Патент на изобретение №2176450
|
||||||||||||||||||||||||||
(54) ФУНГИЦИДНАЯ КОМПОЗИЦИЯ И СПОСОБ ПОДАВЛЕНИЯ ЗАБОЛЕВАНИЙ РАСТЕНИЙ
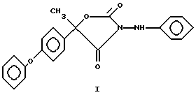
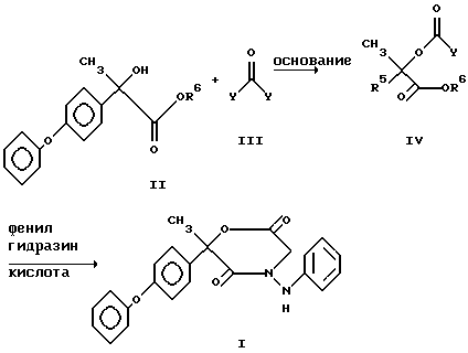
(57) Реферат: Описывается новая фунгицидная композиция, содержащая фунгицидно эффективное количество смеси (а) 5-метил-5-(4-феноксифенил)-3-фениламино-2,4-оксазолидинона, (б) цимоксанила и, необязательно, (с) добавки для уменьшения пены или жидкий разбавитель, являющийся кетоном, где массовое отношение компонента (а) к компоненту (в) составляет 17:1 – 1:100. Описывается способ подавления заболеваний растений, вызванных грибковыми патогенами растений, использующий указанную композицию. Технический результат – получение композиции, проявляющей синергический эффект. 2 c. и 15 з.п. ф-лы, 8 табл. Настоящее изобретение относится к сельскохозяйственно приемлемым композициям, содержащим благоприятное сочетание некоторых фунгицидных соединений оксазолидинона с другим фунгицидом, и к способам использования таких композиций для подавления грибковых заболеваний некоторых растений. Фунгициды, эффективно подавляющие заболевания растений, находятся в постоянной потребности у растениеводов. Заболевания растений приносят очень большой вред, с ними трудно бороться, и к коммерческим фунгицидам быстро вырабатывается резистентность. Сочетания пестицидов часто используют для облегчения подавления заболевания, для расширения спектра подавления и для замедления развития резистентности. В данной области признано, что преимущества конкретных сочетаний пестицидов могут часто меняться в зависимости от таких факторов, как конкретное растение и заболевание растения, подвергаемое лечению, и условия обработки. В WO 90/12791 описаны некоторые соединения оксазолидинона, такие как фунгициды, включая 5-метил-5-(4-феноксифенил)-3-фениламино- 2,4-оксазолидинон (т. е. соединение формулы I, определенное здесь ниже). В US 3954992 описан цимоксанил в качестве фунгицида. Синергические сочетания цимоксанила и оксазолиденилацетамидов, таких как оксадиксил, описаны в US 4507310. В этих ссылках не описаны, не предложены синергические композиции, содержащие оксазолидинон и цимоксанил. Краткое изложение сущности изобретения Данное изобретение относится к благоприятному сочетанию цимоксанила (и/или его сельскохозяйственно приемлемой соли) и оксазолидинона формулы I. Данное изобретение охватывает фунгицидно активные композиции, содержащие фунгицидно эффективное количество смеси (а) по крайней мере одного соединения, выбранного из оксазолидинона формулы I и его сельскохозяйственно приемлемых солей, и (b) по крайней мере одного соединения, выбранного из цимоксанила и его сельскохозяйственно приемлемых солей, и, необязательно, (с) по крайней мере одного из поверхностно-активного вещества, твердого разбавителя или жидкого разбавителя, где массовое отношение компонента (а) к компоненту (b) составляет от около 17:1 до около 1:100. ![]() Соединение формулы I известно также как 5-метил-5-(4- феноксифенил)-3-фениламино-2,4-оксазолидинон. Данное изобретение также охватывает способы подавления заболеваний растений, вызванных грибковыми патогенами растений, которые заключаются в нанесении на растение или на его части, которые должны быть защищены, или на семена растений или на рассаду, которые должны быть защищены, одного из следующих: 1) эффективного количества фунгицидной композиции, содержащей (a) соединение формулы I, как определено выше, или его сельскохозяйственно приемлемую соль, (b) цимоксанил или его сельскохозяйственно приемлемую соль и (c) по крайней мере одно из поверхностно-активного вещества, твердого разбавителя или жидкого разбавителя, 2) (i) эффективного количества первой композиции, содержащей (a) соединение формулы I, как определено выше, или его сельскохозяйственно приемлемую соль, и (c1) по крайней мере одно из поверхностно-активного вещества, твердого или жидкого разбавителя, и (ii) эффективное количество второй композиции, содержащей (b) цимоксанил или его сельскохозяйственно приемлемую соль, и (c2) по крайней мере одно из поверхностно-активного вещества, твердого разбавителя или жидкого разбавителя, где указанные первая и вторая композиции наносятся последовательно в любом порядке, или 3) эффективного количества физической смеси первой и второй композиций, как определено в (2) выше. Массовое соотношение наносимых соединения (a) и соединения (b) обычно составляет от около 17:1 к 1:100, и соединение (a) и соединение (b) обычно наносят в количествах, эффективных для обеспечения подавления грибкового заболевания, которое проявляется значительнее, чем аддитивное подавление этого грибкового заболевания при использовании соединения (a) и соединения (b) отдельно. Подробное описание изобретения. Было обнаружено, что подавление некоторых заболеваний растений сочетаниями соединения формулы I и цимоксанила по существу неожиданно сильнее, чем просто аддитивное подавление указанных компонентов. Цимоксанил, торговая марка Curzate , является коммерчески доступным лиственным фунгицидом для подавления заболеваний поздним фитофторозом и ложной мучнистой росой, особенно для системного и лечебного подавления фитофтороза картофеля и ложной мучнистой росы винограда, и имеет формулу![]() который также известен как 2-циано-N-[(этиламино)-карбонил] -2-(метоксиимино)ацетамид. Соединение формулы I может существовать в виде энантиомеров. Специалисту в данной области понятно, что один энантиомер может быть более активным и/или может показывать полезные результаты, когда обогащен относительно другого энантиомера или когда отделен от другого энантиомера. Дополнительно, специалисту в данной области известно, как разделить, обогатить и/или селективно получить указанные энантиомеры. Соответственно, настоящее изобретение включает композиции индивидуальных энантиомеров или оптически активных смесей оксазолидинона формулы I, а также его сельскохозяйственно приемлемых солей, в смеси с цимоксанилом или его сельскохозяйственно приемлемой солью. ![]() Цимоксанил может быть получен способами, описанными в US 3954992. Получение композиций по настоящему изобретению, содержащих цимоксанил и соединение формулы I, обсуждается далее в заявке. Соединение формулы I может быть получено, как изображено на схеме 1 и описано в WO 94/11359. Схема 1 ![]() где R6 представляет C1-C4 алкил; Y представляет 1-имидазолил или 1,2,4-триазолил Подходящие реакционные условия для получения соединения формулы I являются следующими. Для превращения сложных эфиров формулы II в соединения формулы IV подходящие растворители включают инертные органические растворители. Предпочтительными растворителями являются метиленхлорид, хлороформ, тетрахлоруглерод, гексан, тетрагидрофуран, трет-бутилметиловый эфир, диоксаны, хлорбензол, о-дихлорбензол (ОДХБ), толуол, ксилолы и подходящие их сочетания. Наиболее предпочтительные растворители выбраны из группы, включающей хлорбензол, ОДХБ, толуол и ксилолы. Температуры реакции могут колебаться в пределах от около 10oC до около 75oC. Предпочтительные температуры составляют от около от 40oC до около 60oC. Подходящее давление реакции составляет от около 1,0 105 Паскалей (0,987 атм) до около 5,1 105 Паскалей (5,033 атм). Предпочтительным является давление 1 105 Паскалей (0,987 атм). Время реакции обычно составляет от 1 до 24 часов, предпочтительно от 3 до 6 часов. Подходящее отношение соединений формул III и II составляет от около 1:1 до 2:1. Предпочтительным является отношение от около 1,1:1 до 1,8:1. Подходящие основания для этой реакции включают триалкиламины, имидазол, пиридин, пиколины или другие замещенные производные пиридина.
Для превращения соединений формулы IV в 2,4-оксазолидиндион формулы I подходящими растворителями являются указанные выше для конденсации соединений формул II и III. Предпочтительными растворителями являются описанные выше как предпочтительные. Температура реакции составляет от около 0oC до около 75oC. Предпочтительной является температура от около 10oC до 50oC. Давление реакции составляют от около 1,0 105 Паскалей (0,987 атм) до около 5,1 105 Паскалей (5,033 атм). Предпочтительным является давление 1 105 Паскалей (0,987 атм). Время реакции обычно составляет от 1 до 24 часов, предпочтительно от 2 до 6 часов. Подходящие кислоты для катализа реакции выбраны из группы, включающей алкил- или арил-карбоновые кислоты, галогениды триалкиламмония и их сочетания. Предпочтительными кислотами являются уксусная кислота и хлорид триэтиламмония. Наиболее предпочтительной кислотой является хлорид триэтиламмония. Подходящие соотношения фенилгидразина и соединения формулы IV составляют от около 2:1 до 1:1. Предпочтительным является соотношение от около 1,6:1 до 1:1.
Карбонилирующий агент формулы III может быть добавлен в виде чистого соединения, раствора чистого соединения в инертном растворителе, или получен in situ в присутствии сложного эфира формулы II. Предпочтительный способ включает получение карбонилирующего агента in situ.
Способы получения соединений формулы III, включая способы in situ, исходя из фосгена [или эквивалентов фосгена, таких как дифосген (трихлорметилхлорформиат) или трифосген [бис (трихлорметил) карбонат)], и либо имидазола, либо триазола являются известными в данной области (см. Org. Syntheses. Coll. Vol. 5, 201, (1973)). Для реакций с выделением HCl требуется присутствие основания для улавливания кислоты. Подходящим основанием является триалкиламин или имидазол, или их сочетание. Предпочтительным основанием является триэтиламин. 1,1′-Карбонилдитриазол (формула III, где Y= 1,2,4-триазолил) может быть также получен обработкой соли щелочного металла триазола, предпочтительно соли калия, фосгеном (или эквивалентом фосгена) в растворителе. К реакционным смесям, в которых соль триазола имеет низкую растворимость в растворителе, предпочтительно добавляют катализаторы фазового переноса. Например, катализаторы фазового переноса являются предпочтительными, когда используются ксилолы или толуол. Подходящим является любой катализатор фазового переноса, известный специалистам в данной области. Предпочтительными являются тетраалкиламмоний галогениды. Соль триазола получают путем обработки триазола подходящим основанием, таким как гидроксид натрия или этоксид натрия. Предпочтительное количественное соотношение основания щелочного металла к триазолу и к фосгену составляет 0,5:1,0:0,6.
Для катализирования конденсации соединений формул II и III основание также необходимо. Как ранее было установлено, подходящими основными катализаторами являются триалкиламины, имидазол, пиридин, пиколины или другие замещенные пиридины. Когда используется 1,1′-карбонилдиимидазол (соединение формулы III, где Y=1-имидазолил), служит катализатором имидазол, который высвобождается при взаимодействии с соединением формулы II. Когда используется 1,1′-карбонилдитриазол, предпочтительным основанием является пиридин, пиколин или смесь изомеров пиколина.
Соединения формулы IV могут быть выделены и очищены, или подвергнуты взаимодействию in situ фенилгидразином и кислотой с образованием 2,4-оксазолидиндиона формулы I. Предпочтительный способ включает взаимодействие соединения формулы IV in situ с фенилгидразином. После завершения образования карбамата формулы IV избыток карбонилирующего агента может быть разложен добавлением воды.
Эфиры 2-гидроксикарбоновой кислоты формулы II могут быть получены рядом способов, известных в литературе:(1) Они могут быть образованы из соответствующих 2-гидроксикарбоновых кислот путем этерификации, как это хорошо известно из литературы. 2-Гидроксикарбоновые кислоты могут быть получены из метилкетонов путем образования цианогидринов, затем гидролизом, как это также известно. Например, в Org. Syntheses. Coll. Vol. 4, 58 (1968) исследуется получение атролактоновой кислоты из ацетофенона. (2) Сложные эфиры могут также быть синтезированы из цианогидринов кетонов путем обработки спиртами в присутствии HCl с получением гидрохлоридов иминоэфиров с последующим гидролизом. (3) Третий способ, известный для получения 2-гидроксикарбоновых кислот и сложных эфиров включает обработку 2-кетокислот или 2-кетоэфиров нуклеофильными металлоорганическими реагентами, такими как реагенты Гриньяра и алкил- или арил-литиевые реагенты. Например, R.G. Salomon et al. исследовали получение некоторых сложных эфиров формулы II путем добавления арильных реагентов Гриньяра к эфирам пировиноградной кислоты (J. Org. Chem. (1982), 47, 4692). Аналогично могут быть получены некоторые 2-гидроксикарбоновые кислоты путем региоселективного нуклеофильного добавления арильного металлоорганического реагента к соли металла (например, соли натрия) пировиноградной кислоты. (4) Еще один способ описан в литературе для получения некоторых 2-арил-2-гидроксиэфиров кислот путем ацилирования ароматических колец активированными карбонильными соединениями в присутствии протонной кислоты или кислоты Льюиса. Ароматическими субстратами, способными к проведению реакций этого типа, являются бензол, дифениловый эфир и другие ароматические соединения, известные как обладающие достаточной реакционной способностью для проведения реакций Фриделя-Крафтса. В случае монозамещенных производных бензола ацилирование происходит предпочтительно, но не абсолютно обязательно, в пара положение по отношению к месту присоединения заместителя. Например, см. Org. Synth, Coll. Vol. 3, 326, (1955), Salomon et al., J. Org. Chem., (1982), 47, 4692, и патент США 4922010. Карбонильные соединения, известные для проведения этой реакции, включают эфиры пировиноградной кислоты, эфиры глиоксиловой кислоты и диэфиры оксомалоновой кислоты. Используемыми в реакции ацилирования кислотами могут быть либо протонными по природе, например смесь уксусной и серной кислот, либо кислотой Льюиса, такой как хлорид алюминия, тетрахлорид олова, тетрахлорид титана, или другой кислотой Льюиса, известной для проведения реакций Фриделя-Кратса. Кислота может быть использована либо в каталитических количествах, либо в избытке. В некоторых случаях кислота может взаимодействовать с карбонильным субстратом, и должен быть использован избыток карбонильного соединения. Фунгициды, которые эффективно подавляют грибки растений, в частности, класса оомицетов, такие как Phytophthora spp. и Plasmopara spp., постоянно требуются растениеводам. Сочетание фунгицидов часто используют для облегчения подавления заболевания и для замедления развития резистентности. Смеси фунгицидов могут обеспечивать значительно лучшее подавление заболевания, чем можно было предположить на основе активности индивидуальных компонентов. Этот синергизм был описан как “кооперативное действие двух компонентов смеси, такое, что общий эффект значительнее или более длителен, чем сумма эффектов этих двух (или более), взятых независимо” (см. Tames, P.M.L., Neth.J. Plant Pathology, (1964), 70, 73-80). Было обнаружено, что композиции, содержащие соединение формулы I и цимоксанил, проявляют синергические эффекты. Наличие синергического эффекта у двух активных ингредиентов установлено с помощью уравнения Колби (см. Colby, S.R., Calculating Synergistic and Antagonistic Responses of Herbicide Combinations, Weeds, (1967), 15, 20-22): ![]() Используя методы Колби, наличие синергетического взаимодействия между двумя активными ингредиентами устанавливают, рассчитывая сперва предсказанную активность смеси, p, на основе активностей двух компонентов, используемых отдельно. Если p ниже, чем экспериментально определенный эффект, синергизм присутствует. В указанном выше уравнении А означает фунгицидную активность в процентах подавления одним компонентом, применяемым отдельно при норме нанесения x. Термин В означает фунгицидную активность в процентах подавления вторым компонентом, применяемым отдельно при норме нанесения y. Уравнение равно p, фунгицидной активности смеси A при норме нанесения x и В при норме нанесения y, если их эффекты строго суммарны и взаимовлияние отсутствует. В данном изобретении фунгицидную активность композиций соединения формулы I и цимоксанила, взятых отдельно, сравнивают с активностью для композиций соединения формулы I и цимоксанила. Основываясь на описании синергизма, разработанном Колби, композиции по настоящему изобретению считаются синергетически пригодными. Более конкретно, могут быть синергетическими композиции, содержащие (а) по крайней мере одно соединение, выбранное из 5-метил-5-(4-феноксифенил)-3- фениламино-2,4-оксазолидинона и его сельскохозяйственно приемлемых солей, (b) по крайней мере одно соединение, выбранное из 2-циано-N-[(этиламино)карбонил]-2- (метокси-имино)ацетамида и его сельскохозяйственно приемлемых солей, и (c) по крайней мере одно из поверхностно-активного вещества, твердого разбавителя или жидкого разбавителя, где массовое соотношение компонента (a) и компонента (b) находится между около 17: 1 и около 1:100. Кроме того, композиции, содержащие компоненты (a) и (b) по отдельности, могут быть подходящим образом смешаны с необязательным разбавителем перед нанесением на культуру, которую необходимо защитить. Массовое соотношение компонента (a) и компонента (b) предпочтительно составляет от около 8:1 до около 1:25; и наиболее предпочтительно от около 4:1 до около 1: 10. Особо можно указать композиции, где массовое соотношение компонента (a) и компонента (b) составляет от около 3:2 до около 1:3. Таким образом, данное изобретение относится к улучшенному способу борьбы с грибками, в частности с грибками класса оомицетов, такими как Phytophthora spp. и Plasmopara spp., на культурах, особенно на картофеле, винограде и томатах. Составы на основе соединения формулы I и цимоксанила могут быть приготовлены двумя путями: 1. На основе соединения формулы I цимоксанила могут быть отдельно приготовлены составы и их наносят отдельно или одновременно при соответствующем массовом соотношении, например в виде смеси в резервуаре; или 2. Может быть приготовлен состав на основе соединения формулы I цимоксанила, взятых вместе, при указанном выше массовом соотношении. Фунгицидная композиция по настоящему изобретению содержит эффективное количество смеси соединения формулы I и цимоксанила, указанных выше, в качестве активных ингредиентов и по крайней мере одного из поверхностно-активного вещества, твердого разбавителя или жидкого разбавителя. Композиция по данному изобретению обычно используется в виде состава, содержащего сельскохозяйственно приемлемый носитель, включая жидкий или твердый разбавитель и/или поверхностно-активное вещество, где состав соответствует физическим свойствам активных ингредиентов, методу нанесения и условиям окружающей среды, таким как тип почвы, влажность и температура. Пригодные составы включают жидкости, такие как растворы (включая образующие эмульсии концентраты), суспензии, эмульсии (включая микроэмульсии и/или саспоэмульсии) и тому подобное, которые необязательно могут сгущаться в гель. Пригодные составы, кроме того, включают твердые вещества, такие как пыль, порошки, гранулы, чешуйки, таблетки, пленки и тому подобное, которые могут образовывать дисперсию в воде (“смачивающиеся”) или быть водорастворимыми. Активные ингредиенты могут быть (микро) инкапсулированы и затем приготовлены в виде суспензии или твердого состава; альтернативно, весь состав активных ингредиентов может быть инкапсулирован (или “покрыт защитной оболочкой”). Инкапсулирование может подавлять или замедлять высвобождение активных ингредиентов. Составы в виде спреев могут распыляться в подходящей среде, и распыляемые в виде спрея используют в объемах от около одного до нескольких сотен литров на гектар. Высокоустойчивые композиции первоначально используют в качестве промежуточных продуктов для приготовления последующих составов. Составы обычно содержат эффективные количества активных ингредиентов, разбавителя и поверхностно-активного вещества в следующих приблизительных пределах, которые рассчитывают на 100 процентов по массе (см. таблицу 1а). Типичные твердые разбавители описаны в Watkins, et al, Handbook of Insecticide Dust Diluents and Carriers, 2nd Ed., Dorland Books, Caldwell, New Jersey. Типичные жидкие разбавители описаны в Marsden, Solvents Guide, 2nd Ed. , Interscience, New York, 1950. McCutcheon’s Detergents and Emulsifiers Annual, Allured Publ. Corp., Ridgewood, New Jersey, а также Sisely and Wood, Encyclopedia of Surface Active Agents, Chemical Publ. Co., Inc., New York, 1964, содержат перечень поверхностно-активных веществ и рекомендации по использованию. Все составы могут содержать незначительные количества добавок для уменьшения вспениваемости, комкования, коррозии, микробиологического роста и т.п., или загустителей для увеличения вязкости. Поверхностно-активные вещества включают, например, полиэтоксилированные спирты, полиэтоксилированные алкилфенолы, эфиры полиэтоксилированного сорбитана и жирных кислот, диалкилсульфосукцинаты, алкилсульфаты, алкилбензолсульфонаты, кремнийорганические соединения, N,N-диалкилтаураты, лигнинсульфонаты, формальдегидные конденсаты нафталинсульфонатов, поликарбоксилаты и полиоксиэтилен/полиоксипропилен блок-сополимеры. Твердые разбавители включают, например, глины, такие как бентонит, монтмориллонит, аттапульгит и каолин, крахмал, сахар, оксид кремния, тальк, диатомовую землю, мочевину, карбонат и бикарбонат кальция и сульфат натрия. Жидкие разбавители включают, например, воду, N,N-диметилформамид, диметилсульфоксид, N-алкилпирролидон, этиленгликоль, полипропиленгликоль, парафины, алкилбензолы, алкил-нафталины, масла оливковое, касторовое, льняное, тунговое, кунжутное, кукурузное, арахисовое, хлопковое, соевое, рапсовое и кокосовое, сложные эфиры жирных кислот, кетоны, такие как циклогексанон, 2-гептанон, изофорон и 4-гидрокси-4-метил-2-пентанон, и спирты, такие как метанол, циклогексанол, деканол и тетрагидрофурфуриловый спирт. Растворы, включающие образующие эмульсии концентраты, могут быть получены путем простого перемешивания ингредиентов. Пыли и порошки могут быть получены смешением и, обычно, измельчением в молотковой дробилке или в струйной мельнице. Суспензии обычно получают мокрым измельчением; см., например, Патент США 3060084. Гранулы и чешуйки могут быть получены распылением активных материалов на предварительно полученные гранулированные носители или посредством методов агломерации. См. Browning, “Agglomeration”, Chemical Engineering, December 4, 1967, pp 147-48, Perry’s Chemical Engineer’s Handbook, 4th Ed. , McGraw-Hill, New York, 1963, стр. 8-57 и следующие, и WO 91/13546. Чешуйки могут быть получены, как описано в патенте США 4172714. Диспергирующиеся в воде и водорастворимые гранулы могут быть получены, как показано в патенте США 4144050, патенте США 3920442 и патенте ФРГ 3246493. Таблетки могут быть получены, как показано в патенте США 5180587, патенте США 5232701 и патенте США 5208030. Пленки могут быть получены, как показано в патенте Великобритании 2095558 и патенте США 3299566. Для дальнейшей информации, относящейся к области приготовления составов, см. патент США 3235361, от строки 16 в колонке 6 до строки 19 в колонке 7 и примеры 10-41; патент США 3309192, от строки 43 в колонке 5 до строки 62 в колонке 7 и примеры 8, 12, 15, 39, 41, 52, 53, 58, 132, 138-140, 162- 164, 166, 167 и 169-182; патент США 2891855, от строки 66 в колонке 3 до строки 17 в колонке 5 и примеры 1-4; Klingman, Weed Control as a Science, John Wiley and Sons, Inc., New York, 1961, pp 81-96; и Hance et al. Weed Control Handbook, 8th Ed., Blackwell Scientific Publications, Oxford, 1989. В следующих примерах все компоненты взяты в мас.% и все составы приготовлены обычными методами. Пример А Смачивающийся порошок 5-метил-5-(4-феноксифенил)-3-фениламино-2,4-оксазолидинон – 27,9 цимоксанил – 37,1 эфир додецилфенола и полиэтиленгликоля – 2,0 лигнинсульфонат натрия – 4,0 силикоалюминат натрия – 6,0 монтмориллонит (кальцинированный) – 23,0 Пример В Гранула 5-метил-5-(4-феноксифенил)-3-фениламино-2,4-оксазолидинон – 5,0 цимоксанил – 5,0 гранулы аттапульгита (низколетучее вещество, 0,71/0,30 мм; сито U.S.S. N 25-50) – 90,0 Пример С Тонкоизмельченный порошок 5-метил-5-(4-феноксифенил)-3-фениламино-2,4-оксазолидинон – 2,0 цинамоксил – 2,0 тальк – 96,0 Пример D Высококонцентрированная композиция 5-метил-5-(4-феноксифенил)-3-фениламино-2,4- оксазолидинон – 45,0 цинамоксил – 45,0 натрийлигнинсильфонат – 2,0 глина каолинит – 8,0 Пример Е Экструдированные чешуйки 5-метил-5-(4-феноксифенил)-3-фениламино-2,4- оксазолидинон – 10,7 цимоксанил – 14,3 безводный сульфат натрия – 10,0 сырой лигнинсульфонат кальция – 5,0 алкилнафталинсульфонат натрия – 1,0 бентонит кальция/магния – 59,0 Пример F Образующий эмульсию концентрат 5-метил-5-(4-феноксифенил)-3-фениламино-2,4-оксазолидинон – 10,0 цимоксанил – 10,0 смесь маслорастворимых сульфонатов и полиоксиэтиленовых эфиров – 10,0 изофорон – 70,0 Композиции по данному изобретению могут использоваться в качестве подавляющих заболевания растений агентов. Настоящее изобретение, кроме того, охватывает способ подавления заболеваний растений, вызванных грибковыми патогенами растений, включающий нанесение на растение или его часть, которые должны быть защищены, или на семена растений или рассаду, которые должны быть защищены, эффективного количества фунгицидной композиции соединения формулы I и цимоксанила. Альтернативно, фунгицидные композиции, содержащие только одну из композиций соединения формулы I или цимоксанила, могут наноситься после нанесения другой композиции. Кроме того, отдельные композиции соединения формулы I и композиция цимоксанила могут быть объединены в виде физической смеси перед нанесением, например смесь в резервуаре, и нанесены одновременно. В любом случае соединение формулы I и цимоксанил желательно наносить в количествах, эффективных для обеспечения подавления грибкового заболевания, которое более значительно, чем при суммарном подавлении этого грибкового заболевания, которое обеспечивается соединением формулы I и цимоксанилом в отдельности. Композиции по данному изобретению обеспечивают подавление заболеваний, вызванных широким спектром грибковых растительных патогенов классов базидиомицетов, аскомицетов, дейтеромицетов и, в частности, класса оомицетов. Они эффективны при подавлении широкого спектра заболеваний растений, в частности лиственных патогенов декоративных, овощных, полевых, зерновых и фруктовых культур, в частности патогенов картофеля, томата и виноградных лоз. Эти патогены включают Plasmopara viticola, Phytophthora infestans, Peronospora tabacina, Pseudoperonospora cubensis, Pythium aphanidermatum, Alternaria brassicae, Septoria nodorum, Septoria tritici, Cercosporidium personatum, Cercospora arachidicola, Pseudocercosporella herpotrichoides, Cercospora beticola, Bortrytis cinerea, Monilinia fructicola, Pyricularia oryzae, Podosphaera leucotricha, Venturia inaequalis, Erysiphe graminis, Uncinula necatur, Puccinia recondita, Puccinia graminis, Hemileia vastatrix, Puccinia striiformis, Puccinia arachidis, Rhizoctonia solani, Sphaerotheca fuliginea, Fusarium oxysporum, Verticillium dahliae, Pythium aphanidermatum, Phytophthora megasperma, Sclerotinia sclerotiorum, Sclerotium rolfsii, Erysiphe polygoni, Pyrenophora teres, Gaeumannomyces graminis, Rynchosporium secalis, Fusarium roseum, Bremia lactucae и другие близкородственные этим патогенам роды и виды. Особенно можно отметить их использование для подавления Phytophthora infestans, которая является патогеном, включенным в различные грибковые заболевания (например, поздний фитофтороз картофеля и поздний фитофтороз томата). Также можно отметить их использование для подавления Plasmopara viticola, которая является патогеном, включенным в такие грибковые заболевания, как ложная мучнистая роса винограда. Композиции по данному изобретению могут также быть смешаны с одним или несколькими другими инсектицидами, фунгицидами, нематоцидами, бактерицидами, акарицидами, полухимикатами, репеллентами, аттрактантами, феромонами, питающими стимуляторами или другими биологически активными веществами с образованием мультикомпонентного пестицида, дающего еще более широкий спектр сельскохозяйственной защиты. Примерами таких сельскохозяйственных защитных средств, с которыми композиции настоящего изобретения могут быть сформированы, являются: инсектициды, такие как абамектин, ацефат, азинфосметил, бифентрин, бупрофезин, карбофуран, хлорпирифос, хлорпирифосметил, цифлутрин, бета-цифлутрин, дельтаметрин, диафентиурон, диазинон, дифлубензурон, диметоат, эсфенвалерат, фенпропатрин, фенвалерат, фипронил, флуцитринат, тауфлувалинат, фонофос, имидаклоприд, изофенфос, малатион, метальдегид, метамидофос, метидатион, метомил, метопрен, метоксихлор, монокротофос, оксамил, паратион, паратион-метил, перметрин, форат, фосалон, фосмет, фосфамидон, пиримикарб, профенофос, ротенон, сульпрофос, тебуфенозид, тефлутрин, тербуфос, тетрахлорвинфос, тиодикарб, тралометрин, трихлорфон и трифлумурон; фунгициды, такие как азоксистробин (ICIA5504), беномил, бластицидин-S, французская смесь (сульфат трехосновной меди), бромуконазол, каптафол, каптан, карбендазим, хлоронеб, хлороталонил, оксихлорид меди, соли меди, ципроконазол, ципродинил (CGA 219417), дикломезин, диклоран, дифеноконазол, диметоморф, диниконазол, диниконазол-M, додин, эдифенфос, эпоксиконазол (ВАЗ 480F), фенаримол, фенбуконазол, фенпиклонил, фенпропидин, фенпропиморф, флукуинконазол, флусилазол, флутоланил, флутриафол, фолпет, фозетил-алюминий, фуралаксил, гексаконазол, ипконазол, ипробенфос, ипродион, изопротиолан, казугамицин, крезоксим-метил (BAS 490F), манкозеб, манеб, мепронил, металаксил, метконазол, миклобутанил, нео-асозин (метанарсонат железа), оксадиксил, пенконазол, пенцикурон, пробеназол, прохлораз, пропиконазол, пирифенокс, пирокуилон, сера, тебуконазол, тетраконазол, тиабендазол, тиофанат-метил, тирам, триадимефон, триадименол, трициклазол, тритиконазол, униконазол, валидамицин и винклозолин; нематоциды, такие как альдоксикарб и фенамифос; бактерициды, такие как стрептомицин; акарициды, такие как амитраз, хинометионат, хлорбензилат, цигексатин, дикофол, диенохлор, феназакуин, фенбутатин оксид, фенпропатрин, фенпироксимат, гекситиазокс, пропаргит, пиридабен и тебуфенприрад; и биологические агенты, такие как Bacillus thuringiensis, дельта эндотоксин Bacillus thuringiensis, бакуловирус и эндопатогенные бактерия, вирус и грибок. В некоторых случаях сочетание с другими фунгицидами, имеющими подобный спектр подавления, но отличающийся способ действия, могут быть особенно успешными в отношении резистентности. Предпочтительными для лучшего подавления заболеваний растений, вызванных грибковыми патогенами растений (например, наиболее низкая норма нанесения или более широкий спектр подавляемых патогенов растений) или в отношении резистентности, являются смеси композиций этого изобретения с фунгицидом, выбранным из группы: азоксистробин (ICIA5504), соли меди (включая французскую смесь и оксихлорид меди), фозетил-алюминий, кресоксим-метил (BAS 490F), металаксил, оксадиксил и манкозеб с фозетил-алюминием и солями меди являются наиболее полезными. Особенно предпочтительными являются смеси двух фунгицидов по этому изобретению (соединение I относится к соединению формулы I) с добавочным фунгицидом, выбранные из группы: азоксистробин (ICIA5504) и смесь цимоксанила и соединения I; соли меди и смесь цимоксанила и соединения I; фозетил-алюминий и смесь цимоксанила и соединения I; кресоксим-метил (BAS 490F) и смесь цимоксанила и соединения I; металаксил и смесь цимоксанила и соединения I; оксадиксил и смесь цимоксанила и соединения I; и манкозеб и смесь цимоксанила и соединения I. Подавление заболевания растения обычно осуществляют нанесением эффективного количества композиции по данному изобретению либо перед, либо после инфицирования на часть растения, которая должна быть защищена, такую как корни, стебли, листва, плод, семена, клубни или луковицы, или в среду (почва или песок), где растут растения, которые должны быть защищены. Композиция может также наноситься на семена для защиты семян и рассады. На нормы нанесения композиций влияют многие факторы окружающей среды и должны быть определены для реально используемых условий. Листва обычно может быть защищена, когда обрабатывается при нормах нанесения менее чем 1 г/га, до 5000 г/га совокупного активного ингредиента. Совокупный активный ингредиент определяют как общую объединенную массу активных ингредиентов. Семена и рассада обычно могут быть защищены, когда семена обрабатывают при норме нанесения от 0,1 до 10 г совокупного активного ингредиента на килограмм семян. Предпочтительной композицией для нанесения на листья по данному изобретению являются композиции, содержащие от 1 до 400 г/га соединения формулы I и от 4 до 240 г/га цимоксанила в качестве активных ингредиентов. Следующие примеры демонстрируют композиции и способы по настоящему изобретению и относятся к экспериментальному доказательству синергизма между соединением формулы I и цимоксанилом при подавлении позднего фитофтороза картофеля и томатов, вызванного Phytophthora infestans, и ложной мучнистой росы винограда, вызванной Plasmopara viticola. Подавляющая патоген защита с помощью этих композиций не ограничивается, однако, этими примерами. Однако синергизм, показанный в следующих примерах, не наблюдается постоянно во всех условиях (например, очень сильный дождь или размыв) или для всех заболеваний растений. ПРИМЕР 1 Получение 5-метил-5-(4-феноксифенил)-3-фениламино-2,4- оксазолидиндиона (соединение I). Смесь 14,3 г этил 2-(4-феноксифенил)лактата (34 г смеси, содержащей 14,3 г этил 2-(4-феноксифенил)лактата и 19,7 г дифенилового эфира), 9,7 г 1,1′-карбонилдиимидазола и 100 мл метиленхлорида перемешивают при 25oC в течение 19 часов. Добавляют воду (0,30 мл) и перемешивают смесь в течение 15 минут. Затем добавляют 5 мл уксусной кислоты и 7,4 г фенилгидразина. После перемешивания при 25oC в течение 24 часов добавляют 100 мл воды. Понижают pH до 2 с помощью соляной кислоты, и водный слой удаляют. После промывания слоя метиленхлорида 50 мл воды растворитель упаривают в вакууме. Маслянистый остаток смешивают с 150 мл гексана и 15 мл этилацетата, нагревают до 65oC, охлаждают до 20oC и затем отфильтровывают. Твердый продукт промывают 100 мл смеси из 20 мл этилацетата и 80 мл гексана и затем сушат. Получают указанный в заголовке продукт (15,2 г) с т.пл. 137-139oC. ПРИМЕР 2 Синергическая комбинация 5-метил-5-(4-феноксифенил)-3- фениламино-2,4-оксазолидиндиона (соединения I) и цимоксанила. Тестируемые композиции получают следующим образом: к 182,5 мг 20% микроэмульсии, содержащей соединение 1 (36,5 мг активного ингредиента) добавляют 32 мл дистиллированной воды для образования стокового раствора соединения I. 20% микроэмульсию получают совместным перемешиванием 20% соединения I, 40% N-метилпирролидинона и 40% Microstep H303 (все проценты массовые). Microstep H303 является эмульгирующей смесью, полученной от Stepan Co., Northield, IL 60093. Цимоксанил используют в виде коммерчески доступного 50% смачиваемого порошка (СП) состава Curzate . Стоковый раствор получают добавлением 32 мл дистиллированной воды к 73 мг смачиваемого порошка формы (36,5 мг активного ингредиента). Стоковые растворы затем растворяют в дистиллированной воде и применяют разбрызгиванием. Получают следующие растворы для выполнения норм нанесения (см. таблицу 1б).
При использовании одиночного активного ингредиента общий объем спрея равен объему стокового раствора плюс объем дистиллированной воды, добавленный для достижения нужной нормы. Для совместного применения соединения I и цимоксанила соответственно разбавленные стоковые растворы, содержащие соединение I или цимоксанил, соединяют и затем применяют разбрызгиванием.
Ростки картофеля (Solanum tuberosum ‘Superior’) из ткани культуры пересаживают в 4-дюймовые (10,16 см) ячейки и содержат в теплице. Через пять или шесть недель после пересадки отбирают одинаковые растения высотой 6-8 дюймов (15,24-20,32 см). Растения обрызгивают отдельно цимоксанилом при нормах 8, 35 и 140 г аи/га, или соединением I при нормах 8, 35 и 140 г аи/га, или комбинациями цимоксанила и соединения I во всех нормовых сочетаниях. После разбрызгивания растения содержат в теплице в течение 6 дней. Затем растения обрабатывают аэрозольной суспензией зооспор Р. infestans (2 104 зооспор/мл) в деионизированной воде. Затем растения немедленно помещают во влажную камеру (>98% относительной влажности) на 24 часа для обеспечения условий окружающей среды, необходимых для развития инфекции, и после 24 часов переходного периода в освещенной камере для культивирования возвращают в теплицу. Заболевание оценивается через 6 дней после обработки регистрацией процента поверхности листа с типичными для P. infestans поражениями на базальных четырех полностью развившихся листах. Каждая обработка повторяется 3 раза для каждого теста. Средний процент подавления заболевания суммирован в таблице 1. Тесты, в которых уровень подавления больше, чем просто суммарный, обозначены звездочкой.
ПРИМЕР 3Синергическая комбинация, 5-метил-5-(4-феноксифенил)-3- фениламино-2,4-оксазолидиндиона (соединения I) и цимоксанила. Тестируемые композиции получают следующим образом: стоковый раствор соединения I получают из 1825 мг 2% подобного эмульсии концентрата (ЭК), содержащего соединение I (36,5 мг активного ингредиента), как описано в примере 2. 2% ЕК соединения I получают растворением 25,51 г соединения I в смеси растворителей, состоящей из 37,5 г Atlox 3453, 37,5 г Atlox 3404, 62,5 г н-бутанола и 1112,5 г ацетофенона. Atlox 3453 и Atlox 3404 предоставлены ICI Americas, Inc., New Murphy Road and Concord Pike, Wilmington, Delaware 19807. Стоковый раствор получают из 50% СП состава Curzate способом, подобным описанному в примере 2. Стоковый раствор затем разводят дистиллированной водой, как описано в примере 2, для получения норм нанесения 70 г аи/га, 140 г аи/га и 280 г аи/га. Эти разбавления затем используют для тестирования растений последующим разбрызгиванием способами, описанными в примере 2.
Полученную выше композицию тестируют следующим образом. Условия теста идентичны описанным в примере 2, за исключением того, что (i) тестируемые нормы для цимоксанила 70 и 140 г аи/га, (ii) тестируемые нормы для соединения I 140 и 280 г аи/га и (iii) растения выращивают в теплице в течение 2 дней после обрызгивания и затем обрабатывают. Средний процент подавления заболевания суммирован в таблице 2. Тесты, в которых уровень подавления больше, чем просто суммарный, обозначены звездочкой.
ПРИМЕР 4Синергическая комбинация 5-метил-5-(4-феноксифенил)-3- фениламино-2,4-оксазолидиндиона (соединения I) и цимоксанила 2% ЭК соединения I получают способом, описанным в примере 3. Стоковые растворы и разбавления соединения I и цимоксанила получают способами, описанными в примере 3. Эти разбавления затем используют для тестирования растений последующим разбрызгиванием способами, описанными в примере 2. Ростки картофеля (Solanum tuberosum ‘Superior’) из ткани культуры пересаживают в 4-дюймовые (10,16 см) ячейки и содержат в теплице. Через пять или шесть недель после пересадки отбирают одинаковые растения высотой 6-8 дюймов (15,24-20,32 см). Растения обрызгивают отдельно цимоксанилом при нормах 70 и 140 г аи/га, или соединением I при нормах 140 и 280 г аи/га, или комбинациями цимоксанила и соединения I во всех нормовых сочетаниях. После обрызгивания растения содержат в теплице в течение 6 дней. Затем растения обрабатывают аэрозольной суспензией зооспор P. infestans (2 104 зооспор/мл) в деионизированной воде. Затем растения немедленно помещают во влажную камеру (> 98% относительной влажности) на 24 часа для обеспечения условий окружающей среды, необходимых для развития инфекции. После влажного периода растения обрызгивают второй раз, применяя такую же обработку как ранее. После высушивания растениям дают 24 часа переходного периода в освещенной камере для культивирования и возвращают в теплицу. Заболевание оценивается через 6 дней после обработки регистрацией процента поверхности листа с типичными для P. infestans поражениями на базальных четырех полностью развившихся листах. Каждая обработка повторяется 3 раза для каждого теста. Средний процент подавления заболевания суммирован в таблице 3. Тесты, в которых уровень подавления больше, чем просто суммарный, обозначены звездочкой.
ПРИМЕР 5Синергическая комбинация 5-метил-5-(4-феноксифенил)-3-фенил- амино-2,4-оксазолидиндиона (соединения I) и цимоксанила Этот тест проводят, используя композиции соединения I и цимоксанила, которые получают растворением каждого соединения в ацетоне и затем разведением каждого раствора в воде, содержащей неионное поверхностно-активное вещество, с образованием конечного стокового раствора, содержащего активный ингредиент в 1: 1 ацетон: вода, включающего 0,02% объемных неионного поверхностно-активного вещества. Разбавления получают способом, подобным описанному в примере 2. Эти разбавления затем используют для тестирования растений последующим разбрызгиванием способами, описанными в примере 2. После обрызгивания растения возвращают в теплицу. На 1 день после обрызгивания растения перемещают во влажную камеру (>98% относительной влажности) на 8 часов. В этот же период их помещают в освещенную камеру культивирования (20oC) на 16 часов. Этот цикл повторяют на 2 день после обрызгивания. На 3 день после обрызгивания растения возвращают в теплицу и выращивают в течение 3 дней до обработки. Растения затем обрабатывают аэрозольной суспензией зооспор P. infestans (2 104 зооспор/мл) в деионизированной воде. Затем растения немедленно помещают во влажную камеру (>98% относительной влажности) на 24 часа для обеспечения условий окружающей среды, необходимых для развития инфекции, и после 24 часов переходного периода в освещенной камере для культивирования растения возвращают в теплицу. Заболевание оценивается через 6 дней после обработки регистрацией процента поверхности листа с типичными для P. infestans поражениями на базальных четырех полностью развившихся листах. Каждая обработка повторяется 5 раз для каждого теста. Тест повторяется дважды и средний процент подавления заболевания, суммированный в таблице 4, является средним значением из двух тестов. Обработки, в которых уровень подавления больше, чем просто суммарный, обозначены звездочкой.
ПРИМЕР 6Синергическая комбинация 5-метил-5-(4-феноксифенил)- 3-фениламино-2,4-оксазолидиндиона (соединения I) и цимоксанила Этот тест проводят, используя композиции соединения I и цимоксанила, которые получают растворением каждого соединения в ацетоне и затем разведением каждого раствора в воде, содержащей неионное поверхностно-активное вещество, с образованием конечного стокового раствора, содержащего активный ингредиент в 1: 1 ацетон: вода, включающего 0,02% объемных неионного поверхностно-активного вещества. Разбавления получают способом, подобным описанному в примере 2. Эти разбавления затем используют для тестирования растений последующим разбрызгиванием способами, описанными в примере 2. Виноградную рассаду (Vitis vinifera ‘Chardonnay’) сажают в 2-дюймовые (5 см) квадратные пластиковые ячейки и выращивают в камере культивирования при 27oC и 16-часовом светопериоде. Когда растения станут приблизительно высотой 2-4 дюйма (5-10 см), одинаковые растения выбирают для тестирования. Растения обрызгивают отдельно цимоксанилом при нормах 7,8, 31,3, 125 и 500 г аи/га, или соединением I при нормах 0,31, 1,25, 5 и 20 г аи/га, или комбинациями цимоксанила и соединения I во всех нормовых сочетаниях. После обрызгивания растения возвращают в камеру культивирования. На 1 день после обрызгивания растения перемещают во влажную камеру (>98% относительной влажности) на 16 часов, в этот же период их возвращают в камеру культивирования на 8 часов. Этот цикл повторяют на 2, 4 и 5 дни после обрызгивания. На 6 день после обрызгивания возвращают в камеру культивирования и выращивают в течение 1 дня до обработки. Растения затем обрабатывают аэрозольной суспензией зооспор Plasmopara viticola (2,5 104 зооспор/мл) в деионизированной воде. Затем инокулированные растения немедленно помещают во влажную камеру на 24 часа для обеспечения условий окружающей среды, необходимых для инфекции. Растения затем возвращают в камеру культивирования на 6 дней, в это же время их возвращают во влажную камеру на 24 часа, чтобы вызвать спорообразование. Тяжесть болезни оценивается регистрацией процента поверхности листа с типичными для P. viticola поражениями и спорообразованием на базальных трех полностью развившихся листах каждого растения. Каждая обработка повторяется 5 раз для каждого теста. Средний процент подавления заболевания [((% заболевания в контроле) – (% заболевания у обработанного))/(% заболевания в контроле) 100] суммирован в таблице 5. Тесты, в которых уровень подавления больше, чем просто суммарный, обозначены звездочкой.
ПРИМЕР 7Синергическая комбинация 5-метил-5-(4-феноксифенил)-3-фенил- амино-2,4-оксазолидиндиона (соединения I) и цимоксанила Тестируемые композиции получают следующим образом: часть 200 г/л суспензионного концентрата (20% СК), содержащего соединение I, разводят в 2000 частей дистиллированной воды с образованием 100 частей на тысячу тестируемого раствора соединения I. 200 г/л суспензионный концентрат соединения I получают из соединения I (204,08 г, 98%), Supermontaline SLT 70 (4,00 г), монопропиленгликоля (50,00 г), Rhodorsil 454 (2,00 г), уксусной кислоты (33,67 г, 80%), тригидрата ацетата натрия (62,00 г), Bronopol (1,00 г), Attagel 50 (10,00 г), воды (509,25 г), Emcol 4100 (50,00 г), Culminal MHPC50 (1,00 г) и Atplus 469 (200,00 г) путем получения суспензии при комбинировании соединения I, Supermontaline SLT 70, монопропиленгликоля, половины Rhodorsil 454, уксусной кислоты, тригидрата ацетата натрия, Bronopol, Attagel 50, основной части воды, Emcol 4100, Culminal MHPC50 и Atplus 469 (как 5% водный раствор, полученный в части воды) при перемешивании; суспензию затем перемешивают в течение одного часа перед мокрым измельчением с Dynomill; измельчающая камера заполнена на 85-87% (по объему) стеклянными шариками, имеющими диаметр в пределах 0,5-0,75 мм, скорость по окружности измельчающих дисков устанавливается 14 м/с, суспензия подается в мельницу со скоростью 40 мл/мин, и нужно два прохода для достижения требуемого размера частиц (средний размер частиц ниже 1 мкм); оставшаяся половина Rhodorsil 454, Atplus 469 и оставшаяся часть воды добавляются последовательно при перемешивании, и суспензия перемешивается в течение получаса. Цимоксанил используют в виде коммерчески доступного 50% смачиваемого порошка (СП) состава Curzate . Часть 50% СП разводят 5000 частями дистиллированной воды с образованием 100 частей на тысячу тестируемого раствора цимоксанила. Часть 100 г/л + 100 г/л суспензионного концентрата (10% + 10% СК), содержащего соединение I и цимоксанил, разводят 1000 частями и 2000 частями дистиллированной воды с образованием 100 + 100 частей на тысячу и 50+50 частей на тысячу тестируемых растворов соединения I и цимоксанила соответственно. 100 г/л + 100 г/л суспензионный концентрат (10% + 10% СК) соединения I и цимоксанила получают из соединения I (102,04 г, 98%), цимоксанила (104,17 г, 96%), Supermontaline SLT 70 (2,00 г), монопропиленгликоля (50,00 г), Rhodorsil 454 (2,00 г), уксусной кислоты (26,73 г, 80%), тригидрата ацетата натрия (16,37 г), Bronopol (1,00 г), Attagel 50 (2,50 г), Reax 85 (25,00 г), Morwet D425 (12,5 г), Aerosil 200 (2,50 г), Kelzan (0,10 г), Brij 78 (200,00 г) и воды (552,66 г) с получением суспензии при добавлении основной части соединения I и при нагревании до 60oC; причем добавляют Brij 78, уксусную кислоту и тригидрат ацетата натрия при перемешивании и ждут, пока Brij 78 полностью растворится; Supermontaline SLT 70, монопропиленгликоль, половина Rhodorsil 454, Bronopol, Attagel 50, Reax 85, Morwet D425, Aerosil 200, оставшаяся часть соединения I и цимоксанил добавляются при перемешивании, тогда как суспензия охлаждается до комнатной температуры; суспензию затем перемешивают в течение одного часа перед мокрым измельчением с Dynomill; измельчающая камера заполнена на 85-87% (по объему) стеклянными шариками, имеющими диаметр в пределах 0,5-0,75 мм, скорость по окружности измельчающих дисков устанавливается 14 м/с, суспензия подается в мельницу со скоростью 40 мл/мин, и нужно два прохода для достижения требуемого размера частиц (средний размер частиц ниже 1 мкм); оставшаяся половина Rhodorsil 454 и Kelzan S (в виде 2% водного раствора, полученного в оставшейся части воды) добавляются к измельченной суспензии при перемешивании, и суспензия перемешивается в течение получаса.
Томаты (разновидность Houryu) высаживают в теплицу. Тест имеет пять повторов (каждый повтор для одного растения в ячейке). Тестируемые растворы применяют в количестве 100 мл на ячейку (эквивалентно 3000 л/га; тестируемые растворы 100 частей на тысячу и 50 частей на тысячу обеспечивают нормы применения, эквивалентные 300 г/га и 150 г/га соответственно). Растения обрызгивают на следующий день суспензией зооспор Phytophthora infestans, вызывают поздний фитофтороз томатов. Эту обработку проводят, используя маленький разбрызгиватель для нанесения материала на восемь листьев каждого растения. После обработки выдерживают в освещенном инкубаторе при 23oC и 100% относительной влажности в течение двух дней. Все восемь обработанных листьев на растении оцениваются на следующий день регистрацией процента поверхности листа с P. infestans поражениями. Средний процент подавления заболевания суммирован в таблице 6.
Тесты, в которых уровень подавления больше, чем просто суммарный, обозначены звездочкой.
Формула изобретения
РИСУНКИ
|
||||||||||||||||||||||||||


, является коммерчески доступным лиственным фунгицидом для подавления заболеваний поздним фитофторозом и ложной мучнистой росой, особенно для системного и лечебного подавления фитофтороза картофеля и ложной мучнистой росы винограда, и имеет формулу


105 Паскалей (0,987 атм) до около 5,1 