Патент на изобретение №2176245
|
||||||||||||||||||||||||||
(54) СЕРУСОДЕРЖАЩАЯ ТРИАЗИНКАРБОНОВАЯ ДИКИСЛОТА В КАЧЕСТВЕ ПОЛУПРОДУКТА В СИНТЕЗЕ СОЛЕЙ, ОБЛАДАЮЩИХ РОСТСТИМУЛИРУЮЩЕЙ АКТИВНОСТЬЮ В ОТНОШЕНИИ РАСТЕНИЙ ЛЮЦЕРНЫ
(57) Реферат: Изобретение относится к химии и сельскому хозяйству, конкретно к производному 1,3,5-триазина формулы I. Соединение может быть использовано в качестве полупродукта в синтезе солей, обладающих ростстимулирующей активностью в отношении растений люцерны. 1 табл.
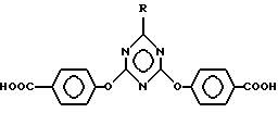
Изобретение относится к химии и сельскому хозяйству, конкретно к замещенным 1,3,5-триазина в качестве полупродукта в синтезе ростстимуляторов люцерны. Известны 2-замещенные 4,6-бис(4′-карбоксифенокси)-1,3,5-триазины общей формулы ![]() где R = OCH3, N(C2H5)2, NHC2H5, NHC6H5, N(CH2)4O, в качестве отвердителей в составе клеевых композиций конструкционного назначения [см. А.с. СССР N 836068; Б.И., 1981, N 21]. Использование таких дикислот в качестве ростстимуляторов люцерны неизвестно. Известно применение индолилуксусной кислоты (гетероауксина) в качестве ростстимулятора плодовых и ягодных культур, заключающееся в предварительном замачивании посадочного материала в 0,001%-ном водном растворе гетероауксина в течение 6 ч [см. Регуляторы роста растений – под ред. В.С.Шевелухи. – М.: Агропромиздат, 1911, c. 11 – аналог]. Недостатками применения этого ростстимулятора являются: плохая растворимость в воде и сложность применения рабочего раствора (необходимость предварительного подрастворения в спирте), длительный (6 ч) период замачивания посадочного материала, относительно невысокая рострегулирующая активность. Способность Гетероауксина стимулировать рост люцерны неизвестна. Известно также применение 2,2-диметилгидразида янтарной кислоты (даминозид) для повышения урожайности и компактности растений красного клевера путем опрыскивания вегетирующих растений водной 75 – 85%-ной дисперсией смачивающегося порошка даминозида [см. Регуляторы роста и развития растений. -М.: Агропромиздат, 1991, c. 13 – аналог по применению]. Недостатками применения даминозида является нерастворимость его в воде, большие расходы по ДВ (дисперсия 75 – 85 мас. % концентрации), необходимость применения специальных, способных распылить 75%-ную дисперсию распыляющих агрегатов; а также обусловленная большими расходами даминозида экологическая опасность его применения и невысокая активность в качестве ростстимулятора. Применение даминозида для стимулирования роста люцерны неизвестно. Техническим решением задачи увеличения высоты отрастания растений люцерны после укоса, увеличения массы 1000 семян, массы семян с одного растения, а также улучшения всхожести семян, полученных с урожая, является применение серусодержащей триазинкарбоновой дикислоты в качестве полупродукта в синтезе ростстимулятора, хорошо растворимого в воде, с малыми расходами по ДВ, экологически безопасного, не требующего применения специальных распыляющих агрегатов и обладающего более высокой рострегулирующей активностью по отношению к растениям люцерны. Задача достигается получением нового полупродукта синтеза солей серусодержащих дикислот: 2-дифениламино-4,6-бис-[4′-карбоксиметилтио] -1,3,5- триазина общей формулы ![]() который может быть использован в качестве полупродукта в синтезе эффективных и водорастворимых ростстимуляторов люцерны, которые в свою очередь используются для обработки вегетирующей люцерны в виде водного раствора, в концентрации 0,0001 – 0,01 мас.%. Новизна заявленного предложения усматривается в том, что предлагается новая триазинкарбоновая дикислота в качестве полупродукта в синтезе солей серусодержащих триазинкарбоновых дикислот, что позволяет увеличить параметры отрастания растений люцерны после укоса, массы 1000 семян и массы семян с одного растения, семенной продуктивности и всхожести семян люцерны, полученных с урожая. Соли отличаются хорошей растворимостью в воде и высокой рострегулирующей активностью, исключают необходимость применения специального распыляющего оборудования для высококонцентрированных дисперсий, резко снижают расход по ДВ солей при обработке, что улучшает экологическую обстановку. При этом заявленную дикислоту получают известным методом – взаимодействием соответствующего 2,4-дихлор-6-замещенного-1,3,5-триазина с водно-щелочным раствором тиогликолевой кислоты в мольном соотношении 1:2 при температуре 20-30oC [см. Г.М.Погосян, И.А.Асатурян, В.Н.Заплишный. Синтез 2-метокси 4,6-бис(п-карбоксифенокси)-симм-триазина и полимеры на его основе. – Арм. хим.ж., 1976, т.29, N 7, с. 597-601]. Исходный 2,4- дихлор-6-дифениламино-1,3,5-триазин получают известным методом – взаимодействием водно-ацетоновой дисперсии 2,4,6-трихлор-1,3,5- триазина с ацетоновым раствором дифениламина в присутствии углекислого натрия при эквимольном соотношении исходных [см. Г.М.Погосян, В.А.Панкратов, В.Н.Заплишный, С.Г.Мацоян. – Политриазины. Изд-во АН Арм.ССР, 1987, с. 274]. Для сравнения рострегулирующей активности используют промышленные препараты марки “хч” Гетероауксин (прототип по строению) и Даминозин (прототип по применению). Примеры исполнения заявленного предложения представлены ниже. Пример 1. 2-Дифениламино-4,6-бис-карбоксиметилтио-1,3,5-триазин (ДКТ). Раствор 3,17 г (0,01 моль) 2,4-дихлор-6-дифениламино-1,3,5-триазина в 20 мл ацетона при перемешивании быстро прибавляют к 50 г мелкораздробленного льда. К образовавшейся дисперсии при температуре 0 2oC прикапывают водный раствор 2,282 г (0,02 моль) натриевой соли тиогликолевой кислоты. К полученной смеси при перемешивании и этой же температуре медленно прибавляют маленькими порциями 1,68 г (0,02 моль) бикарбоната натрия. По завершению выделения углекислоты и полной гомогенизации реакционную смесь перемешивают еще 1 ч при 10oC и отгоняют ацетон в водоструйном вакууме на кипящей водяной бане. Отгонку продолжают до уменьшения объема реакционной смеси на 1/2. Остаток охлаждают и при перемешивании и 20 2oC медленно подкисляют соляной кислотой до pH = 4-5. Образовавшиеся белые хлопья отфильтровывают, промывают водой до отсутствия хлор-иона в промывных водах и высушивают при 80 – 90oC. Получают 3,835 г (89,6%) ДКТ в виде белого цвета порошка с т.пл. 218-220oC, не растворимого в воде и большинстве органических растворителей, растворимого в диоксане, ДМФА, ДМСО, мало растворимого в ацетоне и спирте.
C15H16N4S2O4. Найдено, %: C 53,10; H 3,50; N 12,89; S 14,76.
Вычислено, %: C 53,26; H 3,76; N 13,08; S 14,96ИКС, , см-1 (группа): 3410-3260 уш.ср. (ОН кисл.); 1685 ср. (C=O); 1580, 1500, 1485, 1465 (C=C, C=N – сопр. и циануратный цикл.).
ПМР, , м.д. (группа): 7,46 – 7,32 м (10H C6H5); 4,21 с (4Н S-CH2).
Пример 2. В условиях, аналогичных примеру 1, и из тех же количеств исходных, с той лишь разницей, что натриевую соль тиогликолевой кислоты и бикарбонат натрия вводят в реакционную смесь одновременно в виде водного раствора получают 3,87 г (90,4%) ДКТ, внешний вид, физико-химические константы, данные элементного анализа и спектральные характеристики которого идентичны таковым в примере 1.
Пример 3. 2-Дифениламино-4,6-бис- [карбоксилатометилтио(калия)]-1,3,5-триазин (КМТК). К суспензии 2,185 г (0,0051 моль) мелкоизмельченной ДТК в 8 мл воды, при перемешивании и температуре 20 1oC прибавляют по каплям 3 мл водного раствора, содержащего 0,56 г (0,01 моль) едкого кали. Смесь перемешивают еще 0,5 ч при этой же температуре и фильтруют. Полученный фильтрат при перемешивании прибавляют по каплям в 30 мл спирта, выпавший осадок фильтруют, промывают 2 х 50 мл сухого спирта и высушивают в вакууме (12 мл) при 50 – 60oC до постоянной массы. Получают 2,288 г (88,8 %) КМТК в виде белого цвета порошка с т. разл > 258oC, растворимого в воде и не растворимого в обычных органических растворителях.
C19H14N4K2S2O4. Найдено, %: C 45,05; H 2,62; N 11,25; S 12,59.
Вычислено, %: C 45,22; H 2,79; N 11,10; S 12,71.
ИКС, , см-1 (группа): 1635 – 1625 уш.сл. (COO); 1590 – 1565, 1495, 1445 – 1435 ср., с. (C=C, C=N – сопр. и циануратный цикл).
Пример 4. 2-Дифениламино-4,6-бис[карбоксилатометилтио(натрия)]-1,3,5-триазин (КМТН). В условиях, аналогичных примеру 2, из 2,185 г (0,0051 моль) ДКТ и 0,4 г (0,01 моль) едкого натра с той лишь разницей, что реакцию проводят при 25 1oC в 15 мл воды, а целевую соль высаждают прибавлением водного фильтрата в 40 мл ацетона, получают 2,325 г (96,5%) КМТН в виде белого порошка с т.разл. > 250oC, растворимого в воде и не растворимого в обычных органических растворителях.
C19H14N4Na2S2O4. Найдено, %: C 48,12; H 2,76; N 11,72; S 13,41.
Вычислено, %: C 48,30; H 2,98; N 11,86; S 13,57.
ИКС, , см-1 (группа): 1645-1620 уш.сл. (COO–); 1570, 1495, 1450-1440 ср., с. (C=C, C=N – сопр. и циануратный цикл).
Пример 5. 2-Дифениламино-4,6-бис[карбоксилатометилтио(аммония)]-1,3,5- триазин (КМТА). В условиях, аналогичных примеру 3, из 2,185 г (0,0051 моль) ДКТ и 1,36 мл 25%-ного водного аммиака, содержащего 0,34 г (0,01 моль) аммиака, с той лишь разницей, что реакцию проводят при 30 1oC в 10 мл воды, а целевую соль высаждают прибавлением фильтрата в 50 мл метанола, получают 2,175 г (92,2 %) КМТА в виде белого порошка с т.разл. > 230oC, растворимого в воде и не растворимого в обычных органических растворителях.
C19H22N6S2O6. Найдено, %: C 49,55; H 4,98; N 18,03; S 13,95.
Вычислено, %: C 49,33; H 4,79; N 18,17; S 13,86.
ИКС, , см-1 (группа): 1650-1635 сл. (COO–); 1590-1575, 1455-1430 уш.с. (C=C, C=N – сопр. и циануратный цикл).
Полученные на основе заявленного полупродукта соли триазинкарбоновых кислот (тиоауксины) используют в качестве ростстимуляторов в составе средства для обработки вегетирующих растений люцерны.
При этом готовят водные растворы тиоауксина концентрации 0,01 – 0,0001 мас. % и обрабатывают вегетирующие посевы люцерны двукратно методом опрыскивания. Для сравнения используют водные растворы индолилуксусной кислоты (Гетероауксина) и дисперсию диамида янтарной кислоты (Даминозид) в концентрации 0,001 и 75 мас.% соответственно. В качестве контроля используют вариант с двукратной обработкой растений люцерны водой.
Использование “Тиоауксинов” в качестве стимуляторов роста люцерны в составе средства для предпосевной обработки вегетирующих растений люцерны иллюстрируется нижеприведенными примерами (примеры 6-16).
Пример 6. На посеве люцерны второго года вегетации скашивают растения и сорняки на высоте 7 см от поверхности почвы и разделяют на делянки площадью 1 м2. Под каждый вариант опыта готовят по 3 делянки, которые опрыскивают наземными опрыскивателями. На второй день после укоса водой, водным раствором Гетероауксина (200 л/га, прототип) или 75%-ной водной эмульсией Даминозида (аналог по применению) или средством – водным раствором соответствующей варианту концентрации Тиоауксина. Расход средства или воды во всех (во всех за исключением Даминозида) вариантах, включая контроль – 200 л/га. При этом Даминозид используют в виде 75%-ной водной дисперсии, а Гетероауксин ввиду плохой растворимости в воде предварительно подрастворяют в спирте. Через 7 дней проводят выборочные замеры высоты отрастания на каждой делянке (1k), которые сравнивают с контрольными (1k) и определяют величину отрастания в % по формуле:![]() В фазу начала цветения (бутонизация) обработку всех делянок повторяют в аналогичных 1-й обработке количествах и концентрациях прототипа и заявляемого средства. Массу 1000 семян, массу семян с одного растения и урожайность определяют для очищенных семян по формуле: ![]() Всхожесть определяют для полученных с урожая семян (25 х 4 на вариант), которые помещают в чашку Петри на постоянно влажную фильтровальную бумагу и проращивают их в закрытой чашке при 25 1oC. На 7-й день определяют содержание проросших семян в % и в % к контролю.
Примеры использования предлагаемых солей дикислот для интенсификации параметров роста люцерны: для увеличения высоты растений, массы 1000 семян и массы семян с одного растения, а также урожайности и всхожести представлены в таблице (примеры 6-16; см. в конце описания).
Как видно из данных таблицы, применение предлагаемой серусодержащей триазинкарбоновой дикислоты в качестве полупродукта в синтезе солей – тиоауксинов и использование последних для интенсификации параметров роста люцерны (примеры 6-16) обеспечивает в сравнении с контролем увеличение высоты растений на 7 день после укоса на 20,15 – 46,49% (13,0 – 15,85 вместо 10,82 см) в то же время опрыскивание растений водным раствором известного средства Гетероауксин и Даминозид увеличивает этот параметр лишь на 10,35 и 14,78% соответственно (11,94 и 12,42 см соответственно).
Масса 1000 семян и масса семян с одного растения увеличивается в сравнении с контролем на 3,16-8,42% и 23,08-45% соответственно (1,96 – 2,06 г и 3,20 – 3,77 г вместо 1,90 и 2,60 г соответственно); в то же время обработка Гетероауксином и Даминозидом увеличивает эти показатели лишь на 2,63; 16,15% и 3,05, 21,15% соответственно.
Семенная продуктивность люцерны увеличивается на 43,19 – 73,24% (3,05 – 3,69 ц/га вместо 2,13 ц/га); в то же время обработка Гетероауксином и Даминозидом увеличивает эти показатели лишь на 7,98 и 25,82 % соответственно (2,30 и 2,68 ц/га соответственно).
Всхожесть семян, полученных в урожае, увеличивается в сравнении с контролем на 8,08 – 16,61%, в то время как обработка Гетероауксином и Даминозидом увеличивает этот показатель лишь на 0,25 и 5,06% соответственно.
Важным преимуществом в предлагаемом полупродукте синтеза тиоауксинов является снижение концентрации и расхода требуемого для обработки средства на основе тиоауксина: с 75 мас.% (Даминозид) до 0,01 – 0,0001 мас.% (Тиоауксины), а также улучшение растворимости средства в воде и упрощение технологии его приготовления – исключение операции предварительного подрастворения в спирте (Гетероауксин) и использование непосредственного растворения в воде при обычной температуре.
Таким образом, применение заявленного полупродукта синтеза солей Тиоауксинов в качестве ростстимуляторов позволяет увеличить высоту люцерны после укоса, массу 1000 семян и массу семян с одного растения, семенную продуктивность и всхожесть семян люцерны с урожая, а также уменьшить расходы средства и упростить технологию его приготовления и использования.
Формула изобретения
![]() в качестве полупродукта в синтезе солей, обладающих ростстимулирующей активностью в отношении растений люцерны. РИСУНКИ
MM4A Досрочное прекращение действия патента Российской Федерации на изобретение из-за неуплаты в установленный срок пошлины за поддержание патента в силе
Дата прекращения действия патента: 18.05.2002
Номер и год публикации бюллетеня: 36-2003
Извещение опубликовано: 27.12.2003
|
||||||||||||||||||||||||||



2oC прикапывают водный раствор 2,282 г (0,02 моль) натриевой соли тиогликолевой кислоты. К полученной смеси при перемешивании и этой же температуре медленно прибавляют маленькими порциями 1,68 г (0,02 моль) бикарбоната натрия. По завершению выделения углекислоты и полной гомогенизации реакционную смесь перемешивают еще 1 ч при 10oC и отгоняют ацетон в водоструйном вакууме на кипящей водяной бане. Отгонку продолжают до уменьшения объема реакционной смеси на 1/2. Остаток охлаждают и при перемешивании и 20
, см-1 (группа): 3410-3260 уш.ср. (ОН кисл.); 1685 ср. (C=O); 1580, 1500, 1485, 1465 (C=C, C=N – сопр. и циануратный цикл.).
ПМР,
, м.д. (группа): 7,46 – 7,32 м (10H C6H5); 4,21 с (4Н S-CH2).
Пример 2. В условиях, аналогичных примеру 1, и из тех же количеств исходных, с той лишь разницей, что натриевую соль тиогликолевой кислоты и бикарбонат натрия вводят в реакционную смесь одновременно в виде водного раствора получают 3,87 г (90,4%) ДКТ, внешний вид, физико-химические константы, данные элементного анализа и спектральные характеристики которого идентичны таковым в примере 1.
Пример 3. 2-Дифениламино-4,6-бис- [карбоксилатометилтио(калия)]-1,3,5-триазин (КМТК). К суспензии 2,185 г (0,0051 моль) мелкоизмельченной ДТК в 8 мл воды, при перемешивании и температуре 20

