Патент на изобретение №2174115
|
||||||||||||||||||||||||||
(54) СОЕДИНЕНИЯ СЕМИКАРБАЗОНА, КОМПОЗИЦИЯ
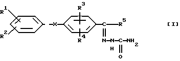
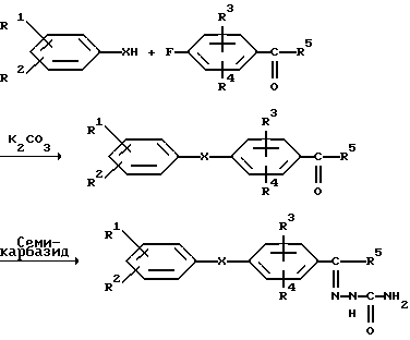
(57) Реферат: Описываются соединения семикарбазона формулы I, где R1, R2, R3 и R4 могут быть идентичными или различаться и представляют собой водород, галоген, С1-9алкил, циано, С1-9алкокси или фенокси; R5 представляет собой водород или С1-9алкил; Х представляет собой кислород или серу при условии, что а) если Х является серой, то по крайней мере один из радикалов R1 и R2 не является водородом, а является другим заместителем или по крайней мере один из радикалов R3 и R4 является фтором, С1-9алкилом, циано, С1-9алкокси, и b) если Х представляет собой кислород, R5 представляет собой водород, метил или этил и один из радикалов R1 и R2 является хлором, то другой радикал из R1 и R2 не является водородом или хлором или по крайней мере один радикал из R3 и R4 не является водородом, а является другим заместителем, и с) если Х представляет собой кислород, R5 представляет собой водород, метил или этил и один из радикалов R1 и R2 является метокси, то другой радикал из R1 и R2 не является водородом или метокси или по крайней мере один радикал из R3 и R4 не является водородом, а является другим заместителем, и d) если Х представляет собой кислород, R5 представляет собой водород, метил или этил и один из радикалов R1 и R2 является метилом, то другой радикал из R1 и R2 не является водородом или по крайней мере один радикал из R3 и R4 не является водородом, а является другим заместителем, и е) если Х представляет собой кислород, R5 – водород, метил или этил, и если оба радикала R1 и R2 являются водородом, то по крайней мере один из радикалов из R3 и R4 не является водородом и метилом, а является другим заместителем, или их фармацевтически приемлемая соль. Соединения можно вводить орально для лечения судорог у животных. ![]() 5 с. и 9 з.п. ф-лы, 6 табл., 3 ил. Изобретение относится к соединениям семикарбазонов, активным в отношении центральной нервной системы (ЦНС), и к фармацевтическим препаратам, содержащим такие соединения. В частности, изобретение относится к семикарбазонам, проявляющим противосудорожную активность, и к применению их для лечения или предупреждения судорог и судорожных припадков у человека и животных. Уровень техники На протяжении многих лет идентификация и изучение лекарственных препаратов, действующих на центральную нервную систему человека и животных, представляет большой интерес; в особенности это относится к противосудорожным препаратам, которые могут быть использованы для лечения или предупреждения приступов эпилепсии и других нарушений центральной нервной системы. Данные, полученные ранее одним из авторов предлагаемого изобретения (Dimmock et al. , J.Med.Chem., 1993, 36, pp. 2243-2252), свидетельствуют о том, что ряд арилсемикарбазонов с общей формулой А ![]() проявляют противосудорожную активность после внутрибрюшинного введения мышам с использованием следующих тест-систем: максимального электрошока (MES) и подкожного введения пентилентетразола (scPTZ). Указанные тест-системы были разработаны для выявления соединений, обладающих защитным действием против генерализованных тоноклонических припадков, что приводит к отсутствию судорог. MES и scPTZ тесты обсуждаются в работе Krall, et al. (“Разработка противоэпилептических препаратов: II. Скрининг противосудорожных лекарственных средств”, Эпилепсия, 1978, 19, стр. 409-428). Указанная работа приведена здесь в качестве ссылки. Однако соединения формулы А при интраперитонеальном введении проявляют нейротоксичность, кроме того, 10 представленных соединений характеризуются низким коэффициентом защиты (PI, отношение TD50/ED50). Таким образом, необходим поиск соединений, обладающих более эффективной противосудорожной активностью и низкой токсичностью. Сущность изобретения Предметом данного изобретения являются соединения, обладающие действием на ЦНС. Другим предметом изобретения является получение фармацевтических композиций, обладающих эффективной противосудорожной активностью и допустимой нейротоксичностью. Предметом изобретения является также разработка способов лечения судорог у человека и животных без нежелательных побочных эффектов. Согласно изобретению заявлено соединение с общей формулой I ![]() где: R1, R2, R3 и R4 могут быть идентичными или различаться и представлять собой атом водорода или галогена или C1-9 алкил, C5-9 циклоалифатическую группу, цианогруппу, C1-9 алкокси- или C6-10 арилоксигруппы; R5 представляет собой атом водорода или C1-9 алкил-, C3-9 циклоалкил- или C6-10 арилгруппу; X представляет собой кислород или серу. Алкильные заместители в указанных соединениях могут быть линейными или разветвленными. Следует отметить, что соединение формулы I, указанное выше, где R1, R2, R3, R4 и R5 представляют собой водород, описано в работе Tomita et al. (“Синтез производных альдегида, содержащих дифенил-эфирное ядро”, J.Pharm. Soc. Japan, 1955, 75, 1021-1023). Однако в этой работе не упоминается о противосудорожных свойствах соединений. Настоящее изобретение также относится к композиции, в состав которой входят соединение формулы I и фармацевтически приемлемый разбавитель, наполнитель или носитель. Другим объектом изобретения является способ лечения заболеваний ЦНС у человека и животных, который заключается во введении указанному пациенту эффективного количества соединения с общей формулой I. Согласно изобретению соединения можно вводить орально, при этом они проявляют высокую противосудорожную активность, например, величина ED50 у крыс (при использовании MES-теста) составляет 1-5 мг/кг (обычно 2-3 мг/кг), при этом нейротоксичность не проявляется даже при максимальной дозе (например, 500 мг/кг), что обеспечивает чрезвычайно высокий коэффициент защиты (PI). Можно предположить, что заявленные соединения действуют согласно одному или нескольким механизмам, отличающимся от механизма действия известных противосудорожных лекарств. Более того, указанные соединения не обладают недостатками, свойственными известным противосудорожным препаратам, поскольку при использовании, по крайней мере, некоторых заявленных соединений не наблюдается стимулирующего судороги действия и влияния на активность определенных ферментов клеток печени. Перечень чертежей На фиг. 1 представлено упрощенное изображение предполагаемого рецептора соединений, полученных согласно изобретению с указанием различных участков связывания. На фиг. 2 изображены основные структурные формулы соединений, перечисленных в табл. 1-3. На фиг. 3 представлены основные химические формулы соединений, перечисленных в табл. 4-6. Сведения, подтверждающие возможность осуществления изобретения Соединения, которые являются объектом данного изобретения, и соединения с близкой структурой могут быть синтезированы различным образом, например, с использованием модифицированного способа, описанного в работе Yeager et at. (“Подходящий способ получения арилоксифенолов”, Синтез, 1991, стр. 63-68). Авторы описывают способ получения арилоксибензальдегидов или арилоксиарилкетонов. Такие промежуточные производные могут затем взаимодействовать с семикарбазидами. Схема реакции приведена ниже: ![]() В соответствии с представленной выше схемой необходимо образование промежуточных арилокси- или арилтиобензальдегидов или кетонов при взаимодействии соответствующих фенолов или тиофенолов с фторбензальдегидом или фторарилкетонами в подходящем растворителе (например, в диметилацетамиде) в присутствии безводного карбоната калия при температуре в диапазоне от 100 до 200oC, при атмосферном давлении неокисляющего газа (например, азота), при кипячении с обратным холодильником в течение 5-10 часов. После охлаждения и добавления воды промежуточное соединение можно экстрагировать органическим растворителем (например, хлороформом) и высушить. Затем промежуточные соединения арилокси(тио)бензальдегиды и арилокси(тио)арилкетоны конвертируют в требуемые семикарбазоны путем обеспечения реакции с семикарбазидами в водно-этанольном растворе в течение одного или нескольких часов при температуре окружающей среды и образующийся осадок конечного продукта собирают и перекристаллизовывают. Исходные соединения вступают в реакцию в стехиометрических количествах и коммерчески доступны; в частности, их можно получить от фирмы Aldrich Chemical Company, Milwaukee, США. СТРУКТУРНЫЕ ФОРМУЛЫ Не имея стремления ограничить изобретение определенной теорией, можно предположить, что заявленные соединения проявляют противосудорожную активность благодаря специфическому соединению с участками связывания предполагаемого рецептора на клетках мозга человека и животных. По-видимому, указанное взаимодействие происходит с тремя участками связывания рецептора, а именно с участком связывания арильной группы, участком связывания водорода и фистальным участком связывания, которые изображены на фиг. 1. Полагают, что эти участки взаимодействуют с проксимальным арильным кольцом (кольцо, соседнее с семикарбазоновой группой), непосредственно с семикарбазоновой группой (H2NCONHN=) и с дистальным арильным кольцом соответственно. По-видимому, наличие дистального арильного кольца и определенных замещающих групп в дистальной части молекулы, а также, в меньшей степени, проксимальном арильном кольце указанных соединений приводит к усилению их связывания с рецептором, что в свою очередь увеличивает активность заявленных соединений. Систематический синтез и оценка соединений формулы I и соединений с близкой структурой позволили выявить следующие основные принципы: (i) Замещение метинового водорода, соединенного с атомом углерода карбиминной группы, на группы большего размера не оказывает значительного влияния на противосудорожную активность соединений; (ii) локализация арилокси- или арилтиогруппы в орто- или мета-положении проксимального арильного кольца приводит к уменьшению или противосудорожной активности; (iii) замещение кислорода эфирной группы на серу или сульфонилоксигруппы приводит к получению соединений с одинаковой противосудорожной активностью, в то время как введение других спейсерных групп снижает активность; (iv) уменьшение размера заместителей дистального арильного кольца приводит к увеличению противосудорожной активности; (v) противосудорожная активность будет высокой, если, по крайней мере, один из заместителей дистальной алкильной группы находится в пара-положении. Следовательно, предпочтительными соединениями согласно изобретению, являются соединения, в которых R1 и R2 представляют собой водород или галоген (наиболее предпочтительно фтор); R3, R4 представляют собой водород и R5 представляет собой водород или C1-3 алкил и X – O или S (наиболее предпочтительно O). Особенно предпочтительными соединениями согласно изобретению являются 4-(4′-фторфенокси)бензальдегид семикарбазон и 4-(тиофенокси)бензальдегид семикарбазон. Эти соединения проявляют высокую активность в MES-тесте, низкую токсичность и обеспечивают защиту крыс с индуцированным судорожным припадком, вызванным стимуляцией роговицы глаза, без отрицательных побочных действий, таких как стимулирование судорог. Следует отметить, что тест с использованием крыс с индуцированным судорожным припадком описан в двух работах (R. J. Racine “Модификация судорожной активности посредством электростимуляции. II Моторный эпилептический припадок”, Electroencephalogr. Clin. Neurophysiol. , 1972, 32, 281-294, и G.Skeen et al. “Развитие индуцированных припадков путем электрической стимуляции через роговицу”, Soc.Neurosci., 1990, 16(1), 307). ФИЗИОЛОГИЧЕСКАЯ АКТИВНОСТЬ Соединения, полученные согласно изобретению, в некоторых случаях проявляют достаточно высокую нейротоксичность при внутрибрюшинном введении мышам. Например, было показано, что нейротоксичностью обладают примерно 65% исследованных соединений, а биоактивность (рассчитанный коэффициент PI) находится в диапазоне 2-14 при определении в MES-тесте и 1-3 при определении в scPTZ тесте. Однако было обнаружено, что нейротоксичность исчезает или уменьшается до удовлетворительной величины, если соединения вводить крысам оральным путем. Более того, в то время как соединения проявляют высокую активность в MES- и scPTZ-тестах при внутрибрюшинном введении, при оральном введении активность в MES тесте остается высокой, а активность в scPTZ тесте может снизиться. Например, при оральном введении 4-(4′-фторфенокси) бензальдегид семикарбазона крысам величина ED50 составляет 1,59 мг/кг, а коэффициент PI более 315. Однако соединение не обеспечивает защиты в scPTZ тесте при дозе 125 мг/кг и только 10% крыс защищено при дозе 250 мг/кг. Отсутствие нейротоксичности при максимально высокой использованной дозе (500 мг/кг) приводит к чрезвычайно высоким коэффициентам защиты. ВВЕДЕНИЕ СОЕДИНЕНИЙ Соединения, полученные, согласно изобретению, можно вводить человеку орально, предпочтительно в дозе 50-75 мг/кг, в основном в форме композиций с инертными, фармакологически приемлемыми соединениями, например с разбавителями (дигидратированный фосфат кальция, дигидратированный сульфат кальция, целлюлоза, декстроза, лактоза, маннит, крахмал, сорбитол, сахароза и материалы на основе сахарозы и т.д.), со связующими и адгезивными компонентами (аравийская камедь, производные целлюлозы, желатин, глюкоза, поливинилпирролидон (ПВП), альгинаты, сорбитол, предварительно желированный крахмал, крахмальная паста, трагакант и т. д. ), дезинтегрирующими соединениями (альгинаты, целлюлоза, производные целлюлозы, глины, перекрестно-связанный ПВП, крахмал, производные крахмала и т.д.), лубрикантами (полиэтиленгликоли, стеариновые кислоты, соли и производные, поверхностно-активные вещества, тальк, воск и т. д. ), с веществами, препятствующими слипанию (кукурузный крахмал, производные силикагеля и тальк), красителями, ароматическими и вкусовыми добавками, подсластителями (например, FD&C- и D&C-красители, лаки, ароматические масла, высушенные в распыленном виде ароматические и вкусовые добавки, искусственные и натуральные подсластители). Композиции могут быть приготовлены в любой подходящей форме для орального применения, например в виде порошков, капсул, таблеток, пастилок, растворов, сиропов и т.п. Возможности осуществления изобретения подробно описаны в следующих ниже примерах, которые никоим образом не ограничивают объема изобретения. ПРИМЕР 1 Соединения 2a-5v, свойства которых приведены в таблице 1, получают согласно описанному ранее способу. Структурные формулы перечисленных соединений приведены на фиг. 1; соединения обозначены одинаковыми первыми цифрами (2, 3, 4 или 5). В таблице 1 указаны только заместители ароматического кольца. Подробное описание синтеза различных соединений приведено ниже. СИНТЕЗ ПРОМЕЖУТОЧНЫХ СОЕДИНЕНИЙ В качестве исходного соединения для синтеза соединения 3 используют 3-феноксибензальдегид (Aldrich Chemical Company, Milwaukee, WI). Промежуточные арилоксиарильные или арилтиоарильные альдегиды, необходимые для синтеза других соединений, получают следующим образом. К раствору соответствующего фенола или тиофенола (0,15 М) и 4-фторбензальдегида, 4-фторацетофенона или 4-фторпропиофенона (0,14 М) в 100 мл диметилацетамида добавляют безводный карбонат калия (0,12 М). Полученную смесь кипятят с обратным холодильником при 155oC в атмосфере азота. Реакцию контролируют с помощью тонкослойной хроматографии (TLC) при использовании в качестве системы растворителя смеси бензол:метанол (9:1, по объему). Приблизительно через 5-10 часов реакционную смесь охлаждают и добавляют 100 мл воды. Смесь экстрагируют хлороформом (2 раза по 100 мл) и объединенные органические экстракты промывают водным раствором гидроксида натрия (4%, вес на объем) и водой. Сушат над безводным сульфатом магния и отгоняют растворитель в вакууме. С помощью перегонки полученного масла при пониженном давлении получают соответствующий арилоксиарильный, арилтиоарильный альдегид или кетон. Чистоту перегнанного продукта определяют при помощи тонкослойной хроматографии (TLC) с использованием в качестве системы растворителя смеси бензол: метанол (9: 1, по объему). Ниже в качестве примера приведен 1H ЯМР-спектр одного из промежуточных соединений, а именно 4-феноксибензальдегида: (CDCl3): 9,94 (s, 1Н, CHO), 7,82-7,88 (2т, 2Н, орто H проксимального арильного кольца), 7,38-7,46 (3t, 2Н, мета H проксимального арильного кольца), 7,20-7,27 (3t, 1H, пара H дистального арильного кольца), 7,03-7,12 (3t, 4Н, орто и мета H дистального арильного кольца).
СИНТЕЗ КОНЕЧНЫХ СОЕДИНЕНИЙК раствору арилоксиарил- или арилтиоарил-альдегида (0,01 М) в 30 мл этанола (95%) медленно при перемешивании добавляют смесь гидрохлорид семикарбазида (0,01 М), ацетата натрия (0,01 М) и 10 мл воды. Реакционную смесь перемешивают при комнатной температуре в течение 1-2 часов, затем собирают осадок, промывают его эфиром, сушат и перекристаллизовывают из 95% этанола (соединения 3, 4b, 4e, 4h, 5b-3, 5k-e, 5v), абсолютного этанола (соединения 4a, 4c, 4d, 4q, 4i, 5a, 5f-j, 5u) или метанола (соединение 4f). Согласно литературным данным температура плавления (oC) соединения 4a составляет 219-220oC. Значения температур плавления, указанные для различных соединений, не точны. Данные элементного анализа (C, H, N) отличаются от теоретически рассчитанных значений в пределах 0,4%, за исключением соединения 5n (расчет для C15H15N3O2; N, 15,60. Найдено: N, 14,80). 1H ЯМР-спектры полученных соединений получают при использовании прибора BRUKER AM 300 FT (торговая марка). Тонкослойную хроматографию (TLC) проводят на пластинах с силикагелем и флуоресцентным индикатором. СИНТЕЗ СОЕДИНЕНИЙ ТИПА 15 (ФИГ.3) Для синтеза незамещенного соединения используют 3-бензилоксибензальдегид (Aldrich Chemical Company, Milwaukee, WI). Другие промежуточные альдегиды получают следующим образом. К раствору 4-гидроксибензальдегида (0,04 М) в 100 мл пиридина добавляют бензоилхлорид или 4-хлорбензоилхлорид (0,05 М). Реакционную смесь оставляют на ночь при комнатной температуре, затем выливают ее в 100 мл (2н) уксусной кислоты. Осадок собирают, промывают водой. После перекристаллизации из смеси вода: метанол получают 4-бензоилоксибензальдегид и 4-(4-хлорбензоилокси)бензальдегид, которые далее используют для синтеза соединений 68 и 69 соответственно. 4-Фенилсульфонилбензальдегид, используемый для синтеза соединения 70, получают следующим образом. Смесь бензолсульфината натрия (0,11 М) и 4-фторбензальдегида (0,1 М) в 75 мл сухого диметилсульфоксида перемешивают при 100oC в атмосфере азота в течение 18 ч и затем помещают ее на лед (~200 г). Осадок собирают, промывают водой и перекристаллизовывают из этанола (95%, по объему). В завершение, к раствору 4-гидроксибензальдегида (0,16 М) в 90 мл дихлорметана и 3-5 мл триэтиламина добавляют по каплям бензолсульфонилхлорид или 4-метилбензолсульфонилхлорид (0,20 М) в течение 10 мин при перемешивании при температуре от 0 до 10oC. Затем через 15 мин реакционную смесь разбавляют дихлорметаном и экстрагируют избыточными количествами воды, соляной кислоты (10%, вес на объем), насыщенного раствора бикарбоната натрия и насыщенного раствора хлорида натрия. После высушивания органического экстракта и удаления растворителя получают промежуточные соединения, необходимые для дальнейших процессов синтеза. С помощью тонкослойной хроматографии (TLC) при использовании в качестве системы растворителя смеси бензол:метанол (7: 3) показано, что полученные соединения гомогенны. Температуры плавления соответствуют данным, известным в литературе. Реакцию этих промежуточных альдегидов с семикарбазидом проводят, как описано ранее. СИНТЕЗ СОЕДИНЕНИЙ ТИПА 17 И 18 (ФИГ.3) Эти соединения получают из соответствующих арилоксиарил- или арилтиоарил-альдегидов, используя методики, описанные в литературе (Dimmock, J.R.; McColl, J.M.; Wonko, S.L; Thayer, R.S.; Hancock, D.S. “Оценка тиосемикарбазонов некоторых арилалкилкетонов и родственных соединений с точки зрения противосудорожной активности” (Eur. J. Med. Chem. 1991, 26. 529-534; и Dimmock, J.R.; Puthucode, R.N.; Lo, M.S.: Quail, J.W.; Yang, J.: Stables, J.P. “Структурные модификации первичной аминогруппы арилсемикарбазонов с противосудорожной активностью”. Pharmazie, 1996, 51, 83-88). Реагенты кипятят с обратным холодильником в течение 6 часов, а перемешивают при комнатной температуре в течение 8, 10 и 14 часов. В одном случае реакционную смесь нагревают в течение 0,5 часов при 60oC. Все соединения данного типа перекристаллизовывают из этанола (95%, по объему). ОПРЕДЕЛЕНИЕ ВЕЛИЧИН LOG P Величины log P определяют согласно опубликованной ранее методике (Dimmock, J. R.: Phillips, О.А.: Wonko, S.L; Hickie, R.A.; Tuer, R.G.; Ambrose, S.J.; Reid, R.S.; Mutus, B.; Talpas, C.J. “Оценка некоторых оснований Манниха конъюгированных стирилкетонов и родственных соединений против рака ободочной кишки”. Eur. J. Med. Chem. 1989. 24, 217-226) за исключением нескольких деталей: растворы готовят с использованием 1-октанола, к которому добавляют буфер. Величины max и для соединений определяют в 1-октаноле, а не в фосфатном буферном растворе pH 7,4, так как соединения характеризуются низкой растворимостью в воде.
ПРИМЕР 2Первоначальную оценку противосудорожной активности соединений, полученных, как указано в примере 1, проводят путем их внутрибрюшинного введения мышам. Уровень защиты и/или нейротоксичность определяют через 0,5 и 4 ч после введения каждого семикарбазона животным в следующих дозах: 30, 100 и 300 мг/кг. Результаты исследований приведены в табл. 1. Все соединения, кроме соединений 2а, b, 5t, v, обнаруживают активность в MES-тесте и 60% соединений проявляют защитное действие при использовании scPTZ-теста. Нейротоксичностью обладают приблизительно 70% семикарбазонов. Данные по расчету биоактивности отдельных соединений приведены в табл. 2. Для основного количества соединений была определена активность при оральном введении крысам. Исходные дозы составляли 50 мг введенного семикарбазона на кг веса. Однако согласно данным табл. 1 все исследованные соединения, кроме соединения 3, в этой дозе проявляют активность в MES-тесте. С целью выявления соединений с заметной оральной активностью доза была снижена в 4 раза до 12,5 мг/кг, при этом во всех случаях сохранялось защитное действие в MES-тесте. При использовании доз, указанных в табл. 1, нейротоксичность не наблюдалась в течение 0,25-4 часов за исключением соединения 5l, после введения которого через 1, 2 и 4 часа у 1/4 крыс был обнаружен нейрологический дефицит. Соединения 4e, 5b, d, q-i, n, g, r были испытаны в scPTZ-тесте в дозах, указанных в табл. 1. Однако эти соединения были либо неактивны (соединения 5b, d, g, i, q), либо проявляли маргинальную (краевую) активность, которая будет подробно обсуждена ниже. Был проведен расчет активности выбранных соединений и полученные результаты приведены в табл.3. Дальнейшее определение биоактивности соединения 4b проводят после внутрибрюшинного введения крысам. Величины ED50 и TD50 в MES-тесте и в тесте на нейротоксичность для соединения 4b составляют 2,37 и 80,08 мг/кг соответственно, а коэффициент защиты PI – 33,8. Величина ED50 для этого соединения при тестировании на крысах с индуцированным судорожным припадком составляет 3,93 мг/кг. Соединение 4b вводят крысам орально в течение трех дней, ежедневная доза составляет 100 мг/кг. Затем печень контрольных и обработанных животных удаляют и проводят сравнительное исследование ткани печени, а именно, определяют вес печени, выход микросомальных белков, а также ферментативную активность цитохрома P450, п-нитроанизол O-деметилазы, УДФ-глукуронозилтрасферазы, сульфотрансферазы, этоксирезорфин O-деэтилазы, пентоксирезорфин O-деалкилазы, глутатион S-трансферазы и хинонредуктазы. Различия по этим параметрам между тканями печени контрольных и обработанных животных не наблюдается (P > 0,05). Оба соединения 4b и 5a испытывают на стимулирующую судорожную активность у мышей после внутривенного введения пентилтетразола. Введенные дозы равны ED50 в MES-тесте (см. таблицу 2), а значения ТD50 для соединений 4b и 5q также приведены в табл. 2. Оба соединения не проявляют нежелательных указанных свойств, причем при дозе соединения 4b, равной 108 мг/кг, наблюдается увеличение временного интервала до появления клонуса. Определяют также способность соединений 4b и 5q предупреждать судороги, индуцированные путем подкожного введения бикукуллина и пикротоксина мышам. Семикарбазон 4b проявляет частичное защитное действие в этих двух тестах, в то время как соединение 5q неактивно. Кроме того, соединение 4b не обнаруживает защитного действия при подкожном введении стрихнина мышам. Подробная информация об этих тестах приведена ниже. ВНУТРИБРЮШИННАЯ ИНЪЕКЦИЯ МЫШАМ Следует отметить, что кроме информации, суммированной в табл. 1, при внутрибрюшинной инъекции ряда соединений мышам наблюдаются следующие побочные действия при различных дозах (мг/кг) и временных интервалах. Во-первых, в scPTZ-тесте наблюдаются миоклонные рефлексы для следующих соединений, а именно соединений 4с: 30, 100; 0,5 ч, и 5f: 100, 300; 0,5 ч. Во вторых, наблюдается непрерывная судорожная активность в scPTZ-тесте для следующих соединений 4c: 300; 0,5 ч; 100, 300; 4 ч; 4d: 100, 300: 0,5 и 4 ч; 4j: 100, 300; 0,5 и 4 ч; 5i: 300; 0,5 ч; 5l: 300, 0,5 и 4 ч; 5o: 100, 300; 0,5 ч; 5s: 300; 4 ч. По окончании четвертого часа непрерывная судорожная активность приводит к гибели животных (scPTZ-тест) при дозе 300 мг/кг соединения 5o. ОРАЛЬНОЕ ВВЕДЕНИЕ КРЫСАМ При введении некоторых соединений в дозах, указанных в табл. 1, наблюдается маргинальная активность в scPTZ-тесте. Ниже приведены данные соединения и количество крыс, защищенных через различные промежутки времени: 4e: 1/4 часть крыс через 0,5, 1, 4 ч; 5h: 1/4 часть крыс через 4 ч; 5n: 1/4 часть крыс через 0,5, 1, 2 ч и 5r: 1/4 часть крыс через 1, 4 ч и 2/4 части крыс 2 ч. ВНУТРИБРЮШИННАЯ ИНЪЕКЦИЯ СОЕДИНЕНИЯ 4b КРЫСАМ Через 4 ч после внутрибрюшинной инъекции соединения 4b крысам определяют следующие величины: ED50, 95% Cl и наклона (SE) в MES-тесте, которые составляют 2,37, 1,39-3,57 и 2,65 (0,76), в то время как соответствующие величины TD50 составляют 80,09, 66,14-87,27 и 17,02 (6,41). Защитное действие после внутрибрюшинного введения соединения 4b в дозах 125 и 250 мг/кг в scPTZ-тесте наблюдалось у 0/2 и 1/10 обработанных крыс. ИСПЫТАНИЕ СОЕДИНЕНИЯ 4b НА КРЫСАХ С ИНДУЦИРОВАННЫМ СУДОРОЖНЫМ ПРИПАДКОМ Тест на крысах с индуцированным судорожным припадком проводят согласно известной методике, как описано выше. Соединение 4b вводят орально и через 2 часа животных подвергают стимуляции электрическим током. ED50 – это доза, необходимая для редукции судорожного припадка со стадии 5 до стадии 3 или менее. Описание стадий приведено ниже: стадия 1 – клонус морды и рта, стадия 2 – стадия 1 плюс подергивание головы, стадия 3 – стадия 2 плюс клонус передних конечностей, стадия 4 – стадия 3 плюс повизгивание, стадия 5 – стадия 4 плюс повторное повизгивание и падение. Для соединения 4b получены следующие величины ED50 (мг/кг), 95% Cl и наклона (SE): 3,93, 2,40-6,09 и 3,62 (1,10). Для трех лекарственных препаратов, использованных для сравнения, получены следующие величины ED50 (мг/кг) 95% Cl (указан в скобках) и времени проведения теста: фенитоин (дифенин): > 100, 0,25 ч: карбамазепин: 28,90 (7,72-75,59), 1 ч и вальпроат: 117,41 (67,98-189,02), 0,25 ч. ДЕЙСТВИЕ СОЕДИНЕНИЯ 4b НА ПЕЧЕНЬ КРЫСЫ ПОСЛЕ ДЛИТЕЛЬНОГО ОРАЛЬНОГО ВВЕДЕНИЯ Соединение 4b вводят крысам ежедневно в дозе 100 мг/кг в течение трех дней. Печень удаляют, взвешивают и определяют действие соединения 4b на микросомальную систему печени по сравнению с печенью контрольных животных, которые получали только заменитель в виде обработанного ультразвуком раствора 0,5% метилцеллюлозы21-23. (VI) ИСПЫТАНИЕ СОЕДИНЕНИЙ 4b И 5q В ДЛИТЕЛЬНОМ ВНУТРИВЕННОМ ПЕНТИЛЕНТЕТРАЗОЛЬНОМ ТЕСТЕ Соединения 4b и 5q в растворе метилцеллюлозы (0,5%) вводят мышам в двух дозах, приблизительно соответствующих величинам ED50 в MES-тесте и TD50. Через 1 час в хвостовую вену мыши вводят раствор пентилентетразола (0,5%), хлорида натрия и гепарина натрия (10USP ед/мл) в воде со скоростью 0,37 мл/мин (4b) и 0,34 мл/мин (5q). Записывают время от начала введения пентилентетразола до появления первых подергиваний, а также проявления клонуса для тестируемых и контрольных животных. На основании этих данных определяют количество введенного пентилентетразола. Для контроля используют 10 животных, для каждой введенной дозы – также 10 животных, кроме дозы соединения 4b 13 мг/кг, для которой используют 9 животных. Получены следующие значения временного интервала до первого подергивания в секундах, количества введенного пентилентетразола в мг/кг, (SE) и p: соединение 4b (доза 13 мг/кг): 32,2, 32,3 (1,4), > 0,05; соединение 4b (доза 108 мг/кг): 32,2, 32,6 (0,8), > 0,05; соединение 5q (доза 15 мг/кг): 32,8, 32,9 (1,4), > 0,05; соединение 5q (доза 95 мг/кг): 34,6, 34,6 (1,5), > 0,05. Соответствующие значения временного интервала до проявления клонуса в секундах, количества введенного пентилентетразола в мг/кг, (SE) и p приведены ниже: соединение 4b (доза 13 мг/кг): 37,6, 37,6 (1,5), > 0,05; соединение 4b (доза 108 мг/кг): 41,5, 42,1 (1,4), < 0,01; соединение 5q (доза 15 мг/кг): 41,2, 41,2 (2,6), 0,05; 5q (доза 95 мг/кг): 44,4, 44,4 (2,5), > 0,05. (VII) ИСПЫТАНИЕ СОЕДИНЕНИЙ 4b И 5q С ИСПОЛЬЗОВАНИЕМ ДРУГИХ МОДЕЛЕЙ СУДОРОЖНЫХ ПРИПАДКОВ, ИНДУЦИРОВАННЫХ ХИМИЧЕСКИМИ РЕАГЕНТАМИ Различные дозы соединений 4b и 5q вводят мышам за 1 час (4b) и за 0,5 часа (5q) до подкожного введения животным стимулирующих судороги доз бикукуллина и пикротоксина. Соединение 4b испытывают также в тесте на защитное действие после подкожного введения стрихнина. В случае соединения 4b количество защищенных животных в подкожном бикукуллиновом тесте при различных дозах соединения 4b (мг/мл) составляет 0/8 (54), 3/8 (108) и 3/8 (216). Защитное действие 4b в подкожном пикротоксиновом тесте при различных дозах (мг/кг) составляет 1/8 (27), 5/16 (108), 2/8 (216). При использовании указанных тестов соединение 5q не проявляет защитного действия при дозе в пределах 12-96 мг/кг. Семикарбазон 4b не обнаруживает защитного действия в подкожном стрихниновом тесте при дозах в пределах 13,5-108 мг/кг. На каждую дозу используют по 2 животных в отличие от бикукуллинового и пикротоксинового тестов с соединением 4b, в которых на каждую дозу используют 8 или 16 животных. ПРИМЕР 3 Получают соединения, свойства которых приведены в табл.4. Структурные формулы указанных соединений приведены на фиг. 3; соединения обозначены одинаковыми первыми цифрами (12, 13, 14, 15, 16, 17 и 18), их заместители приведены в табл.4. Указанные соединения получают следующим образом. Выделить в чистом виде 2-феноксипропиофенон, необходимый для синтеза соединения 4 (R1=C2H5; R2=H), не удается, поскольку в результате синтеза неизменно получают смесь нескольких соединений. Остальные соединения получают путем взаимодействия промежуточных альдегидов и кетонов с семикарбазидами (13-16), тиосемикарбазидами (17а, с), аминогуанидином (17b, d), гидразидом муравьиной кислоты (18а, e), гидразидом уксусной кислоты (18b), карбогидразидом (18с) или гидразидом оксаминовой кислоты (18d). Первоначальную оценку противосудорожного действия соединений 13-18 проводят следующим образом. Указанные соединения вводят мышам внутрибрюшинно в дозе 30, 100 и 300 мг/кг и через 0,5 и 4 ч определяют активность соединений в MES-, scPTZ-тестах и тесте на нейротоксичность. Результаты тестов представлены в приведенной выше таблице 4 вместе с данными для соединений 12 a-e, которые включены для сравнения. Результаты расчета противосудорожной активности выбранных соединений представлены в таблице 5. Оценку большинства семикарбазонов и их аналогов в MES-тесте и тесте на нейротоксичность проводят после орального введения крысам. При введении доз, указанных в таблице 4, нейротоксичность соединений не наблюдается. Проверка нескольких соединений с помощью scPTZ-теста показывает, что они либо не активны, либо обладают лишь минимальным защитным действием. В связи с этим, в таблице 4 приведены только результаты MES-теста. В таблице 6 представлены значения ED50 для нескольких соединений, полученные на основе результатов MES-теста после орального введения крысам. Заключительную фармакологическую оценку представленных соединений проводят, используя модель эпилепсии на цыплятах.6 Как было показано, в этом случае ряд исследованных соединений предотвращает судороги, индуцированные прерывистыми световыми стимуляциями, при концентрациях в крови, близких к использованным при лечении человека. Для того чтобы определить, какой спейсерный атом между двумя арильными кольцами является предпочтительным – атом кислорода или атом серы, а также для сравнения значений величин ED50, получаемых при оральном введении крысам, с величинами ED50 при внутрибрюшинной инъекции мышам проводят проверку двух серий соединений. Значения ED50 для эфиров 12 a-d составляют 1.5, 2.5, 1.0 и 2.0 мг/кг соответственно, а для тиоэфиров, включающих те же самые арильные заместители, а именно 16а, 15а, 16b, с, эти величины составляют 1.5, 2.5, 1.0 и 1.5 мг/кг соответственно. Следовательно, эффективность действия соединений не зависит от того, атом кислорода или атом серы является спейсерным атомом между двумя арильными кольцами. Значения ED50 для соединений 12а, 15а, 16а, полученные при оральном введении крысам, находятся в интервале 1-5 мг/кг, в то время как для соединений 12а, 15а, 16b, с, эти величины, полученные при внутрибрюшинной инъекции мышам, равны приблизительно 15-25 мг/кг. Следовательно, использование модели эпилепсии на цыплятах позволяет получить результаты, сопоставимые с данными, полученными при оральном введении крысам заявленных соединений. Формула изобретения
![]() где R1, R2, R3 и R4 могут быть идентичными или различаться и представляют собой водород, галоген, C1-9 алкил, циано, С1-9 алкокси или фенокси; R5 представляет собой водород или C1-9 алкил; X представляет собой кислород или серу при условии, что a) если Х является серой, то по крайней мере один из радикалов R1 и R2 не является водородом, а является другим заместителем или по крайней мере один из радикалов R3 и R4 является фтором, C1-9 алкилом, циано, C1-9 алкокси, и b) если Х представляет собой кислород, R5 представляет собой водород, метил или этил и один из радикалов R1 и R2 является хлором, то другой радикал из R1 и R2 не является водородом или хлором или по крайней мере один радикал из R3 и R4 не является водородом, а является другим заместителем, и c) если Х представляет собой кислород, R5 представляет собой водород, метил или этил и один из радикалов R1 и R2 не является метокси, то другой радикал из R1 и R2 не является водородом или метокси или по крайней мере один радикал из R3 и R4 не является водородом, а является другим заместителем, и d) если Х представляет собой кислород, R5 представляет собой водород, метил или этил и один из радикалов R1 и R2 является метилом, то другой радикал из R1 и R2 не является водородом или по крайней мере один радикал из R3 и R4 не является водородом, а является другим заместителем, и e) если Х представляет собой кислород, R5 – водород, метил или этил и если оба радикала R1 и R2 являются водородом, то по крайней мере один из радикалов из R3 и R4 не является водородом и метилом, а является другим заместителем, или их фармацевтически приемлемая соль. 2. Соединение по п. 1, отличающееся тем, что по крайней мере один из радикалов R1 и R2 является водородом или галогеном, каждый из радикалов R3 и R4 является водородом, R5 – водородом или C1-3 алкилом и Х является кислородом. 3. Соединение по п.1, отличающееся тем, что по крайней мере один из радикалов R1 и R2 является фтором, R5 – водородом и Х является кислородом. 4. Соединение по п.1, отличающееся тем, что оно является одним из следующих соединений: 4-(4-бромфенокси)бензальдегид семикарбазон, 4-(4-иодфенокси)бензальдегид семикарбазон, 4-(4-цианофенокси)бензальдегид семикарбазон, 4-(2-фторфенокси)бензальдегид семикарбазон, 4-(3-фторфенокси)бензальдегид семикарбазон, 4-(2,3-дифторфенокси)бензальдегид семикарбазон, 4-(2,4-дифторфенокси)бензальдегид семикарбазон, 4-(2,5-дифторфенокси)бензальдегид семикарбазон, 4-(2,6-дифторфенокси)бензальдегид семикарбазон, 4-(3,4-дифторфенокси)бензальдегид семикарбазон, 4-(4-хлор-2-фторфенокси)бензальдегид семикарбазон, 4-(2-хлор-4-фторфенокси)бензальдегид семикарбазон, 4-(2-бром-4-фторфенокси)бензальдегид семикарбазон, 4-(4-этилфенокси)бензальдегид семикарбазон, 4-(4-н-пропилфенокси)бензальдегид семикарбазон, 4-(4-втор-бутилфенокси)бензальдегид семикарбазон, 4-(4-трет-бутилфенокси)бензальдегид семикарбазон, 4-(4-фторфенокси)ацетофенон семикарбазон, 4-(4-бромфенокси)ацетофенон семикарбазон, 4-(4-фторфенокси)пропиофенон семикарбазон, 4-(4-бромфенокси)пропиофенон семикарбазон, 4-(4-фторфенилмеркапто)бензальдегид семикарбазон, 4-(4-хлорфенилмеркапто)бензальдегид семикарбазон, 4-(4-бромфенилмеркапто)бензальдегид семикарбазон, 4-(4-метилфенилмеркапто)бензальдегид семикарбазон, и 4-(4-фторфенилмеркапто)ацетофенон семикарбазон. 5. Соединение по п.1 или его фармацевтически приемлемая соль, отличающееся тем, что оно предназначено для изготовления лекарственного средства для лечения судорог или судорожных припадков у человека или животного. 6. Соединение по п.1 или его фармацевтически приемлемая соль, отличающееся тем, что оно предназначено для изготовления лекарственного средства для лечения эпилептических припадков у человека или животного. 7. 4-(4′-Фторфенокси)бензальдегид семикарбазон или его фармацевтически приемлемая соль. 8. 4-(3,4-Дихлорфенокси)бензальдегид семикарбазон или его фармацевтически приемлемая соль. 9. Соединение, выбранное из группы, состоящей из 4-(2-метилфенокси)бензальдегид семикарбазона, 4-(3-метилфенокси)бензальдегид семикарбазона и 4-(4-метилфенокси)бензальдегид семикарбазона, или его фармацевтически приемлемая соль. 10. Композиция, обладающая противосудорожной активностью, отличающаяся тем, что она содержит соединение общей формулы ![]() где R1, R2, R3 и R4 могут быть идентичными или различаться и каждый из них представляет собой водород, галоген, C1-9 алкил, циано, C1-9 алкокси, или феноксигруппу; R5 представляет собой водород или C1-9 алкил; Х представляет собой кислород или серу при условии, что а) по крайней мере один из радикалов R1, R2, R3 или R4 не является водородом, а является другим заместителем или b) R5 не является водородом, метилом или этилом, а является другим заместителем, или его фармацевтически приемлемую соль и фармацевтически приемлемый наполнитель. 11. Композиция по п.10, отличающаяся тем, что по крайней мере один из радикалов R1 и R2 является водородом или галогеном, каждый из радикалов R3 и R4 является водородом, R5 – водородом или С1-3 алкилом и Х является кислородом. 12. Композиция по п.10, отличающаяся тем, что по крайней мере один из R1 и R2 является фтором, R5 – водородом и Х является кислородом. 13. Композиция по п.10, отличающаяся тем, что указанное соединение представляет собой 4-(4′-фторфенокси)бензальдегид семикарбазон или его фармацевтически приемлемую соль. 14. Композиция по п.10, отличающаяся тем, что указанное соединение является одним из следующих соединений: 4-(4-бромфенокси)бензальдегид семикарбазон, 4-(4-иодфенокси)бензальдегид семикарбазон, 4-(4-метилфенокси)бензальдегид семикарбазон, 4-(4-цианофенокси)бензальдегид семикарбазон, 4-(2-фторфенокси)бензальдегид семикарбазон, 4-(3-фторфенокси)бензальдегид семикарбазон, 4-(2,3-дифторфенокси)бензальдегид семикарбазон, 4-(2,4-дифторфенокси)бензальдегид семикарбазон, 4-(2,5-дифторфенокси)бензальдегид семикарбазон, 4-(2,6-дифторфенокси)бензальдегид семикарбазон, 4-(3,4-дифторфенокси)бензальдегид семикарбазон, 4-(3,4-дихлорфенокси)бензальдегид семикарбазон, 4-(4-хлор-2-фторфенокси)бензальдегид семикарбазон, 4-(2-хлор-4-фторфенокси)бензальдегид семикарбазон, 4-(2-бром-4-фторфенокси)бензальдегид семикарбазон, 4-(2-метилфенокси)бензальдегид семикарбазон, 4-(3-метилфенокси)бензальдегид семикарбазон, 4-(4-н-пропилфенокси)бензальдегид семикарбазон, 4-(4-втор-бутилфенокси)бензальдегид семикарбазон, 4-(4-трет-бутилфенокси)бензальдегид семикарбазон, 4-(4-фторфенокси)ацетофенон семикарбазон, 4-(4-бромфенокси)ацетофенон семикарбазон, 4-(4-фторфенокси)пропиофенон семикарбазон, 4-(4-бромфенокси)пропиофенон семикарбазон, 4-(4-фторфенилмеркапто)бензальдегид семикарбазон, 4-(4-хлорфенилмеркапто)бензальдегид семикарбазон, 4-(4-бромфенилмеркапто)бензальдегид семикарбазон, 4-(4-метилфенилмеркапто)бензальдегид семикарбазон, и 4-(4-фторфенилмеркапто)ацетофенон семикарбазон. РИСУНКИ
PC4A – Регистрация договора об уступке патента Российской Федерации на изобретение
Номер и год публикации бюллетеня: 22-2002
(73) Патентообладатель:
Дата и номер государственной регистрации перехода исключительного права: 02.04.2002 № 14220
Извещение опубликовано: 10.08.2002
MM4A Досрочное прекращение действия патента Российской Федерации на изобретение из-за неуплаты в установленный срок пошлины за поддержание патента в силе
Дата прекращения действия патента: 08.06.2004
Извещение опубликовано: 20.04.2006 БИ: 11/2006
|
||||||||||||||||||||||||||





(CDCl3): 9,94 (s, 1Н, CHO), 7,82-7,88 (2т, 2Н, орто H проксимального арильного кольца), 7,38-7,46 (3t, 2Н, мета H проксимального арильного кольца), 7,20-7,27 (3t, 1H, пара H дистального арильного кольца), 7,03-7,12 (3t, 4Н, орто и мета H дистального арильного кольца).
СИНТЕЗ КОНЕЧНЫХ СОЕДИНЕНИЙ
max и
для соединений определяют в 1-октаноле, а не в фосфатном буферном растворе pH 7,4, так как соединения характеризуются низкой растворимостью в воде.
ПРИМЕР 2
