Патент на изобретение №2176449
|
||||||||||||||||||||||||||
(54) ФУНГИЦИДНОЕ СРЕДСТВО И СПОСОБ БОРЬБЫ С ГРИБКАМИ
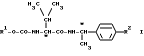
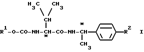
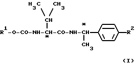
(57) Реферат: Описывается новое фунгицидное средство, которое содержит одно производное валинамида общей формулы I, где R1 – изопропил или втор.бутил и R2 – хлор, метил, этил или метокси. Оно отличается тем, что дополнительно содержит соединение формулы II-ХХI, указанной в п.1 формулы изобретения, или оксихлорид меди при весовом соотношении соединения I и соединения II, или соединения III, или оксихлорида меди, равном 1:(1-100). Данное средство, которое может также содержать целевые добавки, можно применять для борьбы с грибками путем обработки полезных растений одним производным указанной формулы I и дополнительно соединением формулы II-ХХI или оксихлоридом меди, причем производное валинамида формулы I и соединение указанных формул или оксихлорид меди применяют в весовом соотношении, равном (1:1-100), и в эффективном количестве. Описывается также способ борьбы с грибками. Технический результат – повышение фунгицидной активности при низком расходе средства. 3 с. и 42 з.п. ф-лы, 3 табл.
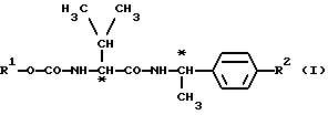
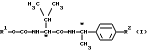
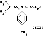
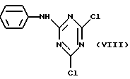
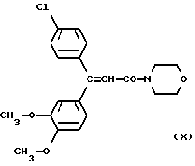
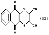
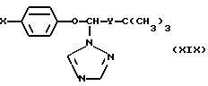
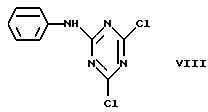
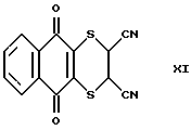
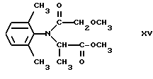
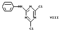
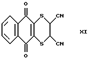
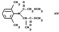
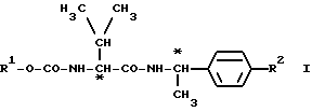
Изобретение относится к области борьбы с вредителями, в частности к фунгицидному средству и способу борьбы с грибками. Известно фунгицидное средство, содержащее в качестве активного начала производные валинамида общей формулы (I) ![]() где R1 – изо-пропил или втор.бутил и R2 – хлор, метил, этил или метокси (см. заявку N ЕР 472996, МКИ: C 07 C 271/22, A 01 N 47/12, 1992). Недостаток известного средства заключается в том, что в некоторых случаях его активность при низком расходе является не полностью удовлетворительной. Также известно, что многочисленные алифатические, ароматические или гетероциклические соединения, содержащие азот, серу, галоген и/или фосфор, можно применять для борьбы с грибками (см. К.X. Бюхель. “Pflanzenschutz und Schadlingsbekampfung”, стр. 122, 132, 136 – 138, 140, 141, 145, 146 и 153, изд. Георг Тиме Ферлаг, Штуттгарт 1977 г., заявки ЕР 219756, ЕР 31257, ЕР 40345, DE 1567169, DE 2201063, DE 2324010, DE 2732257, FR 2254276, GB 1448810, GB 1500581, GB 2058059, US 3260588 и Brighton Corp Protection Conference (1992) 5 – 6, 435 – 437 и 5-2, 403 – 405). Активность соответствующих веществ при низком расходе, однако, не всегда удовлетворительна. Задачей изобретения является разработка фунгицидного средства на основе производных валинамида общей формулы (I), активность которого при низком расходе всегда удовлетворительна. Данная задача решается предлагаемым фунгицидным средством, содержащим одно производное валинамида общей формулы (I) ![]() где R1 – изопропил или втор.бутил и R2 – хлор, метил, этил или метокси, за счет того, что оно дополнительно содержит соединение формулы (II) ![]() или соединение формулы (III) ![]() или соединение формулы (IV) ![]() или соединение формулы (V) ![]() или соединение формулы (VI) ![]() или соединение (VII) ![]() или соединение формулы (VIII) ![]() или соединение формулы (IX) ![]() или соединение формулы (X) ![]() или соединение формулы (XI) ![]() или соединение формулы (XII) ![]() или соединение формулы (XIII) ![]() или соединение формулы (XIV) ![]() или его алюминиевый аддукт соединения формулы (XV) ![]() или соединение формулы (XVI) ![]() или сложный метиловый эфир (Е)-2-{-[6-(2-цианофенокси)пиридин-4- илокси] фенил}-3-метоксиакрилатовой кислоты формулы (XVII) ![]() или сложный метиловый эфир (Е)-метоксиамино[ -(о-толиокси)-о-толил]уксусной кислоты формулы (XVIII)![]() или соединение формулы (XIX) ![]() где X=Cl, Y=CO или -CH(ОН)- или Y = -CH(OH)-или соединение формулы (XX) ![]() или соединение формулы (XXI) ![]() где R1 означает хлорбензил и R2 – циклопентил, или оксихлорид меди при весовом соотношении соединения (I) к соединению (II) или соединению (III) – (XXI) или оксихлориду меди, равном 1:(1 – 100). По структурной формуле активного начала формулы (I) видно, что оно обладает двумя асимметрически замещенными атомами углерода. Поэтому оно может иметься в виде смеси различных изомеров или же в форме отдельного изомера. Предпочтительными соединениями формулы (I) являются соединения, в которых аминокислотное звено образовано из изо-пропилоксикарбонил-L-валина или втор. -бутоксикарбонил-L-валина и фенэтиламиновое звено или имеется в рацемической форме, или имеет S(-)-конфигурацию, в частности, однако, R(+)- конфигурацию. Особо предпочтительными соединениями формулы (I), в которых R1 означает изопропил, в частности, можно назвать следующие соединения: сложный 1-метилэтиловый эфир [2-метил-1-[[[-1-(4-хлорфенил)этил]амино] карбонил]-пропил] -карбаминовой кислоты формулы (Iа) ![]() сложный 1-метилэтиловый эфир [2-метил-1-[[[-1-(4- метилфенил)этил]амино] -карбонил]-пропил]-карбаминовой кислоты формулы (Iб) ![]() сложный 1-метилэтиловый эфир [2-метил-1-[[[-1-(4- этилфенил)этил]амино] карбонил]-пропил]-карбаминовой кислоты формулы (Iв) ![]() и сложный 1-метилэтиловый эфир [2-метил-1-[[[-1-(4- метоксифенил)этил] амино]карбонил]-пропил]-карбаминовой кислоты формулы (Iг) ![]() и их изомеры (согласно приведенным выше данным). Содержащиеся в предлагаемом средстве активные начала формул (II) – (XXI) известны из вышеуказанных источников, причем соединения формул (II) – (VIII) и соединения формул (IX), (XI) и (XII) описаны на стр. 141, 146, 138, 136, 137, 153, 122, 132, 145 и 140 соответственно источника К.Х. Бюхеля, соединение формул (X) – в заявке ЕР N 219756, соединение формулы (XIII) – в заявке DE N 1567169, соединение формулы (XIV) – в патенте GB N 1500581, соединение формулы (XV) – в патенте GB 2058059, соединения формул (XVI) и (XVII) – в источнике Brighton Crop Protection Conference (1992) 5 – 6, 435 – 37 и 5-2, 403-05, соединение формулы (XVIII) – в патенте GB N 1448810, соединение формулы (XIX) – в заявках ЕР N 0040345, DE N 2324010 и DE N 2201063 и соединение формулы (XXI) – в заявке DE N 2732257. Предлагаемое средство может также содержать целевые добавки, что является дополнительным объектом изобретения. Производное валинамида формулы (I) и соединения формул (II) – (XXI) взяты в предпочтительном весовом соотношении, равном 1:(5-10), 1:(5-10), 1: 5, 1: (1-20), 1:(1-10), 1:(5-10), 1:100, 1:(10-50), 1:1, 1:10, 1:(5-10), 1: (1-10), 1:(5-10), 1:5, 1:5, 1:(1-5), 1:(1-5), 1:5, 1:5 и 1:5 соответственно, а предпочтительное весовое соотношение производного валинамида формулы (I) и оксихлоридов меди составляет 1:(5-50). Средство согласно изобретению обладает очень хорошими фунгицидными свойствами и его можно применять, в частности, в борьбе с фитопатогенными грибками, такими как, например, плазмодиофоромицеты, оомицеты, хитридиомицеты, цигомицеты, аскомицеты, базидиомицеты, дейтеромицеты и т.д. Предлагаемое средство годится, в частности, для профилактической борьбы с грибками Phytophthora infestans и Alternaria spec. на помидорах и картофеле, а также Plasmopara viticola на винограде. Предлагаемое средство можно переводить в обычные для борьбы с вредителями препараты, такие как, например, растворы, эмульсии, суспензии, порошки, пены, пасты, гранулы, аэрозоли, микрокапсулы из полимерных материалов, а также в препараты для чрезвычайно тонкого распределения. Эти препараты приготовляют известными приемами, например путем смешивания активных начал или комбинаций активных начал с целевыми добавками, такими как наполнители, как, например, жидкие растворители, находящиеся под давлением разжиженные газы и/или твердые носители, в случае необходимости при использовании дополнительных целевых добавок, таких как, например, поверхностно-активные вещества, т. е. эмульгаторы, и/или диспергаторы, и/или пенообразующие средства. Если в качестве растворителя используют воду, то можно также использовать органические растворители в качестве вспомогательного растворителя. В качестве жидких растворителей в основном используют: ароматы, как, например, ксилол, толуол или алкилнафталины, хлорированные ароматы или хлорированные алифатические углеводороды, такие как, например, хлорбензолы, хлорэтилены или метиленхлорид, алифатические углеводороды, такие как циклогексан или парафины, такие как, например, нефтяные фракции, спирты, такие, как, например, бутанол или гликоль, а также их простые и сложные эфиры, кетоны, такие как, например, ацетон, метилэтилкетон, метилизобугилкетон или циклогексанон, сильно полярные растворители, такие как, например, диметилформамид и диметилсульфоксид, а также воду; под разжиженными газообразными растворителями или носителями понимаются такие растворители и носители, которые при комнатной температуре и атмосферном давлении являются газообразными, такие как, например, аэрозольные рабочие газы, как, например, бутан, пропан, азот и двуокись углерода; в качестве твердых носителей используют, например, естественные горные муки, такие как, например, каолины, глинозем, тальк, мел, кварц, аттапульгит, монтмориллонит или диатомовая земля, и синтетические горные муки, такие как, например, высокодисперсная кремневая кислота, окись алюминия и силикаты; в качестве твердых носителей для приготовления гранулятов используют, например, раздробленные и фракционированные естественные горные породы, такие как, например, кальцит, мрамор, пемза, сепиолит, доломит, а также синтетические гранулы неорганических и органических мук, а также гранулы органического материала, такие как, например, древесная мука, скорлупы кокосового ореха, початки кукурузы и черенки табачного листа; в качестве эмульгаторов и/или пенообразующих средств можно назвать, например, неионогенные или аноинные эмульгаторы, такие как, например, сложный полиоксиэтиленовый эфир жирной кислоты, простой полиоксиэтиленовый эфир спирта жирного ряда, например простой алкиларилполигликолевый эфир, алкилсульфонаты, алкилсульфаты, арилсульфонаты, а также гидролизаты белка; в качестве диспергаторов можно назвать, например, отработанный лингинсульфитный щелок и метилцеллюлозу. Препараты могут также содержать усиливающие адгезию вещества, такие как, например, карбоксиметилцеллюлоза, естественные и синтетические порошкообразные, зернистые или латексообразные полимеры, такие как, например, гумми-арабик, поливиниловый спирт, поливинилацетат, а также естественные фосфолипиды, такие как, например, кефалины и лецитины, и синтетические фосфолипиды. В качестве дальнейших добавок можно назвать минеральные и растительные масла. Кроме того, они могут еще содержать красители, например неорганические пигменты, такие как, например, окись железа, окись титана, ферроцианосиний, и органические красители, как, например, ализариновые красители, азокрасители и металлофталоцианиновые красители и микропитательные вещества, такие как, например, соли железа, марганца, бора, меди, кобальта, молибдена и цинка. Препараты обычно содержат 0,1 – 95 вес.% активных начал, предпочтительно 0,5 – 90 вес.%. Средство получают путем смешивания названных активных начал с наполнителями. Кроме того, препараты могут содержать другие активные начала как, например, фунгициды, бактерициды, инсектициды, акарициды, нематициды и гербициды, а также удобрения или регуляторы роста растений. Предлагаемое средство можно применять как таковое, в виде его препаратов или получаемых из них препаратов, таких как, например, готовые к применению растворы, эмульгируемые концентраты, эмульсии, суспензии, порошки для опрыскивания, растворимые порошки и грануляты. Применение осуществляют обычным образом, например путем поливания, разбрызгивания, опыливания, рассыпания, намазывания, сухого протравливания, влажного протравливания, мокрого протравливания, суспензионного протравливания или инкрустирования. При обработке частей растений концентрации активного начала в препаратах могут колебаться в широких пределах. Они обычно составляют 1 – 0,0001 вес.%, предпочтительно 0,5 – 0,001%. Таким образом, еще одним объектом изобретения является способ борьбы с грибками путем обработки полезных растений одним производным валинамида вышеприведенной общей формулы (I), заключающийся в том, что обработку осуществляют дополнительно соединением вышеназванных формул (II) – (XXI) или оксихлоридом меди, причем производное валинамида формулы (I) и соединения вышеуказанных формул (II) – (XXI) или оксихлорид меди применяют в весовом соотношении, равном 1:(1-100), и в эффективном количестве. В общем расход указанных активных веществ составляет 0,001-4 кг/га. Синергизм смеси двух активных начал может определяться по следующему уравнению (см. Колби C.P. “Calculating Synergistic and Antagonistic Responses of Herbicide Combinations”, Weeds 15, стр. 20 – 22, 1967): ![]() где X – активность в % необработанного контроля при применении активного начала A в концентрации m ч/милл, Y – активность в % необработанного контроля при применении активного начала Б в концентрации m ч/милл, Е – ожидаемая активность в % необработанного контроля при применении активных начал А и Б в концентрации тип ч/милл. Если фактическая фунгицидная активность выше, чем рассчитанная, то комбинация обладает сверхаддитивной активностью, т.е. имеется синергизм. В таком случае фактически определенная активность должна быть выше, чем значение, рассчитанное на основе вышеуказанной формулы для ожидаемой активности (Е). Технический результат изобретения поясняется следующими примерами. Пример 1 Опыт с Phytophthora (помидоры); защитное действие 1 вес.ч. указанного в таблице 1 активного вещества смешивают с 4,7 вес.ч ацетона в качестве растворителя и 0,3 вес.ч. алкиларилполигликолевого эфира в качестве эмульгатора и полученный концентрат разбавляют водой до желаемой концентрации. Для проверки защитного действия опрыскивают молодые растения полученным средством до тех пор, пока оно не начнет стекать с листьев. После подсыхания нанесенного в указанном в таблице 1 количестве средства растения инокулируют водной суспензией Phytophthora infestans и затем растения устанавливают в инкубационную камеру с температурой около 20oC и 100%-ной относительной влажностью воздуха. Через 3 дня после инокуляции осуществляют оценку поражения. При этом 0% означает, что степень действия соответствует степени действия контрольного опыта, а 100%-ная степень действия означает, что поражения не наблюдаются. Активные вещества в средствах, норма их расхода и результаты опыта сведены в таблице 1. Пример 2 Опыт с Phytophthora (помидоры); защитное действие 1 вес.ч. указанного в таблице 2 активного вещества смешивают с 4,7 вес.ч ацетона в качестве растворителя и 0,3 вес.ч. алкиларилполигликолевого эфира в качестве эмульгатора и полученный концентрат разбавляют водой до указанной в таблице 2 концентрации. Для проверки защитного действия опрыскивают молодые растения полученным средством до тех пор, пока оно не начнет стекать с листьев. После подсыхания нанесенного в указанном в таблице 1 количестве средства растения инокулируют водной суспензией Phytophthora infestans и затем растения устанавливают в инкубационную камеру с температурой около 20oC и 100%-ной относительной влажностью воздуха. Через 3 дня после инокуляции осуществляют оценку поражения. При этом 0% означает, что степень действия соответствует степени действия контрольного опыта, а 100%-ная степень действия означает, что поражения не наблюдаются. Активные вещества в средствах, норма их расхода и результаты опыта сведены в таблице 2. Пример 3 Опыт с Phytophthora (помидоры); защитное действие 1 вес.ч. указанного в таблице 3 активного вещества смешивают с 4,7 вес.ч ацетона в качестве растворителя и 0,3 вес.ч. алкиларилполигликолевого эфира в качестве эмульгатора и полученный концентрат разбавляют водой до указанной в таблице 3 концентрации. Для проверки защитного действия опрыскивают молодые растения полученным средством до тех пор, пока оно не начнет стекать с листьев. После подсыхания нанесенного в указанном в таблице 1 количестве средства растения инокулируют водной суспензией Phytophthora infestans и затем растения устанавливают в инкубационную камеру с температурой около 20oC и 100%-ной относительной влажностью воздуха. Через 3 дня после инокуляции осуществляют оценку поражения. При этом 0% означает, что степень действия соответствует степени действия контрольного опыта, а 100%-ная степень действия означает, что поражения не наблюдаются. Активные вещества в средствах, норма их расхода и результаты опыта сведены в таблице 3. 1) R1=изопропил, R2=Cl 2) R1=изопропил, R2=OCH3 3) R1=изопропил, R2=C2H5 4) см. табл.1 5) R1=втор.бутил, R2=Cl 6) R1=втор.бутил, R2=OCH3 7) R1=втор.бутил, R2=C2H5м Формула изобретения
![]() где R1 – изопропил или втор.бутил; R2 – хлор, метил, этил или метокси, отличающееся тем, что оно дополнительно содержит соединение формулы II ![]() или соединение формулы III ![]() или соединение формулы IV ![]() или соединение формулы V ![]() или соединение формулы VI ![]() или соединение формулы VII ![]() или соединение формулы VIII ![]() или соединение формулы IX ![]() или соединение формулы X ![]() или соединение формулы XI ![]() или соединение формулы XII ![]() или соединение формулы XIII ![]() или соединение формулы XIV ![]() или его алюминиевый аддукт, соединение формулы XV ![]() или соединение формулы XVI ![]() или сложный метиловый эфир (Е)-2-{[6-(2-цианофенокси)пиридин-4-илокси] фенил}-3-метоксиакрилатовой кислоты формулы XVII ![]() или сложный метиловый эфир (Е)-метоксиамино[ -(о-толиокси)-о-толил]уксусной кислоты формулы XVIII![]() или соединение формулы XIX ![]() где X=Cl, Y=CO или -CH(OH)- или Y=-CH(OH)-или соединение формулы XX ![]() или соединение формулы XXI ![]() где R1 означает хлорбензил; R2 – циклопентил, или оксихлорид меди при весовом соотношении соединения I к соединению II, или соединению III – XXI, или оксихлориду меди, равном 1 : (1 – 100). 2. Фунгицидное средство по п.1, отличающееся тем, что производное валинамида формулы I и соединение формулы II взяты в весовом соотношении 1 : (5 – 10). 3. Фунгицидное средство по п.1, отличающееся тем, что производное валинамида формулы I и соединение формулы III взяты в весовом соотношении 1 : (5 – 10). 4. Фунгицидное средство по п.1, отличающееся тем, что производное валинамида формулы I и соединение формулы IV взяты в весовом соотношении 1 : 5. 5. Фунгицидное средство по п.1, отличающееся тем, что производное валинамида формулы I и соединение формулы V взяты в весовом соотношении 1 : (1 – 20). 6. Фунгицидное средство по п.1, отличающееся тем, что производное валинамида формулы I и соединение формулы VI взяты в весовом соотношении 1 : (1 – 10). 7. Фунгицидное средство по п.1, отличающееся тем, что производное валинамида формулы I и соединение формулы VII взяты в весовом соотношении 1 : (5 – 10). 8. Фунгицидное средство по п.1, отличающееся тем, что производное валинамида формулы I и соединение формулы VIII взяты в весовом соотношении 1 : (1 – 100). 9. Фунгицидное средство по п.1, отличающееся тем, что производное валинамида формулы I и соединение формулы IX взяты в весовом соотношении 1 : (10 – 50). 10. Фунгицидное средство по п.1, отличающееся тем, что производное валинамида формулы I и соединение формулы X взяты в весовом соотношении 1 : 1. 11. Фунгицидное средство по п.1, отличающееся тем, что производное валинамида формулы I и соединение формулы XI взяты в весовом соотношении 1 : (1 – 10). 12. Фунгицидное средство по п.1, отличающееся тем, что производное валинамида формулы I и соединение формулы XII взяты в весовом соотношении 1 : (5 – 10). 13. Фунгицидное средство по п.1, отличающееся тем, что производное валинамида формулы I и соединение формулы XIII взяты в весовом соотношении 1 : (1 – 10). 14. Фунгицидное средство по п.1, отличающееся тем, что производное валинамида формулы I и соединение формулы XIV взяты в весовом соотношении 1 : (5 – 10). 15. Фунгицидное средство по п.1, отличающееся тем, что производное валинамида формулы I и соединение формулы XV взяты в весовом соотношении 1 : 5. 16. Фунгицидное средство по п.1, отличающееся тем, что производное валинамида формулы I и соединение формулы XVI взяты в весовом соотношении 1 : 5. 17. Фунгицидное средство по п.1, отличающееся тем, что производное валинамида формулы I и соединение формулы XVII взяты в весовом соотношении 1 : (1 – 5). 18. Фунгицидное средство по п.1, отличающееся тем, что производное валинамида формулы I и соединение формулы XVIII взяты в весовом соотношении 1 : (1 – 5). 19. Фунгицидное средство по п.1, отличающееся тем, что производное валинамида формулы I и соединение формулы XIX взяты в весовом соотношении 1 : 5. 20. Фунгицидное средство по п.1, отличающееся тем, что производное валинамида формулы I и соединение формулы XX взяты в весовом соотношении 1 : 5. 21. Фунгицидное средство по п.1, отличающееся тем, что производное валинамида формулы I и соединение формулы XXI взяты в весовом соотношении 1 : 5. 22. Фунгицидное средство по п.1, отличающееся тем, что производное валинамида формулы I и оксихлорид меди взяты в весовом соотношении 1 : (5 – 50). 23. Фунгицидное средство, содержащее одно производное валинамида общей формулы I ![]() где R1 – изопропил или втор.бутил; R2 – хлор, метил, этил или метокси, и целевые добавки, отличающееся тем, что оно дополнительно содержит соединение формулы II ![]() или соединение формулы III ![]() или соединение формулы IV ![]() или соединение формулы V ![]() или соединение формулы VI ![]() или соединение формулы VII ![]() или соединение формулы VIII ![]() или соединение формулы IX ![]() или соединение формулы X ![]() или соединение формулы XI ![]() или соединение формулы XII ![]() или соединение формулы XIII ![]() или соединение формулы XIV ![]() или его алюминиевый аддукт, или соединение формулы XV ![]() или соединение формулы XVI ![]() или сложный метиловый эфир (Е)-2-{2-[6-(2-цианофенокси)пиридин-4-илокси-4-илокси]фенил}-3-метоксиакрилатовой кислоты формулы XVII ![]() или сложный метиловый эфир (Е)-метоксиамино[ -(о-толиокси)-о-толил]уксусной кислоты формулы XVIII![]() или соединение формулы XIX ![]() где X=Cl, Y=СО или -СН(ОН)- или Y=-CH(OH)-или соединение формулы XX ![]() или соединение формулы XXI ![]() где R1 означает хлорбензил; R2 – циклопентил, или оксихлорид меди при весовом соотношении соединения I к соединению II, или соединению III – XXI, или оксихлориду меди, равном 1 : (1 – 100). 24. Фунгицидное средство по п. 23, отличающееся тем, что производное валинамида формулы I и соединение формулы II взяты в весовом соотношении 1 : (5 – 10). 25. Фунгицидное средство по п. 23, отличающееся тем, что производное валинамида формулы I и соединение формулы III взяты в весовом соотношении 1 : (5 – 10). 26. Фунгицидное средство по п. 23, отличающееся тем, что производное валинамида формулы I и соединение формулы IV взяты в весовом соотношении 1 : 5. 27. Фунгицидное средство по п. 23, отличающееся тем, что производное валинамида формулы I и соединение формулы V взяты в весовом соотношении 1 : (1 – 20). 28. Фунгицидное средство по п. 23, отличающееся тем, что производное валинамида формулы I и соединение формулы VI взяты в весовом соотношении 1 : (1 – 10). 29. Фунгицидное средство по п. 23, отличающееся тем, что производное валинамида формулы I и соединение формулы VII взяты в весовом соотношении 1 : (5 – 10). 30. Фунгицидное средство по п. 23, отличающееся тем, что производное валинамида формулы I и соединение формулы VIII взяты в весовом соотношении 1 : (10 – 50). 31. Фунгицидное средство по п. 23, отличающееся тем, что производное валинамида формулы I и соединение формулы IX взяты в весовом соотношении 1 : (10 – 50). 32. Фунгицидное средство по п. 23, отличающееся тем, что производное валинамида формулы I и соединение формулы X взяты в весовом соотношении 1 : 1. 33. Фунгицидное средство по п. 23, отличающееся тем, что производное валинамида формулы I и соединение формулы XI взяты в весовом соотношении 1 : (1 – 10). 34. Фунгицидное средство по п. 23, отличающееся тем, что производное валинамида формулы I и соединение формулы XII взяты в весовом соотношении 1 : (5 – 10). 35. Фунгицидное средство по п. 23, отличающееся тем, что производное валинамида формулы I и соединение формулы XIII взяты в весовом соотношении 1 : (1 – 10) 36. Фунгицидное средство по п. 23, отличающееся тем, что производное валинамида формулы I и соединение формулы XIV взяты в весовом соотношении 1 : (5 – 10). 37. Фунгицидное средство по п. 23, отличающееся тем, что производное валинамида формулы I и соединение формулы XV взяты в весовом соотношении 1 : 5. 38. Фунгицидное средство по п. 23, отличающееся тем, что производное валинамида формулы I и соединение формулы XVI взяты в весовом соотношении 1 : 5. 39. Фунгицидное средство по п. 23, отличающееся тем, что производное валинамида формулы I и соединение формулы XVII взяты в весовом соотношении 1 : (1 – 5), 40. Фунгицидное средство по п. 23, отличающееся тем, что производное валинамида формулы I и соединение формулы XVIII взяты в весовом соотношении 1 : (1 – 5). 41. Фунгицидное средство по п. 23, отличающееся тем, что производное валинамида формулы I и соединение формулы XIX взяты в весовом соотношении 1 : 5. 42. Фунгицидное средство по п. 23, отличающееся тем, что производное валинамида формулы I и соединение формулы XX взяты в весовом соотношении 1 : 5. 43. Фунгицидное средство по п. 23, отличающееся тем, что производное валинамида формулы I и соединение формулы XXI взяты в весовом соотношении 1 : 5. 44. Фунгицидное средство по п. 23, отличающееся тем, что производное валинамида формулы I и оксихлорид меди взяты в весовом соотношении 1 : (5 – 50). 45. Способ борьбы с грибками путем обработки полезных растений одним производным валинамида общей формулы I ![]() где R1 – изопропил или втор.бутил; R2 – хлор, метил, этил или метокси, отличающееся тем, что обработку осуществляют дополнительно соединением формул II – XXI по п.1 или оксихлоридом меди, причем производное валинамида формулы I и соединение указанных формул или оксихлорид меди применяют в весовом соотношении, равном 1 : (1 – 100), и в эффективном количестве. РИСУНКИ
|
||||||||||||||||||||||||||



















-(о-толиокси)-о-толил]уксусной кислоты формулы (XVIII)

Y = -CH(OH)-

























Y=-CH(OH)-




















Y=-CH(OH)-

