Патент на изобретение №2176247
|
||||||||||||||||||||||||||
(54) ЦИС-ИЗОМЕРЫ N,N’-БИС-(4-ГИДРОКСИ-2,3,4,5-ТЕТРАГИДРОТИОФЕН-3-ИЛ)-ДИАМИНОВ И ИХ СОЛИ, ОБЛАДАЮЩИЕ ПРОТИВОВОСПАЛИТЕЛЬНОЙ, ПРОТИВОЯЗВЕННОЙ И ЖАРОПОНИЖАЮЩЕЙ АКТИВНОСТЬЮ
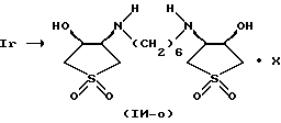
(57) Реферат: Изобретение относится к цис-изомерам N,N’-бис-(4-гидрокси-2,3,4,5-тетрагидротиофен-3-ил)диаминам формулы I и их солям, где а-ж, i-m R=H; а-з Х= 0; а n=3; б n=4; в n=5; г n=6; д n=7; е n=8; ж n=9; з R=Ac, n=6; и-о n=6, для и Х = дисукцинат; к Х = дитартрат; л Х = диацетилсалицилат; м Х = 6-сульфоксилат дегидроабиетиновой кислоты; н Х = глицирризинат; о Х = дихлоргидрат. Соединения обладают противовоспалительной, противоязвенной и жаропонижающей активностью. Соединения нетоксичны, получаются из доступного сырья и не обладают побочными эффектами, присущими известным противовоспалительным агентам. 7 табл., 2 ил.
Изобретение относится к новым химическим соединениям, конкретно к цис-изомерам N,N’-бис-дизамещенных аминов и их солям. Описываемые соединения имеют общую формулу ![]() где а-ж, i-m R=H; а-з X=0; а n = 3; б n = 4; в n = 5; г n = 6: д n = 7; е n = 8: ж n = 9; з R = Ac, n = 6; и-о n = 6, для и X = дисукцинат; к X = дитартрат; л X = диацетилсалицилат; м X = 6-сульфоксилат дегидроабиетиновой кислоты; н X = глицирризинат; о X = дихлоргидрат, и обладают биологической активностью. Указанное свойство позволяет предполагать возможность использования указанных соединений в медицине в качестве фармацевтического препарата. Широкая распространенность воспалительных заболеваний, а также несовершенство известных противовоспалительных средств, заключающееся не столько в недостаточной эффективности, сколько в существовании побочных эффектов практически всех существующих групп соединений этого типа, стали стимулом для поиска новых нестероидных противовоспалительных средств (НПВС). Известно использование в качестве противовоспалительного средства ортофена (вольтарен, диклофенак-натрий), имеющего формулу ![]() [1] Соединение обладает выраженным ульцерогенным эффектом. Анализ литературных данных показывает, что синтез и фармакологические испытания новых химических соединений, отличающихся от существующих НПВС способностью и избирательностью действия, пролонгированностью эффекта и отсутствием побочных явлений, является актуальной задачей. Эффективными направлениями противовоспалительной терапии является поиск средств, стабилизирующих лизосомные мембраны [2], применение антиоксидантов [3] , а также веществ, оказывающих тормозящее влияние на выработку антител лимфоидными и плазматическими клетками [4] последнее время установлено, что соотношение между противовоспалительной активностью НПВС и риском ульцерогенного действия связано с соотношением между их ингибирующей активностью на разные виды (изоферменты) циклооксигеназы (ЦОГ), участвующей в биосинтезе ПГ. Большей ульцерогенной активностью обладают НПВС ингибирующие преимущественно ЦОГ1, а большей противовоспалительной – ингибирующие преимущественно ЦОГ2. В настоящее время ведется активный поиск соединений указанного типа действия. Известно, что в ряду циклических сульфонов обнаружены соединения, обладающие высокой противовоспалительной [5], а также и противоязвенной активностью и избирательностью действия по отношению к ЦОГ1 и ЦОГ2 (препараты мелоксикам [6] , бензоциклогептатиофан [7] и др.). Существенным недостатком указанных препаратов является многостадийность синтеза и использование дорогостоящих малодоступных реагентов. Аналогом по структуре указанных соединений формулы (I) является вещество ![]() описанное в виде смеси цис- и транс-изомеров, обладающее противовоспалительной активностью в дозе 1/10 LD50 – 700 мг/кг [8]. Задачей изобретения является расширение ассортимента средств, обладающих противовоспалительной активностью, с улучшенными свойствами. Поставленная задача достигается новыми химическими соединениями указанной формулы (I), обладающими выраженной противовоспалительной активностью в сочетании с противоязвенным и жаропонижающим эффектами. Способ получения соединений заключается во взаимодействии соответствующего бисамина с 4-гидрокси-4,5-дигидротиофен-1,1- диоксидом в этаноле, воде или метаноле при комнатной температуре по приведенной в конце описания схеме. Согласно изобретению соединения (I) также могут быть получены путем реакции 3-гидрокси-4-хлор-2,3,4,5тетрагидротиофен- 1,1-диоксида с диаминами в этаноле. В обоих случаях с выходом 71-95% в пересчете на 3-гидрокси-4-хлор-2,3,4,5-тетрагидротиофен-1,1-диоксид получают бисдиамины в виде осадка, состоящего из смеси цис-(Iа-ж) и транс-изомеров (IIа-ж). Изомерный состав определялся по соотношению площадей сигналов протонов при ацетатном и азотсодержащем заместителях. По данным спектроскопии ПМР тетраацетилпроизводных содержание цис-изомеров (Iа-ж) в смеси составляет 55-75%. Однократная перекристаллизация смеси соединений (Iа-ж), (IIа-ж) из этанола или водн. этанола приводит к увеличению содержания в осадке цис-изомеров (Iа-ж) до 80-88%. Предметом изобретения являются также водорастворимые формы соединений, соответствующие соли формулы (Iи-о), которые получают путем обработки соединения (Iг) янтарной, винной, ацетилсалициловой, 6-сульфодегидроабиетиновой или глицирризиновой кислотами. Для сравнительной оценки активности цис- и транс-изомеров дигидрохлоридов дисульфоланил-гексаметилендиамина получены индивидуальные соединения (Iо) и (IIо) путем обработки оснований (Iг) или (IIг) соляной кислотой. ![]() Биологическая активность соединений формулы (I), как они определены выше, изучалась путем определения токсичности, противовоспалительной активности, а также противоязвенного и жаропонижающего эффекта соединения (Iг). Острую токсичность соединений (Iа-о) определяли на белых беспородных мышах обоего пола при однократном введении в желудок. Параметры токсичности вычисляли по Литчфильду и Уилкоксону методом пробит-анализа. LD50 новых соединений приведены в табл. 1. Как видно из данных табл. 1, широко используемые в медицине противовоспалительные вещества токсичнее исследуемых соединений. Все соединения относятся к IV классу умеренно опасных веществ. Противовоспалительное действие новых соединений изучено на трех моделях воспаления, вызванных 0,1% раствором гистамина, 1%-ным раствором каррагенина и 3%-ным раствором формалина под апоневроз одной из задних лапок мыши в дозе 0,05 мл. О противовоспалительном действии соединения судили по проценту увеличения массы воспаленной лапки по сравнению со здоровой. Препаратом сравнения служил ортофен, взятый в дозе ED50. Результаты исследования приведены в табл. 2-4. Исследования показали, что все соединения (I) в дозах 50 мг/кг достоверно задерживают развитие гистаминового отека. Наибольшей активностью обладают свободные основания (Iа, б, г, ж, о), активность которых превышает активность вольтарена в 2 раза. Цис-изомеры (Iг,о) вдвое активнее соответствующих трансизомеров (IIг,о). На модели воспаления, вызванного введением формалина, все соединения формулы (I) проявляют более высокую противовоспалительную активность по сравнению с контролем (табл. 3). Наибольшей активностью на этой модели обладает основания (Iг), (Iд) и (Iе), а также сульфоксилат дигидроабиетиновой кислоты (Iм) и гидрохлорид (Iо) во всех дозах. Активность транс-изомеров – соединения (IIо) (в дозе 25 мг/кг), его основания (IIг) (в дозе 50 мг/кг), а также смеси цис- и транс-изомеров – соединение (Iп) (в дозе 50 мг/кг) ниже активности вольтарена (табл. 3). Все исследуемые соединения в дозе 50 мг/кг достоверно задерживают развитие воспалительного отека, вызванного карагенином. Наибольшей активностью обладают основания (Iб, г, д), а также дигидрохлорид (Iо) (табл. 4). Из полученных данных по изучению противовоспалительной активности следует, что на всех моделях воспаления соединения формулы (I) более эффективно задерживают развитие воспалительного отека, чем известный противовоспалительный препарат вольтарен. На модели гистаминового отека активность ряда новых соединений вдвое превышает активность вольтарена. Кроме того, из полученных данных видно, что бисамины-основания активнее задерживают развитие воспалительного отека, чем соответствующие кватернизированные производные. Цис-изомеры (I) значительно активнее соответствующих транс-изомеров (II), а также суммы цис- и транс-изомеров. Если говорить о водорастворимой форме, то интерес представляет дигидрохлорид (Iо) в виде цис-изомерй. Кроме того, это соединение является наиболее доступным с точки зрения технологии его получения, которая основана на доступных исходных соединениях. В связи с этим дальнейшее исследование биологической активности проводили для соединения (Iо). Противоязвенную активность дихлоргидрата цис-N, N’-бис-(4-гидрокси-2,3,4,5-тетрагидротиофен-1,1-диоксид-3-ил)-гексаметилендиамина (Iо) изучали на белых беспородных крысах массой 180-200 г в дозе 1/30 от ЛД50. О противоязвенной активности судили по влиянию на степень деструкций слизистой оболочки желудка, вызванных ульцерогенными агентами – ацетилсалициловой кислотой и цинкофеном, а также путем перевязки пилорической части желудка по Shay [9]. Результаты испытаний показали, что дихлоргидрат цис-N,N’-(4-гидрокси-2,3,4,5-тетрагидротиофен-1,1-диоксид-3-ил)- гексаметилендиамина (Iо) в отличие от вольтарена предупреждает образование деструкций слизистой оболочки желудка, вызываемых ацетилсалициловой кислотой и цинкофеном (количество деструкций в 2 раза меньше, чем у животных, получавших вольтарен) (табл. 5, 6). При перевязке пилорической части желудка по Shay исследуемое соединений уменьшает язвенные поражения слизистой оболочки желудка в 4 раза по сравнению с контрольной группой животных (табл. 7) В опытах на кроликах и собаках было исследовано жаропонижающее действие дихлоргидрата цис-N, N’-бис-(4-гидрокси- 2,3,4,5-тетрагидротиофен-1,1-диоксид-3-ил)-гексаметилендиамина (Io) на фоне повышения температуры тела при введении пирогенала в дозе 50 мг/кг внутримышечно (фиг. 1 и 2). Установлено, что в первые 3 часа после введения соединения (Iо) отмечалось понижение температуры тела кроликов. К четвертому часу температура почти нормализовалась. В контрольной же группе животных температура держалась на высоком уровне на протяжении всего опыта (фиг. 1) (по оси ординат T – изменение температуры тела животных; по оси абсцисс t – время измерения температуры, ч). В опытах на собаках установлено, что к третьему часу после введения соединения температура в опытной группе резко упала, а к 4-му понизилась до исходного уровня. В контрольной же группе животных температура снижалась медленнее и к 4-му часу после введения пирогенала полностью не нормализовалась (фиг. 2). Таким образом, цис-изомеры N,N’-бис-(4-гидрокси-2,3,4,5-тетрагидротиофен-1,1-диоксид-3-ил)-диаминов и их соли (Iа-о) соединения малотоксичные, обладают выраженным противовоспалительным действием, не уступающим вольтарену. На примере наиболее доступного и наиболее активного соединения (Iо) показано, что соединение проявляет жаропонижающую активность. Противовоспалительное и жаропонижающее действия сочетаются с противоязвенным действием в отличие от вольтарена. Кроме того, соединения получаются достаточно простым технологичным способом на основе доступного отечественного сырья сульфолена. Данное изобретение иллюстрируется примерами. Пример 1. Получение цис-N,N’-бис-(4-гидрокси-2,3,4,5-тетрагидротиофен-1,1-диоксид-3-ил)-триметилендиамина (Iа). Раствор 13,04 г (0,097 моль) 4-гидрокси-4,5-дигидротиофен-1,1-диоксида и 3,92 г (0,053 моль) триметилендиамина в 70 мл этанола выдерживают при 20-25oC в течение 12 ч. Выпавший осадок отфильтровывают, сушат и получают 14,65 г (88%) N,N’-биc-(4-cульфoлaнoл-3-ил)триметилендиамина в виде смеси цис- (65%) и транс- (35%) изомеров. Т. пл. 190-193oC (из водн. этанола). Найдено, %: C 38,35; H 6,46; N 8,15; S 18,62. C11H22N2O6S2. Вычислено, %: C 38,57; H 6,43; N 8,19; S 18,71. Для выделения цис-изомера реакционную массу перекристаллизовывали последовательно из этанола и водн. этанола. Т. пл. цис-изомера 205-208oC (из водн. этанола). ИК-спектр, , см-1: 1111, 1294 (SO2), 3095 (OH), 3278 (NH).
Пример 2. Получение цис-N,N’-бис-(4-гидрокси-2,3,4,5-тетрагидротиофен- 1,1-диоксид-3-ил)-тетраметилендиамина (Iб). Раствор 11,63 г (0,087 моль) 4-гидрокси-4,5-дигидротиофен-1,1-диоксида и 4,22 г (0,048 моль) тетраметилендиамина в 90 мл этанола выдерживают при 20-25oC в течение 12 ч. Выпавший осадок отфильтровывают, сушат и получают 14,94 г (96%) N,N’-бис-(4-гидрокси-2,3,4,5-тетрагидротиофен-1,1- диоксид-3-ил)-тетраметилендиамина в виде смеси цис- (60%) и транс-изомеров. Т. пл. 193-196oC (из водн. этанола). Для выделения цис-изомера реакционную массу перекристаллизовывали последовательно дважды из водн. этанола. Т. пл. цис-изомера (Iб) 208-210oC. Найдено, %: C 40,60; H 7,23; N 7,30; S 18,10. C12H24N2O6S2. Вычислено, %: C 40,45; H 6,75; N 7,39; S 17,98. ИК-спектр, , см-1: 1113, 1139, 1284, 1303 (SO2), 3122 (OH), 3278 (NH).
Пример 3. Получение цис-N, N’-бис-(4-гидрокси-2,3,4,5- тетрагидротиофен-1,1-диоксид-3-ил)-пентаметилендиамина (Iв). Раствор 4,83 г (0,036 моль) 4-гидрокси-4,5-дигидротиофен-1,1- диоксида и 2,04 г (0,02 моль) пентаметилендиамина в 45 мл этанола выдерживают при 20-25oC в течение 12 ч. Выпавший осадок отфильтровывают, сушат и получают 5,45 г (82%) N,N’-бис-(4- гидрокси-2,3,4,5-тетрагидротиофен-1,1-диоксид-3- ил)пентаметилендиамина в виде смеси цис- (75%) и транс-изомеров. Т. пл. 138-145oC (из водн. этанола). Для выделения цис-изомера реакционную массу перекристаллизовывали последовательно из этанола и водн. этанола. Т. пл. цис-изомера (Iв) – 158-160oC (из водн. этанола). Найдено, %: C 41,61; H 7,12; N 7,38; S 17,00; C13H26N2O6S2. Вычислено, %: C 42,16; H 7,03; N 7,57; S 17,30. ИК-спектр, , см-1: 1111, 1299 (SO2), 3105 (OH), 3289 (NH).
Пример 4. Получение цис- и транс- изомеров N,N’-бис-(4-гидрокси-2,3,4,5-тетрагидротиофен-1,1-диоксид-3-ил)-гексаметилендиамина. а) Раствор 13,4 г (0,1 моль) 4-гидрокси-4,5-дигидротиофен-1,1-диоксида и 6,1 г (0,51 моль) гексаметилен-диамина в 100 мл метанола выдерживают при 20-25oC в течение 6 ч, выпавший осадок отфильтровывают и сушат. Получают 17,3 г (90%) N, N’-бис-(4-гидрокси-2,3,4,5-тетрагидротиофен-1,1-диоксид-3-ил)-гексаметилен-диаминов в виде смеси цис- (Iг) (70%) и транс-изомеров (IIг) [ср.8]. Т. пл. 180-182oC. Найдено, %: C 43,55; H 7,22; N 7,27; S 16,70. C14H28N2O6S2. Вычислено, %: C 43,75; H 7,29; N 7,29; S 16,67. Реакционную смесь кипятят в 100 мл ацетонитрила, нерастворившийся осадок отфильтровывают, сушат и перекристаллизовывают из метанола, выделяют транс-изомер (II г). Маточный раствор упаривают, перекристаллизовывают дважды из водн. этанола, получают чистый цис-изомер (I г). Т.пл. 198-200oC (из водн. этанола). ИК-спектр, , см-1: 1105, 1130, 1289, 1311 (SO2), 3116 (OH), 3297 (NH). Т. пл. транс-изомера (II г) 163-168oC (из метанола). ИК-спектр, , см-1: 1114, 1296 (SO2), 3084 (OH), 3248 (NH).
б) К суспензии 17,06 г (0,1 моль) транс-3-гидрокси-4-хлор-2,3,4,5-тетрагидротиофен-1,1-диоксида в 90 мл кипящего этанола прибавляют раствор 6,1 г (0,053 моль) гексаметилендиамина в 90 мл этанола. Полученный раствор нагревают при 75oC в течение 1 ч, охлаждают, растворитель упаривают. Полученный вязкий остаток растворяют в минимальном количестве воды, доводят pH раствора до 10 концентрированным водным раствором аммиака. Выпавший по охлаждении раствора осадок отфильтровывают, сушат и получают 8,51 г (44%) смеси цис- и транс-изомеров N, N’-бис-(4-гидрокси-2,3,4,5-тетрагидротиофен-1,1-диоксид-3-ил)-гексаметилендиаминов (Iг) и (IIг). Воду упаривают, остаток выдерживают в течение 12 ч при 20-25oC в смеси 60 мл пиридина и 40 мл уксусного ангидрида. Растворители упаривают в вакууме, реакционную массу растворяют в хлороформе и промывают водой. Хлороформ упаривают, остаток хроматографируют на колонке с силикагелем и дополнительно выделяют 2,75 г (10% в пересчете на 3-гидрокси-4-хлор-2,3,4,5- тетрагидротиофен-1,1-диоксид) смеси цис-(Iз) и транс-(IIз) изомеров N,N’-диацетил-N,N’-бис-(4-ацетокси-2,3,4,5- тетрагидротиофен-1,1-диоксид-3-ил)-гексаметилендиамина.
Пример 5. Получение цис-N, N’-бис-(4-гидрокси-2,3,4,5- тетрагидротиофен-1,1-диоксид-3-ил)-гептаметилендиамина (Iд). Раствор 4,18 г (0,031 моль) 4-гидрокси-4,5-дигидротиофен-1,1-диоксида и 2,21 г (0,017 моль) гептаметилендиамина в 45 мл этанола выдерживают при 20-25oC в течение 12 ч. Выпавший осадок отфильтровывают, сушат и получают 4,4 г (71%) N,N’-бис-(4- гидрокси-2,3,4,5-тетрагидротиофен-1,1-диоксид-3-ил)-гептаметилендиамина в виде смеси цис-(Iд) (75%) и транс-(IIд) изомеров. Т. пл. 149-154oC (из водн. этанола). Найдено, %: C 45,15; H 7,45; N 7,12; S 16,40. C15H30N2O6S2. Вычислено, %: C 45,23; H 7,54; N 7,04; S 16,08. Реакционную массу перекристаллизовывают из этанола, выделяют 2,7 г цис-изомера (Iд), т. пл. 162-164oC. ИК-спектр, , см-1: 1106, 1292, 1316 (SO2), 3111 (OH), 3297 (NH).
Пример 6. Получение цис-N,N’-бис-(4-гидрокси-2,3,4,5-тетрагидротиофен-1,1- диоксид-3-ил)-октаметилендиамина (Ie). Раствор 8,46 г (0,063 моль) 4-гидрокси-2-сульфолена и 4,90 г (0,034 моль) октаметилендиамина выдерживают при 20-25oC в течение 12 ч. Выпавший осадок отфильтровывают, сушат и получают 11,04 г (90%) N,N’-бис-(4-гидрокси-2,3,4,5-тетрагидротиофен-1,1-диоксид-3-ил)-октаметилендиамина в виде смеси цис- (75%) и транс-изомеров. Т. пл. 155-160oC. Найдено, %: C 46,32; H 7,96; N 6,83; S 15,45. C16H32N2O6S2. Вычислено, %: C 46,60; H 7,77; N 6,80; S 15,53. Реакционную массу перекристаллизовывают из этанола, затем из водн. этанола выделяют 7,7 цис-изомера, т. пл. 187-190oC (из водн. этанола). ИК-спектр, , см-1: 1105, 1135, 1291, 1311 (SO2), 3111 (OH), 3297 (NH).
Пример 7. Получение цис-N,N’-бис-((4-гидрокси- 2,3,4,5-тетрагидротиофен-1,1-диоксид-3-ил)-нонаметилендиамина (Iж). Раствор 3,12 г (0,023 моль) 4-гидрокси-2-сульфолена и 2,05 г (0,013 моль) нонаметилендиамина выдерживают при 20-25oC в течение 12 ч. Выпавший осадок отфильтровывают, сушат и получают 3,98 г (80%) N,N’-бис-(4-гидрокси-2,3,4,5-тетрагидротиофен-1,1-диоксид-3-ил)- нонаметилендиамина в виде смеси цис- (80%) и транс-изомеров. Т. пл. 155-157oC. Найдено, %: C 47,72; H 8,27; N 6,52; S 14,95. C17H34N2O6S2. Вычислено, %: C 47,88; H 7,98; N 6,57; S 15,02. Реакционную массу перекристаллизовывают из этанола, затем из водн. этанола выделяют 2,5 г цис-изомера, т. пл. 208-210oC (из водн. этанола). ИК-спектр, , см-1: 1107, 1286, 1308 (SO2), 3121 (OH), 3297 (NH).
Пример 8. Получение цис-N, N’-диацетил-N,N’-бис-(4-ацетокси-2,3,4,5-тетрагидротиофен-1,1-диоксид-3-ил)- гексаметилендиамина (Iз). Раствор 1,92 г (0,005 моль) цис-N,N’-бис(4-гидрокси-2,3,4,5-тетрагидротиофен-1,1-диоксид-3-ил)- гексаметилендиамина (Iг) в смеси 10 мл пиридина и 10 мл уксусного ангидрида выдерживают при 20-25oC в течение 12 ч, избыток пиридина и уксусного ангидрида упаривают в вакууме. Остаток перекристаллизовывают из смеси диэтилового эфира и дихлорметана. Получают 2 г (72%) тетраацетилпроизводного (Iз). Т. пл. 203-205oC. Найдено, %: C 47,49; H 6,92; N 5,00; S 11,75. C22H36N2O10S2. Вычислено, %: C 47,83; H 6,52; N 5,07; S 11,59. ИК спектр, ,, см-1: 1124, 1144, 1299, 1318 (SO2), 1647 (NCO), 1741 (OCO). Ацетилированием транс-нзомера (IIг) в описанных условиях получают транс-N, N’-диацетил-N, N’-бис-(4-ацетокси-2,3,4,5- тетрагидротиофен-1,1-диоксид-3-ил)-гексаметилендиамин (IIз), т.пл. 70-75oC. ИК-спектр, , см-1: 1121, 1315 (SO2), 1632 (NCO), 1741 (OCO).
Пример 9. Получение цис-дихлоргидрата N,N’-бис-(4-гидрокси-2,3,4,5-тетрагидротиофен-1,1-диоксид -3-ил)- гексаметилендиамина (Iо). Растворяют 7,7 г (0,02 моль) цис-N,N’-бис-(4-гидрокси-2,3,4,5-тетрагидротиофен-1,1-диоксид-3-ил)гексаметилендиамина (Iг) в 40 мл 1М водного раствора соляной кислоты и упаривают досуха в вакууме (t < 50oC). Получают 9,1 г вещества (Iо) в виде аморфного осадка. Т. пл. 227-229oC (разл.). Найдено, %; C 36,86; H 6,49; N 5,95; S 13,95; Cl 15,76. C14H30Cl2N2O6S2. Вычислено, %: C 36,76; H 6,56; N 6,13; S 14,00; Cl 15,54. ИК-спектр, , см-1: 1144, 1326 (SO2), 1560 (NH2 +), 3240 (OH).
По аналогичной методике из чистого транс-основания (IIд) получают транс-изомер дихлоргидрата N,N’-бис-(4-гидрокси-2,3,4,5- тетрагидротиофен-1,1-диоксид-3-ил)-гексаметилендиамина (IIо), т. пл. 68-72oC (гигроскопично). ИК-спектр, , см-1: 1131, 1313 (SO2), 1585 (NH2 +), 3309 ушир. (OH).
Растворяют 3,85 г (0,01 моль) реакционной смеси (пример 4а) цис- и транс-N, N’-бис-(4-гидрокси-2,3,4,5-тетрагидротиофен-1,1-диоксид-3-ил)-гексаметилендиаминов в 40 мл 1М водного раствора соляной кислоты и упаривают досуха. Получают 4,5 г (выход количественный) смеси цис- и транс- изомерных дихлоргидратов N,N’-бис-(4-гидрокси-2,3,4,5- тетрагидротиофен-1,1-диоксид-3-ил)-гексаметилендиамина (Iп), идентичной по т. пл. и ИК-спектру с известным образцом [8].
Пример 10. Получение дисукцината цис-N,N’-бис-(4-гидрокси-2,3,4,5-тетрагидротиофен-1,1-диоксид-3-ил)-гексаметилен-диамина (Iи). К раствору 0,425 г (0,0026 моль) янтарной кислоты в 40 мл воды прибавляют 0,485 г (0,0013 моль) соединения (Iг), нагревают до полного растворения. Растворитель упаривают в вакууме при 50oC, остаток промывают этанолом и сушат в вакууме масляного насоса при 80oC. Выход соли 0,85 г (93%). Найдено, %: C 42,21; H 6,38; N 4,26; S 10,25. C22H40N2O14S2. Вычислено, %: C 42,58; H 6,45; N 4,52; S 10,30. Т. пл. 166-172oC (разл.). ИК-спектр, , см-1: 1131, 1148, 1288, 1318 (SO2), 1559 (NH2 +), 1629 (COO–), 1707 (COOH), 3311 (OH).
Пример 11. Получение дитартрата цис-N,N’-бис-(4-гидрокси-2,3,4,5-тетрагидротиофен-1,1-диоксид-3-ил)- гексаметилендиамина (Iк). К раствору 0,62 г (0,0041 моль) винной кислоты в 50 мл воды добавляют 0,77 г (0,002 моль) N, N’-бис-(4-гидрокси-2,3,4,5-тетрагидротиофен-1,1-диоксид-3-ил)-гексаметилендиамина (Iг), нагревают до полного растворения. Раствор упаривают в вакууме при 50oC досуха, остаток промывают этанолом и сушат. Получают 1,3 г (94%) дитартрата. Найдено, %: C 38,56; H 6,16; N 3,67; S 8,90. C22H40N2O18S2. Вычислено, %: C 38,60; H 5,85; N 4,09; S 9,36. Т. пл. 116-121oC. (разл. ). ИК-спектр, , см-1: 1126, 1309 (SO2), 1607 ушир. (NH2 +, COOH–), 1730 (CPPH), 3434 (OH).
Пример 12. Получение бис-ацетилсалицилата цис-N,N’-бис-(4-гидрокси-2,3,4,5-тетрагидротиофен-1,1-диоксид-3-ил)-гексаметилендиамина (Iл). К раствору 0,72 г (0,004 моль) ацетилсалициловой кислоты в 50 мл воды прибавляют 0,77 г (0,002 моль) N,N’-бис-(4-гидрокси-2,3,4,5- тетрагидротиофен-1,1-диоксид-3-ил)-гексаметилендиамина (Iг), нагревают до полного растворения. Раствор упаривают в вакууме при 50oC, остаток промывают диэтиловым эфиром, сушат в вакууме масляного насоса при 50oC. Получают 1,21 г (81%) соли. Найдено, %: C 52,23; H 6,04; N 3,72; S 8,40. C32H44N2O14S2. Вычислено, %: C 51,61; H 5,91; N 3,76; S 8,60. Т. пл. 61-65oC. ИК-спектр, , см-1: 1131, 1311 (SO2), 1555 (NH2 +), 1629 (COO–), 1748 (CH3COO), 3424 (OH).
Пример 13. Получение бис-(1-карбокси-1,4а-диметил-7-изопропил-1,2,3,4,4а,9,10,10а-октагидрофенантрен-6-сульфоксилата) цис-N, N’-бис-(4-гидрокси-2,3,4,5-тетрагидротиофен-1,1-диоксид-3- ил)-гексаметилендиамина (Iм). К раствору 0,672 г (0,002 моль) 1-карбокси-1,4а-диметил-7-изопропил-1,2,3,4,4а, 9,10,10а-октагидрофенантрен- 6-сульфокислоты в 50 мл воды добавляют 0,384 г (0,001 моль) цис-N, N’-бис-(4-гидрокси-2,3,4,5-тетрагидротиофен-1,1- диоксид-3-ил)-гексаметилендиамина (Iг) и 30 мл этанола. Смесь нагревают до полного растворения. Растворитель упаривают досуха в вакууме при 50oC, образовавшееся аморфное вещество сушат в вакууме масляного насоса при 80oC в течение 2 ч. Получают 1,05 г (99%) соли. Найдено, %: C 55,17; H 7,58; N 2,32; S 10,70. C54H84N2O16S4 2H2O. Вычислено, %: C 54,92; H 7,46; N 2,37; S 10,85. Т. пл. 205-210oC (разл. ). ИК-спектр, , см-1: 1030 (SO3 –), 1132, 1152, 1315 (SO2), 1602 (NH2 +), 1704 (COOH), 3423 (OH).
Пример 14. Получение соли N,N’-бис-(4-гидрокси-2,3,4,5-тетрагидротиофен-1,1- диоксид-3-ил)-гексаметилендиамина и глицирризиновой кислоты (Iн). К раствору 0,821 г (0,001 моль) глицирризиновой кислоты (содержание основного вещества по данным ВЭЖХ 92%) в 25 мл этанола при 50oC прибавляют теплый раствор 0,384 г (0,001 моль) цис-N,N’-бис-(4-гидрокси-2,3,4,5-тетрагидротиофен- 1,1-диоксид-3-ил)-гексаметилендиамина (Iг) в 35 мл воды, смесь перемешивают при 50-70oC в течение 2 ч. Растворители упаривают в вакууме при 50oC досуха, остаток сушат в вакууме масляного насоса 2 ч при 50oC, получают 1,2 г (99%) соли. Найдено, %: N 2,17; S 5,35. C56H89N2O22S2. Вычислено, %: N 2,32; S 5,31. Т. пл. 192-195oC (разл.). ИК-спектр, , см-1: 1128, 1312 (SO2), 1620 ушир. (NH2 +, COO–), 3425 (OH).
Пример 15. Влияние соединений на гистаминовый отек, изучено на белых мышах. Воспаление вызывалось введением под плантарный апоневроз правой задней лапки 0,05 мл 0,1% раствора гистамина. Соединение вводили внутрь за 2 ч до введения гистамина и через 3 и 6 ч после введения гистамина. О противовоспалительной активности судили по изменению веса лапок животных. Результаты исследований приведены в табл. 2.
Пример 16. Влияние соединений на формалиновый отек изучено на мышах в дозе 1/280 и (или) 1/100 от LD50. Воспаление вызывалось введением под плантарный апоневроз правой задней лапки 0,05 мл 3% раствора формалина. Исследуемые соединения вводили внутрь за 2 ч до введения формалина, непосредственно перед введением и через 3 и 6 ч после флогогенного воздействия. Результаты исследований приведены в табл. 3Пример 17. Влияние соединений на карагениновый отек, изучено на белых мышах. Воспаление вызывалось введением под плантарный апоневроз правой задней лапки 0,05 мл 1% раствора карагенина. Соединения вводили внутрь за 2 часа до введения карагенина, через 3 и 6 ч после введения. Результаты исследований приведены в табл. 4. Пример 18. Экспериментальные язвы вызвали введением ацетилсалициловой кислотой крысам во внутрь по 150 мг/кг два раза в сутки. За сутки до воспроизведения модели крыс лишали пищи. Изучаемое соединение вводили внутрь за 1 час до введения ацетилсалициловой кислоты и через 1 час после него. Через сутки животных вскрывали, подсчитывали число язв и деструкций слизистой оболочки желудка. Результаты исследований приведены в табл. 5. Пример 19. Экпериментальную модель язвы желудка вызывали внутрибрюшинным введением цинкофена в дозе 300 мг/кг крысам. За сутки до воспроизведения модели животных лишали пищи. Изучаемое соединение вводили внутрь в дозе 1/30 от ЛД50 сразу после введения ульцерогена. Через сутки животных вскрывали, подсчитывали число язв и деструкций слизистой оболочки желудка. Результаты исследований приведены в табл. 6. Пример 20. Перевязку пилорической части желудка по Shay [9] осуществляли на белых беспородных крысах массой 180-200 г. Животных за сутки до операции лишали пищи. Перед операцией животных наркотизировали нембуталом в дозе 40 мг/кг. После резекции брюшной полости по белой линии извлекали желудок и накладывали на пилорическую часть желудка на несколько секунд зажим Пиана. Животным накладывали послойно швы. Изучаемое соединение вводили внутрь за 1 час до операции и через 4 часа после нее в дозе 1/30 от ЛД50. Лечение продолжали в течение 30 суток по одной дозе. Через 30 дней животных вскрывали и подсчитывали число деструкций. Результаты исследований приведены в табл. 7. Пример 21. Жаропонижающие свойства соединения (Iо) изучали на 4 кроликах и 8 собаках на фоне повышения температуры тела животных при внутримышечном введения пирогенала в дозе 50 мг/кг. Через 1 ч после введения пирогенала у животных повышается температура тела на 1-1,5oC. Температуру тела животных измеряли до введения пирогенала и каждый час после инъекции. Изучаемое соединение вводили через 2 часа после введения пирогенала в дозе 1/30 от ЛД50. Под влиянием соединения (Iо) температура тела животных снижается более значительно во все сроки измерения, чем в группе контрольных животных (фиг. 1, 2). Таким образом, новые соединения цис-изомеры N, N’-бис-(4-гидрокси-2,3,4,5-тетрагидротиофен-1,1-диоксид-3-ил)-диаминов и их соли (Iа-о) имеют фармакологические преимущества перед известным противовоспалительным препаратом вольтареном. На примере наиболее доступного и наиболее активного соединения (Iо) показано, что соединения проявляет жаропонижающую активность. Противовоспалительное и жаропонижающее действия сочетаются с противоязвенным действием в отличие от вольтарена. Кроме того, соединения получаются достаточно простым технологичным способом из доступного отечественного сырья – сульфолена. Источники информации 1. М.Д. Машковский. Лекарственные средства, Торсинг, Харьков, 1998, т.1, с. 198. 2. H.G. Vogel, V.Vogel, Drug Discovery and Evaluation, Springer Verlag, Heidelberg, 1996, 236 p. 4. А.М. Чернух. Воспаление. М.: Медицина, 1979, 448 с. 5. Патент США 5147893 от 15.09.1992 г. 8. АС СССР 1018390, опубликовано в БИ N 8, 1994 г. Формула изобретения
![]() где а-ж, i-m R=H; а-з Х=0; а n=3; б n=4; в n=5; г n=6; д n=7; е n=8; ж n=9; з R=Ac, n=6; и-о n=6, для и Х = дисукцинат; к Х = дитартрат; л Х = диацетилсалицилат; м Х = 6-сульфоксилат дегидроабиетиновой кислоты; н Х = глицирризинат; о Х = дихлоргидрат, обладающие противовоспалительной, противоязвенной и жаропонижающей активностью. РИСУНКИ
MM4A – Досрочное прекращение действия патента СССР или патента Российской Федерации на изобретение из-за неуплаты в установленный срок пошлины за поддержание патента в силе
Дата прекращения действия патента: 08.07.2006
Извещение опубликовано: 10.06.2007 БИ: 16/2007
|
||||||||||||||||||||||||||





, см-1: 1111, 1294 (SO2), 3095 (OH), 3278 (NH).
Пример 2. Получение цис-N,N’-бис-(4-гидрокси-2,3,4,5-тетрагидротиофен- 1,1-диоксид-3-ил)-тетраметилендиамина (Iб). Раствор 11,63 г (0,087 моль) 4-гидрокси-4,5-дигидротиофен-1,1-диоксида и 4,22 г (0,048 моль) тетраметилендиамина в 90 мл этанола выдерживают при 20-25oC в течение 12 ч. Выпавший осадок отфильтровывают, сушат и получают 14,94 г (96%) N,N’-бис-(4-гидрокси-2,3,4,5-тетрагидротиофен-1,1- диоксид-3-ил)-тетраметилендиамина в виде смеси цис- (60%) и транс-изомеров. Т. пл. 193-196oC (из водн. этанола). Для выделения цис-изомера реакционную массу перекристаллизовывали последовательно дважды из водн. этанола. Т. пл. цис-изомера (Iб) 208-210oC. Найдено, %: C 40,60; H 7,23; N 7,30; S 18,10. C12H24N2O6S2. Вычислено, %: C 40,45; H 6,75; N 7,39; S 17,98. ИК-спектр,
2H2O. Вычислено, %: C 54,92; H 7,46; N 2,37; S 10,85. Т. пл. 205-210oC (разл. ). ИК-спектр, 