Патент на изобретение №2176506
|
||||||||||||||||||||||||||
(54) АГЕНТ ДЛЯ КОНТРОЛЯ ПЛОДОВИТОСТИ И СОДЕРЖАЩАЯ ЕГО ФАРМАЦЕВТИЧЕСКАЯ КОМПОЗИЦИЯ
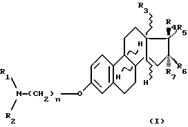
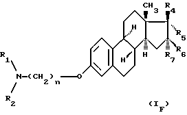
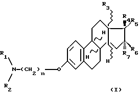
(57) Реферат: Изобретение относится к медицине. Предложено использовать ароматические стероиды, замещенные в положении 3 аминоалкилоксильной цепью, для контроля плодовитости. Соединения регулируют приток кальция в сперматозоид воздействием на сигма-рецепторы. 2 с. и 10 з.п. ф-лы, 3 табл. Изобретение относится к применению ароматических стероидов, замещенных в положении 3 аминоалкилоксильной цепью, для получения медикамента, предназначенного для контроля плодовитости, в частности мужской плодовитости, и к содержащим их фармацевтическим композициям. Предметом настоящего изобретения является применение соединений формулы (I): ![]() в которой R1 и R2, одинаковые или различные, представляют собой алкильную группу, включающую от 1 до 8 атомов углерода, или бензильную группу, или же образуют вместе с азотом, с которым они связаны, насыщенный гетероцикл с 5 или 6 атомами, который может содержать другой гетероатом, выбранный среди кислорода и азота, R3 в положении или представляет собой метильную группу, n означает целое число от 2 до 10 и либо R4 и R5 образуют вместе оксо-группу или R4 представляет собой атом водорода, гидроксильную или алкилоксильную группу, включающую не более 12 атомов углерода, a R5 представляет собой атом водорода, гидроксильную, ацилоксильную группу, включающую не более 12 атомов углерода, алкильную, алкиленную или алкинильную группу, каждая из которых включает не более 8 атомов углерода, R6 и R7 образуют вместе оксо-группу или, одинаковые или различные, представляют собой атом водорода, гидроксильную или ацилоксильную группу, включающую не более 12 атомов углерода, либо R5 и R6 образуют вместе двойную связь, a R4 и R7 являются атомами водорода, а также их соли с допустимыми с фармацевтической точки зрения кислотами для контроля плодовитости, в частности, для контроля мужской плодовитости.
Когда R1, R2 и R3 представляют собой алкильную группу, включающую от 1 до 8 атомов углерода, речь может идти о таком радикале, как метильный, этильный, пропильный, изопропильный, бутильный, изобутильный, трет-бутильный, n-пентильный, n-гексильный, 2-метилпентильный, 2,3-диметилбутильный, n-гептильный, 2-метилгексильный, 2,2-диметилпентильный, 3,3-диметилпентильный, 3-этилпентильный, n-октильный, 2,2-диметилгексильный, 3,3-диметилгексильный, 3-метил-3-этилпентильный; предпочтение отдается метильному, этильному и изопропильному радикалам.
Когда R1 и R2 образуют с азотом, с которым они связаны, насыщенный гетероцикл с 5 или 6 атомами, который может включать другой гетероатом, выбранный среди кислорода и азота, речь идет, в первую очередь, о таких группах, как пиперидинная, морфолинная, пиперазинная или пирролидинная.
Под ацилоксильной группой, включающей не более 12 атомов углерода, понимают, в первую очередь, группы, выбранные среди ацетилоксила, пропионилоксила, бутирилоксила, гексаноилоксила и бензоилоксила. Можно также назвать и формилоксильную группу.
Под алкиленом, включающим не более 8 атомов углерода, понимают, например, следующие значения: винил, аллил, 1-пропенил, бутенил, пентенил или гексенил.
Под алкинилом, включающим не более 8 атомов углерода, понимают, например, следующие значения: этинил, пропаргил, бутинил, пентинил или гексинил.
Данное изобретение распространяется, естественно, на соли с допустимыми с фармацевтической точки зрения кислотами соединений формулы (I), как, например, на соли, образованные с кислотами, такими как хлористоводородная, азотная, серная, фосфорная, уксусная, муравьиная, пропионовая, бензойная, малеиновая, фумаровая, янтарная, винная, лимонная, щавелевая, глиоксиловая, аспарагиновая, бромистый водород, алкансульфоновые, такие как метансульфокислота или этансульфокислота, арилсульфоновые, такие как бензолсульфокислота или паратолуолсульфокислота и арилкарбоновые. Предпочтение отдается солям хлористоводородной кислоты.
Волнистые линии в положении 8, 9 и 14 означают что атомы водорода находятся в положении (8 ,9 ,14 ) или (8 ,9 ,14 )Предметом настоящего изобретения является, в частности, вышеуказанное применение соединений общей формулы (I), как определено выше, в которой: R3 является метильной группой в положении , а также их солей с допустимыми с фармацевтической точки зрения кислотами.
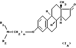
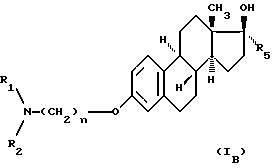
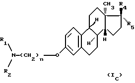
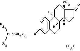
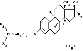
Предметом настоящего изобретения является, в частности, вышеуказанное применение соединений общей формулы (I), как определено выше, отвечающих общей формуле (IA):![]() в которой R1, R2 и n имеют вышеуказанные значения, а также их солей с допустимыми с фармацевтической точки зрения кислотами. Предметом настоящего изобретения является, в частности, вышеуказанное применение соединений общей формулы (I), как определено выше, отвечающих общей формуле (IB): ![]() в которой R1, R2, R3 и n имеют вышеуказанные значения, а также их солей с допустимыми с фармацевтической точки зрения кислотами. Предметом настоящего изобретения является, в частности, вышеуказанное применение соединений общей формулы (I), как определено выше, отвечающих общей формуле (IС): ![]() в которой R1 и R2, одинаковые или различные, представляют собой алкильную группу, включающую от 1 до 8 атомов углерода, n имеет указанное выше значение, и а) либо R4 представляет собой атом водорода, a R5 является гидроксильной группой, б) либо R4 и R5 образуют вместе оксогруппу, в) либо R4 и R5 представляют собой атом водорода, а также их солей с допустимыми с фармацевтической точки зрения кислотами. Предметом настоящего изобретения является, в частности, вышеуказанное применение соединений общей формулы (I), как определено выше, отвечающих общей формуле (ID): ![]() в которой R1, R2 и n имеют указанные ранее значения, а также их солей с допустимыми с фармацевтической точки зрения кислотами. Предметом настоящего изобретения является, в частности, вышеуказанное применение соединений общей формулы (I), как определено выше, отвечающих общей формуле (IE): ![]() в которой R1, R2 и n имеют указанные ранее значения, а также их солей с допустимыми с фармацевтической точки зрения кислотами. Предметом настоящего изобретения является, в частности, вышеуказанное применение соединений общей формулы (I), как определено выше, отвечающих общей формуле (IF): ![]() в которой R1, R2 и n имеют указанные ранее значения и либо R4 и R5 образуют вместе оксогруппу или, одинаковые или различные, представляют собой атом водорода, гидроксильную или ацилоксильную группу, включающую не более 12 атомов углерода, R6 и R7 образуют вместе оксогруппу или, одинаковые или различные, представляют собой атом водорода, гидроксильную или ацилоксильную группу, включающую не более 12 атомов углерода, либо R5 и R6 образуют вместе двойную связь, a R4 и R7 являются атомами водорода, а также их солей с допустимыми с фармацевтической точки зрения кислотами. Предметом настоящего изобретения является, в частности, вышеуказанное применение соединений общей формулы (I), как определено выше, в которой R1 и R2, одинаковые, представляют собой метильный или этильный радикал, а также их солей с допустимыми с фармацевтической точки зрения кислотами. Предметом настоящего изобретения является, в частности, вышеуказанное применение соединений общей формулы (I), как определено выше, в которой n равен 2, а также их солей с допустимыми с фармацевтической точки зрения кислотами. Предметом настоящего изобретения является, в первую очередь, вышеуказанное применение следующих соединений общей формулы (I): – 3-[2-(диметиламино)этокси]-эстра-1,3,5(10)-триен-17-он, – 3-(2-(диэтиламино)этокси]-эстра-1,3,5(10)-триен-17-он, – 3-[2-(диметиламино)этокси]-эстра-1,3,5(10)-триен-17-он хлоргидрат, – 3-[2-(диэтиламино)этокси]-эстра-1,3,5(10)-триен-17-он хлоргидрат, – 3-[2-(1-пиперидинил)этокси]-эстра-1,3,5(10)-триен-17-он, – 3-[2-(4-морфолинил)этокси]-эстра-1,3,5(10)-триен-17-он, – 3-[3-(диметиламино)пропокси]-эстра-1,3,5(10)-триен-17-он, – 3-[3-(диэтиламино)пропокси]-эстра-1,3,5(10)-триен-17-он, – 3-[4-(диметиламино)бутокси]-эстра-1,3,5(10)-триен-17-он, – 3-(5-(диметиламино)пентилокси]-эстра-1,3,5(10)-триен-17-он, – 3-[5-(диэтиламино)пентилокси]-эстра-1,3,5(10)-триен-17-он, – 3-[10-(диметиламино)децилокси]-эстра-1,3,5(10)-триен-17-он, – 3-[2-[метил(фенилметил)амино]этокси]-эстра-1,3,5(10)- триен-17-он, – 3-[3-[бис(фенилметил)амино]пропокси]-эстра-1,3,5(10)-триен-17-он, – (17 -3-[2-(метил(фенилметил)амино] этокси]-эстра-1,3,5(10)-триен- 17-ол,– (17 -3-[3-(диметиламино)пропокси]-эстра-1,3,5(10)-триен-17-ол,– (17 -3-(3-(диэтиламино)пропокси]-эстра-1,3,5(10)-триен-17-ол,– (17 -3-[3-(диэтиламино)пропокси]-эстра-1,3,5(10)-триен-17-ол,– (17 -3-[2-(диметиламино)этокси]-эстра-1,3,5(10)-триен-17-ол,– (17 -3-[2-(диэтиламино)этокси]-эстра-1,3,5(10)-триен-17-ол,– 3-[2-(диметиламино)этокси]-эстра-1,3,5(10)-триен-16-он, – 3-[2-(диэтиламино)этокси]-эстра-1,3,5(10)-триен-16-он, – 3-[2-(диэтиламино)этокси]-эстра-1,3,5(10)-триен-16-он хлоргидрат, – 3-[2-(диметиламино)этокси]-эстра-1,3,5(10)-триен, – 3-[2-(диэтиламино)этокси]-эстра-1,3,5(10)-триен, – 3-[2-(1-пиперидинил)этокси]-эстра-1,3,5(10)-триен, – 3-[3-(1-пиперидинил)пропокси]-эстра-1,3,5(10)-триен, – 3-[2-(диэтиламино)этокси]-эстра-1,3,5(10)-триенхлоргидрат, – 3-[2-(4-морфолинил)этокси]-эстра-1,3,5(10)-триен, – 3-[2-(диметиламино)этокси]-эстра-1,3,5(10)-16-тетраен, – 3-[2-(диэтиламино)этокси]-эстра-1,3,5(10)-16-тетраен, – (17 -3-[3-(диметиламино)пропокси]-17-метил-эстра-1,3,5(10)-триен- 17-ол,– (17 -3-[2-(диметиламино)этокси] -17-метил-эстра-1,3,5(10)-триен- 17-ол,– (17 -3-[3-(диметиламино)пропокси]-19-нор-прегна-1,3,5(10)- триен-17-он,– (17 -3-[2-(диметиламино)этокси]-19-нор-прегна-1,3,5(10)-триен- 17-ол,– (17 -3-[2-[метил(фенилметил)амино]этокси]-19-нор-прегна-1,3,5(10)-триен-17-ол,– (17 -3-[3-(диметиламино)пропокси]-17-пропил-эстра-1,3,5(10)-триен- 17-ол,– (17 -3-[3-(диметиламино)пропокси]-17-пропил-эстра-1,3,5(10)-триен- 17-ол хлоргидрат,– (17 -3-[3-(диметиламино)пропокси] -17-(1-пропенил)-эстра- 1,3,5 (10)-триен-17-ол,– (17 -3-[3-(диметиламино)пропокси] -17-(1-пропенил)- эстра-1,3,5 (10)-триен-17-ол хлоргидрат,– (17 -3-[2-(диметиламино)этокси]-19-нор-прегна- 1,3,5(10),20-тетраен-17-ол,– (17 -3-(3-(диметиламино)пропокси]-19-нор-прегна-1,3,5 (10), 20-тетраен-17-ол,– (17 -3-[2-(диметиламино)этокси)-19-нор-прегна-1,3,5 (10)-триен-20-ин-17-ол,– (17 -3-[3-(диметиламино)пропокси]-19-нор-прегна-1,3,5 (10)-триен-20-ин-17-ол,– (17 -3-13-(диметиламино)пропокси]-19-нор-прегна-1,3,5 (10)-триен-20-ин-17-ол хлоргидрат,– (17 -3-[2-(диэтиламино)этокси]-19-нор-прегна-1,3,5 (10)-триен-20-ин-17-ол,– (17 -3-[3-(диэтиламино)пропокси)-19-нор-прегна-1,3,5 (10)-триен-20-ин-17-ол,– (17 -3-[2-[метил(фенилметил)амино] этокси] -19-нор-прегна-1,3,5 (10)-триен-20-ин-17-ол,– (17 -3-[2-[метил(фенилметил)амино] этокси] -19-нор-прегна-1,3,5 (10)-триен-20-ин-17-ол хлоргидрат,– (17 -3-[3-[метил(фенилметил)амино] пропокси] -19-нор-прегна-1,3,5 (10)-триен-20-ин-17-ол,– (8 ,9 ,13 ,14 ) -3-[2-(диметиламино)этокси] -эстра-1,3,5(10)-триен-17-он,– (8 ,9 ,13 ,14 ) -3-[2-(диэтиламино)этокси]-эстра-1,3,5(10)-триен-17-он,– (8 ,9 ,13 ,14 ) -3-[2-(диметиламино)этокси]-эстра-1,3,5(10)-триен,– (8 ,9 ,13 ,14 ) -3-[2-(диэтиламино)этокси]-эстра-1,3,5(10)-триен,– (8 ,9 ,13 ,14 ) -3-[2-(диэтиламино)этокси] -эстра-1,3,5(10)-триенхлоргидрат,– (8 ,9 ,13 ,14 ,17 ) -3-[2-(диэтиламино)этокси] -эстра-1,3,5(10)-триен-17-ол,– (13 )-3-[2-(диметиламино)этокси]-эстра-1,3,5(10)- триен-17-он,– (13 )-3-[2-(диэтиламино)этокси]-эстра-1,3,5(10)-триен-17-он,– (13 )-3-[2-(диметиламино)этокси]-эстра-1,3,5(10)-триен,– (13 )-3-[2-(диэтиламино)этокси]-эстра-1,3,5(10)-триен.
Описание синтеза продуктов формулы (I) приводится во французском патенте 1338308 и в дополнительных патентах 90803 и 90804, в патенте США 3212971, а также в патентах Великобритании 984028 и 984029.
Продукты формулы (I) известны благодаря своим антилипемическим и гипохолестеринемическим свойствам.
Фирма-заявительница выявила их новые свойства в части регулирования кальциевого потока в сперматозоиде.
Продукты, являющиеся предметом настоящего изобретения обладают:1) сильным сродством с сигма-рецепторами (см. фармакологические тесты): 2) активностью по отношению к приливу кальция в сперматозоид. Результаты тестов показывают, что некоторые из продуктов, фиксирующихся на сигма-рецепторах, оказывают стимулирующее действие на прилив кальция в сперматозоид, а другие оказывают ослабляющее действие на прилив кальция, стимулируемый или не стимулируемый прогестероном – молекулой, которая согласно описанию связывается с сигма-рецептором. Продукты формулы (I), обладающие агонистической активностью, оказывают стимулирующее действие на прилив кальция в сперматозоид. Таким образом, они могут использоваться при лечении некоторых форм стерильности, характерной особенностью которых является недостаточная оплодотворяющая способность сперматозоидов. Продукты формулы (I), обладающие антагонистической активностью, оказывают ослабляющее действие на прилив кальция в сперматозоид. Поэтому они потенциально могут использоваться для контроля акросомной реакции и, следовательно, оказывают воздействие на оплодотворяющую способность сперматозоида. Таким образом, они могут использоваться в качестве противозачаточного средства и, в частности, в качестве мужского противозачаточного средства. Они могут также использоваться в ветеринарной области в качестве противозачаточного средства для самцов домашних животных (собак, кошек и т.д.) или для ограничения размножения всевозможных вредителей, в частности грызунов и голубей. Обычно применяемые дозы зависят от заболевания, которое предстоит лечить, а также от способа применения медикамента. Они могут составлять, например, от 10 до 1000 мг в день для взрослых при приеме внутрь. Настоящее изобретение распространяется на фармацевтические соединения, включающие в качестве действующего начала как минимум один из указанных выше медикаментов. Соединения формулы (I) применяются внутрь, парентеральным путем или локально, в частности для женщины, например, подкожно, или в ветеринарной области – посредством инъекции, в частности подкожной. Они могут назначаться в виде простых или дражевидных таблеток, капсул, гранул, суппозиториев, препаратов для инъекций, шариков с лекарственным веществом, в частности влагалищных шариков, мазей, кремов, гелей, микросфер, имплантов, пачей: они производятся обычными методами. Действующее начало (действующие начала) вводится в основы, обычно используемые при изготовлении фармацевтических составов, такие как тальк, аравийская камедь, лактоза, амидон, стеарат магния, какао-масло, водные или безводные связующие, жиры животного или растительного происхождения, производные парафина, гликоли, различные увлажняющие, диспергирующие или эмульсионные агенты, консерванты. Таким образом, предметом настоящего изобретения также являются фармацевтические композиции, включающие вышеописанный медикамент. ФАРМАКОЛОГИЧЕСКИЕ ТЕСТЫ Подготовка сперматозоидов человека Человеческую сперму получают от здоровых доноров. Мобильные сперматозоиды отделяются путем центрифугирования в градиенте Перколла (47,5 – 95%), после чего они взвешиваются в гипертонической среде BWW, включающей: NaCl 166 ммоль, KCl 5 ммоль, CaCl2 1,3 ммоль, KH2PO4 1,2 ммоль, MgSO4 1,2 ммоль, глюкоза 5,5 ммоль, молочнокислый натрий 21 ммоль, пируват натрия 0,25 ммоль, NaHCO3 25 ммоль, гепес 20 ммоль и 0,8% HSA (410 мосм/литр), pH 7,4 при комнатной температуре. Измерение межклеточного кальция Мобильные сперматозоиды инкубируют в течение не менее 2 часов в среде BWW/HSA. Затем они инкубируются (при концентрации 5-10 106/мл) с Фура2-АМ (конечная концентрация 2 мкмоль) при температуре +37oC в течение 45 мин. После промывки методом центрифугирования в течение 10 мин в среде BWW без HSA сперматозоиды вновь взвешивают при концентрации 4 106/мл. Флюоресцентный сигнал измеряют при температуре +37oC с использованием спектрофлюорометра при возбуждающей волне 340 и 380 нм (РТIМ 2001-Контрон) или при 340, 360 и 380 нм (Хитачи F 2000 – В. Braun Science Тес.). Флюоресцентное излучение регистрируется при 505 нм. Прогестерон или тестируемые продукты, растворенные в абсолютном этаноле, добавляют к инкубационной среде при конечной концентрации 0,1% этанола. Если необходимо определить антагонистический эффект прогестерона, продукт добавляют до прогестерона к среде 2 нм. В конце каждой дозировки для измерения максимального флюоресцентного сигнала в пробу добавляют 5 мкмоль иономицина; затем сперматозоиды пермеабилизируют с помощью 0,05% тритона Х-100 и 10 ммоль, после чего добавляют 10 ммоль EGTA (pH 9,5) для замера минимального флюоресцентного сигнала. Указанные значения позволяют вычислить межклеточную концентрацию кальция ([Ca2+]i) по методу, описание которого приводится Грункиевичем и др. (Grunkiewicz G., Poenie М. and Tsien R. Y. (1985) J. Biol. Chem. 260, стр. 3440-3450). Полученные значения концентрации межклеточного кальция выражаются по отношению к базовому уровню, произвольно принимаемому за 1.
Сигма-рецептор: измерение относительного связующего сродстваОтносительное связующее сродство определяется на препаратах мозговых и семенниковых мембранах крысы. Подготовка мембран Используются самцы крыс Sprague Dawley весом около 200 г, поступающие из Iffa Credo. Животные подвергаются умерщвлению путем обезглавливания. После этого у них вырезают головной мозг и семенники, которые гомогенизируют при температуре +4oC в 10-25 объемах буферного раствора трис-HCl 50 ммоль (pH 7,7), с помощью ультратуракса. Затем гомогенат подвергают центрифугированию (30000 г х 15 мин) при температуре +4oC, после чего осадок трижды промывают путем взвешивания (в том же буферном растворе) и центрифугирования в тех же условиях. Полученные таким образом мембраны хранят при температуре -80oC. Инкубация Используемым маркером сигма-рецепторов является 3H PPP (пропил-3-(3-гидроксифенил)пиперидин) NEN, обладающий удельной активностью 3404 GBq/ммоль. Мембраны вновь взвешивают в буферном растворе трис-HCl 50 ммоль (pH 8,0), с тем чтобы получить протеиновую концентрацию порядка 0,6 мг/мл для семенников и 1 мг/мл для головного мозга. Гомогенные аликвоты подвергаются инкубации при температуре +25oC в течение 90 мин (в общем объеме 0,5 мл) с 3 нмоль 3H PPP в присутствии возрастающих концентраций контрольного продукта (галоперидола) или тестируемых продуктов. В конце инкубации 3H PPP, связанный с мембранами, отделяется от свободного 3H PPP путем скоростной фильтрации с помощью фильтров Whatman GF/C, предварительно обработанных 0,05% полиэтиленкимина. Затем осадок дважды промывается с помощью 5 мл буферного раствора трис-HCl. Вычисление радиоактивности производится после добавления 20 мл сцинтиллирующей жидкости Аквалит (Бейкер). Измерение относительного связующего сродства (OCC): Для начала прочерчивают две кривые: процент связанного тритированного маркера 100 х В/ВО в зависимости от логарифма концентрации холодного контрольного продукта или в зависимости от логарифма концентрации холодного тестируемого продукта. Затем определяют следующую прямую уравнения: I50 = 100 (ВО/ВО + Вмин/ВО), то есть I50 = 100(1+Вмин/ВО)/2=50(1+Вмин/ВО), в котором: – ВО – концентрация связанного тритированного маркера в отсутствие любого холодного продукта; – В – концентрация связанного тритированного маркера в присутствии концентрации Х холодного продукта; – Bмин – концентрация связанного тритированного маркера в присутствии значительного избытка холодного контрольного продукта (5000 нмоль). Пересечения прямой I50 и кривых позволяют вычислить концентрации холодного контрольного гормона (CH) и холодного тестируемого продукта (CX), которые ослабляют на 50% связь тритированного маркера с рецептором. Относительное связующее сродство (OCC) тестируемого продукта определяется с помощью уравнения ОСС = 100 (СН)/(СХ). ОСС галоперидола принимается произвольно равным 100. В табл. 1 приведено относительное связующее сродство сигма-рецептора. Рост межклеточной концентрации кальция ([Ca2+]i), индуцированного прогестероном и продуктом W см. в табл. 2 Данные результаты выражаются по отношению к базовому уровню, произвольно принимаемому за 1. Исходными базовыми уровнями являются: Эксперимент 1 = 200 нм и Эксперимент 2 = 250 нм. Эффект дозировки продукта Х на ([Ca2+]i) см. в табл. 3. Сравнение эффекта прогестерона при 10-5 М и продукта Х при 10-5 моль на [Ca2+]i Mean SEM n = 3Прогестерон – 4,90 0,92Продукт X – 4,80 0,92Данные результаты выражаются по отношению к базовому уровню, произвольно принимаемому за 1. ЗАКЛЮЧЕНИЕ Эффект на межклеточный кальций сперматозоидов человека Прогестерон с концентрацией 10-5 моль вызывает переходное увеличение [Ca2+]i с последующей второй фазой или [Ca2+]i слегка выше базового уровня. Продукт Х вызывает увеличение дозировки, зависящей от [Ca2+]i, которая достигает при 10-5 моль интенсивности, равной интенсивности, вызываемой прогестероном. В отличие от того, что наблюдается в случае прогестерона, данный эффект продлевается во времени. Относительное связующее сродство (ОСС) сигма-рецептора Данный продукт, как и прогестерон, способен перемещать 3H PPP. ОСС, вычисленные на мембранах головного мозга крысы, были вычислены также и на семенниках; полученные результаты приводятся в табл. 1. Различия, выявленные между ОСС на уровне головного мозга и семенников, можно объяснить различным распределением различных типов участков сигма-рецепторов в указанных двух органах. Таким образом, подобные продукты могут стимулировать акросомную реакцию в случае таких антагонистов, как продукт X, и, следовательно, использоваться для лечения некоторых форм стерильности, характерной особенностью которых является недостаточная оплодотворяющая способность сперматозоидов. Формула изобретения
![]() в которой R1 и R2 – алкил или вместе с атомом азота, с которым они соединены, образуют насыщенный гетероцикл (пиперидинил); R3 – метил в альфа или бета положении; n=2; R4 и R5 вместе образуют оксогруппу, или R4-OH, а R5 – алкинил, или R4-H и R5-H, R6-R7-H, а также их солей с допустимыми с фармацевтической точки зрения кислотами в качестве агента для регулирования притока кальция в сперматозоид воздействием на сигмарецепторы и предназначенного для контроля плодовитости мужчин и женщин. 2. Применение по п.1 соединений общей формулы I, как указано в формуле изобретения 1, в которой R3 является метильной группой в положении , а также их соли с допустимыми с фармацевтической точки зрения кислотами.
3. Применение по п.1 соединений общей формулы I, как указано в п.1 или 2, отвечающих общей формуле IA![]() в которой R1, R2 и n имеют значения, указанные в п.1, а также их соли с допустимыми с фармацевтической точки зрения кислотами. 4. Применение по п.1 соединений общей формулы I, как указано в п.1 или 2, отвечающих общей формуле IB ![]() в которой R1, R2, R5 и n имеют значения, указанные в п.1, а также их соли с допустимыми с фармацевтической точки зрения кислотами. 5. Применение по п. 1 соединений общей формулы I, как указано в п.1, отвечающих общей формуле IC ![]() в которой R1 и R2, одинаковые или различные, представляют собой алкильную группу, включающую от 1 до 8 атомов углерода; n имеет указанное выше значение; а) либо R4 и R5 образуют вместе оксогруппу, б) либо R4 и R5 представляют собой атом водорода, а также их солей с допустимыми с фармацевтической точки зрения кислотами. 6. Применение по п.1 соединений общей формулы I, как указано в п.1 или 2, отвечающих общей формуле ID ![]() в которой R1, R2 и n имеют значения, указанные в п.1, а также их солей с допустимыми с фармацевтической точки зрения кислотами. 7. Применение по п.1 соединений общей формулы I, как указано в п.1, отвечающих общей формуле IF ![]() в которой R1, R2 и n имеют значения, указанные в п.1; R4 и R5 образуют вместе оксогруппу или R4-OH, R5-H, R6-R7-H, а также их солей с допустимыми с фармацевтической точки зрения кислотами. 8. Применение по п.1 соединений общей формулы I, как указано в любом из пп.1-8, в которой R1 и R2, одинаковые, представляют собой метильный или этильный радикал, а также их солей с допустимыми с фармацевтической точки зрения кислотами. 9. Применение по п.1 нижеследующих соединений общей формулы I, как указано в п.1: 3-[2-(диэтиламино)этокси]-эстра-1,3,5 (10)-триен-17-он, 3-[2-(1-пиперидинил)этокси]-эстра-1,3,5 (10)-триен-17-он, 3-[2-(1-пиперидинил)этокси]-эстра-1,3,5 (10)-триен, (17 )-3-[2-(диэтиламино) этокси]-19-нор-прегна-1,3,5 (10)-триен-20-ин-17-ол,(8 , 9 , 13 , 14 )-3-[2-(диметиламино)этокси]-эстра-1,3,5 (10)-триен,(8 , 9 , 13 , 14 )-3-[2-(диэтиламино)этокси]-эстра-1,3,5 (10)-триен-хлоргидрат,(13 )-3-[2-(диэтиламино) этокси]-эстра-1,3,5 (10)-триен-17-он.
10. Фармацевтическая композиция для контроля плодовитости мужчин и женщин воздействием на сигмарецепторы, содержащая по меньшей мере одно соединение формулы I по п.1.
11. Фармацевтическая композиция по п.10, включающая как минимум одно из соединений, указанных в пп.2-8.
12. Фармацевтическая композиция по п.10, включающая как минимум одно из соединений, указанных в п.9.
РИСУНКИ
RH4A – Выдача дубликата патента Российской Федерации на изобретение
Дата выдачи дубликата: 08.09.2004
Наименование лица, которому выдан дубликат:
Извещение опубликовано: 10.10.2004 БИ: 28/2004
PD4A – Изменение наименования обладателя патента Российской Федерации на изобретение
(73) Новое наименование патентообладателя:
Извещение опубликовано: 10.11.2004 БИ: 31/2004
MM4A – Досрочное прекращение действия патента СССР или патента Российской Федерации на изобретение из-за неуплаты в установленный срок пошлины за поддержание патента в силе
Дата прекращения действия патента: 24.03.2007
Извещение опубликовано: 20.08.2010 БИ: 23/2010
|
||||||||||||||||||||||||||


или
представляет собой метильную группу, n означает целое число от 2 до 10 и либо R4 и R5 образуют вместе оксо-группу или R4 представляет собой атом водорода, гидроксильную или алкилоксильную группу, включающую не более 12 атомов углерода, a R5 представляет собой атом водорода, гидроксильную, ацилоксильную группу, включающую не более 12 атомов углерода, алкильную, алкиленную или алкинильную группу, каждая из которых включает не более 8 атомов углерода, R6 и R7 образуют вместе оксо-группу или, одинаковые или различные, представляют собой атом водорода, гидроксильную или ацилоксильную группу, включающую не более 12 атомов углерода, либо R5 и R6 образуют вместе двойную связь, a R4 и R7 являются атомами водорода, а также их соли с допустимыми с фармацевтической точки зрения кислотами для контроля плодовитости, в частности, для контроля мужской плодовитости.
Когда R1, R2 и R3 представляют собой алкильную группу, включающую от 1 до 8 атомов углерода, речь может идти о таком радикале, как метильный, этильный, пропильный, изопропильный, бутильный, изобутильный, трет-бутильный, n-пентильный, n-гексильный, 2-метилпентильный, 2,3-диметилбутильный, n-гептильный, 2-метилгексильный, 2,2-диметилпентильный, 3,3-диметилпентильный, 3-этилпентильный, n-октильный, 2,2-диметилгексильный, 3,3-диметилгексильный, 3-метил-3-этилпентильный; предпочтение отдается метильному, этильному и изопропильному радикалам.
Когда R1 и R2 образуют с азотом, с которым они связаны, насыщенный гетероцикл с 5 или 6 атомами, который может включать другой гетероатом, выбранный среди кислорода и азота, речь идет, в первую очередь, о таких группах, как пиперидинная, морфолинная, пиперазинная или пирролидинная.
Под ацилоксильной группой, включающей не более 12 атомов углерода, понимают, в первую очередь, группы, выбранные среди ацетилоксила, пропионилоксила, бутирилоксила, гексаноилоксила и бензоилоксила. Можно также назвать и формилоксильную группу.
Под алкиленом, включающим не более 8 атомов углерода, понимают, например, следующие значения: винил, аллил, 1-пропенил, бутенил, пентенил или гексенил.
Под алкинилом, включающим не более 8 атомов углерода, понимают, например, следующие значения: этинил, пропаргил, бутинил, пентинил или гексинил.
Данное изобретение распространяется, естественно, на соли с допустимыми с фармацевтической точки зрения кислотами соединений формулы (I), как, например, на соли, образованные с кислотами, такими как хлористоводородная, азотная, серная, фосфорная, уксусная, муравьиная, пропионовая, бензойная, малеиновая, фумаровая, янтарная, винная, лимонная, щавелевая, глиоксиловая, аспарагиновая, бромистый водород, алкансульфоновые, такие как метансульфокислота или этансульфокислота, арилсульфоновые, такие как бензолсульфокислота или паратолуолсульфокислота и арилкарбоновые. Предпочтение отдается солям хлористоводородной кислоты.
Волнистые линии в положении 8, 9 и 14 означают что атомы водорода находятся в положении (8





106/мл) с Фура2-АМ (конечная концентрация 2 мкмоль) при температуре +37oC в течение 45 мин. После промывки методом центрифугирования в течение 10 мин в среде BWW без HSA сперматозоиды вновь взвешивают при концентрации 4
SEM n = 3




