Патент на изобретение №2176478
|
||||||||||||||||||||||||||
(54) СПОСОБ ОПРЕДЕЛЕНИЯ ДАВНОСТИ НАСТУПЛЕНИЯ СМЕРТИ
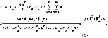
(57) Реферат: Изобретение относится к медицине, в частности к судебной медицине. Способ характеризуется тем, что определение давности смерти включает регистрацию перепадов ректальной температуры и температуры окружающей среды, измерение толщины трупа, построение математической модели, расчет и анализ полученных значений температур, при этом, если это труп новорожденного, дополнительно измеряют окружность головы, груди и живота, измеряют длину трупа и его массу, а измерение перепадов указанных температур осуществляют в две стадии, на первой стадии измерения проводят в течение не менее двух часов на месте происшествия, а затем, в морге, дополнительно определяют коэффициент теплообмена (внешней теплопроводности в краевых условиях) и средний радиус толщины трупа для осуществления расчета, составляют зависимость температуры от времени, а время наступления давности смерти определяют путем сравнения начальной температуры трупа с температурными данными таблицы. Способ обеспечивает сокращение сроков и точность определения. 2 з.п. ф-лы, 2 табл. Изобретение относится к области медицины, в частности к судебной медицине, и касается способа определения давности наступления смерти. Одной из основных проблем судебно-медицинской науки и практики, способствующих раскрытию преступлений против жизни, является объективная конкретизация сроков давности наступления смерти. Существует большое число способов, включающих процесс моделирования динамики изменения температуры трупа во времени и направленных на повышение точности определения времени смерти. Известен способ определения давности наступления смерти, включающий регистрацию перепада температур трупа и окружающей среды на месте происшествия, при котором дополнительно определяют разницу между нормальной температурой человеческого тела и температурой трупа, после чего определяют температуру трупа в условиях исследования, затем труп охлаждают до температуры, равной разнице между температурой трупа и перепадом температур между температурой человеческого тела и окружающей среды на месте происшествия, и ведут охлаждение до достижения перепада температур между трупом и окружающим воздухом на месте происшествия, а по времени охлаждения трупа определяют давность наступления смерти (SU 959749, A 61 B 10/00, 1982 г.). Известный способ основан на моделировании процесса охлаждения трупа. Однако способ сложен в осуществлении. Кроме того, ввиду искусственного создания условий теплообмена между трупом и средой анализ полученных данных не является достаточно точным. Известен способ определения давности наступления смерти, включающий регистрацию перепада температуры трупа, температуры окружающей среды, измерение массы тела, его толщины, математическое моделирование динамики температуры в постмортальном периоде путем создания бесконечного цилиндра, имитирующего процесс изменения температуры исследуемого трупа, построение графика динамики температуры от времени и анализ полученных данных (Толстолуцкий В.Ю. Математическое моделирование динамики температуры в постмортальном периоде для определения давности наступления смерти. Автореф. дис. на соискание ученой степени д. м. н.- М.: НИИСМ, 1995). Измерения проводились методом динамической термометрии в печени, бедре, прямой кишке путем погружения на заданную величину, определялась толщина трупа, при этом ректальная температура приводилась в безразмерных единицах для повышения точности. Кроме того, измерения осуществляли через интервалы 15-30 мин. Форма трупа аппроксимировалась цилиндром бесконечной длины. Было использовано решение основного уравнения теплопроводности для имитации моделирования посмертного охлаждения, результаты решения которого были оформлены в виде графиков. Расчет значений температуры проводился посредством компьютерных приемов обработки, что значительно сократило время оценки полученных результатов. Недостатком указанного способа является невысокая точность результатов анализа и невозможность его применения для определения давности смерти новорожденного. Наиболее близким аналогом изобретения является способ определения давности наступления смерти, включающий регистрацию перепадов ректальной температуры трупа и температуры окружающей среды, измерение толщины трупа, построение математической модели с использованием экспоненциального уравнения (основанного на Ньютоновском законе охлаждения), применение численных методов расчета на компьютере и анализ полученных по кривой ректальной температуры (KOUICHI HIRAIWA, YOUKICHI OHNO, FUSAKUNI KURODA, ISMAIL M.SEBETAN, SHIGEMI OSHIDA. Estimation of Postmortem Interval from Rectal Temperature by Use of Computer.- Med. Sci.Law (1980) Vol. 20, N 2, p.115-125). Известный способ включает операцию построения тела человека в качестве модели бесконечного цилиндра, при котором определялось влияние величины радиуса цилиндра на результаты измерения. Недостатком указанного способа является невысокая точность результатов исследования в случае применения при определении давности смерти новорожденного, т. к. в уравнении изменения ректальной температуры не используется коэффициент теплообмена (внешней теплопроводности в краевых условиях) из-за трудности его определения, как указывают авторы, а также не подходит методика определения толщины трупа (R) применительно к новорожденному, не учитывается длина трупа. Таким образом, указанные известные способы не обладают достаточной достоверностью результатов измерения для определения давности смерти в случае использования их при исследовании трупа новорожденного. Новорожденный не является взрослым в миниатюре, у которого были бы пропорционально уменьшены все размеры. Если попытаться судить о новорожденном по критериям, предъявляемым взрослому организму, новорожденный покажется диспропорциональным. (А. Андронеску. Анатомия ребенка. – Бухарест: изд-во Меридиане, 1970; Ф.Ф.Сакс. Атлас по топографической анатомии новорожденного.- М.: Медицина, 1993). У новорожденного голова более округлая и составляет 1/4 часть всей длины тела, в то время как у взрослого это соотношение равно 1/7-1/8. Шея и грудь короткие, живот очень длинный, таз развит слабо. По сравнению с длиной тела – ноги короткие. Создается впечатление, что новорожденный состоит из головы и туловища. Исходя из вышеизложенного специфика решения этого вопроса не вызывает сомнения. Техническим результатом изобретения является обеспечение точности, сокращение сроков и простота определения давности наступления смерти трупа новорожденного. Технический результат обеспечивается тем, что в способе определения давности наступления смерти, включающем регистрацию перепадов ректальной температуры трупа и температуры окружающей среды, измерение толщины трупа, построение математической модели, расчет и анализ полущенных значений температур для определения времени смерти, исследуемым трупом является труп новорожденного, при этом дополнительно измеряют окружность его головы, груди, живота, длину и массу тела, измерение ректальной температуры осуществляют на глубине 4-5 см, а измерение окружающей среды осуществляют на уровне трупа, при этом регистрацию перепадов измерений ректальной температуры и температуры окружающей среды осуществляют в две стадии: на первой стадии измерения перепадов указанных температур осуществляют на месте происшествия в течение не менее двух часов, а на второй стадии измерения указанных температур проводят в морге, причем дополнительно определяют коэффициент теплообмена (внешней теплопроводности в краевых условиях) исследуемого трупа для использования его при расчете значений температур в заданные моменты времени, составляют зависимость рассчитанных значений температур от времени, а время наступления смерти исследуемого трупа определяют путем сравнения начальной величины температуры, измеренной на месте происшествия, с температурными данными, полученными в результате расчета. Кроме того, при осуществлении способа определения давности смерти измерение перепадов ректальной температуры и температуры окружающей среды проводят с интервалом, равным 30 мин. Кроме того, рассчитанные значения температур и время, соответствующее этим значениям, представляют в виде таблицы зависимости указанных величин. Сущность изобретения. Способ определения давности смерти включает регистрацию на месте происшествия измерений ректальной температуры с интервалом в 30 мин посредством измерительного прибора, например термощупа, который размещают в прямой кишке трупа новорожденного на глубину 4-5 см, при этом на уровне исследуемого трупа новорожденного производят измерение и регистрацию показаний температуры окружающей среды с использованием известных приборов, предназначенных для этой цели. Измерения указанных температур осуществляют на месте происшествия в течение времени не менее двух часов, после чего труп новорожденного направляют в морг, где продолжают последовательное измерение (через 30 мин) и регистрацию указанных величин температур. Данные измерений вносят в таблицу. Одновременно производят измерение антропометрических данных трупа, а именно: окружность головы, грудной клетки и живота, длины и массы его тела. С учетом полученных данных тело исследуемого трупа апроксимируют в виде конечного цилиндра, длина которого равна длине трупа, а величина его радиуса является средней величиной, полученной при измерении антропометрических данных трупа. В среднем период проведения измерений перепадов ректальной температуры составляет 8-10 ч. Для обеспечения повышения точности способа осуществляют перевод полученных величин температур в безразмерные величины согласно соотношению: Q=[T(x,t)-Tc]/[To-Tc/,(1) где Q – безразмерная температура трупа; T(x,t) – температура трупа, измеренная на глубине х см на момент времени t; Тс – температура среды; То – начальная температура охлаждения тела. Затем рассчитывают коэффициент теплообмена (внешней теплопроводности в краевых условиях) “h” исследуемого трупа новорожденного посредством специально разработанной компьютерной программы, которую используют в основном уравнении теплопроводности (Г. Карслоу, Д.Егер.- Теплопроводность твердых тел. – М.: Наука, 1964 г.) при четко заданных начальных и граничных условиях для теоретического расчета процесса охлаждения исследуемого трупа, вводя в него дополнительно предварительно рассчитанные значения коэффициента теплообмена (внешней теплопроводности в краевых условиях) – h для граничных условий данного трупа новорожденного и среднюю величину его радиуса (R): ![]() ![]() Разработанная математическая модель, в которой учитываются средний размер радиуса исследуемого трупа, его длина, а также предварительно рассчитанный коэффициент теплообмена (внешней теплопроводности в краевых условиях) конкретного трупа и переменная величина – температура окружающей среды, позволяет повысить точность способа определения давности смерти. Расчет значений температур в соответствии с указанной формулой (2) в заданные отрезки времени осуществляют на компьютере. Полученные расчетные данные величины температуры в заданные отрезки времени представляют, например, в виде таблицы зависимости температуры и времени. Затем производят сравнение величины начальной температуры трупа, измеренной на месте происшествия, с температурными данными таблицы для определения времени смерти исследуемого трупа новорожденного. Использование в уравнении коэффициента теплообмена (внешней теплопроводности в краевых условиях), среднего значения радиуса толщины тела и значения температур в безразмерных единицах обеспечивает повышение точности определения времени смерти. Кроме того, использование компьютера для осуществления расчетов температур сокращает время для определения давности смерти. Способ согласно изобретению прост в реализации и не требует специальных технических средств и приемов. Пример. Труп новорожденного Н. обнаружен в лесном массиве на берегу пруда, лежащим в позе эмбриона на правом боку на земле. Температура окружающего воздуха на уровне трупа (Тс) +19oC, ректальная температура (То) равна +31,1oC при глубине погружения термощупа, равной 4,5 см. В течение двух часов на месте происшествия с интервалом в 30 минут проводили измерение перепадов ректальной температуры и температуры окружающей среды с регистрацией измеренных величин в специальной таблице с указанием времени измерения (таблица 1), после чего труп новорожденного направляют в танатологическое отделение (судебно-медицинский морг), где продолжают проводить измерение выше указанных температур, регистрируя значения измерений в названной таблице 1. Процесс измерений указанных температур через 8,5 ч прекращают. Одновременно с измерениями перепадов температур осуществляют измерение антропометрических данных трупа: длина трупа – 53 см, вес – 3550 грамм, окружность головы – 33,5 см, груди – 33 см, живота – 34 см. Затем переводят согласно уравнения (1) величины измеренных температур переводят в безразмерные величины: Q = [1, 0.8595, 0.7355, 0.6777, 0.5785, x, x, x, x, x x, 0.2066, 0.1901, 0.1736, 0.157, 0.1405, 0.1240, 0.1074], где каждый “х” обозначает пропущенный результат измерения при транспортировке тела в морг, через интервал 30 мин, проводят расчет коэффициента теплообмена с помощью компьютера исследуемого трупа (внешней теплопроводности в краевых условиях) h=0,164, определяют среднее значение радиуса толщины тела R=5,3 см и с учетом плотности тела новорожденного величины названных параметров подставляют в уравнение теплопроводности (2) и посредством компьютерной специальной программы осуществляют расчет значений температур в заданные моменты времени, которые для удобства анализа результатов представляют в виде таблицы значений температуры в зависимости от времени измерения (таблица 2). Для определения времени давности смерти исследуемого трупа новорожденного сравнивают величину начальной температуры исследуемого трупа, измеренной на месте происшествия +31,1oC, со значениями величин температур в таблице 2. В результате сравнения установили, что измеренная температура находится между двумя значения расчетных температур: 31,73 и 29,63. Следовательно, время давности смерти составляет от 1,5 до 2 ч. По оперативно-следственным данным давность наступления смерти составляет 1 ч 35 минут. Формула изобретения
РИСУНКИ
MM4A Досрочное прекращение действия патента Российской Федерации на изобретение из-за неуплаты в установленный срок пошлины за поддержание патента в силе
Дата прекращения действия патента: 04.03.2005
Извещение опубликовано: 20.11.2004 БИ: 32/2004
TK4A – Поправки к публикациям сведений об изобретениях в бюллетенях “Изобретения (заявки и патенты)” и “Изобретения. Полезные модели”
Страница: 768
Напечатано: Дата прекращения действия 04.03.2005
Следует читать: Дата прекращения действия 03.03.2003
Номер и год публикации бюллетеня: 32-2004
Код раздела: MM4A
Извещение опубликовано: 20.12.2004 БИ: 35/2004
|
||||||||||||||||||||||||||


