Патент на изобретение №2176503
|
||||||||||||||||||||||||||
(54) СПОСОБЫ СНИЖЕНИЯ УРОВНЕЙ КАЛЬЦИЯ В СЫВОРОТКЕ
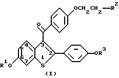
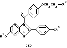
(57) Реферат: Изобретение относится к медицине, в частности к терапии и эндокринологии, и касается лечения гиперкальциемии различного генеза. Для этого предлагается вводить вещества группы бензотиофенов, в частности ралоксифен, в дозе 200-600 мг/день. Способ оказывает значительный клинический эффект, предупреждая рецидивы заболевания. 3 з.п. ф-лы. Кальций является наиболее изобилующим и одним из наиболее важных минералов в теле человека. Кальций является также важным катионом в широком множестве биологических функций, таких как свертывание крови, поддержание нормального сокращения сердца и стимулирование нервно-мышечной и метаболической активностей. Костная система в этих процессах обеспечивает значительный запас кальция для крови. Более 99% кальция в теле человека присутствует в его скелете в виде гидроксиапатита. Различные заболевания и нарушения обмена веществ могут вызвать увеличение или уменьшение уровней кальция в сыворотке и вследствие этого серьезные биохимические и клинические нарушения. Полагают, что наиболее важными факторами, регулирующими кальциевый и скелетный обмен, являются два полипептидных гормона, паратиреоидный гормон и кальцитонин. Паратиреоидный гормон (ПТГ) представляет собой пептид 84-аминокислоты, который повышает уровень кальция в крови и увеличивает резорбцию костей. Кальцитонин представляет собой полипептид 32-аминокислоты, который уменьшает резорбцию костей и снижает содержание кальция в крови. Кальцитонин образуется в щитовидной железе и, возможно, вне участков щитовидной железы, и паратиреоидный гормон образуется в паращитовидной железе. Полупериод кальцитонина и паратиреоидного гормона в теле человека может быть измерен за минуты. Гиперкальциемию определяют как избыточное количество кальция в крови. Гиперкальциемия может случиться в результате различных многочисленных клинических состояний, при которых создаются высокие концентрации свободных ионов кальция в кровотоке. Причины гиперкальциемии могут включать, например, помимо прочих, гиперпаратиреоз, рак (с метастазом в кости или без него), гипервитаминоз D, саркоидоз, тиреотоксикоз, неподвижность и недостаточность надпочечников. Множество проявлений гиперкальциемии имеет неустановленную причину. Крайняя степень гиперкальциемии приводит к коме и смерти. Нейрологические проявления в менее серьезных случаях могут включать спутанность сознания, вялость, слабость и гипорефлексию. Гиперкальциемию можно обнаружить при сокращении QT-интервала на электрокардиограмме. Аритмия встречается редко, но при этом были сделаны сообщения о брадикардии и блокаде сердца первой степени. Острая гиперкальциемия может быть связана с значительной гипертензией. Желудочно-кишечные проявления включают запор и анорексию; в серьезных случаях может быть тошнота и рвота. Сообщалось также об остром панкреатите, связанном с гиперкальциемией, вызванной различными причинами. Гиперкальциемия препятствует антидиуретическому действию гормона и вследствие этого приводит к полиурии и полидипсии. Обратимым ослаблением почечной функции, связанным с существенной гиперкальциемией, является секреция. Активный метаболит витамина D, 1,25(OH)2D (дигидроксихолекальциферол) подавляет как секрецию, так и синтез ПТГ. Уменьшение содержания 1,25(OH)2D является основным фактором, способствующим повышенной секреции ПТГ при почечной недостаточности. Современные способы лечения гиперкальциемии включают сильную внутривенную гидратацию с диурезом для удаления кальция из организма больного. Кроме того, при такой внутривенной гидратации с диурезом для удаления кальция из организма больного изредка совместно также используют глюкокортикоиды. Другие способы, которые могут быть использованы для лечения гиперкальциемии, включают введение Митрамицина (химиотерапевтическое средство, токсичное для раковых клеток, которое может снижать уровень кальция в плазме), введение кальцитонина (гормон из щитовидной железы, который может ингибировать резорбцию костей и вследствие этого снижать уровень кальция в плазме), Этидроната (химическое соединение, которое связывается с поверхностями фосфата кальция и ингибирует кристаллическую резорбцию костей) и введение фосфата. Результаты лечения каждым из вышеприведенных способов являются относительно кратковременными, и, как следствие, после прекращения вышеприведенных курсов лечения гиперкальциемия часто легко повторяется. Это изобретение обеспечивает способы снижения уровней кальция в сыворотке крови, включающие введение человеку в случае необходимости для него эффективного количества соединения формулы I ![]() в которой R1 и R3 независимо являются водородом, -CH3-, или где Ar является необязательно замещенным фенилом;R2 выбирают из группы, состоящей из пирролидино, гексаметиленимино и пиперидино; или его фармацевтически приемлемых солей или сольватов. Настоящее изобретение касается обнаружения того факта, что выбранная группа 2-фенил-3-ароилбензотиофенов (бензотиофенов) формулы I является пригодной для снижения уровня кальция в сыворотке. По существу, изобретение также обеспечивает способы ингибирования гиперкальциемии и ее воздействий, и, в частности, когда она вызвана гиперпаратиреозом или связана со злокачественностью. Способы применения, обеспеченные этим изобретением, осуществляют на практике путем введения человеку при необходимости для него дозы соединения формулы I или его фармацевтически приемлемой соли или сольвата, которая является эффективной для снижения уровней кальция в сыворотке. Термин “ингибирование” включает обычные его приемлемые значения, в которые входят препятствование, предотвращение, ограничение, замедление, прекращение или возврат к прежнему состоянию. По существу, настоящий способ включает введение лекарственного средства с целью терапии и/или с целью профилактики. Термин “уровень кальция в сыворотке”, который используется здесь, означает уровень ионов кальция, находящегося в плазме больного, и включает кальций, который связан в белки, и является недиффундирующим, а также кальций, который является диффундирующим и существует в свободной ионизированной форме и в комплексной форме. Подходящий способ определения уровней кальция в плазме представлен Connerty H.V. и Briggs A.R., American Journal of Clinical Pathology, Vol. 45, p. 290 (1986). Ралоксифен – соединение этого изобретения, где оно является хлористоводородной солью соединения формулы (I), R1 и R3 являются водородом, и R2 является 1-пиперидинилом, и он представляет собой ядерную регуляторную молекулу. Было показано, что ралоксифен связывается с эстрогеновым рецептором, и ранее считали, что он является молекулой, функция и фармакология которой подобны таковым антиэстрогена и заключаются в том, что он блокирует способность эстрогена активировать маточную ткань и эстрогенозависимый рак молочной железы. В действительности ралоксифен блокирует действие эстрогена в некоторых клетках; однако в других типах клеток ралоксифен активирует те же самые гены, что и эстроген, и показывает ту же самую фармакологию, например остеопороз, гиперлипемию. В результате ралоксифен относят к антиэстрогену со смешанными свойствами агониста-антагониста. В настоящее время считают, что особенный профиль, который показывает ралоксифен и который отличается от профиля эстрогена, следует отнести за счет особой активации и/или супрессии различных генных функций ралоксифенэстрогеновым рецепторным комплексом в противоположность активации и/или супрессии генов эстроген-эстрогеновым рецепторным комплексом. Поэтому, хотя для одного и того же рецептора используют и сравнивают ралоксифен и эстроген, фармакологические последствия контролирования гена ралоксифеном и эстрогеном предсказать нелегко и они являются единственным для каждого случая. Соединение обычно используют с обычными наполнителями, разбавителями или носителями и прессуют в таблетки или применяют в виде эликсиров или растворов, подходящих для перорального приема, или вводят внутримышечно или внутривенно. Соединения могут быть введены трансдермально и могут быть применены в виде лекарственных форм пролонгированного действия и т.д. Соединения, используемые в способах настоящего изобретения, могут быть получены в соответствии с установленными способами, например такими, которые подробно описаны в патентах США N 4133814, 4418068 и 4380635, все из которых приведены здесь для ссылки. В общем, способ начинают осуществлять с применения бензо[b]тиофена, имеющего 6-гидроксильную группу и 2-(4-гидроксифенильную) группу. Исходное соединение защищают, ацилируют и затем защитную группу удаляют, при этом образуются соединения формулы I. Примеры получения таких соединений представлены в вышеуказанных патентах США. Необязательно замещенный фенил включает фенил и фенил, замещенный одним или двумя заместителями, выбранными из С1-С6-алкила, С1-C4-алкокси, гидрокси, нитро, хлора, фтора или три(хлор или фтор) метила. Соединения, использованные в способах этого изобретения, образуют фармацевтически приемлемые соли с кислотой и основанием, при этом используют большое множество органических и неорганических кислот и оснований, соли включают физиологически приемлемые соли, которые часто используют в фармацевтической химии. Такие соли также являются частью этого изобретения. Типичные неорганические кислоты, использованные для образования таких солей, включают хлористоводородную, бромистоводородную, иодистоводородную, азотную, серную, фосфорную, гипофосфорную и подобные кислоты. Могут быть также использованы соли, полученные из органических кислот, например алифатических моно-и дикарбоновых кислот, фенилзамещенных алкановых кислот, гидроксиалкановых и гидроксиалканлиоевых кислот, ароматических кислот, алифатических и ароматических сульфокислот. Такие фармацевтически приемлемые соли включают, таким образом, ацетат, фенилацетат, трифторацетат, акрилат, аскорбат, бензоат, хлорбензоат, динитробензоат, гидроксибензоат, метоксибензоат, метилбензоат, о-ацетоксибензоат, нафталин-2-бензоат, бромид, изобутират, фенилбутират, -гидроксибутират, бутин-1,4-диоат, гексин-1,4-диоат, капрат, каприлат, хлорид, циннамат, цитрат, формиат, фумарат, гликоллат, гептаноат, гиппурат, лактат, малат, малеат, гидроксималеат, малонат, манделат, мезилат, никотинат, изоникотинат, нитрат, оксалат, фталат, терефталат, фосфат, вторичный кислый фосфат, первичный кислый фосфат, метафосфат, пирофосфат, пропиолат, пропионат, фенилпропионат, салицилат, себакат, сукциннат, суберат, сульфат, бисульфат, пиросульфат, сульфит, бисульфит, сульфонат, бензолсульфонат, р-бромфенилсульфонат, хлорбензолсульфонат, этансульфонат, 2-гидроксиэтансульфонат, метансульфонат, нафталин-1-сульфонат, нафталин-2-сульфонат, р-толуол-сульфонат, ксилолсульфонат, тартрат и подобные. Предпочтительной солью является хлористоводородная соль.
Фармацевтически приемлемые соли с кислотами образуются обычно путем взаимодействия соединения формулы I с эквимолярным или избыточным количеством кислоты. Реагенты обычно смешивают в общем растворителе, например диэтиловом эфире или бензоле. Соль обычно осаждается из раствора в течение времени от около одного часа до 10 дней и может быть выделена путем фильтрации или отгонкой растворителя с помощью общепринятых способов.
Основания, обычно используемые для образования солей, включают гидроксид аммония и карбонаты щелочных и щелочно-земельных металлов, а также алифатические и первичные, вторичные и третичные амины, алифатические диамины. Основания, в особенности пригодные при получении солей с основаниями, включают гидроксид аммония, карбонат калия, метиламин, диэтиламин, этилендиамин и циклогексиламин.
Фармацевтически приемлемые соли обычно имеют более высокую растворимость по сравнению с соединением, из которого они получены, и поэтому часто они более легко поддаются превращению в жидкости или эмульсии.
Лекарственные препараты могут быть получены с использованием методик, известных в данной области. Так, например, соединения могут быть использованы с обычными наполнителями, разбавителями или носителями и превращены в таблетки, капсулы, суспензии, порошки и подобные формы. Примеры наполнителей, разбавителей и носителей, которые являются подходящими для таких составов, включают следующие вещества: наполнители и разбавители, например крахмал, сахара, маннит и производные кремниевой кислоты; связующие средства, например карбоксиметилцеллюлозу и другие производные целлюлозы, альгинаты, желатин и поливинилпирролидон; увлажняющие средства, например глицерин; диспергаторы, например карбонат кальция и бикарбонат натрия; средства для замедления растворения, например парафин; ускорители всасывания, например четвертичные аммониевые соединения; поверхностно-активные вещества, например цетиловый спирт, глицеринмоностеарат; адсорбирующие носители, например каолин и бентонит; и смазывающие вещества, например тальк, стеарат кальция и магния и твердые полиэтилгликоли.
Соединения могут быть также применены в виде эликсиров или растворов для перорального приема или в виде растворов, подходящих для парентерального введения, например внутримышечно, подкожно или внутривенно. Кроме того, соединения хорошо подходят для применения в виде лекарственных форм пролонгированного действия и т.п. Препараты могут иметь такой состав, что они высвобождают активный ингредиент только лишь или предпочтительно в конкретной части кишечника, возможно, в течение некоторого периода времени. Покрытия, оболочки и защитные матрицы могут быть изготовлены, например, из полимерных веществ или восков.
Схема приема лекарственного средства и конкретная доза соединения формулы I, необходимая для снижения уровней кальция в сыворотке в соответствии с изобретением, будет зависеть от степени тяжести состояния, способа введения лекарственного препарата и других факторов, определяемых лечащим врачом. Обычно приемлемая и эффективная дневная доза будет составлять от около 0,1 до около 1000 мг/день и более типично от около 50 до около 600 мг/день, при этом предпочтительной является доза от 200 до 600 мг/день. Такие дозы вводят субъекту в случае их необходимости от одного до трех раз в день или, когда необходимо, более часто и в течение времени, достаточного для снижения уровня кальция в сыворотке больного.
Обычно считается предпочтительным вводить соединение формулы I в форме соли с кислотой, что является традиционным при введении фармацевтических препаратов, несущих основную группу, например пиперидиновое кольцо. Предпочтительно вводить такое соединение перорально. Для таких целей являются пригодными следующие лекарственные формы для перорального приема.
Лекарственные препаратыВ препаратах, которые будут представлены ниже, “Активный ингредиент” означает соединение формулы I Препарат 1: Желатиновые капсулы Твердые желатиновые капсулы приготовили с использованием следующих ингредиентов: Ингредиент – Количество (мг/капсулу) Активный ингредиент – 0,1-1000 Крахмал, NF – 0-650 Текучий порошок крахмала – 0-650 Силиконовая жидкость, 350 сантистоксов – 0-15 Ингредиенты смешали, пропустили через сито 45 меш США и поместили в твердые желатиновые капсулы. Примеры конкретных капсулированных препаратов ралоксифена включают показанные ниже. Препарат 2: Капсулы ралоксифена Ингредиент – Количество (мг/капсулу) Ралоксифен – 1 Крахмал, NF – 112 Текучий порошок крахмала – 225,3 Силиконовая жидкость, 350 сантистоксов – 1,7 Препарат 3: Капсулы ралоксифена Ингредиент – Количество (мг/капсулу) Ралоксифен – 5 Крахмал, NF – 108 Текучий порошок крахмала – 225,3 Силиконовая жидкость, 350 сантистоксов – 1,7 Препарат 4: Капсулы ралоксифена Ингредиент – Количество (мг/капсулу) Ралоксифен – 10 Крахмал, NF – 103 Текучий порошок крахмала – 225,3 Силиконовая жидкость, сантистоксов – 1,7 Препарат 5: Капсулы ралоксифена Ингредиент – Количество (мг/капсулу) Ралоксифен – 50 Крахмал, NF – 150 Текучий порошок крахмала – 397 Силиконовая жидкость, 350 сантистоксов – 3,0 Конкретные препараты, приведенные выше, могут быть изменены в соответствии с приемлемыми вариантами. Препарат в виде таблетки получали с использованием приведенных ниже ингредиентов. Препарат 6: Таблетки Ингредиент – Количество (мг/таблетку) Активный ингредиент – 0,1-1000 Целлюлоза, микрокристаллическая – 0-650 Диоксид кремния, тонкодисперсный – 0-650 Стеариновая кислота – 0-15 Компоненты смешали и прессовали для образования таблеток. Альтернативно, таблетки, каждая из которых содержала 0,1-1000 мг активного ингредиента, приготовили следующим образом: Препарат 7: Таблетки Ингредиент – Количество (мг/таблетку) Активный ингредиент – 0,1-1000 Крахмал – 45 Целлюлоза, микрокристаллическая – 35 Поливинилпирролидон (в виде 10% раствора в воде) – 4 Натрийкарбоксиметилцеллюлоза – 4,5 Стеарат магния – 0,5 Тальк – 0,5 Активный ингредиент, крахмал и целлюлозу пропустили через сито 45 меш США и тщательно смешали. С полученным порошком смешали раствор поливинилпирролидона и затем пропустили через сито 14 меш США. Полученные таким путем гранулы сушили при 50-60oC и пропустили через сито 18 меш США. Затем к гранулам добавили натрийкарбоксиметиловый крахмал, стеарат магния и тальк, предварительно пропущенные через сито 60 меш США, и после смешивания прессовали на таблеточной машине для получения таблеток. Суспензии, каждая из которых содержала 0,1-1000 мг лекарственного препарата на 5 мл дозу, приготовили следующим образом: Препарат 8: Суспензии Ингредиент – Количество (мг/5 мл). Активный ингредиент – 0,1-1000 мг Натрийкарбоксиметилцеллюлоза – 50 мг Сироп – 1,25 Раствор бензойной кислоты – 0,10 Вкусовые добавки – q.v. Красители – q.v. Очищенная вода до – 5 мл Лекарственное средство пропустили через сито 45 меш. США. и смешали с натрийкарбоксиметилцеллюлозой и сиропом для образования гладкой пасты. При перемешивании добавили раствор бензойной кислоты, вкусовые добавки и красители, разбавленные некоторым количеством воды. Затем для получения необходимого объема добавили достаточное количество воды. Методика испытаний В клиническом исследовании 1 двести пятьдесят одну (251) здоровую женщину постклимактерического периода распределили на четыре группы: Группа 1 – Ралоксифен HCl, 200 мг/день; Группа 2 – Ралоксифен HCl, 600 мг/день; Группа 3 – Премарин, 0,625 мг/день; или Группа 4 – Плацебо. В клиническом исследовании 2 167 здоровых женщин постклимактерического периода беспорядочно распределили на четыре группы: Группа 1 – Плацебо Группа 2 – Ралоксифен HCl, 200 мг/день; Группа 3 – Ралоксифен HCl, 50 мг/день; Группа 4 – Ралоксифен HCl, 10 мг/день. Период введения лекарственного средства для осуществления клинических исследований составил 8 недель. Для обоих исследований оценки безвредности лекарственного средства, осуществленные в клинической лаборатории, включали клинический анализ сыворотки крови и оценку клинической биохимии обследуемой группы в начале исследований и спустя 2, 4 и 8 недель. После завершения данные исследований подвергли статистическому анализу. Полезность соединений изобретения иллюстрируется тем влиянием, которое они оказывают на уровень кальция в сыворотке, когда их используют в вышеприведенных исследованиях. Формула изобретения
![]() в которой R1 и R3 независимо являются водородом, -СН3-, ![]() или ![]() где Аr является необязательно замещенным фенилом; R2 выбирают из группы, состоящей из пирролидино, гексаметиленимино и пиперидино; или его фармацевтически приемлемых солей или сольвата. 2. Способ по п.1, в котором соединением является его хлористоводородная соль. 3. Способ по п.1, в котором соединением является ![]() или его хлористоводородная соль. 4. Способ по п.1, где больной страдает гиперкальциемией. MM4A Досрочное прекращение действия патента Российской Федерации на изобретение из-за неуплаты в установленный срок пошлины за поддержание патента в силе
Дата прекращения действия патента: 30.01.2003
Извещение опубликовано: 20.11.2004 БИ: 32/2004
|
||||||||||||||||||||||||||


или
где Ar является необязательно замещенным фенилом;
-гидроксибутират, бутин-1,4-диоат, гексин-1,4-диоат, капрат, каприлат, хлорид, циннамат, цитрат, формиат, фумарат, гликоллат, гептаноат, гиппурат, лактат, малат, малеат, гидроксималеат, малонат, манделат, мезилат, никотинат, изоникотинат, нитрат, оксалат, фталат, терефталат, фосфат, вторичный кислый фосфат, первичный кислый фосфат, метафосфат, пирофосфат, пропиолат, пропионат, фенилпропионат, салицилат, себакат, сукциннат, суберат, сульфат, бисульфат, пиросульфат, сульфит, бисульфит, сульфонат, бензолсульфонат, р-бромфенилсульфонат, хлорбензолсульфонат, этансульфонат, 2-гидроксиэтансульфонат, метансульфонат, нафталин-1-сульфонат, нафталин-2-сульфонат, р-толуол-сульфонат, ксилолсульфонат, тартрат и подобные. Предпочтительной солью является хлористоводородная соль.
Фармацевтически приемлемые соли с кислотами образуются обычно путем взаимодействия соединения формулы I с эквимолярным или избыточным количеством кислоты. Реагенты обычно смешивают в общем растворителе, например диэтиловом эфире или бензоле. Соль обычно осаждается из раствора в течение времени от около одного часа до 10 дней и может быть выделена путем фильтрации или отгонкой растворителя с помощью общепринятых способов.
Основания, обычно используемые для образования солей, включают гидроксид аммония и карбонаты щелочных и щелочно-земельных металлов, а также алифатические и первичные, вторичные и третичные амины, алифатические диамины. Основания, в особенности пригодные при получении солей с основаниями, включают гидроксид аммония, карбонат калия, метиламин, диэтиламин, этилендиамин и циклогексиламин.
Фармацевтически приемлемые соли обычно имеют более высокую растворимость по сравнению с соединением, из которого они получены, и поэтому часто они более легко поддаются превращению в жидкости или эмульсии.
Лекарственные препараты могут быть получены с использованием методик, известных в данной области. Так, например, соединения могут быть использованы с обычными наполнителями, разбавителями или носителями и превращены в таблетки, капсулы, суспензии, порошки и подобные формы. Примеры наполнителей, разбавителей и носителей, которые являются подходящими для таких составов, включают следующие вещества: наполнители и разбавители, например крахмал, сахара, маннит и производные кремниевой кислоты; связующие средства, например карбоксиметилцеллюлозу и другие производные целлюлозы, альгинаты, желатин и поливинилпирролидон; увлажняющие средства, например глицерин; диспергаторы, например карбонат кальция и бикарбонат натрия; средства для замедления растворения, например парафин; ускорители всасывания, например четвертичные аммониевые соединения; поверхностно-активные вещества, например цетиловый спирт, глицеринмоностеарат; адсорбирующие носители, например каолин и бентонит; и смазывающие вещества, например тальк, стеарат кальция и магния и твердые полиэтилгликоли.
Соединения могут быть также применены в виде эликсиров или растворов для перорального приема или в виде растворов, подходящих для парентерального введения, например внутримышечно, подкожно или внутривенно. Кроме того, соединения хорошо подходят для применения в виде лекарственных форм пролонгированного действия и т.п. Препараты могут иметь такой состав, что они высвобождают активный ингредиент только лишь или предпочтительно в конкретной части кишечника, возможно, в течение некоторого периода времени. Покрытия, оболочки и защитные матрицы могут быть изготовлены, например, из полимерных веществ или восков.
Схема приема лекарственного средства и конкретная доза соединения формулы I, необходимая для снижения уровней кальция в сыворотке в соответствии с изобретением, будет зависеть от степени тяжести состояния, способа введения лекарственного препарата и других факторов, определяемых лечащим врачом. Обычно приемлемая и эффективная дневная доза будет составлять от около 0,1 до около 1000 мг/день и более типично от около 50 до около 600 мг/день, при этом предпочтительной является доза от 200 до 600 мг/день. Такие дозы вводят субъекту в случае их необходимости от одного до трех раз в день или, когда необходимо, более часто и в течение времени, достаточного для снижения уровня кальция в сыворотке больного.
Обычно считается предпочтительным вводить соединение формулы I в форме соли с кислотой, что является традиционным при введении фармацевтических препаратов, несущих основную группу, например пиперидиновое кольцо. Предпочтительно вводить такое соединение перорально. Для таких целей являются пригодными следующие лекарственные формы для перорального приема.
Лекарственные препараты


