Патент на изобретение №2176246
|
||||||||||||||||||||||||||
(54) СПОСОБ ПОЛУЧЕНИЯ ТОЛТЕРОДИНА И ПРОМЕЖУТОЧНОЕ СОЕДИНЕНИЕ
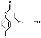
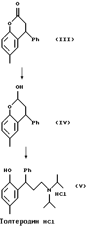
(57) Реферат: Предметом изобретения является усовершенствованный способ получения толтеродина формулы V и новое промежуточное соединение – 3,4-дигидро-6-метил-4-фенил-2H-бензопиран-2-ол формулы IV. Способ заключается в восстановлении лактона формулы III с образованием гидроксисоединения формулы IV с последующим восстановительным аминированием его диизопропиламином. L-тартрат (R)-толтеродина полезен при лечении недержания мочи. Технический результат – получение полезного соединения упрощенным способом. 2 с. и 4 з.п.ф-лы.
1. Область изобретения Настоящее изобретение относится к способу получения толтеродина (V), включающему новое промежуточное соединение L-тартрат(R)-толтеродина (VI), полезного при лечении недержания мочи. 2. Описание современного уровня техники US5, 382, 600 описывает толтеродин (V и его соль винной кислоты) вместе со способом его получения. (R)-толтеродин (VI) полезен при лечении недержания мочи. Australian Journal of Chemistry, 26, 899-906 (1973) описывает лактон (III). Краткое изложение настоящего изобретения Описывается 3,4-дигидро-6-метил-4-фенил-2Н-бензопиран-2-ол (IV). Также раскрывается способ получения толтеродина (V), который включает: (1) восстановление лактона (III) восстановителем с образованием гидроксисоединения (IV) и (2) восстановительное аминирование гидроксисоединения (IV) диизопропиламином. Подробное описание изобретения US 5,382,600 описывает толтеродин (V и его соль винной кислоты) вместе со способом его получения. Усовершенствованный способ получения толтеродина раскрывается в примерах 2 и 3. Предпочтительные восстановители включают гидрид диизобутилалюминия, натрий бис(2-метоксиэтокси)алюминий и литий-три-трет-бутиоксиалюминогидрид; более предпочтителен гидрид диизобутилалюминия (DIBAL). Предпочтительно проводить способ превращения лактона (III) в соответствующее гидроксисоединение (IV) при температурах менее чем -15oС, более предпочтительно проводить данную реакцию при температурах менее чем или равных -20oС. Реакция 4-гидрокситолуола (I) с ненасыщенной кислотой (II) приводит к получению лактона (III), который существует в виде двух энантиомеров. Когда лактон (III) восстанавливают до соответствующего гидроксисоединения (IV), то восстановление карбонильной группы дает в результате вторичный спирт со стереообразующим (хиральным) центром. Таким образом, существуют две пары диастереомеров. Следовательно, когда используется термин 3,4-дигидро-6-метил-4-фенил-2Н-бензопиран-2-ол (IV), то он относится и включает (2R, 4R), (2S, 4R), (2S, 4S) и (2R, 4S)-3,4-дигидро-6-метил-4-фенил-2Н-бензопиран-2-ол (IV). При превращении гидроксисоединения (IV) в толтеродин (V) центр в положении 2 теряется (устраняется), в результате получается толтеродин с одним хиральным центром. Это рацемическое соединение затем разлагается при конверсии толтеродина (V) в (L)-тартрат(R)-толтеродина (VI). Толтеродин (V) представляет собой амин и как таковой образует кислотно-аддитивные соли, когда вступает в реакцию с кислотой достаточной концентрации. Фармацевтически приемлемые соли включают соли как неорганических, так и органических кислот. Фармацевтически приемлемые соли являются предпочтительными по сравнению с соответствующими свободными аминами, поскольку они приводят к получению соединений, которые более растворимы в воде и являются более кристаллическими. Предпочтительные фармацевтически приемлемые соли включают соли следующих кислот: метансульфоновой, хлористоводородной, бромистоводородной, серной, фосфорной, азотной, бензойной, лимонной, винной, фумаровой, малеиновой, CH3-(CH2)n-COOH, где n представляет собой число от 0 до 4, HOOC-(CH2)n-COOH, где n имеет значение, определенное ранее. Более предпочтительно фармацевтически приемлемая соль толтеродина (V) представляет собой тартрат (VI). Известно, что (L)-тартрат (R)-толтеродина (VI) полезен при лечении недержания мочи. Определения и условные обозначения Определения и объяснения, приведенные ниже, относятся к терминам, которые использованы в настоящем документе, включая как описание, так и формулу изобретения. 1. Условные обозначения для формул и определения переменных Количество атомов углерода в заместителях с переменным составом указывается одним из двух способов. В первом способе используется префикс к полному наименованию переменного, такой как, например, “C1-C4“, где как “1”, так и “4” представляют собой целые числа, которые обозначают минимальное и максимальное количество атомов углерода в переменном. Префикс отделяется от переменного пробелом. Например, “C1-C4алкил” представляет собой алкил, содержащий от 1 до 4 атомов углерода (в том числе его изомерные формы, если не дано определенного указания обратного). Когда приводится один префикс, префикс указывает полное количество атомов углерода в обозначаемом переменном. Таким образом, C2-С4 алкоксикарбонил обозначает группу CH3– (CH2)n-O-СО-, где n представляет 0, 1 или 2. Во втором способе отдельно указывается количество атомов углерода только каждой части определения путем заключения обозначения “Ci-Cj” в скобки и расположения его непосредственно (без промежуточного пробела) перед частью обозначаемого определения. В результате возможное условное обозначение (C1-С3) алкоксикарбонил имеет то же самое значение, что и C2-C4 алкоксикарбонил вследствие того, что “C1-С3” относится только к количеству атомов углерода алкоксигруппы. Подобным же образом, в то же время, как C2-C6 алкоксиалкил, так и (C1-С3) алкокси (C1-С3) алкил обозначают алкоксиалкильные группы, содержащие от 2 до 6 атомов углерода, два определения различаются, поскольку первое определение допускает, что или алкоксильная, или алкильная часть только содержит 4 или 5 атомов углерода, тогда как последнее определение ограничивает одну из этих групп до 3 атомов углерода. II. Определения Все температуры приводятся в градусах по Цельсию. TLC обозначает тонкослойную хроматографию. HPLC обозначает жидкостную хроматографию высокого давления. Хроматография (колоночная хроматография и флэш-хроматография) относится к очистке/разделению соединений, выраженным как (носитель, элюент). Следует понимать, что соответствующие фракции объединяются и концентрируются с получением желаемого соединения(ий). [ ]25D обозначает угол вращения плоскополяризованного света (удельное оптическое вращение) при 25o для линии D натрия (589 А).
“Фармацевтически приемлемый” обозначает такие свойства и/или вещества, которые приемлемы для пациента с фармакологической/токсикологической точки зрения и для химика, производящего фармацевтические препараты, с физической/химической точки зрения в отношении состава, получения рецептур, стабильности, переносимости пациентом и биологической доступности.
Если используется пара растворителей, то используемые соотношения растворителей приводятся в виде объем/объем (V/V).
DIBAL обозначает гидрид диизобутилалюминия.
ПРИМЕРЫБез дополнительного разъяснения предполагается, что специалист в соответствующей области, используя предшествующее описание, сможет реализовать на практике настоящее изобретение в полной мере. Следующие далее подробные примеры описывают получение различных соединений и/или проведение различных способов настоящего изобретения, и они представлены здесь просто в качестве иллюстраций, а ни в коем случае не в качестве ограничений предшествующего описания. Специалисты в соответствующей области без труда смогут представить себе соответствующие модификации настоящих процедур как в отношении реагентов, так и в отношении условий и методик проведения реакций. Пример 1. 3,4-Дигидро-6-метил-4-фенил-2Н-бензопиран-2-он (III). Транс-коричную кислоту (11, 100 г, 675 ммоль) добавляют в 4-горлую круглодонную колбу объемом 1 л, оснащенную механической мешалкой, термопарой и вводом для азота. Пара-крезол (1, 76,6 г, 708 ммоль) предварительно нагревают в водяной бане при 60oC и добавляют к коричной кислоте (II), после чего добавляют концентрированную серную кислоту (13,0 мл, 243 ммоль). Реакционную смесь сразу же нагревают до заданной температуры, равной 122,5oС, и перемешивают при 120-125oС до тех пор, пока не будет установлено, что она завершилась посредством HPLC анализа (колонка = нуклеосил С-18; подвижная фаза = ацетонитрил/вода (45/55); скорость течения = 1,5 мл/мин; длина волны = 254 нм; получение образца = (1) растворить 6 капель реакционной смеси в буфере с pH 7 на основе метил-трет.-бутилового эфира (6 мл), (2) разбавить 0,4 мл органического слоя в ацетонитриле (5 мл) и ввести в хроматограф; времена удерживания представляют собой: транскоричная кислота = 3,3 мин; п-крезол = 4,2 мин и целевое (титульное) соединение = 20,3 мин), или методом TLC (ацетон/циклогексан (20/80), уксусная кислота (0,5%); длина волны = 254 нм) обычно в течение 6 часов. Когда реакция завершается, смесь охлаждают до 100oС и добавляют в предварительно подогретую делительную воронку (500 мл). Нижний слой, содержащий серную кислоту, удаляют и в делительную воронку, содержащую сырой продукт, добавляют толуол (280 мл), воду (50 мл) и карбонат калия (47%, 10 мл). В случае необходимости pH водного слоя доводят до интервала 5-8 путем добавления дополнительного количества 47% карбоната калия. Слои разделяют и затем органический слой один раз промывают водой (50 мл). Органический слой концентрируют до конечного объема приблизительно 150 мл при пониженном давлении. После этого добавляют изопропанол (350 мл) и дистилляцию продолжают до объема, равного 350 мл. Еще раз добавляют изопропанол (150 мл) и снова перегоняют до 350 мл. После этого смесь охлаждают до 30-40oC при интенсивном перемешивании до тех пор, пока продукт не начнет кристаллизоваться. Интенсивное перемешивание после кристаллизации продолжают. Продукт охлаждают до 0-5oС и выдерживают при данной температуре в течение приблизительно 1 часа, отфильтровывают, промывают изопропанолом (200 мл) и охлаждают до 0-5oС. Если последняя порция промывной жидкости будет окрашена, промывание продолжают до тех пор, пока промывная жидкость не перестанет окрашиваться. Твердое вещество после этого высушивают при 60oC при пониженном давлении до получения целевого (титульного) соединения, температура плавления (без поправки) = 83-85oС. Пример 2. 3,4-Дигидро-6-метил-4-фенил-2Н-бензопиран-2-ол (IV). 3,4-Дигидро-6-метил-4-фенил-2Н- бензопиран-2-он (III, пример 1, 100,0 г, 420,2 ммоль) добавляют к толуолу (500 мл). Смесь дегазируют поочередно путем откачки вакуума и продувания азотом и после этого охлаждают до -21oC. После этого медленно в течение 2 часов добавляют гидрид диизобутилалюминия в толуольном растворе (DIBAL, 1,5 М, 290 мл, 435 ммоль) через капельную воронку при поддерживании температуры реакции при -20-25oC. Восстановление обычно завершается, когда прекращается добавление DIBAL. Если реакция не завершена, порциями может быть добавлено дополнительное количество DIBAL. Когда реакция завершится (<1% лактона), через капельную воронку при температуре от -20 до -25oС добавляют этилацетат (45 мл). Наблюдается очень незначительное выделение тепла. После этого добавляют лимонную кислоту (23%, 500 мл). Смесь перемешивают при 45-50oC в течение 1 часа (или перемешивают в течение ночи при 20-25oС), фазы разделяют, органическую фазу промывают водой (2 х 300 мл). Органическую фазу концентрируют до 250 мл при пониженном давлении. Добавляют метанол (500 мл) и смесь концентрируют до 250 мл. Добавление метанола и дистилляцию повторяют до получения целевого соединения в метанольном растворе. Данный раствор концентрируют до получения вязкого масла, которое кристаллизуется при стоянии, давая целевое соединение (в виде смеси диастереомеров), ИК (чистый) 3410, 3020, 2925, 1605, 1498, 1447, 1205 и 1010 см-1; MS (m/z El) = 240 (исходный). Вместо выделения и характеристики титульного соединения его обычно непосредственно передают на следующую стадию. HPLC (колонка = зорбакс С-8; подвижная фаза ацетонитрил/вода (50/50); скорость течения = 1 мл/мин; длина волны = 240 нм; примечание: оптическая плотность лактона (III) при 240 нм приблизительно в 3,5 раза больше, чем лактола (IV); получение образца заключается в (1) добавлении 3 капель реакционной смеси к метил-трет-бутиловому эфиру (1 мл) и лимонной кислоте (23%, 1 мл) и встряхивании в течение приблизительно 1 минуты, (2) промывании органической фазы один раз лимонной кислотой (23%; 1 мл) и один раз водой (1 мл), (3) разбавление органической фазы (0,2 мл) в ацетонитриле (1 мл) и введении в хроматограф; примечание: слой метил-трет-бутилового эфира должен быть промыт в достаточной степени или будет присутствовать неопределенный пик при приблизительно 1,5 минутах; времена удерживания представляют собой: Rt (побочный продукт диол) = 8,0 мин, Rt (лактол II) = 15,9, 16,8 мин (два диастереомера), Rt (лактон III) = 25,0 мин. Пример 3. Гидрохлорид толтеродина (V) 3,4-Дигидро-6-метил-4-фенил-2Н-бензопиран-2-ол (IV, пример 2, 100 г) в метаноле (500 мл) медленно добавляют на палладий на углероде (5%, 22 г, 10,5 ммоль), поддерживая продувку слабым потоком азота. Если 3,4-дигидро-6-метил-4-фенил-2Н-бензопиран-2-ол (IV) добавляют слишком быстро без продувки азотом, катализатор будет воспламенять метанол. Добавляют диизопропиламин (147,0 мл, 1,05 моль), и смесь гидрогенизируют при 45-50 psi (310-345 кПа) и 48oС до тех пор, пока завершение реакции не будет подтверждено методом HPLC (< 2% лактола). Реакция обычно завершается спустя 10 минут, но может протекать и в течение ночи. Реакционную смесь охлаждают и удаляют из гидрогенизатора, используя промывку метанолом (150 мл). Объединенную реакционную смесь и жидкость после промывки фильтруют через слой носителя типа solka floс (10 г). Solka floс тщательно промывают метанолом (100 мл) и фильтрат концентрируют для удаления метанола, при этом этилацетат добавляют обратно. Объем данного раствора свободного основания титульного соединения доводят до 700 мл при помощи этилацетата и смесь нагревают до 55oС. Для образования соли хлористоводородной кислоты титульного соединения в течение 15 минут добавляют концентрированную хлористоводородную кислоту (52,5 мл, 630 ммоль). Полученную суспензию постепенно охлаждают до температуры в диапазоне от -15 до -20oС и выдерживают при данной температуре в течение 1 часа. Гидрохлорид толтеродина собирают фильтрованием, трижды промывают этилацетатом и высушивают в течение ночи при пониженном давлении при 60oС с получением титульного соединения, температура плавления = (без поправки) 199-201oС. Процедура HPLC представляет собой колонку=нуклеосил С-18; подвижная фаза = буфер ацетонитрил/формиат аммония (50/50) pH 3; скорость течения = 1,5 мл/мин; длина волны = 240 нм; времена удерживания представляют собой Rt, (толтеродин) = 8,7 мин, Rt (побочный продукт диол) = 7,3 мин, Rt (лактол III) = 13,4 мин и 14,2 мин (два диастереомера). Получение образца заключается в (1) растворении 3 капель реакционной смеси в метаноле (1 мл), (2) фильтровании через фильтр со шприцом, (3) разбавлении отфильтрованного раствора ацетонитрилом (1 мл) и введении в хроматограф. Пример 4. L-тартрат(R)-толтеродина (VI). Смешивают гидрохлорид толтеродина (V), (пример 3, 130,0 г, 359 ммоль), метиленхлорид (1,3 л) и воду (650 мл). Смесь интенсивно перемешивают при добавлении гидроксида натрия (50%, 13,0 мл) и карбоната натрия (13,0 г, 123 ммоль). Значение pH при определении с использованием лакмусовой бумажки составляет 10-11. После тщательного перемешивания в течение приблизительно 15 минут образуются две прозрачные гомогенные фазы. Перемешивание продолжают в течение дополнительных 45 минут, слои разделяют и органическую фазу промывают водой (2 х 650 мл). Метиленхлоридную смесь концентрируют при пониженном давлении. Концентрат растворяют в этаноле (325 мл) и нагревают до 60-70oС. В течение приблизительно 30 минут при 60-70oС через капельную воронку добавляют L-винную кислоту (80,84 г, 539 ммоль), суспендированную в горячем этаноле (810 мл). Когда добавление завершено, суспензию нагревают до температуры образования флегмы в течение 1 часа, постепенно охлаждают до 0oС и выдерживают при данной температуре в течение 1 часа. Суспензию фильтруют, промывают этанолом (2 х 260 мл), предварительно охлажденным до 0oC, и сушат в течение ночи при пониженном давлении при 60oС до получения сырого титульного соединения. Сырой продукт (136,0 г) и этанол (5,44 л) смешивают и нагревают до 80oС в течение 30 минут. Смесь концентрируют до половины начального объема путем дистилляции 2,72 л этанола. Смесь постепенно охлаждают до 20-25oС в течение 1 часа, помещают в ледяную баню и выдерживают при 0oС в течение 1 дополнительного часа. L-тартрат толтеродина собирают фильтрованием, промывают этанолом (2 х 272 мл), предварительно охлажденным до 0oС, и сушат в течение ночи при пониженном давлении при 60oС с получением продукта. Данную процедуру повторяют второй раз в отношении 81,0 г однократно перекристаллизованного L-тартрата толтеродина с получением оптически активного титульного соединения, температура плавления (без поправки) = 210-211oС; [ ]25 (1%, метанол) = 27,4o.
Пример 5. Получение L-тартрата (R) -толтеродина в метаноле/ацетоне.
Смешивают гидрохлорид толтеродина (V), (пример 3, 130,0 г, 359 ммоль), метиленхлорид (1,3 л) и воду (650 мл). Концентрированную суспензию интенсивно перемешивают при добавлении гидроксида натрия (50%, 13,0 мл) и карбоната натрия (13,0 г, 123 ммоль). Значение pH при определении с использованием лакмусовой бумажки составляет 10-11. После тщательного перемешивания в течение приблизительно 15 минут образуются две прозрачные гомогенные фазы. Перемешивание продолжают в течение дополнительных 45 минут, слои разделяют и органическую фазу промывают водой (2 х 650 мл).
Метиленхлоридную смесь концентрируют при пониженном давлении. Концентрат растворяют в ацетоне (1,3 л), нагревают до 48-50oС и в течение приблизительно 30 минут при 48-50oС через капельную воронку добавляют L-винную кислоту (80,84 г, 539 ммоль), суспендированную в горячем метаноле (162 мл). Капельную воронку промывают ацетоном/метанолом (90/10, 130 мл) и суспензию нагревают до температуры образования флегмы в течение 1 часа перед постоянным охлаждением до 0oC в течение 1 часа. Смесь отфильтровывают, промывают ацетоном (2 х 260 мл), предварительно охлажденным до 0oC, и сушат в течение ночи при пониженном давлении при 60oС до получения сырого L-тартрата (R)-толтеродина.
Сырой L-тартрат (R)-толтеродина (115,0 г) и метанол (1,15 л) суспендируют и нагревают до температуры образования флегмы в течение 30 минут. Смесь концентрируют до половины начального объема путем дистилляции 575 мл метанола перед добавлением ацетона (3,26 л) в течение 30 минут. Полученную суспензию нагревают до температуры образования флегмы в течение 1 часа и затем постепенно охлаждают до 20-25oС в течение 1 часа перед тем, как поместить в ледяную баню и охладить до 0oС в течение 1 дополнительного часа. L-тартрат толтеродина собирают путем фильтрования, промывают ацетоном (2 х 230 мл), предварительно охлажденным до 0oC, и сушат в течение ночи при пониженном давлении при 60oС с получением L-тартрата толтеродина. Данную процедуру повторяют второй раз в отношении 82,0 г однократно перекристаллизованного L-тартрата толтеродина с получением оптически активного титульного соединения, температура плавления (без поправки) = 210-211oС; [ ]25 (1%, метанол) = 27,4o.
Формула изобретения
![]() включающий (1) восстановление лактона III ![]() восстановителем с образованием гидроксисоединения IV ![]() и (2) восстановительное аминирование гидроксисоединения IV диизопропиламином. 3. Способ по п.2, где восстановитель выбирают из группы, состоящей из гидрида диизобутилалюминия, натрий-бис(2-метоксиэтокси) алюминия и литий три-трет-бутиоксиалюминогидрида. 4. Способ по п.2, где восстановителем является гидрид диизобутилалюминия. 5. Способ по п.2, где стадию 1 проводят при температуре менее -15o. 6. Способ по п.5, где стадию 1 проводят при температуре менее или равной -20o. РИСУНКИ
|
||||||||||||||||||||||||||

]25D обозначает угол вращения плоскополяризованного света (удельное оптическое вращение) при 25o для линии D натрия (589 А).
“Фармацевтически приемлемый” обозначает такие свойства и/или вещества, которые приемлемы для пациента с фармакологической/токсикологической точки зрения и для химика, производящего фармацевтические препараты, с физической/химической точки зрения в отношении состава, получения рецептур, стабильности, переносимости пациентом и биологической доступности.
Если используется пара растворителей, то используемые соотношения растворителей приводятся в виде объем/объем (V/V).
DIBAL обозначает гидрид диизобутилалюминия.
ПРИМЕРЫ

