Патент на изобретение №2176504
|
||||||||||||||||||||||||||
(54) ПРОТИВОТРОМБОЦИТНАЯ И АНТИАТЕРОГЕННАЯ ФАРМАЦЕВТИЧЕСКАЯ КОМПОЗИЦИЯ, СОДЕРЖАЩАЯ ТИЕНПИРИДИНОВОЕ ПРОИЗВОДНОЕ И ИНГИБИТОР HMG-KОA-РЕДУКТАЗЫ
(57) Реферат: Изобретение относится к медицине и касается фармацевтической композиции, содержащей: (а) тиенпиридиновое производное, выбранное из тиклопидина и клопидогрела или одну из их фармацевтически приемлемых солей; и (б) ингибитор HMG-КоА-редуктазы. 11 з.п. ф-лы. 2 табл. Изобретение касается фармацевтической композиции, содержащей в качестве активного начала комбинацию тиенпиридинового производного и ингибитора HMG-KoA-редуктазы. В частности объектом настоящего изобретения является композиция, содержащая: (а) тиенпиридиновое производное формулы (I)в которой R является водородом или (C1-C4)алкоксикарбонилом или одной из его фармацевтически приемлемых солей; и (б) ингибитор HMG-KoA-редуктазы. Известно, что тиенпиридиновые производные формулы (I) являются мощными тромбоцитными антиагрегантами, механизм действия которых отличается от прочих тромбоцитных антиагрегантов. Эти соединения, в частности 5-(2-хлорбензил)-4,5,6,7-тетрагидротиен[3,2-c] пиридин формулы (I), где R = водород, называемый ниже по Всеобщему Международному Наименованию (ВМН) “тиклопидин”, используемый в виде хлоргидрата, и (+)-(S)- -(2-хлорфенил)-4,5,6,7-тетрагидротиен[3,2-c]пиридинил-5-ацетатметил формулы (I), где R = метоксикарбонил, называемый ниже по ВМН “клопидогрел”, используемый в форме гидросульфата, являются замечательными противотромбоцитными средствами (Gent et al. Lancet 1989, 8649, 1215-1220 – J-M. Herbert et al. Cardiovasc. Drug. Rev., 1993, 11, 180-188).
В настоящее время было обнаружено, что при комбинации тиенпиридинового производного формулы (I) и ингибитора HMG-KoA-редуктазы наблюдается потенциализация антиатерогенной способности обоих компонентов, в частности дополнительная и/или синергическая активность обоих активных начал на пролиферацию гладких мышечных клеток артерии кролика.
Было также обнаружено, что комбинация тиенпиридинового производного формулы (I) и ингибитора HMG-KoA редуктазы обладает дополнительной и/или синергической активностью обоих активных начал на животной модели артериального тромбоза, которая свидетельствует о профилактической или лечебной клинической антитромбозной активности.
Таким образом, согласно настоящему изобретению терапевтически эффективная доза тиенпиридинового производного формулы (I) или одной из его фармацевтически приемлемых солей [Компонент (а)] комбинируется с ингибитором HMG-KoA редуктазы [Компонент (б)] для получения фармацевтических композиций, предназначенных для лечения или предупреждения атеросклероза, постангиопластического рецидива стеноза или связанных с этим тромботических осложнений.
В единичной дозе, содержащей комбинацию тиенпиридина формулы (I) и ингибитора HMG-KoA редуктазы, терапевтически эффективная доза Компонента (а) может составлять от 10 до 250 мг активного начала (в расчете на свободное основание или соль), в то время как терапевтически эффективная доза Компонента (б) может составлять от 2 до 50 мг активного начала.
Согласно настоящему изобретению тиенпиридиновое производное формулы (I) выбирается из тиклопидина и его фармацевтически приемлемых солей, в частности тиклопидинхлоргидрата, клопидогреля и его фармацевтически приемлемых солей, в частности клопидогрелгидросульфата.
В том случае, когда Компонент (а) в единичной дозе представляет собой тиклопидинхлоргидрат, количество этого активного начала в единичной дозе может изменяться преимущественно от 100 до 250 мг, причем названное количество активного начала составляет предпочтительно 150, 175, 200, 225 или 250 мг на единичную дозу.
В том случае, когда в единичной дозе Компонент (а) представляет собой клопидогрелгидросульфат, количество этого активного начала в единичной дозе может изменяться преимущественно от 10 до 75 мг (в расчете на свободное основание), причем названное количество активного начала составляет предпочтительно 25, 35, 50, 65 или 75 мг свободного основания на единичную дозу.
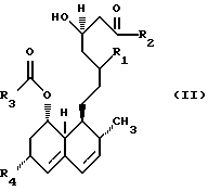
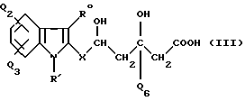
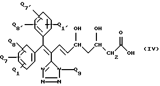
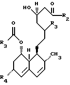
Согласно настоящему изобретению ингибитор HMG-KoA редуктазы является преимущественно соединением, выбранным из(i) производных нафталина формулы (I) в которой R1 и R2 обозначают гидроксильную группу или же образуют вместе атом кислорода, R3 – (C1-C10)алкил, (C3-C10)циклоалкил, (C2-C10)алкенил, фенил или фенил(C1-C3)алкил, а R4 – водород или метильная или гидроксильная группа; (ii) фармацевтически приемлемых солей соединений формулы (II) ![]() в которой R1 и R2 – гидроксильная группа; (iii) производных индола формулы (III) ![]() в которой – один из Ro и R’ – группа структурной формулы ![]() в которой Q4 – атом водорода, хлора или фтора или группа (C1-C4) алкил, (C1-C4)алкокси (но не трет.бутокси), трифторметил, фенокси или бензилокси, Q5 – атом водорода, хлора, фтора или фенокси или бензилокси, Q5a – атом водорода, хлора, фтора или метил, этил, метокси или этокси; – а другой из Ro и R’ – первичный или вторичный (C1-C6)алкил, (C3-C6)циклоалкил, бензил, 2-фенилэтил или 3-фенилпропил; – Q2 – атом водорода, фтора, хлора или (C1-C4)алкил, (C3-C6)циклоалкил, (C1-C4)алкокси (но не трет.бутокси), трифторметил, фенокси или бензилокси; – Q3 – атом водорода, хлора, фтора или (C1-C3)алкил, (C1-C3) алкокси, фенокси или бензилокси; – X – метилен, этилен или 1,3-пропилен; – Q6 – атом водорода или (C1-C3)алкил; при условии, что (1) Q5 и Q5a обозначают водород, когда R4 – водород, (2) Q5a обозначает водород, когда Q5 – водород, (3) Q4 и Q3 не обозначают одновременно трифторметил, фенокси или бензилокси, (4) Q3 обозначает водород, когда Q2 обозначает водород, (5) Q2 и Q3 не обозначают одновременно трифторметил, фенокси или бензилокси; (iv) сложных фармацевтически приемлемых эфиров соединений формулы (III), (v) фармацевтически приемлемых содей соединений формулы (III), (vi) -лактонов соединений формулы (III),(vii) производных тетразола формулы (IV) ![]() в которой – Q1 и Q1′ обозначают водород, галоген или (C1-C4)алкил, (C1-C4)алкокси или трифторметил, – Q7, Q7′, Q8 и Q8′ обозначают водород, галоген или (C1-C4)алкил, (C1-C4)алкокси; – Q9 обозначает водород или (C1-C4)алкил, (C1-C4)алкоксиалкил или (2-метоксиэтокси) метил; (viii) фармацевтически приемлемых солей соединений формулы (IV), (ix) -лактонов соединений формулы (IV),(х) производных пиридина формулы (V) ![]() (xi) фармацевтически приемлемых солей соединений формулы (V), (xii) -лактонов соединений формулы (V),(xiii) производных пиррола формулы (VI) ![]() (xiv) фармацевтически приемлемых солей соединений формулы (VI), (xv) -лактонов соединений формулы (VI).
Соединения, отвечающие формулам (II) – (VI), имеют по меньшей мере два хиральных углерода, при этом соединения (II) – (V) также могут присутствовать в виде цис, трансформе. Компонент (б) может быть выбран среди изомеров соединений (II) – (VI) или их смесей.
Соединения (II) – (VI) описаны в литературе. В частности производные индола формулы (III) описаны в WO 84/02131, производные тетразола формулы (IV) описаны в EP 658550, производные пиридина формулы (V) описаны в DE 4040026, а производные пиррола формулы (VI) описаны в EP 409281.
Соединения нафталина формулы (II), в которой R4 обозначает водород или метильную группу, описаны в EP 33538 или могут быть получены либо по методу, описанному в этом документе, либо посредством полусинтеза, либо в некоторых случаях полным синтезом, например в случае синтеза мевастатина (J. Am. Chem. Soc. , 1981, 6538; ibid. 1982, 4251) или ловастатина (Tetrahedron Letters, 1983, 24, 1811). Симвастатин также описан в EP 33538.
Соединения нафталина формулы (II), в которой R4 обозначает гидроксил, описаны в GB 2077264. Среди этих соединений правастатин, используемый в виде соли натрия, является особенно интересным Компонентом (б). Среди индолов формулы (III) соединение, имеющее эту формулу, в которой Ro является 4-фторфенилом, R’ – изопропилом, X – этиленом, а Q2, Q3 и Q6 – водородом, в его (E)-форме, рацемической или оптически активной форме и его фармацевтически активные соли образуют Компонент (б), особенно интересный для фармацевтических композиций по настоящему изобретению.
Среди производных тетразола формулы (IV) соединение, имеющее эту формулу, в которой Q1 и Q1′ обозначают каждый атом фтора, Q7, Q7′, Q8 и Q8′ обозначают водород, а Q9 – метил, в его (E)-форме, рацемической или оптически активной форме, предпочтительно ( R), ( S), и его фармацевтически приемлемые соли, особенно с аминокислотой, также образуют Компонент (б), чрезвычайно интересный для фармацевтических композиций по настоящему изобретению.
Производное пиридина формулы (V) в его (E)-форме, рацемической или оптически активной форме, предпочтительно R), ( S), или церивастатин и его фармацевтически приемлемые соли образуют другой Компонент (б), представляющий интерес для фармацевтических композиций согласно настоящему изобретению.
-лактон производного пиррола формулы (VI), известный как аторвастатин, образует Компонент (б), представляющий интерес для фармацевтических композиций настоящего изобретения.
Согласно одному преимущественному варианту осуществления изобретения композиции содержат тиклопидинхлоргидрат в качестве Компонента (а) и симвастатин или натрийправастатин в качестве Компонента (б). Предпочтительно такие композиции содержат от 100 до 250 мг тиклопидинхлоргидрата и от 10 до 40 мг симвастатина или натрийправастатина.
Согласно другому преимущественному варианту композиции содержат клопидогрелгидросульфат в качестве Компонента (а) и симвастатин или натрийправастатин в качестве Компонента (б). Предпочтительно такие композиции содержат от 10 до 75 мг (в расчете на свободное основание) клопидогрелгидросульфата и от 10 до 40 мг симвастатина или натрийправастатина.
Проводились фармакологические испытания комбинаций активных начал согласно настоящему изобретению.
Проводились испытания согласно тесту на пролиферацию мышечных клеток стенки сосуда, возникшую в результате деэндотелиализации сонной артерии кроликов. Так, новозеландских кроликов весом 2,5-3 кг кормили искусственным кормом, содержащим 2% холестерина и 6% арахисового масла. Животным вводили орально Клопидогрел (5 мг/кг в день). Одновременно животным вводили орально симвастатин (5 мг/кг в день). Соединения вводились за 2 дня до поражения эндотелия и ежедневно в течение 2 недель. Миоинтимальная пролиферация сонной артерии кролика была вызвана высушиванием на воздухе, как описано в методике, описанной ранее (Fishman et al. Lab. Invest., 1975, 32, 339-347; Herbert et al. , 1993, 13, 1171-1179). Животных анетезировали внутривенно натрийпентобарбиталом (30 мг/кг внутривенно) и левую сонную артерию изолировали. Подкожный шприц (27 размера) вводили в проксимальную часть артерии, а также в дистальную часть. Из выделенного таким образом сегмента артерии выпускалась кровь, его промывали физиологической сывороткой, а эндотелиальная рана вызывалась пропусканием потока сухого воздуха (240 мл/мин в течение 5 минут). Иглы затем извлекались, восстанавливалось кровообращение, а разрез закрывался. Спустя 14 дней после поражения животных анестезировали (натрийпентобарбиталом, 30 мг/кг, внутривенно). Сегмент артерии выделялся, промывался в физиологической сыворотке и инкубировался в течение 18 часов 10-процентным раствором формальдегида. Сегменты артерии затем обезвоживались в этаноле, заключались в парафин, разрезались в микотоме и окрашивались в гематоксилинозине. Срединные и интимальные поверхности подвергались количественному анализу путем снятия изображения (Biocom Imagenia 5000, Лион, Франция).
Приведенные в Таблице 1 результаты указывают на то, что клопидогрел и симвастатин (5 мг/кг/день), вводимые кролику ежедневно орально, ингибируют пролиферацию клеток гладкой мускулатуры вследствие поражения эндотелия воздушным потоком.
Во всех случаях совместное введение клопидогрела и симвастатина привело к значительному синергическому эффекту в отношении пролиферации клеток гладкой мускулатуры. Это означает, что, когда соединения вводились совместно, достигаемый антипролиферативный эффект всегда был выше простой суммы эффектов, производимых этими двумя исследуемыми соединениями, взятыми отдельно.
Противотромбоцитный эффект комбинации согласно изобретению был выявлен во время теста на образование тромба на шелковой нити, находящейся в артерио-венозном шунте, имплантированном между сонной артерией и яремной веной кролика, как описано Umetsu et al. (Thromb. Haemostas., 1978, 39, 74-83). Обрабатывали новозеландских кроликов весом 2,5-3 кг. Животных анестезировали путем подкожного введения натрийпентобарбитала (30 мг/кг). Две полиэтиленовые трубки длиной 12 см (внутренний диаметр 0,6 мм; наружный диаметр 0,9 мм), скрепленные центральной частью длиной 6 см (внутренний диаметр 0,9 мм), содержащей шелковую нить длиной 5 см, помещались между правой сонной артерией и левой яремной веной. После этого вводили центральную часть шунта, затем спустя 20 минут шунт извлекался из кровообращения. Затем определялся вес тромба, имеющегося на шелковой нитке.
Так же, как и эффект в отношении пролиферации клеток гладкой мускулатуры вследствие поражения эндотелия воздушным потоком согласно предыдущему тесту, усиливалась противотромбоцитная деятельность клопидогреля за счет комбинации с симвастатином. В этих условиях, так же как и по отношению к пролиферации клеток гладкой мускулатуры, наблюдался значительный синергический эффект. Полученные результаты приведены в Таблице 2.
Комбинация тиенпиридина и ингибитора HMG-KoA редуктазы входит в фармацевтические композиции, используемые орально или парентерально, в частности орально в смеси с обычными фармацевтическими эксципиентами.
Названные фармацевтические композиции, являющиеся предметом настоящего изобретения, выпускаются предпочтительно в виде единичных доз, содержащих заданное количество активных начал, которое указано выше. Единичные формы для орального введения представляют собой таблетки, желатиновые капсулы, порошки, гранулы, микрогранулы.
При приготовлении твердой композиции в виде таблеток смешивают основной активный ингредиент с фармацевтическим носителем, таким как желатин, крахмал, лактоза, стеарат магния, тальк, гуммиарабик или другие подобные вещества. Можно покрывать таблетки сахарозой или другими подходящими веществами или же можно обрабатывать их таким образом, чтобы они имели пролонгированное или замедленное действие и чтобы они непрерывно освобождали некоторое заданное количество активного начала.
Препарат в виде желатиновых капсул получают, смешивая активный ингредиент с разбавителем и выливая полученную смесь в мягкие или твердые капсулы.
Активное начало может также находиться в виде микрокапсул, при необходимости вместе с одним или несколькими носителями или добавками.
Активные начала, представляющие собой указанную комбинацию, могут находиться в виде комплекса с циклодекстрином, например, , или -циклодекстрином, 2-гидроксипропил- -циклодекстрином или метил- -циклодекстрином.
В составе комбинации активных начал для получения фармацевтических композиций по настоящему изобретению учитывается природа Компонентов (а) и (б) этой комбинации. Компонент (а), а именно тиенпиридин, предпочтительно используется в виде аддитивной соли с фармацевтически приемлемыми кислотами. Например, предпочтительными Компонентами (а) являются тиклопидинхлоргидрат и клопидогрелгидросульфат, являющиеся кислотными соединениями.
Обычно тиенпиридины в виде их аддитивных солей с фармацевтически приемлемыми кислотами не являются химически несовместимыми с ингибиторами HMG-KoA редуктазы. Однако некоторые из этих ингибиторов используются в виде солей со щелочными металлами, как, например, в виде натрийправастатина. Поэтому предпочтительно отдельно взятые активные начала должны находиться в форме, хорошо известной из литературы.
Так фармацевтическая форма, содержащая комбинацию тиенпиридина и ингибитора HMG-KoA редуктазы, может быть представлена, например, как прозрачная или матовая желатиновая капсула, содержащая две таблетки, одна из которых содержит тиенопиридин, а другая содержит ингибитор HMG-KoA редуктазы. Такая форма позволяет использовать оба активных начала, входящих в комбинацию, в обычно используемой фармацевтической форме, при этом каждая таблетка может быть покрыта пленкой, которая обеспечивает либо немедленное освобождение обоих активных начал, либо запрограммированное освобождение в различные периоды времени.
Другой формой может быть желатиновая капсула, содержащая смесь микрогранул, некоторые из которых содержат тиенпиридин, а другие содержат ингибитор HMG-KoA редуктазы, причем указанные микрогранулы могут быть покрыты пленкой, обеспечивающей немедленное или запрограммированное освобождение активных начал.
Фармацевтической формой, содержащей комбинацию согласно изобретению может быть двухслойная или трехслойная таблетка, в частности таблетки, полученные посредством многократного прессования. При такой форме можно получить либо двухслойную таблетку, в которой слои разделены, например, пленкой, либо таблетку внутри другой таблетки, причем обе части при необходимости окрашиваются в разные цвета.
Другой фармацевтической формой комбинации согласно изобретению может быть двойная желатиновая капсула, состоящая из внутренней желатиновой капсулы, содержащей один из двух компонентов, и наружной желатиновой капсулы, содержащей первую капсулу и другой компонент. В этом случае предпочтительно, чтобы внутренняя желатиновая капсула содержала ингибитор HMG-KoA редуктазы, а наружная содержала тиенопиридин. Фармацевтическая форма такого типа описана в US 5,310,555.
В комбинациях согласно изобретению фармацевтические формы настоящего изобретения содержат предпочтительно 250 мг тиклопидинхлоргидрата и 20 мг симвастатина или натрийправастатина; 250 мг тиклопидинхлоргидрата и 15 мг симвастатина или 15 мг натрийправастатина; 200 мг тиклопидинхлоргидрата и 15 мг симвастатина или 15 мг натрийправастатина; 175 мг тиклопидинхлогидрата и 20 мг симвастатина или натрийправастатина; 175 мг тиклопидинхлоргидрата и 15 мг симвастатина или натрийправастатина; 250 мг тиклопидинхлоргидрата и 10 мг симвастатина или натрийправастатина; 200 мг тиклопидинхлоргидрата и 10 мг симвастатина или натрийправастатина; 175 мг тиклопидинхлоргидрата и 10 мг симвастатина или натрийправастатина. Возможны также комбинации, содержащие 250 мг тиклопидинхлоргидрата и 20 мг симвастатина или натрийправастатина, при шоковой терапии.
В других комбинациях согласно изобретению фармацевтические формы содержат предпочтительно 87,5 мг клопидогрелгидросульфата и 20 мг симвастатина или натрийправастатина; 81,25 мг клопидогрелгидросульфата и 20 мг симвастатина или натрийправастатина; 87,5 мг клопидогрелгидросульфата и 15 мг симвастатина или натрийправастатина; 81,25 мг клопидогрелгидросульфата и 15 мг симвастатина или натрийправастатина; 62,5 мг клопидогрелгидросульфата и 20 мг симвастатина или натрийправастатина; 62,5 мг клопидогрелгидросульфата и 15 мг симвастатина или натрийправастатина; 93,75 мг клопидогрелгидросульфата и 10 мг симвастатина или натрийправастатина; 87,5 мг клопидогрелгидросульфата и 10 мг симвастатина или натрийправастатина; 81,25 мг клопидогрелгидросульфата и 10 мг симвастатина или натрийправастатина; 62,5 мг клопидогрелгидросульфата и 10 мг симвастатина или натрийправастатина. Возможны также комбинации, содержащие 87,5 мг клопидогрелгидросульфата и 20 мг симвастатина или натрийправастатина, при шоковой терапии.
Фармацевтические композиции согласно изобретению особенно рекомендуются при лечении патологических состояний, таких как нарушения сердечно-сосудистой системы и системы мозгового кровообращения, например тромбоэмболические нарушения в сочетании с атеросклерозом или диабетом, или таких состояний, как нестабильная стенокардия, эпилептические припадки, рецидив стеноза после ангиопластики, эндартерэктомии или установки металлических эндососудистых протезов, в сочетании с повторным тромбозом после тромболиза, с инфарктом, с деменцией ишемического происхождения, с заболеваниями периферических сосудов, гемодиализом, мерцательной аритмией или же при использовании сосудистых протезов, аортокоронарного шунтирования или относительно стабильной или нестабильной стенокардии.
ПРИМЕР 1Комбинация тиклопидин/симвастатин (200 мг/20 мг) 1. Формула: двухслойная таблетка Слой n 1 Тиклопидина (хлоргидрат) – 200,0 мг Микрокристаллическая целлюлоза – 69,88 мг Модифицированный кукурузный крахмал – 31,20 мг Перистон – 6,24 мг Лимонная кислота – 3,12 мг Стеариновая кислота – 0,78 мг Стеарат магния – 0,78 мг Слой n 2 Симвастатин – 20,00 мг Бутилоксианизол – 0,04 мг Аскорбиновая кислота – 5,00 мг Лимонная кислота – 2,50 мг Микрокристаллическая целлюлоза – 10,00 мг Предварительно желатинированный кукурузный крахмал – 20,0 мг Лактоза – 141,50 мг Стеарат магния – 1,00 мг Метилоксипропилцеллюлоза – 1,65 мг Оксипропилцеллюлоза – 1,65 мг Двуоксид титана – 1,50 мг Тальк – 0,60 мг Желтый оксид железа – 0,092 мг Красный оксид железа – 0,023 мг 2. Способ изготовления Кранулу тиклопидина получают мокрым гранулированием. Гранулу симвастатина получают мокрым гранулированием. Обе гранулы прессуют на прессе, обеспечивающем изготовление двухслойных таблеток. ПРИМЕР 2 Комбинация клопидогрел/симвастатин (50 мг/10 мг) 1. Формула: двухслойная таблетка Слой n 1 Клопидогрелгидросульфат – 65,00 мг (т.е. 50 мг основания) Лактоза безводная – 72,20 мг Модифицированный кукурузный крахмал – 7,00 мг Макрогель 6000 – 5,00 мг Микрокристаллическая целлюлоза – 8,60 мг Гидрогенизованное касторовое масло – 2,20 мг Слой n 2 Симвастатин – 10,00 мг Бутилоксианизол – 0,02 мг Аскорбиновая кислота – 2,50 мг Лимонная кислота – 1,75 мг Микрокристаллическая целлюлоза – 5,00 мг Предварительно желатинированный кукурузный крахмал – 10,0 мг Лактоза – 70,75 мг Стеарат магния – 0,50 мг Метилоксипропилцеллюлоза – 0,825 мг Оксипропилцеллюлоза – 0,825 мг Двуоксид титана – 0,75 мг Тальк – 0,30 мг Желтый оксид железа – 0,046 мг Красный оксид железа – 0,0115 мг 2. Способ изготовления Гранулу клопидогрела получают сухим гранулированием (уплотнением). Гранулу симвастатина получают мокрым гранулированием. Обе гранулы прессуют на прессе, обеспечивающем изготовление двухслойных таблеток. Формула изобретения
![]() где R1 и R2 означают гидроксил или вместе означают атом кислорода; R3 означает (С1-С10) алкил; R4 означает метил или гидроксил, или ее фармацевтически приемлемую соль в количестве 2-50 мг, и фармацевтически приемлемые экципиенты. 2. Композиция по п.1, отличающаяся тем, что производное тиенопиридина представляет собой гидрохлорид тиклопидина. 3. Композиция по п.2, отличающаяся тем, что количество гидрохлорида тиклопидина в разовой дозе составляет 100-250 мг. 4. Композиция по п.1, отличающаяся тем, что производным тиенопиридина является гидросульфат клопидогрела. 5. Композиция по п.4, отличающаяся тем, что количество гидросульфата в единичной дозе составляет 10-75 мг в расчете на свободное основание. 6. Композиция по п.1, отличающаяся тем, что ингибитор HMG-КоА-редуктазы выбран из симвастатина и натрийправастатина. 7. Композиция по п.1, отличающаяся тем, что компонентом а) является гидрохлорид тиклопидина, а компонент б) выбирается из симвастатина и натрийправастатина. 8. Композиция по п.7, отличающаяся тем, что она содержит 100-250 мг гидрохлорида тиклопидина и 10-40 мг симвастатина или натрийправастатина. 9. Композиция по п.1, отличающаяся тем, что компонентом а) является гидросульфат клопидогрела, а компонент б) выбирается из симвастатина и натрийправастатина. 10. Композиция по п.1, отличающаяся тем, что она содержит 10-75 мг (в расчете на свободное основание) гидросульфата клопидогрела и 10-40 мг симвастатина или натрийправастатина. 11. Композиция по п.1, отличающаяся тем, что она предназначена для лечения тромбоэмболических нарушений, сопровождающихся атеросклерозом или диабетом, повторным тромбозом после тромболиза, инфарктом, деменцией ишемического происхождения, заболеваниями периферических сосудов, гемодиализом и мерцательной аритмией при сосудистом протезировании или аортокоронарном шунтировании или для лечения стабильной или нестабильной стенокардии. 12. Композиция по п.11, отличающаяся тем, что она предназначена для лечения стабильной или нестабильной стенокардии, рецидива стеноза после ангипластики, эндартерэктомии или при установке металлических эндососудистых протезов. РИСУНКИ
PD4A – Изменение наименования обладателя патента Российской Федерации на изобретение
(73) Новое наименование патентообладателя:
Извещение опубликовано: 20.02.2006 БИ: 05/2006
|
||||||||||||||||||||||||||

(I)
-(2-хлорфенил)-4,5,6,7-тетрагидротиен[3,2-c]пиридинил-5-ацетатметил формулы (I), где R = метоксикарбонил, называемый ниже по ВМН “клопидогрел”, используемый в форме гидросульфата, являются замечательными противотромбоцитными средствами (Gent et al. Lancet 1989, 8649, 1215-1220 – J-M. Herbert et al. Cardiovasc. Drug. Rev., 1993, 11, 180-188).
В настоящее время было обнаружено, что при комбинации тиенпиридинового производного формулы (I) и ингибитора HMG-KoA-редуктазы наблюдается потенциализация антиатерогенной способности обоих компонентов, в частности дополнительная и/или синергическая активность обоих активных начал на пролиферацию гладких мышечных клеток артерии кролика.
Было также обнаружено, что комбинация тиенпиридинового производного формулы (I) и ингибитора HMG-KoA редуктазы обладает дополнительной и/или синергической активностью обоих активных начал на животной модели артериального тромбоза, которая свидетельствует о профилактической или лечебной клинической антитромбозной активности.
Таким образом, согласно настоящему изобретению терапевтически эффективная доза тиенпиридинового производного формулы (I) или одной из его фармацевтически приемлемых солей [Компонент (а)] комбинируется с ингибитором HMG-KoA редуктазы [Компонент (б)] для получения фармацевтических композиций, предназначенных для лечения или предупреждения атеросклероза, постангиопластического рецидива стеноза или связанных с этим тромботических осложнений.
В единичной дозе, содержащей комбинацию тиенпиридина формулы (I) и ингибитора HMG-KoA редуктазы, терапевтически эффективная доза Компонента (а) может составлять от 10 до 250 мг активного начала (в расчете на свободное основание или соль), в то время как терапевтически эффективная доза Компонента (б) может составлять от 2 до 50 мг активного начала.
Согласно настоящему изобретению тиенпиридиновое производное формулы (I) выбирается из тиклопидина и его фармацевтически приемлемых солей, в частности тиклопидинхлоргидрата, клопидогреля и его фармацевтически приемлемых солей, в частности клопидогрелгидросульфата.
В том случае, когда Компонент (а) в единичной дозе представляет собой тиклопидинхлоргидрат, количество этого активного начала в единичной дозе может изменяться преимущественно от 100 до 250 мг, причем названное количество активного начала составляет предпочтительно 150, 175, 200, 225 или 250 мг на единичную дозу.
В том случае, когда в единичной дозе Компонент (а) представляет собой клопидогрелгидросульфат, количество этого активного начала в единичной дозе может изменяться преимущественно от 10 до 75 мг (в расчете на свободное основание), причем названное количество активного начала составляет предпочтительно 25, 35, 50, 65 или 75 мг свободного основания на единичную дозу.
Согласно настоящему изобретению ингибитор HMG-KoA редуктазы является преимущественно соединением, выбранным из


-лактонов соединений формулы (III),


R), (
-циклодекстрином, 2-гидроксипропил-