Патент на изобретение №2170927
|
||||||||||||||||||||||||||
(54) СПОСОБ ОЦЕНКИ ЭКОЛОГИЧЕСКОЙ ЧИСТОТЫ ПИЩЕВОЙ ПРОДУКЦИИ
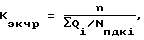
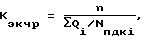
(57) Реферат: Изобретение относится к пищевой промышленности и может быть использовано для интегральной оценки качества пищевой продукции. Способ оценки включает следующие операции: определение токсичности сухого исходного сырья, воды, износа трущихся частей механизмов и оборудования. На основе этих измерений определяют расчетное значение токсичности элементов в готовом продукте. Затем определяют расчетный и фактический коэффициент экологической чистоты, рассчитывают коэффициент экологической надежности производства и определяют периодичность контроля. Изобретение позволяет повысить качество сертификатов пищевых продуктов и ввести конкретные информационные экологические данные на каждую единицу пищевого продукта. 1 табл. Изобретение относится к пищевой промышленности, в частности к способам оценки экологической частоты продукции, и может быть использовано для интегральной оценки качества пищевых продуктов и предприятий, их выпускающих. Общая проблема у потребителей: насколько безопасной с экологической точки зрения является покупаемый ими продукт, чаще всего пищевой. В магазинах покупатель “априори” верит, что все продукты, которые он покупает, почти безвредны или экологически чисты. Но это далеко от истины. Общеизвестен “гигиенический сертификат” на каждый пищевой продукт, который может затребовать покупатель. Но “гигиенический сертификат” при тщательном рассмотрении не содержит полезной информации, кроме слов “соответствует ГОСТу, ОСТу или санитарно-гигиеническим требованиям или нормам” страны, края, города и пр. Никакой количественной информацией сертификат не обладает, т.е. вполне может быть, что в данном продукте предельно допустимые концентрации (ПДК) близки к пределу сразу по нескольким параметрам, но покупатель считает, что все в порядке (норме). Чисто формально это действительно так, но по сути этот продукт уже опасен. Особенно остро эта проблема стоит относительно лечебно- профилактических продуктов питания. Нужна информация не только о том, что ПДК в данном продукте не превышает установленные нормы, но и о том, какое количество в условных единицах содержит данный продукт, т.е. если выразиться точнее, то нужно ввести какие-то условные коэффициенты, отражающие интегральную экологическую чистоту каждого продукта и экологическую надежность предприятия, выпускающего этот продукт. В настоящее время абсолютное большинство населения (потребителей) не обладают такой информацией, хуже того она сознательно скрывается. На упаковках зарубежных продуктов, а сейчас и на многих отечественных наносится штрих-код (ШК), который несет много полезной информации, в том числе и о консервантах, красителях и пр., имеющихся в данном продукте. Но, во-первых, эту информацию без специального прибора (сканера) не прочитать, а во-вторых она явно недостаточна, т.е. об экологической чистоте продукта по большому счету (наличие вредных примесей, в том числе тяжелых металлов, таких как свинец, кадмий и пр. и их количестве на единицу веса) штрих-коды информацию не несут.- С.Е.Бузников и др. “Системы и устройство штрихового кодирования” М., Знание, 1990, стр. 50-54. Технической задачей изобретения является повышение информативных качеств сертификатов пищевых продуктов и введение конкретных информационных экологических данных на каждую единицу пищевого продукта. С этой целью предлагается “Способ оценки экологической чистоты пищевой продукции”, содержащий следующие операции: определяют токсичность сухого исходного сырья, определяют токсичность воды, определяют токсичность износа трущихся частей механизмов и оборудования, на основе этих измерений определяют расчетное значение токсичных элементов в готовом продукте, затем определяют расчетный коэффициент экологической чистоты (Кэкчр) по формуле ![]() где n – число измеренных токсичных элементов и радионуклиидов (ТЭР); Qi – содержание ТЭР в мкг/кг в готовом продукте; Nпдкi– нормы предельно-допустимой концентрации для каждого входящего компонента продукта, мкг/кг, затем измеряют содержание ТЭР готового продукта для каждого токсичного элемента и радионуклида, по результатам этих измерений и расчетного коэффициента экологической чистоты данного продукта определяют фактический коэффициент экологической чистоты данного продукта (Кэкчф) по формуле ![]() где Qфi – содержание ТЭР в каждом компоненте готового продукта, затем рассчитывают коэффициент экологической надежности производства Kэн=Kкэчф/Kэкчр, на основе расчетного и фактического коэффициентов экологической чистоты определяют периодичность (Т) контроля ТЭР в данном продукте по формуле Т = Тпр Кэнгде Tпр – принятая (плановая) периодичность контроля данного продукта (в месяцах). Величины полученных коэффициентов Кэкчф и Кэн наносят на специальную марку (этикетку) и прикрепляют, например, рядом с ШК на каждую минимальную единицу продукта, например на каждую упаковку булки хлеба. Рассмотрим применение данного способа, например, при производстве зернового хлеба “Тибет”, (см. патент РФ N 2 095 986). Источниками токсичных элементов является исходное сырье, вода, коррозионный износ и окислительные процессы технологического оборудования при изготовления хлеба. Рассмотрим содержание в хлебе одного из токсичных элементов – i Обозначим его Qхлi В хлеб элемент i может попасть: из сухих составляющих хлеба (обозначим содержание элемента i в них: Qсухi; мкг/кг); из воды, добавляемой в тесто (обозначим содержание элемента i в воде: Qвi; мкг/кг); в результате износа трущихся частей оборудования(обозначим содержание токсичного элемента i, поступающего в хлеб в результате износа трущихся частей оборудования: Qmi; мкг/кг) Тогда Qхлi=Qсухi+Qвi+Qmi В свою очередь Qсухi= jXij mj Kij (1+ j)/((1+ хл) mхл),где Xij – содержание i-го токсичного элемента в исходном j-м компоненте, мкг/кг; mj – масса j-го исходного компонента, кг; j – влажность j-го исходного компонента,%;Кij – коэффициент дезактивации или снижения содержания i-го токсичного элемента j-компонента, отн. единиц; хл – влажность хлеба,%;mхл – масса произведенного хлеба, кг. Qвi= Qводi mвод/(Кфi mхл),где Qводi – содержание i-го токсичного элемента в воде, мкг/кг; Кфi – коэффициент фильтрации, отн. единиц; mвод – масса воды, добавляемой в тесто, кг; mхл -масса произведенного хлеба, кг. Qmi= m![]() i/mхл,где m – убыль веса технологического оборудования в результате коррозионного и окислительного износа, мкг;mхл – масса произведенного хлеба, кг; i – концентрация токсичных элементов, отн. единиц.
Исходя из уравнений материального баланса содержание токсичных элементов в выпеченном хлебе определяется следующим выражением: (1)где i=1,2,…, n n -общее число накапливающихся токсичных элементов и радионуклидов. Принимаем при этом Кфi=1 и Кij=1, исходя из начальных условий. Определим расчетный коэффициент экологической чистоты зернового продукта Kзкчр= n/( iQхлi/Nпдкi), (2)где Nпдкi – Нормы ПДК i-го компонента, мкг/кг. Произведем измерения содержания токсичных элементов и радионуклидов в зерновом выпеченном хлебе: Qрхлi для каждого токсичного элемента i(i=1,2,…, n), мкг/кг. Фактический коэффициент экологической чистоты зернового продукта Кэчкф определяется выражением Kзкчф= n/( iQpхлi/Nпдкi) (3)Коэффициент экологической надежности производства Кэн определяется выражением Kэн= Kэкчф/Kэчр, (4) где Kэчр – коэффициент экологической чистоты расчетный. Периодичность контроля токсичных элементов и радионуклидов в зерновом продукте Т определяется выражением T=Tпр Kэнз/Kэнм, (5)где Тпр – принятая периодичность контроля для хлебопродуктов из муки; Кэнм – коэффициент экологической надежности хлебопродуктов из муки; Кэнз – коэффициент экологической надежности зернового хлеба. Были произведены измерения содержания токсичных элементов и радионуклидов в хлебе из муки, коэффициент экологической чистоты хлеба составил 4,05, коэффициент экологической надежности принимаем за 1. Результаты занесены в таблицу. Туда же занесены результаты измерений содержания токсичных элементов в хлебе Тибет, фактический коэффициент экологической чистоты хлеба Тибет, расчетный коэффициент экологической надежности хлеба Тибет и рассчитанный период контроля. Из таблицы видно, что новая технология производства хлеба Тибет увеличила показатель экологической чистоты хлеба с 5,36 до 23,2, коэффициент экологической надежности возрос с 1,32 до 5,72, что по изложенным выше расчетам может позволить увеличить период контроля токсичных элементов до 17 месяцев (см. таблицу). В таблице Кэ – фактический коэффициент экологической чистоты, Кэн – коэффициент экологической надежности. Применение данного способа позволяет ввести математически рассчитанные объективные оценки качества готовой продукции, понятные абсолютному большинству населения. Далее эти оценки позволяют перейти к научно-обоснованной периодичности контроля готовой продукции, что позволит значительно уменьшить материально-технические ресурсы на проведение контрольных измерений. По первым двум критериям можно перейти к объективному критерию экологической надежности производства, что позволит оценить продукцию данного предприятия с экологической точки зрения в ряду подобных предприятий и оценить его с точки зрения потребителя, что безусловно скажется на конъюнктуре рынка, здоровой конкурентоспособности и в конечном итоге заставит руководство “слабых” предприятий принять кардинальные меры для повышения качества готовой продукции и с экологической стороны. В таблице показаны результаты измерений токсичных элементов в обычном хлебе из муки и зерновом хлебе “Тибет” и расчетные коэффициенты экологической чистоты, надежности и периодичности контроля обоих хлебов. Хорошо видна разница в экологическом качестве этих хлебов и, как следствие, в периодичности контроля, а значит, и в материальных затратах. Аналогичные результаты можно получить и по другим продуктам питания, если сравнивать традиционные технологии с современными, экологически чистыми. Формула изобретения
![]() где n – число измеренных токсичных элементов и радионуклидов (ТЭР); Qi – содержание ТЭР в мкг/кг в каждом компоненте; Nпдкi – нормы предельно допустимой концентрации для каждого компонента продукта, мкг/кг, затем измеряют содержание ТЭР готового продукта для каждого токсичного элемента и радионуклида, по результатам этих измерений и расчетного коэффициента экологической чистоты данного продукта определяют фактический коэффициент экологической чистоты данного продукта (Кэкчф) по формуле ![]() где Qфi – содержание ТЭР каждого измеренного компонента готового продукта, затем рассчитывают коэффициент экологической надежности производства ![]() на основе расчетного и фактического коэффициентов экологической чистоты определяют периодичность (Т) контроля ТЭР в данном продукте по формуле Т=Тпр Кэн,где Тпр – принятая (плановая) периодичность контроля данного продукта (в месяцах), после чего величины полученных коэффициентов Кэкчф и Кэн наносят на специальную марку (этикетку) и прикрепляют, например, рядом с штрих-кодом на каждую минимальную единицу продукта, например на каждую упаковку булки хлеба. РИСУНКИ
|
||||||||||||||||||||||||||



Кэн
jXij
j)/((1+
m
i/mхл,
(1)

