Патент на изобретение №2170571
|
||||||||||||||||||||||||||
(54) СРЕДСТВО ДЛЯ ОКРАШИВАНИЯ ВОЛОС
(57) Реферат: Изобретение относится к косметической промышленности, а именно к производству средств для окрашивания волос. Средство для окрашивания волос содержит спирты высокомолекулярные, моностеарат глицерина, жидкое мыло, комплексон, подщелачивающий агент, красящие компоненты, парфюмерную композицию, дополнительно содержит ланолин, карбамид, борную кислоту, растительные масла, антиоксиданты – аскорбиновую кислоту и сульфит натрия, воду. Средство для окрашивания является безвредным, не оказывает раздражающего и аллергического действия на кожу головы, а также не обладает общетоксическим и сенсибилизирующим действием, натуральные компоненты придают волосам блеск и шелковистость. 3 з.п. ф-лы, 3 табл. Изобретение относится к косметической промышленности, а именно к производству средств для окрашивания волос, представляющих собой кремообразные массы системы “масло в воде” с введением в них компонентов окислительного окрашивания волос или красителей, непосредственно выбираемых волосами из красящих составов. Предметом изобретения является средство для окрашивания волос, состав кремообразной основы которого обеспечивает стабильность кремообразной консистенции массы в процессе окрашивания волос, оптимальные условия и максимально щадящий режим окрашивания, уход за волосами, а также способ приготовления средства. Окраски, полученные с использованием настоящих составов, отличаются помимо этого повышенной стойкостью вследствие более полного проникновения красителей. Известны средства для окрашивания волос, кремообразная основа которых может содержать спирты высокомолекулярные (фракции C12-C20) [1, 2], моностеарат глицерина [1], карбамид [3], калиевые соли жирных кислот (жидкое мыло, например калия олеат [1]). В состав красок для волос, представленных на рынке, входят также комплексоны – соли этилендиамин-N,N,N’,N’-тетрауксусной кислоты (для снижения жесткости воды), кислота аскорбиновая и сульфит натрия (антиоксиданты), аммиак (подщелачивающий агент) и красящие компоненты. В составе описанного в патенте [1] средства для окрашивания для придания требуемой консистенции используют цетиловый спирт и моностеарат глицерина, в качестве эмульгатора – олеат калия, антиоксиданта – дитионит натрия, для смягчения жесткости воды – тетранатриевая соль этилендиамин-N,N,N’,N’-тетрауксусной кислоты, подщелачивающие агенты – аммиак и гидроокись калия. Состав средства для окрашивания волос Предлагаемое кремообразное средство для окрашивания волос содержит спирты высокомолекулярные (фракции C14-C20, преимущественно цетиловый и стеариловый спирт), моностеарат глицерина, жидкое мыло, комплексон, подщелачивающий агент – аммиак, красящие компоненты, парфюмерную композицию и воду; отличается тем, что дополнительно содержит ланолин, карбамид, борную кислоту, в качестве жидкого мыла содержит калиевые соли жирных кислот гидролизата растительных масел, в качестве антиоксиданта – кислоту аскорбиновую и сульфит натрия, в качестве комплексона – динатриевую соль этилендиамин-N,N,N’,N’- тетрауксусной кислоты, в качестве подщелачивающего агента дополнительно содержит натрия гидроокись при следующем соотношении компонентов, мас.%: Спирты высокомолекулярные (фракции C14-C20) – 8-25 Моностеарат глицерина – 0,1-12 Ланолин – 0,1-12 Жидкое мыло (в пересчете на 100% жирные кислоты) – 0,1-12 Динатриевая соль этилендиамин-N,N,N’,N’-тетрауксусной кислоты – 0,001-1,0 Карбамид – 0,1-20 Кислота борная – 0,01-10 Кислота аскорбиновая – 0,01-5 Сульфит натрия – 0,01-5 Аммиак (в пересчете на 100%) – 0,01-6 Натрия гидроокись – 0,00-1,50 Красящие компоненты (суммарное содержание) – 0,0001-10,0 Парфюмерная композиция – 0,01-2,0 Вода – До 100,0 В качестве красящих компонентов могут использоваться композиции окислительного крашения, содержащие как минимум одну компоненту-проявитель из числа пара-фенилендиаминов, орто- и пара-аминофенолов и их производных, соответствующих орто- и пара-производных пиридина и пиримидина, а также компоненты сочетания (модификаторы цвета) из числа производных мета-дигидроксибензола, мета-аминофенола, мета-фенилендиамина, соответствующих мета-производных пиридина, гидрокси-производных нафталинового ряда. В состав предлагаемых средств для окрашивания волос могут быть введены красители, непосредственно выбираемые волосами из красящих составов, в том числе производные нафтохинона, водорастворимые нитрокрасители (производные нитро-аминофенолов и нитро-фенилендиаминов), а также кислотные, прямые, активные и дисперсные красители из числа азокрасителей, арилметановых, ариламиновых, антрахиноновых и индигоидных красителей. Содержание каждого отдельного красящего компонента при его использовании в составе средства для окрашивания волос составляет по массе 0,0001-3,0%. Жировые компоненты – спирты высокомолекулярные, моностеарат глицерина и ланолин – вводятся в состав основы краски в качестве консистенцеобразующих компонентов, придающих основе ее кремообразный характер. Моностеарат глицерина и ланолин являются также соэмульгаторами. В качестве жидкого мыла используется мыльная основа жидкого туалетного мыла, представляющая собой смесь калиевых солей жирных кислот гидролизата растительных масел (прежде всего подсолнечного, кокосового, пальмового), являющаяся в данной системе эмульгатором (поверхностно-активным веществом) эмульсии жировых компонентов в водной фазе, а также солюбилизатором красящих компонентов. Мыльная основа и ланолин являются диспергаторами при использовании дисперсных красителей в составе средств для окрашивания волос на предлагаемой основе. Аммиак, вводимый в состав средства в качестве подщелачивающего агента, в сочетании с борной кислотой создает требуемую для синтеза красителя и щадящую для волос и кожи реакцию среду (pH ~ 10,0), и придает раствору высокую буферную емкость. Натрия гидроокись вводится в состав средства в эквимольном количестве для нейтрализации минеральных кислот при использовании компонентов окислительного крашения (ароматических аминов) в виде солей этих кислот, а также при использовании в составе средства нерастворимых или труднорастворимых в воде компонентов, чья растворимость значительно возрастает в щелочной среде, например соединений, содержащих карбоксильную или гидроксильную группу. Натуральные компоненты, введенные в состав средства, придают волосам блеск и шелковистость. Ланолин питает волосы, благотворно действует на кожу головы. Карбамид увлажняет волосы, препятствует пересушиванию и смягчает их. Ряд дополнительных компонентов, вводимых в состав основы средства помимо благоприятного воздействия на волосы способствует оптимизации процесса окрашивания. Оказываемое ими влияние будет рассмотрено исходя из механизма формирования красителя из отдельных компонентов окислительного крашения. Основным принципом окислительного крашения является то, что легкорастворимые в воде, небольшие по размеру (~ 7-10 ) молекулы цветокомпонентов проникают в волос (размер пор сухого волоса ~ 6 при максимальном набухании до 35 [4, 5]), где из них в процессе окисления формируются собственно красители. Последние превосходят по размеру исходные продукты (> 20 ) и нерастворимы в воде. За счет этого они “застревают” и удерживаются в волосе. Поэтому, чем глубже цветокомпоненты проникнут в роговой слой до начала конденсации (образования первичного промежуточного продукта конденсации – лейкосоединения красителя), тем прочнее и интенсивнее будет окраска.
Как известно, процесс окрашивания волос осуществляется в несколько этапов.
1. Раскрытие кутикулы в щелочной среде, набухание волоса.
2. Сорбция цветокомпонентов за счет диффузии через раскрытые чешуйки кутикулы вглубь рогового слоя волоса.
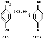
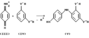
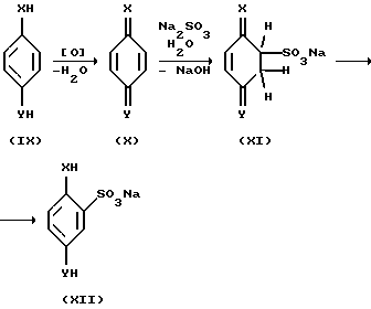
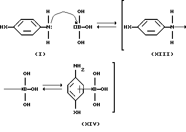
3. Окисление проявителя – пара-компоненты (I) под действием перекиси водорода в присутствии аммиака с образованием реакционноспособной частицы – хиноидного производного проявителя (II)- пара-бензохинонимина или пара-бензохинондиимина [6], напримерСхема 1 ![]() где X = NH. 4. Контролируемая по скорости электрофильная атака хинонимина (II), преимущественно в форме иминий-иона (III), на нейтральную молекулу модификатора – мета-компоненты (IV) с образованием первичного промежуточного продукта конденсации – лейкосоединения красителя (V) [7], например Схема 2 ![]() где X, Y’, Y” = NH, O; данная стадия протекает медленно, имеет первый порядок по каждому из компонентов и является лимитирующей, т.е. определяющей скорость всей реакции. 5. Образование индаминового красителя (VI) путем окисления лейкосоединения (V) Схема 3 ![]() где X, Y’, Y” = NH, O. 6. Дальнейшее наращивание цепи (при наличии незанятых положений 4 и 6 в молекуле модификатора) – конденсация молекул цветокомпонентов (поочередно проявителя и модификатора) Схема 4 ![]() например, обрыв цепи и образование конечной формы красителя. 7. Прекращение процесса окрашивания – смывание краски, закрытие чешуек кутикулы путем использования специальных кислых ополаскивателей. Исходя из представленного механизма могут быть сформулированы условия наибольшего благоприятствования формированию красителя: a) достижение максимального раскрытия кутикулы и набухания волоса при окрашивании, чтобы обеспечить диффузию цветокомпонентов в пространство между волокнами рогового слоя; b) предотвращение конденсации продуктов в массе краски: образование первичного промежуточного продукта реакции должно происходить уже внутри волоса, поскольку из-за крупного размера лейкосоединение красителя не способно к диффузии вглубь рогового слоя. Для раскрытия кутикулы и набухания волоса традиционно используются подщелачивающие агенты [5], например аммиак. При набухании волос может поглотить значительное количество воды, и его диаметр увеличивается на 18-20% [4]. Однако этой цели могут служить и нейтральные компоненты, как, например, карбамид, используемый в предлагаемой рецептуре. Вследствие своих кератолитических свойств и протеолитической активности мочевина увеличивает емкость волоса по отношению к воде и повышает способность рогового слоя волос (кератина) к набуханию, что приводит к увеличению размеров пор между белковыми молекулами и облегчает проникновение красящих компонентов в более глубокие слои волоса. Получающаяся таким образом окраска оказывается более интенсивной, стойкой и равномерной (менее селективной). Введение в состав краски окислительного типа карбамида в количестве 5% позволяет примерно вдвое снизить содержание цветообразующих компонентов, что помимо очевидной экономии имеет и другие немаловажные преимущества: – уменьшается скорость конденсации продуктов в массе краски: при пропорциональном уменьшении концентрации каждого из компонентов скорость образования лейкосоединение красителя снижается пропорционально квадрату степени снижения концентрации компонентов, что приводит к более полному выбиранию компонентов из массы краски; – снижается возможность аллергического и других нежелательных воздействий цвето-компонентов при окрашивании за счет более низкой их концентрации в составе. Очевидно, что набухание волоса под действием водного раствора карбамида происходит в значительно более щадящих условиях, чем при традиционном использовании сильно щелочных сред (как правило, pH 10,5-11,5). Снижение щелочности окрашивающего состава до pH менее 10,0 позволяет сохранить структуру волос, а поскольку карбамид способствует их увлажнению, то волосы не пересушиваются, остаются мягкими и легко расчесываются как во время окрашивания, так и после него даже без применения специальных ополаскивателей, способствующих закрытию чешуек кутикулы и сжатию волоса. При содержании карбамида более 10% наблюдается снижение интенсивности окрашивания, что связано, по всей видимости, с тем, что после достижения равновесия скорость десорбции начинает превышать скорость сорбционных процессов. Оптимальный ввод карбамида для оптимизации процесса окрашивания составляет от 5 до 10% и может варьироваться для различных типов волос и в зависимости от дальнейшего состава красящего средства. Роль продукта, препятствующего конденсации продуктов в массе краски, выполняет аскорбиновая кислота, которая широко используется в производстве красок для волос в качестве антиоксиданта и имеет ряд преимуществ по сравнению с другими реагентами, такими как, например, тиогликолевая кислота и сульфит натрия [8]. Использование сульфита натрия в составе красящих средств для волос окислительного типа в качестве единственного антиоксиданта нецелесообразно, поскольку в отличие от аскорбиновой и тиогликолевой кислот он не связывает свободный кислород, а восстанавливает образующиеся хиноидные соединения (Х). Причем механизм реакции таков, что в результате происходит присоединение сульфогруппы к ароматическому ядру молекулы компоненты-проявителя с образованием ароматической сульфокислоты (XII) (cхема 5) Схема 5 ![]() где X,Y = NH, O. Очевидно, что в данном процессе конечный продукт (XII) отличается от исходного (IX), что приводит не только к изменению результатов окрашивания, но и к снижению стойкости окраски. В отличие от сульфита натрия аскорбиновая кислота, будучи введенной в рецептуру, способна предотвратить окисление краски, окисляясь под действием диффундирующего в массу краски кислорода воздуха в процессе производства и при хранении. Рекомендуемая норма ввода для аскорбиновой кислоты при ее совместном использовании с натрием сернистокислым составляет 0,3%. Однако при увеличении содержания аскорбиновой кислоты (до 1,5%) обнаруживается увеличение интенсивности окрашивания. При этом не происходит окрашивания массы краски при смешении ее с окислителем в течение 2-10 мин. Волосы начинают окрашиваться в интенсивный цвет, в то время как масса краски остается бесцветной. Это объясняется тем, что аскорбиновая кислота связывает активный кислород, образующийся при взаимодействии аммиака с перекисью водорода, предотвращая синтез красителя еще на начальной стадии (схема 1). А это значит, что цветокомпоненты могут беспрепятственно проникать вглубь волоса, что, очевидно, и должно вести к увеличению степени устойчивости окраски. Для улучшения результатов окрашивания в ряде патентов предлагается использование ряда слабых кислот – винной [2], лимонной и молочной [2, 9], фосфорной и гликолевой кислоты [9]. Во всех случаях авторы патентов отмечают усиление интенсивности окраски. Введение в состав рецептуры красящего средства борной кислоты приводит к снижению окисляемости краски в массе, что по аналогии с действием аскорбиновой кислоты проявляется в снижении интенсивности окрашиваемости красящего состава под действием окислителя. Предлагается следующий механизм действия борной кислоты на процесс окрашивания волос. По всей видимости, наблюдаемый эффект связан с замедлением начальной стадии реакции – окисления пара-компоненты (I) до хиноидного производного (II) (схема 1). Поскольку борная кислота находится в растворе преимущественно в недиссоциированном виде (рКa = 9,15), не может идти речи о протонировании свободного аминосоединения (I). В то же время, являясь кислотой Льюиса, борная кислота могла бы за счет координационных (донорно-акцепторных) связей образовывать комплексы с ароматическими аминами (основания Льюиса) по типу (XIII), находящиеся в состоянии динамического равновесия со свободными аминосоединениями (схема 6). Таким образом, блокируется свободная электронная пара атома азота аминогруппы Схема 6 ![]() Так как свободная электронная пара аминогруппы вносит решающий вклад в формирование несвязывающей молекулярной орбитали, являющейся в то же время высшей занятой молекулярной орбиталью (ВЗМО), то в соответствии с теорией молекулярных орбиталей строение комплекса может быть представлено в виде формулы (XIV). Поскольку именно на ВЗМО происходит атака активной частицы в реакции окисления, молекула аминосоединения (I) оказывается защищена на какое-то время от действия окислительных агентов. По мере окисления молекул свободного аминосоединения и выведения его из зоны реакции равновесие смещается в сторону распада комплекса. Таким образом, действие борной кислоты сводится к снижению активной концентрации пара-компоненты (I) в реакционной массе по отношению к реакции окисления. Время замедления реакции должно оказаться достаточным для достижения молекулой поверхности волоса и пенетрации в него, где, в том числе и за счет образования координационных связей с кератиновым волокном, следует разрушение комплекса, и молекула свободного аминосоединения становится доступной действию агента окисления. Дальнейшие процессы происходят уже внутри волоса. Комбинированное использование рассмотренных компонентов – карбамида, аскорбиновой и борной кислоты – позволяет в значительной степени сократить использование дорогостоящих и вредных по своему воздействию на организм человека компонентов. Приводим составы (по красящим компонентам) средств для окрашивания волос окислительного типа. Выработаны опытные партии всех оттенков. Пример 1 Средства, предназначенные для окрашивания волос в светлые натуральные (блондин, светло-русый, русый), (средне-русый пепельный, пепельный блондин) и золотистые (светло-русый золотистый, золотой блондин, золотисто-пепельный блондин) оттенки (табл. 1). Пример 2 Средства, предназначенные для окрашивания волос в оттенки красной гаммы (медный, красное дерево, гранат, бордо, баклажан, черный тюльпан) (табл. 2). Пример 3 Средства, предназначенные для окрашивания волос в коричневые оттенки (светло-коричневый, коричневый, золотисто-каштановый, каштановый, ореховый) (табл. 3). Непосредственно перед применением данное средство смешивают с 6%-ным раствором перекиси водорода в соотношении 1:1, наносят на волосы и оставляют в течение 30 мин, после чего тщательно смывают водой. В заключение моют волосы шампунем и бальзамом для волос. В результате получают окраску волос в соответствии с приведенными результатами. Способ приготовления средства для окрашивания волос 1. Приготовление расплава жировой фазы (фаза A). Жировые компоненты – спирты высокомолекулярные, моностеарат глицерина и ланолин расплавляют при температуре 80-100oC. 2. Приготовление мыльного раствора (фаза Б). Мыльную основу жидкого туалетного мыла вносят в деминерализованную воду (~ 50% рецептурного количества), добавляют натрия сульфит, натрия гидроокись и красящие компоненты, растворение которых производится в щелочной среде, и при перемешивании нагревают до температуры 70-90oC. 3. Приготовление кислого раствора компонентов крашения (фаза B). Оставшиеся компоненты крашения, кислоту борную, кислоту аскорбиновую, карбамид, динатриевую соль этилендиамин-N, N, N’,N’-тетрауксусной кислоты растворяют в деминерализованной воде (~ 40% рецептурного количества), нагревая при перемешивании до температуры 70-90oC. Оставшееся количество деминерализованной воды (~ 10% рецептурного количества) используется для промывки оборудования и доведения массы средства до конечного объема. 4. Приготовление средства для окрашивания волос. Горячий мыльный раствор (фаза A) вносят в расплав жировых компонентов (фазу Б), охлаждают при интенсивном перемешивании до 40-50oC. В полученную кремообразную массу вносят кислый раствор компонентов крашения (фазу B), перемешивают до получения однородной массы. Охлаждают до температуры 30-40oC, после чего вносят аммиак водный, парфюмерную композицию; доводят водой до 100%. Готовая масса анализируется на соответствие нормативно-технической документации, после чего фасуется в герметически закрытые тубы. Непосредственно перед применением средство смешивается с водным раствором перекиси водорода или гидроперита с содержанием перекиси водорода в пересчете на 100% в количестве от 6 до 9%. Предлагаемые средства для окрашивания волос прошли испытания, подготовлены к выпуску и будут запущены в массовое промышленное производство. Выработаны опытные партии. Все средства для окрашивания волос прошли токсикологические и клинические испытания в Аккредитованном испытательном лабораторном центре “Институт красоты”. Токсикологические испытания проводились на лабораторных животных. Изучались острая токсичность, раздражающее (однократное и повторное) и сенсибилизирующее действия. В результате проведенных испытаний установлено, что средства для окрашивания волос не обладают общетоксическим, кожно-раздражающим и сенсибилизирующим действием. Клинические испытания проводились на 20 клинически здоровых лицах, наблюдения велись в течение 30 дней. Проводились капельный и компрессионный тесты (отсутствие гиперемии, отечности высыпаний), проверялись содержание суммарных липидов (себометрия) и влаги (влагометрия) в коже, уровень пигментации (пигментометрия) и профиль кожи. В результате проведенных испытаний установлено, что средства для окрашивания волос безвредны, не оказывают раздражающего и аллергического действия, предназначены для ухода за волосами. Список литературы 1. Патент ФРГ DE 4408506, кл. A 61 K 7/13 (прототип). 2. Патент ФРГ DE 4421031, кл. A 61 K 7/13. 3. Патент РФ RU 2008892, кл. A 61 K 7/13. 4. И.В. Носарь, В.А. Юшенко, Д.А. Габриэлян. В сб. “Тр. всес. НИ и проектн. ин-та хим. пр-ти”, 1976, вып. 4, 40-49. 5. И.И. Филоненко, С.Н. Грушко. Свойства волос и методы их исследования. В сб. ЦНИИТЭИ ПИЩЕПРОМ, 1984, вып. 9, 1-16. 6. J.F. Corbett, J. Soc. Cosmet. Chem., 1969, 20, 253. 7. J.F. Corbett, J. Soc. Cosmet. Chem., 1973, 24, N 2, 103-134. 8. H. Wilmsmann, E. Konrad; US Patent 3337411. 9. Патент ФРГ DE 19653496, кл. A 61 K 7/13. Формула изобретения
Спирты высокомолекулярные (фракции C14-C20) – 8,0 – 25,00 Моностеарат глицерина – 0,1 – 12,00 Ланолин – 0,1 – 12,00 Жидкое мыло (в пересчете на 100% жирные кислоты) – 0,1 – 12,00 Динатриевая соль этилендиамин-N,N,N’,N’-тетрауксусной кислоты – 0,001 – 1,00 Карбамид – 0,1 – 20,00 Кислота борная – 0,01 – 10,00 Кислота аскорбиновая – 0,01 – 5,00 Сульфит натрия – 0,01 – 5,00 Аммиак (в пересчете на 100%) – 0,01 – 6,00 Натрия гидроокись – 0,00 – 1,50 Красящие компоненты (суммарное содержание) – 0,0001 – 10,00 Парфюмерная композиция – 0,01 – 2,00 Вода – До 100,0 2. Средство для окрашивания волос по п.1, отличающееся тем, что красящие компоненты выбирают из группы композиций окислительного крашения, содержащих как минимум одну компоненту-проявитель из числа пара-фенилендиаминов, орто- и пара-аминофенолов и их производных, соответствующих орто- и пара-производных пиридина и пиримидина, а также компоненты сочетания (модификаторы цвета) из числа производных мета-дигидроксибензола, мета-фенилендиамина, соответствующих мета-производных пиридина, гидрокси-производных нафталинового ряда. 3. Средство для окрашивания волос по пп.1 и 2, отличающееся тем, что красящие компоненты выбирают из группы красителей, непосредственно выбираемых волосами из красящих составов, в том числе производные нафтохинона, водорастворимые нитрокрасители (производные нитро-аминофенолов и нитро-фенилендиаминов), а также кислотные, прямые, активные и дисперсные красители из числа азокрасителей, арилметановых, ариламиновых, антрахиноновых и индигоидных красителей. 4. Средство для окрашивания волос по пп.1 – 3, отличающееся тем, что содержит каждого отдельного введенного в состав красящего компонента по массе 0,0001 – 3,0%. РИСУНКИ
MM4A – Досрочное прекращение действия патента СССР или патента Российской Федерации на изобретение из-за неуплаты в установленный срок пошлины за поддержание патента в силе
Дата прекращения действия патента: 26.05.2008
Извещение опубликовано: 10.06.2010 БИ: 16/2010
NF4A Восстановление действия патента СССР или патента Российской Федерации на изобретение
Дата, с которой действие патента восстановлено: 10.07.2010
Извещение опубликовано: 10.07.2010 БИ: 19/2010
|
||||||||||||||||||||||||||

) молекулы цветокомпонентов проникают в волос (размер пор сухого волоса ~ 6
при максимальном набухании до 35
[4, 5]), где из них в процессе окисления формируются собственно красители. Последние превосходят по размеру исходные продукты (> 20
) и нерастворимы в воде. За счет этого они “застревают” и удерживаются в волосе. Поэтому, чем глубже цветокомпоненты проникнут в роговой слой до начала конденсации (образования первичного промежуточного продукта конденсации – лейкосоединения красителя), тем прочнее и интенсивнее будет окраска.
Как известно, процесс окрашивания волос осуществляется в несколько этапов.
1. Раскрытие кутикулы в щелочной среде, набухание волоса.
2. Сорбция цветокомпонентов за счет диффузии через раскрытые чешуйки кутикулы вглубь рогового слоя волоса.
3. Окисление проявителя – пара-компоненты (I) под действием перекиси водорода в присутствии аммиака с образованием реакционноспособной частицы – хиноидного производного проявителя (II)- пара-бензохинонимина или пара-бензохинондиимина [6], например




