Патент на изобретение №2176640
|
||||||||||||||||||||||||||
(54) ГЕТЕРОЦИКЛИЧЕСКИЕ СОЕДИНЕНИЯ ИЛИ ИХ ФАРМАЦЕВТИЧЕСКИ ПРИЕМЛЕМАЯ СОЛЬ, ПРОМЕЖУТОЧНЫЕ СОЕДИНЕНИЯ
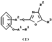
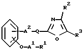
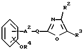
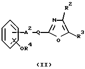
(57) Реферат: Изобретение относится к новым гетероциклическим соединениям формулы (I), где R1 – карбокси или низший алкоксикарбонил, R2 – фенил или низший алкилфенил, R3 – фенил или низший алкилфенил, А1 – низший алкилен, А2 – химическая связь или низший алкилен и -Q- – группы, указанные в формуле изобретения, или к их фармацевтически приемлемым солям. Также раскрыты промежуточные соединения формулы (II), где R2, R3, A2, -Q- имеют описанные выше значения, R4 – водород или низший алкил, или их соли. Изобретение может быть полезно для изготовления лекарственных препаратов, обладающих ингибирующей активностью в отношении агрегации тромбоцитов, сосудорасширяющей активностью. 2 с. и 4 з.п. ф-лы, 2 табл. ![]()
Изобретение относится к новым гетероциклическим соединениям и их фармацевтически приемлемым солям, которые полезны в качестве лекарственных средств. Известно, что некоторые соединения описаны, например, ЕР 0434034 А1. Данное изобретение относится к новым гетероциклическим соединениям. Более конкретно, данное изобретение относится к новым гетероциклическим соединениям и их фармацевтически приемлемым солям, которые обладают фармакологической активностью, такой как ингибирующая активность в отношении агрегации тромбоцитов, сосудорасширяющая активность, гипотензивная активность или тому подобные, и являются веществами, обладающими сродством к простагландин I2 рецептору, к способам их получения, к фармацевтическим композициям, их содержащим, и к использованию их для промышленного изготовления лекарственных препаратов. Следовательно, одна из задач данного изобретения состоит в получении новых гетероциклических соединений и их фармацевтически приемлемых солей. Другой целью данного изобретения является разработка способов получения новых гетероциклических соединений и их солей. Еще одна цель данного изобретения состоит в получении фармацевтических композиций, содержащих в качестве активного ингредиента названные гетероциклические соединения или их фармацевтически приемлемые соли. Кроме того, еще одна цель данного изобретения состоит в разработке применения данных гетероциклических соединений и их фармацевтически приемлемых солей для промышленного изготовления лекарственных препаратов, используемых при терапевтическом и/или профилактическом лечении закупорки артерий, цереброваскулярного расстройства, цирроза печени, артериосклероза, ишемической болезни сердца, рестеноза после чрескожной транслуминальной пластической операции на коронарных сосудах, гипертензии и тому подобного. Гетероциклические соединения данного изобретения могут быть представлены следующей формулой (I): ![]() где R1– карбокси или защищенный карбокси, R2 – арил, который может иметь подходящие заместитель (и), R3 – арил, который может иметь подходящие заместитель(и), A1 – низший алкилен, A2 – связь или низший алкилен и Q – обозначает ![]() или ![]() где ![]() обозначает цикло(низший)алкан или цикло(низший)алкен, каждый из которых может иметь подходящие заместитель(и). Согласно данному изобретению, новые гетероциклические соединения (I) могут быть получены способами, которые иллюстрируются схемами, приведенными в конце описания. Подходящими фармацевтически приемлемыми солями целевого соединения (I) служат обычные нетоксичные соли, включающие соль металла, такие как соль щелочного металла (например, соль натрия, соль калия и т.д.) и соль щелочноземельного металла (например, соль кальция, соль магния и т.д.), соль аммония, соль органического основания (например, соль триметиламина, соль триэтиламина, соль пиридина, соль пиколина, соль дициклогексиламина, соль N, N’-дибензилэтилендиамина, и т. д. ), соль органической кислоты (например, ацетат, малеат, тартрат, метансульфонат, бензолсульфонат, формиат, толуолсульфонат, трифторацетат, и т.д.), соль неорганической кислоты (например, гидрохлорид, гидробромид, сульфат, фосфат и т. д. ), соль аминокислоты (например, аргинин, аспарагиновая кислота, глутаминовая кислота и т.д.) и тому подобные. Использованные в приведенной выше и последующих частях описания данной заявки соответствующие примеры и иллюстрации для разнообразных определений, входящих в рамки объема данного изобретения, подробно разъясняются ниже. Подразумевается, что термин “низший” означает, если не оговорено особо, 1-6 углеродных атомов. Подходящий “арил” может включать фенил, нафтил и тому подобные. Подходящий “низший алкилен” может включать линейные или разветвленные алкилены с 1-6 углеродными атомами, такие как метилен, этилен, триметилен, тетраметилен, пентаметилен, гексаметилен или тому подобные, предпочтительно имеющие 1-3 углеродных атома. Подходящий “низший алкил” может включать линейный или разветвленный алкил, имеющий 1-6 углеродных атомов, такой как метил, этил, пропил, изопропил, бутил, изобутил, втор-бутил, трет-бутил, пентил, трет-пентил, гексил или тому подобный, предпочтительно алкил, содержащий 1-4 углеродных атома. Подходящий “защищенный карбокси” может включать этерифицированный карбокси и тому подобные. Подходящими примерами сложноэфирной части этерифицированного карбокси могут служить такие, как низший алкил сложный эфир (например, метиловый эфир, этиловый эфир, пропиловый эфир, изопропиловый эфир, бутиловый эфир, изобутиловый эфир, трет-бутиловый эфир, пентиловый эфир, гексиловый эфир и т. д. ), имеющий по крайней мере один подходящий заместитель(и), например, низший алканоилокси (низший) алкил сложный эфир [например, ацетоксиметил эфир, пропионилоксиметиловый эфир, бутирилоксиметиловый эфир, валерилоксиметиловый эфир, пивалоилоксиметиловый эфир, гексаноилоксиметиловый эфир, 1 (или 2)- ацетоксиэтиловый эфир, 1 (или 2, или 3)-ацетоксипропиловый эфир, 1 (или 2, или 4)-ацетоксибутиловый эфир, 1 (или 2)- пропионилоксиэтиловый эфир, 1 (или 2, или 3)-пропионилоксипропиловый эфир, 1 (или 2)-бутирилоксиэтиловый эфир, 1 (или 2)- изобутирилоксиэтиловый эфир, 1 (или 2)-пивалоилоксиэтиловый эфир, 1 (или 2)-гексаноилоксиэтиловый эфир, изобутирилоксиметиловый эфир, 2-этилбутирилоксиметиловый эфир, 3,3-диметил-бутирилоксиметиловый эфир, 1 (или 2)-пентаноилоксиэтиловый эфир и т.д.], низший алкилсульфонил(низший)алкил сложный эфир (например, 2-метилэтиловыйэфир и т.д.), моно(или ди, или три)-галоид(низший)алкил сложный эфир (например, 2-иодэтиловый эфир, 2,2,2-трихлорэтиловый эфир и т.д.), низший алкоксикарбонилокси(низший)алкиловый сложный эфир (например, метоксикарбонилоксиметиловый эфир, этоксикарбонилокси-метиловый эфир, 2-метоксикарбонилоксиэтиловый эфир, 1-этокси-карбонилоксиэтиловый эфир, 1-изопропоксикарбонилоксиэтиловый эфир и т. д.), фталидилиден-(низший)алкил сложный эфир или (5-низший алкил 2-оксо-1,3-диоксол-4-ил)(низший)алкил сложный эфир [например, (5-метил-2-оксо-1,3-диоксол-4-ил) метиловый эфир, (5-этил-2-оксо-1,3-диоксол-4-ил) метиловый эфир, (5-пропил-2-оксо-1,3-диоксол-4-ил)этиловый эфир и т.д.]; низший алкенил сложный эфир (например, виниловый эфир, аллиловый эфир и т.д.); низший алкинил сложный эфир (например, этинил эфир, пропинил эфир и т.д. ); ар(низший)алкил сложный эфир, имеющий по крайней мере один подходящий заместитель(и), такой как моно(или ди, или три)-фенил(низший) алкил сложный эфир, имеющий по крайней мере один подходящий заместитель(и) (например, бензиловый эфир, 4-метоксибензиловый эфир, 4-нитробензиловый эфир, фенетил эфир, тритил эфир, бензгидрил эфир, бис(метоксифенил)метиловый эфир, 3,4-диметоксибензиловый эфир, 4-гидрокси-3,5-ди-третбутилбензиловый эфир и т.д.); арил сложный эфир, имеющий по крайней мере один подходящий заместитель(и) (например, фениловый эфир, 4-хлорфениловый эфир, толил эфир, трет-бутилфенил эфир, ксилил эфир, мезитил эфир, куменил эфир и т.д.); фталидил сложный эфир и тому подобные. Подходящий “заместитель” в термине “арил имеющий подходящий заместитель(и)” может включать галоген, амино, гидрокси, низший алкокси, низший алкил, приведенный в качестве примеров выше, и тому подобные. Подходящий “цикло (низший) алкан” может включать цикло-пропан, циклобутан, циклопентан и циклогексан. Подходящий “цикло(низший)алкен” может включать цикло-пропен, циклобутен, циклопентен и циклогексен. Подходящий “заместитель” в термине “цикло(низший)алкан или цикло (низший) алкен, каждый из которых может иметь подходящие заместитель (и)” может включать эпокси, гидрокси, низший алкокси и тому подобные. Подходящий “низший алкокси” может включать метокси, этокси, пропокси, изопропокси, бутокси, изобутокси, третбутокси, пентилокси, трет-пентилокси, гексилокси и тому подобные. Подходящий “кислотный остаток” может включать галоген (например, хлор, бром, иод и т.д.), низший алканоилокси (например, ацетилокси и т.д.), сульфонилокси (например, метилсульфонилокси, фенилсульфонилокси, толилсульфонилокси и т.д.) и тому подобные. Подходящий “галоген” может включать те же галогены, что приведены в качестве примеров выше. Предпочтительными воплощениями целевого соединения (I) являются следующие: R1 обозначает карбокси или защищенный карбокси (более предпочтительно этерифицированный карбокси, наиболее желательно низший алкоксикарбонил. R2 обозначает арил, который может иметь от одного до трех (более желательно один) подходящий заместитель(и) (более предпочтительно фенил или низший алкилфенил), R3 обозначает арил, который может иметь от одного до трех (более предпочтительно один) подходящий заместитель(и) (более желательно фенил или низший алкилфенил). A1 обозначает низший алкилен (более предпочтительно C1-C3 алкилен, наиболее желательно метилен), A2 обозначает простую связь или низший алкилен (более желательно С1-C3 алкилен, наиболее предпочтительно метилен), и -Q- обозначает ![]() ![]() где ![]() цикло (низший) алкал или цикло (низший) алкен, каждый из которых может иметь от одного до трех (более желательно один или два) подходящих заместителя, выбранных из группы содержащей эпокси, гидрокси и низший алкокси). Более предпочтительными воплощениями целевого соединения (I) являются следующие: R1 обозначает карбокси или защищенный карбокси (более предпочтительно этерифицированный карбокси, наиболее желательно низший алкоксикарбонил), R2 обозначает арил, который может иметь от одного до трех (более желательно один) подходящий заместитель(и) (более предпочтительно фенил или низший алкилфенил), R3 обозначает арил, который может иметь от одного до трех (более желательно один) подходящий заместитель(и) (более предпочтительно фенил или низший алкилфенил), A1 обозначает низший алкилен (более желательно C1-C3 алкилен, наиболее предпочтительно метилен), A2 – обозначает простую связь или низший алкилен (более желательно C1-C3 алкилен, наиболее желательно метилен) и -Q- обозначает ![]() ![]() цикло(низший)алкан, который может иметь заместитель, выбранный из группы, состоящей из эпокси, гидрокси и низшего алкокси или цикло(низший)алкена, ![]() ![]() цикло(низший)алкан, который может иметь один или два заместителя, выбранных из группы, содержащей эпокси и гидрокси, или цикло(низший)алкен, или ![]() ![]() цикло(низший)алкан). Способы получения целевых и исходных соединений данного изобретения детально разъясняются ниже. Способ 1 Соединение (I) или его соль могут быть получены взаимодействием соединения (II) или его соли с соединением (III) или его солью. Эту реакцию обычно проводят в растворителе, таком как ацетонитрил, бензол, N,N-диметилформамид, тетрагидрофуран, метиленхлорид, этиленхлорид, хлороформ, диэтиловый эфир, или любом другом растворителе, который не оказывает неблагоприятного воздействия на реакцию. Температура реакции не имеет решающего значения и обычно реакцию выполняют как при охлаждении, так и при нагревании. Реакцию проводят обычно в присутствии основания. Подходящее основание может включать неорганическое основание, такое как гидроокись щелочного металла (например, гидроокись натрия, гидроокись калия и т.д.), гидроокись щелочноземельного металла (например, гидроокись магния, гидроокись кальция и т.д.), карбонат щелочного металла (например, карбонат натрия, карбонат калия и т.д.), карбонат щелочноземельного металла (например, карбонат магния, карбонат кальция и т.д.) или подобное им, и органическое основание, такое как три(низший)алкиламин (например, триметиламин, триэтиламин, диизопропилэтиламин и т. д. ), ди(низший)алкиланилин (например, диметиланилин и т.д.), пиридин или тому подобное. Способ 2 Соединение (Ib) или его соль могут быть получены по реакции элиминирования карбокси защитной группы соединения (Iа) или его соли. Подходящий способ этого взаимодействия может включать обычные реакции, такие как гидролиз, восстановление и тому подобные. (i) Для гидролиза: Гидролиз обычно проводят в присутствии основания или кислоты, включая кислоту Льюиса. Подходящее основание может включать неорганическое основание и органическое основание, такое как щелочной металл (например, натрий, калий и т.д. ), его гидроокись, или карбонат, или бикарбонат, триалкиламин (например, триметиламин, триэтиламин и т.д.), пиколин, 1,5-диазабицикло [4.3.0]-нон-5-ен, 1,4-диазабицикло [2.2.2]октан, 1,8-диазабицикло[5.4.0]ундек-7-ен или им подобные. Подходящая кислота может включать органическую кислоту (например, муравьиная кислота, уксусная кислота, пропионовая кислота, трихлоруксусная кислота, трифторуксусная кислота и т.д.) и неорганическую кислоту (например, хлористоводородная кислота, бромистоводородная кислота, серная кислота, хлористый водород, бромистый водород и т.д.). Элиминирование с использованием кислоты Льюиса, такой как тригалоидзамещенная кислота (например, трихлоруксусная кислота, трифторуксусная кислота и т.д.) или тому подобная, желательно выполнять в присутствии катион улавливающих средств (например, анизол, фенол и т.д.). Реакцию обычно проводят в растворителе, таком как вода, спирт (например, метанол, этанол и т.д.), метиленхлорид, тетрагидрофуран, 1,2-диметоксиэтан, их смеси или любом другом растворителе, не влияющем нежелательным образом на реакцию. В качестве растворителя могут быть также использованы жидкое основание или кислота. Температура реакции не имеет решающего значения, и реакцию обычно проводят как при охлаждении, так и при нагревании. (ii) Для восстановления: Восстановление выполняют обычным способом, включающим химическое восстановление и каталитическое восстановление. Подходящими восстанавливающими агентами для использования в химическом восстановлении являются комбинации металла (например, олово, цинк, железо и т.д.) или соединения металла (например, хлорид хрома, ацетат хрома и т.д.) и органической или неорганической кислоты (например, муравьиная кислота, уксусная кислота, пропионовая кислота, трифторуксусная кислота, п-толуолсульфоновая кислота, хлористоводородная кислота, бромистоводородная кислота и т. д.). Подходящими катализаторами, используемыми в каталитическом восстановлении, служат обычные, такие как платиновые катализаторы (например, платиновая пластина, пористая платина, платиновая чернь, коллоидная платина, окись платины, платиновая проволока и т.д.), палладиевые катализаторы (например, пористый палладий, палладиевая чернь, окись палладия, палладий на угле, коллоидный палладий, палладий на сульфате бария, палладий на карбонате бария и т. д. ), никелевые катализаторы (например, восстановленный никель, окись никеля, никель Ренея и т.д.), катализаторы кобальта (например, восстановленный кобальт, кобальт Ренея и т.д.), катализаторы железа (например, восстановленное железо, железо Ренея и т.д.), медные катализаторы (например, восстановленная медь, медь Ренея, медь Ульмана и т.д.) и тому подобные. Восстановление обычно проводят в общепринятом растворителе, не оказывающем неблагоприятного воздействия на реакцию, таком как вода, метанол, этанол, пропанол, этилацетат, N,N-диметилформамид, тетрагидрофуран, или в их смеси. Кроме того, в случае, когда вышеупомянутые кислоты, используемые в химическом восстановлении, являются жидкими, они также могут использоваться в качестве растворителя. Температура реакции при таком восстановлении не является определяющей, и реакцию обычно проводят как при охлаждении, так и при нагревании. Способ 3 Соединение (Id) или его соль могут быть получены по реакции окисления соединения (Ic) или его соли. Окисление выполняют обычным способом, и подходящий окисляющий реагент может включать надкислоту (например, надбензойная кислота, м-хлорнадбензойная кислота, пероксимуравьиная кислота, надуксусная кислота и т.д.), и тому подобные. Взаимодействие обычно осуществляют в общепринятом растворителе, таком как вода, спирт, (например, метанол, этанол, изопропиловый спирт и т.д.), тетрагидрофуран, диоксан, дихлорметан, этилен дихлорид, хлороформ, N,N-диметилформамид, N, N-диметилацетамид, или любом другом органическом растворителе, не оказывающем неблагоприятного воздействия на реакцию. Реакционная температура не имеет решающего значения, и обычно реакцию выполняют как при охлаждении, так и при нагревании. Способ 4 Соединение (Ie) или его соль могут быть получены по реакции восстановления соединения (Id) или его соли. Это взаимодействие выполняют способом, аналогичным вышеупомянутому способу 2 и поэтому используют реагенты и реакционные условия (например, растворитель, реакционная температура и т.д.), которые могут быть соотнесены с соответствующими параметрами способа 2. Способ 5 Соединение (If) или его соль могут быть получены по реакции восстановления соединения (Ic) или его соли. Это взаимодействие может быть выполнено способом, аналогичным вышеупомянутому способу 2, и поэтому используемые реагенты и реакционные условия (например, растворитель, температура реакции и т.д.) могут быть соотнесены с соответствующими параметрами способа 2. Способ 6 Соединение (Ig) или его соль могут быть получены по реакции окисления соединения (Ic) или его соли. Это окисление может выполняться способом, аналогичным вышеупомянутому способу 3, и поэтому используемые реагенты и реакционные условия (например, растворитель, реакционная температура и т.д.) могут быть соотнесены с соответствующими параметрами способа 3. Способ 7 Соединение (Ih) или его соль могут быть получены по реакции алкилирования соединения (Ie) или его соли. Это взаимодействие может выполняться по способу, описанному в примере 20, раскрытому ниже, или аналогичным этому способом. Способ 8 Соединение (Ij) или его соль могут быть получены по реакции восстановления соединения (Ii) или его соли. Это взаимодействие может выполняться способом, аналогичным вышеупомянутому способу 2, и поэтому используемые реагенты и реакционные условия (например, растворитель, реакционная температура и т.д.) могут быть соотнесены с соответствующими параметрами способа 2. Способ А- ![]() Соединение (Va) или его соль могут быть получены по реакции гидролиза соединения (IV) или его соли. Это взаимодействие может быть выполнено по методике, раскрытой в получении 2, описанном ниже, или аналогичным ему способом. Способ А- ![]() Соединение (VII) или его соль могут быть получены по реакции соединения (Va) или его соли с соединением (VI) или его солью. Это взаимодействие может быть выполнено по способу, раскрытому в получении 3, описанном ниже, или аналогичным ему способом. Способ А- ![]() Соединение (IX) или его соль могут быть получены по реакции соединения (VII) или его соли с соединением (VIII) или его солью. Это взаимодействие может быть выполнено по способу, раскрытому в получении 4, описанном ниже, или аналогичным ему способом. Способ B Соединение (XIIa) или его соль могут быть получены взаимодействием соединения (X) или его соли с соединением (XI) или его солью. Это взаимодействие может быть выполнено по способам, описанным в получениях 6 и 7, описанных ниже, или аналогичными способами. Способ C Соединение (IXa) или его соль могут быть получены по реакции дегидратации соединения (XII) или его соли. Это взаимодействие может быть выполнено по способам, раскрытым в получениях 8 и 9, описанным ниже, или аналогичными способами. Способ D Соединение (II) или его соль могут быть получены по реакции деалкилирования соединения (IX) или его соли. Используемый в этом взаимодействии реагент может включать галоидтриалкилсилан (например, иодтриметилсилан и т.д.) тиоалкоголят щелочного металла (например, тиоэтилат натрия и т.д.), сульфид щелочного металла (например, сульфид натрия и т.д.), дифенилфосфид щелочного металла (например, литий дифенилфосфид и т.д.), алюминия галогенид (например, алюминий хлорид, алюминий бромид и т.д.), бора тригалогенид (например, бор трихлорид, бор трибромид и т. д. ), пиридина гидрохлорид, алкилмагний галогенид (например, метилмагний иодид и т.д.), литий галогенид (например, литий хлорид и т. д.) и тому подобные. Реакцию обычно проводят в общепринятом растворителе, таком как вода, спирт, (например, метанол, этанол, диизопропиловый спирт и т.д.), тетрагидрофуран, диоксан, дихлорметан, этилендихлорид, хлороформ, N,N-диметилформамид, N, N-диметилацетамид или любом другом органическом растворителе, не оказывающем неблагоприятного воздействия на реакцию. Температура реакции не является решающим фактором и взаимодействие обычно осуществляют как при охлаждении, так и при нагревании. Способ E Соединение (IVa) или его соль могут быть получены взаимодействием соединения (X) или его соли с соединением (XIII) Эта реакция может быть проведена по способу, раскрытому в получении 1, описанном ниже, или аналогичным способом. Способ F Соединение (V) или его соль могут быть получены взаимодействием соединения (ХIV) или его соли с соединением (XV) или его солью. Это взаимодействие может быть выполнено по способу, раскрытому в получении 28, описанном ниже, или аналогичным ему способом. Способ G Соединение (Va) или его соль могут быть получены по реакции элиминирования карбокси защитной группы соединения (Vb) или его соли. Это восстановление может быть проведено способом, аналогичным вышеописанному способу 2, и поэтому используемые реагенты и реакционные условия (например, растворитель, реакционная температура и т.д.) могут быть соотнесены с соответствующими параметрами способа 2. Способ H Соединение (Xa) или его соль могут быть получены по реакции восстановления соединения (ХVI) или его соли. Это восстановление может быть проведено способом, аналогичным вышеупомянутому способу 2, и поэтому используемые реагенты и реакционные условия (например, растворитель, температура реакции и т.д.) могут быть соотнесены с соответствующими параметрами способа 2. Способ I Соединение (ХVIa) или его соль могут быть получены взаимодействием соединения (ХVII) или его соли с соединением (ХVIII) или его солью. Это взаимодействие может быть выполнено в соответствии со способом, раскрытым в получении 43, описанным ниже, или аналогичным ему способом. Целевое соединение (I) данного изобретения и его фармакологически активная соль обладают фармакологическими свойствами, такими как ингибирующая активность в отношении агрегации тромбоцитов, сосудорасширяющая активность, гипотензивная активность, или тому подобными и являются веществами, обладающими сродством к простагландин I2 рецептору, и, кроме того, могут быть использованы для лечения и/или профилактики закупорки артерий (например, хроническая артериальная закупорка и т.д.), цереброваскулярного расстройства, язвы желудка, гепатита, печеночной недостаточности, цирроза печени, артериосклероза, ишемической болезни сердца, рестеноза после чреcкожной транслуминальной коронарной пластической операции, гипертензии, воспаления, сердечной недостаточности, заболевания почек (например, почечная недостаточность, нефрит и т. д. ), диабетической нефропатии, периферического циркуляторного расстройства и тому подобных, и могут также быть использованы для защиты органов после трансплантации. Для демонстрации полезности целевого соединения (I) ниже представлены фармакологические данные для характерного соединения. i) Ингибирование агрегации тромбоцитов человека индуцированной АДФ. [I] Испытуемое соединение: Изомер C, полученный в примере 2. [II] Способ испытания: Образец крови получают от здоровых добровольцев и смешивают с 1/10 объема 3,8% цитрата натрия, pH 7,4. Цитратную кровь центрифугируют при 150 об. /мин х 10 мин и удаляют обогащенную тромбоцитами плазму (PRP). Оставшуюся кровь центрифугируют дополнительно 10 мин при 1500 об./мин для получения обедненной тромбоцитами плазмы (PРP), которую используют как эталон для агрегации тромбоцитов. Изучения агрегации проводят, используя HEMATRAGER 801 (NBS, Japan), – 8 канальный агрегометр. 25 мкл образец раствора и 225 мкл PRP смешивают и перемешивают при 1000 об./мин в течение 2 мин при 37oC. Агрегацию индуцируют раствором АДФ при конечной концентрации 2,5 мкМ. III Результат испытания (см табл. 1). ii) Воздействие на среднее значение apтеpиaльного кровяного давления в сознании крыс. [I] Испытуемое соединение; Натрий [3-[[(IS)-2-(4,5-дифенилоксазол-2-ил)-2- циклогексан-1-ил]метил] фенокси]ацетат [II] Способ испытания. Самцам Spraguc Dawly крыс в возрасте 8-9 недель, проводят анастезию с помощью диэтилового эфира и вводят полиэтиленовую канюлю, заполненную раствором гепарина в бедренную артерию крыс для нзмерения среднего кровяного давления. Среднее эначение кровяного давления измеряют датчиком давления и регистрируют полиграфом. Через два часа после операции вводят перорально испытуемое соединение, суспендированное в 0,5% метилцеллюлозе в объеме 5 мл/кг. Пероральный гипотензивный эффект испытуемого соединения выражают в максимальном снижении (Rmax). Вкратце Rmax выражает максимальный % изменения по сравнению со средним значением кровяного давления, предшествующего введению испытуемого соединения. [III] Результат испытания (см табл. 2) Фармацевтическая композиция данного изобретения может быть использована в виде фармацевтического состава, например, а твердой, полутвердой или жидкой форме (например, таблетка, пилюля, лепешка, капсула, суппозиторий, крем, мазь, аэрозоль, порошок, раствор, эмульсия, суспензия и т.д.), который включает целевое соединение (I) или его фармацевтически приемлемую соль в качестве активного ингредиента, подходящие для ректального, легочного (носовая или трансбуккальная ингаляция), назального, глазного, наружного (местного), перорального или парентерального (включая подкожное, внутривенное и внутримышечное) введения или инсуффляции. Фармацевтическая композиция данного изобретения может содержать различные органические или неорганические носители, которые обычно используются в фармацевтических целях, такие как эксципиент (например, сахароза, крахмал, маннит, сорбит, лактоза, глюкоза, целлюлоза, тальк, фосфат кальция, карбонат кальция и т.д.), связывающее вещество (например, целлюлоза, метилцеллюлоза, гидроксипропилцеллюлоза, полипропилпирролидон, желатин, гуммиарабик, полиэтиленгликоль, сахароза, крахмал и т.д.), дезинтегратор (например, крахмал, карбоксиметилцеллюлоза, кальциевая соль карбоксиметилцеллюлозы, гидроксипропилкрахмал, натриевый гликоль-крахмал, бикарбонат натрия, фосфат кальция, цитрат кальция и т.д.), смазывающее вещество (например, стеарат магния, тальк, лаурилсульфат натрия и т.д.), корригент (например, лимонная кислота, ментол, глицин, апельсиновый порошок и т.д.), консервант (например, бензоат натрия, бисульфит натрия, метилпарабен, пропилпарабен и т.д.), стабилизатор (например, лимонная кислота, цитрат натрия, уксусная кислота и т.д.), суспендирующее средство (например, метилцеллюлоза, поливинилпирролидон, стеарат алюминия и т.д.), диспергирующее средство (например, вода), основной парафин (например, масло какао, полиэтиленгликоль, белый вазелин и т.д.). Эффективный ингредиент может обычно вводиться в стандартной дозе от 0,01 мг/кг до 50 мг/кг, от 1 до 4 раз в день. Кроме того, приведенная выше дозировка может быть увеличена или снижена в соответствии с возрастом, весом, состоянием пациента или способом введения. Приведенные далее получения и примеры даны только в целях более подробной иллюстрации данного изобретения. Получение 1 Раствор трет-бутилата калия (4,10 г) в трет-бутанол-1,2-диметоксиэтане (1: 1, 38 мл) добавляют по каплям к перемешиваемому раствору 2-[(3-метоксифенил)метил] циклогексанона (4,10 г) и (п-толуолсульфонил)метилизоцианида (4,10 г) в 1,2-диметоксиэтане при охлаждении льдом в течение 30 мин. Полученную смесь перемешивают при этой температуре 1 ч и при комнатной температуре 2 ч 30 мин. Затем к ней добавляют смесь диэтилового эфира и воды. Органический слой отделяют, промывают водой и раствором соли, сушат над сульфатом магния и упаривают в вакууме. Масляный остаток хроматографируют на силикагеле, используя н-гексан-этилацетат в качестве элюента, что дает 1-циано-2-[(3-метоксифенил)-метил]циклогексан (3,73 г) в качестве масла. ИК (пленка): 2224, 1260 с м-1 ЯМР (CDCl3, ): 0.9-1.7 (16Н,m), 1.8-2.7(m) +3.10 (dd, J = 3.5 Гц, 13.4 Гц) + 13.4 Гц) +3.35 (m) всего 8H, 3.79 (3H, S), 3.80 (3H, S), 6.7-6.8 (6H, m), 7.1-7.3 (2H, m) (+) APCI масс спектр (m+/Z):230(М+1)Получение 2 Раствор 1-циано-2-[(3-метоксифенил)метил] циклогексана (3,60 г) и гидроокиси калия (2,82 г) в этиленгликоле (12,3 мл) нагревают при температуре кипения 5 ч, охлаждают до комнатной температуры и разбавляют водой и 5% водным раствором гидрокиси натрия. Полученную смесь промывают трижды диэтиловым эфиром, подкисляют концентрированной соляной кислотой и экстрагируют диэтиловым эфиром. Экстракт сушат над сульфатом магния и упаривают в вакууме, получая 2-[(3-метоксифенил)метил] циклогексанкарбоновую кислоту (3.11 г) в виде масла. ИК (пленка); 2750-2350, 1700, 1260 см-1 ЯМР (CDCl3, ): 0.8-2.3(m) + 2.6-2.9 (m) общее 24H, 3.8 (6H, S), 6.6-6.7 (6H, m), 7.0-7.3 (2H, n) (-) APCI масс спектр (m+/Z); 247 (М+ -1)Получение 3 1-Этил-3-(3-диметиламинопропил) карбодиимид гидрохлорид (501 мг) добавляют к перемешиваемому раствору 2-[(3- метоксифенил)метил]циклогексанкарбоновой кислоты (500 мг), бензоина (427 мг) и 4-диметиламинопиридина (12.2 мг) в дихлорметане (10 мл) при охлаждении льдом. Полученную смесь перемешивают при этой же температуре 2 ч и при комнатной температуре 1 ч и затем добавляют к ней смесь этилацетата и 1н. соляной кислоты. Органический слой отделяют, промывают последовательно 1н. соляной кислотой, водным раствором бикарбоната натрия и раствором соли, сушат над сульфатом магния и упаривают в вакууме. Остаток хроматографируют на силикагеле, используя н-гексан-толуол в качестве элюента, что дает 2-оксо-1,2-дифенилэтил 2-[(3-метоксифенил)метил]циклогексанкарбоксилат (455 мг) в виде бесцветного масла. ИК (пленка): 1725, 1690 см-1 ЯМР (CDCl3, ): 0.9-2.3 (40H, уширен.), 2.5-3.0 (8Н, m), 3.6-3.8 (12H, m), 6.59-6.61 (m) +6,68-6.76(m) общее 12H, 6.8- 6.9(4H,m), 7.0-7.5(36H,m), 7.9-8.0(8H,m) (+) APCI масс спектр (m+/Z): 433 (М+ +1)Получение 4 Раствор 2-оксо-1,2-дифенилэтил 2-[(3- метоксифенил)-метил]циклогексанкарбоксилата (440 мг) и ацетата аммония (593 мг) в уксусной кислоте (2,4 мл) нагревают при температуре кипения с обратным холодильником в течение 3 ч и охлаждают до комнатной температуры и добавляют смесь воды и дихлорметана. Органический слой промывают водой и водным раствором бикарбоната натрия, сушат над сульфатом магния и упаривают в вакууме, получая 2-[2-[(3-метоксифенил)метил]циклогексил] – 4,5-дифенилоксазол (394 мг). ИК (пленка): 1600, 1260 см-1 ЯМР (CDCl2, ); 1.0-1.8 (14H, уширен. ), 2.0-2.4 (уширен.)+ 2.5-2.8(уширен. )+3.2-3.3(m) общее 10H, 6.6-6.7(6H, m), 7.1 (2H,m), 7.3-7.4(12H, m), 7.5-7.7(8H,m) (+) APCI масс спектр (m+/Z): 424 (М+ +1)Получение 5 1.0 М раствор трибромида бора в дихлорметане (1.25 мл) добавляют по каплям к перемешиваемому раствору 2-[2-[(3-метоксифенил)метил]циклогексил] -4,5-дифенилоксазола (370 мг) в дихлорметане (2.0 мл) при охлаждении льдом. Полученную смесь перемешивают при той же температуре 2 ч и при комнатной температуре 22 ч, затем к смеси добавляют смесь этилацетата и водного раствора бикарбоната натрия. Органический слой промывают водным раствором бикарбоната натрия и раствором соли, сушат над сульфатом магния и упаривают в вакууме. Масляный остаток хроматографируют на силикагеле, используя н-гексанэтилацетат в качестве элюента, получая 2-[2-[(3-гидроксифенил)метил] циклогексил]-4,5-дифенилоксазол (303 мг) в виде сиропа. ЯМР (CDCl3): 0.8-1.1 (2H, m), 1.2-1.8(12H, уширен. ), 2.0-2.8 (m) + 3,25-3.28(m) общее 10H, 6.5-6.7(6H, m), 6.9-7.0 (2H,m), 7.2-7.4(12H,m), 7.5-7.7(8H,m) (+) APCI масс спектр (m+/Z): 410 (М++1) Получение 6 К раствору 4,5-дифенилоксазола в тетрагидрофуране (100 мл) при -78oC в атмосфере азота добавляют н-бутиллитий (в гексане, 1,7 н, 12 мл). Через 30 мин при той же температуре к смеси добавляют по каплям раствор 2-(3-метоксибензил)-циклопентанона (3,8 г) в тетрагидрофуране (10 мл). После перемешивания в течение 1 ч при 0oC реакционную смесь выливают в смесь этилацетата (200 мл) и 1н. соляной кислоты (50 мл). Органический слой промывают насыщенным водным раствором бикарбоната натрия и раствором соли, сушат над сульфатом магния и упаривают в вакууме. Масляный остаток хроматографируют (н-гексан-этилацетат: 5: 1-2:1) на силикагеле, получая 1-гидрокси- 1-(4,5-дифенилоксазол-2-ил)-2-(3-метоксибензил)циклопентан (8.0 г). ИК (чистый): 3350-3400, 1600 см-1 ЯМР (CDCl3, ): 1.25-3.00(9H, m), 3.57, 3.71(3H, каждый s), 6.6-6.8 (3H, m), 7.0-7.8 (11H,m)Масс-спектр (m/е): 426 (M+ +1) Получение 7 1,5 М раствор литий диизопропиламид моно(тетрагидрофуран)а в циклогексане (19.9 мл) добавляют по каплям к перемешиваемому раствору 4,5-дифенилоксазола (6.0 г) в тетрагидрофуране (36 мл) и диэтиловом эфире (18 мл) при охлаждении сухим льдом-четыреххлористым углеродом и смесь перемешивают при этой температуре некоторое время и некоторое время при 0oC. К реакционной смеси при охлаждении сухим льдом-ацетоном добавляют раствор 2-[(3- метоксифенил)метил] циклогексанона (5,92 г) в тетрагидрофуране (16 мл) и полученную смесь перемешивают при этой температуре несколько часов. Затем реакционной температуре дают постепенно подняться до комнатной температуры и реакционную смесь оставляют стоять при комнатной температуре в течение ночи. Смесь обрабатывают водным раствором хлорида аммония и дают распределиться между этилацетатом и 1н. соляной кислотой. Этилацетатный слой отделяют и промывают последовательно 1н. соляной кислотой (дважды), водным раствором бикарбоната натрия и раствором соли, сушат над сульфатом натрия и упаривают в вакууме. Масляный остаток хроматографируют (н-гексан-этилацетат (10:1)) на силикагеле. Первичный элюат дает 2-[(1RS,2RS)-1-гидрокси-2-[(3-метоксифенил)метил] циклогексил]-4,5-дифенилоксазол (4.48 г) в виде бледно-желтой пасты. ИК (чистый): 3430, 1590, 1250 см-1 ЯМР (CDCl3, ): 1.5-1.8 (6H, уширен.), 1.91-1.96(2H, m), 2,25-2.65(3H, m), 3.22 (1H, s), 3.62(3H, s), 6.57-6.67(3H, m), 7.02-7.10(1H,m), 7.32-7.41(6H,m), 7.50-7.55(2H,m), 7.61-7.66(2H,m)Масс спектр ((+)APCI): 440 (M++1) Следующий элюат дает 2-[(1RS, 2RS)-1-гидрокси-2-[(3- метoкcифенил)метил] циклoгекcил]-4,5-дифенилoкcaзoл (2.24 г) в виде бледно-желтой пасты. ИК (чистый): 3410, 1590, 1240 см-1 ЯМР (CDCl3, ): 1.6-1.9 (7H, уширен.), 2.09-2.15 (2H, m), 2.20-2.26 (1H, m), 3.08 (1H, уширен, d, J =9,9 Гц), 3.52 (1H,s), 3.75(3H,s), 6.69-6.76(3H, m), 7.12-7.20 (1H, m), 7.34-7.45(6H,m), 7.58-7.72(4H,m)Масс спектр ((+)APCI): 440 (M+ +1) Получение 8 К раствору 1-гидрокси-1-(4,5-дифенилоксазол-2-ил)-2-(3-метоксибензил)циклопентана (8,0 г) в толуоле (160 мл) добавляют кислый сернокислый калий (2,6 г) и раствор перемешивают 1 ч при температуре кипения. После охлаждения раствор промывают водой, насыщенным водным раствором бикарбоната натрия и раствором соли и упаривают в вакууме. Масляный остаток хроматографируют на силикагеле, получая смесь (8,0 г) 1-(4,5-дифенилоксазол-2-ил)-5-(3-метоксибензил) циклопентана и 1-(4,5-дифенилоксазол-2-ил)-2-(3-метоксибензил)-циклопентена ИК (чистый): 1590, 1480, 1440 см-1 ЯМР (CDCl3, ): 1.8-2.2(2H,m), 2.3-2.7(3H,m), 3.75, 3.77 (3H, каждый s), 6.6-7.0 (4H,m), 7.1- 7.4(6H,m), 7.5-7.8(4H,m)Масс спектр (m/e): 408 (М+ +1) Получение 9 Суспензию 2-[(1RS, 2RS)-1-гидрокси-2-[(3- метоксифенил)метилициклогексил] -4,5-дифенилоксазола (2,23 г) и DL-метионина (7,56 г) в метансульфокислоте (33,0 мл) перемешивают при 60oC 17 ч, затем добавляют дополнительное количество DL-метионина (7,56 г) и метансульфокислоты (33,0 мл). Смесь перемешивают при этой температуре 23 ч и выливают в воду со льдом. Полученную водную смесь экстрагируют трижды этилацетатом. Экстракты объединяют, промывают водным раствором бикарбоната натрия и раствором соли, сушат сульфатом магния и упаривают в вакууме. Остаток хроматографируют (н-гексан-диэтиловый эфир (100: 20)) на силикагеле. Первичный элюант дает 2-[6-[(3-гидроксифенил)-метил]-1-циклогексен-1-ил]-4,5-дифенилоксазол (897 мг) в виде пасты. ИК (чистый): 3350, 1590 см-1 ЯМР (CDCl3, ): 1.50-1.83 (4H, уширен. ), 2.29-2.35 (2H, уширен.), 2.43-2.54(1H, m), 3.12-3.34(2H, m), 5.67 (1H, уширен.), 6.64-6.65 (1H,m), 6.80- 6.91(3H,m), 7.12 (1H, t, J =7,7 Гц), 7.31-7.40(6H,m), 7.57-7.71(4H,m)Масс спектр ((+)APCI): 408 (M+ +1) Получение 10 К раствору смеси 1,2-эпоксициклопентана (7,0 г) и хлорида меди (I) (260 мг) в тетрагидрофуране (70 мл) добавляют 3-метоксифенилмагнийбромид (53,5 ммоль) в тетрагидрофуране (60 мл) при -78oC в атмосфере N2. Смесь перемешивают 1 ч при 0oC. Реакционную смесь выливают в смесь этилацетата и 1н. соляной кислоты и затем органический слой промывают насыщенным водным раствором бикарбоната натрия и раствором соли. Объединенные органические экстракты концентрируют и остаток чистят колоночной хроматографией на силикагеле, получая 1-гидрокси-2-(3- метоксифенил)циклопентан (13 г). ИК (чистый): 3350, 1605 см-1 ЯМР (CDCl3, ): 1.5-2.3 (7H,m), 2.7-2.9(1H,m), 3.80(3H,s), 4.0-4.2(1H, m), 6.7-6.9(3H,m), 7.23(1H, t, J =8 Гц)Масс спектр: 175 (М+ +1-H2O) Получение 11 Следующее соединение получают способом, аналогичным способу получения 10. 1-(Гидрокси-2-(3-метоксифенил)циклогексан ИК (чистый): 3400, 1605 см-1 ЯМР (CDCl3, ) 1.2-2.4(10H,m), 3.5-3.7(1H,m), 3.80(3H,s), 6.7-7.0(3H,m), 7.1-7.3(1H,m)Масс спектр: 189 (М+ +1-18) Получение 12 К раствору хлорангидрида щавелевой кислоты (9,0 мл) в метиленхлориде (200 мл) добавляют диметилсульфоксид (9,6 мл) при -78oC. Через 10 мин к раствору добавляют раствор 1-гидрокси-2-(3-метоксифенил)циклопентана (13 г) в метиленхлориде (20 мл) при той же температуре. Через 15 мин к смеси добавляют триэтиламин при -78oC и смесь нагревают при 0oC 1 ч. Реакционную смесь промывают водой и раствором соли и сушат над сульфатом магния. Органический раствор концентрируют и остаток чистят колоночной хроматографией на силикагеле, получая 2-(3-метоксифенил)циклопентанон (8,9 г). ИК (чистый): 1730, 1600 см-1 ЯМР (CDCl3, ): 1.8-2.6 (6H,m), 3,29 (1H, dd, J=9.0, 11.5 Гц), 3.79 (3H, s), 6.7-6.9(3H,m), 7.24 (1H, t, J =8.0 Гц)Масс спектр: 191 (M+ +1) Получение 13 Следующее соединение получено способом, аналогичным приведенному в получении 12. 2-(3-Метоксифенил)циклогексанон ИК (чистый): 1710 см-1 ЯМР (CDCl3, ): 1.7-2.6(8H,m), 3.5-3.7(1H,m), 3.79(3H,s), 6.6-6.9(3H,m), 7.25(1H, t, J = 7 Гц)Масс спектр: 205 (М+ +1) Получение 14 К раствору диэтилфосфоноуксусной кислоты (8,0 мл) в 1,2-диметоксиэтане (80 мл) добавляют гидрид натрия (60% в масле, 1,4 г) при 0oC в атмосфере N2. После перемешивания в течение 1 ч при температуре окружающей среды к раствору добавляют раствор 2-(3-метоксифенил)циклопентанона (4,5 г) в 1,2-диметоксиэтане (20 мл). После перемешивания в течение 12 ч реакционную смесь выливают в смесь этилацетата с водой. Органический слой промывают насыщенным водным раствором бикарбоната натрия и раствором соли. Высушенный растворитель концентрируют и полученный остаток чистят колоночной хроматографией на силикагеле, получая этил [2-(3-метоксифенил)циклопентилиден]ацетат (5,0 г). ИК (чистый): 1700 см-1 ЯМР (CDCl3, ): 1,26 (3H, t, J = 7 Гц), 1.4-2.3(4H, m), 2.4-3.2(3H,m), 3.80(3H,s), 4.16(2H, q, J =7Гц), 5.40(1H,s), 6.6-7,0(3H,m), 7.1-7.3(1H,m)Масс спектр: 261 (М+ +1) Получение 15 Следующее соединение получено по способу, аналогичному приведенному в получении 14. (1) Этил [2-(3-метоксибензил)циклогексилиден]-ацетат ИК (чистый): 1710, 1640, 1600 см-1 ЯМР (CDCl3, ): 1.2-1.4(3H,m), 1.4-2.0(6H,m), 2.2-3.2 (5H, m), 3.79(3H, s), 4.0-4.3(2H, m), 5.6 (1H, s), 6.6-6.9(3H,m), 7.0-7.3(1H,m).
масс спектр: 289 (М+ +1)2) Этил [2-(3-метоксифенил)циклогексилиден]-ацетат ИК (чистый): 1700, 1630 см-1. ЯМР (CDCl3, ): 1.22(3H, t, J=7Гц), 1.4-2.3(7H,m), 3.3-3.5(1H,m), 3.6-3.8(1H,m), 3.80(3H,s), 5.14 (1H,s), 6.6-6.9(3H,m), 7.25(1H, t, J = 8 Гц)Масс спектр: 275 (М+ +1) Получение 16 К раствору этил 2-(3-метоксифенил)циклогексилиден] ацетата (1.5 г) в бензоле (20 мл) добавляют 1,8-диазабицикло[5.4.0]-7-ундецен (1 мл) и смесь перемешивают 3 дня при температуре кипения. Затем смесь промывают водой, 1н. соляной кислотой, насыщенным водным раствором бикарбоната натрия и раствором соли. Высушенный растворитель упаривают, получая 1-(3-метоксифенил)-2-(этоксикарбонилметил)циклогексен (1,4 г) ИК (чистый): 1720 см-1 ЯМР (CDCl3, ): 1.23(3H, t, J =7 Гц), 1.5-2.4(8H, m), 2.90(2H, s), 3.79(3H,s), 4.09(2H, q, J = 7 Гц), 6.7-6.9 (3H,m), 7.1-7.3(1H,m)Масс спектр: 275(М+ +1) Получение 17 К раствору 3-метоксибензилмагнийхлорида (19,8 моль) в тетрагидрофуране (20 мл) добавляют смесь 2-циклогексен-1-она (1,9 г) и триметилсилилхлорида (5,8 мл) в тетрагидрофуране (30 мл) при -78oC в атмосфере N2. Смесь перемешивают 1 ч при 0oC. Реакционную смесь выливают в смесь этилацетата и 1н. соляной кислоты и органический слой промывают насыщенным водным раствором бикарбоната натрия и раствором соли. Объединенные органические экстракты концентрируют и чистят колоночной хроматографией на силикагеле, получая 3-(3-метоксибензил)циклогексанон (2.12 г). ИК (чистый): 1705 см-1 ЯМР (CDCl3, ): 1.2-2.6(11H, m), 3.80(3H,m), 6.6-6.8(3H, m), 7.20(1H, t, J =8 Гц)Масс спектр: 219 (М+ +1) Получение 18 Следующие соединения получены по способу, аналогичному получению 17. 1) 3-(3-Метоксифенил)циклогексанон ИК (чистый): 1705, 1605 см-1 ЯМР(CDCl3, ): 1.6-2.6(8H,m), 2.8-3.1(1H,m) 3.81(3H, s), 6.7-7.0(3H,m), 7.1-7.3(1H,m)Масс спектр: 205 (М+ +1) 2) 3-(3-Метоксифенил)циклопентанон ИК (чистый): 1740 см-1 ЯМР (CDCl3, ): 1.8-2.8(6H,m), 3.3-3.6(1H,m), 3,81(3H,s), 6.7-6.9(3H,n), 7.2-7.4(1H,m)Масс спектр: 191 (М+ +1) Получение 19 Следующие соединения получены по способу, аналогичному получению 1. 1) 1-Циано-3-(3-метоксибензил)циклогексан ИК (неразбавлен.): 2220, 1600 см-1 ЯМР (CDCl3, ): 0.8-2.2(9H,m), 2.2-2.6(3H,m), 3.44(3H,s), 6.6-6.8(3H,m), 7.24(1H, t, J = 8 Гц)Масс спектр: 230 (М+ +1) 2) 1-Циано-3-(3-метоксифенил)циклопентан ИК(чистый): 2220, 1600 см-1 ЯМР (CDCl3, ): 1.5-2.6(6H,m), 2.8-3.4 (2H,m), 3.80(3H,s), 6.7-6.9(3H, m), 7.2-7.4(1H,m)Масс спектр: 202 (M+ +1) 3) 1-Циано-3-(3-метоксифенил) циклогексан ИК (чистый): 2220, 1600 см-1 ЯМР (CDCl3, ): 1.4-2.6(9H,m), 2.8-3.0(1H,m), 3.80(3H, s), 6.7-7.0(3H, m), 7.1-7.3(1H,m)Масс спектр: 216 (М+ +1) Получение 20 Следующие соединения получают по способу, аналогичному приведенному в получении 2. 1) 3-(3-Метоксибензил)циклогексанкарбоновая кислота ИК (чистый): 1700, 1600 см-1 ЯМР (CDCl3, ): 0.8-2.8 (11H,m), 3.79(3H,s), 6.6-6.8 (3H,m), 7.18(1H, t, J = 8 Гц).
Масс спектр: 249 (М+ +1)2) 3-(3-Метоксифенил)циклопентанкарбоновая кислота ЯМР (CDCl3, ): 1.8-2.5(6H,m), 2.9-3.3(3H,m), 3.80 (3H, s), 6.6-7.0(3H, m), 7.22 (1H, t, J = 8Гц)Масс спектр: 221 (М+ +1) 3) 3-(3-Метоксифенил)циклогексанкарбоновая кислота ИК (чистый): 1690, 1600 см-1 ЯМР (CDCl3, ): 1.4-2.9(10H,m), 3.79(3H,m), 6.6- 6.9 (3H,m), 7.1-7.3(1H, m)Масс спектр: 235 (М+ +1) Получение 21 Карбонат натрия (11,13 г) добавляют порциями к перемешиваемому раствору дигидрокси-(3-метоксифенил)борана (5,85 г) и 3-иодбензойной кислоты (8,68 г) в воде (138 мл) при комнатной температуре, затем при той же температуре добавляют порциями ацетат палладия (II) (78,6 мг). Полученную смесь перемешивают при той же температуре 4 ч. Реакционную смесь фильтруют, затем фильтрат промывают дважды диэтиловым эфиром и доводят pH до 2,0 с помощью 6н. соляной кислоты. Осадившийся порошок собирают фильтрацией и растворяют в этилацетате. Раствор сушат над сульфатом магния и упаривают в вакууме. Остаток промывают н-гексаном, получая 3′-метокси-3-дифенилкарбоновую кислоту (4,34 г) в виде порошка. Т.пл.: 128,9-132.3oC ИК(нуйол): 1670 см-1 ЯМР (DMSO-d6, ): 3.85(3H,m), 6.97-7.01(1H,m), 7.22-7.28(2H,m), 7.38-7.46(1H,m), 7.56-7.64 (1H,m), 7.92-7.97 (2H, m), 8.18-8.24(1H,m)(-) APCl масс спектр: 227 (М+-1) Получение 22 Суспензию 3′-метокси-3-дифенилкарбоновой кислоты (4.1 г) и DL-метионина (26,7 г) в метансульфокислоте (116 мл) перемешивают при комнатной температуре 22 ч, разбавляют водой и экстрагируют три раза диэтиловым эфиром. Экстракты объединяют, промывают раствором соли, сушат над сульфатом магния и упаривают в вакууме. Остаток кристаллизуют из н-гексана, получая 3′-гидрокси-3-дифенилкарбоновую кислоту (3,59 г) в виде бесцветного порошка. Т.пл.: 169.4-170.6oC ИК(нуйол): 3300, 1685 см-1 ЯМР (DMCO-d6, ): 6,79-6.84(1H, m), 7.06-7.13(2H,m), 7.25-7.33(1H,m), 7.55-7.63(1H,m), 7.84-7.96(2H,m), 8.12-8.14(1H,m), 9.59(1H, уширен.)(+) APCl масс спектр: 215 (М+ +1) Получение 23 Следующие соединения получают способом, аналогичным получению 3. 1) 2-оксо-1,2-дифенилэтил-1-циклогексенкарбоксилат ИК(нуйол): 1705, 1690 см-1 ЯМР (CDCl3, ): 1.59-1.70(4H,m), 2.20-2.32(4H, уширен.m), 6.91(1H, s), 7.14-7.18(1H,m), 7.32-7.54(8H,m), 7.94-7.99(2H, m)(+) APCI масс спектр: 321 (M+ +1) 2) 2-оксо-1,2-дифенилэтил 2-бромбензоат Т.пл.: 109.6-111.1oC ИК(нуйол): 1725, 1629 см-1 ЯМР (CDCl3, ): 7.12(1H, s), 7.33-7.50(6H,m), 7.54-7.58(3H,m), 7.64-7.69(1H,m), 7.97-8.07(3H,m)(+) APCI масс спектр: 397 (М+ +2), 395(М+) Получение 24 Следующие соединения получают способом, аналогичным получению 4. 1) 2-(1-Циклогексенил)-4,5-дифенилоксазол ИК(нуйол): 1600 см-1 ЯМР (CDCl3, ): 1.65-1.83(4H, m), 2.27-2.30(2H, m), 2.54-2.58(2H,m), 6.87-6.91(1H,m), 7.29-7.40(6H,m), 7.57-7.81 (4H,m)(+) APCI масс спектр: 302 (М+ +1) 2) 2-(2-Бромфенил)-4,5-дифенилоксазол Т.пл.: 80.8-82.5oC ИК (нуйол): 1600 см-1 ЯМР (CDCl3, ): 7.25-7.47(8Н,m), 7.70- 7.78(5H,m), 8.12(1H, dd, J = 1.8 Гц, 7.7 Гц)(+) APCI масс спектр: 378 (М++2), 376 (М+) Получение 25 N-Бромосукцинимид (2.64 г) добавляют к перемешиваемой суспензии 2-(1-циклогексенил)-4,5-дифенилоксазола (3,00 г) в диметилсульфоксиде (20 мл) и воде (267 мг) при комнатной температуре и полученную смесь перемешивают при той же температуре 19 ч. Реакционную смесь распределяют между этилацетатом и водой. Органический слой отделяют, промывают водой и раствором соли, сушат над сульфатом натрия и упаривают в вакууме. Остаток чистят колоночной хроматографией, получая 2-бром-1-(4,5-дифенил-2-оксазолил)циклогексанол (1,52 г) в виде желтого твердого вещества. Т.пл.: 128.8-130.4oC ИК (нуйол): 3200, 1600 см-1 ЯМР (CDCl3, ): 1.5-1.6(2H, m), 1.83-2.04(4H, m), 2.33-2.56(3H, m), 3.64(1H, s), 4.40(1H, dd, J = 5.5 Гц, 7.3 Гц), 7.29-7.43 (6H, m), 7.57-7.70 (4H,m)(+) APCI масс спектр: 400 (М++2), 398(М+) Получение 26 Смесь 2-бром-1-(4,5-дифенил-2-оксазолил)- циклогексанола (120 мг) и карбоната калия (83 мг) в N,N-диметилформамиде (0,3 мл) перемешивают при комнатной температуре 6 ч и распределяют между этилацетатом и водой. Органический слой промывают раствором соли, сушат над сульфатом магния и упаривают в вакууме, получая 2-(1,2-эпоксициклогексил)- 4,5-дифенилоксазол (94 мг) в виде бледно-желтого порошка. Т.пл.: 65.8-76.0oC ИК (чистый): 1600 см-1 ЯМР (CDCl3, ): 1.30-1.63(4H, m), 1.94-2.14(2H, m), 2.28-2.42(1H,m), 2.56-2.73(1H,m)), 3.83-3.84(1H,m), 7.31-7.42(6H,m), 7.52-7.66(4H,m)(+) APCI масс спектр: 318 (М++1) Получение 27 4,4′-Диметилбензоин (25,0 г), формамид (230 мл) и хлорокись фосфора (16.0 мл) смешивают и перемешивают при температуре кипения 5,5 ч. Реакционную смесь охлаждают до комнатной температуры и выливают в воду, после чего экстрагируют дважды диэтиловым эфиром. Охлажденные органические фазы промывают раствором соли и сушат над сульфатом магния и активированным углем. Смесь фильтруют и упаривают в вакууме, затем чистят колоночной хроматографией на силикагеле. Растворитель упаривают, получая 4,5-бис(4-метилфенил)оксазол (15,41 г) в виде твердого вещества. Т.пл.: 93.0-94.3o ИК (нуйол): 1610 см-1 ЯМР (CDCl3, ): 2.37(6H,s), 7.16-7.20(4H,m), 7.47- 7.51 (4H,m), 7.91(1H, s)(+) APCI масс спектр: 250(М+ +1) Элем. анализ, рассчитано для C17H15NO: C 81.90; H 6.06; 5.62 найдено: C 81.95; H 6.00; 5.58 Получение 28 Тетрагидрофурановый (50 мл) раствор 3-метоксибензилхлорида (14,01 г) медленно добавляют к суспензии магния (2,18 г) и иода (каталитическое количество) в тетрагидрофуране (50 мл) при 60oC за 40 мин. После 1 ч перемешивания при этой температуре реакционную смесь охлаждают до комнатной температуры. Нерастворимый продукт отфильтровывают и получают раствор Гриньяра. Раствор Гриньяра медленно добавляют к суспензии этил 5(R)-ацетокси-1-циклопентенкарбоксилата (4.50 г) и иодида меди (I) (0.56 г) в тетрагидрофуране (100 мл) за 1 ч при -60oC. После 1 ч перемешивания при этой температуре к реакционной смеси добавляют 1н. соляную кислоту (100 мл). Смесь экстрагируют этилацетатом. Экстракт промывают 1н. соляной кислотой, водой, насыщенным водным раствором бикарбоната натрия и раствором соли. Сушка (сульфат натрия) и удаление растворителя при пониженном давлении с последующей флэш хроматографией на 250 г двуокиси кремния дают (-)-этил 5(S)-(3-метоксибензил)-1- циклопентенкарбоксилат в виде бесцветного масла (4.73 г). [ ]D: – 11.2o (C=1, CH2Cl2)ИК (пленка): 1700, 1620 см-1 ЯМР (CDCl3, ): 1.31(3H, t, J=7,0 Гц), 1.74-2.04(2H, m), 2.32-2.46(3H, m), 3.09-3.23(2H,m), 3.80 (3H,s), 4.21(2H, q, J =7.0 Гц), 6.72-6.80(4H, m), 7.15-7.26 (1H, m)масс спектр (APCl) m/e: 261 (M+ +1) Получение 29 Следующее соединение получают способом, аналогичным получению 28. (+)-Этил 5(R)-(3-метоксибензил)-1-циклопентенкарбоксилат. [ ]D: = 11.8o (C=1.05, CH2Cl2)ИК (пленка): 1700, 1620 см-1 ЯМР (CDCl3, ): 1.31 (3H, t, J =7.0 Гц), 1.74-2.04(2H,m), 2.32-2.46(3H, m), 3.09-3.23(2H, m), 3.80(3H,s), 4.21 (2H, q, J=7,0 Гц), 6.72-6.80(4H,m), 7.15-7.26(1H,m)Масс спектр (APCI) m/e: 261 (М+ +1) Получение 30 К раствору гидрида натрия (1,0 г, 60% в масле) в N,N-диметилформамиде (50 мл) добавляют триметилсульфоний иодид (6.1 г) при температуре окружающей среды в атмосфере и перемешивании в течение 20 мин. К раствору добавляют по каплям раствор транс-1-этоксикарбонил-2-(3-метоксифенил)-этилена (5.2 г) в N, N-диметилформамиде (10 мл) и перемешивают 2 ч. Реакционную смесь выливают в смесь этилацетата (100 мл) и 1н. соляной кислоты (100 мл). Органический слой промывают водой, насыщенным водным раствором бикарбоната натрия и раствором соли, и затем сушат над сульфатом магния. Раствор упаривают и остаток хроматографируют (гексан: этилацетат=4:1), получая транс-1-этоксикарбонил-2-(3-метоксифенил)-циклопропан (1,0 г). ИК (чистый): 1720 см-1 ЯМР (CDCl3, ): 0.7-0.9(1H, m), 1.25(3H, t, J = 7.0 Гц), 1.5-1.7(1H,m), 1.8-2.0(1H, m), 2.4-2.6(1H, m), 3.78(3H, s), 4.16(2H, q, J =7,0 Гц), 6.6-6.9(3H,m), 7.19(1H, t, J =8.0 Гц)Масс спектр: 221 (М+ +1) Получение 31 Этанольный (30 мл) раствор (-)-этил 5(S)-(3- метоксибензил)-1-циклопентенкарбоксилата (4.30 г) и 1н. водного раствора гидроокиси натрия (25 мл) перемешивают при 60oC в течение 4 ч. Растворитель удаляют в вакууме и остаток распределяют между диэтиловым эфиром и водой. Водный слой подкисляют 1н. соляной кислотой и экстрагируют этилацетатом. Экстракт промывают раствором соли и сушат над сульфатом натрия. Удаление растворителя дает сырую карбоновую кислоту в виде желтого масла (3,82 г, [ ]D: -9.65o (C=1, CH2Cl2)).
К гексану и этилацетатному раствору (80 мл, 1:1) неочищенной карбоновой кислоты добавляют (+)-1-фенилэтиламин (1,96 г) при перемешивании и комнатной температуре. Осадившийся бесцветный порошок (3,97 г, Т.пл. 125-131oC) собирают фильтрацией и дополнительное количество порошка (0.20 г, Т.пл. 127-129oC) получают из фильтрата. Перекристаллизация объединенного порошка из н-гексан-этилацетата (1: 1, 100 мл) дает чистую соль (-)-5-(S)-(3-метоксибензил)-1-циклопентенкарбоновой кислоты и (+) -1-фенилэтиламина в виде бесцветных игольчатых кристаллов (3,27 г, Т.пл.: 135-136oC, [ ]D: -21.87o (C=1, MeOH)).
Соль распределяют между этилацетатом и 1н. соляной кислотой. Органический слой промывают 1н. соляной кислотой и раствором соли. Сушка (сульфат натрия) и удаление растворителя приводят к (-)-5(S)-(3-метоксибензил)-1-циклопентенкарбоновой кислоте в виде бесцветного масла (2,09 г).
[ ]D: -14,91o (C=1,2, CH2Cl2)ИК(пленка): 1700, 1665 см-1 ЯМР (CDCl3, ): 1.74-2.12(2H, m, ), 2.36-2.49(3H,m), 3.15-3.23(2H,m), 3.81(3H,s), 6.73-6.83(3H,m), 6.97(1H, m), 7.16-7.26(1H,m)Масс спектр (APCI) m/e: 233 (М+ +1) Получение 32 Следующие соединения получают способом, аналогичным получению 31. 1) (+)-5(R)-(3-Метоксибензил)-1-циклопентенкарбоновая кислота [ ]D: +15.09o (C=1.04, CH2Cl2)ИК (пленка): 1700, 1665 см-1 ЯМР (CDCl3, ): 1.74-2.12(2H, m), 2.36-2.49(3H, m), 3.15-3.23(2H,m), 3.81(3H,s), 6.73-6.83(3H,m), 6.97(1H, m), 7.16-7.26(1H,m)Масс спектр (APCI) m/e: 233 (М+ +1) 2) Транс-2-(3-Метоксифенил)циклопропанкарбоновая кислота ЯМР (CDCl3, ): 1.3-1.5(1H, m), 1.6-1.8(1H,m), 1.8-2.0(1H,m), 2.5-2.7(1H,m), 3.79(3H,s), 6.6-6.9(3H,m), 7.20(1H, t, J = 8.0Гц)FAB масс спектр: 192 (М+) 3) [2-(3-Метоксифенил)циклопентилиден]уксусная кислота Масс спектр: 233 (М+ +1) 4) [2-(3-Метоксифенил)циклогексилиден] уксусная кислота ИК (нуйол): 1700, 1640 см-1 ЯМР (CDCl3, ): 1.4-2.4(7H,m), 3.3-3.5(1H,m), 3.6-3.8(1H,m), 3.78(3H, s), 5.17(1H,s)Масс спектр: 247 (М+ +1) 5) [1-(3-Метоксифенил)циклогексен-2-ил]уксусная кислота ИК (нуйол): 1700 см-1 ЯМР (CDCl3, ): 1.5-2.4(8H,m), 2.98(2H,s), 3.79(3H,s), 6.6-6.8(3H,m), 7.1-7.3(1H,m)Масс спектр; 247 (М+ +1) 6) [2-(3-Метоксибензил)циклогексилиден]уксусная кислота ИК (чистый): 1680, 1630 см-1 ЯМР (CDCl3, ): 1.3-1.9(6H,m), 2.2-3.2(5H,m), 3.79 (3H,s), 5.62(1H, s), 6.6-6.8(3H,m), 7.0-7.3(1H,m)Масс спектр: 261 (М+ +1) Получение 33 Следующее соединение получают способом, аналогичным получению 3. 2-Оксо-1,2-бис(4-метилфенил)этил 2-(3-метоксифенилметил) циклогексанкарбоксилат ИК (чистый): 1725, 1685 см-1 ЯМР (CDCl3, ): 1.16-2.00(8H,brm), 2.0-2.3(1H,m), 2.31 (3H, s), 2.34(3H, s), 2.43(1H, m), 2.57-2.92(2H,m), 3.69-3.80(3H,m), 6.58-6.76(2H,m), 6.83-6.91(1H,m), 7.05-7.25(6H,m), 7.27-7.38(2H,m), 7.82-7.87(2H,m)(+) APCI масс спектр: 471 (M+ +1) Получение 34 Натрий (64 мг) растворяют в этаноле (10 мл) и добавляют 3′-гидрокси-3-дифенилкарбоновую кислоту (0,5 г). Смесь перемешивают при комнатной температуре 20 мин и затем добавляют концентрированную серную кислоту (1 капля) и дезил бромид (642 мг). Полученную смесь перемешивают при температуре кипения 3 ч, охлаждают до комнатной температуры и распределяют между водой и этилацетатом. Органический слой промывают последовательно водой (дважды), 1н. соляной кислотой вводным раствором бикарбоната натрия и раствором соли, сушат над сульфатом магния и упаривают в вакууме. Остаток хроматографируют (н-гексан-этилацетат) на силикагеле, получая 2-оксо-1,2- дифенилэтил-3′-гидрокси-3-дифенил-карбоксилат (744 мг) в виде пасты. ИК (чистый): 3370, 1720, 1690 см-1 ЯМР (CDCl3, ![]() Масс спектр ((+) APCI): 409 (М+ +1) Получение 35 Следующие соединения получают способом, аналогичным получению 4. 1) 2-[2-(3-Метоксифенилметил) циклогексил] -4,5-бис(4- метилфенил) оксазол ИК (чистый): 1590 см-1 ЯМР (CDCl3, ): 1.3-1.8(12H,brm), 2.04-2.09(4H,brm), 2.28-2.32(2H,m), 2.37(12H, m), 2.51-2.78(4H,m), 3.20(2H, m), 3.70(3H,s), 3.71(3H, s), 6.64-6.72(6H,m), 7.07- 7.18(10H,m), 7.43-7.59(8H,m)(+) APCI масс спектр: 452 (М+ +1) 2) 2-(3′-Гидрокси-3-дифенилил)-4,5-дифенилоксазол ИК (чистый): 3350, 1600 см-1 ЯМР (DМCO-d6, ): 6.82-6.87 (1H, m), 7.14-7.20(2H, m), 7.29-7.33(1H,m), 7.42-7.53(6Н,m), 7.62-7.73(5H,m), 7.79-7.83(1H,m), 8.08-8.12(1H,m), 8.28(1H, m), 9.64(1H,s)Масс спектр ((+) APCI): 390 (М++1) Получение 36 Метиленхлоридный раствор (20 мл) (-)-5(S)-(3-метоксибензил)-1-циклопентенкарбоновой кислоты (1.99 г), тионил хлорида (2 мл) и N,N-диметилформамида (2 капли) перемешивают 3 ч при комнатной температуре. Удаление растворителя при пониженном давлении дает сырой хлорангидрид в виде коричневого масла. К метиленхлоридному раствору (20 мл) сырого хлорангидрида и бензоина (1.97 г), добавляют при комнатной температуре пиридин (2 мл). Раствор перемешивают 4 ч при той же температуре и промывают 1н. соляной кислотой (х2) и раствором соли. Сушка (сульфат натрия) и удаление растворителя дают желтое масло. Уксуснокислый раствор (80 мл) желтого масла и ацетата аммония (14,98) перемешивают 7,5 ч при 130oC и охлаждают до комнатной температуры. Растворитель удаляют и остаток растворяют в этилацетате. Раствор промывают водой, насыщенным водным бикарбонатом натрия (х3), водой и раствором соли. Сушка (сульфат натрия) и удаление растворителя при пониженном давлении с последующей флэш хроматографией на 100 г двуокиси кремния дают (+)-1-(4,5-дифенилоксазол-2-ил)-5(S)-(3- метоксибензил)циклопентен в виде бледно-желтого твердого продукта (2,69 г, 99,6 % исключая ошибки). Т.пл.: 73-75oC [ ]D: +65.24o (C=1.075, CH2Cl2)ИК (нуйол): 1600 см-1 ЯМР (CDCl3, ): 1.89(1H, m), 2.00-2.11 (1H, m), 2.46 (2H, m), 2.62 (1H, dd, J = 13.3 Гц, 9.6 Гц), 3.41 (1H, dd, J =13.3 Гц, 4.1Гц), 3.56 (1H, m), 3.77 (3H, s), 6.70-6.87 (4H, m), 7.15-7.72 (11H,m)Масс спектр (APCI m/e: 408 (М+ +1) Получение 37 Следующее соединение получают способом, аналогичным получению 36. (-)-1-(4,5-Дифенилоксазол-2-ил)-5(R)-(3-метоксибензил) циклопентен [ ]D: -46.91o (C=1.29, CH2Cl2)ИК (пленка): 1600 см-1 ЯМР (CDCl3, ): 1.89(1H,m), 2.00-2.11(1H,m), 2.46 (2H,m), 2.62(1H, dd, J = 13.3 Гц, 9.6 Гц), 3.41 (1H, dd, J=13.3 Гц, 4.1 Гц), 3.56 (1H,m), 3.77 (3H, m), 6.70-6.87(4H, m), 7.15-7.72 (11H,m)Масс спектр (APCI) m/e: 408(М+ +1) Получение 38 Следующие соединения получают способами, аналогичными получениям 3 и 4. 1) 1-(4,5-Дифенилоксазол-2-ил) 2-(3-метоксифенил)циклопропан ИК (чистый): 1610, 1590 см-1 ЯМР (CDCl3, ): 1.4-1.6(1H, m), 1.7-1.9(1H,m, 2.3- 2.5 (1H,m), 2.6-2.8(1H,m), 3.74(3H,s), 6.7-7.9(3H,m,), 7.2-7.8 (11H,s)Масс спектр: 368 (M++1) 2) 2[(4,5-Дифенилоксазол-2-ил)метилен-1-(3-метоксифенил) циклогексан ИК (чистый): 1640 см-1 ЯМР (CDCl3, ): 1.4-2.4 (7Н,m), 3.4-3.6(1H,m), 3.81(3H,s), 3.7-3.9(1H, m), 5.66(1H,s), 6.7-6.9(3H,m), 7.2-7.8(11H,m ).
Масс спектр: 422 (М+ +1)3) 1-(3-Метоксифенил)-2-[(4,5-дифенилоксазол-2-ил) – метил]циклогексен ИК (чистый): 1600 см-1 ЯМР (CDCl3, ): 1.6-1.8(4H,m), 2.1-2.4(4H,m), 3.48 (2H, s), 3.76(3H, s), 6.7-6.9(3H,m), 7.2-7.8(11H,m)Масс спектр: 422 (М+ +1) 4) 2-[2-(3-Mетоксибензил)циклогексилиден]метил-4,5-дифенилоксазол ИК (чистый): 1640, 1610 см-1 ЯМР (CDCl3, ): 1.2-1.9(6H,m), 2.4-3.3(5H,m), 3.80(3H,s), 6.13 (1H,s), 6.6-6.9 (3H,m), 7.0-7.8 (11H, m)Масс спектр: 436 (М+ +1) 5) 1-(4,5-Дифенилоксазол-2-ил)-3-(3-метоксибензил)-циклогексан ИК (чистый): 1600, 1590 см-1 ЯМР (CDCl3, ): 0.8-2.2(9Н, m), 2.5-2.7(2H, m), 2,8-3.3(1H,m), 3.76, 3.80(3H, каждый s), 6.7-6.9(3H,m), 7.1- 7.8 (11H, m)Масс спектр: 424 (M+ +1) 6) 1-(4,5-Дифенилоксазол-2-ил)-3-(3-метоксифенил)циклопентан ИК (чистый): 1600 см-1 ЯМР (CDCl3, ): 1.8-2.6(6Н,m), 3.0-3.8(2H,m), 3.79, 3.81(3H, каждый s), 6.6-7.0 (3H, m), 7.0-7.8 (11H, m)Масс спектр: (М+ +1) 7) 1-(4,5-Дифенилоксазол-2-ил)-3-(3-метоксифенил)-циклогексан ИК (чистый): 1600 см-1 ЯМР (CDCl3, ): 1.4-2.9(9H,m), 2.9-3.1(1H,m), 3.80 (3H,s), 6.6-7.0 (3H, m), 7.2-7.8(11H,m)Масс спектр: 410 (М+ +1) Получение 39 К раствору [2-(3-метоксифенил)циклопентилиден]уксусной кислоты (4,0 г) в метиленхлориде (80 мл) добавляют бензоин (3,7 г), 1-этил-3-(3-диметиламинопропил)карбодиимид (4,1 мл) и 4-диметиламинопиридин (2.1 г). Полученную смесь перемешивают при комнатной температуре 12 ч и затем распределяют между этилацетатом и 1н. соляной кислотой. Органический слой отделяют, промывают последовательно 1н. соляной кислотой, насыщенным водным раствором бикарбоната натрия и раствором соли, сушат над сульфатом магния и упаривают в вакууме. Остаток и ацетат аммония (6.6 г) растворяют в уксусной кислоте (40 мл) и нагревают при температуре кипения 4 ч. Реакционную смесь упаривают в вакууме и остаток распределяют между этилацетатом и водой. Органический слой промывают насыщенным водным раствором бикарбоната натрия и раствором соли, сушат над сульфатом магния и упаривают в вакууме. Остаток хроматографируют на силикагеле, получая 2-[(4-дифенилоксазол-2-ил) метил]-1-(3-метоксифенил)циклопентен (4,1 г). ИК (чистый): 1600 см-1 ЯМР (CDCl3, ): 1.8-2.1(2H,m), 2.6-2.9(4H,m), 3.80(3H,s), 3.7-3.85(2H, m), 6.7-7.0(3H, m), 7.2-7.8 (11H, m)Масс спектр: 408 (M++1) Получение 40 4,5-Бис(4-метилфенил)оксазол (3,91 г) растворяют в тетрагидрофуране (26 мл) и диэтиловом эфире (13 мл) в атмосфере газообразного N2 при -75oC. К раствору добавляют 1,5 н. литий диизопропиламид. Спустя 45 мин к реакционной смеси добавляют 2-(3-метоксифенилметил)циклопентанон и затем перемешивают при комнатной температуре 105 мин. К реакционной смеси добавляют водный раствор хлорида аммония и экстрагируют этилацетатом. Органический слой промывают 1н. соляной кислотой, насыщенным водным раствором бикарбоната натрия и раствором соли. Органический слой сушат над сульфатом магния и упаривают, получая желтое масло. Масло чистят SiO2, что дает смесь (4,83 г) цис- или транс-2-[1-гидрокси-2-(3- метоксифенилметил) циклопентил]-4,5-бис(4-метилфенил) оксазола (изомер E) и транс- или цис-2-[1-гидрокси-2-(3-метоксифенилметил)циклопентил]-4,5-бис-(4-метилфенил) оксазола (изомер F). Изомер E ИК (чистый): 3400, 1590 см-1 ЯМР (CDCl3 ): 1.6-2.1 (6Н,m), 2.37(6H,s), 2.6-2.9 (3H,m), 3.26(2H,s), 3.61 (3H, s), 6.53-6.58(1H, m), 6.64-6.78(2H, m), 6.94-7.07(1H,m), 7.12-7.18(4H,m), 7.34-7.48(4H,m)(+) APCI масс спектр: 454 (M+ +1) Изомер F ИК (чистый): 3400, 1595 см-1 ЯМР (CDCl3, ): 1.7-2.2 (6H,m), 2.38(6H,s), 2.43-2.78(3H,m), 3.34(1H,s), 3.72(3H, s), 6.66-6.73(3H,m), 7.10-7.26(5H,m), 7.45-7.57(4H,m)(+) APCI масс спектр: 454 (М++1) Изомер Е отличается от изомера F конфигурацией. Получение 41 Следующие два соединения получают аналогично способу получения 7. цис-2-[1-Гидрокси-2-(3-метоксибензил) циклогексил] -4,5-бис(4-метилфенил)оксазол ИК (чистый): 3450, 1600 см-1 ЯМР (CDCl3, ): 1.2-1.95(3H,brm), 2.22- 2.32(1H,m), 2.38(6H, s), 2.42-2.69(2H, m), 3.27(1H, s), 3.64(3H, s), 6.60-6.76(3H,m), 7.03-7.19(5H,m), 7.40-7.55 (4H,m)(+) APCI масс спектр: 468 (М+ +1) транс-2-[1-Гидрокси-2-(3-метоксибензил)циклогексил]-4,5-бис (4-метилфенил) оксазол ИК (чистый): 3420, 1590 см-1 ЯМР (CDCl3, ): 1.39-1.88(7H, вгm), 2.04-2.24(3H,m), 2.39(6H,s), 3.05-3.10(1H, m), 3.58(1H, s), 3.75(3H, s), 6.69-6.76(3H, m), 7.02-7.25(5H,m), 7.48-7.60(4H,m)(+) APCI масс спектр: 468 (М++1) Получение 42 К раствору (R,R)-моно (2,6-диметоксибензоил) винной кислоты (314 мг) в пропионитриле (5 мл) добавляют 1М BH3 раствор (1,0 мл) в тетрагидрофуране при 0oC в атмосфере N2. Реакционную смесь перемешивают 1 ч при 0oC и затем раствор охлаждают до -78oC. К нему добавляют последовательно 1-(триметилсилилокси)циклогексен (1.0 г) и 3-метоксибензальдегид (680 мг). После перемешивания в течение 2 ч раствор выливают в 1н. соляную кислоту и продукт экстрагируют диэтиловым эфиром. Растворитель упаривают и остаток обрабатывают раствором 1н. соляной кислоты – тетрагидрофурана (2 мл, 1:1). Обычное хроматографическое разделение дает (2R)-2-(1-гидрокси-1-(3- метоксифенил)метил)циклогексанон (350 мг). ЯМР (CDCl3, ): 1.4-2.6(9H,m), 3.81(3H,s), 5.32 (1H, m), 6.6-7.4(4H, m)ВДЖХ (хиралцел AD), 10% изопропанол/гексан, 1 мл/мин); rt= 11,2 мин (относительное время удерживания) Получение 43 Следующее соединение получают, используя (S,S)-моно (2,6-диметоксибензоил) винную кислоту вместо (R,R-моно (2,6-диметоксибензоил) винной кислоты в способе, аналогичном получению 42. (2S)-2-[1-Гидрокси-1-(3-метоксифенил)метил]- циклогексанон ВДЖХ (хиралцел AD), 10% изопропанол/гексан, 1 мл/мин); rt = 13.0 мин Получение 44 К раствору (2S)-2-[1-гидрокси-1-(3- метоксифенил)-метил]циклогексанона (0,8 г) в этаноле (20 мл) добавляют палладий на углероде (0,5 г). После перемешивания в течение 4 ч в атмосфере водорода реакционную смесь фильтруют. Растворитель упаривают, получая (2S)-2-(3-метокси- бензил)циклогексанон (0.8 г). ВДЖХ (хиралцел OJ, 5% изопропанол/гексан, 1 мл/мин): rt = 13,9 мин Получение 45 Следующее соединение получают способом, аналогичным получению 44. (2R)-2-(3-Метоксибензил)циклогексанон ВДЖХ (хиралцел, OJ, 5% изопропанол/гексан, 1 мл/мин); rt = 11,2 мин Получение 46 Следующие соединения получают способами, аналогичными получениям 6 и 8. 1) (6R)-1-(4,5-Дифенилоксазол-2-ил)-6-(3-метоксибензил)циклогексен ВДЖХ (хиралцел AD, 5% изопропанол/гексан, 1 мл/мин); rt =15.5 мин ИК (чистый): 1600 см-1 ЯМР (CDCl3, ): 1.4-2.0(4H,m), 2.0-2.5(3H,m), 3.0-3.4(2H,m), 3.75(3H,s). 6.6-6.8(1H,m), 6.8-7.0(3H,m), 7.0-7.8 (11H, m)Масс спектр: 422 (М+ +1) 2) (6S)-1-(4,5-Дифенилоксазол-2-ил)-6-(3-метоксибензил) циклогексен ВДЖХ (хиралцел AD, 5% изопропанол/гексан, 1 мл/мин); rt = 14,8 мин Получение 47 3-Метоксибензилмагнийхлорид получают обычным способом из 3-метоксибензолхлорида (1.72 г), магния (стружка, 243 мг) и незначительного количества иода в тетрагидрофуране (10 мл) при температуре -50oC и затем добавляют бромид меди (II) (143 мг) при -78oC. К раствору 2-(1,2- эпоксициклогексил)-4,5-дифенилоксазола (640 мг) в тетрагидрофуране (2 мл) при перемешивании и -78oC добавляют реактив Гриньяра в тетрагидрофуране (4.0 мл). Полученную смесь перемешивают при охлаждении льдом 1 ч и 30 мин, добавляют при той же температуре дополнительное количество реактива Гриньяра в тетрагидрофуране (3.0 мл). Смесь перемешивают при комнатной температуре в течение ночи. Реакционную смесь обрабатывают водным раствором хлорида аммония и распределяют между этилацетатом и 1н. соляной кислотой. Слой этилацетата промывают последовательно 1н. соляной кислотой, водным раствором бикарбоната натрия и раствором соли, сушат над сульфатом магния и упаривают в вакууме. Остаток хроматографируют (н-гексан-этилацетат) на силикагеле, получая 2-[транс-1-гидрокси-2-(3-метоксибензил)циклогексил] -4,5-дифенилоксазол (594 мг) в виде пасты. ИК (чистый): 3400, 1600 см-1 ЯМР (CDCl3, ): 1.5-1.9(6H, br,m), 2.1-2.26(2H,m), 3.05-3.11(1H,brm), 3.56(1H, s), 3.75(3H,s), 6.69-6.76 (3H,m), 7.11-7.20(1H,m), 7.33-7.44(6H,m), 7.58-7.72 (4H, m)(+) APCI масс спектр: 440 (М+ +1) Получение 48 Следующее соединение получают способом, аналогичным получению 47. 2-[транс-1-Гидрокси-2-(3-метоксифенил) циклогексил]-4,5-дифенилоксазол ИК (чистый): 3350, 1590 см-1 ЯМР (CDCl3, ): 1.5-1.6(1H, br), 1.86-2.04(4H, brm), 2.17-2.48(3H, brm), 2.92-3.00(1H, m), 3.39(1H, s), 3.61 (3H,s), 6.4-6.7(3H,m), 7.07-7.16(1H,m), 7.31-7.40 (6H, m), 7.49-7.70 (4H, m)(+) APCI масс спектр: 426 (М+ +1) Получение 49 Раствор 2-(2-бромфенил)-4,5-дифенилоксазола (3,0 г) в тетрагидрофуране (15 мл) добавляют по каплям к перемешиваемой смеси магния (213 мг) и следовых количеств иода в тетрагидрофуране (15 мл) при комнатной температуре в атмосфере азота и полученную смесь перемешивают при 70oC 3 ч. Реакционную смесь медленно добавляют к раствору 3-бензилоксибензальдегида (1,69 г) в тетрагидрофуране (6 мл) при охлаждении сухим льдом-ацетоном и в атмосфере азота. Полученную смесь перемешивают при той же температуре 3 ч и при комнатной температуре в течение ночи, обрабатывают водным раствором хлорида аммония и распределяют между этилацетатом и 0,5н. соляной кислотой. Органический слой промывают водным раствором бикарбоната натрия и раствором соли, сушат над сульфатом магния и упаривают в вакууме. Остаток хроматографируют (н-гексан-этилацетат) на силикагеле, получая 2-(4,5-дифенил-2-оксазолил)-3′-бензилоксибензгидрол (22,1 г) в виде пасты. ИК (чистый): 3300, 1590 см-1 ЯМР (CDCl3, ): 4.95-4.98(2H,m), 6.24(1H, brm), 6.85-6.94(2H,m), 7.16-7.52(16H,m), 7.64-7.69(4H,m), 8.08-8.13(1H,m)(+) APCI масс спектр: 510 (M+ +1) Получение 50 Смесь транс-1-(4,5-дифенил-2-оксазолил)-2- (3-метокси-бензил)циклогексанола (580 г) и DL-метионина (1,97 г) в метансульфокислоте (8,1 мл) перемешивают при комнатной температуре 15 ч. После добавления дополнительного количества метионина (1,97 г) и метансульфокислоты (8,1 мл) реакционную смесь перемешивают при 50oC 5 ч и распределяют между этилацетатом и водой. Органический слой промывают последовательно водой (дважды), водным раствором бикарбоната натрия, раствором соли, сушат над сульфатом магния и упаривают в вакууме. Остаток хроматографируют (н-гексан-этилацетат) на силикагеле, получая транс-1-(4,5-дифенил- 2-оксазолил)-2-(3-гидроксибензил)циклогексанол (357 мг) в виде аморфного порошка. ИК (неразбавлен.): 3300, 1590 см-1 ЯМР (CDCl3, ): 1.3-1.9 (8H, brm), 2.07-2.26(2H,m), 3.02-3.07(1H,m), 3.54(1H, br), 6.62-6.74(3H, m), 7.06-7.14(1H, m), 7.35-7.45(6H,m), 7.58-7.72(4H,m).
(+) APCI масс спектр: 426 (М+ +1)Получение 51 Следующие соединения получают способом, аналогичным получению 50. 1) транс-2-[1-Гидрокси-2-(3-гидроксифенил)циклогексил] -4,5-дифенилоксазол ИК (чистый): 3350, 1600 см-1 ЯМР (CDCl3, ): 1.50(2H, brm), 1.86-2.04(4H, brm), 2.15-2.35(2H, brm), 2.88(1H, dd, J =13.1 Гц, 3.5 Гц), 3.54(1H,s), 5.48(1H, br), 6.40-6.49(3H, m), 6.92-7.25(1H, m), 7.31-7.40(6H,m), 7.50-7.58(4H,m)(+) APCl масс спектр: 412 (М+ +1) 2) цис-2-[1-Гидрокси-2-(3-гидроксифенилметил)-циклогексил] -4,5-дифенилоксазол ИК (нуйол): 3420, 1600 см-1 ЯМР (CDCl3, ): 1.2-1.9(8Н, br), 2.29-2.65(3H,m), 3,58 (1H,s), 5.33(1H, br), 6.49-6.66(3H, m), 6.97-7.04(1H, m), 7.26-7.42(6H,m), 7.46-7.51(2H,m), 7.59-7.65(2H,m)(+) APCI масс спектр: 426 (M+ +1) Получение 52 Следующее соединение получают способом, аналогичным получению 5. 2-[2-(3-Гидроксифенилметил) циклогексил]-4,5-бис-(4-метилфенил)оксазол ИК (чистый): 3300, 1595 см-1 ЯМР (CDCl3, ); 1.3-2.3(8H, brm), 2.37(6H, s), 2.4-3.2 (4H, brm, 6.57-6.67(3H,m), 6.99-7.17(5H,m), 7.30-7.60(4H, м)(+) APCI масс спектр: 438 (М+ +1) Получение 53 Следующие соединения получают способом, аналогичным получению 9. 1) 2-[6-(3-Гидроксифенилметил)-1-циклогексен-1-ил] -4,5-бис(4-метилфенил)оксазол ИК (чистый): 3450, 1600 см-1 ЯМР (CDCl3, ); 1.38-1.84 (4H, brm), 2.27(2H, br), 2.36 (6H,s), 2.42-2.53(1H, brm), 3.11-3.26(2H, brm), 5.69 (1H, br), 6.65(1H, dd, J = 2.4 Гц, 7.9 Гц), 6.80-6.90 (3H, brm), 7.08-7.25 (5H, brm), 7.47-7.59(4H, brm)(+) APCI масс спектр: 468 (М+ +1) 2) 2-[5-(3-Гидроксифенилметил)-1-циклопентен-1-ил]-4-,5- бис-(4-метилфенил) оксазол ИК (чистый): 3200, 1595 см-1 ЯМР (CDCl3, ): 1.76-1.84(1H, m), 1.87-2.04(1H,m), 2.36(6Н,s), 2.40-2.68(3H, brm), 3.30(1H,dd, J = 13.4 Гц,3.9 Гц), 3.52(1H, br), 5.90(1H,s), 6.58-6.80(4H,m), 7.06-7.25(5H,m), 7.46-7.57(4H,m) (+) APCI масс спектр: 422 (М+ +1) Получение 54 Раствор 2-(4,5-дифенил-2-оксазолил)-3′- бензилоксибензгидрола (650 мг) в этилацетате (3 мл), метанол (3 мл) и 10% хлористый водород в метаноле (0,3 мл) перемешивают в присутствии 10% палладия на углероде-воды (50/50 вес.%) (400 мг) и водорода при атмосферном давлении и комнатной температуре в течение 10 ч. Реакционную смесь фильтруют и фильтрат упаривают в вакууме. Остаток хроматографируют (толуол-этилацетат) на силикагеле, получая 3-[2-(4,5-дифенил-2-оксазолил) фенил] метил фенол (150 мг) в виде бесцветного порошка. Т.пл.: 180.7-183.0oC ИК(нуйол): 3150, 1600 см-1 ЯМР (CDCl3, ): 4.57(2H,s), 6.63-6.67(2H,m), 6.77-6,81 (1H,m), 7.09-7.18(1H,m), 7.26-7.42(9H,m), 7.54-7.60(2H,m), 7.68-7.73(2H,m), 8.09-8.14(1H, m)(+) APCI масс спектр: 404 (М+ +1) Пример 1 Смесь 2-[2-[(3-гидроксифенил)метил]циклогексил]-4,5-дифенилоксазола (320 мг), этилбромацетата (0,13 мл) и карбоната калия (270 мг) в ацетонитриле (3,0 мл) перемешивают при комнатной температуре в течение ночи и добавляют смесь этилацетата и воды. Органический слой отделяют, промывают водой (дважды) и раствором соли, сушат над сульфатом магния и упаривают в вакууме. Масляный остаток хроматографируют на силикагеле, используя н-гексан-этилацетат в качестве элюента. Первичный элюат дает цис- или транс-1-[(3-этоксикарбонилметоксифенил)метил] -2-(4,5-дифенилоксазол-2-ил) циклогексан (изомер А) (79 мг) в виде порошка. ИК (пленка): 1755, 1600 см-1 ЯМР (CDCl3, ): 1.27(3H, t, J=7.1 Гц), 1.3-1.6(3H,m), 1.7-2.15(5H,m), 2.31(1H, m), 2.5-2.7(2H,m), 3.21(1H, m), 4.23(2H, q, J =7.1 Гц), 4.52(2H,s), 6.6-6.8(3H, m), 7.15(1H, t, J = 7.6 Гц), 7.2-7.4(6H,m), 7.5-7.6 (2H, m), 7.6-7.7(2H, m).
(+) APCI масс спектр (m+/Z): 496 (M+ +1)Второй элюат дает транс- или цис-1-[(3-этоксикарбонил-метоксифенил)метил] -2-(4,5-дифенилоксазол-2-ил) циклогексан (изомер В) (128 мг) в виде масла. ИК (пленка): 1755, 1600 см-1 ЯМР (CDCl3, ): 1.0-1.1 (1H,m), 1.2-1.4(3H, уширен.), 1.26(3H, t, J =7.1 Гц), 1.77(4H, m), 2.10(1H, m), 2.3-2.4(1H,m), 2.6-2.7(2H, m), 4.23(2H, q, J =7.1 Гц), 4.48 (2H, s), 6.6-6.8 (3H, m), 7.12 (1H, t, J=7,8 Гц), 7.2-7.4(6H, m), 7.5-7,7(4H,m)(+) APCI масс спектр (m+/Z): 496 (М+ +1) Изомер А отличается от изомера В конфигурацией. Пример 2 Смесь изомера А (65 мг), полученного в примере 1, и 1н. водного раствора гидроокиси натрия (0,2 мл) в 1,2-диметоксиэтане (1 мл) перемешивают при комнатной температуре 2 часа, нейтрализуют 1н. соляной кислотой, разбавляют водой и экстрагируют этилацетатом. Экстракт промывают раствором соли, сушат над сульфатом магния и упаривают в вакууме. Остаток растирают с н-гексаном, получая цис- или транс-1-[(3-карбоксиметоксифенил) метил]-2-(4,5-дифенилоксазол-2- ил)циклогексан (изомер C) (60 мг) в виде бесцветного аморфного порошка. Т.пл.: 59.2-65.9oC ИК (нуйол + CHCl3): 1740, 1600 см-1 ЯМР (DMCO-d6, ): 1.49(4H, m), 1.79(4H,m), 2.60(1H,m) 2.5-2.6(2H,m), 3.20(1H,m), 4.57(2H,s), 6.6-6.7(3H, m), 7.1-7.2(1H,m), 7.3-7.6(10H,m)Масс спектр (m+/Z): 468 (М+ +1) Элем. анализ, рассчитано для C30H29NO4 0,5H2OC 75.61; H 6.35; N 2.94 найдено: C 75.54; H 6.45; N 2.82 Пример 3 Следующее соединение получают обработкой изомера В, полученного в примере 1, способом, аналогичным примеру 2. транс- или цис-1-[(3-Карбоксиметоксифенил)метил]-2-(4,5- дифенилоксазол-2-ил)циклогексан (изомер D) Т.пл.: 54.7 – 61.7oC ИК (нуйол + CHСl3): 1730, 1600 см-1 ЯМР (DМСО-d6, ): 1.1-1.3 (4H, уширен.), 1.73(4H, уширен.), 2.04(1H, уширен. ), 2.3-2.4(1H,m), 2.6-2.7(2H, m), 4.54(2H, s), 6.6-6.7(3H, уширен.), 7.1-7.2(1H, уширен.), 7.1-7.2(1H, уширен.), 7.4-7.6(10H,m)Анализ, рассчитано для C30H29NO4 0,4H2O:C 75,90; H 6.33; N 2.95 найдено: C 75,86; H 6.37; N 2.81 Изомер D отличается от изомера C, полученного в примере 2, конфигурацией. Пример 4 К раствору смеси 1-(4,5-дифенилоксазол-2-ил)-2-(3-метоксибензил)циклопентена и 1-(4,5-дифенилоксазол-2-ил)-5-(3- метоксибензил)циклопентена (2 г) в метиленхлориде (30 мл) добавляют трибромид бора в метиленхлориде (1М, 9,8 мл) при oC. После перемешивания в течение 2 ч при 0oC растворитель упаривают в вакууме, получая остаток, содержащий смесь 1-(4,5- дифенилоксазол-2-ил)-2-(3-гидроксибензил) циклопентена и 1-(4, 5-дифенилоксазол-2-ил)-5-(3-гидроксибензил)-циклопентена. Остаток растворяют в этилацетате и раствор промывают водой и раствором соли. Высушенный растворитель упаривают в вакууме. Масляный остаток растворяют в N,N-диметилформамиде (20 мл). К раствору добавляют карбонат калия (2,0 г) и этилбромацетат (2,2 мл) и полученную смесь перемешивают 3 ч при комнатной температуре. Реакционный раствор распределяют между этилацетатом и водой и органический слой промывают водой и раствором соли, сушат над сульфатом магния и упаривают в вакууме. Масляный остаток хроматографируют на силикагеле, используя н-гексан-этилацетат в качестве элюента. Первая фракция дает этил [3-[[2-(4,5-дифенилоксазол-2-ил)-1-циклопентен-1-ил]метил]фенокси] ацетат (0,38 г). ИК (чистый): 1750 см-1 ЯМР (CDCl3 ): 1.29 (3H, t, J =7.0 Гц), 1.8-2.0(2H, m), 2.4-2.6(2H, m), 2.9-3.1(2H, m), 4.10(2H, brs), 4.21 (2H, q, J =7,0 Гц), 4.50 (2H,s), 6.6-7.0(3H, m), 7.1-7.5(7Н, m), 7.5-7.8(4H,m).
масс спектр: 480 (М+ +1)Вторая фракция дает этил [3-[[2-(4,5-дифeнилoкcaзoл- 2-ил)-2-циклопентен-1-ил)метил]-фенокси]ацетат (0,55 г). ИК (чистый): 1750 см-1 ЯМР (CDCl3, ): 1.31(3H, t, J=7.0 Гц), 1.8-2.2 (2H, m), 2.3-2.7(3H,m), 3.3-3.6(2H, m), 4.23(2H, q, J= 7.0 Гц), 4.57(2H,s), 6.6-7.0(4H,m)), 7.1-7.5(7Н,m), 7.5-7.8(4H, m)Масс спектр: 480 (M+ +1) Пример 5 Суспензию 2-[6-[(3-гидроксифенил]метил]-1- циклогексен-1-ил]-4,5-дифенилоксазола (885 мг), этилбромацетата (399 мг) и карбоната калия (360 мг) в N, N-диметилформамиде перемешивают при комнатной температуре 3 дня и распределяют между этилацетатом и водой. Органический слой отделяют, промывают водой (дважды) и раствором соли, сушат над сульфатом магния и упаривают в вакууме. Масляный остаток чистят колоночной хроматографией на силикагеле (н-гексан-этилацетат (20: 1)), получая этил [3-[[2-(4,5-дифенил-2-оксазолил)-2-циклогексен-1- ил]метил]фенокси]ацетат (847 мг) в виде твердого продукта. ИК (чистый): 1710, 1590 см-1 ЯМР (CDCl3, ): 1.29(3H, t ,J=7.1 Гц), 1.4-1.75(4H, brm), 2.30(2H, brm), 2.52(1H, dd, J = 13,0, 10.4 Гц), 3.13 (1H, brm), 3.29(1H, dd, J =13.1 Гц, 3.2 Гц), 4.26(2H, q, J= 7.1 Гц), 4.59(2H,s), 6.71-6.76(1H,m), 6.90-7.17(3H, br), 7.21-7.44(6H,m), 7.60-7.74(4H,m)Масс спектр ((+) APCl): 494 (М+ +1) Пример 6 К раствору смеси (300 мг) этил [3-[{2-(4,5- дифенилoксазол-2-ил)-1-циклопентен-1-ил} метил] фенокси ацетата и этил [3-[{2-(4,5-дифенилоксазол-2-ил)-2- циклопентен-1-ил} метил] фенокси]-ацетата в метиленхлориде (10 мл) добавляют карбонат натрия (100 мг) и м-хлорнадбензойную кислоту (200 мг) при 0oC. После перемешивания в течение 2 ч реакционную смесь промывают водой и раствором соли и сушат над сульфатом магния. После упаривания растворителя остаток, содержащий смесь этил [3-[{2-(4,5-дифенилоксазол-2-ил}-1,2- эпоксициклопентан-1-ил] метил] фенокси] ацетата и этил [3-[{2-(4,5-дифенилоксазол-2-ил)-2,3-эпоксициклопентан-1-ил} метил] фенокси]ацетата, растворяют в смеси этилацетат-этанол (20 мл – 10 мл), и добавляют 10% палладий на углероде (50 мг). После перемешивания в течение 6 ч в атмосфере водорода реакционную смесь фильтруют. Растворитель упаривают в вакууме, остаток хроматографируют на силикагеле. Первая фракция дает этил[3-[{2-(4,5-дифенилоксазол-2-ил)-1-гидроксициклопентан-1- ил]метил]фенокси]ацетат (70 мг). ИК (чистый): 3200-3300, 1750 см-1 ЯМР (CDCl3, ): 1.26(3H, t, J=7.6 Гц), 1.5-2.3(6H, m), 2.9-3.3(3H,m), 4.22(2H, q, J =7.6 Гц), 4.39(2H,s), 6.5-7.0(4H,m), 7.0-7.8(10H,m)Масс спектр: 498 (М++1) Вторая фракция дает этил [3-[{2-(4,5-дифенилоксазол-2-ил)-3- гидpoкcициклoпентaн-1-ил}метил]фенoкcи]ацетат (110 мг). ЯМР (CDCl3, ): 1.26 (3H, t, J=7,6 Гц), 1.5-2.4(5H, m), 2.60(1H, d, J = 12 Гц), 2.87(1H, d, J=12 Гц), 4.22 (2H, q, J=7.6 Гц), 4.50(2H,s), 6.5-7.0 (4H,m), 7.0-7.8 (10H,m)Масс спектр: 498 (М+ +1) Пример 7 К раствору этил [3-[[2-(4,5-дифенилоксазол-2-ил) -2- циклопентен-1-ил] метил] фенокси]ацетата (400 мг) в этаноле (20 мл) добавляют 1н/ раствор гидроокиси натрия (0,83 мл). После перемешивания в течение 8 ч, растворитель упаривают в вакууме. Остаток растирают с диэтиловым эфиром, получая натрий [3-[[2-[4,5-дифенилоксазол-2-ил)-2-циклопентен-1ил]метил]фенокси]ацетат (350 мг). ИК (нуйол): 3400, 1600 см-1 ЯМР (DMCO-d6, ): 1,6-2.1(2H, m), 2.4-2.6(3H,m), 3.38 (2H,s, 4.08(2H, brs), 6.6-6.8(4H,m), 7.0-7.2(1H, m), 7.3-7.8 (10H, m)FAB масс спектр: 474 (М+ +1) Пример 8 Следующие соединения получают способом, аналогичным примеру 7. 1) Натрий [3-[{2-(4,5-дифенилоксазол-2-ил)-1-циклопентен-1-ил}метил]фенoкcи]ацетат ЯМР (DМСО-d6, ) : 1.8-2.0(2H, m), 2.8-3.0(2H,m), 4.03 (4H,m), 6.5-6.8(3H, m), 7.12(1H, t, J = 8 Гц), 7.3-7.8(10Н, m)FAB масс спектр: 474 (М++ 1) 2) Натрий [3-[{2-(4,5-дифенилоксазол-2-ил)-1-гидроксициклопентан- 1-ил} метил]фенокси]ацетат ИК (нуйол): 1600 см-1 ЯМР (DМСО-d6, ): 1,4-2,2(4H,m), 2,8-3,2(2H,m), 4.04 (2H,s), 6.6(2H,m), 6.9(1H,m), 7.1(1H,m), 7.2-8.0 (10H, m).
FAB масс спектр: 492 (М+ +1)3) Натрий [3-[{2-(4,5-дифенилоксазол-2-ил)-3-гидрокси- циклопент-1-ил} метил]фенокси]ацетат ИК (нуйол): 1600 см-1 ЯМР (DМСО-d6, ): 1.4-2.0(4H,m), 2.0-2.3(2H,m), 4.01 (2H,s), 6.4-6.8(3H, m), 7.02(1H,t, J =8.0 Гц), 7.2-7.9 (10H, m)FAB масс спектр: 492 (М+ +1) Пример 9 Раствор этил [3-[[2-(4,5-дифенил-2-оксазолил)-2- циклогексен-1-ил]метил] фенокси] ацетата (355 мг) и 1н. водного раствора гидроокиси натрия (0,71 мл) в 1,2-диметоксиэтане (6 мл) и этаноле (6 мл) перемешивают при комнатной температуре 2 ч и упаривают в вакууме. Твердый остаток промывают диэтиловым эфиром, получая натрий [3-[[2-(4,5-дифенил-2- оксазолил)-2-циклогексен-1-ил] метил]фенокси]ацетат (308 мг) в виде бледно-желтого порошка. Т.пл.: 244-249oC (разл.) ИК (нуйол): 1625, 1590, 1250 см-1 ЯМР (DМСО-d6, ): 1.35-1.85(4H,m), 2.15-2.65(3H,m), 2.95-3.2 (2H, m), 4.08 (2H, s), 6.65 (1H, br d, J = 8.0 Гц), 6.77-6.81 (2H, m), 7.10 (1H, m), 7.14 (1H, t, J = 8.0 Гц), 7.37-7.52 (6H, m), 7.59-7.70 (4H, m)FAB масс спектр (m/Z): 488 (М+ +1), 510 (М+ +Na) Элем.анализ: рассчитано для C30H26NNaO4 0,9H2O;C 71.53; H 5.56; N 2.78 найдено: C 71.43; H 5.52; N 2.74 Пример 10 К раствору смеси (400 мг) этил [3-[{2-(4,5-дифенилоксазол-2-ил)- 1-циклопентен-1-ил} метил] фенокси]ацетата и этил [3-[{2-(4,5-дифенилоксазол-2-ил)-2-циклопентен-1-ил} – метил]фенокси]ацетата в смеси этанола (10 мл) и этилацетата (10 мл) добавляют 10% палладий на углероде (50 мг). После перемешивания в течение 6 ч в атмосфере водорода реакционную смесь фильтруют. Растворитель упаривают в вакууме, получая остаток, содержащий смесь этил [2-[{ (1RS, 2RS)-2-(4,5-дифенилоксазол-2-ил) циклопентан-1-ил}метил]фенокси] ацетата и этил[3-[{(1RS,2RS) 2-(4,5-дифенилоксазол -2-ил)циклопентан-1-ил} метил] фенoкcи]aцетaтa. Остаток растворяют в этаноле (20 мл) и добавляют 1н. раствор гидроокиси натрия (0,80 мл). После перемешивания в течение 8 ч растворитель упаривают в вакууме. Остаток растирают с диэтиловым эфиром, получая смесь (350 мг) натрий [3-[{(1RS, 2RS) -2-(4,5-дифенилоксазол-2-ил)циклопентан-1-ил} метил]фенокси]ацетата и натрий [3-[{(1RS, 2SR)-2-(4,5-дифенилоксазол-2-ил)-циклопентан-1-ил} метил]фенокси]ацетата. ЯМР (DМСО-d6, ): 1.2-2.4(6H,m), 2.4-2.7(2H,m), 2.7-2.9(1H,m), 4.05(2H, s), 6.5-6.9(3H,m), 7.05(1H, t, J = 8.0 Гц), 7.3-7.9 (10Н, m)FAB масс спектр: 476 (М++1) Пример 11 Смесь (200 мг) натрий [3-[{(1RS, 2SR)-2-(4,5- дифенилоксазол-2-ил)циклопентан-1-ил} метил]фенокси]ацетата (транс-соединение) и натрий [3-[{ (1RS, 2RS)-2-(4,5- дифенилоксазол-2-ил)циклопентан-1-ил}метил]фенокси] ацетата (цис-соединение) разделяют ВДЖХ, получая транс-соединение (20 мг) и цис-соединение (110 мг). транс соединение ЯМР (DМСО-d6, ): 1.2-2.4(6H, m), 2.4-3.0(3H,m), 4.00 (2H, s), 6.5-6.8 (3H, m), 7.04 (1H, t, J = 8.0 Гц), 7.3-7.9 (10H, m)цис соединение ЯМР (DМСО-d6, ): 1.4-2.4(6H,m), 4.00(2H,s), 6.5- 6.8(3H, m), 7. 04 (1H, t, J = 8.0 Гц), 7.3-7.9 (10H, m)Пример 12 Следующие соединения получают аналогично способу примера 4. 1) Этил [3-[2-(4,5-дифeнилoкcaзoл-2-ил)циклoпpoпaн- 1-ил]-фенокси]ацетат ИК (чистый): 1720 см-1 ЯМР (CDCl3, ): 1.26(3H, t, J = 7.0 Гц), 1.4-1.6(1H,m), 1.7-1.9(1H,m), 2.3-2.5(1H, m), 2.6-2.8(1H, m), 4.25(2H, q, J = 7.0 Гц), 4.61 (2H,s), 6.7-6.9(3H,m), 7.1-7.8 (11H,m)Масс спектр: 440 (M++1 ) 2) Этил [3-[2-[(4,5-дифeнилoкcaзoл-2-ил)мeтил] -1-циклoпентен-1-ил]фенокси]ацетат ИК (чистый): 1740, 1600 см-1 ЯМР (CDCl3, ): 1.27(3H, t, J = 7 Гц), 1.8-2.0(2H,m), 2.4-2.8 (4H, m), 3.76 (2H, s), 4.20(2H, q, J = 7Гц), 4.68(2H, s), 6,6-6.9(1H,m), 7.0-7.2(2H, m), 7.2-7.8(11H, m)Масс спектр: 480 (М++1) 3) Этил [3-[2-[(4,5-дифенилоксазол-2- ил)метилен]циклогексан-1-ил]фенокси]ацетат ИК (чистый): 1750, 1640 см-1 ЯМР (CDCl3, ): 1.22(3H, t, J = 7Гц), 1.5-2.5(7H, m), 3.3-3.6(1H, m), 3.7-4.0(1H, m), 4.17(2H, q, J = 7 Гц), 4.62(2H,s), 6.7-7.0(3H, m), 7.2-7.8(11H, m)Масс спектр: 494 (М+ +1) 4) Этил [3-[2-[(4,5-дифeнилoкcaзoл-2-ил)мeтил]-1- циклогексен-1-ил]фенокси]ацетат ИК (чистый): 1750 см-1 ЯМР (CDCl3, ): 1.22(3H, t, J = 7 Гц), 1.6-1.8(4H,m), 2.0-2.4(4H,m), 3.46(2H, s), 4.20(2H, q, J = 7 Гц), 4.59(2H, s), 6.7- 7.0(3H,m), 7.2-7.8(11H m)Масс спектр: 494 (M++1) 5) 2-[2-[3-Этоксикарбонилметоксибензил] циклогексилиден] -метил]-4,5-дифенилоксазол ИК (чистый): 1750, 1650, 1610 см-1 ЯМР (CDCl3, ): 1.24(3H, t, J=7.0 Гц), 1.3-1.9(6H,m), 2.2-3.0(5H, m), 4.25(2H, q, J = 7,0 Гц), 4.68(2H,s), 6.11 (1H, s), 6.6-6.9(3H, m), 7.0-7.8(11H, m)Масс спектр: 508 (М++1) 6) Этил [3-[[3-(4,5-дифенилоксазол-2-ил)циклогексан-1- ил]мeтил]фeнoкcи] ацетат ИК (чистый): 1750, 1605 см-1 ЯМР (CDCl3, ): 1.29(3H, t, J= 7 Гц), 0.9-2.4(9Н, m), 2.5-2.7(2H,m), 2.8-3.3(1H, m), 4.25(2H, q, J =7 Гц), 4.57, 4.60(2H, каждый s), 6.6-6.9(3H, m), 7.0-7.8(11H, m)Масс спектр: 496 (М++1) 7) Этил [3-[3-(4,5-дифенилоксазол-2-ил)циклопентан-1-ил]- фенокси]ацетат ИК (чистый): 1750, 1600 см-1 ЯМР (CDCl3, ): 1,28 (3H, t, J = 7Гц), 1.8-2.6 (6H,m), 3.1-3.8 (2H,m), 4.28 (2H, q, J = 7 Гц), 4.61, 4.62 (2H, каждый s), 6.6-7.0 (3H,m), 7.2-7.8(11H, m)Масс спектр: 468 (M++1) 8) Этил [3-[3-(4,5-дифенилоксазол-2-ил)циклогексан-1-ил] фенокси]ацетат ИК (чистый): 1750, 1605 см-1 ЯМР (CDCl3, ): 1.29(3H, t, J =7 Гц), 1.4-2.9(9Н,m), 2.9-3.1 (1H, m), 4.28(2H, q, J = 7 Гц), 4.61(2H, s), 6.6- 7.0 (3H, m), 7.2-7.8(11H,m)Масс спектр: 482 (М+ +1) 9) Этил [3-[[(1R)-2-(4,5-дифенилоксазол-2-ил)-2-циклогексен-1-ил]метил] фенокси]ацетат ВДЖХ (хиралцел AD, 5% изопропанол/гексан, 1 мл/мин); rt =11.9 мин 10) Этил [3-[[(1S)-2-(4,5-дифенилоксазол-2-ил)-2- циклогексен-1-ил]метил]фенокси]ацетат ВДЖХ (хиралцел AD, 5% изопропанол/гексан, 1 мл/мин); rt = 6.9 мин Пример 13 К раствору (+)-(5S)-1-(4,5-дифенилоксазол-2-ил)-5-(3- метоксибензил)циклопентена (2,33 г) в метиленхлориде (10 мл) добавляют трибромид бора в метиленхлориде (1М, 9 мл) при 0oC. После 3,5-часового перемешивания при этой температуре реакционную смесь промывают водой и насыщенным водным раствором бикарбоната натрия. Сушка (сульфат натрия) и удаление растворителя приводят к желтому сиропу, содержащему (+) -(5S)-1-(4,5-дифенилоксазол- 2-ил)-5-(3-гидроксибензил) циклопентен. Ацетонитрильный раствор (20 мл) желтого сиропа, карбонат калия (1,30 г), метилбромацетат (0,98 г) и иодид калия (каталитическое количество) перемешивают при температуре кипения 3,5 ч. Растворитель упаривают в вакууме и остаток распределяют между этилацетатом и 1н. соляной кислотой. Органический слой промывают 1н. соляной кислотой, водой и раствором соли. Сушка (сульфат натрия) и удаление растворителя при пониженном давлении с последующей флэш хроматографией на 50 г двуокиси кремния приводят к (+)-метил [3-[[(1S)-2-(4,5- дифенилоксазол-2-ил)-2-циклопентен-1-ил] метил] фенокси]ацетату (2, 10 г, 98,2% исключая ошибки) в виде желтого масла. [ ]D: +51.68o (C=1,085, CH2Cl2)ИК(пленка): 1735, 1700, 1650, 1600 см-1 ЯМР (CDCl3, ): 1.79-1.90(1H, m), 1.95-2.15(1H, m), 2.41-2.44(2H,m), 2.61(1H, dd, J = 13.3 Гц, 9.5 Гц), 3.39 (1H, dd, J = 13.3 Гц, 4.1 Гц), 3.55 (1H, m), 3.78(3H, s), 4.59(2H,s), 6,69-6.92(4H,m), 7.15-7.42(7H,m), 7.59-7.72(4H,m)Масс (APCI) m/e: 466 (М+ +1) Пример 14 Следующее соединение получают способом, аналогичным примеру 13. (-)-Метил [3-[[(1R)-2-(4,5-дифенилоксазол-2-ил)-2- циклопентен-1-ил] метил]фенокси]ацетат [ ]D: -48.22o (C=1.065, CH2Cl2)ИК (пленка): 1735, 1700, 1650, 1600 см-1 ЯМР (CDCl3, ): 1.79-1.90(1H, m), 1.95-2.15(1H, m), 2.41-2.44(2H,m), 2.61(1H, dd, J = 13.3 Гц, 9.5 Гц), 3.39(1H, dd, J = 13.3 Гц, 4.1 Гц), 3.55 (1H, m), 3.78 (3H, s), 4.59(2H,s), 6.69-6.92(4H,m), 7.15-7.42(7H,m), 7.59- 7.72(4H,m)Масс спектр (APCI) m/е: 466 (М++1) Пример 15 Следующие соединения получают способом, аналогичным примеру 5. 1) Этил 3′-(4,5-дифенил-2-оксазолил)-3-дифенилилоксиацетат ИК(нуйол): 1745, 1605 см-1 ЯМР (CDCl3, ): 1.30(3H, t, J=7.1 Гц), 4.30(2H, q, J = 7.1 Гц), 4.71 (2H, s), 6.94- 6.95(1H,m), 7.25-7.45(9Н, m), 7.55-7.77(6Н,m), 8.13-8.17(1H, m), 8.35-8.37(1H,m)(+) APCI масс спектр: 476 (М+ +1) 2) Этил [3-[транс-2-гидрокси-2-(4,5-дифенил-2-оксазолил)-циклогексил] фенокси]ацетат ИК(чистый): 3450, 1755, 1600 см-1 ЯМР(CDCl3, ): 1.29(3H, t, J =7.1 Гц), 1.58(1H,brm), 1.86- 2.04(4H, brm), 2.23-2.37(3H, brm), 2.91-2.99(1H, dd, J = 13.1 Гц, 3.5 Гц), 3.35(1H, s), 4.26(2H, q, J = 7.1 Гц), 4.41 (2H,s), 6.5-6.7(3H, m), 7.07-7.25(1H,m), 7.31-7.39(6Н, m), 7.50-7.58 (4H,m)(+) APCI масс спектр: 498 (М+ +1) 3) Метил [3-[[транс-2-гидрокси-2-(4,5-дифенил-2-оксазолил)-циклогексил] метил]фенокси]ацетат ИК (чистый): 3430, 1760, 1600 см-1 ЯМР (CDCl3, ): 1.3-2.0 (7Н, brm), 2.04-2.20 (3H, m), 3.06- 3.11 (1H, brm, 3.47(1H,s), 3.79(3H,s), 4.58(2H,s), 6.68- 6.82(3H,m), 7.13-7.18(1H,m), 7.3-7.4(6H,m), 7.6-7.7(4H,m)(+) APCI масс спектр: 498 (М++1) 4) Этил [3-[[2-4,5-бис(4-метилфенил)-2-оксазолил]-2- циклогексен-1-ил] метил]фенокси]ацетат ИК (чистый): 1735, 1590 см-1 ЯМР (CDCl3, ): 1.29(3H,t, J=7.1 Гц), 1.39-1.74(4H, brm), 2.29-2.37(2H, brm), 2.45-2.69(1H, brm), 3.11-3.32(2H, brm), 4.26(2H, q, J =7.1 Гц), 4.59(2H, s), 6.71-6.76(1H, m), 6.86-6.99(3H, m), 7.15-7.20(5H,m), 7.37-7.62(4H,m)(+) APCI масс спектр: 522 (M++1) 5) Этил [З-[[2-[4,5-бис(4-метилфенил)-2-оксазолил]1-2- циклопентен-1-ил] метил]фeнoкcи]aцeтaт ИК (чистый): 1750, 1590 см-1 ЯМР (CDCl3 ): 1.28(3H, t, J=7.1 Гц), 1.78-1.87 (1H, m), 1.89-2.13(1H, m), 2.38(6H,s), 2.43-2.64(3H, brm), 3.35- 3.53(2H, brm), 4.25(2H, q, J = 7.1 Гц), 4.58(2H,s), 6,67- 6.75(2H,m), 6,83-6.91(2H,m), 7.15-7.25(5H,m), 7.48-7.60 (4H, m)(+) APCI масс спектр: 508 (М+ +1) 6) Этил [3-[[цис-2-гидрокси-2-(4,5-дифенил-2-оксазолил)циклогексил]метил] фенокси]ацетат ИК (нуйол): 3465, 1740, 1600 см-1 ЯМР (CDCl3, ): 1.28(3H, t, J =7.1 Гц), 1.4-1.9(8H, br), 2.28-2.66(3H, m), 3.23(1H, s), 4.23(2H, q, J = 7.1 Гц), 4.41 (2H,s), 6.56-6.72 (3H, m), 7.07-7.11(1H, m), 7.19-7.43 (6H,m), 7.50-7.55(2H,m), 7. 61-7,66 (2H,m)(+) APCI масс спектр: 512 (M+ +1) 7) Метил [3-[[2-(4,5-дифeнил-2-oкcaзoлил)фeнил] – метил]фенокси]ацетат ИК (чистый): 1760, 1600 см-1 ЯМР (CDCl3, ): 3.74(3H,s), 4.50(2H, s), 4.61(2H,s), 6.71- 6.87(3H,m), 7.14-7.42(10H,m), 7.55-7.66(2H,m), 7.69-7.74(2H,m), 8.10-8.15(1H,m)(+) APCI масс спектр: 476 (М+ +1) Пример 16 Смесь 2-[2-(3-гидроксифенилметил)циклогексил] 4,5-бис(4-метилфенил)оксазола, этилбромацетата и карбоната калия перемешивают в ацетонитриле при комнатной температуре в течение ночи. К реакционной смеси добавляют этилацетат и воду. Органический слой отделяют и промывают водой, затем раствором соли. Органический слой сушат над сульфатом магния и упаривают, получая сырое масло. Сырое масло чистят SiO2, получая смесь этил [3-[[цис- или транс-2-[4,5-бис(4-метил-фенил)-2- оксазолил]циклогексил]метил]фенокси]ацетата (изомер G) и этил [3[[транс- или цис-2-4,5-бис(4-метил-фенил)-2-оксазолил] циклогексил]метил]фенокси]ацетата (изомер Н). Изомер G-отличается от изомера H конфигурацией. Изомер G ИК (чистый): 1760, 1600 см-1 ЯМР (CDCl3, ): 1.27 (3H, t, J = 7.1 Гц), 1.3-2.05 (8H, brm), 2.30(1H, brm), 2.37(6H, s), 2.50-2.72(2H, m), 3.20-3.23 (1H,m), 4.24(2H, q, J = 7.1 Гц), 4.53(2H,s), 6.66-6.78 (3H,m). 7.10-7.20(5H, m), 7.45-7.59(4H,m)(+) APCI масс спектр: 524 (М+ +1) Изомер H ИК (чистый): 1750, 1600 см-1 ЯМР (CDCl3, ): 1.28(3H, t, J = 7.1 Гц), 1.76 (6Н, brm), 2.1 (2H, brm), 2.29(1H, brm), 2.37(6H, s), 2.65-2.72(3H, brm), 4.24(2H, q, J=7.1 Гц), 4.49(2H,s), 6,63-6.76(3H,m), 7.07-7.18(5H, m), 7.24-7.55(4H,m)(+) APCI масс спектр: 524 (М+ +1) Пример 17 К раствору этил [3-[2-[(4,5-дифенилоксазол-2- ил)метил]-1-циклопентен] -ил] фенокси] ацетата (600 мг) в смеси ацетонитрила (10 мл) и воды (5 мл) добавляют N-метилморфолин N-оксид (0,5 мл, 60% раствор в воде) и осмий (VIII) оксид (2 мл, 2,5% раствор в т-бутиловом спирте) при комнатной температуре. После перемешивания в течение 20 ч смесь выливают в смесь этилацетата и воды. Органический слой промывают насыщенным водным раствором бикарбоната натрия и раствором соли и концентрируют, остаток чистят колоночной хроматографией на силикагеле, получая этил [3-[2-[(4,5-дифенилоксазол-2-ил)метил]-1,2- дигидроксициклопентил]фенокси]-ацетат (210 мг). ЯМР (CDCl3, ): 1,27(3H, t, J=7 Гц), 1.8-2.4(6H,m), 2.68(1H, d, J =17 Гц), 2.78(1H, d, J =17 Гц), 4.24(2H, q, J = 7 Гц), 4.50(2H, s), 6.7-7.0(3H, m), 7.0-7.8(11H,m)Масс спектр: 514 (М+ +1) Пример 18 Следующее соединение получают способом, аналогичным примеру 17. Этил [3-[2-[(4,5-дифeнилoкcaзoл-2- ил)мeтил] -1,2-дигидроксициклогексил)фенокси]ацетат ИК (чистый): 3400, 1750 см-1 ЯМР (CDCl3), ): 1,22(3H, t, J=7Гц), 1.4-2.4(8H,m), 3.00(1H, d, J=16 Гц), 3.03(1H, d, J=16 Гц), 4.12(2H, t, J =7 Гц), 4.95(2H, s), 6.6-6.8(1H,m), 7.0-7.6(10H, m)Масс спектр: 528(М+ +1) Пример 19 К раствору этил [3-[2-[(4,5-дифенилоксазол-2- ил)метил-1-циклопентен-1-ил]фенокси]ацетата (1,0 г) в метиленхлориде (20 мл) добавляют м-хлорнадбензойную кислоту (540 мг) и карбонат натрия (330 мг) при комнатной температуре. После перемешивания в течение 4 ч смесь промывают насыщенным водным раствором бикарбоната натрия и раствором соли. Высушенный растворитель упаривают и остаток чистят колоночной хроматографией на силикагеле, получая этил [3-[2-[(4,5-дифенилоксазол-2-ил)метил] -1,2-эпоксициклопентил]фенокси]ацетат (700 мг). ИК(чистый): 1750 см-1 ЯМР (CDCl3, ): 1,25(3H, t, J =7 Гц), 1.4-2.4(6H,m), 2.90(1H, d, J =14 Гц), 3.10(1H, d, J =14 Гц), 4.24(2H, q, J = 7 Гц), 4.58(2H, s), 6.7-7.0(3H, m), 7.0-7.9 (11H, m)Масс спектр (М+ +1) Пример 20 60% Гидрид натрия (18 мг) добавляют к перемешиваемому раствору этил [3-[[цис-2-(4,5-дифенил-2- оксазолил)-2-гидроксициклогексил] метил]фенокси] ацетата (210 мг) и метилиодида (58 мг) в N,N-диметилформамиде (2,5 мл) при комнатной температуре и полученную смесь перемешивают при этой температуре 40 мин. Реакционную смесь распределяют между этилацетатом и 0,1н. соляной кислотой. Органический слой промывают последовательно водой (три раза), водным раствором бикарбоната натрия и раствором соли, сушат над сульфатом магния и упаривают в вакууме. Остаток хроматографируют (н-гексанэтилацетат) на силикагеле, получая этил [3-[[цис-2-(4,5-дифенил-2-оксазолил)-2-метоксициклогексил] метил]фенокси]ацетат (110 мг) в виде бесцветного масла. ИК (чистый): 1750, 1600 см-1 ЯМР (CDCl3, ): 1.27(3H, t, J =7.1 Гц), 1.40-2.00(6H, brm), 2.14-2.27(3H, m), 2.55(1H, dd, J =13.7 Гц, 10.3 Гц), 2.84(1H, dd, J =13,7 Гц, 3.6 Гц), 3.45(3H, s), 4.24(2H, q, J =7.1 Гц), 4.50 (2H,s), 6.62(3H,m), 7.07-7.16(1H,m), 7.31- 7.41(6H, m), 7.57-7.69(4H,m)(+) APCI масс спектр: 526 (М++1) Пример 21 К раствору этил [3-[2-[(4,5-дифенилоксазол-2- ил)-метил]-1-циклопентен-1-ил]фенокси]ацетата (0,5 г) в этаноле (20 мл) добавляют 10% палладий на углероде (100 мг). После перемешивания в течение 6 ч в атмосфере водорода реакционную смесь фильтруют. Растворитель упаривают в вакууме, получая этил [3-[2-[(4,5-дифенилоксазол-2-ил)метил]-циклопентил]фенокси]ацетат (400 мг). ИК (чистый), 1750, 1600 см-1 ЯМР (CDCl3, ): 1.25(3H, t, J = 7 Гц), 1.6-2.3(6H,m), 2.3- 2.7(2H,m), 2.8-3.0(1H, m), 3.2-3.4(1H,m), 4.20(2H, q, J = 7 Гц), 4.54 (2H, s), 6.6-6.9 (3H, m), 4.20 (2H, q, J=7 Гц), 4.54(2H, s), 6.6-6.9(3H, m), 7.2-7.7(11H,m)Масс спектр: 482 (М+ +1) Пример 22 К раствору этил [3-[2-[(4,5-дифенилоксазол-2-ил)метил]-1,2-эпоксициклопентил] фенокси] ацетата (500 мг) в этаноле (20 мл) добавляют палладий на углероде (0,5 г). После перемешивания в течение 24 ч в атмосфере водорода реакционную смесь фильтруют. Растворитель упаривают в вакууме, получая этил [3-[2-[(4,5-дифенилоксазол-2-ил)метил)-2- гидpoкcициклoпентил]фенокси]ацетат (260 мг). ИК(чистый): 3400, 1750 см-1 ЯМР (CDCl3, ): 1.22(3H, t, J =7 Гц), 1.6-2.5(6H,m), 2.5-3.0(2H,m), 4.10(2H, q, J =7 Гц), 4.42, 4.47(2H, каждый s), 6.6-7.0(3H,m), 7.0-7.8(11H, m)Масс спектр: 498 (М+ + 1) Пример 23 К раствору этил [3-[2-[(4,5-дифенилоксазол-2- ил)метилен]циклогексан-1-ил]фенокси]ацетата (300 мг) в смеси этанола (10 мл) и тетрагидрофурана (10 мл) добавляют 10% палладий на углероде (50 мг). После перемешивания в течение 4 часов в атмосфере водорода реакционную смесь фильтруют. Растворитель упаривают в вакууме, получая этил [3-[2-[(4,5- дифенилоксазол-2-ил)мeтил]циклoгeкceн-1-ил]фeнoкcи]aцeтaт (210 мг). ИК (чистый): 1750 см-1 ЯМР (CDCl3, ): 1,23(3H, t, J=7 Гц), 1.2-2.2(9H,m), 2.3-2.9(3H, m), 4.17(2H, q, J = 7 Гц), 4.59(2H, s), 6.6-7.0 (3H, m), 7.1-7.7(11H, m)Масс спектр: 496 (М+ +1) Пример 24 Следующее соединение получают по способу, аналогичному примеру 23. Этил [3-[[2-[(4,5-дифенилоксазол-2-ил)метил]фенокси)-ацетат ИК (чистый): 1750 см-1 ЯМР (CDCl3, ): 1.25 (3H, t, J=7 Гц), 1.1-2.2 (9H, m), 2.2-2.6(2H,m), 2.7-3.0(2H, m), 3.0-3.2(1H, m), 4.26(2H, q, J = 7 Гц), 7.56(2H, s), 6.6-6.9(3H,m), 7.0-7.4 (7H, m), 7.4-7.8 (4H,m)Масс спектр: 510 (М+ +1) Пример 25 К раствору (+)-метил [3-[(1S)-2-(4,5- дифенилоксазол-2-ил)-2-циклопентен-1-ил] метил]фенокси]ацетата (1,92 г) в этаноле (30 мл) добавляют 1н. водный раствор гидроокиси натрия (4,1 мл). Реакционную смесь перемешивают 1 ч при комнатной температуре. К раствору добавляют диэтиловый эфир (50 мл). Осажденный твердый продукт собирают фильтрацией, получая (+)-натрий [3-[[(1S)-2-(4,5- дифенилоксазол-2-ил)-2-циклопентен-1-ил]метил]фенокси]ацетат (0,83 г). [ ]D: +71.75o (C=0.56 MeOH)Т.пл.: 220oC (разл.) ИК (нуйол): 1650, 1620, 1590 см-1 ЯМР (CD3OD, ): 1.95-2.07(2H, m), 2.50-2.67(3H,m), 3.19-3.28 (1H, m), 3.55 (1H, m), 4.31 (2H, s), 6,69-6.86(4H, m), 7.07-7.15(1H, m), 7.35-7.58(10H, m)Пример 26 Следующие соединения получают способами, аналогичными примерам 2, 7, 9 и 25. 1) Натрий [3-[2-(4,5-дифенилоксазол-2-ил)циклопропил]фенокси]ацетат ИК(нуйол): 1605 см-1 ЯМР (DMCO-d6, ): 1.5-1.9(2H, m), 2.3-2.5(1H,m), 2.5-2.7(1H,m), 4.37(2H, m), 6.7-6.9(3H,m), 7.1-7.7 (11H, m)FAB масс спектр: 434 (М+ +1) 2) Натрий [3-[2-[4,5-дифенилoкcaзoл-2-ил] метил] -1- циклопентен-1-ил] фенокси]ацетат ИК (нуйол): 1610 см-1 ЯМР (DМСО-d6, ): 1.8-2.2(2H,m), 2.4-3.0 (2H, m), 3.70(2H,s), 4.10(2H, s), 6.6-7.0(3H,m), 7.1-7.9(11H, m)FAB масс спектр: 474 (М+ +1) 3) Натрий [3-[2-[(4,5-дифенилоксазол-2-ил)метил] циклопентил] фенокси] ацетат ИК (нуйол): 1640 см-1 ЯМР (DМСО-d6, ): 1.4-2.3 (6H, m), 2.4-2.7(2H, m), 2.8-3.1 (1H, m), 3.2-3.4 (1H, m), 4.29 (2H, s), 6.6-6.9 (3H, m) 7.13 (1H, t, J = 8 Гц), 7.2-7.7 (10H, m)FAB масс спектр: 476 (M+ + 1) 4) [3-[2-[(4,5-Дифенилоксазол-2-ил)метил] -1,2- дигидроксициклопентил] фенокси]уксусная кислота ИК (чистый): 1720 см-1 ЯМР (CDCl3, ): 1.8-3.0 (8H,m), 4.30(2H,s), 6.7-7.0 (3H, m), 7.0-7.7 (11H, m)FAB масс спектр: 486 (М++1) 5) [3-[2-[(4,5-Дифенилоксазол-2-ил)метил] -2-гидроксипентил] фенокси] уксусная кислота ИК (нуйол): 1720 см-1 ЯМР (CDCl3, ): 1.4-2.2(6H, m), 2.8-3.0(1H, m), 3.2-3.4(1H,m), 4.42-4.48(2H, каждый s), 6.6-7.0(3H,m), 7.0-7.6 (11H, m)Масс спектр: 470 (М+ +1) 6) Натрий [3-[2-[(4,5-дифенилоксазол-2-ил)метилен]- циклогексил]фенокси] ацетат ИК (нуйол): 1620 см-1 ЯМР (DМСО-d6, ): 1.4-2.5 (7H, m), 3.4-3.8 (2H, m), 4.07 (2H, s), 5.52 (1H, s), 6.6-6.8 (3H, m), 7.1-7.7 (11H, m)FAB масс спектр: 488 (М+ +1) 7) Натрий [3-[2-[(4,5-дифенилоксазол-2-ил)метил] циклогексил] фенокси] ацетат ИК (нуйол): 1620 см-1 ЯМР (DМСО-d6, ): 1.2-2.0 (8H,m), 2.8-3.0(2H, m), 4.04(2H,s), 6.5-6.8 (3H,m), 7.0-7.6(11H,m)FAB масс спектр: 490(М+ +1) 8) Натрий [3-[2-[(4,5-дифенилоксазол-2-ил)метил)-1- циклогексен-1-ил] фенокси]ацетат ИК(нуйол): 1640 см-1 ЯМР (DМСО-d6, ): 1.6-1.8 (4H,m), 2.0-2.4(4H,m), 3.45(2H,s), 4.07(2H,s), 6.6-6.8(3H,m), 7.1-7.7(11H,m)FAB масс спектр: 488 (М+ +1) 9) Натрий [3-[2-[(4,5-дифенилоксазол-2-ил)метил]-1,2- дигидpoкcициклoгекcил]фенoкcи]ацетат ИК (нуйол): 1600 см-1 ЯМР (DМСО-d6, ): 1.4-2,70 (8H,m), 4.07 (2H, s), 6.6-6.8(1H, m), 7.0-7.2(3H, m), 7.2-7.6 (10H, m)FAB масс спектр: 522 (M+ +1) 10) Натрий [3-[2-[(4,5-дифенилоксазол-2-ил)метилен] циклогексилметил] фенокси]ацетат ИК (нуйол): 1630, 1600 см-1 ЯМР (DМСО-d6, ): 1.2-1.8(6H, m), 2.2-3.2(5H,m), 4.03(2H,s), 6.10(1H, s), 6.5-6.8(3H, m), 7.0-7.7(11H,m)FAB масс спектр: 502 (М+ +1) 11) Натрий [3-[2-[(4,5-дифенилoкcaзoл-2-ил)метил] – циклокгексилметил] фенокси]ацетат Ик (нуйол): 3400, 1640, 1600 см-1 ЯМР (DМСО-d6, ): 0,8-2.0(10H, m), 2.1-2.4(1H, m), 2.5- 3.3(3H,m), 4.07(2H,s), 6.5-6.8(3H,m), 7.02(1H, t, J = 8 Гц), 7.3-7.8(10Н, m)FAB масс спектр: 508 (M++1) 12) Натрий [3-[3-[4,5-дифенилоксазол-2-ил)циклогексилметил] фенoкcи] ацетат ИК(нуйол): 3300-3400, 1610 см-1 ЯМР (DМСО-d6, ): 0.8-2.2(9H,m), 4.07(2H,s), 6.5-6.8(3H, m), 7.10(1H, t, J =10), 7.2-7.7(10H, m)FAB масс спектр: 490 (М+ +1) 13) Натрий [3-[3-[(4,5-дифенилоксазол-2-ил)циклопентил]- фенокси]ацетат ИК (нуйол): 1620 см-1 ЯМР(DМСО-d6, )= 1.6-2.6(6H,m), 3.0-3.7(2H, m), 4.08 (2H,s), 6.6-6.8(3H, m), 7.13(1H, t, J = 8 Гц), 7.2-7.7 (10H, m).
FAB масс спектр: 462 (М+ +1)14) Натрий [3-[3-(4,5-дифенилоксазол-2-ил)циклогексил]- фенокси]ацетат ИК (нуйол): 1610 см-1 ЯМР (DМСО-d6, ): 1.4- 2.4(8H, m), 2.5-3.2(2H, m), 4.06(2H,s), 6.6-6.9(3H,m), 7.12(1H, t, J = 8 Гц), 7.3-7.7 (10H, m)FAB масс спектр: 476 (М+ +1) 15) (-)-Натрий [3-[[(1R)-2-(4,5-дифенилоксазол-2-ил)-2- циклoгекcен-1-ил)метил]фенокси]ацетат ВДЖХ (хиральная – AGP (вспомогательная силовая установка), 20% ацетонитрил/0,02М фосфорный буфер (pH 7,0), 0.8 мл/мин); rt = 6.0 мин [ ]D: : -94.5o (C = 0.20, MeOH)16) (+)-Натрий [3-[(1S)-2-(4,5-дифенилоксазол-2-ил)-2- циклогексен-1-ил] метил]фенокси]ацетат ВДЖХ (хиральный – AGP, 20% ацетонитрил/0,02М фосфорный буфер (pH 7.0), 0.8 мл/мин); rt = 4,0 мин [ ]D: +93.0o (C=0.20, MeOH)17) Натрий [3′-(4,5-дифенил-2-оксазолил)-3-дифенилил- окси]ацетат ИК (нуйол): 1600 см-1 ЯМР (DМСО-d6, ): 4.18(2H,s), 6.84-6.89(1H,m), 7.15-7.25(2H, m), 7.32-7.50(7H, m), 7.62-7.74(5H,m), 7.80-7.84 (1H, m), 8.29(1H, m)(+) APCI масс спектр: 448 (М+ +1) 18) Натрий [3-[транс-2-гидрокси-2-(4,5-дифенил-2-оксазолил) циклогексил)фенокси ацетат Т.пл. > 250oC ИК(нуйол); 3350, 1600 см-1 ЯМР (DМСО-d6, ): 1.5-1.7(5H, brm), 2.14(3H, brm), 2.85(1H, brm), 3.97(2H, s), 5.53(1H, s), 6.51- 6.61(3H, m), 6.96-6.99(1H,m), 7.36-7.42(8H, brm), 7.56-7.60(2H, brm)FAB масс спектр: 492 (М+ +1) 19) Натрий [3-[транс-2-гидрокси-2-(4,5-дифенил-2-оксазолил) циклогексил] метил]фенокси]ацетат ИК(нуйол): 3350, 1600 см-1 ЯМР (DМСО-d6, ): 1.2- 1.6(7Н, brm, 2.04(1H, brm), 2.24-2.43(2H,m), 2.79-2.90(1H, brm), 4.01(2H, s), 5.77(1H, br), 6.56-6.62(3H, m), 7.02- 7.10(1H,m), 7.3-7.7(10H,m)(+) APCI масс спектр: 506 (М+ +1) 20) Натрий [3-[[2-[4,5-биc(4-мeтилфeнил)-2- oкcaзoлил]-2-циклогексен-1-ил]метил]фенокси] ацетат Т.пл.: 235-250oC ИК(нуйол): 1600 см-1 ЯМР (DМСО-d6, ): 1.60 (4H, br), 2.34 (9H,br), 3.09(2H, m), 4.06(2H,s), 6.65(1H, m), 6.77-6.87(3H, m), 7.09-7.14 (1H,m), 7.25-7.29(4H,brm), 7.49- 7.56(4H,brm)FAB масс спектр: 516 (М+ +1) 21) [3-[[2-(4,5-бис(4-метилфенил)-2-оксазолил] -2- циклопентен-1-ил]метил]фенокси]уксусная кислота Т.пл.: 72.2-80.9oC ИК (чистый): 1720, 1600 см-1 ЯМР (CDCl3, ): 1.85(1H,m), 1.99-2.10(1H, m), 2.37(6H,s), 2.43-2.64(3H, brm), 3.26-3.34(2H, brm), 4.53(2H,s), 6,68-6.70(2H, brm), 6.82-6.90(2H,brm), 7.13-7.20(5H,m), 7.45- 7.55 (4H, m)(+) APCI масс спектр: 480 (M+ +1) 22) Натрий [3-[[цис-2-гидрокси-2-(4,5-дифенил-2-оксазолил)- циклогексил] метил]фенокси)ацетат ИК(нуйол): 3300, 1600 см-1 ЯМР (DМСО-d6, ): 1.24-1.94(8H, br), 1.94-2.64(3H, br), 3.43(1H,s), 4.02(2H,s), 6.54-6.58(3H,br), 6.99-7.07(1H, m), 7.06-7.64(10H,m)FAB масс спектр: 506 (M+ +1) 23) Натрий [3-[цис-2-метокси-2-(4,5-дифенил-2-оксазолил -циклогексил] метил]фенокси]ацетат ИК(нуйол): 1605 см-1 ЯМР (DМСО-d6, ): 1.24-1.60(6H,brm), 1,99-2.29(3H, brm), 2.37-2.70(2H, m), 3.34(3H,s), 4.00(2H,s), 6.51-6.57 (3H,m), 6.99(1H,m), 7.33-7.64(10H,m)FAB масс спектр: 520 (М+ +1) 24) Натрий [2-[[2-(4,5-дифенил-2-оксазолил)фенил]метил] фенокси]ацетат ИК(нуйол): 1595 см-1 ЯМР (DМСО-d6, ): 3.98(2H, s), 4.54(2H,s), 6.58-6.60. (3H, m), 7.04-7.11(1H, m), 7.39-7.50(9H,m), 7.58-7.68 (4H,m), 8.09-8.13(1H,m)FAB масс спектр: 484 (M+ +1) 25) (-)-Натрий [3-[(1R)-2-(4,5-дифенилоксазол-2-ил)-2- циклопентен-1-ил)метил]фенокси]ацетат [ ]D: -68.97o (C= 0.57, MeOH)Т.пл.: 220oC (разл.) ИК(нуйол): 1650, 1620, 1590 см-1 ЯМР (CD3OD, ): 1.95-2.07(2H, m), 2.50- 2.67(3H,m), 3.19-3.28(1H, m), 3.55(1H, m), 4.31(2H,s), 6.69-6.86(4H, m), 7.07-7.15(1H, m), 7.35-7.58(10H, m)Пример 27 Следующее соединение получают обработкой изомера, полученного в примере 16, по способу, аналогичному примеру 2. Натрий [3-[[цис- или транс-2-[4,5-бис(4-метилфенил)-2- оксазолил]циклогексил]метил]фенокси]ацетат (изомер I) T.пл.: 205.8-220.200oC ИК (нуйол): 1610 см-1 ЯМР (DМСО-d6; ): 1.2-2.2(9H,brm), 2,34(6H,s), 2.5(2H,brm), 3.20(1H,br), 4.03 (2H, s), 6.56-6.60(3H, brm), 7.02-7.10(1H,m), 7.20-7.28(4H,m), 7.41-7.52(4H,m)FAB масс спектр: 518 (М++1) Пример 28 Следующее соединение получают обработкой изомера H, полученного в примере 16, способом, аналогичным примеру 2. Натрий [3-[[транс- или цис-2-[4,5-бис(4-метилфенил)-2- oкcaзoлил]циклoгекcил]метил]фенoкcи]aцетaт (изомер J) Изомер J отличается от изомера I, полученного в примере 27, конфигурацией. Т.пл.: > 250oC ИК (нуйол): 1610 см-1 ЯМР(DМСО-d6, ): 1.06-1.30 (2H, brm), 1.61 (4H, brm), 1.72 (2H,brm), 2.33(6H, s), 2.70(4H, m), 4.03(2H,s), 6.56-6.59(3H,brm), 7.00-7.09(1H, m), 7.19-7.27(4H,m) 7.40-7.50 (4H, m)FAB масс спектр: 518 (М+ +1)и Формула изобретения
![]() где R1 – карбокси или низший алкоксикарбонил; R2 – фенил или низший алкилфенил; R3 – фенил или низший алкилфенил; А1 – низший алкилен; А2 – химическая связь или низший алкилен; -Q- обозначает ![]() или ![]() ![]() цикло(низший)алкан или цикло(низший)алкен, каждый из которых может иметь один или два заместителя, выбранных из группы, включающей эпокси, гидрокси и низший алкокси, и его фармацевтически приемлемая соль. 2. Соединение по п. 1, в котором R1 – карбокси или этерифицированный карбокси, R2 – фенил или низший алкилфенил, R3 – фенил или низший алкилфенил, А1 – C1-С3 алкилен, А2 – химическая связь или C1-С3 алкилен, -Q- обозначает ![]() ![]() цикло(низший)алкан, который может иметь заместитель, выбранный из группы, включающей эпокси, гидрокси и низший алкокси или цикло(C5-С6)алкен, или ![]() ![]() цикло(низший)алкан, который может иметь один или два заместителя, выбранных из группы, включающей эпокси, гидрокси или цикло(C5-С6)алкен, или ![]() ![]() цикло(низший)алкан. 3. Соединение по п.2, в котором R1 – карбокси или низший алкоксикарбонил, А1 – метилен и А2 – химическая связь или метилен. 4. Соединение по п.3, в котором R1 – карбокси, R2 – фенил или низший алкилфенил, R3 – фенил или низший алкилфенил, А1 -метилен, А2 – метилен, -Q- обозначает ![]() 5. Соединение по п.4, которое выбирают из группы, содержащей 1) натрий [3-[[(1S)-2-(4,5-дифенилоксазол-2-ил)-2-циклопентен-1-ил]метил]фенокси]ацетат, 2) натрий [3-[[(1S)-2-(4,5-дифенилоксазол-2-ил)-2-циклогексен-1-ил]метил]фенокси]ацетат, 3) натрий [3-[[(1S)-2-(4,5-дифенилоксазол-2-ил)-2-циклопентил-1-ил]метил]фенокси]ацетат, 4) натрий [3-[[(1S)-2-(4,5-дифенилоксазол-2-ил)-2-циклогексил-1-ил]метил]фенокси]ацетат. 6. Соединение формулы ![]() где R2 – фенил или низший алкилфенил; R3 – фенил или низший алкилфенил; R4 – водород или низший алкил; А2 – химическая связь или низший алкилен; -Q- обозначает ![]() или ![]() ![]() цикло(низший)алкан или цикло(низший)алкен, каждый из которых может иметь заместитель и его соль. Приоритет по пунктам и признакам: 20.12.1993 по пп.1-6; 07.11.1994 по пп.1-6 – уточнение признаков. РИСУНКИ
MM4A Досрочное прекращение действия патента Российской Федерации на изобретение из-за неуплаты в установленный срок пошлины за поддержание патента в силе
Дата прекращения действия патента: 17.12.2003
Извещение опубликовано: 20.10.2005 БИ: 29/2005
|
||||||||||||||||||||||||||


















): 0.9-1.7 (16Н,m), 1.8-2.7(m) +3.10 (dd, J = 3.5 Гц, 13.4 Гц) + 13.4 Гц) +3.35 (m) всего 8H, 3.79 (3H, S), 3.80 (3H, S), 6.7-6.8 (6H, m), 7.1-7.3 (2H, m) (+) APCI масс спектр (m+/Z):230(М+1)
]D: – 11.2o (C=1, CH2Cl2)
0,5H2O













