Патент на изобретение №2176399
|
||||||||||||||||||||||||||
(54) ОДНОКАНАЛЬНАЯ МОНОИМПУЛЬСНАЯ РАДИОЛОКАЦИОННАЯ СИСТЕМА ОПРЕДЕЛЕНИЯ НАПРАВЛЕНИЯ НА ЦЕЛЬ
(57) Реферат: Изобретение относится к радиотехнике и может быть использовано для выделения угловой информации в бортовых амплитудных суммарно-разностных моноимпульсных РЛС сопровождения цели с одним приемным каналом, использующих внутриимпульсную фазовую манипуляцию зондирующих сигналов двоичным многоразрядным кодом (М-последовательностью). Достигаемым техническим результатом изобретения является повышение точности и помехозащищенности углового сопровождения цели. Сущность изобретения заключается в том, что в одноканальную моноимпульсную радиолокационную систему определения направления на цель, содержащую первый и второй манипуляторы фазы, первый сумматор, усилитель высокой частоты, смеситель, линейный усилитель промежуточной частоты, блок демодуляторов, блок интеграторов, блок выделения азимутального сигнала рассогласования, блок формирования сигнала сопровождения по дальности и кодовый генератор, дополнительно введены третий манипулятор фазы, первый и второй фазовращатели, второй сумматор и блок выделения угломестного сигнала рассогласования системы, определенным образом соединенные между собой. 8 ил. Изобретение относится к радиотехнике и может быть использовано для выделения угловой информации в бортовых амплитудных суммарно-разностных моноимпульсных радиолокационных станциях (РЛС) сопровождения цели с одним приемным каналом, использующих внутриимпульсную фазовую манипуляцию зондирующих сигналов двоичным многоразрядным кодом (М-последовательностью). Использование одного приемного канала в моноимпульсных РЛС сопровождения цели позволяет уменьшить инструментальные ошибки пеленгования, обусловленные неидентичностью амплитудно-фазовых характеристик приемных каналов [1, с. 183] . Одновременно в ряде случаев одноканальность приводит к снижению стоимости аппаратуры, уменьшению ее габаритов и массы. Известна радиолокационная система [2] , предназначенная для выделения угловой информации в моноимпульсных РЛС сопровождения цели с одним приемным каналом по обеим угловым координатам. В известном устройстве высокая частота каждого из сигналов (суммарного и двух разностных) преобразуется в разные промежуточные частоты с помощью отдельных гетеродинов различных частот. Все три сигнала усиливаются одним усилителем промежуточной частоты с достаточно широкой полосой пропускания. На выходе усилителя сигналы жестко ограничиваются и разделяются тремя узкополосными фильтрами. Затем все три сигнала преобразуются к одной частоте путем смешения двух из этих сигналов с сигналом, частота которого равна разности частот гетеродинов каждого из этих сигналов и гетеродина третьего сигнала. В известном устройстве из-за жесткого ограничения сигналов на выходе усилителя промежуточной частоты возникает серьезная проблема перекрестной связи, в результате которой часть сигнала рассогласования по азимуту появляется на выходе детектора рассогласования по углу места и наоборот, что может явиться причиной значительных ошибок и повышенной чувствительности к помехам. Известна радиолокационная система [3], предназначенная для выделения угловой информации в моноимпульсных РЛС сопровождения цели с одним приемным каналом по обеим угловым координатам. Известное устройство содержит первый комплект из четырех двойных балансных смесителей, работающих как модуляторы, с помощью которых выполняется кодирование по фазе в цифровой форме четырех сигналов с выходов антенны. Первый комплект балансных смесителей питается модулирующими кодированными сигналами высокой частоты. Кодовые группы, подаваемые на модуляторы, сдвигаются по времени относительно друг друга на величину, равную или превышающую длительность элемента кода, что практически исключает взаимодействие сигналов при их объединении. Выходные сигналы модуляторов, кодированные по фазе, суммируются по промежуточной частоте, после чего совокупность сигналов обрабатывается в одноканальном приемнике. С выхода приемника совокупность сигналов поступает на делитель мощности и далее на второй комплект из четырех двойных балансных смесителей, работающих как демодуляторы и восстанавливающих структуру первоначальных сигналов. Извлечение угловой информации осуществляется в угловом процессоре. Поскольку кодирование осуществляется в пределах длительности принимаемого импульса без дополнительных сдвигов по времени, то метод объединения сигналов, реализованный в известном устройстве, не приводит к ухудшению разрешающей способности по дальности. Разрешающая способность по дальности остается такой же, какой она была в устройстве без объединения сигналов, и определяется длительностью зондирующих импульсов. Улучшение разрешающей способности по дальности (при неизменной дальности действия РЛС) за счет уменьшения длительности зондирующих посылок в импульсных РЛС возможно лишь путем увеличения импульсной мощности, что не всегда является приемлемым из-за энергетических ограничений и необходимости обеспечения высокой помехозащищенности. Эффективным способом повышения помехозащищенности бортовых РЛС по отношению ко всем видам ответных помех является использование в качестве зондирующего излучения сигналов малой скважности и малой импульсной мощности. Для обеспечения высокой разрешающей способности по дальности производится внутриимпульсная фазовая манипуляция зондирующих сигналов двоичным многоразрядным кодом (М-последовательностью), которая в бортовых РЛС является более предпочтительной, чем линейная частотная модуляция, по энергетическим соображениям и аппаратурной реализации. Наиболее близким по технической сути аналогом, принятым в качестве прототипа предлагаемого изобретения, является радиолокационная система [4], которая содержит первый и второй манипуляторы фазы, сумматор, усилитель высокой частоты, смеситель, линейный усилитель промежуточной частоты, блок демодуляторов, блок интеграторов, блок выделения сигналов углового рассогласования, блок формирования сигнала сопровождения по дальности, первый и второй коммутаторы и кодовый генератор, выход которого соединен с первым входом первого манипулятора фазы, выход которого подключен к первому входу сумматора, второй вход которого является входом суммарного сигнала системы, входами тактовых импульсов и кода фазовой манипуляции которой являются соответственно первый и второй входы кодового генератора, входами разностных сигналов азимута и угла места системы являются соответственно первый и второй входы первого коммутатора, выход которого подключен ко второму входу первого манипулятора фазы, выход сумматора через усилитель высокой частоты подключен к первому входу смесителя, выход которого соединен с первым входом линейного усилителя промежуточной частоты, второй вход и выход которого подключены соответственно к первому выходу блока формирования сигнала сопровождения по дальности и первому входу блока демодуляторов, первый, второй, третий и четвертый выходы которого соединены с соответствующими входами блока интеграторов, первый и второй выходы которого подключены к соответствующим входам блока формирования сигнала сопровождения по дальности и блока выделения сигналов углового рассогласования, третий и четвертый входы которого соединены с соответствующими выходами блока интеграторов, пятый вход которого является входом строба дальности цели системы, входом тактовых импульсов которой являются третий вход первого коммутатора и первый вход второго коммутатора, второй вход которого подключен к выходу блока выделения сигналов углового рассогласования, пятый вход которого соединен со вторым выходом блока формирования сигнала сопровождения по дальности, второй вход смесителя является входом сигнала гетеродина системы, входом опорного сигнала которой являются второй вход блока демодуляторов и первый вход второго манипулятора фазы, выход и второй вход которого соединены соответственно с третьим входом блока демодуляторов и выходом кодового генератора, первый выход блока формирования сигнала сопровождения по дальности является выходом суммарного сигнала системы, выходами азимутального и угломестного сигналов рассогласования, входом сигнала обнаружения цели и выходом квадратурных составляющих фазоманипулированного суммарного сигнала которой являются соответственно первый и второй выходы второго коммутатора, шестой вход блока выделения сигналов углового рассогласования и пятый выход блока демодуляторов. Устройство-прототип обеспечивает объединение суммарного сигнала с разностными сигналами азимута и угла места по высокой частоте поочередно с периодом повторения зондирующих посылок путем изменения фазы разностного сигнала и последующего его сложения с суммарным сигналом. Фаза разностного сигнала изменяется таким образом, чтобы в каждый момент времени его фаза по отношению к фазе суммарного сигнала была сдвинута на 90o. Разделяются сигналы после переноса их спектра из области высокой частоты в область промежуточной частоты и усиления посредством корреляционной обработки в два этапа: демодуляцией сигналов и их последующим интегрированием. На первом этапе в квадратурных каналах формируются аддитивные смеси из соответствующих квадратурных составляющих фазоманипулированного суммарного (разностного) и демодулированного разностного (суммарного) сигналов. Для этого в квадратурных каналах, формирующих смеси из квадратурных составляющих фазоманипулированного суммарного и демодулированного разностного сигналов, используются ортогональные гармонические опорные напряжения, а в квадратурных каналах, формирующих смеси из квадратурных составляющих фазоманипулированного разностного и демодулированного суммарного сигналов, – ортогональные опорные напряжения с фазой, изменяемой в соответствии с кодом фазовой манипуляции синхронно с изменением фазы разностного сигнала на входе системы. На втором этапе разделения сигналов из смесей, сформированных на первом этапе, выделяются квадратурные составляющие демодулированных сигналов путем их накопления на интеграторах. Присутствующие в смесях квадратурные составляющие фазоманипулированных сигналов в результате их накопления на интеграторах подавляются в силу свойств М-последовательности. Разделенные квадратурные составляющие сигналов преобразуются в цифровой код и используются для формирования сигналов углового рассогласования, которые поочередно (синхронно с подключением разностных сигналов для объединения с суммарным сигналом на входе системы) подаются в соответствующие каналы углового сопровождения цели. Поскольку сигналы углового рассогласования по азимуту и углу места подаются в соответствующие каналы углового сопровождения цели поочередно с периодом повторения зондирующих посылок, то частота их обновления фактически оказывается в два раза меньше частоты повторения зондирующих посылок, что сказывается на точности углового сопровождения цели. Кроме того, изменение фазы разностного сигнала для обеспечения ее ортогональности к фазе суммарного сигнала приводит к исчезновению фазовой манипуляции разностного сигнала и, как следствие, – снижению помехозащищенности измерительного (разностного) канала. Задачей изобретения является повышение точности и помехозащищенности углового сопровождения цели при использовании сигналов с фазовой манипуляцией путем дополнительной манипуляции фазы разностных сигналов азимута и угла места и их последующего сложения с суммарным сигналом по высокой частоте на входе одноканального приемника. Выбор структурной схемы предлагаемой одноканальной моноимпульсной радиолокационной системы определения направления на цель основан на следующих предпосылках. Объединение суммарного сигнала с разностными сигналами азимута и угла места осуществляется по высокой частоте в два этапа. На первом этапе объединяются разностные сигналы путем их преобразования и последующего сложения. Преобразование разностного сигнала азимута осуществляется двухуровневой (0; ) манипуляцией его фазы в соответствии с М-последовательностью М2 (являющейся результатом сдвига на определенное число элементов кода М-последовательности M1 фазовой манипуляции зондирующих сигналов) таким образом, чтобы преобразованный сигнал имел фазовую манипуляцию М-последовательностью М3, являющейся результатом сложения по модулю 2 М-последовательностей M1 и М3. Аналогично преобразуется разностный сигнал угла места М-последовательностью М4 (являющейся результатом сдвига той же М-последовательности 1, но на другое число элементов ее кода) таким образом, чтобы преобразованный сигнал имел фазовую манипуляцию М-последовательностью М5, являющейся результатом сложения по модулю 2 М-последовательностей M1 и М4. На втором этапе разностные сигналы объединяются с суммарным сигналом путем их сложения с предварительным изменением фазы суммы разностных сигналов на 90o.
Совокупность сигналов усиливается по высокой частоте, преобразуется путем переноса спектра сигналов из области высокой частоты в область промежуточной частоты и усиливается по промежуточной частоте.
Разделение сигналов осуществляется посредством их корреляционной обработки в два этапа: демодуляцией сигналов и их последующим интегрированием.
На первом этапе в квадратурных каналах формируются аддитивные смеси из соответствующих квадратурных составляющих демодулированного суммарного сигнала и фазоманипулированных разностных сигналов азимута и угла места (или демодулированного разностного сигнала азимута (угла места) и фазоманипулированных суммарного сигнала и разностного сигнала угла места (азимута)). Для этого в квадратурных каналах используются ортогональные гармонические опорные напряжения с фазой, которая синхронно с манипуляцией фазы разностных сигналов на входе системы изменяется следующим образом:в каналах, в которых образуется демодулированный суммарный сигнал, – в соответствии с М-последовательностью M1; в каналах, в которых образуется демодулированный разностный сигнал азимута, – в соответствии с М-последовательностью М3; в каналах, в которых образуется демодулированный разностный сигнал угла места, – в соответствии с М- последовательностью M5. На втором этапе выделение демодулированных сигналов осуществляется путем их накопления на интеграторах. Присутствующие в смесях фазоманипулированные сигналы в результате их накопления на интеграторах в силу свойств М-последовательности (число “единиц” больше числа “нулей” на единицу; псевдослучайность М-последовательности, в частности, свойство уравновешенности и свойство серий, т. е. как бы одинаковая вероятность появления “единиц” и “нулей”, и то, что после появления “единицы” следующий элемент с равной вероятностью может быть как “единица”, так и “нуль”), а также при соответствующем выборе постоянной времени интеграторов (она должна быть значительно больше длительности одного дискрета фазоманипулированного сигнала) оказываются практически полностью подавленными. Разделенные квадратурные составляющие сигналов преобразуются в цифровой код и используются для формирования сигналов углового рассогласования, которые подаются в соответствующие каналы углового сопровождения цели. Сущность предлагаемого изобретения заключается в том, что в одноканальную моноимпульсную радиолокационную систему определения направления на цель, содержащую первый и второй манипуляторы фазы, первый сумматор, усилитель высокой частоты, смеситель, линейный усилитель промежуточной частоты, блок демодуляторов, блок интеграторов, блок выделения азимутального сигнала рассогласования, блок формирования сигнала сопровождения по дальности и кодовый генератор, первый вход которого является входом тактовых импульсов системы, входом разностного сигнала азимута которой является первый вход первого манипулятора фазы, второй вход которого соединен с первым выходом кодового генератора, второй вход которого является входом кодов фазовой манипуляции системы, входом опорного сигнала которой является первый вход второго манипулятора фазы, второй и третий входы которого подключены к соответствующим выходам кодового генератора, входом суммарного сигнала системы является первый вход первого сумматора, выход которого через усилитель высокой частоты подключен к первому входу смесителя, выход которого соединен с первым входом линейного усилителя промежуточной частоты, выход которого подключен к первому входу блока демодуляторов, первый, второй, третий и четвертый выходы которого соединены с соответствующими входами блока интеграторов, первый и второй выходы которого подключены к соответствующим входам блока выделения азимутального сигнала рассогласования и блока формирования сигнала сопровождения по дальности, первый и второй выходы которого соединены соответственно со вторым входом линейного усилителя промежуточной частоты и третьим входом блока выделения азимутального сигнала рассогласования, четвертый и пятый входы которого подключены соответственно к третьему и четвертому выходам блока интеграторов, пятый вход которого является входом строба дальности цели системы, выходом квадратурных составляющих фазоманипулированных суммарного сигнала и разностного сигнала угла места которой является пятый выход блока демодуляторов, второй и третий входы которого соединены соответственно с первым и вторым выходами второго манипулятора фазы, входами сигнала гетеродина и сигнала обнаружения цели системы являются соответственно второй вход смесителя и шестой вход блока выделения азимутального сигнала рассогласования, выход которого является выходом азимутального сигнала рассогласования системы, выходом суммарного сигнала которой является первый выход блока формирования сигнала сопровождения по дальности, дополнительно введены: третий манипулятор фазы, первый и второй фазовращатели, второй сумматор и блок выделения угломестного сигнала рассогласования, выход которого является выходом угломестного сигнала рассогласования системы, входом разностного сигнала угла места которой является первый вход третьего манипулятора фазы, второй вход которого подключен к четвертому выходу кодового генератора, а выход через первый фазовращатель соединен с первым входом второго сумматора, второй вход и выход которого подключены соответственно к выходу первого манипулятора фазы и входу второго фазовращателя, выход которого соединен со вторым входом первого сумматора, пятый выход кодового генератора подключен к четвертому входу второго манипулятора фазы, третий выход которого соединен с четвертым входом блока демодуляторов, шестой и седьмой выходы которого подключены к шестому и седьмому входам блока интеграторов, к первому и второму выходам которого подключены первый и второй входы блока выделения угломестного сигнала рассогласования, третий вход которого подключен ко второму выходу блока формирования сигнала сопровождения по дальности, четвертый и пятый входы подключены к пятому и шестому выходам блока интеграторов, а шестой вход является входом сигнала обнаружения цели системы. Сущность изобретения поясняется чертежами, на которых представлены: фиг. 1 – структурная схема системы; фиг. 2 – структурная схема кодового генератора; фиг. 3 – структурная схема первого (третьего) манипулятора фазы; фиг. 4 – структурная схема второго манипулятора фазы; фиг. 5 – структурная схема блока демодуляторов; фиг. 6 – структурная схема блока интеграторов; фиг. 7 – структурная схема блока выделения азимутального (угломестного) сигнала рассогласования; фиг. 8 – структурная схема блока формирования сигнала сопровождения по дальности. На фиг. 1 приняты следующие обозначения: 1 – кодовый генератор, 2, 3 – первый и второй манипуляторы фазы, 4 – первый сумматор, 5 – усилитель высокой частоты, 6 – смеситель, 7 – линейный усилитель промежуточной частоты, 8 – блок демодуляторов, 9 – блок интеграторов, 10 – блок выделения азимутального сигнала рассогласования, 11 – блок формирования сигнала сопровождения по дальности, 12 – третий манипулятор фазы, 13 – первый фазовращатель, 14 – второй сумматор, 15 – второй фазовращатель, 16 – блок выделения угломестного сигнала рассогласования. Как показано на фиг. 1, одноканальная моноимпульсная радиолокационная система определения направления на цель содержит кодовый генератор 1, первый вход которого является входом тактовых импульсов системы, входом разностного сигнала азимута которой является первый вход первого манипулятора 2 фазы, второй вход которого соединен с первым выходом кодового генератора 1, второй вход которого является входом кодов фазовой манипуляции системы, входом опорного сигнала которой является первый вход второго манипулятора 3 фазы, второй, третий и четвертый входы которого подключены соответственно ко второму, третьему и пятому выходам кодового генератора 1, четвертый выход которого подключен ко второму входу третьего манипулятора 12 фазы. Входом суммарного сигнала системы является первый вход первого сумматора 4, выход которого через усилитель 5 высокой частоты подключен к первому входу смесителя 6, выход которого соединен с первым входом линейного усилителя 7 промежуточной частоты, выход которого подключен к первому входу блока 8 демодуляторов, первый, второй, третий, четвертый, шестой и седьмой выходы которого соединены с соответствующими входами блока 9 интеграторов, а пятый выход является выходом квадратурных составляющих фазоманипулированных суммарного сигнала и разностного сигнала угла места системы. Первый и второй выходы блока 9 интеграторов подключены к соответствующим входам блока 10 выделения азимутального сигнала рассогласования и блока 11 формирования сигнала сопровождения по дальности, первый и второй выходы которого соединены соответственно со вторым входом линейного усилителя 7 промежуточной частоты и третьим входом блока 10 выделения азимутального сигнала рассогласования, четвертый и пятый входы которого подключены соответственно к третьему и четвертому выходам блока 9 интеграторов, пятый вход которого является входом строба дальности цели системы. Второй, третий и четвертый входы блока 8 демодуляторов соединены соответственно с первым, вторым и третьим выходами второго манипулятора 3 фазы. Входом сигнала гетеродина системы является второй вход смесителя 6, выходом азимутального сигнала рассогласования системы – выход блока 10 выделения азимутального сигнала рассогласования, а выходом суммарного сигнала системы – первый выход блока 11 формирования сигнала сопровождения по дальности. Входом разностного сигнала угла места системы является первый вход третьего манипулятора 12 фазы, выход которого через первый фазовращатель 13 соединен с первым входом второго сумматора 14, второй вход и выход которого подключены соответственно к выходу первого манипулятора 2 фазы и входу второго фазовращателя 15, выход которого соединен со вторым входом первого сумматора 4. Первый, второй, четвертый и пятый входы блока 16 выделения угломестного сигнала рассогласования подключены соответственно к первому, второму, пятому и шестому выходам блока 9 интеграторов, третий вход подключен ко второму выходу блока 11 формирования сигнала сопровождения по дальности, а шестой вход, объединенный с шестым входом блока 10 выделения азимутального сигнала рассогласования, и выход являются соответственно входом сигнала обнаружения цели и выходом угломестного сигнала рассогласования системы. Блок 1 (кодовый генератор – см. фиг. 2) предназначен для выработки сигналов, кодированных в соответствии с заданными кодами фазовой манипуляции. Первым входом кодового генератора 1 являются единичный вход триггера 17, вход генератора 18 синхроимпульсов, первые входы регистров 19, 20, 21, 22 и 23 сдвига и вход линии 24 задержки, выход которой соединен с нулевым входом триггера 17, прямой выход которого подключен к первому входу элемента 25 “И”, второй вход и выход которого соединены соответственно с выходом генератора 18 синхроимпульсов и вторыми входами регистров 19, 20, 21, 22 и 23 сдвига, третьи входы которых являются вторым входом кодового генератора 1, первым, вторым, третьим, четвертым и пятым выходами которого являются выходы регистров 19, 20, 21, 22 и 23 сдвига, соответственно. Блок 2 (12) (первый (третий) манипулятор фазы – см. фиг. 3) обеспечивает изменение фазы разностного сигнала азимута (угла места) по высокой частоте. Первым и вторым входами первого (третьего) манипулятора 2(12) фазы являются соответствующие входы переключателя 26, первый и второй выходы которого подключены соответственно через фазовращатель 27 и непосредственно к соответствующим входам элемента 28 “ИЛИ”, выход которого является выходом первого (третьего) манипулятора 2 (12) фазы. Блок 3 (второй манипулятор фазы – см. фиг. 4) предназначен для изменения фазы опорного сигнала промежуточной частоты. Первым входом второго манипулятора 3 фазы являются первые входы переключателей 29, 30 и 31, первые выходы которых через фазовращатели 32, 33 и 34, подключены к первым входам соответственно элементов 35, 36 и 37 “ИЛИ”, а их вторые выходы непосредственно соединены со вторыми входами элементов 35, 36 и 37 “ИЛИ”. Выходы элементов 35, 36 и 37 “ИЛИ” являются соответственно первым, вторым и третьим выходами второго манипулятора 3 фазы, вторым, третьим и четвертым входами которого являются вторые входы переключателей 29, 30 и 31, соответственно. Блок 8 демодуляторов (см. фиг. 5) реализует первый этап разделения совокупности суммарного сигнала и разностных сигналов азимута и угла места – формирование в квадратурных каналах аддитивных смесей из соответствующих квадратурных составляющих демодулированного суммарного сигнала и фазоманипулированных разностных сигналов азимута и угла места (или демодулированного разностного сигнала азимута (угла места) и фазоманипулированных суммарного сигнала и разностного сигнала угла места (азимута)). Первым входом блока 8 демодуляторов являются первые входы фазовых детекторов 38, 39, 40, 41, 42 и 43, выходы которых соединены со входами видеоусилителей 44, 45, 46, 47, 48 и 49, соответственно. Выходы видеоусилителей 44, 45, 46 и 47 являются соответственно первым, вторым, третьим и четвертым выходами блока 8 демодуляторов, вторым входом которого являются второй вход фазового детектора 38 и вход фазовращателя 50, выход которого подключен ко второму входу фазового детектора 39. Третьим входом блока 8 демодуляторов являются второй вход фазового детектора 40 и вход фазовращателя 51, выход которого соединен со вторым входом фазового детектора 41. Четвертым входом блока 8 демодуляторов являются второй вход фазового детектора 42 и вход фазовращателя 52, выход которого подключен ко второму входу фазового детектора 43. Выходы видеоусилителей 46 и 47 соединены с первыми обкладками разделительных емкостей 53 и 54, соответственно, вторые обкладки которых образуют пятый выход блока 8 демодуляторов, шестым и седьмым выходами которого являются выходы видеоусилителей 48 и 49, соответственно. Блок 9 интеграторов (см. фиг. 6) предназначен для реализации второго этапа разделения совокупности суммарного сигнала и разностных сигналов азимута и угла места – выделения демодулированных сигналов путем их накопления на интеграторах. Первым, вторым, третьим и четвертым входами блока 9 интеграторов являются первые входы интеграторов 55, 56, 57 и 58, соответственно. К пятому входу блока 9 интеграторов подключены вторые входы интеграторов 55, 56, 57 и 58 и первые входы интеграторов 59 и 60. Вторые входы интеграторов 59 и 60 являются соответственно шестым и седьмым входами блока 9 интеграторов, первым, вторым, третьим, четвертым, пятым и шестым выходами которого являются выходы аналого-цифровых преобразователей 61, 62, 63, 64, 65 и 66, соответственно, входы которых подключены к выходам интеграторов 55, 56, 57, 58, 59 и 60. Блоки 10 и 16 выделения азимутального или угломестного сигнала рассогласования (см. фиг. 7) предназначены для формирования соответствующих сигналов рассогласования и реализованы по одинаковым схемам. Первым и вторым входами блока 10 (16) являются первые входы умножителей 67 и 68. Выход умножителя 68 через группу 69 элементов “НЕ” подключен ко второму входу сумматора 70, первый вход которого подключен к выходу умножителя 67, а выход подключен к первому входу группы 71 элементов “И”, выход которой подключен к первому входу делителя 72, второй вход и выход которого являются соответственно третьим входом и выходом блока 10(16), соответственно. Четвертым, пятым и шестым входами блока 10(16) являются вторые входы умножителей 67 и 68 и группы 71 элементов “И”. Блок 11 формирования сигнала сопровождения по дальности (см. фиг. 8) обеспечивает объединение квадратурных составляющих суммарного сигнала. Первым и вторым входами блока 11 являются входы квадраторов 73 и 74, выходы которых соединены соответственно с первым и вторым входами сумматора 75, выход которого подключен ко входу постоянного запоминающего устройства 76, выход которого является первым выходом блока 11. Вторым выходом блока 11 является выход сумматора 75. Одноканальная моноимпульсная радиолокационная система определения направления на цель функционирует следующим образом. В исходном состоянии триггер 17 кодового генератора 1 находится в положении, когда на его прямом выходе сигнал отсутствует, что соответствует выключенному состоянию кодового генератора 1. Обработка сигналов в системе осуществляется периодически (с периодом повторения зондирующих посылок). Начало обработки задается подачей тактовых импульсов на единичный вход триггера 17, а окончание – подачей тех же импульсов на нулевой вход триггера 17 после их задержки в линии 24 задержки. Время задержки, равное длительности принятого сигнала, определяет продолжительность рабочего состояния системы. Тактовые импульсы, поступающие с соответствующего входа системы, синхронизированы частотой повторения зондирующих посылок таким образом, что в систему они подаются с задержкой относительно соответствующих зондирующих импульсов, которая определяется дальностью до сопровождаемой цели. Для повышения помехозащищенности РЛС по отношению ко всем видам ответных помех и обеспечения высокой разрешающей способности по дальности производится внутриимпульсная двухуровневая (0; ) фазовая манипуляция (ФМ) зондирующих сигналов двоичным многоразрядным кодом (М-последовательностью) Mi по псевдослучайному закону.
После суммарно-разностного преобразования принимаемые сигналы поступают: суммарный сигнал – на первый вход первого сумматора 4; разностные сигналы азимута и угла места – на первые входы соответственно первого и третьего манипуляторов 2 и 12 фазы. Суммарный u (t) и разностные сигналы азимута u![]() (t) и угла места u![]() (t) могут быть записаны в виде:u (t) = U cos( ВЧt+ФМ1+ 0)u ![]() (t) = U![]() cos( ВЧt+ФМ1+ 0)u ![]() (t) = U![]() cos( ВЧt+ФМ1+ 0)где U , U![]() , U![]() – амплитуды соответственно суммарного сигнала и разностных сигналов азимута и угла места; ВЧ– несущая (высокая) круговая частота сигналов; ФМ1 – фазовый сдвиг, вносимый ФМ зондирующих сигналов; 0– начальная фаза сигналов.
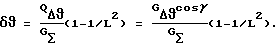
Амплитуды суммарного и разностных входных сигналов определяются характеристиками соответствующих диаграмм направленности антенны амплитудной моноимпульсной РЛС и равны:![]() ![]() ![]() где U0 – амплитуда принятого отраженного сигнала на входе антенны; G , G![]() , G![]() – характеристики диаграмм направленности антенны соответственно по суммарному сигналу и разностным сигналам азимута и угла места.
С приходом со входа тактовых импульсов системы очередного импульса осуществляется синхронизация генератора 18 синхроимпульсов, а также запись в регистры 19, 20, 21, 22 и 23 сдвига следующих кодов ФМ: в регистр 20 сдвига – кода М1 ФМ зондирующих сигналов; в регистр 19 сдвига – кода М2 (являющегося результатом сдвига на определенное число разрядов кода M1) дополнительной ФМ разностного сигнала азимута; в регистр 21 сдвига – кода М3 (являющегося результатом сложения по модулю 2 кодов М1 и М2) результирующей (после дополнительной манипуляции) ФМ разностного сигнала азимута; в регистр 22 сдвига – кода М4 (также являющегося результатом сдвига кода M1, но на другое число разрядов) дополнительной ФМ разностного сигнала угла места; в регистр 23 сдвига – кода 5 (являющегося результатом сложения по модулю 2 кодов М1 и М4) результирующей (после дополнительной манипуляции) ФМ разностного сигнала угла места. Тактовый импульс обеспечивает также появление на прямом выходе триггера 17 сигнала, разрешающего прохождение через элемент 25 “И” импульсов, вырабатываемых генератором 18 синхроимпульсов. Частота импульсов генератора 18 синхроимпульсов сопряжена с длительностью одного дискрета фазоманипулированного сигнала (дискрета дальности), тем самым обеспечивается поэлементное считывание записанных в регистры 19, 20, 21, 22 и 23 сдвига кодов ФМ.
Сигнал, кодированный в соответствии с кодом ФМ М2, с первого выхода кодового генератора 1 поступает на второй вход первого манипулятора 2 фазы, на первый вход которого с соответствующего входа системы подается разностный сигнал азимута. Разностный сигнал угла места с соответствующего входа системы подается на первый вход третьего манипулятора 12 фазы, на второй вход которого с четвертого выхода кодового генератора 1 поступает сигнал, кодированный в соответствии с кодом ФМ М4.
Сигнал, кодированный в соответствии с кодом ФМ М2, в первом манипуляторе 2 фазы поступает на второй вход переключателя 26, обеспечивая подключение разностного сигнала азимута (поступающего на первый вход переключателя 26) либо непосредственно к элементу 28 “ИЛИ” (при нулевом значении разряда кода ФМ М2), либо через выполненный на RC-элементах фазовращатель 27 (при единичном значении разряда кода ФМ М2), который изменяет фазу разностного сигнала азимута на 180o. В результате разностный сигнал азимута, появляющийся на выходе первого манипулятора 2 фазы, приобретает ФМ М- последовательностью М3. Этот сигнал поступает на второй вход второго сумматора 14.
Аналогично в третьем манипуляторе 12 фазы (который идентичен первому манипулятору 2 фазы) преобразуется разностный сигнал угла места, в результате чего этот сигнал, появляющийся на выходе третьего манипулятора 12 фазы, приобретает ФМ М-последовательностью М5. Этот сигнал проходит через первый фазовращатель 13 (который введен для компенсации фазовой неидентичности высокочастотных трактов разностных сигналов) и поступает на первый вход второго сумматора 14.
Итак, поступающие соответственно на второй и первый входы второго сумматора 14 разностные сигналы азимута и угла места могут быть записаны в виде:u ![]() (t) = U![]() cos( ВЧt+ФМ3+ 0)u ![]() (t) = U![]() cos( ВЧt+ФМ5+ 0)Здесь ФМ3=ФМ1+ФМ2; ФМ5=ФМ1+ФМ4; где ФМ2 и ФМ4 – фазовые сдвиги, вносимые соответственно первым и третьим манипуляторами 2 и 12 фазы. Таким образом, дополнительная ФМ разностных сигналов позволила сохранить кодовую структуру их фаз (в соответствии с М-последовательностями: М3 – для разностного сигнала азимута; М5 – для разностного сигнала угла места), а следовательно, и повышенную помехозащищенность, присущую сигналам с фазовой манипуляцией. Сумма разностных сигналов азимута и угла места с выхода второго сумматора 14, прежде чем объединиться в первом сумматоре 4 с суммарным сигналом, поступает на второй фазовращатель 15, который изменяет фазу разностных сигналов на 90o, тем самым обеспечивая их ортогональность относительно суммарного сигнала. Это позволяет после разделения сигналов обеспечить ортогональность шумовой составляющей сигнала в опорном (суммарном) канале относительно шумовых составляющих сигналов в измерительных (разностных) каналах. После объединения разностных сигналов азимута и угла места с суммарным сигналом их совокупность усиливается по высокой частоте в усилителе 5 высокой частоты и преобразуется по частоте в смесителе 6. Высокостабильный гетеродинный сигнал, поступающий на второй вход смесителя 6 с соответствующего входа системы, формируется задающим генератором передатчика когерентно с излучаемым фазоманипулированным сигналом. При этом частота гетеродинных колебаний смещена относительно частоты сигнала на величину промежуточной частоты. Это смещение не зависит от частоты сигнала и остается постоянным для всех рабочих частот в диапазоне перестройки частоты, что делает ненужной автоматическую подстройку частоты в приемном тракте системы. Таким образом, после усиления по высокой частоте и преобразования по частоте сигнал на первом входе линейного усилителя 7 промежуточной частоты может быть записан в виде: ![]() где К11 – постоянный коэффициент; пч – несущая (промежуточная) круговая частота сигналов.
Сигнал на выходе линейного усилителя 7 промежуточной частоты будет равен:![]() где К2 – постоянный коэффициент. Далее этот сигнал поступает в блок 8 демодуляторов, где в квадратурных каналах (косинусных и синусных) формируются аддитивные смеси из соответствующих квадратурных составляющих демодулированного суммарного сигнала и фазоманипулированных разностных сигналов азимута и угла места или демодулированного разностного сигнала азимута (угла места) и фазоманипулированных суммарного сигнала и разностного сигнала угла места (азимута). Построение видеотрактов приемника в виде идентичных квадратурных каналов, как известно, используется для исключения энергетических потерь принимаемого высокочастотного сигнала, вызванных незнанием его фазы. Квадратурные каналы отличаются тем, что на их фазовые детекторы опорные напряжения подаются со сдвигом 90o. В качестве опорных напряжений используются колебания промежуточной частоты, формируемые задающим генератором передатчика когерентно с излучаемым сигналом. Для устранения фазовых искажений, вызванных движением носителя РЛС, частота опорного сигнала (подаваемого с соответствующего входа системы) предварительно корректируется на величину частоты Доплера, пропорциональную скорости сближения носителя РЛС с сопровождаемой целью. Необходимый сдвиг частоты опорного напряжения может быть выполнен, например, с помощью системы фазовой автоподстройки частоты [5, с.26]. Разделяемые сигналы поступают на первые входы фазовых детекторов 38, 39, 40, 41, 42 и 43, на вторые входы которых поступают опорные напряжения промежуточной частоты. Фазовращатели 50, 51 и 52 на 90o обеспечивают ортогональность опорных напряжений в квадратурных каналах. Квадратурные каналы, образованные фазовыми детекторами 38 и 39 и видеоусилителями 44 и 45, формируют соответствующие аддитивные смеси из демодулированного суммарного сигнала и фазоманипулированных разностных сигналов азимута и угла места 1(t) и 2(t) путем подачи на вторые входы фазовых детекторов 38 и 39 ортогональных опорных напряжений с фазой, изменяемой вторым манипулятором 3 фазы в соответствии с М-последовательностью 1. Формирование соответствующих аддитивных смесей из демодулированного разностного сигнала азимута и фазоманипулированных суммарного сигнала и разностного сигнала угла места 3(t) и 4(t) происходит в квадратурных каналах, образованных фазовыми детекторами 40 и 41 и видеоусилителями 46 и 47, путем подачи на вторые входы фазовых детекторов 40 и 41 ортогональных опорных напряжений с фазой, изменяемой вторым манипулятором 3 фазы в соответствии с М- последовательностью М3.
Квадратурные каналы, образованные фазовыми детекторами 42 и 43 и видеоусилителями 48 и 49, формируют соответствующие аддитивные смеси из демодулированного разностного сигнала угла места и фазоманипулированных суммарного сигнала и разностного сигнала азимута 5(t) и 6(t) путем подачи на вторые входы фазовых детекторов 42 и 43 ортогональных опорных напряжений с фазой, изменяемой вторым манипулятором 3 фазы в соответствии с М- последовательностью М5.
Второй манипулятор 3 фазы функционирует аналогично первому и третьему манипуляторам 2 и 12 фазы. Сигнал, кодированный в соответствии с кодом ФМ М1, поступает на второй вход переключателя 29, обеспечивая подключение опорного сигнала (поступающего на первый вход переключателя 29) либо непосредственно к элементу 35 “ИЛИ” (при нулевом значении разряда кода ФМ М1), либо через выполненный на RC-элементах фазовращатель 32 (при единичном значении разряда кода ФМ M1), который изменяет фазу опорного сигнала на 180o. В результате опорный сигнал, появляющийся на первом выходе второго манипулятора 3 фазы, приобретает ФМ М-последовательностью М1. Аналогично переключатель 30, фазовращатель 33 и элемент 36 “ИЛИ” обеспечивают появление на втором выходе второго манипулятора 3 фазы опорного сигнала с ФМ М-последовательностью М3, поскольку на второй вход переключателя 30 поступает сигнал, кодированный в соответствии с кодом ФМ М3. Аналогично, благодаря переключателю 31, фазовращателю 34 и элементу 37 “ИЛИ”, а также сигналу, кодированному в соответствии с кодом ФМ М5 (поступающему на второй вход переключателя 31), на третьем выходе второго манипулятора 3 фазы появляется опорный сигнал с ФМ М-последовательностью М5.
Введенная дополнительная манипуляция фазы разностных сигналов, а также соответствующая манипуляция фазы опорных колебаний и их ортогональность в квадратурных каналах обеспечивают получение на выходах фазовых детекторов 38, 39, 40, 41, 42 и 43 соответствующих аддитивных смесей. А именно: на выходе фазового детектора 38 – смеси из косинусной составляющей демодулированного суммарного сигнала и синусных составляющих фазоманипулированных разностных сигналов азимута и угла места:![]() на выходе фазового детектора 39 – смеси из синусной составляющей демодулированного суммарного сигнала и косинусных составляющих фазоманипулированных разностных сигналов азимута и угла места ![]() на выходе фазового детектора 40 – смеси из синусной составляющей демодулированного разностного сигнала азимута и фазоманипулированных косинусной составляющей суммарного сигнала и синусной составляющей разностного сигнала угла места: ![]() на выходе фазового детектора 41 – смеси из косинусной составляющей демодулированного разностного сигнала азимута и фазоманипулированных синусной составляющей суммарного сигнала и косинусной составляющей разностного сигнала угла места: ![]() на выходе фазового детектора 42 – смеси из синусной составляющей демодулированного разностного сигнала угла места и фазоманипулированных косинусной составляющей суммарного сигнала и синусной составляющей разностного сигнала азимута: ![]() на выходе фазового детектора 43 – смеси из косинусной составляющей демодулированного разностного сигнала угла места и фазоманипулированных синусной составляющей суммарного сигнала и косинусной составляющей разностного сигнала азимута: ![]() где К3 – постоянный коэффициент; Uоп – амплитуда опорного сигнала; М1оп, М3оп и М5оп– фаза опорного сигнала, манипулированная М-последовательностями М1, М3 и M5 соответственно.
В указанных выражениях учтено, чтоФМ1– М1оп = 180 ;ФМ3– М3оп = 180 ;ФМ5– М5оп = 180 ,а ФМ2= ФМ3– М1оп= ФМ1– М3оп,ФМ4= ФМ5– М1оп= ФМ1– М5оп =и ФМ6= ФМ5– М3оп= ФМ3– М5оппринимают лишь два значения: 0 или 180o. Квадратурные составляющие сигналов поступают в соответствующие видеоусилители 44, 45, 46, 47, 48 и 49, которые осуществляют двухполярное усиление. Видеосигналы +3(t) и +4(t), проходя через соответствующие разделительные емкости 53 и 54, освобождаются от демодулированных (постоянных) составляющих и в виде квадратурных составляющих фазоманипулированных суммарного сигнала и разностного сигнала угла места подаются на соответствующий выход системы (далее – после разделения этих сигналов с учетом их ФМ разными М-последовательностями – суммарный сигнал поступает в обнаружитель и на схему захвата цели на сопровождение). Для того, чтобы при этом квадратурные составляющие фазоманипулированных сигналов не искажались, постоянная времени разделительных емкостей 53 и 54 выбирается равной произведению длительности одного дискрета фазоманипулированного сигнала на корень квадратный из длины кода ФМ.
Для дальнейшего преобразования видеосигналы +1(t), +2(t), +3(t), +4(t), +5(t) и +6(t), поступают в блок 9 интеграторов. Интегрирование осуществляется в пределах строба дальности цели, который поступает на пятый вход блока 9 интеграторов с соответствующего входа системы (из канала сопровождения цели по дальности), в течение времени, равного длительности зондирующего импульса.
После интегрирования сигналов в соответствующих интеграторах 55, 56, 57, 58, 59 и 60 получим:u+1[m] = -K4TcG U0[m]cos 0,u+2[m] = -K4TcG U0[m]sin 0,u+3[m] = K4TcQ ![]() U0[m]sin 0,u+4[m] = -K4TcQ ![]() U0[m]cos 0,u+5[m] = K4TcQ ![]() U0[m]sin 0,u+6[m] = -K4TcQ ![]() U0[m]cos 0,где m – номер зондирующего импульса; K4 – постоянный коэффициент; (Tc – длительность зондирующего импульса Tc= L 0, L – длина кода ФМ; 0– длительность одного дискрета фазоманипулированного сигнала); Q![]() = G![]() cos ; Q![]() = G![]() cos ( = (0; )- определяет знак угловых рассогласований); U0[m] – амплитуда принятого сигнала в m-й посылке зондирования.
При выводе выражений для напряжений u1 +[m], u2 +[m], u3 + [m], U4 +[m], u5 +[m] и u6 +[m] учитывались свойства М-последовательности: число “единиц” больше числа “нулей” на единицу; псевдослучайность М-последовательности, в частности, свойство уравновешенности и свойство серий, т.е. как бы одинаковую вероятность появления “единиц” и “нулей”, и то, что после появления “единицы” следующий элемент с равной вероятностью может быть как “единица”, так и “нуль”.
Далее напряжения u1 +[m], u2 +[m], u3 +[m], u4 +[m], u5 +[m] и u6 +[m] преобразуются в цифровой код соответствующими аналого-цифровыми преобразователями 61, 62, 63, 64, 65 и 66.
Коды u1[m] и u2[m] квадратурных составляющих суммарного сигнала соответственно с первого и второго выходов блока 9 интеграторов подаются в блок 11 формирования сигнала сопровождения по дальности, где в квадраторах 73 и 74 возводятся в квадрат и суммируются в сумматоре 75. С выхода сумматора 75 код U2 = u21[m]+u22[m] поступает в блоки 10 и 16 выделения соответственно азимутального и угломестного сигналов рассогласования. Этот же код поступает в постоянное запоминающее устройство 76, для которого каждое значение кода U2 на входе является адресом ячейки, в которой хранится соответствующее значение кода U .Код U амплитуды суммарного сигнала в качестве сигнала цифровой автоматической регулировки усиления подается в линейный усилитель 7 промежуточной частоты, а также на соответствующий выход системы (в канал сопровождения цели по дальности, где, в частности, используется для привязки тактовых импульсов к дальности до сопровождаемой цели).
Образование сигналов углового рассогласования производится в блоках 10 и 16 выделения соответственно азимутального и угломестного сигналов рассогласования путем сравнения кодов квадратурных составляющих суммарного сигнала с кодами одноименных квадратурных составляющих соответствующих разностных сигналов.
Как известно [6, с.28], на выходе блока выделения ошибки моноимпульсной РЛС образование сигнала ошибки производится по правилу:![]() где U ,U и ![]() ,![]() – модули и фазы сигналов разностного и суммарного каналов соответственно; – угол отклонения электрической оси антенны РЛС от направления на сопровождаемую цель.
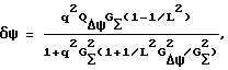
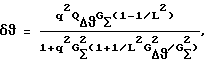
В случае приема сигналов с помощью квадратурных каналов вышеприведенное соотношение преобразуется к виду:![]() – для азимутального сигнала рассогласования и к виду: ![]() – для угломестного сигнала рассогласования, т.е. нормировка сигналов ошибки осуществляется по мгновенному значению квадрата амплитуды (мгновенная автоматическая регулировка усиления) по каждому зондирующему импульсу. Указанные соотношения реализуются в соответствующих блоках 10 и 16 (которые выполнены идентично) с помощью первого и второго умножителей 67 и 68, группы 69 элементов “НЕ”, сумматора 70, группы 71 элементов “И” и делителя 72. Группа 69 элементов “НЕ” инвертирует код с выхода умножителя 68 с тем, чтобы знак этого кода привести в соответствие со знаком кода с выхода умножителя 67. Причем формирование сигналов ошибки осуществляется только при поступлении на второй вход группы 71 элементов “И” сигнала обнаружения цели с соответствующего входа системы (из обнаружителя), что исключает выработку недостоверной информации об угловом положении цели. Учитывая, что uk[m] , k = 1,2,3,4,5,6, представляют собой стационарно связанные нормально распределенные случайные величины с нулевыми средними значениями, статистически усредняя выражения для ( ) и ( ), получим соответствующие пеленгационные характеристики в виде:![]() ![]() где q – отношение сигнал/шум на выходе интеграторов при условии, что пеленгуемая цель находится на равносигнальном направлении, т.е. G (0) = 1.При большом отношении сигнал/шум (q >>1) выражения для пеленгационных характеристик примут вид:![]() ![]() Таким образом, длина L М-последовательности оказывает влияние на крутизну пеленгационной характеристики, что является существенным на малых дистанциях до цели. Угловое сопровождение цели возможно при L 2, что соответствует дальности до цели Dц (2/ 0)150 м, где 0– длительность одного дискрета фазоманипулированного сигнала в мкс. Это вполне приемлемо.
Сформированные сигналы углового рассогласования поступают в соответствующие каналы углового сопровождения цели.
Техническим преимуществом предлагаемой системы перед устройством-прототипом [4] является то, что обеспечивается повышение точности и помехозащищенности углового сопровождения цели бортовыми моноимпульсными РЛС с одним приемным каналом, использующими внутриимпульсную фазовую манипуляцию зондирующих сигналов двоичным многоразрядным кодом (М-последовательностью) и корреляционную обработку входных сигналов.
Использование сигналов с фазовой манипуляцией повышает помехозащищенность РЛС по отношению ко всем видам организованных ответных помех, а корреляционная обработка сигналов по сравнению с нелинейной фильтровой обеспечивает выигрыш в отношении сигнал/шум за счет отсутствия квантования по времени и уровню до 6 дБ.
Указанный технический результат от использования предлагаемой системы достигается тем, что объединение суммарного сигнала с разностными сигналами азимута и угла места осуществляется по высокой частоте в два этапа. На первом этапе объединяются разностные сигналы путем их преобразования и последующего сложения. Преобразование разностного сигнала азимута осуществляется двухуровневой (0; ) манипуляцией его фазы в соответствии с М-последовательностью М2 (являющейся результатом сдвига на определенное число элементов кода М-последовательности М1 фазовой манипуляции зондирующих сигналов) таким образом, чтобы преобразованный сигнал имел фазовую манипуляцию М-последовательностью М3, являющейся результатом сложения по модулю 2 М-последовательностей М1 и М2. Аналогично преобразуется разностный сигнал угла места М- последовательностью М4 (являющейся результатом сдвига той же М-последовательности 1, но на другое число элементов ее кода) таким образом, чтобы преобразованный сигнал имел фазовую манипуляцию М-последовательностью М5, являющейся результатом сложения по модулю 2 М-последовательностей M1 и М4. На втором этапе разностные сигналы объединяются с суммарным сигналом путем их сложения с предварительным изменением фазы суммы разностных сигналов на 90o.
Совокупность сигналов усиливается по высокой частоте, преобразуется путем переноса спектра сигналов из области высокой частоты в область промежуточной частоты и усиливается по промежуточной частоте.
Разделение сигналов осуществляется посредством их корреляционной обработки в два этапа: демодуляцией сигналов и их последующим интегрированием.
На первом этапе в квадратурных каналах формируются аддитивные смеси из соответствующих квадратурных составляющих демодулированного суммарного сигнала и фазоманипулированных разностных сигналов азимута и угла места (или демодулированного разностного сигнала азимута (угла места) и фазоманипулированных суммарного сигнала и разностного сигнала угла места (азимута)).
Для этого в квадратурных каналах используются ортогональные гармонические опорные напряжения с фазой, которая синхронно с манипуляцией фазы разностных сигналов на входе системы изменяется следующим образом:в каналах, в которых образуется демодулированный суммарный сигнал, – в соответствии с М-последовательностью М1; в каналах, в которых образуется демодулированный разностный сигнал азимута, – в соответствии с М-последовательностью М3; в каналах, в которых образуется демодулированный разностный сигнал угла места, – в соответствии с М-последовательностью М5. На втором этапе выделение демодулированных сигналов осуществляется путем их накопления на интеграторах. Присутствующие в смесях фазоманипулированные сигналы в результате их накопления на интеграторах подавляются в силу свойств М-последовательности. Разделенные квадратурные составляющие сигналов преобразуются в цифровой код и используются для формирования сигналов углового рассогласования, которые подаются в соответствующие каналы углового сопровождения цели. Пользуясь представленными в материалах заявки сведениями, чертежами и используя известные материалы, комплектующие изделия и технологию, предлагаемую систему можно изготовить в производстве и использовать в амплитудных суммарно-разностных моноимпульсных РЛС сопровождения цели с одним приемным каналом, использующих сигналы с внутриимпульсной фазовой манипуляцией двоичным многоразрядным кодом (М-последовательностью), для выделения угловой информации, что доказывает промышленную применимость предлагаемого объекта изобретения. В соответствии с материалами заявки на предприятии был изготовлен опытный образец системы, испытания которого подтвердили достижение указанного в материалах технического результата. Источники информации 1. Леонов А.И., Фомичев К.А. Моноимпульсная радиолокация. – М.: Радио и связь, 1984. 2. Single channel monopulse radar receiver. Патент США N 3162851. 4. Одноканальная моноимпульсная радиолокационная система определения направления на цель. Патент РФ N 2108595, МПК G 01 S 13/44, публикация 10.04.98 (прототип). 5. Шахгильдян В. В., Ляховкин А.А. Системы фазовой автоподстройки частоты. – М.: Связь, 1972. 6. Свиридов Э.Ф. Сравнительная эффективность моноимпульсных радиолокационных систем пеленгации. – Л.: Судостроение, 1964. Формула изобретения
РИСУНКИ
MM4A Досрочное прекращение действия патента Российской Федерации на изобретение из-за неуплаты в установленный срок пошлины за поддержание патента в силе
Дата прекращения действия патента: 31.10.2003
Извещение опубликовано: 10.03.2005 БИ: 07/2005
|
||||||||||||||||||||||||||

) манипуляцией его фазы в соответствии с М-последовательностью М2 (являющейся результатом сдвига на определенное число элементов кода М-последовательности M1 фазовой манипуляции зондирующих сигналов) таким образом, чтобы преобразованный сигнал имел фазовую манипуляцию М-последовательностью М3, являющейся результатом сложения по модулю 2 М-последовательностей M1 и М3. Аналогично преобразуется разностный сигнал угла места М-последовательностью М4 (являющейся результатом сдвига той же М-последовательности 1, но на другое число элементов ее кода) таким образом, чтобы преобразованный сигнал имел фазовую манипуляцию М-последовательностью М5, являющейся результатом сложения по модулю 2 М-последовательностей M1 и М4. На втором этапе разностные сигналы объединяются с суммарным сигналом путем их сложения с предварительным изменением фазы суммы разностных сигналов на 90o.
Совокупность сигналов усиливается по высокой частоте, преобразуется путем переноса спектра сигналов из области высокой частоты в область промежуточной частоты и усиливается по промежуточной частоте.
Разделение сигналов осуществляется посредством их корреляционной обработки в два этапа: демодуляцией сигналов и их последующим интегрированием.
На первом этапе в квадратурных каналах формируются аддитивные смеси из соответствующих квадратурных составляющих демодулированного суммарного сигнала и фазоманипулированных разностных сигналов азимута и угла места (или демодулированного разностного сигнала азимута (угла места) и фазоманипулированных суммарного сигнала и разностного сигнала угла места (азимута)). Для этого в квадратурных каналах используются ортогональные гармонические опорные напряжения с фазой, которая синхронно с манипуляцией фазы разностных сигналов на входе системы изменяется следующим образом:
(t) и разностные сигналы азимута u
(t) и угла места u
(t) могут быть записаны в виде:
ВЧt+ФМ1+
0)




1(t) и 





;
0, L – длина кода ФМ;
; Q
– угол отклонения электрической оси антенны РЛС от направления на сопровождаемую цель.
В случае приема сигналов с помощью квадратурных каналов вышеприведенное соотношение преобразуется к виду:

(

примут вид:

2, что соответствует дальности до цели Dц