Патент на изобретение №2175868
|
||||||||||||||||||||||||||
(54) ПРОИЗВОДНЫЕ, ОБЛАДАЮЩИЕ ПРОТИВОСУДОРОЖНЫМ ДЕЙСТВИЕМ, ПРИГОДНЫЕ ДЛЯ ЛЕЧЕНИЯ НЕВРОПАТИЧЕСКОЙ БОЛИ
(57) Реферат: Изобретение относится к медицине. Предложен способ лечения невропатической боли с использованием топирамата. Средство снижает ответ на болевые раздражители. 2 з.п. ф-лы. Соединения формулы I ![]() являются структурно новыми противоэпилептическими соединениями, которые показали себя высокоэффективными противосудорожными средствами в опытах на животных (Maryanoff, В. Е. , Nortey, S.O., Gardocki, J.F., Shank, R.P. and Dodgson, S. P., J. Med. Chem. 30, 880-887, 1987; Maryanoff, В.Е., Costanzo, M. J. , Shank, R.P., Schupsky, J.J., Ortegon, M.E., and Vaught J.L., Bioorganic & Medicinal Chemistry Letters 3, 2653-2656, 1993). Эти соединения защищены патентом США N 4513006. Одно из этих соединений, сульфамат 2,3,4,5-бис-O-(1-метилэтилиден)- -D-фруктопиранозы, известное как топирамат, в клинических испытаниях эпилепсии на людях показало свою эффективность в качестве дополнительной терапии или монотерапии при лечении простых и сложных парциальных припадков и вторичных генерализованных припадков (E. FAUGHT, В.J. WILDER, R.E. RAMSEY, R.A. REIFE, L.D. KRAMER, G.W. PLEDGER, R.M. KARIM et al., Epilepsia 36 (S4) 33, 1995; S.K. SACHDEO, R.C. SACHDEO, R.A. REIFE, P. LIM and G. PLEDGER, Epilepsia 36 (S4) 33, 1995) и в настоящее время продается для лечения простых и сложных парциальных эпилептических припадков с вторичными генерализованными припадками или без них, в Великобритании, Финляндии, Швеции и Швейцарии. Заявки на разрешение применения препарата в настоящее время находятся на рассмотрении во многих странах мира, включая, но не ограничиваясь, Соединенные Штаты.
Сначала было установлено, что соединения формулы I обладают противосудорожной активностью в традиционном тесте максимального электрошокового припадка (МЭП) на мышах (Shank, R.P., Gardocki, J.F., Vaught, J.L., Davis, C.B. , Schupsky, J.J., Raffa, R.B., Dodgson, S.J., Nortey, S.O. and Maryanoff, B. E. , Epilepsia 35, 450-460, 1994). Последующие исследования показали, что соединения формулы I являются также высокоэффективными в тесте МЭП на крысах. Недавно было установлено, что топирамат эффективно блокирует припадки на нескольких моделях эпилепсии у грызунов (J.NAKAMURA, S.TAMURA, T.KANDA, A.ISHII, K.ISHIHARA, T.SERIKAWA, J.YAMADA and M.SASA, Eur. J. Pharmacol. 254 83-89, 1994) и на моделях экспериментальных животных с вызванной эпилепсией (A.WAUQUIER and S.ZHOU, Epilepsy Ras. 24, 73-77, 1996).
Недавние доклинические испытания топирамата выявили ранее неизвестные фармакологические свойства, которые предполагают, что топирамат является эффективным средством для лечения некоторых других состояний. Одним из них является невропатическая боль.
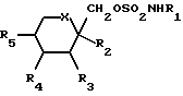
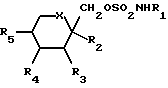
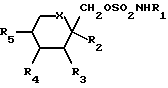
Соответственно, было обнаружено, что соединения следующей формулы I![]() в которых X представляет О или CH2, a R1, R2, R3, R4 и R5 определены далее, являются полезными для лечения невропатической боли. Подробное описание предпочтительных вариантов осуществления Сульфаматы согласно настоящему изобретению имеют следующую формулу (I). ![]() где X представляет CH2 или кислород; R1 представляет водород или алкил; и R2, R3, R4 и R5 независимо представляют водород или низший алкил и, когда X представляет CH2, R4 и R5 могут представлять алкеновые группы, соединенные с образованием бензольного кольца и, когда X представляет кислород, R2 и R3 и/или R4 и R5 вместе могут представлять группу метилендиокси следующей формулы (II): ![]() где R6 и R7 одинаковы или различаются и представляют водород, низший алкил или представляет алкил и соединены с образованием циклопентильного или циклогексильного кольца. R1, в частности, представляет водород или алкил, имеющий от 1 до 4 атомов углерода, такой как метил, этил и изопропил. В настоящем описании алкил включает алкил с прямой и разветвленной цепью. Алкильные группы радикалов R2, R3, R4, R5, R6 и R7 имеют от 1 до 3 атомов углерода и включают метил, этил, изопропил и н-пропил. Когда X представляет CH2, R4 и R5 могут объединяться с образованием бензольного кольца, конденсированного с 6-членным X-содержащим кольцом, т.е. R4 и R5 определяются алкатриенильной группой =C-CH=CH-CH=. Особой группой соединений формулы (I) является группа, в которой X представляет кислород, а оба R2 и R3, а также R4 и R5 вместе представляют группы метилендиокси формулы (II), где 6 и R7 оба представляют водород, оба представляют алкил или объединяются с образованием полициклического спироциклопентильного или спироциклогексильного кольца с одним общим атомом, в частности, где R6 и R7 оба представляют алкил, такой как метил. Вторая группа соединений – это группа, в которой X представляет CH2, a R4 и R5 объединены с образованием бензольного кольца. Третья группа соединений формулы (I) – это группа, в которой R2 м R3 оба представляют водород. Соединения формулы (I) могут быть синтезированы следующими способами: (а) Взаимодействием спирта формулы RCH2OH с хлорсульфаматом формулы ClSO2NH2 или ClSO2NHR1 в присутствии основания, такого как а-бутоксид калия или гидрид натрия, при температуре приблизительно от -20oC до 25oC и в растворителе, таком как толуол, ТГФ или диметилформамид, где R имеет следующую формулу (III): ![]() (b) Взаимодействием спирта формулы RGH2OH с сульфурилхлоридом формулы SO2Cl2 в присутствии основания, такого как триэтиламин или пиридин, при температуре приблизительно от -40oC до 25oC и в растворителе, таком как диэтиловый эфир или метиленхлорид, с получением хлорсульфата формулы RCH2OSO2Cl. Хлорсульфат формулы RCH2OSO2Cl затем может взаимодействовать с амином формулы R1NH2 при температуре приблизительно от 40oC до 25oC в растворителе, таком как метиленхлорид или ацетонитрил, с получением соединения формулы (I). Условия реакции для (b) также описаны T.Tsuchiya et al. в Tet. Letters, N 36, стр. 3365-3368 (1978). (с) Взаимодействие хлорсульфата формулы RCH2OSO2Cl с азидом металла, таким как азид натрия, в растворителе, таком как метиленхлорид или ацетонитрил, дает азидосульфат формулы RCH2OSO2N3, как описано M. Hedayatullah в Tet. Letters, стр. 2455-2458 (1975). Этот азидосульфат затем восстанавливают до соединения формулы (I), в котором R1 представляет водород, путем каталитического гидрирования, например, с использованием благородного металла и H2 или путем нагревания с металлической медью, в растворителе, таком как метанол. Исходные продукты формулы RCH2OH имеются в продаже или их можно получить известными специалистам способами. Например, исходные продукты формулы RCH2OH, в которых оба R2 и R3 а также R4 и R5 идентичны и имеют формулу (II), можно получить способом, описанным R.F. Brady в Carbohydrate Research, том 14, стр. 35-40 (1970) или путем взаимодействия триметилсилилэнольного эфира кетона R6COR7 или альдегида с фруктозой при температуре около 25oC, в растворителе, таком как галогенуглеводород, например метиленхлорид, в присутствии протонной кислоты, такой как хлористо-водородная кислота или кислоты Льюиса, такой как хлорид цинка. Реакция триметилсилилэнольного эфира описана G.L. Larson et al. в J. Org. Chem. Volaa 38, N 22, стр. 3935 (1973). Далее, карбоновые кислоты и альдегиды формул RCOOH и RCHO могут быть восстановлены до соединений формулы RCH2OH с помощью стандартной методики восстановления, например взаимодействием с литийалюминийгидридом, борогидридом натрия или комплексом боран-ТГФ, в инертном растворителе, таком как диглим, ТГФ или толуол, при температуре приблизительно от 0oC до 100oC, например, как описано Н.О. House в “Modern Synthetic Reactions”, 2-е издание, стр. 45-144 (1972). Соединения формулы I могут быть получены также с помощью способа, описанного в патенте N 5387700, который включен в настоящий документ в качестве ссылки. Соединения формулы I включают их различные отдельные изомеры, а также рацематы, например различные альфа и бета присоединения, т.е. ниже и выше плоскости рисунка, R2, R3, R4 и R5 в 6-членном кольце. Предпочтительно, атомы кислорода в группе метилендиокси (II) присоединены по одну сторону 6-членного кольца. Активность соединений формулы (I) при лечении невропатической боли впервые была выявлена в доклинических исследованиях, проводившихся для оценки эффективности топирамата на модели невропатической боли у экспериментальных животных. Эта модель была впервые разработана и описана S.H. KIM and J.M. CHUNG, Pain 50 355-363, 1992, и называется моделью Кима и Чанга. Самцам крыс Sprague-Dawley весом 150-250 граммов туго перевязывали хирургической нитью спинно-мозговые нервы поясничного отдела (L5 и L6) между спинным мозгом и местом слияния с седалищным нервом (на задней лапе) только с одной стороны. Эта процедура привела к появлению аллодинии (болевому ответу на безвредные в норме раздражители) и гиперальгезии (преувеличенной реакции на обычные болевые раздражители) со стороны задней лапы со стороны перевязки (поврежденная лапа), но не нарушила ее функции. Животные могли ходить и пользоваться поврежденной лапой. Через несколько дней животных поместили в приподнятые камеры наблюдения (приблизительно 4” х 6” х 10”) с полами из металлической сетки. На ограниченный участок подошвы лап оказывали постепенно увеличивающееся давление посредством волосков фон Фрея (монофиламентов, откалиброванных таким образом, что они изгибаются при приложении определенного давления, в пределах от 0,41 до 15,1 г). Тактильную аллодинию измеряли путем регистрации давления различной величины, при котором животные отдергивают поврежденную лапу от действия возрастающего по силе раздражителя, согласно процедуре, описанной S.R. CHAPLAN et al. (J. Neurosci. Meth. 53, 55-63, 1994). Животные реагировали на давление в 12-15 граммов при раздражении здоровой конечности, в то время как животные с моделью Кима и Чанга реагировали на давление в 1-3 грамма при раздражении поврежденной конечности. Критерием отбора для включения животного в это исследование был ответ на давление 4 грамма и менее на поврежденную конечность через 7 дней после перевязи нервов. Испытывали активность при пероральном введении трех доз топирамата (3, 10 и 30 мг/кг) в отношении невропатической боли на модели Кима и Чанга; в качестве положительного контроля использовали пероральную дозу препарата ULTRAMTM (трамадола гидрохлорид, 60 мг/кг) (D.BIAN et al., Analgesia 2, 57-62, 1996). Как и ожидалось, трамадола гидрохлорид (60 мг/кг перорально) снижал чувствительность поврежденных конечностей у крыс с моделью Чанга с 3,0 граммов до максимум 13,9 граммов в течение 2 часов после дачи препарата; чувствительность восстанавливалась до 4,6 граммов через 8 часов (n=4). Топирамат (30 мг/кг перорально) также снижал чувствительность поврежденных конечностей у крыс с моделью Чанга с 3,0 граммов до максимум 8,9 граммов в течение 1 часа после дачи препарата; чувствительность медленно восстанавливалась до 6,3 граммов через 8 часов и оставалась на уровне 5,6 граммов в течение 24 часов после дачи препарата (n=4). Меньшие дозы топирамата оказывали меньший эффект, изменяя чувствительность максимум до 2,9 грамма в течение 4 часов (3 мг/кг перорально) и до 5,2 грамма в течение 8 часов (10 мг/кг перорально), но эти эффекты в этом исследовании не считались значимыми (n=4 в каждом случае). Продолжительный антиаллодинический эффект топирамата на этой модели экспериментальных животных указывает на то, что этот препарат может быть полезным для лечения невропатической боли у человека. Для лечения невропатической боли соединение формулы (I) может применяться в суточной дозе в пределах приблизительно от 50 до 400 мг перорально, обычно двумя разделенными дозами для среднего взрослого человека. Стандартная доза должна содержать приблизительно от 25 до 200 мг активного ингредиента. Для изготовления фармацевтических композиций по на стоящему изобретению одно или более сульфаматных соединений формулы (I) гомогенно смешивают с фармацевтическим носителем, согласно известным фармацевтическим технологиям, причем этот носитель может принимать самые разнообразные формы, в зависимости от желательного способа введения, например перорального, посредством суппозитория или парентерального. При изготовлении лекарственных форм для перорального введения можно использовать любые обычные фармацевтические среды. Так, при изготовлении жидких лекарственных форм для перорального введения, таких как, например, суспензии, эликсиры и растворы, подходящие носители и вспомогательные вещества включают воду, гликоли, масла, спирты, корригенты, консерванты, красители и т.п.; при изготовлении твердых лекарственных форм для перорального введения, таких как, например, порошки, капсулы или таблетки, подходящие носители и вспомогательные вещества включают крахмалы, сахара, разбавители, гранулирующие агенты, смазывающие агенты, связывающие агенты, дезинтегрирующие агенты и т.п. В силу простоты употребления таблетки и капсулы представляют из себя наиболее предпочтительные лекарственные формы для перорального введения, при изготовлении которых очевидно использование твердых фармацевтических носителей. По желанию таблетки можно покрывать сахаром и энтеросолюбильной оболочкой с помощью стандартных методик. Можно изготавливать суппозитории, и тогда в качестве носители можно использовать масло какао. Для парентеральных лекарственных форм носитель обычно будет включать стерильную воду, хотя можно включать и другие ингредиенты, например, с целью повышения растворимости или для консервации. Можно изготавливать также суспензии для инъекций и тогда можно использовать подходящие жидкие носители, суспендирующие агенты и т.п. вещества. В настоящее время топирамат доступен для перорального введения в форме круглых таблеток, содержащих 25 мг, 100 мг или 200 мг активного агента. Эти таблетки содержат следующие инертные ингредиенты: водную лактозу, предварительно желатинизированный крахмал, микрокристаллическую целлюлозу, гликолят натрий-крахмала, стеарат магния, очищенную воду, карнаубский воск, гидроксипропилметилцеллюлозу, диоксид титана, полиэтиленгликоль, синтетический оксид железа и полисорбат 80. Фармацевтические композиции по настоящему изобретению будут содержать на лекарственную форму, например, таблетку капсулу, порошок для инъекции, чайную ложку, суппозиторий и т.п. формы, приблизительно от 25 до 200 мг активного ингредиента. Формула изобретения
-D-фруктопиранозы (топирамата).
2. Способ по п.1, отличающийся тем, что терапевтически эффективное количество составляет приблизительно от 50 до 400 мг.
3. Способ по п.1, отличающийся тем, что терапевтически эффективное количество составляет приблизительно от 25 до 200 мг.
MM4A – Досрочное прекращение действия патента СССР или патента Российской Федерации на изобретение из-за неуплаты в установленный срок пошлины за поддержание патента в силе
Дата прекращения действия патента: 17.07.2007
Извещение опубликовано: 20.07.2010 БИ: 20/2010
|
||||||||||||||||||||||||||


-D-фруктопиранозы, известное как топирамат, в клинических испытаниях эпилепсии на людях показало свою эффективность в качестве дополнительной терапии или монотерапии при лечении простых и сложных парциальных припадков и вторичных генерализованных припадков (E. FAUGHT, В.J. WILDER, R.E. RAMSEY, R.A. REIFE, L.D. KRAMER, G.W. PLEDGER, R.M. KARIM et al., Epilepsia 36 (S4) 33, 1995; S.K. SACHDEO, R.C. SACHDEO, R.A. REIFE, P. LIM and G. PLEDGER, Epilepsia 36 (S4) 33, 1995) и в настоящее время продается для лечения простых и сложных парциальных эпилептических припадков с вторичными генерализованными припадками или без них, в Великобритании, Финляндии, Швеции и Швейцарии. Заявки на разрешение применения препарата в настоящее время находятся на рассмотрении во многих странах мира, включая, но не ограничиваясь, Соединенные Штаты.
Сначала было установлено, что соединения формулы I обладают противосудорожной активностью в традиционном тесте максимального электрошокового припадка (МЭП) на мышах (Shank, R.P., Gardocki, J.F., Vaught, J.L., Davis, C.B. , Schupsky, J.J., Raffa, R.B., Dodgson, S.J., Nortey, S.O. and Maryanoff, B. E. , Epilepsia 35, 450-460, 1994). Последующие исследования показали, что соединения формулы I являются также высокоэффективными в тесте МЭП на крысах. Недавно было установлено, что топирамат эффективно блокирует припадки на нескольких моделях эпилепсии у грызунов (J.NAKAMURA, S.TAMURA, T.KANDA, A.ISHII, K.ISHIHARA, T.SERIKAWA, J.YAMADA and M.SASA, Eur. J. Pharmacol. 254 83-89, 1994) и на моделях экспериментальных животных с вызванной эпилепсией (A.WAUQUIER and S.ZHOU, Epilepsy Ras. 24, 73-77, 1996).
Недавние доклинические испытания топирамата выявили ранее неизвестные фармакологические свойства, которые предполагают, что топирамат является эффективным средством для лечения некоторых других состояний. Одним из них является невропатическая боль.
Соответственно, было обнаружено, что соединения следующей формулы I


