключенного в скобки. Когда два или более последовательных переменных заместителя заключены в скобки, то каждый из последовательных переменных заместителей связан непосредственно с предшествующим атомом слева, который не заключен в скобки. Таким образом, в формуле, приведенной выше, Ri и Rj связаны с предшествующим атомом углерода. Кроме того, для любых молекул с определенной системой нумерации атома углерода, такой как стероиды, эти атомы углерода обозначены как Ci, где “i” является целым числом, соответствующим номеру атома углерода. Например, C6 представляет 6 позицию или номер атома углерода в стероидном ядре, как это традиционно обозначается специалистами химии стероидов. Подобным образом обозначение “R6” представляет переменный заместитель (одновалентный или двухвалентный) в C6-положении. Химические формулы или их составляющие, представленные в линейной форме, представляют атомы в линейной цепочке. Символ “-” в общем случае представляет связь между двумя атомами в цепи. Таким образом, соединение CH3-O-CH2-CH(Ri)-CH3 обозначается как 2-замещенный-1-метоксипропан. Подобным же образом символ “=” представляет двойную связь, например, CH2=C(Ri)-O-CH3, и символ “ ” представляет тройную связь, например, HC C-CH(Ri)-CH2-CH3. Карбонильные группы представлены одним из двух способов: CO- или -C(=O), причем первый способ предпочтительней из-за своей простоты.
Химические формулы циклических (кольцевых) соединений или молекулярных фрагментов могут быть представлены в линейном виде. Так соединение 4-хлор-2-метилпиридин может быть представлено в линейном виде с помощью обозначения N*= C(CH3)-CH= CCl-CH= C*H с условием, что атомы, помеченные звездочкой (*), связаны друг с другом с образованием кольца. Подобным образом циклический молекулярный фрагмент 4-(этил)-1-пиперазинил может быть представлен как -N*-(CH2)2-N(C2H5)-CH2-C*H2.
Жесткая циклическая (кольцевая) структура для любых соединений здесь определяет пространственное расположение относительно плоскости кольца для заместителей, прикрепленных к каждому атому углерода, входящему в жесткое циклическое соединение. В случае насыщенных соединений, имеющих два заместителя, связанных с атомом углерода, являющимся частью циклической системы, -C(X1)(X2)- оба заместителя могут находиться в аксиальном или экваториальном положении относительно кольца, и эти позиции могут обмениваться. Однако положение обоих заместителей относительно кольца и друг относительно друга остается фиксированным. Хотя любой заместитель временами может скорее лежать в плоскости кольца (экваториальной), чем выше или ниже плоскости (аксиальная позиция), один заместитель всегда находится выше другого. В химических структурных формулах, изображающих такие соединения, заместитель (X1), находящийся “ниже” другого заместителя (X2), определяется как альфа ( ) -конфигурация и обозначается с помощью разорванных штриховых или пунктирных линий, связанных с атомом углерода, например, с помощью символов “—” или “. ..”. Соответствующий заместитель (X2), расположенный “выше” другого (X1), определяется как бета ( ) -конфигурация и обозначается с помощью сплошных линий, связанных с атомом углерода.
Когда переменный заместитель двухвалентен, валентности могут быть обозначены вместе или раздельно, или обоими способами при изображении переменного. Например, переменный заместитель Ri, связанный с атомом углерода как -C(= Ri), может быть двухвалентным и определяться как “оксо” или “кето”, (образуя таким образом карбонильную группу (-CO-), или как два отдельно соединенных одновалентных переменных заместителя -Ri-j и -Ri-k. Когда двухвалентная переменная Ri определена как состоящая из двух одновалентных переменных заместителей, условное сокращение для описания двухвалентной переменной имеет вид “ -Ri-j: -Ri-k” или какой-то вариант этого. В таком случае оба заместителя -Ri-j и -Ri-k связаны с атомом углерода, образуя – C( -Ri-j)( -Ri-k). Например, для случая, когда двухвалентный переменный заместитель R6, -C(=R6)- определен как состоящий из двух одновалентных переменных заместителей, два одновалентных переменных заместителя являются -R6-1: -R6-2, … -R6-9: -R6-10, и т.д., что дает формулу -C( -R6-1)( -R6-2)-, . . . -C( -R6-9)( -R6-10)-, и т.д. Аналогично для двухвалентного переменного заместителя R11, -C(= R11)-, два одновалентных переменных заместителя выглядят как -R11-1: -R11-2. Для заместителя кольца, для которого отдельные и ориентации не существуют (например, из-за наличия двойной связи углерод-углерод в кольце), для заместителя, связанного с атомом углерода, не являющимся частью кольца, описанные выше условные обозначения продолжают использоваться, но обозначения и опускаются.
Так же как двухвалентная переменная может быть определена как два отдельных одновалентных переменных заместителя, так и два отдельных одновалентных заместителя могут быть определены совместно, образуя двухвалентную переменную. Например, в формуле -C1(Ri)H-C2(Rj)H- (C1 и C2 произвольно определяют первый и второй атом углерода, соответственно) Ri и Rj, вместе взятые, образуют (1) вторую связь между C1 и C2 или (2) – двухвалентную группу, такую как окса(-O-), и формула тем самым описывает эпоксид. Когда Ri и Rj, взятые вместе, образуют более сложное целостное образование, такое как группа -X-Y-, тогда ориентация образования такова, что переменная C1 в вышеприведенной формуле связана с X и C2 связана с Y. Тогда, по принятой договоренности определение “..Ri и Rj, вместе взятые, образуют -CH2-CH2-O-CO-…” означает лактон, в котором карбонил связан с C2. Однако, если определено, что “. .Ri и Rj, вместе взятые, образуют -CO-O-CH2-CH2-“, то имеется в виду лактон, в котором карбонил связан с C1.
Углеродное содержимое переменных заместителей изображается одним из двух способов. Первый способ использует префикс для полного имени переменной, например “C1-C4“, где “1” и “4” целые числа, представляющие минимальное и максимальное число атомов углерода в переменной. Префикс отделен от переменной интервалом. Например, “C1-C4 алкил” представляет алкил с числом атомов углерода от 1 до 4 (включая их изомерные формы, если только не приведено обозначение, показывающее обратное). Если используется единичный префикс, то он показывает общее число атомов углерода, содержащихся в описываемой переменной. Так, обозначение C2-C4 алкоксикарбонил описывает группу CH3-(CH2)n-O-CO-, где n принимает значения ноль, один или два. Согласно второму способу содержание атомов углерода только в каждой части определения указывается отдельно при раскрытии скобок в выражении “Ci-Cj” и путем помещения его непосредственно (без промежуточного интервала) перед частью данного выше определения. При таком необязательном условном обозначении выражение (C1-C3)алкоксикарбонил имеет такое же значение, как C2-C4 алкоксикарбонил, потому что выражение “(C1-C3)” относится только к количеству атомов углерода в алкоксигруппе. Подобным образом, хотя и C2-C6 алкоксиалкил, и (C1-C3)алкокси(C1-C3)алкил изображают алкоксиалкильные группы, содержащие от 2 до 6 атомов углерода, два обозначения различаются, так как первое определение позволяет или алкокси, или алкил радикалам каждому в отдельности содержать от 4 или 5 атомов углерода, в то время как последнее определение ограничивает эти группы 3 атомами углерода.
Если пункты формулы изобретения содержат комплексный (циклический) заместитель, в конце фразы называется/указывается, что данный заместитель будет иметь обозначение (в скобках), которое соответствует такому же названию/обозначению заместителя в одной из схем, которая будет также представлять химическую структурную формулу этого заместителя.
ОпределенияВсе температуры указаны в градусах Цельсия. “ТСХ” обозначает тонкослойную хроматографию. “THF” обозначает тетрагидрофуран. “DMF” обозначает диметилформамид. “DBU” обозначает 1,8-диазабицикло[5.4.0]ундец-7-ен. “DBN” обозначает 1,5-диазабицикло[4.3.0] нон-5-ен. “DABCO” обозначает 1,4-диазабицикло[2.2.2]октан. “DMA” обозначает диметилацетамид. “Солевой (saline)” обозначает водный насыщенный раствор хлорида натрия. “Хроматография” (колоночная или флэш-хроматография) обозначает очистку/выделение соединений, выделяемых как (носитель, элюент). Понятно, что нужные фракции собирают и концентрируют для получения желаемого соединения (желаемых соединений). “ИК” обозначает инфракрасную спектроскопию. “СМР” обозначает 13C магнитно-резонансную спектроскопию, химические сдвиги указаны в ppm ( ) от TMS (тетраметилсилана).
ЯМР обозначает спектроскопию ядерно(протонно)-магнитного резонанса, химические сдвиги приведены в ppm ( ) от тетраметилсилана.
– относится к фенилу (C6H5).
[ ] D 25 обозначает угол поворота плоскости поляризованного света (удельное оптическое вращение) на 25oС от D-линии натрия ![]() “MS” обозначает масс-спектр, выраженный как отношение m/e, m/z или масса/заряд. [M+H] + обозначает положительный исходный ион плюс атом водорода. “EI” обозначает электронный захват. “CI” относится к химической ионизации. “FAB” обозначает быструю бомбардировку атомами. “HMRS” обозначает масс-спектроскопию высокого разрешения. “Фармацевтически приемлемые” относится к тем свойствам или соединениям, которые приемлемы для пациента исходя из фармакологической/токсикологической точки зрения и для изготовителя в фармацевтической промышленности с физико-химической точки зрения, в отношении композиций, форм, стабильности, восприятия пациентом и биодоступности. При использовании пар растворителей соотношение используемых растворителей дано как объем/объем (об/об). Растворимость твердого вещества в растворителе определяется через отношение веса твердого вещества к объему растворителя как (вес/об). NNNNNN-NN-N обозначает регистрационный номер Chemical Abstracts Service (CAS, Columbus, Ohio), где каждое “N” является целым числом, принимающим значения от 0 до 9, но с отсутствием ведущих нулей в 6-ти значной части числа. Регистрационные номера присвоены отдельным химическим соединениям по критерию CAS, при условии, что соединение было найдено и было определенным путем охарактеризовано. Соединения, информация о которых опубликована начиная приблизительно с 1967 года и по настоящее время, официально зарегистрированы и регистрационный номер является ключом к отысканию ссылок в базе данных CAS для этих зарегистрированных соединений. База данных CAS открыта для доступа широкой общественности благодаря нескольким продавцам базы данных, таким как STN International, System Development Corporation (SDC) Orbit Search Service, Lockheed Dialog, Bibliographic Retrieval Systems, Questrel, и т.д. Регистрационные номера CAS включены в примеры для некоторых зарегистрированных соединений. Давление в ати представляет нанометрическое (избыточное) давление, равное абсолютному давлению в атм минус 1 атм. Примеры Без дальнейшего уточнения можно с уверенностью считать, что специалисты в данной области могут, используя вышеприведенное описание, в полной степени понять настоящее изобретение. Приведенные ниже подробные примеры описывают способы приготовления различных соединений и/или проведения различных процессов согласно изобретению, примеры составлены только как иллюстрирующие предшествующее раскрытие в любом его аспекте, но не ограничивающие его. Специалисты могут быстро выбрать подходящие для них варианты процедур среди реагентов, условий реакции и техники проведения реакций. Пример 1 (R)-[N-3-[3-Фтор-4-[N-1-(4-карбобензокси)пиперазинил]фенил]-2- оксо-5-оксазолидинил]метанол (III) Смесь N-карбобензокси-3-фтор-4-(N-карбобензоксипиперазинил)анилина (II, J. Med. Chem., 39(3), 673 (1996)), 100 г 98,4% чистого вещества, 0,2133 моль) в DMAC (300 мл) охлаждают до oС. В отдельной колбе смесь трет-амилового спирта (75 мл, 60,37 г, 0,685 моль, 3,23 эквивалента (экв.)) и гептана (75 мл) охлаждают до -10oС и обрабатывают раствором н-бутиллития в гептане (290 мл, 203 г 14,4% вес/об раствора, содержащего 29,2 г или 0,456 моль = 2/15 экв. н-бутиллития), поддерживая температуру ниже 10oС. Смесь трет-амилата лития затем добавляют к N-карбобензокси-3-фтор-4- (N-карбобензоксипиперазинил) анилину (II), поддерживая температуру ниже 10oС. Затем добавляют чистый (S)-(+)-3-хлор-1,2-пропандиол (I, Cas #60827-45-4, 22 мл, 29,1 г, 0,263 моль, 1,24 экв.), промытый небольшим количеством гептана. Реакционную смесь перемешивают при температуре 20-25oС и контролируют с помощью ТСХ (метанол/метиленхлорид, 5/95) до полного завершения реакции. Реакционную смесь добавляют затем к смеси уксусной кислоты (40 мл, 42,0 г, 0,699 моль, 3,29 экв.) в метаноле (700 мл) и воды (700 мл). Полученную суспензию перемешивают при 20-25oС в течение 30 мин, охлаждают до 0oС, перемешивают при 0oС в течение 30 мин и фильтруют. Лепешку (отжатый осадок на фильтре) промывают с помощью раствора метанол/вода (50/50) и сушат затем при пониженном давлении для получения указанного в заголовке соединения. ТСХ (метиленхлорид/метанол, 95/5) Rf = 0,43. Пример 2 (R)-[N-3-[3-Фтор-4-[N-1-(4-карбобензокси)пиперазинил]фенил]-2- оксо-5-оксазолидинил]метанол (III) Трет-амиловый спирт (0,967 г, 10,97 ммоль, 2,571 экв.) охлаждают до температуры -10oС. Добавляют при перемешивании бутиллитий (4,3 мл, 2,5 М в гексане, 10,8 ммоль, 2,5 экв.), поддерживая температуру ниже 5oС. N-Карбобензокси-3-фтор-4- (N-карбобензоксипиперазинил) анилин (II, 1,9780 г, 4,267 ммоль, 1,000 экв.) и диметилацетамид (6,2 мл) смешивают, взбалтывают (agitated) и охлаждают до температуры -25oС для получения жидкой суспензии. Затем добавляют смесь трет-амилата лития к N-бензилоксикарбонил-3-фтор-4-((4-бензилоксикарбонил)-1-пиперазинил)анилину (II) и поддерживают температуру смеси менее -20oС. Полученную смесь нагревают до 0oС и в нее добавляют (S)-(+)-3-хлор-1,2-пропандиол (I, 0,5672 г, 5,131 ммоль, 1,20 экв.). Полученную смесь нагревают до температуры 21oС и перемешивают в течение 7,5 ч. Реакционную смесь добавляют к смеси метанола (28 мл) и ледяной уксусной кислоты (0,73 мл, 12,75 ммоль) при температуре 20-22oС. Полученную суспензию затем охлаждают до -30oС и продукт собирают вакуумной фильтрацией и промывают при -30oС метанолом. Твердый остаток сушат в струе азота, получая указанное в заголовке соединение; ТСХ (элюент хлороформ/метанол, 90/10) f = 0,67; СМР (CDCl3) 43,91, 46,39, 50,58, 62,60, 67,29, 72,89, 107,21, 107,56, 113,85, 119,36, 127,92, 128,09, 128,52, 133,51, 133,65, 136,05, 136,17, 136,57, 153,91, 154,80, 155,25 и 157,17 ; ЯМР (CDCl3) 7,43, 7,31-7,37, 7,09, 6,88, 5,15, 4,67-4,90, 3,89-3,99, 3,67-3,74, 3,66, 3,25 и 2,98 ; MS (CI, m/e) = 430 (100%, P+1).
Пример 3 (R)-[N-3-(3-Фтор-4-(4-морфолинилфенил)-2-оксо-5-оксазолидинил] метанол (III)Смешивают тетрагидрофуран (3,0 мл) и трет-амиловый спирт (0,66 мл, 6,03 ммоль, 2,00 экв.). Бутиллитий (1,8 мл, 2,5 М в гексане, 4,55 ммоль, 1,5 экв. ) добавляют при перемешивании, поддерживая температуру ниже чем 2,5oС. N-карбобензокси-3-фтор-4- морфолиниланилин (II, J. Med. Chem., 39(3), 673 (1996), 0,9942 г, 3,009 ммоль, 1,000 экв.) и тетрагидрофуран (3,5 мл) взбалтывают до получения смеси и охлаждают. Смесь трет-амилата лития добавляют затем к смеси карбамата (II), поддерживая температуру ниже 8oС, и смывают (rinsed) тетрагидрофураном (1 мл). Смешивают тетрагидрофуран (3,2 мл) и (S)-(+)-3-хлор-1,2-пропандиол (I, 0,299 мл, 3,58 ммоль, 1,19 экв. ) Смесь охлаждают до -16oС и добавляют трет-бутилат калия (3,2 мл, 1,0 М в тетрагидрофуране, 3,2 ммоль, 1,07 экв.), поддерживая температуру ниже чем -10oС. Полученную суспензию перемешивают при температуре от -14 до 0oС в течение 1 ч, затем добавляют смесь анионов лития, поддерживая обе смеси при температуре 0oС, затем промывают THF (2 мл). Полученную суспензию перемешивают при 20-23oС в течение 2 ч, затем охлаждают до 6oС и добавляют смесь моногидрата лимонной кислоты (0,4459 г, 2,122 ммоль, 0,705 экв.) с водой (10 мл). Полученные жидкие фазы разделяют и нижнюю водную фазу промывают этилацетатом (12 мл). Органические слои объединяют и растворитель удаляют под пониженным давлением до тех пор, пока не останется 9,73 г чистого веса. Добавляют гептан (10 мл) и воду (5 мл), удаляют растворитель при пониженном давлении до остающегося общего объема 5 мл. Выпавший в осадок продукт отбирают вакуумной фильтрацией и промывают водой (7 мл). Твердое вещество сушат в струе азота для получения целевого продукта; ТСХ (хлороформ/метанол, 95/5) Rf = 0,23; СМР (CDCl3) 46,42, 51,01, 62,58, 73,07, 107,29, 107,64, 113,94, 118,80, 118,85, 128,28, 128,61, 133,15, 133,29, 136,26, 136,38, 153,82, 154,92 и 157,08 ; ЯМР (CDCl3) 7,42, 7,32-7,37, 7,10, 4,67-4,75, 3,90-4,00, 3,86, 3,70-3,73, 3,44 и 3,03 ; MS (EI, m/e) = 296.
По другому варианту сырой продукт может быть экстрагирован метиленхлоридом. Растворитель удаляют при пониженном давлении. Твердую фазу вновь растворяют в горячем этилацетате, добавляют гептан, смесь охлаждают и извлекают названное в заголовке соединение.
Пример 4 (R)-[N-3-[3-Фтор-4-[N-1-(4-карбобензокси)пиперазинил]фенил]-2- оксо-5-оксазолидинил]метанол (III)Раствор трет-амилового спирта (75 мл, 60,3 г, 0,68 моль) в гептане (75 мл) перемешивают и охлаждают до -10oС. Смесь обрабатывают н-бутиллитием в гептане (1,6 М, 0,46 моль, 290 мл) в течение 30 мин, поддерживая температуру < 10oС. Спустя 30 мин смесь трет-амилата лития добавляют к смеси N-карбобензокси-3-фтор-4-(N-карбобензоксипиперазинил)анилина (II, 100 г, 0,22 моль) и диметилацетамида (300 мл) при 0 и поддерживают температуру < 10oС. Смесь перемешивают в течение 30 мин, затем обрабатывают (S)-(+)-3-хлор-1,2-пропандиолом (I, 22 мл, 0,26 моль). Охлаждение заканчивают и смеси дают нагреться до температуры 20-25oС. Реакцию контролируют с помощью ТСХ и полагают завершенной после 8 ч. Реакционную смесь выливают в смесь метанола (700 мл), воды (700 мл) и уксусной кислоты (40 мл) и перемешивают 30 мин при 20-25oС, затем перемешивают в течение 30 мин с охлаждением до 0oС. Смесь фильтруют, промывают водным раствором метанола (50/50) и сушат при пониженном давлении при 45oС для получения целевого соединения, ТСХ (силикагель; метанол/метиленхлорид, 5/95) Rf = 0,5; (90,3% выхода). Пример 5 3-Нитробензолсульфонат (R)-[N-3-[3-фтор-4- (N-1-(4-карбобензокси) пиперазинил] фенил] -2-оксо-5- оксазолидинил] метанола сложный эфир (VI) Смесь (R)-[N-3-[3-Фтор-4-[N-1-(4-карбобензокси)пиперазинил] фенил] -2- оксо-5-оксазолидинил] метанола (III, пример 1, 1,43 г, 0,1 моль) и метиленхлорида (500 мл) обрабатывают триэтиламином (32 мл, 0,23 моль) и охлаждают до -5oС. К этой смеси добавляют смесь 3-нитробензолсульфонилхлорида (CAS # 121-51-7, 32 г, 0,14 мл) в метиленхлориде (60 мл), поддерживая температуру < 10oС в течение 1 ч. Реакцию контролируют с помощью ТСХ и считают законченной по истечении 45 мин. Смесь разбавляют метиленхлоридом (500 мл) и затем промывают водой (2х600 мл). Органическую фазу затем промывают соляной кислотой (1N, 400 мл) и концентрируют до густого осадка. Осадок разводят метанолом (200 мл) и перемешивают в течение 1,5 ч. Твердую фазу фильтруют, промывают этанолом и сушат при пониженном давлении при 40oC всю ночь для получения целевого соединения, ТСХ (силикагель; метанол/метиленхлорид, 5/59) Rf = 0,75. Пример 6 (S)-N-[[3-[3-Фтор-4-[N-1-(4-карбобензокси)пиперазинил]фенил]-2- оксо-5-оксазолидинил]метил]ацетамид (VII) Суспензию 3-нитробензолсульфонат (R)-[N-3-[3-Фтор-4- (N-1-(4-карбобензокси) пиперазинил] фенил] -2-оксо- 5- оксазолидинил] метанола сложный эфир (VI, пример 5, 50 г, 0,081 мл), изопропанола (250 мл), ацетонитрила (400 мл) и водного гидроксида аммония (29% аммиака по весу, 500 мл) нагревают при 40oС 3,5 ч. Смесь затем обрабатывают еще порцией водного раствора аммиака (100 мл) и перемешивают в течение 20 ч. Реакцию контролируют с помощью ТСХ и считают завершенной по истечении указанного времени. Смесь концентрируют при пониженном давлении с подогревом и суспендируют в смеси метиленхлорид/вода (1250 мл/750 мл). Фазы разделяют и органическую фазу концентрируют до получения осадка. Осадок растворяют в метиленхлориде (2 л) и обрабатывают триэтиламином (20 мл, 0,14 моль). Затем смесь обрабатывают уксусным ангидридом (10 мл, 0,11 моль) при 20-25oС в течение 10 мин. Ацетилирование контролируют с помощью ТСХ и считают завершенным по истечении 15 мин. Смесь органических веществ промывают водой (2х400 мл) и затем концентрируют до твердой фазы. Твердую фазу перекристаллизуют из этанола (400 мл), фильтруют и сушат при пониженном давлении для получения целевого соединения, ТСХ (силикагель; метанол/метиленхлорид, 5/95) Rf = 0,6. Пример 7 (S)-N-[[3-[3-фтор-4-(1-пиперазинил)фенил]-2-оксо-5- оксазолидинил]метил]ацетамид гидрохлорид (промежуточный продукт) Смесь (S)-N-[[3-[3-фтор-4-[N-1-(4-карбобензокси)пиперазинил] фенил] -2- оксо-5-оксазолидинил] метил]ацетамида (VII, пример 6, 35 кг, 74,5 моль), палладия на угле (5%, 10 кг, 50% влажности), метанола (550 л) и тетрагидрофурана (250 л) перемешивают при 22-42oС под давлением водорода 2,95-3,5 ати. Спустя 31 ч анализ, проведенный с помощью ТСХ, показывает полное завершение реакции, после чего водородную атмосферу замещают азотом. Катализатор удаляют фильтрацией и фильтрат концентрируют под вакуумом до 100 л. К полученной смеси, охлажденной до 2oС, добавляют метанол (50 л) и затем смесь метанола (100 л) и ацетилхлорида (6,04 кг, 77 моль) при температуре от -2 до oС. Полученную смесь перемешивают 90 мин и затем концентрируют под вакуумом до 60 л, разбавляют ацетоном (100 л) и концентрируют до 100 л. Полученную суспензию разбавляют ацетоном (200 л) и перемешивают в течение 15 ч при 16oС. Твердую фазу собирают на фильтре, промывают ацетоном (50 л) и сушат при пониженном давлении при 20-25oС для получения желаемого продукта. Его растворяют в метаноле (56 л) при 53oС, разбавляют ацетоном (150 л), перемешивают 30 мин при 48oС, затем охлаждают до 15oС и перемешивают 18 ч. Твердую фазу собирают на фильтре, промывают ацетоном (50 л) и сушат при пониженном давлении при 20-25oС для получения вышеназванного соединения. ЯМР (CDCl3) 7,56-7,45, 7,31, 7,12-6,86, 4,79, 4,09-4,0, 3,81, 3,62, 3,40-3,11 и 2,01 .
Пример 8 (S)-N-[[3-[3-Фтор-4-[4-(гидроксиацетил)-1- пиперазинил]фенил] -2-оксо-5-оксазолидинил]метил]ацетамид сесквигидрат (VIII)К перемешиваемой смеси (S)-N-[[3-[3-Фтор-4-(1-пиперазинил)фенил]-2-оксо-5- оксазолидинил] метил] ацетамид гидрохлорида (пример 7, 16,2 кг, 43,5 моль), тетрагидрофурана (205 кг) и триэтиламина (10,1 кг, 100 моль) добавляют за 35 мин ацетоксиацетилхлорид (6,5 кг, 47,8 моль) в тетрагидрофуране (11,1 кг), поддерживая температуру 22-23oС. Через 40 мин, по истечении которых ТСХ и ВЭЖХ показывают завершение образования промежуточного ацетоксиацетамида, смесь концентрируют при пониженном давлении до 30 л, разбавляют метанолом (100 л) и концентрируют до 30 л. К остатку добавляют метанол (25 л) и водный раствор карбоната калия (5,6 кг в 56 л). Полученную смесь перемешивают 20 ч при 22-25oС, по истечении которых ТСХ и ВЭЖХ показывают, что реакция завершена. Доводят величину pH до 7-7,5 с помощью соляной кислоты (4N, 14,3 л). Смесь перемешивают 18 ч при 15-22oС, затем 3 ч при 2-5oС. Твердую фазу собирают на фильтре, промывают водой (68 л) и сушат при 20-25oС с рециклом азота для получения желаемого продукта. Сырой продукт растворяют в воде (225 л) при 60-70oС, осветляют с помощью 0,6-микронного фильтра, разбавляют промывочной водой (55 л) и перемешивают 17 ч при 15oС. Твердую фазу собирают на фильтре, промывают водой при 15oС и сушат при 45oС с рециклом азота до достижения содержания воды 0,33%. Полученную твердую фазу растворяют в растворе этилацетата (143 л), метанола (65 л) и воды (1,95 л) при 60-65oС. Раствор охлаждают до 15-25oС и перемешивают 16 ч для кристаллизации. Твердую фазу собирают на фильтре, промывают этилацетатом (75 л) и сушат при 45oC азотом для получения желаемого продукта. Продукт перекристаллизуют еще дважды из воды (147 л, затем 133 л) при 60-70oС, каждый раз осветляя с помощью 0,6-микронного фильтра, и промывают водой (40 и 30 л). Твердую фазу сушат на фильтре при 30oC с рециклом азота, после деаггломерации путем размалывания получают указанный в заголовке продукт как сесквигидрат (6,45% воды), ТСХ (силикагель; метанол/метиленхлорид, 5/95) f = 0,45; [ ]D = -20oС (c = 1,0, этанол).
Пример 9 3-Нитробензолсульфонат (R)-[N-3-[3-Фтор-4- (N-1-(4-карбобензокси) пиперазинил] фенил] -2-оксо-5- оксазолидинил] метанола сложный эфир (VI)К суспензии (R)-[N-3-[3-Фтор-4-[N-1-(4-карбобензокси)пиперазинил] фенил] -2-оксо-5-оксазолидинил] метанола (III, пример 1, 5,086 г, 11,86 ммоль) в метиленхлориде (50 мл) и триэтиламине (2,0 мл, 14,38 ммоль) при 0oС добавляют по каплям в течение 6 мин раствор 3-нитробензолсульфонилхлорида (V) в метиленхлориде (0,356 М, 33,4 мл, 11,89 ммоль). После перемешивания в течение 3,25 ч добавляют дополнительно 3,4 мл (1,21 ммоль) 0,356 М раствора 3-нитробензолсульфонилхлорида (V). После перемешивания в течение 1,75 ч добавляют соляную кислоту (1N, 50 мл). Фазы разделяют и водную фазу экстрагируют метиленхлоридом. Объединенные органические фазы промывают рассолом, сушат над сульфатом магния и концентрируют. Концентрат кристаллизуют из горячего раствора метиленхлорид/метанол для получения указанного в заголовке соединения, т. пл. 155-157oС; ЯМР (CDCl3, 400 МГц) 8,72, 8,51, 8,23, 7,81, 7,35, 7,01, 6,91, 5,17, 4,85, 4,44, 4,39, 4,09, 3,85, 3,68 и 3,01 ; CMP (CDCl3, 100 МГц) 44,26, 46,81, 50,91, 67,64, 69,54, 69,91, 107,85, 114,32, 119,85, 123,55, 128,30, 128,47, 128,91, 129,15, 131,51, 133,71, 136,99, 137,70, 148,71, 153,62, 155,57 и 155,88 ; ИК (паста в минеральном масле) 1744, 1703, 1528, 1520, 1367, 1347 и 1192 см-1; MS (EI, M/Z) 614, 411, 107, 91, 79, 65 и 56; [ ]D = -78oС (c = 0,9812, CHCl3); ТСХ (этилацетат/гексан, 3/1) Rf = 0,43.
Пример 10 2-Нитробензолсульфонат (R)-[N-3-[3-(Фтор-4- [N-1-(4-карбобензокси) пиперазинил] фенил] -2- оксо-5-оксазолидинил] метанола сложный эфир (VI)Следуя общей процедуре примера 5 (для сложного эфира 3-нитробензолсульфонила (VI)) и делая несущественные изменения, (R)-[N-3-[3-Фтор-4-[N-1-(4-карбобензокси)пиперазинил] фенил]-2-оксо-5- оксазолидинил]метанол (III, пример 1, 1,106 г, 2,578 ммоль) обрабатывают триэтиламином (0,54 мл, 3,882 ммоль) и техническим 2-нитробензолсульфонилхлоридом (V, 679 мг, 3,064 ммоль) для получения указанного в заголовке соединения, ЯМР (CDCl3, 400 МГц) 8,15, 7,82, 7,37, 7,06, 6,94, 5,17, 4,89, 4,59, 4,50, 4,10, 3,98, 3,69 и 3,03 ; ИК (паста a минеральном масле) 1757, 1697, 1517, 1445, 1423, 1376, 1237 и 1188 см-1; MS (EI, M/Z; относительное содержание): 614 (18,3 M+), 91 (100), 69 (23,8) и 56 (52,9); ТСХ (этилацетат/гексан, 3/1) Rf = 0,31.
Пример 11 2,4-динитробензолсульфонат (R)-[N-3-[3-Фтор-4-[N-1-(4-карбобензокси)пиперазинил] фенил] -2-оксо-5- оксазолидинил]метанола сложный эфир (VI)Следуя общей процедуре примера 5 (для сложного эфира 3-нитробензолсульфонила (VI) и делая несущественные изменения, (R)-[N-3-[3-Фтор-4-[N-1-(4-карбобензокси)пиперазинил] фенил] -2-оксо-5- оксазолидинил]метанол (III, пример 1, 1,094 г, 2,550 ммоль) обрабатывают триэтиламином (0,55 мл, 3,950 ммоль) и техническим 2,4-динитробензолсульфонилхлоридом (833 мг, 3,124 ммоль) для получения указанного в заголовке соединения, (CDCl3, 400 МГц) 8,59, 8,38, 7,35, 7,02, 5,17, 4,88, 4,74, 4,58, 4,10, 3,98, 3,71 и 3,05 ; ИК (паста a минеральном масле) 1756, 1697, 1554, 1541, 1517, 1351, 1237 и 1189 см-1; MS (FAB, M/Z, относительное содержание) 660 (21,3, [M+H]+), 659 (24,2, M+), 102 (76,5) и 91 (100); ТСХ (этилацетат/гексан, 3/1) Rf = 0,41.
Пример 12 4-Хлорбензолсульфонат (R)-[N-3-[3-фтор-4- [N-1-(4-карбобензокси) пиперазинил] фенил] -2-оксо-5- оксазолидинил] метанола сложный эфир (VI)К суспензии (R)-[N-3-[3-Фтор-4-[N-1-(4-карбобензокси) пиперазинил]фенил] -2-оксо-5-оксазолидинил] метанола (III, пример 1, 3,450 г, 8,034 ммоль) в метиленхлориде (40 мл) и триэтиламине (2,55 мл, 18,3 ммоль) при -12oC добавляют в один прием 4-хлорбензолсульфонилхлорид (V, Aldrich Chemical Co. – технический, 2,298 г, 10,88 ммоль) в твердой фазе. Смесь перемешивают на бане при 0oC в течение 2,5 ч, затем промывают водой (2х35 мл) и 1N соляной кислотой (35 мл). Органические экстракты концентрируют до 20 мл по общему объему и добавляют метанол (50 мл). Осадок собирают вакуумной фильтрацией, промывают метанолом, сушат и заново растворяют в метиленхлориде (55 мл). Смесь концентрируют до веса суспензии 32 г и добавляют метанол (11 мл), осадок собирают вакуумной фильтрацией, промывают метанолом и сушат. Твердые частицы растворяют в метиленхлориде (58 мл) и подвергают колоночной хроматографии (колонки с силикагелем, 93 г 40-60 мкм, элюирование порциями по 450 мл каждая смесями этилацетат/циклогексан следующего состава: 25/75, 35/65, 45/55, 55/45; собирают последние 50% элюента). Собранный элюент концентрируют до 200 мл и добавляют 200 мл гептана. Осадок собирают вакуумной фильтрацией и сушат для получения желаемого соединения; ТСХ (силикагель; метанол/хлороформ, 5/95) Rf = 0,53; MS (FAB, M/Z) = 604,7 (100%, [P+H]+; ЯМР (DMSO-d6, 300 МГц) 7,93, 6,7, 7,75, 7,48-7,32, 7,12-7,03, 5,12, 4,93-4,92, 4,40, 4,09, 3,69, 3,57 и 2,96 ; CMP (DMSO-d6, 75 МГц) 43,51, 45,84, 50,22, 66,33, 69,75, 70,75, 106,63, 114,08, 119,83, 127,59, 127,87, 128,43, 129,62, 130,00, 133,31, 133,63, 133,52, 136,84, 139,63, 153,54, 154,40 и 154,62 .
Пример 13 2,5-дихлорбензолсульфонат (R)-[N-3-[3-фтор-4- [N-1-(4-карбобензокси) пиперазинил]фенил]-2- оксо-5-оксазолидинил] метанола сложный эфир (VI)К суспензии (R)-[N-3-[3-Фтор-4-[N-1-(4-карбобензокси) пиперазинил]фенил] -2-оксо-5-оксазолидинил] метанола (III, пример 1, 3,439 г, 8,008 ммоль) в метиленхлориде (40 мл) и триэтиламине (2,55 мл, 18,3 ммоль) при -8oC добавляют в один прием 2,5-дихлорбензосульфонилхлорид (V, Aldrich Chemical Со. -технический, 2,675 г, 10,90 ммоль) в твердой фазе. Смесь перемешивают в бане при 0oC в течение 2,5 ч, затем промывают водой (2х35 мл) и 1N соляной кислотой (35 мл). Органические экстракты концентрируют до 12 г колоночной хроматографией (колонки с силикагелем, 108 г, 40-63 мкм, элюирование порциями по 450 мл каждая смесями этилацетат/циклогексан 10/90, 20/80, 30/70, 40/60 и 60/40, собирают последние 20% элюента). Собранный элюент концентрируют и добавляют 300 мл метанола. Осадок собирают вакуумной фильтрацией, промывают метанолом и сушат для получения целевого соединения. ТСХ (силикагель; метанол/хлороформ 5/95) Rf = 0,66 MS (FAB, M/Z) = 638,6 (100%, [P+H]+); ЯМР (CDCl3, 300 МГц) 8,04, 7,57-7,32, 7,06, 6,91, 5,16, 4,89-4,47, 4,42, 4,08, 3,93, 3,67 и 3,01 ; CMP (CDCl3, 75 МГц) 43,93, 45,51, 50,56, 67,26, 69,16, 69,46, 107,55, 113,98, 119,41, 127,92, 128,10, 128,54, 131,21, 131,46, 132,97, 133,44, 133,50, 134,68, 135,15, 136,45, 136,61, 153,36, 155,22 и 155,53 .
Пример 14 4-нитробензолсульфонат (R)-[N-3-[3-(фтор-4- [N-1-(4-карбобензокси) пиперазинил]фенил]-2- оксо-5-оксазолидинил] метанола сложный эфир (VI)К суспензии (R)-[N-3-[3-Фтор-4-[N-1-(4-карбобензокси)пиперазинил] фенил] -2-оксо-5-оксазолидинил] метанола (III, пример 1, 3,437 г, 8,003 ммоль) и 4-нитробензолсульфонилхлорида (V, 75% технически чистое вещество, Aldrich Chemical Co. 3,077 г, 10,41 ммоль) в метиленхлориде (32 мл) при 0oC добавляют триэтиламин (2,23 мл, 16,0 ммоль). Смесь перемешивают в бане при 0oC в течение 1 ч, затем добавляют воду (1 мл) и смесь перемешивают при 20-25oC в течение 30 мин. Добавляют метиленхлорид (75 мл) и промывают смесь соляной кислотой (5%, 50 мл), затем добавляют бикарбонат натрия (5%, 50 мл) и сушат над сульфатом магния. Затем органический экстракт концентрируют и концентрат заливают в кипящий этилацетат/циклогексан (1/1, 10 мл) и подвергают колоночной хроматографии (силикагель, 4 х 15 см, 40-63 мкм, элюирование порциями по примерно 400 мл каждая смесями этилацетат/циклогексан 20/80, 30/70, 40/60, 50/50, 60/40 и 70/30, собирают последние приблизительно 45% элюента). Подходящие фракции объединяют и концентрируют до твердого остатка, который растворяют в 70 мл метиленхлорида и 50 мл этилацетата. Смесь концентрируют дважды до 50 мл и добавляют циклогексан (50 мл) после каждого концентрирования. Осадок собирают и сушат для получения указанного в заголовке соединения. ТСХ (силикагель; этилацетат/циклогексан 60/40) Rf = 0,37; ЯМР (CDCl3, 300 МГц) 8,36, 8,07, 7,38-7,29, 7,03, 6,89, 5,15, 4,86-4,80, 4,39, 4,07, 3,80, 3,67 и 3,00 ; CMP (CDCl3, 75 МГц) 43,85, 46,34, 50,45, 67,20, 69,17, 69,57, 107,64, 113,88, 119,34, 124,63, 127,85, 128,05, 128,49, 129,26, 132,67, 136,48, 136,57, 140,75, 150,95, 153,29, 155,14 и 155,40 .
Пример 15 (S)-[N-3-[3-Фтор-4-[N-1-(4-карбобензокси)пиперазинил] фенил] -2-оксо-5-оксазолидинил]метиламин (VII)Смешивают под азотом при 40oC 3-нитробензолсульфонат (R)-[N-3-[3-Фтор-4- [N-1-(4-карбобензокси) пиперазинил] фенил]-2-оксо-5- оксазолидинил] метанола сложный эфир (VI, пример 5, 1,0099 г, 1,643 ммоль), изопропанол (5,6 мл), ацетонитрил (9,0 мл), бензальдегид (0,50 мл, 4,92 ммоль) в водном аммиаке (29,8 вес. %, 9,5 мл, 148,6 ммоль). Смесь перемешивают при 40oC в течение 21,5 ч, затем концентрируют при пониженном давлении. Добавляют толуол (13,3 мл) и этанол (6,0 мл) и нагревают смесь в бане с температурой 70oC. Затем через 3,5 ч добавляют моногидрат лимонной кислоты (2,433 г, 11,58 ммоль) и разделяют фазы при 64oC. Органическую фазу промывают водой (2,5 мл) при 64oC. Объединенные водные слои промывают толуолом (10 мл) при 64oC. Затем добавляют толуол (10 мл) к водной фазе и смесь охлаждают до 0oC. Осадок собирают вакуумной фильтрацией, промывают толуолом с температурой 0oC (10 мл) и водой 0oC (10 мл) и сушат до образования твердого остатка. Часть этого твердого остатка (0,7301 г) суспендируют в воде (10 мл) и метиленхлориде (10 мл) и доводят pH от 2,78 до 13,92 водным раствором гидроксида натрия (50%, 0,3915 г, 4,90 ммоль) при температуре от -4 до -2oC. Смесь нагревают до 20-25oC и перемешивают ультразвуком в течение 0,5 ч. Добавляют метиленхлорид (55 мл), насыщенный водный раствор хлористого натрия (5 мл) и воду (35 мл) и разделяют фазы. Водную фазу промывают дважды метиленхлоридом (25 мл) и объединенные органические слои сушат над сульфатом натрия, фильтруют и концентрируют при пониженном давлении. Добавляют толуол (5 мл), после чего медленно добавляют гептан (25 мл). Полученный осадок собирают вакуумной фильтрацией, промывают гептаном (20 мл) и сушат для получения указанного в заголовке соединения. ТСХ (силикагель: метанол/хлороформ 10/90) Rf = 0,32; MS (EI), M/Z (относительная интенсивность) = 428 (28%, M+), 252 (15%), 92 (32%), 91 (100%); ЯМР (CDCl3, 300 МГц) 7,46, 7,38-7,27, 7,12, 6,90, 5,16, 4,69-4,60, 3,98, 3,80, 3,67, 3,09, 3,00-2,92 и 1,30 ; CMP (CDCl3, 75 МГц) 43,94, 44,89, 47,60, 50,63, 67,23, 73,84, 107,29, 113,72, 119,37, 127,92, 128,07, 128,52, 133,79, 136,05, 136,64, 154,57, 155,19 и 155,61 .
Пример 16. 4-нитробензолсульфонат (R)-[N-3-[3-Фтор-4-морфолинилфенил]-2-оксо-5-оксазолидинил]метанола сложный эфир (VI)К суспензии (R)-[N-3-[3-Фтор-4-морфолинилфенил]-2-оксо-5- оксазолидинил] метанола (III, пример 3, 43,0 г, 145 ммоль) и триэтиламина (36 г, 355 ммоль) в метиленхлориде (450 мл) при 0oC добавляют смесь 4-нитробензолсульфонилхлорида (V, 32 г, 145 ммоль) в метиленхлориде (55 мл). Смесь перемешивают в бане с температурой 0oC в течение 30 мин, затем гасят реакцию соляной кислотой (10%, 200 мл). Отделяют органическую фазу и водную фазу экстрагируют снова метиленхлоридом (200 мл). Объединенные органические экстракты концентрируют колоночной хроматографией (силикагель; 4 х 15 см, 40-63 мкм; метанол/метиленхлорид 1-2/98-99, около 8 л). Подходящие фракции объединяют и концентрируют для получения указанного в заголовке соединения, Rf = 0,2; ЯМР (CDCl3, 300 МГц) 8,73, 8,54, 8,23, 7,82, 7,33, 7,04, 6,91, 4,86, 4,42, 4,12, 3,86 и 3,05 ; CMP (CDCl3, 75 МГц, неполный) 46,42, 50,89, 66,87, 69,09, 69,45, 107,45, 113,95, 118,84, 123,14, 128,73, 131,08, 133,28 и 137,27 .
Пример 17 Салицилальдегидимин (S)-[N-3- [3-Фтор-4-морфолинилфенил] -2-оксо-5-оксазолидинил] метиламинаСмесь 3-нитробензолсульфонат (R)-[N-3- [3-Фтор-4-(4-морфолинилфенил] -2-оксо-5-оксазолидинил] метанола сложный эфир (VI, пример 16, 20,608 г, 42,803 ммоль), изопропанола (149 мл), ацетонитрила (245 мл), салицилальдегида (13,7 мл, 129 ммоль) и водного раствора аммиака (30%, 257 мл, 4,02 моль) нагревают до 40oC и перемешивают при 39-42oC в течение 24 ч. Затем смесь охлаждают до -22oC и собирают осадок вакуумной фильтрацией, промывают водой (10 мл) и сушат для получения указанного в заголовке соединения, ТСХ (силикагель; метанол/хлороформ 5/95) Rf = 0,79, EIMS (m/z, относительная интенсивность) = 399 (M+, 51) 234 (11), 196 (11), 149 (22), 135 (100), 134 (47); ЯМР (CDCl3, 300 МГц) 8,44, 7,41, 7,33-6,87, 4,96-4,88, 4,12, 3,94-3,84 и 3,04 ; CMP (CDCl3, 75 МГц) 48,21, 50,99, 61,94, 66,95, 71,30, 107,68, 114,12, 117,02, 118,43, 118,82, 119,01, 131,93, 133,04, 136,51, 154,24, 155,47, 160,78 и 168,87 .
Пример 18 (S)-N-[[3-(3-Фтор-4-морфолинилфенил)-2-оксо-5- оксазолидинил] метил]ацетамид (VIII)Салицилальдегидимин (S)-[N-3- [3-Фтор-4-морфолинилфенил]- 2-оксо-5-оксазолидинил] метиламина (пример 17, 1,0068 г, 2,521 ммоль) суспендируют в воде (10 мл) и 37% соляной кислоте (0,417 мл, 5,04 ммоль) и перемешивают при 20-25oC в течение 15 ч. Добавляют толуол (10 мл) и разделяют фазы; затем органическую фазу промывают соляной кислотой (1М, 5 мл) и объединенные жидкие фазы промывают толуолом (10 мл). Толуольную промывку вновь экстрагируют соляной кислотой (1М, 5 мл). Объединенные водные фазы доводят до pH 13,0 водным раствором гидроксида натрия (50%, 1,83 г, 22,9 ммоль). В полученную суспензию затем добавляют метиленхлорид (10 мл) и хлорид натрия (1 г) и разделяют фазы. Затем водную фазу промывают метиленхлоридом (10 мл). К объединенным органическим фазам добавляют уксусный ангидрид (0,472 мл, 5,00 моль), поддерживая температуру 24-27oC. Смесь перемешивают 40 мин, затем добавляют воду (5 мл). Фазы разделяют и водную фазу промывают метиленхлоридом (5 мл). Объединенные органические фазы концентрируют и добавляют этилацетат (25 мл). Смесь нагревают до 70oC и затем полученную смесь медленно охлаждают до -25oC. Осадок собирают вакуумной фильтрацией, промывают этилацетатом (5 мл) с температурой -25oC и сушат для получения указанного в заголовке соединения. ВЭЖХ основного компонента (99,93% площади, детектирование при 254 нм), время задержки 0,97 мин, колонка = Zorbax RX-C8, 250х4,6 мм, подвижная фаза= 650 мл ацетонитрила, 1,85 мл триэтиламина, 1,30 мл уксусной кислоты и необходимое количество воды до объема 1000 мл; скорость потока = 3 мл/мин. Пример 19 (R)-[N-3-[3-Фтор-4-[N-1-(4-карбобензокси)пиперазинил] фенил] -2-оксо-5-оксазолидинил]метанол (III) Смесь N-карбобензокси-3-фтор-4-(N-карбобензоксипиперазинил)анилина (II, 2,014 г, 4,345 ммоль) и THF (10 мл) охлаждают до -20oC. В отдельной колбе раствор трет-амилового спирта (0,71 мл, 6,48 ммоль) в THF (10 мл) при -33oC обрабатывают н-бутиллитием в гептане (13,65 вес.%, 2,53 г, 5,38 ммоль), поддерживая температуру смеси ниже -20oC. Полученный раствор трет-амилата лития добавляют к смеси N-карбобензокси-3-фтор-4- (N-карбобензоксипиперазинил) анилина, поддерживая температуру ниже 20oC, и смывают THF (4 мл). К полученной смеси затем добавляют при -28oC S-глицидол (IV, 0,3360 г, 4,536 ммоль). Далее смесь перемешивают при -20oC в течение 1,5 ч, затем при -16oC в течение 17 ч, при -11oC в течение 4 ч, при -1oC в течение 2 ч. Анализ ВЭЖХ показывает, что время удерживания основного компонента соответствует таковому для указанного в заголовке соединения (90,4% площади, детектирование при 254 нм; время удерживания 1,30 мин; колонка = Zorbax RX-C8, 250х4,6 мм, подвижная фаза = 650 мл ацетонитрила, 1,85 мл триэтиламина, 1,30 мл уксусной кислоты и необходимое количество воды до 1000 мл; скорость потока = 3 мл/мин), что подтверждается также ТСХ (силикагель; метанол/хлороформ 10/90) Rf = 0,60. Пример 20 4-Нитробензолсульфонат (R)-[N-3-[3-фтор-4-морфолинилфенил]-2-оксо-5-оксазолидинил]метанола сложный эфир (VI) Следуя общей методике примера 16 с несущественными изменениями, но используя в качестве исходного вещества 4-нитробензолсульфонилхлорид, получают указанное в заголовке соединение. Пример 21 2-нитробензолсульфонат (R)-[N-3-[3-фтор-4-морфолинилфенил]-2-оксо-5-оксазолидинил]метанола сложный эфир (VI) Следуя общей методике примера 16 с несущественными изменениями, но используя в качестве исходного вещества 2-нитробензолсульфонилхлорид, получают указанное в заголовке соединение. Пример 22 2,4-динитробензолсульфонат (R)-[N-3-[3-фтор-4-морфолинилфенил] -2-оксо-5-оксазолидинил] метанола сложный эфир (VI) Следуя общей методике примера 16 с несущественными изменениями, но используя в качестве исходного вещества 2,4-динитробензолсульфонилхлорид, получают указанное в заголовке соединение. Пример 23 4-хлорбензолсульфонат (R)-[N-3-[3-фтор-4-морфолинилфенил] -2-оксо-5-оксазолидинил] метанола сложный эфир (VI) Следуя общей методике примера 16 с несущественными изменениями, но используя в качестве исходного вещества 4-хлорбензолсульфонилхлорид, получают указанное в заголовке соединение. Пример 24 2,5-дихлорбензолсульфонат (R)-[N-3-[3-фтор-4-морфолинилфенил] -2-оксо-5-оксазолидинил]метанола сложный эфир (VI) Следуя общей методике примера 16 с несущественными изменениями, но используя в качестве исходного вещества 2,5-дихлорбензолсульфонилхлорид, получают указанное в заголовке соединение. Формула изобретения
![]() где R1 представляет ![]() где Х1 представляет Н или F; X2 представляет Н или F; Q1 представляет ![]() где Z2 представляет -N(R7)-, -О-; R7 представляет R3-О-С(О)-, где R3 является фенилом; m = 1; включающий взаимодействие гидрокси соединения, выбранного из энантиомеров или смеси энантиомеров глицидола и дигидрокси соединений формулы (I): M1-CH2-CH(OH)-СН2-ОН (I) где M1 представляет -Сl, -Вr или -О-SО2-фенил-СН3, с карбаматом формулы (IIА) R1-NH-CO-O-M2 (IIА), или трифторацетамидом формулы (IIB) R1-NH-CO-CF3 (IIB), в присутствии катиона лития, где R1 определено выше и M2 соответствует основанию М2ОН, чья сопряженная кислота имеет рКа в пределах между величинами 8 и 24. 2. Способ по п.1, где гидрокси соединение является глицидолом. 3. Способ по п.1, где гидрокси соединение является дигидрокси соединением формулы (I). 4. Способ по п.1, где дигидрокси соединение (I) до реакции с карбаматом (IIА) или трифторацетамидом (IIB) подвергают взаимодействию с циклизующим агентом, представляющим собой основание, сопряженная кислота которого имеет рКа больше примерно 7. 5. Способ по любому из пп.3 и 4, где дигидрокси соединение (I) является (S)-энантиомером. 6. Способ по любому предшествующему пункту, где гидрокси соединение взаимодействует с карбаматом (IIА), и М2 выбирают из группы включающей: C1-C20 алкил, С3-С7 циклоалкил, фенил, необязательно замещенный одним или двумя заместителями, выбранными из группы, включающей: C1-С3 алкил, F-, Cl-, Вr-, I-, СН2=СН-СН2-, СН3-СН=СH-СН2-, (СН3)2С=СН-СН2-, СН2=СН-, фенил-СН=СН-СН2-, фенил-СН2-, необязательно замещенный на фениле одним или двумя -Cl, C1-C4 алкилом, -NO2, -CN или -СF3, 9-флуоренилметил, (Сl)3С-СH2-, 2-триметилсилилэтил, фенил-СН2-СН2-, 1-адамантил, (фенил)2СН-, CH C-C(CH3)2-, 2-фуранилметил и изоборнил.
7. Способ по любому предшествующему пункту, где r1 является фенилом, замещенным одним атомом -F и группой Q1.
8. Способ по любому предшествующему пункту, где М2O или основание М2OН выбирают из C1-7 алкокси соединений, карбоната, метил, втор-бутил и трет-бутил карбанионов, три(С1-4 алкил) аминов, сопряженных оснований карбамата (II), 1,8-диазабицикло[5.4.0]ундец-7-ена, 1,5-диазабицикло[4.3.0]нон-5-ена, N-метилпиперидина, N-метилморфолина, 2,2,2-трихлорэтоксида и Сl3С-СН2-O-.
9. Способ получения 5-аминометил замещенных оксазолидиноновых аминов формулы (VII)![]() где R1 определен в п.1, включающий: (1) взаимодействие 5-гидроксиметил замещенного оксазолидинонового спирта формулы (III) по п. 1 с сульфонилирующим агентом, выбранным из соединений формул (Va-Vd) ![]() ![]() O(SO2-F)2 (Vc) O(SO2-СF3)2 (Vd) где n1 = 0, 1 или 2; n2 = 0, 1 или 2; n3 представляет 5-(n1+n2); и М3 представляет Сl или Вr; (2) взаимодействие полученного оксазолидинонсульфоната формулы (VIa-VId) ![]() ![]() ![]() где R1, n1, n2, n3 имеют указанные выше значения, с аммиаком при давлении меньшем, чем 207 кПа (2,1 ати). 10. Способ по п.9, где сульфонилирующая группа выбрана из 2-нитробензолсульфонила, 3-нитробензолсульфонила, 4-нитробензолсульфонила, 2,4-динитробензолсульфонила и 2,5-дихлорбензолсульфонила. 11. Способ по любому предшествующему пп.9 и 10, где стадию (2) осуществляют при давлении 0-138 кПа (0-1,4 ати). 12. Способ по п.11, где стадию (2) осуществляют при давлении 0-34 кПа (0-0,35 ати). 13. Способ по любому предшествующему пп.9-12, где стадию (2) осуществляют при температуре 60oС или менее. 14. Способ по п.9, где стадию (2) осуществляют в присутствии салицилового альдегида. 15. Способ по любому предшествующему пп.9-14, где М3 является Сl. 16. Способ по любому предшествующему пп.9-15, где стадия (1) осуществляется в присутствии воды. 17. Способ по любому предшествующему пп.9-16, где R1 определено по п.7. 18. Оксазолидинонсульфонат формулы VIa или VIb: ![]() где R1 представляет ![]() где Х1 представляет Н или F; Х2 представляет Н или F; Q1 представляет ![]() где Z представляет -N(R7)-, -О-; R7 представляет R3-О-С(О)-, где R3 является фенилом; m = 1; n1 = 0, 1 или 2; n2 = 0, 1 или 2; n3 = 5-(n1+n2). РИСУНКИ
MM4A – Досрочное прекращение действия патента СССР или патента Российской Федерации на изобретение из-за неуплаты в установленный срок пошлины за поддержание патента в силе
Дата прекращения действия патента: 29.03.2009
Извещение опубликовано: 20.07.2010 БИ: 20/2010
|
||||||||||||||||||||||||||




























CH-CH2O-CH2-C(O)- или


-CH3, или






O(SO2-F)2 (Vc) и O(SO2-CF3)2 (Vd). M3 представляет подвижную группу, которая включает Cl- или Br-; предпочтительно M3 представляет Cl-. 5-гидроксиметил замещенные оксазолидиноны (III) взаимодействуют с сульфонилирующим агентом (Va-Vd) с образованием в качестве промежуточного соединения оксазолидинонового сульфоната (VIa-VId).
Превращение 5-гидроксиметил замещенных оксазолидинонов (III) путем сульфонирования в соответствующие оксазолидинонсульфонаты (VI) осуществляют взаимодействием 5-гидроксиметил замещенных оксазолидинонов (III) с по крайней мере одним мольным эквивалентом сульфонилирующего агента (Va-Vd) в присутствии основания в инертном растворителе при температуре около 0oС. Пригодные основания включают триэтиламин, трибутиламин, диизопропилэтиламин, DABCO, DBU, DBN, н-бутиллитий, этилмагнийхлорид и их эквиваленты; предпочтительным является триэтиламин. Инертные растворители включают большинство органических растворителей, таких как метиленхлорид, THF, DMA, DMF, этилацетат и их эквиваленты; предпочтительным является метиленхлорид.
Реакцию превращения оксазолидиноновых сульфонатов (VI) путем аммонолиза в соответствующие 5-аминометил замещенные оксазолидиноновые амины (VII) ведут в открытых условиях или в негерметичных условиях, или в герметичных условиях, хотя предпочтительней вести ее в герметичных условиях.
В любом случае реакцию аммонолиза проводят путем взаимодействия оксазолидинонсульфоната (VI) с аммиаком (лучше водным), предпочтительно с растворителем или смесью растворителей. Предпочтительными растворителями являются те, в которых растворяются как оксазолидиноновые сульфонаты (VI), так и водный аммиак, потому что при растворении обоих контакт между ними обеспечен. Однако, процесс также проходит и с растворителями, которые лишь частично растворяют оксазолидиноновые сульфонаты (VI); недостатком является то, что реакция в целом проходит медленней. Для случая м-нитробензолсульфонатов предпочтительным растворителем является смесь ацетонитрил/изопропанол или THF/изопропанол. В системе создают пониженное давление. Затем систему закрывают или герметизируют, добавляют аммиак (предпочтительно водный аммиак) и нагревают до температуры ниже 50oС, предпочтительно до температуры ниже 40oС, предпочтительно до примерно 38oС (около 0,21 ати). При температуре около 38-40oС давление должно находиться в интервале от 0 до 0,7 ати, что намного ниже предельной нормы давления для реакторов общего назначения. При соблюдении этих условий при температуре около 60oС давление составляет величину около 1,4 ати. Предпочтительно, чтобы реакцию аммонолиза проводили при давлении от 0 до 1,4 ати, предпочтительно от 0 до 0,35 ати и температуре около 60oС или меньше. В альтернативном случае, реакцию проводят в открытой системе при кипячении с обратным холодильником. В этом случае температура будет несколько меньше, а реакция потребует несколько больше времени для полного своего завершения. Аммиак может быть водным, спиртовым или безводным; однако водный аммиак предпочтительней.
В другом случае взаимодействие с водным аммиаком может проводиться в присутствии ароматического альдегида (IX, Ar-CHO), предпочтительно салицилальдегида. 5-Аминометил замещенные оксазолидиноновые амины (VII) и альдегид (IX) образуют основание Шиффа формулы (оксазолидинон-N=CH-Ar), которое затем гидролизуют в присутствии водного раствора кислоты, как известно специалистам, с целью получения 5-аминометил замещенного оксазолидинонового амина (VII). Ароматический альдегид (IX) используют для подавления образования димера.
5-Аминометил замещенные оксазолидиноновые амины (VII) ацилируют известными средствами, таким как ацилгалогениды или ацилангидриды для образования соответствующего 5-ациламидометил замещенного оксазолидинона (VIII), см. схему D. Любые группы, защищающие спирт или амин, могут быть удалены после получения 5-ациламидометил замещенного оксазолидинона (VIII). Однако, как известно специалистам, они могут быть удалены и на более ранней стадии реакции в зависимости от конкретных заместителей.
Известно, что 5-ациламидометил замещенные оксазолидиноны (VIII) являются антибактериальными фармацевтическими агентами. R2 выбирается из группы, состоящей из -H, C1-C12 алкила, необязательно замещенного одним или более галогенами, (C3-C7)цикло(C5-C9)алкила или -O-R2a, где R2a представляет C1-C6 алкил. Предпочтительно, чтобы R2 представлял C1алкил.
Определения и условные обозначения
) -конфигурация и обозначается с помощью разорванных штриховых или пунктирных линий, связанных с атомом углерода, например, с помощью символов “—” или “. ..”. Соответствующий заместитель (X2), расположенный “выше” другого (X1), определяется как бета (
) -конфигурация и обозначается с помощью сплошных линий, связанных с атомом углерода.
Когда переменный заместитель двухвалентен, валентности могут быть обозначены вместе или раздельно, или обоими способами при изображении переменного. Например, переменный заместитель Ri, связанный с атомом углерода как -C(= Ri), может быть двухвалентным и определяться как “оксо” или “кето”, (образуя таким образом карбонильную группу (-CO-), или как два отдельно соединенных одновалентных переменных заместителя
) от TMS (тетраметилсилана).
ЯМР обозначает спектроскопию ядерно(протонно)-магнитного резонанса, химические сдвиги приведены в ppm (











