Патент на изобретение №2173682
|
||||||||||||||||||||||||||
(54) АНАЛОГИ ВИТАМИНА D3, ФАРМАЦЕВТИЧЕСКАЯ КОМПОЗИЦИЯ
(57) Реферат: Описываются новые производные витамина D3 формулы I, где R – T, F или ОН, R2 – Н, низший алкил, галоген, Х – = СН2 или, когда R2 – ОН, Х – (Н, Н) или = СН2, и А обозначает -C C-, или – СН2 -СН2 -. Соединения индицируют дифференциацию и ингибируют пролиферацию линий клеток кожи и рака, в частности для лечения гиперпролиферативных заболеваний кожи, неопластических заболеваний, заболеваний сальных желез и состояний, связанных с повреждениями кожи световым излучением. 2 с. и 10 з.п.ф-лы, 6 табл.
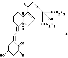
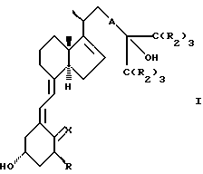
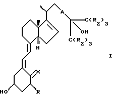
Настоящее изобретение относится к аналогам витамина D3, в частности к 20-эпи-16-ен-аналогам витамина D3 формулы ![]() где R обозначает водород, фтор или гидрокси, R2 обозначает водород, низший алкил или галоген, X обозначает = CH2 или, когда R обозначает гидрокси, X обозначает (H,H) или =CH2 и A обозначает -C C-, ![]() или -CH2-CH2-, при условии, что, когда A обозначает -CH2-CH2-, то R2 обозначает водород или низший алкил. Используемое в контексте настоящего описания понятие “низший алкил” означает алкильную группу с прямой или разветвленной цепью, содержащую 1-4 атома углерода, например метил, этил, пропил, изопропил, бутил, трет-бутил и т. п. Предпочтительно низший алкил обозначает метил или этил. “Галоген” обозначает фтор, йод, бром или хлор, предпочтительно фтор. Соединения формулы I индуцируют дифференциацию и ингибируют пролиферацию различных линий клеток кожи и рака. Следовательно, соединения формулы I пригодны в качестве средств для лечения гиперпролиферативных заболеваний кожи, таких, как псориаз. Соединения формулы I также пригодны для лечения неопластических заболеваний, таких, как лейкемия или рак молочной железы, и заболеваний сальных желез, таких, как угри или себорейные дерматиты. Соединения формулы I, в частности 1 -фтор-25-гидрокси -16,23E-диен-26,27-бисгомо-20-эпихолекальциферол, пригодны для лечения остеопороза.
Кроме того, местное нанесение на кожу пациента соединения формулы I приводит к реверсии состояний, вызванных повреждениями под воздействием светового излучения. Следовательно, при местном нанесении соединений формулы I на кожу пациентов, поврежденную в результате воздействия солнечного излучения, может быть осуществлена реверсия таких проявлений, как морщины, эластоз и преждевременное старение, что приводит к улучшению внешнего вида кожи. Другими словами, при местном применении соединений формулы I усиливается восстановление поврежденной кожи, что приводит к ее разглаживанию и омолаживанию.
Изобретение также относится к фармацевтической композиции, содержащей соединение формулы I и фармацевтически приемлемый носитель. Такие композиции могут быть использованы для индукции дифференцировки и ингибирования пролиферации линий клеток кожи и раковых клеток, в частности для лечения гиперпролиферативных заболеваний кожи, таких, как псориаз, неопластических заболеваний, таких, как лейкемия, и заболеваний сальных желез, таких, как угри, а также для реверсии состояний, вызванных повреждениями под воздействием светового излучения, в частности для местного лечения кожи, поврежденной вследствие воздействия солнечного излучения, приводящего к появлению морщин, эластозу и преждевременному старению. Изобретение также относится к применению соединений формулы I для изготовления лекарств, предназначенных для лечения вышеуказанных болезней и состояний. Изобретение также относится к способу получения соединений формулы I и промежуточных продуктов формулы XII.
В предпочтительном варианте R обозначает гидрокси. В соединении формулы I R2 предпочтительно обозначает водород или фтор. Предпочтительными соединениями формулы I являются:1,25-дигидрокси-16-ен-23-ин-20-эпихолекальциферол; 1,25-дигидрокси-16-ен-20-эпихолекальциферол; 1,25-дигидрокси-16-ен-23-ин-26,27-гексафтор-20-эпихолекальциферол; 1 -фтор-25-гидрокси-16,23Z-диен-26,27-гексафтор-20-эпихолекальциферол;1 -фтор-25-гидрокси-16-ен-23-ин-26,27-гексафтор-20-эпихолекальциферол;1,25-дигидрокси-16,23E-диен-26,27-гексафтор-20-эпихолекальциферол; 1,25-дигидрокси-16,23Z-диен-19-нор-26,27-гексафтор-20- эпихолекальциферол. Соединения формулы I получают согласно приведенным ниже схемам I-V и способам, описанным в примерах. Последняя стадия процесса получения соединений формулы I включает удаление защитных групп у соответствующих соединений, содержащих гидроксильные группы, защищенные силильной группой. На приведенной в конце описания схеме I известное соединение формулы II (В.М. Trost, P.R. Bernstein, P.C. Funfschilling, J. American Chemical Society, 101. 4378 (1979)) превращают в соединение формулы III взаимодействием с уксусным ангидридом, пиридином и диметиламинопиридином в хлорированном углеводородном растворителе, таком, как дихлорметан. Реакцию осуществляют при температуре от 0 до 50oC, предпочтительно при комнатной температуре, предпочтительно в атмосфере аргона. Соединение формулы III превращают в соединение формулы IV взаимодействием с основанием, таким, как карбонат натрия, в спиртовом растворителе, таком, как метанол, предпочтительно в атмосфере аргона. Соединение формулы IV превращают в соединение формулы V взаимодействием с оксалилхлоридом и диметилсульфоксидом в хлорированном углеводородном растворителе, таком, как дихлорметан, в атмосфере аргона. Соединение формулы V превращают в соединение формулы VI взаимодействием с бензальацетоном, в присутствии в качестве катализатора палладия на угле. Соединение формулы VI превращают в соединение формулы VII взаимодействием с 3-триметилсилилпропиналем и с кислотой Льюиса, такой, как диметилалюминийхлорид, в хлорированном углеводородном растворителе, таком, как дихлорметан. Соединение формулы VII превращают в соединение формулы VIII взаимодействием соответствующего фенилтионокарбоната с гидридом три-н-бутилолова и триэтилбораном в толуоле. Соединение формулы VIII превращают в соединение формулы IX взаимодействием с основанием, таким, как, гидроксид натрия, в спиртовом растворителе, таком, как этанол. Реакцию осуществляют в диапазоне температур от 50 до 100oC, предпочтительно при 80oC. Соединение формулы IX превращают в соединение формулы X взаимодействием с 1-(триметилсилил)имидазолом, в хлорированном углеводородном растворителе, таком, как безводный метиленхлорид. Соединение формулы X превращают в соединение формулы XI взаимодействием с соответствующим соединением формулы ![]() где R’2 обозначает водород или низший алкил, в присутствии основания, такого, как н-бутиллитий. Реакцию предпочтительно осуществляют при температуре -78oC. Если получают соединения формулы I, в которых R2 обозначает галоген, то соединение формулы X подвергают взаимодействию с галогенированным ацетоном, таким, как гексафторацетон, в присутствии основания, такого, как н-бутиллитий. Соединение формулы XI превращают в соответствующее соединение формулы XII взаимодействием с тетрабутиламмонийфторидом в растворителе, представляющем собой простой эфир, такой, как тетрагидрофуран. На приведенной в конце описания схеме II соединение формулы XII превращают в соответствующее соединение формулы XIII взаимодействием с окислителем, таким, как пиридинийдихромат, в хлорированном углеводородном растворителе, таком, как безводный метиленхлорид. Соединение формулы XIII превращают в соответствующее соединение формулы XIV взаимодействием с 1-(триметилсилил)имидазолом в хлорированном углеводородном растворителе, таком, как безводный метиленхлорид. Соединение формулы XIV превращают в соответствующее соединение формулы Iа, в котором R обозначает гидрокси и X обозначает = CH2, взаимодействием с [3S-(1Z 3 ,5 )]-[2-[3,5-бис[[(1,1-диметилэтил) диметилсилил]окси]-2-метиленциклогексилиден] этил]дифенилфосфиноксидом в растворителе, представляющем собой простой эфир, такой, как тетрагидрофуран, в присутствии н-бутиллития в качестве основания.
В альтернативном варианте соединение формулы XIV превращают в соответствующее соединение формулы Iа, в котором R обозначает водород, взаимодействием с [(5S,Z)-2-[2-[2-метилен-5-[[(1,1-диметилэтил) диметилсилил]окси] циклогексилиден] этил] дифенилфосфиноксидом в растворителе, представляющем собой простой эфир, такой, как тетрагидрофуран, в присутствии н-бутиллития в качестве основания.
В альтернативном варианте соединение формулы XIV превращают в соответствующее соединение формулы Iа, в котором R обозначает фтор, взаимодействием с [3S-( 3 ,5 Z)-2-[2-метилен-3-фтор-5- [[(1,1-диметилэтил)диметилсилил] окси] циклогексилиден]этил] дифенилфосфиноксидом в растворителе, представляющем собой простой эфир, такой, как тетрагидрофуран, в присутствии н-бутиллития в качестве основания.
В альтернативном варианте соединение формулы XIV превращают в соответствующее соединение формулы Iа, в котором R обозначает гидрокси и X, обозначает водород, взаимодействием с [3R-( 3 ,5 Z)-3,5-бис[[(1,1-диметилэтил)диметилсилил]окси] циклогексилиден]этил]дифенилфосфиноксидом в растворителе, представляющем собой простой эфир, такой, как тетрагидрофуран, в присутствии н-бутиллития в качестве основания.
На приведенной в конце описания схеме III соединение формулы XII восстанавливают до соответствующего соединения формулы XV взаимодействием с водородом и катализатором Линдлара в органическом растворителе, таком, как комбинация этилацетата, гексана и этанола, в присутствии хинолина.
Соединение формулы XV превращают в соответствующее соединение формулы XVI взаимодействием с водородом в присутствии катализатора, такого, как 1,4-бис(дифенилфосфин)бутан-1,5- циклооктадиенродийтетрафторборат и ртуть, в хлорированном углеводородном растворителе, таком, как метиленхлорид.
Соединение формулы XVI окисляют до соответствующего соединения формулы XVII взаимодействием с пиридинийдихроматом в хлорированном углеводородном растворителе, таком, как метиленхлорид.
Соединение формулы XVII превращают в соответствующее соединение формулы XVIII взаимодействием с 1-(триметилсилил)имидазолом в хлорированном углеводородном растворителе, таком, как безводный метиленхлорид.
Соединение формулы XVIII превращают в соответствующее соединение формулы Ib, в котором R обозначает гидрокси и X обозначает =CH2, взаимодействием с [3S-(1Z, 3 ,5 )]-[2-[3,5-бис[[(1,1-диметилэтил) диметилсилил]окси]-2-метиленциклогексилиден] этил] дифенилфосфиноксидом в присутствии н-бутиллития в качестве основания при температуре -78oC в безводном тетрагидрофуране в качестве растворителя.
В альтернативном варианте соединение формулы XVIII превращают в соответствующее соединение формулы Ib, в котором R обозначает гидрокси и X обозначает водород, взаимодействием с [3R-( 3 ,5 Z) -3,5-бис[[(1,1-диметилэтил)диметилсилил] окси] циклогексилиден] этил] дифенилфосфиноксидом в присутствии н-бутиллития в качестве основания в безводном тетрагидрофуране в качестве растворителя.
В альтернативном варианте соединение формулы XVIII превращают в соответствующее соединение формулы Ib, в котором R обозначает фтор, взаимодействием с [3S-( 3 ,5 Z)-[2-2-[2-метилен-3-фтор-5- [[(1,1-диметилэтил)диметилсилил] окси]циклогексилиден]этил] дифенилфосфиноксидом в присутствии н-бутиллития в качестве основания в безводном тетрагидрофуране в качестве растворителя, при температуре -78oC.
В альтернативном варианте соединение формулы XVIII превращают в соответствующее соединение формулы Ib, в котором R обозначает водород, взаимодействием с [(5S,Z)-2-[2-[2-метилен-5- [[(1,1-диметилэтил)диметилсилил]окси]циклогексилиден]этил] дифенилфосфиноксидом в присутствии н-бутиллития в качестве основания в безводном тетрагидрофуране в качестве растворителя, при температуре -78oC.
На приведенной в конце описания схеме IV соединение формулы XII превращают в соответствующее соединение формулы XIX взаимодействием с восстановителем, таким, как алюмогидрид лития, в растворителе, представляющем собой простой эфир, такой, как тетрагидрофуран, в присутствии метоксида натрия в качестве основания.
Соединение формулы XIX превращают в соответствующее соединение формулы XX взаимодействием с оксилителем, таким, как пиридинийдихромат, в хлорированном углеводородном растворителе, таком, как метиленхлорид.
Соединение формулы XX превращают в соответствующее соединение формулы XXI взаимодействием с 1-(триметилсилил)имидазолом в хлорированном углеводородном растворителе, таком, как метиленхлорид.
Соединение формулы XXI превращают в соответствующее соединение формулы Ic, в котором R обозначает гидрокси и X обозначает =CH2, взаимодействием с [3S-(1Z, 3 ,5 ]-[2-[3,5-бис[[(1,1-диметилэтил) диметилсилил]окси]-2-метиленциклогексилиден] этил] дифенилфосфиноксидом в растворителе, представляющим собой простой эфир, такой, как тетрагидрофуран, в присутствии основания, такого, как н-бутиллитий.
В альтернативном варианте соединение формулы XXI превращают в соответствующее соединение формулы Ic, в котором R обозначает гидрокси и X обозначает водород, взаимодействием с [3R-( 3 ,5 Z) -3,5-бис[[(1,1-диметилэтил)диметилсилил] окси] циклогексилиден]этил] дифенилфосфиноксидом в растворителе, представляющем собой простой эфир, такой, как тетрагидрофуран, в присутствии основания, такого, как н-бутиллитий.
В альтернативном варианте соединение формулы XXI превращают в соответствующее соединение формулы Ic, в котором R обозначает водород, взаимодействием с [(5S,Z)-2-[2-[2-метилен-5-[[(1,1- диметилэтил)диметилсилил]окси] циклогексилиден] этил] дифенилфосфиноксидом в растворителе, представляющем собой простой эфир, такой, как тетрагидрофуран, в присутствии основания, такого, как н-бутиллитий.
В альтернативном варианте соединение формулы XXI превращают в соответствующее соединение формулы Ic, в котором R обозначает фтор, взаимодействием с [3S-( 3 ,5 Z)-2-[2-[2-метилен-3-фтор-5- [[(1,1-диметилэтил)диметилсилилтокси] циклогексилиден] этил] дифенилфосфиноксидом в растворителе, представляющем собой простой эфир, такой, как тетрагидрофуран, в присутствии основания, такого, как н-бутиллитий.
На приведенной в конце описания схеме V соединение формулы XII превращают в соответствующее соединение формулы XXII путем гидрирования с помощью катализатора Линдлара в присутствии хинолина в смеси растворителей, такой, как комбинация этилацетата, гексана и этанола.
Соединение формулы XXII превращают в соответствующее соединение формулы XXIII взаимодействием с оксилителем, таким, как пиридинийдихромат, в хлорированном углеводородном растворителе, таком, как метиленхлорид.
Соединение формулы XXIII превращают в соответствующее соединение формулы XXIV взаимодействием с 1-(триметилсилил)имидазолом в хлорированном углеводородном растворителе, таком, как метиленхлорид.
Соединение формулы XXIV превращают в соответствующее соединение формулы Id, в котором R обозначает гидрокси и X обозначает CH2, взаимодействием с [3S-(1Z, 3 ,5 )] -[2-[3,5-бис[[(1,1-диметилэтил) диметилсилил]окси]-2-метиленциклогексилиден] этил] дифенилфосфиноксидом в растворителе, представляющем собой простой эфир, такой, как тетрагидрофуран, в присутствии основания, такого, как н-бутиллитий.
В альтернативном варианте соединение формулы XXIV превращают в соответствующее соединение формулы Id, в котором R обозначает гидрокси и X обозначает водород, взаимодействием с [3R-( 3 ,5 , Z)-3,5-бис[[(1,1-диметилэтил)диметилсилил] окси] циклогексилиден]этил]дифенилфосфиноксидом в тетрагидрофуране, в присутствии основания, такого, как н-бутиллитий.
В альтернативном варианте соединение формулы XXIV превращают в соответствующее соединение формулы Id, в котором R обозначает водород, взаимодействием с [(5S,Z)-2-[2-[2-метилен-5-[[(1,1-диметилэтил) диметилсилил]окси] циклогексилиден] этил] дифенилфосфиноксидом в растворителе, представляющем собой простой эфир, такой, как тетрагидрофуран, в присутствии основания, такого, как н-бутиллитий.
В альтернативном варианте соединение формулы XXIV превращают в соответствующее соединение формулы Id, в котором R обозначает фтор, взаимодействием с [3S-( 3 ,5 Z)-2-[2-[2-метилен-3-фтор-5-[[(1,1- диметилэтил)диметилсилил]окси]циклогексилиден]этил] дифенилфосфиноксидом в растворителе, представляющем собой простой эфир, такой, как тетрагидрофуран, в присутствии основания, такого, как н-бутиллитий.
Соединения формулы I можно применять оральным введением, например, в форме таблеток, таблеток с покрытием, драже, желатиновых капсул с мягким или твердым покрытием, растворов, эмульсий или суспензий. Кроме того, введение можно осуществлять ректальным путем, например, в форме суппозиториев, либо парентерально, например, в форме растворов для инъекции.
Композиции по изобретению могут быть приготовлены с фармацевтически инертными, неорганическими или органическими эксципиентами, пригодными для изготовления таблеток, таблеток с покрытием, драже и желатиновых капсул с твердым покрытием. Лактоза, кукурузный крахмал или его производные, тальк, стеариновая кислота или ее соли и т.п. могут применяться в качестве таких эксципиентов, например для таблеток, драже и желатиновых капсул с твердым покрытием. Пригодными эксципиентами для желатиновых капсул с мягким покрытием являются, например, растительные масла, воски, жиры, полутвердые и жидкие полиоли и т.п., что зависит от природы действующего вещества. Однако в случае желатиновых капсул с мягким покрытием обычно не требуется никаких эксципиентов. Пригодными эксципиентами для получения растворов и сиропов являются, например, вода, полиоли, сахароза, инвертный сахар, глюкоза и т.д.
Пригодными эксципиентами для растворов для инъекций являются, например, вода, спирты, полиоли, глицерин, растительные масла и т.п.
Пригодными эксципиентами для суппозиториев являются, например, природные или гидрогенизированные масла, воски, жиры, полутвердые или жидкие полиоли и т.п.
Кроме того, фармацевтические композиции могут содержать консерванты, растворители, стабилизаторы, смачивающие агенты, эмульгаторы, подслащивающие вещества, красители, корригенты, соли для изменения осмотического давления, буферы, маскирующие агенты или антиоксиданты.
Для лечения неопластических заболеваний, таких, как лейкемия, соединения формулы I, как они описаны выше, могут применяться путем орального введения или инъекции теплокровным животным, нуждающимся в таком лечении. В частности, соединения формулы I, как они описаны выше, могут применяться для лечения неопластических заболеваний, таких, как лейкемия или рак молочной железы, путем орального введения взрослому человеку в дозах, составляющих от приблизительно 0,25 до 50 мкг/день.
Для лечения гиперпролиферативных заболеваний кожи, таких, как псориаз, карциномы базальных клеток, нарушения кератинизации и кератоз, соединения формулы I, как они описаны выше, могут применяться путем орального введения теплокровным животным, нуждающимися в таком лечении. В частности, соединения формулы I, как они описаны выше, могут применяться для лечения гиперпролиферативных заболеваний кожи, таких, как псориаз, карциномы базальных клеток, нарушения кератинизации и кератоз, путем орального введения взрослому человеку в дозах, составляющих приблизительно 0,25-50 мкг/день. Эти соединения могут применяться орально для лечения угрей у людей в дозах, составляющих приблизительно 0,25-50 мкг/день, предпочтительно от 0,5 до 5 мкг/день.
Для лечения гиперпролиферативных заболеваний кожи, таких, как псориаз, карцинома базальных клеток, нарушения кератинизации и кератоз, соединения формулы I, как они описаны выше, могут использоваться для местного применения на теплокровных животных, нуждающихся в таком лечении. В частности, соединения формулы I, как они описаны выше, могут использоваться для местного применения в суточных дозах, составляющих от приблизительно 0,5 до приблизительно 100 мкг/г композиции для местного применения, при лечении гиперпролиферативных заболеваний кожи, таких, как псориаз, карцинома базальных клеток, нарушения кератинизации и кератоз.
Соединения формулы I, как они описаны выше, могут использоваться для местного применения при лечении заболеваний сальных желез, таких, как угри или себорейный дерматит.
Соответствующая активность соединений формулы I в качестве средств для лечения неопластических заболеваний может быть проиллюстрирована на примере следующих экспериментов.
Дифференциация клеток HL-60Индукцию дифференциации клеток HL-60 определяли путем измерения импульсной активности их окислительного потенциала при восстановлении NBT (нитросинего тетразолия). Клетки HL-60 выращивали в среде RPMI 1640, дополненной 10%-ной фетальной телячьей сывороткой (ФТС), 2 мМ L-глутамина, 1 мМ пирувата натрия, 1% заменимых аминокислот, 50 МЕ/мл пенициллина и 50 мкг/мл стрептомицина (RPMI/ФТС). Клетки HL-60 (30000 клеток/90 мкл дополненной среды RPMI) высевали в плоскодонные лунки для микротитрования. Сразу после посева в лунки одновременно добавляли по 10 мкл исследуемых соединений, растворенных в дополненной среде RPMI, для получения конечных концентраций в диапазоне от 10-11 до 10-6 М (используя в качестве исходных маточные растворы с концентрацией 10-2 М в этаноле, хронившиеся при -20oC в защищенном от света месте). Через 3 дня среду удаляли из лунок с помощью многоканальной пипетки и замещали 100 мкл раствора NBT (1 мг/мл забуференного фосфатом физиологического раствора ((ЗФР) с 200 нМ форболмиристатацетата (ФМА)). После дополнительной инкубации в течение 1 ч при 37oC раствор NBT удаляли и добавляли 100 мкл 10%-ного раствора додецилсульфата натрия (ДСН) в 0,01н. HCl. Количество восстановленного NBT определяли фотометрически при 540 нм с использованием автоматического планшет-ридера. Вычисляли средние значения по 3 лункам. Среднеквадратическая ошибка составляла 5-10%. Данные выражали в виде процента от максимальной дифференциация клеток, достигаемой с использованием 100-1000 нМ кальцитриола в таком же эксперименте. Концентрацию (нМ), дающую 50% от этого максимального значения, определяли графически, и она приведена в виде ED50 в таблице I. Антипролиферативная активность в отношении T47-D- и MCF-7- клеток карциномы молочной железы Данные о двух линиях клеток, использованных в этих экспериментах, и условия, необходимые для их роста, приведены ниже. 1. Клетки карциномы молочной железы T47-D выращивали в среде RPMI 1640, дополненной 10 мкг/мл бычьего инсулина и 10%-ной фетальной бычьей сывороткой. 2. Клетки карциномы молочной железы MCF-7 выращивали в среде MEM (модифицированная среда Игла), дополненной заменимыми аминокислотами, 1 мМ пирувата натрия, 10 мкг/мл бычьего инсулина и 10%-ной фетальной бычьей сывороткой. Клетки выращивали в соответствующей среде до поздней логарифмической фазы (~ 80%-ное слияние). Затем клетки T47-D и MCF-7 подвергали действию трипсина и высевали в концентрации 4000 или 2000 клеток на лунку соответственно. Через 24 ч после посева готовили серийные разбавления растворенных в этаноле лекарств в этой же самой среде и добавляли в лунки в трех повторностях в конечных концентрациях от 1000 до 0,1 нМ и 0,1%-ном этаноле. Через 3-7 дней после добавления лекарства в каждую лунку добавляли 50 мкл раствора МТТ [3-(4,5-диметилтиазол-2-ил)-2,5-дифенилтетразолий-бромид в забуференном aосфатом физиологическом растворе] в концентрации 5 мг/мл и инкубирование продолжали при 37oC в течение 2,5 ч. Затем планшеты подвергали центрифугированию в течение короткого промежутка времени при 800xg в течение 5 мин, путем аспирации удаляли среду из лунок и добавляли 50 мкл этанола на лунку для того, чтобы растворить формазановый продукт, образовавшийся во время инкубирования с МТТ. После встряхивания в течение 15 мин для каждой лунки определяли оптическую плотность с помощью автоматического планшет-ридера при 570 и 660 нм. Процент ингибирования роста клеток оценивали путем сравнения оптических плотностей клеток, обработанных исследуемыми соединениями, и плотностей клеток, обработанных только 0,1%-ным этанолом. Значения IC50 определяли на основе формулы Reed и Muench (Reed L.J. и H. Muench, A simple method of estimating fifty percent endpoint. Am. J. Hyg. 27: 493-497 (1938)), а полученные при этом результаты представлены ниже в таблице II. Соответствующая активность соединений формулы I в качестве средств для лечения гиперпролиферативного заболевания кожи может быть проиллюстрирована следующим образом. Ингибирование пролиферации кератиноцитов Линия клеток НаСаТ: использовали иммортализованную линию клеток человека НаСаТ. Включение 3H-тимидина измеряли в экспоненциально растущих культурах через 6 дней после начала культивирования в присутствии исследуемого соединения. Культура клеток: клетки НаСаТ культивировали в модифицированной по способу Дульбекко среде Игла (DMEM) и питательной смеси Хама F-12 (F-12), в соотношении 3:1 (объем/объем, ICN), содержащей 4,5 г/л глюкозы и дополненной 10%-ной фетальной телячьей сывороткой (ФТС, фирма Gibco), L-глютамином (2 мМ, фирма Gibco), пенициллином (50 МЕ/мл, фирма Gibco), стрептомицином (50 мкг/мл, фирма Gibco), эпидермальным фактором роста (EGF) (10 нг/мл), гидрокортизоном (400 нг/мл), холерным токсином (8,5 нг/мл) и инсулином (5 нг/мл). Клетки выращивали в увлажненной атмосфере, содержащей 5% CO2 и 95% воздуха, и пассировали каждые 3-4 дня. Ингибирование поглощения 3H-тимидина: клетки НаСаТ (250 клеток в полной среде для культивирования) высевали в 96-луночные планшеты для культивирования и инкубировали в течение 6 дней при 37oCв атмосфере, содержащей 5% CO2 и 95% воздуха. Ингибиторы, растворенные в 10-кратной концентрации в 1%-ном этаноле, добавляли непосредственно в начале опыта. 3H-тимидин (5 Ки/ммоль, фирма Amersham) добавляли в концентрации 1 мкКи на лунку и клетки импульсно метили в последние 6 ч периода роста. Затем клетки обрабатывали трипсином в течение 10 мин при 37oC при интенсивном перемешивании и собирали на 96-луночный фильтровальный планшет типа GF/C (Uni Filter, фирма Packard), используя харвестер клеток типа Micro Mate 196 (фирма Packard). После сушки при 40oC в вакууме в течение 20-30 мин добавляли 20 мкл сцинтиллятора Micro Scint 0 (фирма Packard) и с помощью TOP COUNT (фирма Packard) подсчитывали радиоактивность, связанную с фильтрами. Результаты приведены в таблице III. Соответствующая активность соединений формулы I в качестве средств для лечения заболеваний сальных желез может быть проиллюстрирована следующим образом. Ингибирование пролиферации себоцитов человека in vitro Жировые клетки выделяли из сальных желез взрослого человека с помощью комбинации ферментативных и механических методов (Doran и др., Characterization of Human Sebaceous Cell In Vitro, J. Invest. Dermatol. 96: 341-8 (1991)). Клетки культивировали в среде Искова, содержащей 10%-ную фетальную телячью сыворотку и 4 мкг/мл дексаметазона на слое ЗТЗ-фибробластов мышей с замедленным ростом. Клетки высевали в среду без исследуемого соединения и затем через 24-48 ч после первоначального посева вводили исследуемое соединение в свежей среде. В культуры каждые 48 ч добавляли свежую среду, содержащую исследуемое соединение. В день сбора культуры промывали 0,03%-ной ЭДТК (этилендиаминотетрауксусная кислота) в ЗФР (забуференный фосфатом физиологический раствор) для удаления только ЗТЗ-фибробластов с последующей инкубацией в 0,05%-ном трипсине/0,03%-ной ЭДТК. Клетки суспендировали, интенсивно перемешивали для получения суспензии одиночных клеток и подсчитывали с помощью гемоцитометра. Маточные растворы соединений готовили в виде 10 -2 М растворов в дегазированном 100%-ном этаноле и хранили в темноте при -20oC. Во время эксперимента растворы, взятые в аликвотных количествах, доводили до комнатной температуры и применяли, непосредственно разбавляя до соответствующей концентрации в полной среде. Способность соединений ингибировать in vitro рост пролиферации жировых клеток изучали в концентрациях 10-6, 10-7 и 10-8 М. Результаты представлены в таблице IV в виде количества соединения, необходимого для ингибирования пролиферации жировых клеток на 50% (ED50) (в нМ) по сравнению с культурой, обработанной только носителем. Тест на толерантность мышей к кальцию Выраженные изменения в гомеостазе кальция оказывают сильные воздействия на прибавление веса у мышей. Мышам (весом 25-30 г) ежедневно подкожно вводили соединение в течение 4 последовательных дней. Вес тела регистрировали непосредственно перед обработкой и в конце пятого дня периода обработки. “Наиболее высокая доза, к которой еще проявляется толерантность” (ВТД), представляет собой дозу, которая приводит к нулевому прибавлению веса в течение этого периода обработки. Результаты приведены ниже в таблице V. Соединения формулы I при местном нанесении на кожу приводят к реверсии состояний, обусловленных повреждениями под воздействием светового излучения, уменьшая и замедляя повреждение кожи, вызванное солнечным излучением. Повреждение, вызванное солнечным излучением, может включать преждевременное старение, эластоз и образование морщин. Это повреждение более выражено у пожилых пациентов. В результате местного нанесения соединений формулы I на кожу в количестве, эффективном для реверсии состояний, обусловленных повреждениями под воздействием светового излучения, происходит ускоренное восстановление кожи, что приводит к ее разглаживанию и омолаживанию. Соединения формулы I следует наносить на те участки кожи, которые подвержены повреждению, вызванному световым излучением, или на те участки кожи, которые требует такого лечения. Применение соединений формулы I в соответствии с настоящим изобретением может оказывать благоприятные воздействия в отношении предотвращения процесса старения кожи и образования морщин, а также усиливать восстановление кожи, поврежденной солнечным излучением. Соединение формулы I или комбинация соединений формулы I в соответствии с настоящим изобретением могут быть нанесены на кожу человека в виде традиционных композиций, предназначенных для местного применения. Эти композиции могут использоваться для нанесения соединений формулы I на кожу тела, в частности лица, ног, рук и кистей рук. Для достижения наилучших результатов местное применение соединений формулы I предпочтительно начинать при возрасте пациента от 30 до 55 лет, т.е. когда эластоз начинает проявляться и становится более выраженным. Впоследствии эта композиция может постоянно применяться пациентами для снижения воздействий и повреждений, связанных с солнечным излучением. В целом лечение предпочтительно начинать, когда пациент достигнет приблизительно 30-летнего возраста, и продолжать лечение в течение всей его жизни с целью уменьшить проявление эластоза и дальнейшее развитие любого повреждения, связанного с воздействием светового излучения. Соединения формулы I могут применяться в соответствии с настоящим изобретением в виде любой традиционной, пригодной для местного применения препаративной формы, т.е. в сочетании с любым традиционным носителем, пригодным для местного применения. Таким образом, соединения формулы I могут применяться в соответствии с настоящим изобретением в виде любой пригодной для местного применения композиции, такой, как крем, мазь, мыло, раствор, лосьон, эмульсия, шампунь и т.п. В целом для получения наиболее эффективных результатов эти композиции для местного применения содержат от приблизительно 0,00001 мас.% до приблизительно 0,1 мас.% по отношению к общей массе композиции соединения формулы I, причем количества от приблизительно 0,0001 мас. % до приблизительно 0,1 мас.% по отношению к общей массе композиции являются особенно предпочтительными. При необходимости могут использоваться более высокие концентрации в зависимости от природы и степени эластоза. При изготовлении таких композиций может быть использовано любое традиционное нетоксичное, приемлемое с дерматологической точки зрения основание или носитель, в котором соединение формулы I стабильно. Предпочтительными композициями для применения согласно настоящему изобретению являются традиционные косметические композиции, которые могут содержать активный в косметическом отношении ингредиент, который местно наносят на кожу человека для получения косметического эффекта. Традиционными активными в косметическом отношении веществами, которые могут применяться в этой композиции, являются солнцезащитные вещества, усилители проникновения, увлажнители, поверхностно-активные вещества, смягчающие вещества, красители, кондиционеры, бактерициды, вяжущие средства, детергенты и т.п. Композиции для местного применения по настоящему изобретению могут при необходимости содержать пригодные солнцезащитные агенты. Для приготовления композиций, содержащих соединения формулы I, которые могут использоваться в соответствии с настоящим изобретением, может применяться любой традиционный солнцезащитный агент. Такие композиции для местного применения, которые содержат соединения формулы I, могут содержать любые традиционные эксципиенты и добавки, обычно используемые при изготовлении композиций для местного применения. Традиционные добавки или эксципиенты, которые могут применяться при изготовлении этих косметических композиций по настоящему изобретению, включают консерванты, загустители, отдушки и т.п. Кроме того, в эти композиции могут быть включены традиционные антиоксиданты, такие, как бутилированные гидроксианизолы (БГА), аскорбилпалмитат, пропилгаллат, лимонная кислота, бутилированный гидрокситолуол (БГТ), этоксиквин, токоферол и др. подобные соединения, которые могут быть включены в эти композиции. Эти композиции для местного применения могут содержать традиционные приемлемые носители для местных применений, которые обычно используются в таких композициях. Эти композиции могут содержать загустители, увлажнители, эмульгирующие агенты и стабилизаторы вязкости, т.е. такие, которые обычно используются на практике. Кроме того, эти композиции могут содержать корригенты, красители и отдушки, которые традиционно используются для изготовления косметических композиций. Композиции для местного применения, содержащие соединения формулы I, могут наноситься на кожу и предпочтительно должны наноситься на кожу один раз в день. Для обеспечения реверсии эластоза и разглаживания и омолаживания кожи композиции для местного применения должны наноситься предпочтительно в течение 6 месяцев. После этого применение композиции, содержащей соединения формулы I, должно быть продолжено, чтобы поддерживать кожу более молодой и гладкой. Эти препараты могут наноситься в соответствии с особенностями каждого конкретного пациента, что определяется лечащим врачом. В любом случае конкретный режим применения этой композиции пациентом обычно должен зависеть от возраста, веса и состояния кожи индивидуума. Соответствующая активность соединения формулы I для реверсии повреждения кожи световым излучением при инсоляции кожи может быть проиллюстрирована следующим образом. Восстановление с помощью соединений формулы I, вызванного УФ-излучением повреждения кожи у лишенных шерсти мышей Лишенных шерсти мышей (самки, линия HRS/J, фирма Jackson Labs, возраст которых к началу эксперимента составлял 5-7 недель) содержали в условиях освещения желтым светом и облучали три раза в неделю набором из 8 ламп “горное солнце” фирмы Westinghouse (FS72T12 HO, пик излучения при 313 нм), которые были размещены на высоте приблизительно 20 см над животными. Мощность УФ-излучения измеряли с помощью радиометра типа International Light Research Radiometer модели IL 1700, используя детектор SEE240. При использовании этой установки мощность лампы составляла приблизительно 3,5 мВт/см2, а время экспозиции при 0,06 Дж/см2 составляло приблизительно 17 с; 1 МЭД равна приблизительно 0,03 Дж/см2. Точную дозу получали с помощью системы контроля IL 844А Phototheraphy Exposure Control. Суточные дозы составляли 0,03 Дж/см2 в течение 2 недель, 0,06 Дж/см2 в течение 2 недель, а затем 0,08 Дж/см2 до тех пор, пока не накапливалась общая доза приблизительно 4 Дж/см2. Для достижения эффекта восстановления повреждения кожи УФ-облучение прекращали и животных разделяли на группы, состоящие приблизительно из 8 особей, и обрабатывали три раза в неделю различными концентрациями аналогов витамина D, растворенных в этаноле. Все обработки осуществляли в условиях освещения желтым светом. В эксперименте также использовали контрольную группу, обработанную только ацетоном. Из центра облученной (и обработанной) зоны кожи спины вырезали продольные полоски длиной два сантиметра. Волокна эластина окрашивали фуксиновым альдегидом Луна, а коллаген окрашивали по методу Van Gieson. С использованием этой модели восстановление определяют по появлению нормализованного дермиса, распространяющегося от эпидермиса вниз к слою сжатого эластина. Ширина этой зоны отражает степень восстановления. Поскольку ширина этой зоны значительно варьируется, то в этих исследованиях площадь зоны на гистологическом срезе стандартной длины измеряли с помощью метода анализа изображения. Соединения испытывали в трех дозах и оценивали аппроксимированные значения ED50. Результаты приведены в таблице VI. Соединение А представляет собой 1,25-дигидрокси-16,23E-диен-26,27-гексафтор-20-эпихолекальциферол. Ниже изобретение более подробно проиллюстрировано на примерах, которые не ограничивают его объем. Пример 1 К перемешиваемому магнитной мешалкой раствору, содержащему 14,06 г (25 ммолей) [1R [1 (S*),3a ,4 ,7a ] октагидро-4-гидрокси- -7a- диметил-1H-инден-1-этанола в 75 мл дихлорметана, в атмосфере аргона добавляли 47 мл (33,8 г, 331 ммоль) уксусного ангидрида, а затем 53,5 мл пиридина и 1,0 г диметиламинопиридина. Через 3,5 ч добавляли 25 мл метанола. Через 15 мин реакционную смесь сливали в 750 мл 1М фосфорной кислоты и добавляли 400 мл дихлорметана. Фазы разделяли и водную фазу еще 2 раза экстрагировали 500 мл дихлорметана. Органические фазы промывали 250 мл воды, а затем 750 мл 1М бикарбоната натрия, получая после сушки над Na2SO4, фильтрации и упаривания 19,85 г (количественный выход) [1R- [1 (S*),3a ,4 ,7a ] ]-4- (ацетилокси)октагидро- -7a-диметил-1H-инден-1-этанолацетата в виде белого твердого вещества.
Пример 2К перемешиваемому магнитной мешалкой раствору, содержащему 20,81 г (20,6ммоля) [1R-[ [1 (S*),3a ,4 ,7a ] ]-4-(ацетилокси)октагидро- -7a-диметил-1H-инден-1-этанолацетата в 200 мл метанола, в атмосфере аргона добавляли 8,18 г (77,2 ммоля) карбоната натрия. Суспензию перемешивали в течение 16 ч и затем большую часть метанола удаляли при пониженном давлении на роторном испарителе. Концентрат распределяли между 300 мл воды и 250 мл простого эфира. Водную фазу еще 3 раза экстрагировали 250 мл простого эфира и эфирные фазы промывали 300 мл воды, сушили над Na2SO4, фильтровали и упаривали, получая 18,02 г неочищенного продукта. С помощью жидкостной хроматографии (ЖХ) среднего давления (Waters 500) путем элюирования смесью гексан-этилацетат (2:1) получали 1,42 г негидролизованного диацетата, 16,08 г (выход 90%) [IR-[ [1 (S*),3a ,4 ,7a ] ]-4-(ацетилокси)октагидро- -7a-диметил-1H-инден-1-этанола в виде бесцветного масла.
Пример 3В двухлитровую трехгорлую колбу, снабженную магнитной мешалкой, термометром и капельной воронкой, с атмосферой аргона внутри нее загружали 6,62 мл (75,8 ммоля) оксалилхлорида в 50 мл дихлорметана. Колбу охлаждали до -65oC в бане с сухим льдом-ацетоном, затем быстро по каплям в течение 20 мин, поддерживая температуру на уровне от -62 до -63oC, добавляли раствор, содержащий 10,7 мл (151 ммоль) диметилсульфоксида в 125 мл дихлорметана. После завершения добавления реакционную смесь дополнительно перемешивали в течение 5 мин, затем по каплям в течение 20 мин, поддерживая температуру на уровне -65oC, добавляли раствор, содержащий 16,0 г [1R- [ [1 (S*),3a ,4 ,7a ] ]-4-(ацетилокси)октагидро- -7a-диметил-1H-инден-1-этанола в 200 мл дихлорметана (высушенный с помощью молекулярных сит с диаметром пор 4 . В процессе добавления образовывался осадок. После дополнительной выдержки в течение 20 мин при -70oC добавляли в течение 15 мин раствор, содержащий 42,1 мл (302 ммоля) триэтиламина в 75 мл безводного дихлорметана. Суспензию перемешивали в течение 45 мин, удаляли охлаждающую баню и реакционной смеси давали нагреться до комнатной температуры (в течение 1,5 ч). Большую часть дихлорметана удаляли на роторном испарителе при пониженном давлении (баня с комнатной температурой) и остаток уравновешивали с помощью 500 мл воды и 750 мл простого эфира. Водную фазу три раза экстрагировали 750 мл простого эфира и эфирные фазы промывали методом противотока 500 мл воды, получая после сушки над Na2SO4, фильтрации и упаривания при пониженном давлении 15,36 г неочищенного продукта. С помощью хроматографии среднего давления на силикагеле с использованием в качестве элюента смеси гексан-простой эфир (4:1) (фракции, собранные в атмосфере азота) получали 14,95 г (выход 94%) [1R-[ [1 (S*),3a ,4 ,7a ] ] -4-(ацетилокси)октагидро- 7a-диметил-1H-инден-1-ацетальдегида в виде бесцветного масла.
Пример 4К перемешиваемому магнитной мешалкой раствору, содержащему 2,0 г (7,95 ммоля) [1R-[ [1 (S*),3a ,4 ,7a ] ]-4-(ацетилокси)октагидро- 7a-диметил-1H-инден-1-ацетальдегида в 10 мл простого эфира, в атмосфере аргона добавляли 100 мг 10%-ного палладия на угле. После выдержки в течение 20 мин при температуре окружающей среды суспензию фильтровали. Фильтрат упаривали при пониженном давлении. К остатку добавляли 1,40 г (9,5 ммоля) бензальацетона и 200 мг 10%-ного палладия на угле. Суспензию дегазировали путем вакуумирования колбы и повторного заполнения аргоном. Затем колбу частично погружали на 30 мин в масляную баню с температурой 230oC. После охлаждения содержимое колбы подвергали быстрой хроматографии на 100 г силикагеля для удаления более полярного бензальацетона и продукта его восстановления (бензилацетона) из равновесной смеси, состоящей из 17E– , 17Z-, 16– и 20– инденолефинов, которые присутствуют в соотношении 65:4:27:4 соответственно. С помощью хроматографии среднего давления на силикагелевых колонках, импрегнированных нитратом серебра (два погона), отделяли целевой продукт 17E от менее полярных олефинов 17Z, 16 и 20 в порядке элюирования). После очистки можно проводить тонкослойную хроматографию на пластинах, которые перед использованием опрысканы 10%-ным раствором нитрата серебра в ацетонитриле и высушены на воздухе. Таким образом получали в целом 976 мг (выход 55%) [3aR-( (1E,3a ,4 ,7a ) )]-1-этилиденоктагидро-7a-метил-1H-инден-4-олацетата в виде бесцветного масла.
Смесь более полярных олефинов (420 мг, выход 24%) может быть повторно уравновешена традиционными способами с помощью дополнительной последующей реакции фрагментации альдегида.
Пример 5 [3aS-[3(1R*, 2R*S*, 3a ,7 ,7a ) ]-3a,4,5,6,7,7a-гексагидро-3- [2-гидрокси-1-метил-4-(триметилсилил)-3-бутинил] -3a-метил-1H-инден-7-олацетатВ высушенную на огне двухлитровую трехгорлую колбу, снабженную мешалкой, капельной воронкой, термометром и впускным отверстием для аргона, загружали 22,3 г (100 ммолей) [3aR- (1E,3a ,4 ,7a ) ]-1-этилиденоктагидро-7a- метил-1H-инден-4-олацетата и 300 мл безводного дихлорметана. Раствор охлаждали до -20oC в ацетоновой бане с добавлением при необходимости сухого льда. В этот момент добавляли реагенты в возрастающих количествах. Сначала быстро по каплям в течение 5 мин добавляли 200 мл (200 ммолей) диметилалюминийхлорида в гексане, через 10 мин по каплям в течение 1 ч медленно добавляли 50 мл раствора, содержащего 55,5 г (500 ммолей) 3-триметилсилилпропинала, разбавленного безводным дихлорметаном до объема 260 мл. Добавление реагентов повторяли таким же образом еще 4 раза, используя быстрое добавление 100 мл (100 ммолей) 1М диметилалюминийхлорида в гексане и последующее медленное добавление в течение 1 ч 50 мл раствора 3- триметилсилилпропинала. После последнего добавления ТСХ (CH2Cl2-Et2O, 98:2) подтвердила отсутствие исходного олефина, и реакционную смесь сливали при интенсивном перемешивании в 2 л 20%-ного раствора сегнетовой соли, к которому добавляли приблизительно 500 г льда (конечная температура составляла 20oC). Смесь подщелачивали добавлением 25 мл 4 н. гидроксида натрия и добавляли 1 л простого эфира. Фазы разделяли и эфирную фазу промывали 500 мл соляного раствора. Водную фазу дважды экстрагировали 1,5 л простого эфира методом противотока, получая после сушки над Na2SO4, фильтрации и упаривания при пониженном давлении 78 г масла. Хроматография среднего давления на силикагеле осложнялась трудностью отделения продуктов от побочного продукта, а именно 4- триметилсилил-3-бутин-2-ола. Впоследствии для его удаления из хроматографических фракций использовали летучесть этого 4-триметилсилил-3-бутин-2-ола. Таким образом получали 25,54 г чистого более полярного основного изомера, 2,07 г смеси 87:13 (определение с помощью ЯМР) основного изомера и полученного в меньшем количестве изомера и 0,53 г чистого полученного в меньшем количестве изомера. Общий выход продуктов составил 79% (выход основного изомера 77%).
Аналитический образец основного изомера, а именно [3aS- [3(1R*,2S*, 3a ,7 ,7a ) ] -3a,4,5,6,7,7a-гексагидро-3-[2-гидрокси-1- метил-4-(триметилсилил)-3-бутинил]-3a-метил-1H-инден-7-олацетата получали в виде белого твердого продукта из этилацетата-гексана, tпл 66-67oC.
Аналитический образец полученного в меньшем количестве изомера, а именно [3aS-[3(1R*, 2R*, 3a ,7 ,7a ) ]]-3a,4,5,6,7,7a-гексагидро-3- [2-гидрокси-1-метил-4-(триметилсилил)-3-бутинил] -3a-метил-1H-инден-7-олацетата получали в виде бесцветного масла.
Пример 6К перемешиваемому магнитной мешалкой раствору, содержащему 24,2 г (69 ммолей) [3aS-[3(1R*, 2S*, 3a ,7 ,7a )]]-3a,4,5,6,7,7a-гексагидро- 3-[2-гидрокси-1-метил-4-(триметилсилил)-3-бутинил] -3a-метил-1H-инден- 7-олацетата в 300 мл безводного дихлорметана и 23,3 мл безводного пиридина, добавляли 25,0 г (145 ммолей) фенилхлортионформиата. При этом смесь становилась янтарно-желтого цвета. Реакционную смесь перемешивали в течение 3 ч и затем добавляли 10 мл метанола. Через 15 мин реакционную смесь переносили в делительную воронку, содержащую 1 л простого эфира. Эфирную фазу промывали последовательно 2х250 мл 1М фосфорной кислоты, 500 мл воды и 500 мл 1М бикарбоната натрия. Водные фазы экстрагировали 500 мл простого эфира методом противотока. Объединенные эфирные фазы сушили над Na2SO4, фильтровали и упаривали при пониженном давлении, получая 47 г неочищенного продукта. С помощью быстрой хроматографии на 500 г силикагеля получали 33,4 г (количественный выход) тионокарбонатного эфира.
В двухлитровую трехгорлую колбу, снабженную мешалкой, капельной воронкой, термометром и впускным отверстием для аргона, загруженную 33,4 г (69 ммолей) вышеуказанного тионокарбонатного эфира в 500 мл толуола, по каплям в течение 5 мин быстро добавляли 135 мл (500 ммолей) гидрида три-н-бутилолова, а затем в течение 15 мин 276 мл (276 ммолей) триэтилборана. Через 1,3 ч дополнительно добавляли 15 мл (56 ммолей) гидрида три-н-бутилолова. Через 50 мин реакционную смесь сливали в 500 мл 10%-ного бикарбоната натрия и добавляли 500 мл простого эфира. Водную фазу дважды экстрагировали 500 мл эфира. Эфирные фазы промывали 250 мл воды методом противотока и после сушки над Na2SO4, фильтрации и упаривания при пониженном давлении получали неочищенный продукт, который подвергали быстрой хроматографии на 500 г силикагеля. Фракции, содержащие продукт в растворе дихлорметана, промывали 10%-ным карбонатом натрия для удаления образовавшегося в процессе реакции фенола. Для удаления побочных продуктов требовалось несколько циклов хроматографии среднего давления, в результате чего получали 16,13 г (70%) чистого [3aS-[(1S*, 3a ,7 ,7a ) ]-3a,4,5,6,7,7a-гексагидро-3-[1-метил-4- (триметилсилил)-3-бутинил] -3a-метил-1H-инден-7-олацетата в виде бесцветного масла.
Пример 7[3aS-[1(S*), 3a ,7 ,7a ] ]-3a,4,5,6,7,7a-гексагидро-3-[1-метил-3- бутинил]-3a-метил-1H-инден-7-олК раствору, содержащему 5,01 г (15 ммолей) [3aS-[1(S*), 3a ,7 ,7a ]] -3a, 4,5,6,7,7a-гексагидро-3-[1-метил-4- (триметилсилил)-3-бутинил] -3a-метил-1H-инден-7-олацетата в 50 мл этанола добавляли 30 мл, (60 ммолей) 2 н. гидроксида натрия и выдерживали при 80oC в течение 4 ч. Затем реакционную смесь разбавляли 500 мл смеси вода-соляной раствор (1:1) и тщательно экстрагировали этилацетатом. Объединенные экстракты промывали водой и соляным раствором, сушили над сульфатом натрия и упаривали досуха. Неочищенный продукт очищали с помощью быстрой хроматографии с гексаном-этилацетатом (4:1), получая 3,14 г (95,4%) указанного в заголовке соединения.
Пример 8[3aS-[1(S* 3a ,7 ,7a ]]-3a,4,5,6,7,7a-гексагидро-3-[1-метил-3- бутинил] -3a-метил-7-[(триметилсилил)окси]-1H-инденК раствору, содержащему 3,14 г (14,4 ммоля) [3aS-[(1S*), 3a ,7 ,7a ]] -3a,4,5,6,7,7a-гексагидро-3-[1-метил-3-бутинил]-3a-метил-1H-инден-7-ола в 30 мл безводного метиленхлорида, добавляли 4,22 мл (28,8 ммоля) 1- (триметилсилил)имидазола и реакционную смесь перемешивали при комнатной температуре в течение 1 ч. Затем реакцию прекращали добавлением ледяной крошки и перемешивали в течение 15 мин. После разбавления водой и соляным раствором реакционную смесь тщательно экстрагировали гексаном. Объединенные экстракты промывали водой и соляным раствором, сушили над сульфатом натрия и упаривали досуха. Неочищенный продукт очищали с помощью быстрой хроматографии с гексаном-метиленхлоридом (40: 1), получая 3,55 г (85%) указанного в заголовке соединения.
Пример 9[1(S*), 3aR- (3a ,4 ,7a ) ]]-3a,4,5,6,7,7a-гексагидро-1-(1,5- диметил-5-гидрокси-3-гексинил)-7a-метил-4-[(триметилсилил)окси] -3H-инденК раствору, содержащему 612 мг (2,10 ммоля) [3aS-[1(S*), 3a ,7 ,7a ]] -3a,4,5,6,7,7a-гексагидро-3-[1-метил-3-бутинил]-3a-метил-7- [(триметилсилил)окси]-1H-индена в 15 мл безводного простого эфира, при -78oC в атмосфере аргона добавляли 1,6 мл (2,52 ммоля) 1,6М н-бутиллития в гексане. После перемешивания в течение 1 ч при -78oC добавляли 1,5 мл (21 ммоль) безводного ацетона и перемешивание продолжали в течение 1 ч. Реакцию прекращали добавлением смеси вода-соляной раствор (1:1) и смесь тщательно экстрагировали этилацетатом. Объединенные экстракты промывали водой и соляным раствором, сушили над сульфатом натрия и упаривали досуха. С помощью разделения с использованием быстрой хроматографии с гексаном-этилацетатом (9:1) восстанавливали 166 мг (27%) исходного продукта и получали 521 мг (71%) указанного в заголовке соединения.
Пример 10[1(S*), 3aR (3a ,4 ,7a ) ]-3a,4,5,6,7,7a-гексагидро-1- (1,5-диметил-5-гидрокси-3-гексинил)-7a-метил-3H-инден-4-олК раствору, содержащему 521 мг (1,50 ммоля) [1(S*),3aR- (3a ,4 ,7a ) ] -3a, 4,5,6,7,7a-гексагидро-1-(1,5-диметил-5-гидрокси-3-)-гексинил)- 7a-метил-4-[(триметилсилил)окси] -3H-индена в 10 мл безводного тетрагидрофурана, добавляли 3 мл (3 ммоля) 1М тетрабутиламмонийфторида. Смесь перемешивали при комнатной температуре в течение 1,5 ч, затем разбавляли водой и соляным раствором и тщательно экстрагировали этилацетатом. Объединенные экстракты промывали водой и соляным раствором, сушили над сульфатом натрия и упаривали досуха. Получали неочищенный продукт в виде кристаллов. Его перекристаллизовывали из гексана, получая 360 мг (87%) указанного в заголовке соединения, tпл 115-116oC (из гексана).
Пример 11[1(S*), 3aR- (3a ,7a ) ] -3,3a, 5,6,7,7a-гексагидро-1-(1,5-диметил-5- гидрокси-3-гексинил)-7a-метил-4H-инден-4-онК раствору, содержащему 240 мг (0,868 ммоля) [1(S*),3aR- (3a ,4 ,7a ) ] -3a, 4,5,6,7,7a-гексагидро-1-(1,5-диметил-5-гидрокси-3- гексинил)-7a-метил-3H-инден-4-ола в 7 мл безводного метиленхлорида, добавляли 980 мг (2,6 ммоля) пиридинийдихромата. Эту смесь перемешивали при комнатной температуре в течение 2 ч, затем дополнительно добавляли 500 мг (1,33 ммоля) пиридинийдихромата и перемешивание продолжали в течение 2,25 ч. После добавления 30 мл простого эфира и перемешивания в течение 15 мин смесь фильтровали через целит и подушку из целита промывали этилацетатом (3х50 мл). Объединенные фильтраты промывали 20 мл 1 н. HCl, водой, 40 мл 2н. бикарбоната калия и смесью (1:1) воды и соляного раствора. Водные слои повторно экстрагировали 2х100 мл этилацетата. Объединенные органические слои сушили над сульфатом натрия и упаривали досуха. Неочищенный продукт очищали с помощью быстрой хроматографии с гексаном-этилацетатом (2:1), получая 214 мг (89%) указанного в заголовке соединения.
Пример 12[1(S*), 3aR- (3a ,7a ) ] -3,3a, 5,6,7,7a-гексагидро-1-(1,5-диметил-5- [(триметилсилил)окси]-3-гексинил)-7a-метил-4H-инден-4-онК раствору, содержащему 214 мг (0,78 ммоля) [1(S*),3aR- (3a ,7a ) ]-3,3a, 5,6,7,7a-гексагидро-1-(1,5-диметил-5-гидрокси-3- гексинил)-7a-метил-4 H-инден-4-она в 7 мл безводного метиленхлорида, добавляли 750 мг (4,7 ммоля) 1-(триметилсилил)имидазола. Смесь перемешивали при комнатной температуре в течение 17 ч в атмосфере аргона и затем реакцию прекращали добавлением 5 мл воды и перемешивали в течение 20 мин. Затем реакционную смесь экстрагировали 3х100 мл этилацетата. Экстракты объединяли и промывали 5х50 мл смеси воды и соляного раствора, сушили над сульфатом натрия и упаривали досуха. Неочищенный продукт очищали с помощью быстрой хроматографии с гексаном-этилацетатом (12:1), получая 255 мг (94%) указанного в заголовке соединения.
Пример 131,25-дигидрокси-16-ен-23-ин-20-эпихолекальциферол К перемешиваемому раствору, содержащему 730 мг (1,25 ммоля) известного соединения [3S-(1Z, 3 ,5 )]-[2-[3,5-бис[[(1,1-диметилэтил) диметилсилил] окси] -2-метиленциклогексилиден] этил] дифенилфосфиноксида в 7 мл безводного тетрагидрофурана, при -78oC по каплям в атмосфере аргона добавляли 0,78 мл (1,25 ммоля) 1,6М н-бутиллития в гексане. После перемешивания в течение 5 мин к образовавшемуся при этом раствору красного цвета по каплям в течение 10 мин добавляли раствор, содержащий 255 мг (0,736 ммоля) [1(S*),3aR- (3a ,7a ) ] -3,3a,5,6,7,7a-гексагидро-1-(1,5-диметил-5- [(триметилсилил)окси]-3-гексинил)-7a-метил-4H-инден-4-она в 4,5 мл безводного тетрагидрофурана, и реакционную смесь перемешивали при -78oC в течение 90 мин. Затем реакцию прекращали добавлением 10 мл смеси 1:1 2 н. сегнетовой соли и 2 н. бикарбоната калия и смеси давали нагреться до комнатной температуры. Дополнительно добавляли 30 мл растворов сегнетовой соли/бикарбоната калия и реакционную смесь экстрагировали этилацетатом (3х100 мл). Экстракты трижды промывали соляным раствором, сушили над сульфатом натрия и упаривали досуха. Неочищенный продукт очищали с помощью быстрой хроматографии с гексаном-этилацетатом (40:1), получая 467 мг (89%) трисилилированного промежуточного продукта.
К раствору, содержащему трисилилированный промежуточный продукт (467 мг) в 4,5 мл безводного тетрагидрофурана, добавляли 7 мл (7 ммолей) 1М тетрабутиламмонийфторида в тетрагидрофуране и эту смесь перемешивали при комнатной температуре в атмосфере аргона в течение 17 ч. Затем реакцию прекращали добавлением 5 мл воды и смесь перемешивали в течение 20 мин. Затем тетрагидрофуран удаляли в вакууме, остаток разбавляли водой и экстрагировали этилацетатом (3х100 мл). Экстракты промывали водой и соляным раствором, сушили над сульфатом натрия и упаривали досуха. Неочищенный продукт очищали с помощью быстрой хроматографии с гексаном-этилацетатом (1:5), получая 250 мг (83%) указанного в заголовке кристаллического соединения. Его перекристаллизовывали из 1,5 мл тетрагидрофурана, добавляя 7 мл метилформиата; tпл 148-149oC.
Пример 14[1(S*), 3aR- (3a ,4 ,7a ) ]-3a,4,5,6,7,7a-гексагидро-1- (1,5-димeтил-5-гидpoкcи-3Z-гeкceнил)-7a-метил-4H-инден-4-олСмесь, содержащую 1,02 г (3,6 ммоля) [1(S*),3aR- (3a ,4 ,7a ) ]-3a, 4,5,6,7,7a-гексагидро-1-(1,5-диметил-5- гидрокси-3-гексинил)-7a-метил-3H-инден-4-ола, 13,5 мл этилацетата, 34 мл гексана, 1,3 мл абсолютного этанола, 0,067 мл хинолина и 225 мг катализатора Линдлара, гидрировали при комнатной температуре в течение 3,5 ч. Реакционную смесь фильтровали через подушку из целита, которую затем промывали этилацетатом. Объединенные фильтраты промывали 1н. HCl, водой, 2 н. бикарбонатом калия, водой и соляным раствором, сушили над сульфатом натрия и упаривали досуха. Неочищенный продукт очищали с помощью препаративной ЖХВР, используя силикагель и гексан-этилацетат (3:2), в результате чего получали 954 мг (92,6%) указанного в заголовке соединения, tпл 88-90oC (из CH2Cl2-гексана).
Пример 15[1(S*), 3aR- (3a ,4 ,7a ) ]-3a,4,5,6,7,7a-гексагидро-1-(1,5- диметил-5-гидроксигексанил)-7a-метил-4H-инден-4-олК раствору, содержащему 601 мг (2,16 ммоля) [1(S*),3aR- (3a ,4 ,7a ) ] -3a, 4,5,6,7,7a-гексагидро-1-(1,5-диметил-5-гидрокси-3Z- гексенил)-7a-метил-4H-инден-4-ола в 35 мл безводного метиленхлорида, добавляли 120 мг 1,4-бис(дифенилфосфен)бутан-1,5- циклооктадиенродийтетрафторбората и 1 каплю ртути и затем гидрировали в аппарате Парра при комнатной температуре и при давлении 50 фунтов/кв. дюйм в течение 1,25 ч.
TCX (гексан-этилацетат, 3: 2) показала, что реакция завершена. Реакционную смесь фильтровали через подушку из целита, которую затем промывали этилацетатом. Объединенные фильтраты упаривали досуха. Очистку осуществляли с помощью быстрой хроматографии с гексаном-этилацетатом (3:2), а затем с помощью препаративной ЖХВР с использованием силикагелевой колонки с гексаном-этилацетатом (3: 2) при скорости потока 100 мл/мин, в результате чего получали 550 мг (91) указанного в заголовке кристаллического соединения.
Пример 16[1(S*),3aR- (3a ,7a ) -3,3a,5,6,7,7a-гексагидро-1-(1,5-диметил-5- гидроксигексанил)-7a-метил-4H-инден-4-онК раствору, содержащему 270 мг (0,963 ммоля) [1(S*),3aR- (3a ,4 ,7a ) -3a, 4,5,6,7,7a-гексагидро-1-(1,5-диметил-5- гидроксигексанил)-7a-метил-4H-инден-4-ола в 7 мл безводного метиленхлорида, добавляли 1,58 г (4,2 ммоля) пиридинийдихромата. Реакционную смесь перемешивали при комнатной температуре в течение 4,75 ч. Затем ее разбавляли 25 мл простого эфира, дополнительно перемешивали в течение 15 мин и фильтровали через подушку из целита. Подушку промывали простым эфиром (3х50 мл). Объединенные фильтраты промывали 40 мл 2 н. бикарбоната калия и смесью вода-соляной раствор. Водные слои экстрагировали этилацетатом (2х90 мл). Объединенные органические слои сушили над сульфатом натрия и упаривали досуха. Неочищенный продукт очищали с помощью быстрой хроматографии с гексаном-этилацетатом (2:1), получая 254 мг (95%) указанного в заголовке соединения.
Пример 17[1(S *), 3aR- (3a ,7a ) ]-3,3a,5,6,7,7a-гексагидро-1-(1,5- диметил-5-[(триметилсилил)окси]гексанил)-7a-метил-4H-инден-4-онК раствору, содержащему 254 г (0,912 ммоля) [1(S*),3aR- (3a ,7a ) ]-3,3a, 5,6,7,7a-гексагидро-1-(1,5-диметил-5- гидроксигексанил)-7a-метил-4H-инден-4-она в 6 мл безводного метиленхлорида, добавляли 0,8 мл (5,45 ммоля) 1-(триметилсилил)имидазола. Реакционную смесь перемешивали при комнатной температуре в атмосфере аргона в течение 4,25 ч. Затем реакцию прекращали добавлением 5 мл воды и смесь перемешивали в течение 20 мин, после чего экстрагировали этилацетатом (3х90 мл). Экстракты промывали водой и соляным раствором, сушили над сульфатом натрия и упаривали досуха. Неочищенный продукт очищали с помощью быстрой хроматографии с гексаном этилацетатом (12:1), получая 308 мг (96%) указанного в заголовке соединения.
Пример 181,25-дигидрокси-16-ен-20-эпихолекальциферол К перемешиваемому раствору, содержащему 850 мг (1,46 ммоля) [3S- (1Z,3 ,5 ) ] -[2-[3,5-бис[[(1,1-диметилэтил)диметилсилил] окси]-2- метиленциклогексилиден] этил] дифенилфосфиноксида в 9 мл безводного тетрагидрофурана, при -78oC по каплям в атмосфере аргона добавляли 0,91 мл (1,46 ммоля) 1,6М н-бутиллития в гексане. После перемешивания в течение 5 мин к образовавшемуся при этом раствору красного цвета по каплям в течение 10 мин добавляли раствор, содержащий 308 мг (0,878 ммоля) [1(S*),3aR- (3a ,7a ) ] -3,3a, 5,6,7,7a-гексагидро-1-(1,5-диметил-5-[(триметилсилил)окси] гексанил)- 7a-метил-4H-инден-4-она в 4,5 мл безводного тетрагидрофурана. Реакционную смесь перемешивали при – 78oC в течение 2 ч, а затем реакцию прекращали добавлением 10 мл смеси 1:1 2 н. сегнетовой соли и 2 н. бикарбоната калия и смесь нагревали до комнатной температуры. После добавления 30 мл сегнетовой соли/бикарбоната калия смесь экстрагировали этилацетатом (3х100 мл). Объединенные экстракты промывали соляным раствором, сушили над сульфатом натрия и упаривали досуха. Остаток очищали с помощью быстрой хроматографии с гексаном-этилацетатом (50:1), получая 541 мг силилированного промежуточного продукта.
К раствору, содержащему этот промежуточный продукт в 5 мл безводного тетрагидрофурана, добавляли 5,5 мл (5,5 ммолей) 1М тетрабутиламмонийфторида в тетрагидрофуране и эту смесь перемешивали при комнатной температуре в атмосфере аргона в течение 23 ч. Затем реакцию прекращали добавлением 5 мл воды и смесь перемешивали в течение 20 мин. После добавления 25 мл соляного раствора смесь экстрагировали этилацетатом (3х100 мл). Объединенные экстракты промывали водой и соляным раствором, сушили над сульфатом натрия и упаривали досуха. Неочищенный продукт сначала очищали с помощью быстрой хроматографии с гексаном-этилацетатом (1:9), а затем с помощью ЖХВР (силикагелевая колонка) с этилацетатом, получая 296 мг (81%) указанного в заголовке кристаллического соединения; tпл 124-125oC (метилформиат).
Пример 19[3aR- [1(S*), 3a ,4 ,7a ] ] -3,3a, 5,6,7,7a-гексагидро- 7a-метил-1-[6,6,6-трифтор-5-гидрокси-1-метил-5-(трифторметил)-3 -гексинил] -4-[(триметилсилил)окси]-3H-инденВ колбу в форме сердца объемом 100 мл, снабженную впускным отверстием для газа, загружали раствор, содержащий 1 г (3,44 ммоля) [3aS-[1(S*), 3a ,7 ,7a ] ]-3a,4,5,6,7,7a-гексагидро-3-[1-метил-3-бутинил]- 3a-метил-7-[(триметилсилил)окси] -1H-индена в 25 мл безводного тетрагидрофурана. После охлаждения до -78oC по каплям в течение 10 мин добавляли 3,2 мл (5,16 ммоля) 1,6М н-бутиллития в гексане и образовавшуюся смесь перемешивали в течение 30 мин. После добавления 10 мл безводного тетрагидрофурана смесь барботировали в течение 1 мин струей гексафторацетона. После перемешивания в течение 1 ч 15 мин ТСХ показала, что реакция завершена приблизительно на 70%. В этот момент времени реакцию прекращали добавлением 25 мл насыщенного соляного раствора с последующим нагреванием до комнатной температуры. Затем реакционную смесь экстрагировали гексаном. Объединенные органические экстракты промывали соляным раствором, сушили над сульфатом натрия и упаривали досуха. Очистку неочищенного продукта осуществляли с помощью быстрой хроматографии с гексаном-этилацетатом (10: 1). Таким путем получали 270 мг (27%) исходного продукта и 1,15 г (73%) указанного в заголовке соединения.
В другом эксперименте к раствору, содержащему 1,38 г (4,75 ммоля) исходного ацетилена в 20 мл безводного тетрагидрофурана, при -78oC в атмосфере аргона по каплям в течение 10 мин добавляли 4,5 мл (7,2 ммоля) 1,6 М н-бутиллития в гексане. После перемешивания в течение 30 мин смесь медленно барботировали в течение 2 мин гексафторацетоном, перемешивали в течение 30 мин, дополнительно барботировали в течение 1 мин, перемешивали в течение 60 мин и в завершение барботировали в течение 30 с и перемешивали в течение 30 мин. В этот момент времени ТСХ показала, что реакция завершена. В этом эксперименте реакцию прекращали добавлением 2 н. сегнетовой соли и очистку производили с помощью быстрой хроматографии с гексаном-этилацетатом (14:1). В результате получали 1,97 г (91%) указанного в заголовке соединения.
Пример 20[3aR-[1(S*), 3a ,4 ,7a ]-3,3a,5,6,7,7a-гексагидро-7a-метил-1- [6,6,6-трифтор-5-гидрокси-1-метил-5-(трифторметил)-3-гексинил]-3H-инден-4-олК раствору, содержащему 1,17 г (2,56 ммоля) [3aR-[1(S*), 3a ,4 ,7a ]] -3,3a, 5,6,7,7a-гексагидро-7a-метил-1-[6,6,6-трифтор-5-гидрокси-1- метил-5-(трифторметил)-3-гексинил] -4-[(триметилсилил)окси] -3H-индена в 20 мл безводного тетрагидрофу рана, добавляли 7,12 мл (7,12 ммоля) 1М тетрабутиламмонийфторида в тетрагидрофуране и перемешивали в атмосфере аргона в течение 3,5 ч. Затем реакционную смесь разбавляли 250 мл смеси вода-соляной раствор (1: 1) и тщательно экстрагировали этилацетатом. Экстракты промывали водой и соляным раствором, сушили над сульфатом натрия и упаривали досуха. Очистку неочищенного продукта осуществляли с помощью быстрой хроматографии, получая 946 мг (96%) указанного в заголовке соединения; tпл 75-76oC после перекристаллизации из гексана.
Пример 21[1(S*), (3a ,7a ) ] -3,3a,5,6,7,7a-гексагидро-7a-метил-1-[6,6,6- трифтор-5-гидрокси-1-метил-5-(трифторметил)-3-гексинил]-4H-инден-4-онК раствору, содержащему 284 мг (0,74 ммоля) [3aR-[1(S*), 3a ,4 ,7a ]-3,3a, 5,6,7,7a-гексагидро-7a-метил-1-[6,6,6-трифтор-5-гидрокси-1- метил-5-(трифторметил)-3-гексинил]-3H-инден-4-ола в 10 мл безводного метиленхлорида, порциями добавляли 2,15 г (5 ммолей) пиридинийдихромата и реакционную смесь перемешивали при комнатной температуре в течение 5 ч. После добавления 50 мл простого эфира и перемешивания в течение 15 мин реакционную смесь фильтровали через подушку из целита, которую затем промывали этилацетатом (3х50 мл). Объединенные фильтраты промывали 2 н. HCl, водой, 2 н. бикарбонатом калия, водой и соляным раствором, сушили над сульфатом натрия и упаривали досуха. Неочищенный продукт очищали с помощью быстрой хроматографии с гексаном-этилацетатом (3: 1), получая 259 мг (91%) указанного в заголовке кристаллического соединения.
Пример 221,25-дигидрокси-16-ен-23-ин-26,27-гексафтор-20-эпихолекальциферол К перемешиваемому раствору, содержащему 987 мг (1,69 ммоля) [3S- (1Z,3 ,5 ) ]-[2-[3,5-бис[[(1,1-диметилэтил)диметилсилил]окси]-2-10- метиленциклогексилиден] этил] дифенилфосфиноксида в 10 мл безводного тетрагидрофурана, при -78oC по каплям в атмосфере аргона добавляли 1,05 мл (1,69 ммоля) 1,6 М н-бутиллития в гексане. После перемешивания в течение 15 мин к образовавшемуся при этом раствору красного цвета по каплям добавляли раствор, содержащий 259 мг (0,677 ммоля) [1(S*),3aR- (3a ,7a ) ]-3,3a,5,6,7,7a-гексагидро-7a-метил-1- [6,6,6-трифтор-5-гидрокси-1-метил-5-(трифторметил)-3-гексинил] -4H-инден-4-она в 5 мл безводного тетрагидрофурана, и полученную таким образом реакционную смесь перемешивали при -78oC в течение 1 ч. Затем реакцию прекращали добавлением 2 н. сегнетовой соли и смеси давали нагреться до комнатной температуры. После добавления насыщенного соляного раствора смесь тщательно экстрагировали этилацетатом. Объединенные экстракты промывали водой и соляным раствором, сушили над сульфатом натрия и упаривали досуха. Остаток очищали с помощью быстрой хроматографии с гексаном-этилацетатом (9:1), получая 370 мг дисилилового эфира в качестве промежуточного продукта.
К раствору, содержащему этот промежуточный продукт (370 мг) в 10 мл безводного тетрагидрофурана, добавляли 3 мл (3 ммоля) 1М тетрабутиламмонийфторида в тетрагидрофуране и полученную таким образом смесь перемешивали при комнатной температуре в течение ночи. Затем реакционную смесь разбавляли водой и соляным раствором и тщательно экстрагировали этилацетатом (4х50 мл). Объединенные экстракты промывали водой и соляным раствором, сушили над сульфатом натрия и упаривали досуха. Неочищенный продукт очищали с помощью быстрой хроматографии с гексаном-этилацетатом (1:4), получая 249 мг (71%) указанного в заголовке соединения в виде пены.
Пример 23[3aR-[1(S*), 3a ,4 ,7a ]-3a,4,5,6,7,7a-гексагидро-7a-метил-1- [6,6,6-трифтор-5-гидрокси-1-метил-5-(трифторметил)-3E-гексенил]-3H- инден-4-олК перемешиваемой в атмосфере аргона суспензии, содержащей 165 мг (4,34 ммоля) алюмогидрида лития в 15 мл безводного тетрагидрофурана и охлаждаемой в ледяной бане, сначала добавляли 235 мг (4,34 ммоля) твердого метоксида натрия, а затем по каплям 334 мг (0,87 ммоля) [3aR-[1(S*), 3a ,4 ,7a ]-3a, 4,5,6,7,7a-гексагидро-7a-метил-1- [6,6,6-трифтор-5-гидрокси-1-метил-5-(трифторметил)-3-гексинил]-3H- инден-4-ола, растворенного в 10 мл безводного тетрагидрофурана. Полученную таким образом реакционную смесь кипятили с обратным холодильником (80oC) в течение 2,5 ч, после чего ТСХ показала, что реакция завершена. Смесь охлаждали в ледяной бане и затем реакцию прекращали осторожным добавлением 1 мл воды и 1 мл 2 н. гидроксида натрия. После добавления 20 мл простого эфира смесь перемешивали в течение 0,5 ч, добавляли 2,2 г сульфата магния, перемешивали в течение 0,5 ч, фильтровали и упаривали досуха. В результате получали 335 мг (100%) указанного в заголовке кристаллического соединения (чистого по данным ТСХ).
Пример 24[1(S*), 3aR- (3a ,7a ) ]-3,3a,5,6,7,7a-гексагидро-7a-метил-1- [6,6,6-трифтор-5-гидрокси-1-метил-5-(трифторметил)-3E-гексенил]- -4H-инден-4-онК раствору, содержащему 256 мг (0,66 ммоля) [3aR-[1(S*), 3a ,4 ,7a ]]- 3a, 4,5,6,7,7a-гексагидро-7a-метил-1-[6,6,6-трифтор-5-гидрокси-1-метил-5- (трифторметил)-3E-гексенил] -3H-инден-4-ола в 10 мл безводного метиленхлорида, порциями добавляли 1,12 г (3 ммоля) пиридинийдихромата и реакционную смесь перемешивали при комнатной температуре в течение 4 ч. После добавления 25 мл простого эфира и перемешивания в течение 15 мин реакционную смесь фильтровали через подушку из целита, которую затем промывали этилацетатом (3х20 мл).
Объединенные фильтраты промывали 2 н. бикарбонатом калия, водой и соляным раствором, сушили над сульфатом натрия и упаривали досуха. Неочищенный продукт очищали с помощью быстрой хроматографии с метиленхлоридом-этилацетатом (9:1), получая 230 мг (90%) указанного в заголовке 5 кристаллического соединения.
Пример 25[1(S*), 3aR- (3a ,7a ) ]-3,3a,5,6,7,7a-гексагидро-7a-метил-1- [6,6,6-трифтор-5-(триметилсилил)окси-1-метил-5-трифторметил)-3E- гексенил]-4H-инден-4-онК перемешиваемому раствору, содержащему 268 г (0,697 ммоля) [1(S*),3aR- (3a ,7a ) ] -3,3a, 5,6,7,7a-гексагидро-7a-метил-1- [6,6,6-трифтор-5-гидрокси-1-метил-5-(трифторметил)-3E-гексенил] -4H-инден-4-она в 8 мл безводного метиленхлорида, при комнатной температуре добавляли 0,92 мл (6,27 ммоля) 1-(триметилсилил)имидазола и реакционную смесь перемешивали при комнатной температуре в течение ночи. Затем реакционную смесь разбавляли водой и тщательно экстрагировали гексаном. Объединенные экстракты промывали водой и соляным раствором до получения нейтрального значения pH, сушили над сульфатом натрия и упаривали досуха. Неочищенный продукт очищали с помощью быстрой хроматографии с гексаном-этилацетатом (9:1), получая 310 мг (97%) указанного в заголовке соединения.
Пример 261,25-дигидрокси-16,23-диен-26,27-гексафтор-20-эпихолекальциферол К перемешиваемому раствору, содержащему 725 мг (1,24 ммоля) [3S- (1Z,3 ,5 ) ] -[2-[3,5-бис[[(1,1-диметилэтил)диметилсилил] окси]-2- метиленциклогексилиден] этил] дифенилфосфиноксида в 15 мл безводного тетрагидрофурана, при -78oC по каплям в атмосфере аргона добавляли 0,78 мл (1,24 ммоля) 1,6М н-бутиллития в гексане. После перемешивания в течение 5 мин к образовавшемуся при этом раствору красного цвета по каплям добавляли раствор, содержащий 307 мг (0,672 ммоля) [1(S*),3aR- (3a ,7a )] -3,3a,5,6,7,7a-гексагидро-7a-метил-1- [6,6,6-трифтор-5-(триметилсилил)окси-1-метил-5-трифторметил)-3E-гексенил] -4H- инден-4-она в 9 мл безводного тетрагидрофурана. Реакционную смесь перемешивали при -78oC в течение 2,5 ч и затем реакцию прекращали добавлением воды и смеси давали нагреться до комнатной температуры. После дополнительного разбавления водой смесь экстрагировали этилацетатом (3х30 мл). Объединенные экстракты промывали водой и соляным раствором, сушили над сульфатом натрия и упаривали досуха. Полученный таким образом в качестве промежуточного продукта дисилиловый эфир очищали с помощью быстрой хроматографии с гексаном-этилацетатом (9:1), получая 449 мг чистого промежуточного продукта (25-силилоксигруппу гидролизовали в ходе реакции).
К раствору, содержащему этот промежуточный продукт (449 мг) в 10 мл безводного тетрагидрофурана, добавляли 3,6 мл (3,6 ммоля) 1М тетрабутиламмонийфторида в тетрагидрофуране и полученную таким образом реакционную смесь перемешивали при комнатной температуре в течение ночи. Затем реакцию прекращали добавлением льда, смесь перемешивали в течение 15 мин, разбавляли водой и соляным раствором и экстрагировали этилацетатом. Объединенные экстракты промывали водой, сушили над сульфатом натрия и упаривали досуха. Неочищенный продукт очищали с помощью быстрой хроматографии с гексаном-этилацетатом (1: 2), получая 291 мг (83%) указанного в заголовке соединения в виде белой пены.
Пример 27[3aR-[1(S*), 3a ,4 ,7a ]-3,3a,5,6,7,7а-гексагидро-7а- метил-1-[6,6,6-тpифтop-5-гидpoкcи-1-метил-5-(трифторметил)-3Z- гексенил]-3H-инден-4-олСмесь, содержащую 1,62 г (4,21 ммоля) [3aR-[1(S*), 3a ,4 ,7a ]]-3,3а, 5,6,7,7а-гексагидро-7а-метил-1- [6,6,6-трифтор-5-гидрокси-1-метил-5-(трифторметил)-3-гексинил] – 3Н-инден-4-ола, 16 мл этилацетата, 40 мл гексана, 1,6 мл абсолютного этанола, 0,080 мл хинолина и 320 мг катализатора Линдлара, перемешивали в атмосфере водорода при комнатной температуре в течение 70 мин. Затем реакционную смесь фильтровали через целит и осадок на фильтре промывали этилацетатом (3х60 мл). Фильтрат промывали 25 мл 1 н. HCl и 4 раза смесью воды и соляного раствора. Водные слои экстрагировали этилацетатом (2х90 мл). Объединенные органические слои сушили над сульфатом натрия и упаривали досуха. Неочищенный продукт очищали с помощью ЖХВР на силикагелевой колонке с гексаном-этилацетатом (3:1) при скорости потока 100 мл/мин, получая 1,51 г (93%) указанного в заголовке соединения в виде белого твердого продукта.
Пример 28[1(S*),3aR- (3a ,7a ) ]-3,3a,5,6,7,7a-гексагидро-7a-метил-1-[6,6,6- трифтор-5-гидрокси-1-метил-5-(трифторметил)-3Z-гексенил]-4H-инден-4-онК раствору, содержащему 750 мг (1,94 ммоля) [3aR-[1(S*), 3a ,4 ,7a ]]- 3,3a, 5,6,7,7a-гексагидро-7a-метил-1-[6,6,6-трифтор-5-гидрокси-1-метил-5- (трифторметил)-3Z-гексенил]-3H-инден-4-)ола в 14 мл метиленхлорида, порциями добавляли 3,64 г (9,68 ммоля) пиридинийдихромата и реакционную смесь перемешивали при комнатной температуре в течение 5 ч. Затем к реакционной смеси добавляли 30 мл простого эфира, перемешивали в течение 15 мин, фильтровали через подушку из целита и подушку промывали простым эфиром (3х50 мл). Объединенные фильтраты 5 промывали 2 н. бикарбонатом калия (50 мл) и трижды смесью воды и соляного раствора (1:1). Водные слои экстрагировали этилацетатом (2х100 мл). Объединенные органические слои сушили над сульфатом натрия и упаривали досуха. Неочищенный продукт очищали с помощью быстрой хроматографии с гексаном-этилацетатом, получая 720 мг (96,5%) указанного в заголовке соединения в виде белого твердого продукта.
Пример 29[1(S*), 3aR- (3a ,7a ) ]-3,3a,5,6,7,7a-гексагидро-7a-метил-1- [6,6,6-тpифтop-5-тpимeтилcилилoкcи-1-метил-5-тpифтopмeтил)-3Z-гeкceнил] – 4H-инден-4-онК перемешиваемому раствору, содержащему 720 мг (1,87 ммоля) [1(S*),3aR- (3a ,7a ) ] -3,3a, 5,6,7,7a-гексагидро-7a-метил-1- [6,6,6-тpифтop-5-гидpoкcи-1-метил-5-тpифтopмeтил-3Z-гeкceнил] -4H-инден-4-она в 13 мл безводного метиленхлорида, при комнатной температуре добавляли 1,86 мл (12,68 ммоля) 1-(триметилсилил)имидазола и реакционную смесь перемешивали в атмосфере аргона в течение 17 ч. Затем реакцию прекращали добавлением 7 мл воды и смесь перемешивали в течение 15 мин, добавляли 20 мл соляного раствора и экстрагировали этилацетатом (3х100 мл). Объединенные экстракты промывали пять раз водой и соляным раствором, сушили над сульфатом натрия и упаривали досуха. Неочищенный продукт очищали с помощью быстрой хроматографии с гексаном-этилацетатом (9:1), получая 825 мг (96,5%) указанного в заголовке соединения в виде аморфного вещества.
Пример 301,25-дигидpoкcи-16,23Z-диен-26,27-гeкcaфтop-20-эпиxoлекaльцифеpoл К перемешиваемому раствору, содержащему 555 мг (0,952 ммоля) [3S- (1Z,3 ,5 ) ] -[2-[3,5-бис[[(1,1-диметилэтил)диметилсилил] окси]-2- метиленциклогексилиден]этил]дифенилфосфиноксида в 6 мл безводного тетрагидрофурана, при -78oC по каплям в атмосфере аргона добавляли 0,595 мл (0,952 ммоля) 1,6 М н-бутиллития в гексане. После перемешивания в течение 5 мин к полученному таким образом раствору красного цвета по каплям в течение 10 мин добавляли раствор, содержащий 270 мг (0,591 ммоля) [1(S*),3aR- (3a ,7a ) ]-3,3a, 5,6,7,7a-гексагидро-7a-метил-1-[6,6,6-тpифтop-5-(триметилсилил)oкcи- 1-мeтил-5-тpифтopмeтил)-3Z-гeкceнил] -4H-инден-4-она в 4 мл безводного тетрагидрофурана. Реакционную смесь перемешивали при -78oC в течение 1,75 ч, а затем реакцию прекращали добавлением 10 мл 2 н. сегнетовой соли и смесь нагревали до комнатной температуры. Затем смесь разбавляли 30 мл 2 н. сегнетовой соли и трижды экстрагировали этилацетатом (3х100 мл). Объединенные экстракты 3 раза промывали соляным раствором, сушили над сульфатом натрия и упаривали досуха. Неочищенный промежуточный силилированный продукт очищали с помощью быстрой хроматографии с гексаном-этилацетатом (10:1), получая 355 мг чистого промежуточного продукта.
К раствору, содержащему этот промежуточный продукт в 4 мл безводного тетрагидрофурана, в атмосфере аргона добавляли 3,8 мл (3,8 ммоля) 1М тетрабутиламмонийфторида в тетрагидрофуране и реакционную смесь перемешивали при комнатной температуре в течение 19 ч. Затем реакцию прекращали добавлением 5 мл воды и смесь перемешивали в течение 15 мин. После разбавления 20 мл соляного раствора реакционную смесь экстрагировали этилацетатом (3х90 мл). Объединенные экстракты промывали 4 раза смесью воды и соляного раствора, сушили над сульфатом натрия и упаривали досуха. Неочищенный продукт очищали с помощью быстрой хроматографии с гексаном-этилацетатом (1:3), получая 237 мг (77%) указанного в заголовке кристаллического соединения; tпл 120-122oC (перекристаллизация из тетрагидрофурана-метилформиата).
Пример 311,25-дигидрокси-16,23Z-диен-26,27-гексафтор-20-эпи-19- норхолекальциферол Раствор, содержащий 700 мг (1,23 ммоля) [3R- (3 ,5 ,Z) ]-3,5-бис[1(1,1-диметилэтил)диметилсилил] окси] циклогексилиден] этил]дифенилфосфиноксида в 7 мл безводного тетрагидрофурана, охлаждали в бане с сухим льдом до -78oC, обрабатывали 0,77 мл (1,23 ммоля) 1,6 М н-бутиллития в гексане и перемешивали в течение 5 мин в атмосфере аргона. К полученной таким образом смеси по каплям в течение 10 мин добавляли раствор, содержащий 277 мг (0,607 ммоля) [1(S*), 3aR- (3a ,7a ) ] -3,3a, 5,6,7,7a-гексагидро- 7a-метил-1-[6,6,6-трифтор-5-(триметилсилил)окси-1-метил-5- тpифтopмeтил-3Z-гeкceнил]-4H-инден-4-она в 4 мл безводного тетрагидрофурана. Полученную таким образом реакционную смесь перемешивали при -78oC в течение 2 ч. После добавления 10 мл 2 н. сегнетовой соли смесь нагревали до комнатной температуры. После дополнительного разбавления 25 мл 2 н. сегнетовой соли смесь экстрагировали этилацетатом (3х100 мл). Органические слои промывали соляным раствором, сушили над сульфатом натрия и упаривали досуха. Остаток хроматографировали на силикагелевой колонке с гексаном-этилацетатом (10:1) с последующим элюированием гексаном-этилацетатом (1:3) для восстановления кольца- предшественника A. В результате получали 329 мг указанного в заголовке соединения с дисилилированным кольцом A.
К раствору, содержащему 329 мг указанного в заголовке дисилилированного соединения в 2,5 мл безводного тетрагидрофурана, добавляли 4,4 мл (4,4 ммоля) 1М тетрабутиламмонийфторида в тетрагидрофуране и реакционную смесь перемешивали при комнатной температуре в течение 65 ч. Затем реакцию прекращали добавлением 10 мл воды и смесь перемешивали в течение 15 мин, добавляли 20 мл соляного раствора и экстрагировали этилацетатом (3х90 мл).
Объединенные органические слои промывали водой и соляным раствором, сушили над сульфатом натрия и упаривали досуха. Неочищенный продукт сначала очищали с помощью быстрой хроматографии с гексаном-этилацетатом (1:8), а затем с помощью ЖХВР на силикагелевой колонке, получая 210 мг (68%) указанного в заголовке соединения в виде белой пены.
Пример 321 -фтop-25-гидpoкcи-16,23Z-диeн-26,27-гeкcaфтop-20-эпиxoлекaльциферолК раствору, содержащему 460 мг (0,977 ммоля) [3S- (3 ,5 ,Z)]-2-[2-[2-метилен-3- фтор-5-[[(1,1-диметилэтил)диметилсилил] окси]циклогексилиден]этил] дифенилфосфиноксида в 6 мл безводного тетрагидрофурана, при -78oC по каплям в атмосфере аргона добавляли 0,61 мл (0,976 ммоля) 1,6М н-бутиллития в гексане. После перемешивания в течение 5 мин по каплям в течение 10 мин добавляли раствор, содержащий 277 мг (0,607 ммоля) [1(S*),3aR- (3a ,7a ) ] -3,3a,5,6,7,7a-гексагидро-7a- метил-1-[6,6,6-трифтор-5-(триметилсилил)окси-1-метил-5-(трифторметил) -3Z-гексенил]-4H-инден-4-она в 4 мл безводного тетрагидрофурана. Реакционную смесь перемешивали при -78oC в течение 2 ч. Затем реакцию прекращали добавлением 10 мл 2 н. сегнетовой соли и смесь нагревали до комнатной температуры. После дополнительного разбавления 30 мл 2 н. сегнетовой соли смесь экстрагировали этилацетатом (3х100 мл). Объединенные органические слои промывали соляным раствором, сушили над сульфатом натрия и упаривали досуха, получая 630 мг неочищенного промежуточного продукта. Его очищали с помощью быстрой хроматографии с гексаном-этилацетатом (10:1), получая 220 мг указанного в заголовке дисилилированного соединения (25-силиловый эфир гидролизуется во время этой стадии).
К раствору, содержащему 220 мг этого дисилилированного промежуточного продукта в 4 мл безводного тетрагидрофурана, в атмосфере аргона добавляли 2,5 мл (2,5 ммоля) 1М тетрабутиламмонийфторида в тетрагидрофуране и затем реакционную смесь перемешивали при комнатной температуре в течение 18 ч. В этот момент времени добавляли 5 мл воды и перемешивали в течение 15 мин, после чего добавляли 20 мл соляного раствора и экстрагировали этилацетатом (3х90 мл). Объединенные органические слои промывали водой и соляным раствором, сушили над сульфатом натрия и упаривали досуха. Неочищенный продукт очищали с помощью быстрой хроматографии с гексаном-этилацетатом (2:1), получая 170 мг (53%) указанного в заголовке соединения в виде белой пены.
Пример 331 -фтор-25-гидрокси-16-ен-23-ин-26,27-гексафтор-20-эпихолекальциферолК раствору, содержащему 740 мг (1,57 ммоля) [3S- (1Z,3 ,5 ) ]-[2-[5-[[(1,1- диметилэтил)диметилсилил]окси]-3-фтор-2-метиленциклогексилиден]этил] дифенилфосфиноксида в 8 мл безводного тетрагидрофурана, при -78oC по каплям в атмосфере аргона добавляли 0,98 мл (1,57 ммоля) 1,6М н-бутиллития в гексане. После перемешивания в течение 5 мин к образовавшемуся при этом раствору красного цвета по каплям в течение 10 мин добавляли раствор, содержащий 262 мг (0,685 ммоля) [3aR-[1(S*), 3a ,7a ]]-3,3a,5,6,7,7a-гексагидро-7a- метил-1-[6,6,6-трифтор-5-гидрокси-1-метил-5-(трифторметил)-3- гексинил] -4H-инден-4-она в 5 мл безводного тетрагидрофурана. Реакционную смесь перемешивали при -78oC в течение 2 ч. Затем реакцию прекращали добавлением 15 мл смеси (1:1) 2 н. сегнетовой соли и 2 н. бикарбоната калия с последующим нагреванием до комнатной температуры. После добавления 30 мл смеси этих же солей реакционную смесь экстрагировали этилацетатом (3х100 мл). Объединенные органические слои промывали три раза водой и соляным раствором, сушили над сульфатом натрия и упаривали досуха. Остаток очищали с помощью быстрой хроматографии на силикагелевой колонке с гексаном-этилацетатом (5:1), получая 250 мг указанного в заголовке моносилилированного соединения.
К раствору, содержащему 250 мг силильного промежуточного продукта в 3 мл безводного тетрагидрофурана, в атмосфере аргона добавляли 2,8 мл (2,8 ммоля) 1М тетрабутиламмонийфторида в тетрагидрофуране. Реакционную смесь перемешивали при комнатной температуре в течение 18 ч. Затем добавляли 10 мл воды и перемешивали в течение 15 мин, после чего добавляли 20 мл соляного раствора и экстрагировали этилацетатом (3х90 мл). Органические слои промывали 4 раза водой и соляным раствором, сушили над сульфатом натрия и упаривали досуха. Неочищенный продукт очищали с помощью быстрой хроматографии на силикагелевой колонке с гексаном- этилацетатом (2:1) и с помощью ЖХВР на силикагелевой колонке, получая 175 мг (49%) указанного в заголовке аморфного соединения.
Пример 341 -фтор-25-гидрокси-16,23E-диен-26,27-гексафтор-20-эпихолекальциферолК перемешиваемому раствору, содержащему 350 мг (0,744 ммоля) [3S- (1Z,3 ,5 ) ] -[2-[5-[[(1,1-диметилэтил)диметилсилил] окси] -3-фтор-2- метиленциклогексилиден] этил] дифенилфосфиноксида в 5 мл безводного тетрагидрофурана, при -78oC по каплям в атмосфере аргона добавляли 0,463 мл (0,74 ммоля) 1,6 М н-бутиллития в гексане. После перемешивания в течение 5 мин к образовавшемуся при этом раствору красного цвета по каплям в течение 10 мин добавляли раствор, содержащий 230 мг (0,503 ммоля) [3aR-[1(S*,3E), 3a ,7a ] ]-3,3a,5,6,7,7a-гексагидро-7a-метил-1- [6,6,6-трифтор-1-метил-5-(трифторметил)-5-[(триметилсилил)окси] -3-гексенил]- 4H-инден-4-она в 4,5 мл безводного тетрагидрофурана. Затем реакционную смесь перемешивали при -78oC в течение 2 ч. После этого реакцию прекращали добавлением 10 мл смеси (1:1) 2 н. сегнетовой соли и 2 н. бикарбоната калия и смесь нагревали до комнатной температуры. После добавления 30 мл смеси этих же солей реакционную смесь экстрагировали этилацетатом (3х100 мл). Объединенные органические слои промывали три раза водой и соляным раствором, сушили над сульфатом натрия и упаривали досуха. Остаток очищали с помощью быстрой хроматографии на силикагелевой колонке с гексаном-этилацетатом, получая 236 мг указанного в заголовке дисилилированного соединения.
К раствору, содержащему 236 мг дисилильного промежуточного продукта в 3,5 мл безводного тетрагидрофурана, в атмосфере аргона добавляли 3 мл (3 ммоля) 1М тетрабутиламмонийфторида в тетрагидрофуране и реакционную смесь перемешивали при комнатной температуре в течение 18 ч. Реакцию прекращали добавлением 5 мл воды и смесь перемешивали в течение 10 мин.
После разбавления 20 мл соляного раствора смесь экстрагировали этилацетатом (3х90 мл). Объединенные органические слои промывали водой и соляным раствором, сушили над сульфатом натрия и упаривали досуха. Неочищенный продукт очищали с помощью быстрой хроматографии на силикагелевой колонке с гексаном-этилацетатом (2:1) и с помощью ЖХВР на силикагелевой колонке, получая 140 мг (53%) указанного в заголовке аморфного соединения.
Пример 351,25-дигидрокси-16-ен-23-ин-26,27-бисгомо-20-эпихолекальциферол К перемешиваемому раствору, содержащему 435 мг (0,746 ммоля) [3S- (1Z,3 ,5 ) ] -[2-[3,5-бис[[(1,1-диметилэтил)диметилсилил] окси]-циклогексилиден] этил] дифенилфосфиноксида в 5 мл безводного тетрагидрофурана, при -78oC по каплям в атмосфере аргона добавляли 0,465 мл (0,744 ммоля) 1,6 М н-бутиллития в гексане. После перемешивания в течение 5 мин к образовавшемуся при этом раствору красного цвета по каплям в течение 10 мин добавляли раствор, содержащий 169 мг (0,451 ммоля) [3aR-[1(S*), 3a ,7a ]]-1-[5-этил-1-метил-5-[(триметилсилил)окси] – 3-гептинил]-3,3a,5,6,7,7a-гексагидро-7a-метил-4H-инден-4-она в 4 мл безводного тетрагидрофурана. Реакционную смесь перемешивали при -78oC в течение 2,5 ч. Затем реакцию прекращали добавлением 10 мл смеси (1:1) 2 н. сегнетовой соли и 2 н. бикарбоната калия и смесь нагревали до комнатной температуры. После добавления 25 мл смеси этих же солей реакционную смесь экстрагировали этилацетатом (3х90 мл). Объединенные органические слои промывали три раза водой и соляным раствором, сушили над сульфатом натрия и упаривали досуха. Остаток очищали с помощью быстрой хроматографии на силикагелевой колонке с гексаном-этилацетатом (40:1), получая 260 мг указанного в заголовке трисилилированного соединения.
К раствору, содержащему 260 мг трисилилированного промежуточного продукта в 3 мл безводного тетрагидрофурана, в атмосфере аргона добавляли 3 мл (3 ммоля) 1М тетрабутиламмонийфторида в тетрагидрофуране. Реакционную смесь перемешивали при комнатной температуре в течение 17 ч и затем реакцию прекращали добавлением 10 мл воды и смесь перемешивали в течение 10 мин. После разбавления 20 мл воды и соляного раствора смесь экстрагировали этилацетатом (3х80 мл). Объединенные органические слои 4 раза промывали водой и соляным раствором, сушили над сульфатом натрия и упаривали досуха. Неочищенный продукт очищали с помощью быстрой хроматографии на силикагелевой колонке с гексаном-этилацетатом (1:3), получая 158 мг (80%) указанного в заголовке соединения, которое кристаллизовали из метилформиата, tпл 103-105oC.
Пример 361,25-дигидрокси-16-ен-23-ин-26,27-бисгомо-19-нор-20-эпихолекальциферол К перемешиваемому раствору, содержащему 300 мг (0,525 ммоля) [3R-транс-[2-[3,5-бис[[(1,1-диметилэтил)диметилсилил]окси] циклогексилиден]этил] дифенилфосфиноксида в 4 мл безводного тетрагидрофурана, при -78oC по каплям в атмосфере аргона добавляли 0,325 мл (0,520 ммоля) 1,6 М н-бутиллития в гексане. После перемешивания в течение 5 мин к образовавшемуся при этом раствору красного цвета по каплям в течение 5 мин добавляли раствор, содержащий 77 мг (0,205 ммоля) [3aR-[1(S*), 3a ,7a ]]- 1-[5-этил-1-метил-5-[(триметилсилил)окси] -3-гептинил] -3,3a, 5,6,7,7a- гексагидро-7a-метил-4H-инден-4-она в 2,5 мл безводного тетрагидрофурана. Реакционную смесь перемешивали при -78oC в течение 2,5 ч, а затем реакцию прекращали добавлением 10 мл смеси (1:1) 2 н. сегнетовой соли и 2 н. бикарбоната калия и смесь нагревали до комнатной температуры. После последующего разбавления 25 мл смеси этих же солей реакционную смесь экстрагировали этилацетатом (3х75 мл). Объединенные органические слои промывали три раза водой и соляным раствором, сушили над сульфатом натрия и упаривали досуха. Остаток очищали с помощью быстрой хроматографии на силикагелевой колонке с гексаном-этилацетатом, получая 58 мг указанного в заголовке трисилилированного соединения.
К раствору, содержащему 124 мг трисилилированного промежуточного продукта (полученного в результате двукратного проведения описанных выше 30 реакций) в 2,5 мл безводного тетрагидрофурана, в атмосфере аргона добавляли 2,5 мл (2,5 ммоля) 1М тетрабутиламмонийфторида в тетрагидрофуране. Реакционную смесь перемешивали при комнатной температуре в течение 40 ч. Затем реакцию прекращали добавлением 10 мл воды и смесь перемешивали в течение 15 мин. После разбавления 20 мл воды и соляного раствора смесь экстрагировали этилацетатом (3х70 мл). Объединенные органические слои 4 раза промывали водой и соляным раствором, сушили над сульфатом натрия и упаривали досуха. Неочищенный продукт очищали с помощью быстрой хроматографии на силикагелевой колонке с гексаном-этилацетатом (1:7), получая 74 мг (25,3%) указанного в заголовке соединения, которое перекристаллизовали из метилформиата, tпл 130-132oC.
Пример 371 -фтор-25-гидрокси-16-ен-23-ин-26,27-бисгомо-20- эпихолекальциферолК перемешиваемому раствору, содержащему 390 мг (0,829 ммоля) [3S- (1Z,3 ,5 ) ]-[2-[5-[[(1,1-диметилэтил)диметилсилил]окси]-3-фтор-2- метиленциклогексилиден] этил]дифенилфосфиноксида в 5 мл безводного тетрагидрофурана, при -78oC по каплям в атмосфере аргона добавляли 0,53 мл (0,848 ммоля) 1,6 М н-бутиллития в гексане. После перемешивания в течение 5 мин к образовавшемуся при этом раствору красного цвета по каплям в течение 10 мин добавляли раствор, содержащий 200 мг (0,534 ммоля) [3aR-[1(S*), 3a ,7a ]]-1- [5-этил-1-метил-5-[(триметилсилил)окси] -3-гептинил] -3,3a, 5,6,7,7a- гексагидро-7a-метил-4H-инден-4-она в 4,5 мл безводного тетрагидрофурана. Затем реакционную смесь перемешивали при -78oC в течение 2 ч, после чего реакцию прекращали добавлением 10 мл смеси (1:1) 2 н. сегнетовой соли и 2 н. бикарбоната калия и смесь нагревали до комнатной температуры. После разбавления 30 мл смеси этих же солей реакционную смесь экстрагировали этилацетатом (3х100 мл). Объединенные органические слои промывали три раза водой и соляным раствором, сушили над сульфатом натрия и упаривали досуха. Остаток очищали с помощью быстрой хроматографии на силикагелевой колонке с гексаном-этилацетатом (30:1), получая 254 мг указанного в заголовке дисилилированного соединения.
К раствору, содержащему 254 мг дисилильного промежуточного продукта в 3,5 мл безводного тетрагидрофурана, в атмосфере аргона добавляли 3,5 мл (3,5 ммоля) 1М тетрабутиламмонийфторида в тетрагидрофуране. Реакционную смесь перемешивали при комнатной температуре в течение 18 ч, а затем реакцию прекращали добавлением 10 мл воды и смесь перемешивали в течение 15 мин. После разбавления 20 мл воды и соляного раствора смесь экстрагировали этилацетатом (3х80 мл). Объединенные органические слои промывали 4 раза водой и соляным раствором, сушили над сульфатом натрия и упаривали досуха. Неочищенный продукт очищали с помощью быстрой хроматографии на силикагелевой колонке с гексаном-этилацетатом (7:4) и с помощью ЖХВР на силикагелевой колонке с гексаном-этилацетатом (3:2), получая 159 мг (67,6%) указанного в заголовке аморфного соединения.
Пример 381 -фтор-25-гидрокси-16,23E-диен-26,27-бисгомо-20-эпихолекальциферолК перемешиваемому раствору, содержащему 240 мг (0,51 ммоля) [3S- (1Z,3 ,5 ) ] -[2-[5-[[(1,1-диметилэтил)диметилсилил] окси] -3-фтор-2- метиленциклогексилиден] этил]дифенилфосфиноксида в 5 мл безводного тетрагидрофурана при -78oC по каплям в атмосфере аргона добавляли 0,319 мл (0,51 ммоля) 1,6М н-бутиллития в гексане. После перемешивания в течение 5 мин к образовавшемуся при этом раствору красного цвета по каплям в течение 10 мин добавляли раствор, содержащий 103 мг (0,273 ммоля) [3aR- [1(S*,3E), 3a ,7a ]]-1-[5-этил-1-метил-5-[(триметилсилил)окси] -3- гептинил]-3,3a,5,6,7,7a-гексагидро-7a-метил-4H-инден-4-она в 4 мл безводного тетрагидрофурана. Затем реакционную смесь перемешивали при -78oC в течение 2 ч, после чего помещали в морозильную камеру (-20oC) на 1 ч, а затем реакцию прекращали добавлением 10 мл смеси (1: 1) 2 н. сегнетовой соли и 2 н. бикарбоната калия и смесь нагревали до комнатной температуры. После дополнительного разбавления 25 мл смеси этих же солей реакционную смесь экстрагировали этилацетатом (3х90 мл). Объединенные органические слои промывали три раза водой и соляным раствором, сушили над сульфатом натрия и упаривали досуха. Остаток очищали с помощью быстрой хроматографии на силикагелевой колонке с гексаном-этилацетатом (1: 4), получая 145 мг указанного в заголовке дисилилированного соединения.
К раствору, содержащему 145 мг дисилильного промежуточного продукта в 3 мл безводного тетрагидрофурана, в атмосфере аргона добавляли 1,7 мл (1,7 ммоля) 1М тетрабутиламмонийфторида в тетрагидрофуране. Реакционную смесь перемешивали при комнатной температуре в течение 18 ч, а затем реакцию прекращали добавлением 10 мл воды и смесь перемешивали в течение 15 мин. Смесь разбавляли 20 мл воды и соляного раствора и экстрагировали этилацетатом (3х80 мл). Органические слои промывали 4 раза водой и соляным раствором, сушили над сульфатом натрия и упаривали досуха. Неочищенный продукт очищали с помощью быстрой хроматографии на силикагелевой колонке размером 30 мм на 5 дюймов с гексаном- этилацетатом (3:2) и с помощью ЖХВР на силикагелевой колонке с гексаном-этилацетатом (1:1). В результате получали 90 мг (74%) указанного в заголовке соединения; tпл 91-92oC (кристаллизация из метилацетата-гексана).
Кремы, гели и растворы, содержащие ингредиенты в пропорциях, приведенных ниже в примерах А-В, могут быть изготовлены традиционными способами. Соединение А, которое в этих примерах представляет собой 1,25-дигидрокси-16,23E-диен-26,27-гексафтор-20-эпихолекальциферол, может представлять собой любое из заявленных соединений:Пример А. Крем Ингредиенты мас.%; Соединение А – 0,00001 – 0,10 Цетиловый спирт – 1,50 Стеариловый спирт – 2,50 Моностеарат сорбитана (Спан 60) – 2,50 Минеральное масло – 2,00 Смесь глицерилмоностеарата и полиоксиэтиленгликольстеарата (Arlacel 165) – 4,00 Полисорбат 60 (Твин 60) – 1,00 Каприловый/каприновый триглицерид – 5,0 Раствор сорбита – 4,00 Динатрийэдетат – 0,10 Бутилированный гидроксианизол (БГА) – 0,02 Сорбиновая кислота – 0,20 Сорбат калия – 0,1-0,2 Вода – q.s. до 100,00 Пример Б. Гель Ингредиенты мас.%: Соединение А – 0,00001 – 0,10 Бутилированный гидроксианизол (БГА) – 0,02 Гидроксипропилцеллюлоза – 3,00 Этиловый спирт, согласно фармакопеи США – 45,00 Вода – q.s. до 100,00 Пример В. Раствор для местного применения Ингредиенты мас.%: Соединение А – 0,00001 – 0,10 Пропиленгликоль – 10,00 Каприловый/каприновый триглицерид – 30,00 Бутилированный гидроксианизол (БГА) – 0,02 Этиловый спирт, абсолютный – q.s. до 100,00е Формула изобретения
![]() где R обозначает водород, фтор или гидрокси; R2 обозначает водород, низший алкил или галоген; X обозначает =CH2 или, когда R обозначает гидрокси, X обозначает (H,H) или =CH2; A обозначает -C C-, или -CH2-CH2, при условии, что когда A обозначает -CH2-CH2-, то R2 обозначает водород или низший алкил.
2. Соединение по п.1, где R обозначает гидрокси.
3. Соединение по п.2, где A обозначает -C C-.
4. Соединение по п.2, где A обозначает -CH2-CH2-.
5. Соединение по п.2, где A обозначает или ![]() 6. Соединение по п.1, где R2 обозначает фтор. 7. Соединение по п.1, где R2 обозначает водород. 8. Соединение по п.1, где R2 обозначает низший алкил, в частности метил или этил. 9. Соединение по п.1, где R обозначает фтор. 10. Соединение по п.1, где X обозначает (H,H). 11. Соединение по п.1: 1,25-дигидрокси-16-ен-23-ин-20-эпихолекальциферол, 1,25-дигидрокси-16-ен-20-эпихолекальциферол, 1,25-дигидрокси-16-ен-23-ин-26,27-гексафтор-20-эпихолекальциферол, 1,25-дигидрокси-16,23Е-диен-26,27-гексафтор-20-эпихолекальциферол, 1,25-дигидрокси-16,23Z-диен-26,27-гексафтор-20-эпихолекальциферол, 1,25-дигидрокси-16,23Z-диен-26,27-гексафтор-20-эпи-19-норхолекальциферол, 1 -фтор-25-гидрокси-16,23Z-диен-26,27-гексафтор-20-эпихолекальциферол,1 -фтор-25-гидрокси-16-ен-23-ин-26,27-гексафтор-20-эпихолекальциферол,1 -фтор-25-гидрокси-16,23Е-диен-26,27-гексафтор-20-эпихолекальциферол,1,25-дигидрокси-16-ен-23-ин-26,27-бисгомо-20-эпихолекальциферол, 1,25-дигидрокси-16-ен-23-ин-26,27-бисгомо-19-нор-20-эпихолекальциферол, 1 -фтор-25-гидрокси-16-ен-23-ин-26,27-бисгомо-20-эпихолекальциферол,1 -фтор-25-гидрокси-16,23Е-диен-25,27-бисгомо-20-эпихолекальциферол.
12. Фармацевтическая композиция, включающая эффективное количество соединения формулы I по п.1 и фармацевтически приемлемый носитель, предназначенная для индуцирования дифференциации и ингибирования пролиферации линий клеток кожи и рака, в частности для лечения гиперпролиферативных заболеваний кожи, таких, как псориаз, неопластических заболеваний, таких, как лейкемия, и заболеваний сальных желез, таких, как угревая сыпь, а также для реверсии состояний, вызываемых световым излучением, в частности для местного лечения кожи, поврежденной солнечным излучением, приводящим к появлению морщин, эластозу и преждевременному старению.
Приоритеты по пунктам:23.05.1996 по пп.1 – 10 и 12 и первые 7 соединений из п.11; 19.03.1997 – остальные соединения п.11. РИСУНКИ
MM4A Досрочное прекращение действия патента Российской Федерации на изобретение из-за неуплаты в установленный срок пошлины за поддержание патента в силе
Дата прекращения действия патента: 24.05.2002
Номер и год публикации бюллетеня: 14-2004
Извещение опубликовано: 20.05.2004
|
||||||||||||||||||||||||||

C-,
или – СН2 -СН2 -. Соединения индицируют дифференциацию и ингибируют пролиферацию линий клеток кожи и рака, в частности для лечения гиперпролиферативных заболеваний кожи, неопластических заболеваний, заболеваний сальных желез и состояний, связанных с повреждениями кожи световым излучением. 2 с. и 10 з.п.ф-лы, 6 табл.


-фтор-25-гидрокси -16,23E-диен-26,27-бисгомо-20-эпихолекальциферол, пригодны для лечения остеопороза.
Кроме того, местное нанесение на кожу пациента соединения формулы I приводит к реверсии состояний, вызванных повреждениями под воздействием светового излучения. Следовательно, при местном нанесении соединений формулы I на кожу пациентов, поврежденную в результате воздействия солнечного излучения, может быть осуществлена реверсия таких проявлений, как морщины, эластоз и преждевременное старение, что приводит к улучшению внешнего вида кожи. Другими словами, при местном применении соединений формулы I усиливается восстановление поврежденной кожи, что приводит к ее разглаживанию и омолаживанию.
Изобретение также относится к фармацевтической композиции, содержащей соединение формулы I и фармацевтически приемлемый носитель. Такие композиции могут быть использованы для индукции дифференцировки и ингибирования пролиферации линий клеток кожи и раковых клеток, в частности для лечения гиперпролиферативных заболеваний кожи, таких, как псориаз, неопластических заболеваний, таких, как лейкемия, и заболеваний сальных желез, таких, как угри, а также для реверсии состояний, вызванных повреждениями под воздействием светового излучения, в частности для местного лечения кожи, поврежденной вследствие воздействия солнечного излучения, приводящего к появлению морщин, эластозу и преждевременному старению. Изобретение также относится к применению соединений формулы I для изготовления лекарств, предназначенных для лечения вышеуказанных болезней и состояний. Изобретение также относится к способу получения соединений формулы I и промежуточных продуктов формулы XII.
В предпочтительном варианте R обозначает гидрокси. В соединении формулы I R2 предпочтительно обозначает водород или фтор. Предпочтительными соединениями формулы I являются:
)]-[2-[3,5-бис[[(1,1-диметилэтил) диметилсилил]окси]-2-метиленциклогексилиден] этил]дифенилфосфиноксидом в растворителе, представляющем собой простой эфир, такой, как тетрагидрофуран, в присутствии н-бутиллития в качестве основания.
В альтернативном варианте соединение формулы XIV превращают в соответствующее соединение формулы Iа, в котором R обозначает водород, взаимодействием с [(5S,Z)-2-[2-[2-метилен-5-[[(1,1-диметилэтил) диметилсилил]окси] циклогексилиден] этил] дифенилфосфиноксидом в растворителе, представляющем собой простой эфир, такой, как тетрагидрофуран, в присутствии н-бутиллития в качестве основания.
В альтернативном варианте соединение формулы XIV превращают в соответствующее соединение формулы Iа, в котором R обозначает фтор, взаимодействием с [3S-( 3
. В процессе добавления образовывался осадок. После дополнительной выдержки в течение 20 мин при -70oC добавляли в течение 15 мин раствор, содержащий 42,1 мл (302 ммоля) триэтиламина в 75 мл безводного дихлорметана. Суспензию перемешивали в течение 45 мин, удаляли охлаждающую баню и реакционной смеси давали нагреться до комнатной температуры (в течение 1,5 ч). Большую часть дихлорметана удаляли на роторном испарителе при пониженном давлении (баня с комнатной температурой) и остаток уравновешивали с помощью 500 мл воды и 750 мл простого эфира. Водную фазу три раза экстрагировали 750 мл простого эфира и эфирные фазы промывали методом противотока 500 мл воды, получая после сушки над Na2SO4, фильтрации и упаривания при пониженном давлении 15,36 г неочищенного продукта. С помощью хроматографии среднего давления на силикагеле с использованием в качестве элюента смеси гексан-простой эфир (4:1) (фракции, собранные в атмосфере азота) получали 14,95 г (выход 94%) [1R-[ [1
17E– , 
или -CH2-CH2, при условии, что когда A обозначает -CH2-CH2-, то R2 обозначает водород или низший алкил.
2. Соединение по п.1, где R обозначает гидрокси.
3. Соединение по п.2, где A обозначает -C
или 