Патент на изобретение №2173678
|
||||||||||||||||||||||||||
(54) СПОСОБ ВЫДЕЛЕНИЯ 3-[2-ХЛОР-4-(ТРИФТОРМЕТИЛ)-ФЕНОКСИ]-БЕНЗОЙНОЙ КИСЛОТЫ
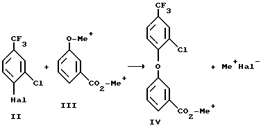
(57) Реферат: Изобретение относится к улучшенному способу выделения из водного раствора 3-[2-хлор-4-(трифторметил)-фенокси] бензойной кислоты, которая является промежуточным продуктом для получения таких гербицидов, как ацифторфен, фторогликофен и лактофен. Способ заключается в том, что а) металлическую соль, например натриевую или калиевую соль, 3-[2-хлор-4-(трифторметил)-фенокси] бензойной кислоты подвергают взаимодействию с неорганической или органической кислотой, желательно до значения pH менее 5; б) полученную реакционную смесь, содержащую твердый осадок указанной бензойной кислоты, нагревают до плавления последнего (обычно до температуры по меньшей мере 90-96°C). Возможно совмещение стадий а) и б). При этом в обоих случаях получают жидкую двухфазную систему, состоящую из органической и водной фазы. Органическую фазу, содержащую целевую бензойную кислоту, отделяют от водной фазы. Возможно проведение обезвоживания органической фазы, полученной на последней стадии. Способ позволяет получить продукт высокого качества с высоким выходом и упростить процесс за счет исключения работы с твердым веществом. 11 з.п. ф-лы. Изобретение относится к способу выделения (получения) 3-[2-хлор-4-(трифторметил)-фенокси]-бензойной кислоты по формуле I ![]() из водного раствора своей соли металла, при котором а) соль металла 3-[2-хлор-4-(трифторметил)-фенокси]-бензойной кислоты подвергают взаимодействию с органической или неорганической кислотой; b) реакционную смесь нагревают до образования жидкой двухфазной системы из органической и водной фаз и с) органическую фазу отделяют от водной фазы. 3-[2-хлор-4-(трифторметил)-фенокси] – бензойная кислота по формуле I является промежуточным продуктом для получения таких гербицидов, как ацифторфен, фторогликофен и лактофен, получение которых описано в заявках Германии DE-A 2311638, EP-A 20052, DE-A 3029728 и в патенте США US 4031131. Согласно описанию из US 4031131 производное бензойной кислоты формулы I осаждают в качестве кристаллизата из его соляного раствора посредством нейтрализации неорганической кислотой, выделяют фильтрацией, промывают водой и просушивают. Этот способ обладает некоторыми недостатками. Обращение с твердым веществом приводит при кристаллизации к образованию отложений, причем кристаллы воспринимают значительно больше воды. Это свойство приводит при сушке к засорениям и к ограниченной пропускной способности на производстве. Задачей предлагаемого изобретения является создание такого способа выделения 3-[2-хлор-4-(трифторметил)-фенокси] – бензойной кислоты, при котором эти недостатки отсутствуют. Эта задача решается тем, что соль металла 3-[2-хлор-4-(трифторметил)- фенокси] -бензойной кислоты подвергают взаимодействию с органической или неорганической кислотой; реакционную смесь нагревают до образования жидкой двухфазной системы из органической и водной фаз и органическую фазу отделяют от водной фазы. Получение производного бензойной кислоты формулы I производится согласно патенту США US 4031131 по следующей схеме: ![]() Производное трифторметилбензола по формуле II преобразуют взаимодействием с двойной солью металла 3-гидроксибензойной кислоты в соль металла производного бензойной кислоты по формуле IV. Выделение свободной кислоты производного бензойной кислоты общей формулы I происходит по способу согласно предлагаемому изобретению в три ступени. На первой ступени а) способа водный раствор солей металла производного бензойной кислоты по формуле I подвергается взаимодействию с органической или неорганической кислотой. В принципе можно исходить из всех солей металлов Me+ соединения по формуле IV, одновалентных и многовалентных, причем предпочтительными являются водорастворимые соли. Из растворимых в воде солей предпочтительными являются соли щелочных металлов, особенно соли калия и натрия. Для нейтрализации солей металла формулы IV годятся все органические и неорганические кислоты. Примером для органических кислот служат муравьиная кислота, уксусная кислота, пропионовая кислота и их смеси. Предпочтительно применяется уксусная кислота. Пригодными неорганическими кислотами являются соляная кислота, серная кислота, азотная кислота, фосфорная кислота и их смеси. Органическая или неорганическая кислота подается при перемешивании в водный раствор соли металла по формуле IV при температуре от 20 до 127oC, предпочтительно от 20 до 115oC, до достижения значения pH менее 5, предпочтительно менее 4,5. Это соответствует приблизительно 1 – 6-кратному молярному количеству кислоты на моль соли металла по формуле IV, предпочтительно 1 – 5-кратному молярному количеству кислоты. Если температура лежит приблизительно ниже 90oC, осаждается производное I бензойной кислоты. На ступени b) реакционную смесь нагревают до расплавления производного I бензойной кислоты и образования двухфазной системы из органической фазы и водной фазы. Нижняя органическая фаза содержит расплавленное производное I бензойной кислоты. Температура лежит при этом между 90 и 127oC, предпочтительно между 95 и 115oC. Ступени а) и b) могут быть проведены за одну стадию реакции, если подача кислоты осуществляется при температуре между 90 и 127oC, предпочтительно от 95 до 115oC. При такой реакции возникает непосредственно жидкая двухфазная система, которая разделяется на нижнюю органическую фазу и верхнюю водную фазу. На ступени с) органическая фаза отделяется от водной. Органическая фаза содержит производное бензойной кислоты, воду и, при необходимости, органическую кислоту. Органическая фаза может применяться непосредственно для дальнейшей переработки. На ступени d) она может быть предварительно обезвожена. Это производится посредством отгонки воды и остатков органической кислоты. В случае применения в качестве органической кислоты уксусной кислоты на стадии нейтрализации а) вода может удаляться также посредством отгонки частей или общего количества уксусной кислоты. Способ согласно изобретению может проводиться непрерывно и прерывно, а также при нормальном давлении, при избыточном и при пониженном давлении. Выход 3-[2-хлор-4-(трифторметил)-фенокси]-бензойной кислоты в органической фазе при способе согласно изобретению очень высок (97-98%). Отделенная жидкая фаза содержит менее чем 3%, предпочтительно менее чем 2% этого соединения. При этом способе выделения отпадает обращение с твердыми веществами и обезвоженный сплав 3-[2-хлор-4-(трифторметил)-фенокси] -бензойной кислоты может далее применяться непосредственно для получения нитрированием ацифторфена, 5-[2-хлор-4-(трифторметил)-фенокси]-2-нитробензойной кислоты. Пример 1. 2500 частей 20 вес.%-ного раствора калийной соли (в пересчете на свободную кислоту) 3-[2-хлор-4-(трифторметил)- фенокси]-бензойной кислоты (1,58 моль) со значением pH 8,8 разбавляют в трехлитровой обогреваемой стеклянной емкости при перемешивании с 498 частями воды и подогревают на 50oC. После этого при этой температуре и при перемешивании подают в течение 90 минут 370 частей (6,17 моль) уксусной кислоты, причем 3-[2-хлор-4-(трифторметил)фенокси] -бензойная кислота осаждается. Значение pH результирующей суспензии составляет 4,3. Потом суспензию нагревают на 96oC, причем твердое вещество плавиться и образуется двухфазная жидкая смесь. После прекращения перемешивания фазы отделяются, причем нижняя органическая коричневая фаза расплава весит после отделения водной фазы 594 части и содержит наряду с 84,0% 3-[2-хлор-4-(трифторметил)-фенокси]-бензойной кислоты еще 12,9% воды, а также 2,33% уксусной кислоты, взятой в виде ацетата калия. Водная фаза содержит 3-[2-хлор-4-(трифторметил)- фенокси]-бензойную кислоту менее 0,1%. Пример 2. 2500 частей 20 вес.%-ного раствора натриевой соли (в пересчете на свободную кислоту) 3-[2-хлор-4-(трифторметил)- фенокси]-бензойной кислоты (1,58 моль) со значением pH 8,8 разбавляют в трехлитровой обогреваемой стеклянной емкости при перемешивании с 498 частями воды и подогревают на 50oC. После этого при этой температуре и при перемешивании подают в течение 90 минут 360 частей (6,0 моль) уксусной кислоты, причем 3-[2-хлор-4-(трифторметил)-фенокси] -бензойная кислота осаждается. Значение pH результирующей суспензии составляет 4,3. Потом суспензию нагревают на 100oC, причем твердое вещество плавиться и образуется двухфазная жидкая смесь. После прекращения перемешивания фазы отделяются, причем нижняя органическая коричневая фаза расплава весит после отделения водной фазы 585 частей и содержит наряду с 82,5 частями 3-[2-хлор-4-(трифторметил)-фенокси] -бензойной кислоты еще 14,5 вес.% воды, а также 2,5 вес.% уксусной кислоты, взятой в виде ацетата натрия. Водная фаза содержит 3-[2-хлор-4-(трифторметил)-фенокси]-бензойную кислоту менее 0,1%. Формула изобретения
![]() из водного раствора ее металлической соли с использованием кислоты, отличающийся тем, что а) металлическую соль 3-[2-хлор-4-(трифторметил)-фенокси] -бензойной кислоты подвергают взаимодействию с органической или неорганической кислотой; б) полученную реакционную смесь, содержащую твердый осадок указанной бензойной кислоты, нагревают до его плавления, или взаимодействие с кислотой (а) и плавление (б) совмещают и проводят в одну стадию с образованием в обоих случаях жидкой двухфазной системы из органической и водной фаз; и в) органическую фазу, содержащую целевую бензойную кислоту, отделяют от водной фазы. 2. Способ по п.1, отличающийся тем, что взаимодействие с кислотой (а) и стадию плавления (б) совмещают и проводят в одну стадию. 3. Способ по п.1, отличающийся тем, что проводят стадию г) – обезвоживание органической фазы со ступени (в). 4. Способ по одному из пп.1-3, отличающийся тем, что в качестве металлической применяют соль калия или натрия. 5. Способ по одному из пп.1-4, отличающийся тем, что в качестве органической кислоты применяют муравьиную кислоту, уксусную кислоту, пропионовую кислоту, а также их смеси. 6. Способ по п.5, отличающийся тем, что в качестве органической кислоты применяют уксусную кислоту. 7. Способ по одному из пп.1-4, отличающийся тем, что в качестве неорганической кислоты применяют соляную кислоту, серную кислоту, фосфорную кислоту, азотную кислоту или их смеси. 8. Способ по одному из пп.1-7, отличающийся тем, что на ступени (а) подают столько органической или неорганической кислоты, чтобы рН достигало значения менее 5. 9. Способ по пп.1-8, отличающийся тем, что реакционную смесь на ступени (б) нагревают по меньшей мере до 90oC. 10. Способ по п.9, отличающийся тем, что реакционную смесь нагревают по меньшей мере до 96oC. 11. Способ по одному из пп.3-10, отличающийся тем, что обезвоживание органической фазы на стадии (г) проводят посредством отгонки воды. 12. Способ по п.6, отличающийся тем, что обезвоживание органической фазы на ступени (г) проводят посредством отгонки уксусной кислоты. MM4A Досрочное прекращение действия патента Российской Федерации на изобретение из-за неуплаты в установленный срок пошлины за поддержание патента в силе
Дата прекращения действия патента: 10.02.2004
Извещение опубликовано: 10.08.2005 БИ: 22/2005
|
||||||||||||||||||||||||||



