Патент на изобретение №2170492
|
||||||||||||||||||||||||||
(54) СПОСОБ ПРОГНОЗИРОВАНИЯ ХАРАКТЕРИСТИК РАСПРОСТРАНЕНИЯ РАДИОВОЛН В ГОРОДСКОЙ ОБСТАНОВКЕ
(57) Реферат: Раскрыт способ прогнозирования характеристик распространения волн в модели городского каньона, учитывающий явление поляризации. Способ содержит этапы: нумерации множества изображаемых антенн, соответствующих отражениям сигнала между передающей и приемной антеннами в городском каньоне, определения траекторий, соответствующих соответственным изображаемым антеннам: вычисления соответственных первых точек отражения сигнала траекторий, соответствующих изображаемым антеннам; вычисления соответственных векторов электрического поля отражения траекторий, соответствующих изображаемым антеннам и нахождения суммарной мощности принимаемого сигнала приемных антенн через векторы электрического поля отражения сигнала траекторий и единичный вектор поляризации приемной антенны. Можно получить точные эффекты затухания посредством предположения достаточно большого количества траекторий. Для изменяющейся поляризации приемной антенны можно получить распределение мощности принимаемого сигнала. Технический результат – повышение точности прогнозирования характеристик распространения радиоволн. 9 з.п. ф-лы, 11 ил. Изобретение касается в общем способа прогнозирования распространения радиоволн, используя модель городского каньона. В частности, изобретение полезно в проектировании систем радиосвязи. В цифровой системе связи с микросотовой структурой зоны обслуживания (микросотовой системе связи) антенны ретрансляторов распределены по всей географической зоне обслуживания, в частности городской зоне, для непосредственной связи с устройствами радиосвязи. Антенны ретрансляторов обычно жестко смонтированы в основной базовой станции (системе вещательного телевидения), обслуживающей ячейку через медные кабели, оптические кабели или оптические волноводы. Важное соображение в конструировании микросотовой системы состоит в том, чтобы определить местоположения этих антенн для предотвращения возникновения мертвых зон, где имеет место недостаточный уровень сигнала. Мертвая зона может быть вызвана многократными отражениями от зданий и т.д., которые сходятся в определенном местоположении, вызывая плавное увеличение или снижение уровня сигнала. Для оптимизирования расположения антенн ретранслятора можно использовать эмпирические подходы с целью снижения до минимума ухудшения рабочих характеристик, вызванных многократными отражениями. Однако эти подходы являются и дорогостоящими, и трудоемкими. По существу, желательно использовать способ моделирования и прогнозирования распространения волн радиочастотного диапазона (РЧ) в городских условиях для достижения подходящих расположений антенн. Одна такая модель называется моделью городского каньона и определяет каньон, образованный в пространстве между парой зданий и поверхностью земли. Полагают, что все здания и земля являются диэлектриками с потерями. Полагают, что передающая антенна и приемная антенна стоят перпендикулярно поверхности земли. Передаваемая РЧ-энергия создает множество волн отражения сигнала от зданий и земли. Если траектория радиоволны от передающей антенны до приемной антенны известны, можно получить коэффициенты отражения в соответственных точках отражения сигнала. Также можно найти число, представляющее сколько раз произошли отражения сигнала на траекториях соответственных отраженных волн. Для этой цели используют способ изображений. Фиг. 1 иллюстрирует окружающую обстановку известной модели городского каньона. Как показано, прямой путь, включающий землю 3, здание N 1 – 1 и здание N 2 – 2, смоделирован как образующий диэлектрический каньон 10. Для соответственных сред здания N 1, здания N 2 и земли заданы диэлектрические проницаемости ( 1, 2, 3) и магнитные проницаемости ( 1, 2, g), как обозначено на фиг. 1. Внутри каньона находятся передающая антенна 4 с трехмерными координатами (xt, yt, zt) и приемная антенна 5 с координатами (xr, yr, zr). Полагают, что радиоволны (то есть лучи), исходящие от передающей антенны 4, излучаются во всех направлениях. Одна из радиоволн является прямой волной, достигающей приемной антенны непосредственно без какого-либо отражения. Другие радиоволны представляют собой волны многократного отражения, достигающие приемной антенны, отражаясь от одной или больше поверхностей стен двух зданий 1, 2 и поверхности 3 земли. Способ изображений выбирают для нахождения точных точек на поверхности стен и (или) земли, в которых отражаются волны многократного отражения.
На фиг. 1 предполагают, что поверхности двух зданий бесконечны в направлениях y и z, а земля бесконечна в направлении y. Это предположение допустимо, потому что размеры соответственных поверхностей отражения сигнала намного больше длины волны передаваемых радиоволн. На основании этого полагают, что на двух поверхностях зданий 1 и 2 бесконечно образуются изображаемые антенны. Другие изображаемые антенны образуются ниже земли. Каждая изображаемая антенна, независимо от того, выше ли она или ниже земли, предназначена для соответствия отражению сигнала от одного из зданий или от поверхности земли; местонахождение каждой изображаемой антенны зависит от местонахождения и направления соответствующего отраженного луча. После определения всех изображаемых антенн можно вычислить мощность принимаемого сигнала в приемной антенне 5, используя модель свободного пространства, в которой суммируются вклады РЧ-энергии от различных изображаемых антенн. Уравнение, определяющее мощность принимаемого сигнала, обусловленную прямыми волнами, принимаемыми приемной антенной 5, и волнами многократного отражения, представляет собой:Уравнение 1 ![]() где Pt является мощностью передаваемого сигнала, – длина волны сигнала радиоволны, k – волновое число (2 / ), n – количество траекторий, Gn представляет квадратный корень из произведения коэффициентов усиления передающей и приемной антенн на n-ой траектории, Rn – коэффициент отражения траектории, а rn является длиной траектории между передающей антенной 4 и n-ой приемной изображаемой антенной. Если n = 0, то это указывает на прямую волну; все другие значения n указывают на отраженные волны. При рассмотрении коэффициентов направленного действия и ширины диаграмм направленности передающей и приемной антенн, значение Gn может изменяться в зависимости от относительных местоположений передающей и приемной антенн. Параметр Rn представляет произведение коэффициентов отражения волн, отраженных от поверхностей зданий 1, 2 и (или) земли 3, умноженных на количества отражений. В уравнении 1 полагают, что все радиоволны являются вертикально поляризованными ( – направление). Принимается во внимание только напряженность поля излучения, а не влияние поляризации.
Фиг. 2А и 2В иллюстрируют процедуру образования и нумерации изображаемых антенн прототипа. Фиг. 2А иллюстрирует образование изображаемых антенн и x-координаты, а фиг. 2В иллюстрирует нумерацию изображаемых антенн.
Далее представлено объяснение алгоритма прототипа, который находит траектории прямых волн и волн многократного отражения, существующих в модели каньона.
Со ссылкой по-прежнему на фиг. 1, отмечается, что изображаемые антенны, соответствующие отраженным волнам от поверхностей стен, образованы на основе двух диэлектрических поверхностей, то есть поверхностей стен зданий. Изображаемые антенны ниже поверхности земли соответствуют волнам отражения, которые включают в себя отражение сигнала от поверхности земли. Rnv указывает изображаемые приемные антенны, образованные вследствие отражения сигнала от поверхностей двух зданий 1, 2 и поверхности земли 3, где n – номер конкретной изображаемой антенны, a v – число, представляющее, находится ли эта изображаемая антенна выше или ниже поверхности земли. Для изображаемой антенны выше поверхности земли числу v присваивается значение “0”, а для изображаемой антенны ниже поверхности земли v присваивается значение “1”. Следовательно, n-ая изображаемая приемная антенна выше поверхности земли обозначается символом Rn0 а n-ая изображаемая приемная антенна ниже поверхности земли обозначается символом Rn1.
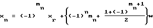
Неопределенные изображаемые антенны, образованные поверхностями двух зданий, пронумерованы следующим образом:Действительная приемная антенна 5 определяется величиной n = 0, благодаря чему обозначается индексом R00. Изображаемые антенны, образованные отражениями сигнала от стенок обоих зданий, пронумерованы следующим образом: постоянно находящиеся в областях x < 0 последовательно обозначаются нечетными номерами, а постоянно находящиеся в области x > 0 последовательно обозначаются четными номерами. На фиг. 2А показаны пронумерованные антенны, а правило нумерации иллюстрируется волной в виде меандра на фиг. 2В. Предполагается, что для каждой подлежащей рассмотрению траектории передающая антенна образует две изображаемые антенны, R10 и R20. Изображения R10 и R20 соответствуют отражениям сигнала от поверхностей левого и правого зданий соответственно. Изображаемые антенны, образованные от R10, обозначены числами в нижней части волны а виде меандра, а изображаемые антенны, образованные от R20, обозначены числами в верхней части волны в виде меандра. Таким образом, изображение R10 (то есть, R1 на фиг. 2А или “1” на фиг. 2В) производит луч, который отражается от здания справа, образуя изображение R40 (то есть, R4 на фиг. 2А или “4” на фиг. 2В). Затем изображение R40 производит изображение R50, и т.д., пока РЧ-энергия ни достигает приемной антенны через непрерывные многократные отражения. Аналогично этому, изображение R20 производит изображения R30, R60 и т.д. Отметим, что используемый здесь термин “траектория” означает любой путь, на котором РЧ-энергия от передающей антенны может достигать приемной антенны независимо от того, происходят ли отражения или нет. Таким образом, например, прямой путь от передающей антенны до приемной антенны определяет одну траекторию; другая траектория – это путь, на котором РЧ-энергия от передающей антенны 5 отражается от одной поверхности и затем достигает приемной антенны 4; еще одна траектория включает в себя отражение сигнала только от двух поверхностей, чтобы достигнуть приемной антенны 4; и т.д. При вычислении мощности принимаемого сигнала с использованием уравнения 1 полагают, что РЧ-энергия исходит от соответственных изображаемых антенн и достигает приемной антенны 5. Суммарные количества отражений, образованных от зданий 1 и 2, должны быть известны. Нечетные изображаемые антенны R10, R30, R50, R70 и т.д. представляют лучи, которые начинаются от передающей антенны 4 и сначала отражаются от здания N 1, проходя соответственные остающиеся траектории, а затем достигают приемной антенны 5. В противоположность этому, для четного n, изображаемые антенны R20, R40, R60, R80 и т.д. представляют лучи, которые начинаются от передающей антенны 4 и сначала отражаются от здания N 2, проходят соответственные остающиеся траектории и затем достигают приемной антенны 5. В диаграмме волны в виде меандра на фиг. 2В, расположенные на одной прямой в вертикальном направлении номера антенн, то есть {0}, {1, 2}, {3, 4}, {5, 6} и т.д., последовательно имеют общие количества отражений n = 0, 1, 2, 3, и т.д. Например, каждая из изображаемых антенн 1 и 2 имеет количество отражений сигнала, равное 1; каждая из изображаемых антенн 3 и 4 имеет количество отражений сигнала, равное 2; и т.д. Общее уравнение для количества отражений сигнала n-ой изображаемой антенны имеет следующий вид: Уравнение 2 ![]() где n = 0, 1, 2, 3, и т. д. Процесс отражения сигнала изображаемых антенн ниже поверхности земли идентичен случаю изображаемых антенн на поверхности земли и включает в себя еще одни отражения сигнала от поверхности земли. Из уравнения 1 и уравнения 2 получают координаты (xn, yn, zn) (n, v)-ой изображаемой приемной антенны Rnv: Уравнение 3 ![]() yn = yr zv = (-1)vzr где mn определяется уравнением 2, yr и zr являются соответственными координатами y и z приемной антенны 5, а W – ширина дороги между двумя зданиями. Способ изображаемых антенн используется для поиска траектории. И полагают, что угол падения равен углу отражения. Так что изображаемые антенны образуются на одних и тех же расстояниях от поверхности отражения сигнала и по вертикальному направлению к поверхности отражения. Соответственно, координаты Y не изменяются. Кроме того, чтобы определить, сколько изображаемых антенн образуется для каждой траектории, необходимо определить количество отражений, которые происходят между двумя зданиями. Образуя изображаемые антенны, соответствующие соответственным волнам многократного отражения, все пространство заменяют свободным пространством без препятствий. По существу, можно применить уравнение для мощности принимаемого сигнала, используемое в свободном пространстве. Этот способ нумерации довольно хорош тем, что он облегчает нахождение неопределенных многократных траекторий. Из-за большого расстояния между передающей и приемной антеннами полагают, что существует только вертикальная составляющая электрического поля. Следовательно, когда в модели каньона происходит отражение сигнала, на поверхности земли образуется горизонтальная поляризация, на поверхности двух зданий образуется вертикальная поляризация, и полагая, что антенна является симметричной вибраторной антенной, коэффициент усиления передающей антенны и приемной антенны фиксируется на уровне 1,64 дБ. Однако в действительной городской обстановке, хотя передающая антенна зафиксирована в вертикальном направлении относительно поверхности земли, пользователь может свободно изменять направление поляризации волны приемной антенны. То есть в модели каньона существует не только вертикальная составляющая относительно поверхности земли, но также и горизонтальная составляющая, хотя и слабая, и эта горизонтальная составляющая воздействует на мощность принимаемого сигнала. Но в прототипе, поскольку электрическое поле рассматривается в виде скалярной компоненты, нельзя найти мощность принимаемого сигнала, на которую воздействует изменение направления поляризации волны антенны. Другой известный способ прогнозирования распространения РЧ-сигнала, который находит множественные траектории, принимая во внимание отражения сигнала, которые образуются на траекториях в здании, раскрыт в патенте США N 5450615 под названием “Прогнозирование внутреннего распространения электромагнитных волн для беспроводных находящихся в помещении систем”. В этом патенте для прогнозирования распространения РЧ-сигнала внутри структуры используется способ получения изображений. Каждая отражающая поверхность связывается с коэффициентом отражения и прохождения. Предполагаются местоположения передающего и приемного устройств опорного сигнала с траекторией отражения, проходящей в обратном направлении от каждого местоположения приемного устройства до отражающих поверхностей, для образования изображений. Хотя этот способ может быть полезен для прогнозирования внутреннего распространения, его выгодность для прогнозирования наружного распространения в городских условиях эффективным способом в вычислительном отношении сомнительна. Краткое изложение сущности изобретения Целью настоящего изобретения является обеспечить способ прогнозирования характеристик распространения волн посредством учитывания электрического поля в виде не скалярной компоненты, а векторной компоненты, чтобы применять его к реальным городским условиям, и нахождения единичного вектора направления, по которому радиоволны начинают распространяться от передающей антенны. Другой целью настоящего изобретения является обеспечить способ вычисления мощности принимаемого сигнала с учетом коэффициента направленного действия и поляризации волны передающей антенны и приемной антенны внутри городской модели. Другой целью настоящего изобретения является обеспечить способ нахождения координат первой точки отражения сигнала для нахождения траекторий, соответствующих соответственным изображаемым антеннам. Другой целью настоящего изобретения является обеспечить способ учета поляризации волны приемной антенны путем получения произведения между вектором поляризации волны приемных антенн и радиоволной, достигающей приемной антенны. В иллюстративном варианте осуществления изобретения способ прогнозирования характеристик распространения волн в модели городского каньона, с учетом влияния поляризации, включает в себя этапы: нумерации множества изображаемых антенн, соответствующих отражениям сигнала между передающей и приемной антеннами в городском каньоне; определения траекторий, соответствующих соответственным изображаемым антеннам; вычисления соответственных первых точек отражения сигнала траекторий, соответствующих изображаемым антеннам; вычисления соответственных векторов отраженного электрического поля траекторий, соответствующих изображаемым антеннам, и нахождения суммарной мощности принимаемого сигнала приемных антенн через векторы отражаемого электрического поля траекторий и единичный вектор поляризации волны приемной антенны. Можно благоприятно получить точный эффект замирания, предполагая достаточно большое количество траекторий. Кроме того, для изменяющейся поляризации волны приемной антенны можно получить распределение мощности принимаемого сигнала. Краткое описание чертежей Фиг. 1 иллюстрирует концепцию известной модели городского каньона для прогнозирования распространения РЧ-сигнала. Фиг. 2 представляет схематическую диаграмму, показывающую соответствующую прототипу процедуру образования и нумерации изображаемых антенн. Фиг. 3 представляет графическую схему программы соответствующего настоящему изобретению прогнозирования характеристик распространения волн. Фиг. 4 представляет схематическую диаграмму, показывающую траектории изображаемых антенн на поверхности земли. Фиг. 5 иллюстрирует схематическую диаграмму, показывающую траектории изображаемых антенн ниже поверхности земли. Фиг. 6 иллюстрирует примерное распределение мощности принимаемого сигнала в соответствии с количеством траекторий для приемных антенн, ориентированных перпендикулярно поверхности земли. Фиг. 7 иллюстрирует примерное распределение мощности принимаемого сигнала в соответствии с количеством траекторий для приемных антенн, ориентированных параллельно поверхности земли. Фиг. 8 и 9 иллюстрируют примерные распределения мощности принимаемого сигнала в соответствии с поляризацией волны приемных антенн. Фиг. 10 и 11 иллюстрируют примерные распределения мощности принимаемого сигнала в соответствии с местоположениями приемных антенн. Подробное описание предпочтительных вариантов осуществления изобретения В пояснительном варианте осуществления настоящего изобретения, которое будет подробно описано ниже, для прогнозирования характеристик распространения в городской обстановке используется модель городского каньона, применяющая изображаемые антенны. Модель учитывает влияние поляризации, и в частности, допускается изменение ориентации поляризации волны приемной антенны. Составляющие электрического поля для учета направления поляризации радиоволн представляют собой векторы, и используется бинарный коэффициент отражения. Диаграмма распространения внутри модели каньона является трехмерной с учетом направления поляризации волн, излучаемых антеннами. Чтобы учитывать электрическое поле не в виде скалярного, а в виде векторного, будет найден единичный вектор, указывающий направление распространения, и это направление распространения представляет направление, в котором идут волны, начинающиеся от передающей антенны. Следовательно, будут найдены координаты местоположения первой точки отражения сигнала. Вертикальная составляющая и горизонтальная составляющая в электрическом поле разделяются на соответственные составляющие единичного вектора, используя прямоугольную систему координат. Коэффициент усиления передающей антенны можно найти путем преобразования прямоугольной системы координат в сферическую систему координат. Волны, распространяемые от передающей антенны, отражаются в точках отражения сигнала, соответствующих соответственным изображаемым антеннам. Используя бинарный коэффициент отражения, электрическое поле отражения сигнала описывается в виде вектора. И наконец, получая состав волн, поступающих на приемную антенну, и учитывая поляризацию волны приемной антенны, можно найти мощность принимаемого сигнала. Фиг. 3 представляет графическую схему программы, иллюстрирующей соответствующий настоящему изобретению способ прогнозирования характеристик распространения волн. Способ осуществляется посредством компьютерной программы, выполняемой на универсальном или специализированном компьютере. На этапе S 100 в модели городского каньона нумеруют множество изображаемых приемных антенн типа (n, v). Затем программа находит траектории и количество отражений сигнала knv, соответствующее соответственным пронумерованным приемным изображаемым антеннам (этап S 200). Затем находят (этап S 300) соответственные первые точки отражения сигнала (xp, yp, zp) траекторией, соответствующие изображаемым приемным антеннам. Затем вычисляют (этап S 400) соответственные реальные электрические поля отражения сигнала (то есть, электрическое поле, обусловленное отраженным лучом) траекторией, соответствующих изображаемым приемным антеннам. И наконец, программа находит суммарную мощность принимаемого сигнала Pr приемных антенн через реальный вектор электрического поля отражения сигнала траекторий и единичный вектор поляризации реальной приемной антенны, соответствующей изображаемым приемным антеннам (этап S 500).
Когда реальные волны отражаются от поверхностей двух зданий и поверхности земли, можно найти количество отражений сигнала и соответствующие точки отражений сигнала посредством определения информации о местоположении изображаемых приемных антенн с использованием известного способа. На фиг. 4 и 5 показаны траектории сигналов изображаемых антенн в виде плоскости xz. Траектория сигнала от передающей антенны до какой-либо данной изображаемой приемной антенны Rnv удовлетворяет следующему уравнению:Уравнение 4 ![]() где координаты передающей антенны 4 представляют (xt, yt, zt), координаты изображаемой антенны Rnv представляют (xn, yn, zv), а (x, y, z) – координаты любой точки на траектории луча. Фиг. 4 представляет схематическую диаграмму, показывающую траектории сигналов от изображаемой антенны R30 по поверхности земли, которая соответствует случаю v=0, представляющему отражения сигнала от поверхности зданий. Количество отражений сигнала от поверхностей зданий, для n-ой изображаемой антенны, обозначается индексом mn. То есть, для изображения Rnv общее количество отражений сигнала от поверхностей зданий составляет mn. В частности, для случая n = 0, то есть при 0 < xn < w, волны достигают приемной антенны прямо без отражения. Для четного n, то есть при xn > w, волны отражаются от поверхности здания N 2 и затем отражаются от поверхности здания N 1, в конечном итоге достигая приемной антенны. Для нечетного n, то есть при xn < 0, лучи отражаются от поверхности здания N 1, а затем отражаются от поверхности здания N 2, в конечном итоге достигая приемной антенны. Фиг. 5 представляет схематическую диаграмму, показывающую траектории сигналов от изображаемой антенны R41 ниже поверхности земли, то есть для v = 1, отраженные от поверхности земли один раз, и общее количество отражений составляет mn + 1, включая отражения сигнала от поверхности здания. Чтобы понять процесс отражения сигнала в это время, необходимо определить точки отражения сигнала на земле. Полагая, что количество отражений сигнала от поверхностей зданий до отражения сигнала от поверхности земли обозначено позицией knv, получим, что лучи отражаются от поверхностей зданий таким же образом, как в случае v = 0, до количества отражений knv. После этого происходят отражения сигнала от поверхности земли, и оставшиеся отражения сигнала от поверхностей зданий происходят mn – knv раз. Теперь будет описан процесс нахождения knv. Обращаясь к фиг. 4, отметим, что поскольку изображаемые антенны выше поверхности земли, то есть изображаемые антенны для случая v = 0 не представляют отражений сигнала от поверхности земли, knv не рассматривается. Следовательно, knv нужно находить только для случая v = 1. В частности, когда n = 0 (прямая волна), knv = 0. Количество отражений сигнала для n = 0 найдем следующим образом: на фиг. 4 отражения сигнала от поверхности здания происходят на поверхности здания, соответствующей координатам (x, z), которые удовлетворяют уравнению 5: Уравнение 5 x = iw ![]() где для четного n,1 = 1, 2, 3,…, mn и для нечетного n, 1 = 0, -1, -2,. .., (1-mn). Следовательно, общее количество отражений knv от поверхностей зданий непосредственно перед отражением сигнала от поверхности земли равно: Уравнение 6 ![]() где I – целое число со значением между (1 – mn) и mn, которое удовлетворяет условию в уравнении 5, что z является максимальным из возможных значений z для z < 0; а n – номер изображаемой антенны за поверхностью здания. Из уравнения 6 можно узнать, будет ли луч, распространяющийся от передающей антенны, отражен от поверхности земли или поверхности здания. Далее, из уравнения 6 можно узнать координаты первой точки отражения сигнала траектории, на которой происходит множество отражений сигнала. На основании знаний первой точки отражения сигнала можно найти и единичный вектор, имеющий такое же направление луча, распространяющегося от передающей антенны. Координаты P точки отражения сигнала, где вначале отражается луч, начинающийся от передающей антенны, обозначены ниже как (xp, yp, zp). Конечно, если отражения сигнала нет, то есть n = 0, v =0, то луч непосредственно передается от передающей антенны к приемной антенне, и точка отражения сигнала не существует. Если первое отражение сигнала происходит на поверхности здания, то есть n 0 и v = 0, или n 0, v = 1, a knv 1, то координаты первой точки отражения сигнала определяются уравнением 7 (которое следует из уравнения 4):Уравнение 7 ![]() ![]() ![]() С другой стороны, если первое отражение сигнала происходит на поверхности земли, то есть n = 0, v = 1, или n 0, v = 1, а knv = 0, координаты первой точки отражения сигнала определяются уравнением 8 (которое также следует из уравнения 4):Уравнение 8 ![]() ![]() Zp=0 По координатам первой точки отражения сигнала и координатам передающей антенны единичный вектор направление которого указывает от передающей антенны, определяется уравнением 9:Уравнение 9 ![]() где d – расстояние между точкой передачи и первой точкой отражения сигнала. Это расстояние вычисляется следующим образом: Уравнение 10 ![]() Следуя вышеупомянутой процедуре, можно получить характеристики (например, направление, уровень сигнала, поляризацию) первого отраженного луча от первой точки отражения сигнала (xp, yp, zp) из уравнения 7 или уравнения 8, единичный вектор из уравнения 9 и характеристики сред отражающих поверхностей. Этот отраженный луч становится следующим падающим лучом, отражающимся в модели каньона. Последний отраженный луч, достигающий приемной антенны, можно найти на основании знания траектории луча от передающей до приемной антенны. Затем процесс повторяется для многих лучей, каждый из которых имеет отличающуюся первую точку отражения сигнала, что приводит к единственной траектории. Помимо траектории прямого луча от передающей до приемной антенны, каждая траектория включает в себя одно или больше отражения сигнала. Например, в случае траектории, имеющей только одно отражение сигнала, РЧ-энергия, отраженная от первой точки отражения сигнала, непосредственно достигает приемной антенны. Для этого случая в модели распространения будет образована только одна изображаемая антенна. Другие траектории включают в себя многократные отражения – эти траектории моделируются большим количеством изображаемых антенн. Чтобы в определенное местоположение приемного устройства поступала мощность принимаемого сигнала, вычисляется составная РЧ-энергия многих траекторий.
Дальше объясняется процесс нахождения отраженного электрического поля отраженных лучей. Отраженное электрическое поле электрического поля падающего излучении задается уравнением 11:Уравнение 11 ![]() где – радиус кривизны фронта отраженной волны в точке отражения сигнала, s – расстояние от точки отражения сигнала до точки поля, k – волновое число, а бинарный коэффициент отражения, определяемый в уравнении 12:Уравнение 12 ![]() ![]() ![]() где единичный вектор перпендикулярной поляризации до отражения сигнала, единичный вектор перпендикулярной поляризации после отражения сигнала,e ![]() – единичный вектор параллельной поляризации до отражения сигнала, единичный вектор параллельной поляризации после отражения сигнала, иГ и Г являются коэффициентами отражения для перпендикулярной поляризации и параллельной поляризации, соответственно, которые являются функциями угла падения и диэлектрической проницаемости. Магнитная проницаемость сред устанавливается как магнитная проницаемость свободного пространства o. Угол падения определяется уравнением 13:Уравнение 13 ![]() где нормальный вектор отражающей поверхности, а единичный вектор падающей волны.
Диэлектрическая проницаемость r отражающей среды определяется уравнением 14:Уравнение 14 ![]() где относительная диэлектрическая проницаемость, представляющая комплексное число; [См/м] – проводимость; – угловая частота и o – диэлектрическая проницаемость свободного пространства.
В качестве примера в таблице 1 перечислены здания и дороги, когда частота составляет 1,8 ГГц.
Следуя приведенной выше процедуре, модель каньона заменяется моделью свободного пространства, содержащей множество изображаемых антенн, и можно найти реальное электрическое поле отражения сигнала в траекториях, соответствующих соответственным изображаемым приемным антеннам. Кроме того, из первого электрического поля падающего излучения можно найти электрическое поле отражения в соответственных точках отражения сигнала и конечное электрическое поле падающего излучения. Заменяя вышеприведенные значения в уравнении мощности принимаемого сигнала модели свободного пространства, вычисляют мощность принимаемого сигнала Pr реальной приемной антенны. Переменная которая является единичным вектором поляризации волны приемной антенны, используется для учета направления поляризации волны приемной антенны в уравнении мощности принимаемого сигнала.
В реальных городских окружающих условиях поляризацию волны приемной антенны можно изменять относительно фиксированной передающей антенны. Следовательно, с учетом коэффициентов направленного действия и поляризации волн передающей и приемной антенн в модели каньона, когда волны, излучаемые передающей антенной, достигают приемной антенны по неопределенным многочисленным траекториям, мощность принимаемого сигнала Pr определяется следующим образом:Уравнение 15 ![]() где – длина радиоволны, – характеристическое сопротивление волны в свободном пространстве, Gnv – коэффициент усиления приемной антенны, – вектор электрического поля, достигающий приемной антенны, – единичный вектор поляризации волны приемной антенны (в прямоугольной системе координат), n – количество изображаемых антенн, соответствующих определенной точке отражения сигнала на земле или поверхности здания в каньоне, v = 0 указывает изображаемые антенны выше земли, а v = 1 указывает изображаемые антенны ниже земли. Общее количество изображаемых антенн, связанных с поверхностными отражениями сигнала, теоретически бесконечно, но для выполнения практических вычислений оно установлено равным определенному числу N. В этом случае общее количество траекторий сигнала составляет NT = 2(N + 1). В уравнении 15 принято, что поляризация всех радиоволн имеет направление , и рассматриваются только поля излучения антенн.
Теперь будет представлен со ссылкой на фиг. 6 – 11 пример, иллюстрирующий результаты моделирования типичной соответствующей изобретению модели. Мощность принимаемого сигнала вычисляется с использованием вышеупомянутого определения точек отражения сигнала и многочисленных траекторий. Для вычисления мощности принимаемого сигнала из уравнения 15 принимают следующие условия: полагая, что и передающая, и приемная антенны являются симметричными вибраторными антеннами, коэффициент усиления G задается функцией в сферической системе координат в виде:Уравнение 16 ![]() Вектор поляризации является функцией . Другими принятыми условиями являются следующие: передающая антенна предполагается стоящей вертикально относительно земли (вертикально поляризованная), а передаваемая мощность Pr равна 10 мВт. Приемная антенна 5 расположена в городском каньоне, как показано на фиг. 1, ориентированном в плоскости xz, а поляризация предполагается переменной. Угол между осью x и приемной антенной 5 обозначен . Ширина W дороги в модели каньона установлена равной 25 м. Местоположение передающей антенны имеет координаты: xt = 5 м, yt = 0 м, высота zt составляет 9 м. Местоположение приемной антенны имеет координаты: xr = 20 м (если не указано иначе); высота zr = 1,5 м, а yr является переменной. Комплексная диэлектрическая проницаемость r такая, как показано в таблице 1, а частота равна 1,8 ГГц. Вышеупомянутые условия применяются к уравнению 15 для нахождения распределения мощности принимаемого сигнала.
Фиг. 6 и 7 представляет графики, иллюстрирующие результаты вычислений мощности принимаемого сигнала в функции количества Nt. В этом случае, местоположение приемной антенны изменяется, перемещаясь параллельно оси y от 0 м до 600 м. Результаты на фиг. 6 представлены для вертикально ориентированной приемной антенны, а результаты на фиг. 7 представлены для горизонтально ориентированной приемной антенны относительно поверхности земли.
На фиг. 6 кривые 62, 64 и 66 представляют мощность принимаемого сигнала в функции расстояния yr (от передающей антенны) для случаев NT = 30,2 и 1 соответственно. Случай NT = 1 представляет только прямую волну, в свободном пространстве, без отражений сигнала от каких-либо препятствий. Для случая NT = 2 приемная антенна принимает прямую волну и волну, отраженную от земли. Из-за различия расстояния от передающей антенны до приемной антенны на земле и расстояния от передающей антенны до изображаемой антенны ниже земли, прямые волны и отраженные от земли волны образуют стоячие волны. Эти различия обусловлены отличиями координат z. В частности, чем больше увеличивается yt, тем больше увеличивается период повышенной мощности принимаемого сигнала. Причина этого заключается в том, что хотя расстояние в направлении y между двумя антеннами увеличивается, координаты z остаются постоянными, и, следовательно, изменение времени задержки в зависимости от разности расстояний между двумя антеннами становится относительно небольшим.
Когда NT представляет большее число, например NT = 30, как показано кривой 62, наложение волн многократного отражения вызывает сильное замирание. На фиг. 6 видно, что кривая 62 изменяется относительно кривой 64, из чего можно сделать вывод, что в модели каньона медленное замирание обусловлено прямыми волнами и отраженными от земли волнам, а быстрое замирание обусловлено волнами многократного отражения. Следовательно, для прогнозирования изменения мощности принимаемого сигнала с помощью модели каньона учитывается множество волн многократного отражения.
На фиг. 7 показаны результаты для случая, когда приемная антенна, параллельна земле (горизонтально поляризованная). Теперь отметим, что волны принимаются всегда, когда передающая и приемная антенны не являются поляризованными ортогонально. Это происходит потому, что вектор волнового числа, который идет от передающей антенны к приемной антенне, из-за разности в высоте между передающей и приемной антеннами является наклонным, а не параллельным земле. Мощность принимаемого сигнала, с учетом этих явлений, можно вычислить из уравнения 15, по которому вычисляется электрическое поле в виде вектора и учитывается направление поляризации волн передающей и приемной антенн.
Фиг. 8 и 9 представляют результаты моделирования мощности принимаемого сигнала в соответствии с местоположением и направлением поляризации волны приемной антенны. Пользователь подвижной станции изменяет угол , между приемной антенной 5 в плоскости xz (в прямоугольной системе координат, используемой в модели каньона) и осью x, от 0 до 90o, и перемещает приемную антенну 5 вдоль оси y от 0 м до 600 м параллельно оси y. На фиг. 8 и 9 показано распределение мощности принимаемого сигнала при приеме только прямых волн. На фиг. 8 координата xr приемной антенны составляет 20 м, а на фиг. 9 координаты x приемной антенны 5 и передающей антенны 4 идентичны, то есть xr = xt.
Что касается произвольно выбранной yr на фиг. 8, то мощность принимаемого сигнала имеет минимальное значение, когда равен 0o, однако мощность принимаемого сигнала не всегда имеет максимальное значение, даже если равен 90o. Это происходит потому, что когда электрическое поле принимаемого сигнала от передающей антенны 4 до приемной антенны 5 имеет такую же ориентацию, как и поляризация приемной антенны 5, электрическое поле принимаемого сигнала находится на максимуме, как можно получить из уравнения 15.
Если на фиг. 9 равен 0o или yr равен 0, то мощность принимаемого сигнала только от прямых волн равна – [дБ, отсчитываемых относительно уровня 1 мВт], что составляет 0 [ватт]. Это происходит потому, что когда равен 0o, электрическое поле принимаемого сигнала и направление распространения приемной антенны являются ортогонально поляризованными, так что если найдено произведение двух вышеупомянутых значений, оно становится равным 0, и, когда yr составляет 0 [м], в уравнении 16 становится равным 180o, вследствие чего коэффициент усиления антенны становится равным 0.
До сих пор результаты моделирования для мощности принимаемого сигнала представляли в функции направления распространения (положение yr). Теперь будут приведены результаты для мощности принимаемого сигнала в функции местоположения приемной антенны в направлениях x.
Теперь рассматриваются фиг. 10 и 11, на которых приведено вычисление трехмерного распределения мощности принимаемого сигнала, фиксируя высоту приемной антенны и перемещая координаты (xr, yr) в направлении оси x с приращениями, равными 1,25 м, и в направлении оси у с приращениями, равными 10 м. На фиг. 10 количество траекторий NT составляет только 2, так что можно наблюдать интерференцию между прямой волной и отраженной от земли волной. На фиг. 11 количество траекторий NT составляет 30, благодаря чему можно наблюдать затухания, соответствующие волнам многократного отражения в модели каньона.
На фиг. 10, когда приемная антенна 5 приближается к точке передачи xt = 5 м, yt = 0 м, имеется резкое понижение мощности принимаемого сигнала из-за снижения коэффициента усиления антенны в поле в ближней зоне, как показывает уравнение 16. В частности, когда передающая антенна и приемная антенна находятся в одном и том же месте, ни прямые волны, ни отраженные от земли волны не принимаются, как иллюстрируется на фиг. 9.
В противоположность этому, как показано на фиг. 11, хотя приемная антенна приближается к передающей антенне, сигналы хорошо принимаются, потому что отраженные волны, отражаемые от поверхностей стен, увеличивают мощность принимаемого сигнала. Кроме того, можно наблюдать затухание, вызываемое приемом волн многократного отражения.
На основании вышеизложенного можно понять, что в соответствии с изобретением прогнозируются характеристики распространения для городской микроячейки, используя обобщенные способы определения траекторий лучей. Для этой цели город моделируют в виде каньона с тремя поверхностями, образованными из диэлектриков с потерями. Для более точного прогнозирования характеристик распространения между передающей и приемной антеннами в модели каньона принимаются изображаемые антенны, моделирующие лучи, отражаемые от зданий и земли. Кроме того, для получения систематичных координат этих изображаемых антенн нумеруют порядок образования изображаемых антенн, используя способ нумерации волн в виде меандра.
Способ определяет отражения сигнала, которые производят изображаемые антенны при распространении радиоволн, а также координаты точек отражения сигнала. На основании этой информации отражения радиоволн разрабатывают способобнаружения траектории для вычисления электрического поля в виде вектора и учета соответственных направлений поляризации и коэффициента направленного действия передающей антенны и приемной антенны. Как объяснялось выше, настоящее изобретение увеличивает количество траекторий, используя обобщенные способы изображений в городской модели, и учитывает местоположение и направление поляризации передающей и приемной антенн. Таким образом, мощность принимаемого сигнала, которая является параметром первостепенной важности в цифровой связи, вычисляют с учетом влияния поляризации. С помощью результатов моделирования можно получить более точные затухания из-за увеличения количества траекторий, и можно получить распределение мощности принимаемого сигнала, включая влияние изменения поляризации приемной антенны. Следовательно, настоящее изобретение предполагает, что количество неопределенных траекторий, существующих в модели каньона, факультативно может быть не ограничено, и поляризацией, обусловленной многократным отражением, пренебрегать нельзя. В настоящем изобретении достаточно приблизительно 30 траекторий, чтобы увидеть, что кривая мощности принимаемого сигнала становится почти горизонтальной. Хотя изобретение было описано в отношении его определенных вариантов осуществления, специалистам в данной области техники должно быть очевидно, что можно делать много изменений раскрытых вариантов осуществления изобретения, не выходя при этом за рамки сущности и объема притязаний изобретения, определяемых прилагаемой формулой изобретения. Формула изобретения
![]() где n – номер изображаемой антенны, соответствующей отражениям сигнала от поверхности зданий; i – значение, удовлетворяющее условию, когда величина z является максимумом среди значений, удовлетворяющих выражению z < 0, где z находится из выражения ![]() w – ширина дороги каньона; (xt, yt, zt – координаты передающей антенны, (xn, yn, zn) – координаты изображаемых антенн отражений сигнала n раз от поверхностей зданий и сооружений сигнала v раз от поверхностей земли. 3. Способ прогнозирования характеристик распространения волн по п.1, содержащий этапы, на которых определяют городской каньон, имеющий границы, содержащие пару поверхностей зданий и поверхность земли, и имеющего в нем передающую и приемную антенны, вычисляют координаты первой точки (xp, yp, zp), отражения сигнала, в которой радиоволна, передаваемая от упомянутой передающей антенны, сначала отражается от одной из упомянутых поверхностей здания, в соответствии со следующими выражениями ![]() ![]() ![]() где n – номер изображаемой антенны, соответствующей отражению сигнала от поверхности здания в каньоне; w – ширина дороги каньона; (xt, yt, zt – координаты передающей антенны, (xn, yn, zn) – координаты изображаемой антенны. 4. Способ прогнозирования характеристик распространения волн по п.1, содержащий этапы, на которых определяют городской каньон, имеющий границы, содержащие пару поверхностей зданий и поверхность земли, и имеющего в нем передающую и приемную антенны, вычисляют координаты первой точки (xp, yp, zp) отражения сигнала, в которой радиоволна, передаваемая от упомянутой передающей антенны отражается от поверхности земли, в соответствии со следующими выражениями ![]() ![]() Zp = 0, где (xt, yt, zt – координаты передающей антенны, (xn, yn, zn) – координаты изображаемой антенны, соответствующей отражению сигнала от поверхности в каньоне. 5. Способ прогнозирования характеристик распространения волн по п.1, содержащий этапы, на которых определяют городской каньон, имеющий границы, содержащие пару поверхностей зданий и поверхность земли, и имеющего в нем передающую и приемную антенны, вычисляют электрическое поле отражения электрического поля передающего излучения в каждой точке отражения сигнала отражающей поверхности в каньоне в соответствии со следующим уравнением![]() где электрическое поле передающего излучения;p – радиус кривизны фронта отраженной волны в точке отражения; s – расстояние от точки отражения до точки поля; k – волновое число; бинарный коэффициент отражения.
6. Способ по п.5, в котором вычисляют с помощью выражения![]() где единичный вектор компоненты перпендикулярной поляризации подающей волны до отражения; единичный вектор компоненты перпендикулярной поляризации отраженной волны после отражения;e ![]() – единичный вектор компоненты параллельной поляризации падающей волны; единичный вектор компоненты параллельной поляризации отражающей волны;Г – коэффициент отражения отражающей поверхности для перпендикулярной поляризации;Г – коэффициент отражения отражающей поверхности для параллельной поляризации.
7. Способ по п.6, в котором Г и Г вычисляют с помощью выражений![]() ![]() где – угол падения радиоволны; r – диэлектрическая проницаемость отражающей поверхности.
8. Способ по п.7, в котором вычисляют с помощью выражения![]() где нормальный вектор отражающей поверхности; единичный вектор падающей волны.
9. Способ по п.7, в котором r вычисляют с помощью выражения![]() где относительная диэлектрическая проницаемость; – проводимость; – угловая частота; o – диэлектрическая проницаемость свободного пространства.
10. Способ прогнозирования характеристик распространения волн по п.1, содержащий этапы, на которых определяют городской каньон, имеющий границы, содержащие пару поверхностей зданий и поверхности земли, и имеющего в нем передающую и приемную антенны, и вычисляют мощность Pr принимаемого сигнала, поступающего от передающей к приемной антенне, в соответствии со следующим уравнением![]() где _ длина радиоволны, передаваемой от передающей антенны; _ характеристическое сопротивление свободного пространства;n – число, определяющее конкретную изображаемую антенну, соответствующую отражению сигнала между парой поверхностей в каньоне; v – число, определяющее, находится ли рассматриваемая изображаемая антенна выше или ниже поверхности земли; N – количество изображаемых антенн, соответствующих общему числу отражений сигнала от поверхности зданий; Gnv – коэффициент усилия приемной антенны в направлении распространения волны, соответствующей nv-й изображаемой антенне; Env – вектор электрического поля, достигающий приемной антенны по траектории волн, соответствующей nv-й изображаемой антенне; единичный вектор поляризации приемной антенны.
11. Способ по п.10, в которой количество суммарных траекторий Nt волн от передающей антенны до приемной антенны определяется выражениемNT = 2(N + 1). РИСУНКИ
MM4A – Досрочное прекращение действия патента СССР или патента Российской Федерации на изобретение из-за неуплаты в установленный срок пошлины за поддержание патента в силе
Дата прекращения действия патента: 23.04.2009
Извещение опубликовано: 20.07.2010 БИ: 20/2010
|
||||||||||||||||||||||||||

1,
1, 
– длина волны сигнала радиоволны, k – волновое число (2
/
– направление). Принимается во внимание только напряженность поля излучения, а не влияние поляризации.
Фиг. 2А и 2В иллюстрируют процедуру образования и нумерации изображаемых антенн прототипа. Фиг. 2А иллюстрирует образование изображаемых антенн и x-координаты, а фиг. 2В иллюстрирует нумерацию изображаемых антенн.
Далее представлено объяснение алгоритма прототипа, который находит траектории прямых волн и волн многократного отражения, существующих в модели каньона.
Со ссылкой по-прежнему на фиг. 1, отмечается, что изображаемые антенны, соответствующие отраженным волнам от поверхностей стен, образованы на основе двух диэлектрических поверхностей, то есть поверхностей стен зданий. Изображаемые антенны ниже поверхности земли соответствуют волнам отражения, которые включают в себя отражение сигнала от поверхности земли. Rnv указывает изображаемые приемные антенны, образованные вследствие отражения сигнала от поверхностей двух зданий 1, 2 и поверхности земли 3, где n – номер конкретной изображаемой антенны, a v – число, представляющее, находится ли эта изображаемая антенна выше или ниже поверхности земли. Для изображаемой антенны выше поверхности земли числу v присваивается значение “0”, а для изображаемой антенны ниже поверхности земли v присваивается значение “1”. Следовательно, n-ая изображаемая приемная антенна выше поверхности земли обозначается символом Rn0 а n-ая изображаемая приемная антенна ниже поверхности земли обозначается символом Rn1.
Неопределенные изображаемые антенны, образованные поверхностями двух зданий, пронумерованы следующим образом:

(то есть, электрическое поле, обусловленное отраженным лучом) траекторией, соответствующих изображаемым приемным антеннам. И наконец, программа находит суммарную мощность принимаемого сигнала Pr приемных антенн через реальный вектор электрического поля отражения сигнала
траекторий и единичный вектор поляризации
реальной приемной антенны, соответствующей изображаемым приемным антеннам (этап S 500).
Когда реальные волны отражаются от поверхностей двух зданий и поверхности земли, можно найти количество отражений сигнала и соответствующие точки отражений сигнала посредством определения информации о местоположении изображаемых приемных антенн с использованием известного способа. На фиг. 4 и 5 показаны траектории сигналов изображаемых антенн в виде плоскости xz. Траектория сигнала от передающей антенны до какой-либо данной изображаемой приемной антенны Rnv удовлетворяет следующему уравнению:


0 и v = 0, или n 




направление которого указывает от передающей антенны, определяется уравнением 9:

из уравнения 9 и характеристики сред отражающих поверхностей. Этот отраженный луч становится следующим падающим лучом, отражающимся в модели каньона. Последний отраженный луч, достигающий приемной антенны, можно найти на основании знания траектории луча от передающей до приемной антенны. Затем процесс повторяется для многих лучей, каждый из которых имеет отличающуюся первую точку отражения сигнала, что приводит к единственной траектории. Помимо траектории прямого луча от передающей до приемной антенны, каждая траектория включает в себя одно или больше отражения сигнала. Например, в случае траектории, имеющей только одно отражение сигнала, РЧ-энергия, отраженная от первой точки отражения сигнала, непосредственно достигает приемной антенны. Для этого случая в модели распространения будет образована только одна изображаемая антенна. Другие траектории включают в себя многократные отражения – эти траектории моделируются большим количеством изображаемых антенн. Чтобы в определенное местоположение приемного устройства поступала мощность принимаемого сигнала, вычисляется составная РЧ-энергия многих траекторий.
Дальше объясняется процесс нахождения отраженного электрического поля отраженных лучей. Отраженное электрическое поле
электрического поля падающего излучении
задается уравнением 11:
– радиус кривизны фронта отраженной волны в точке отражения сигнала, s – расстояние от точки отражения сигнала до точки поля, k – волновое число, а
бинарный коэффициент отражения, определяемый в уравнении 12:


единичный вектор перпендикулярной поляризации до отражения сигнала,
единичный вектор перпендикулярной поляризации после отражения сигнала,
– единичный вектор параллельной поляризации до отражения сигнала,
единичный вектор параллельной поляризации после отражения сигнала, и
и Г
нормальный вектор отражающей поверхности, а
единичный вектор падающей волны.
Диэлектрическая проницаемость 
относительная диэлектрическая проницаемость, представляющая комплексное число;
[См/м] – проводимость;
– угловая частота и
здания и дороги, когда частота составляет 1,8 ГГц.
Следуя приведенной выше процедуре, модель каньона заменяется моделью свободного пространства, содержащей множество изображаемых антенн, и можно найти реальное электрическое поле отражения сигнала в траекториях, соответствующих соответственным изображаемым приемным антеннам. Кроме того, из первого электрического поля падающего излучения можно найти электрическое поле отражения в соответственных точках отражения сигнала и конечное электрическое поле падающего излучения. Заменяя вышеприведенные значения в уравнении мощности принимаемого сигнала модели свободного пространства, вычисляют мощность принимаемого сигнала Pr реальной приемной антенны. Переменная
которая является единичным вектором поляризации волны приемной антенны, используется для учета направления поляризации волны приемной антенны в уравнении мощности принимаемого сигнала.
В реальных городских окружающих условиях поляризацию волны приемной антенны можно изменять относительно фиксированной передающей антенны. Следовательно, с учетом коэффициентов направленного действия и поляризации волн передающей и приемной антенн в модели каньона, когда волны, излучаемые передающей антенной, достигают приемной антенны по неопределенным многочисленным траекториям, мощность принимаемого сигнала Pr определяется следующим образом:
– характеристическое сопротивление волны в свободном пространстве, Gnv – коэффициент усиления приемной антенны,
– вектор электрического поля, достигающий приемной антенны,
– единичный вектор поляризации волны приемной антенны (в прямоугольной системе координат), n – количество изображаемых антенн, соответствующих определенной точке отражения сигнала на земле или поверхности здания в каньоне, v = 0 указывает изображаемые антенны выше земли, а v = 1 указывает изображаемые антенны ниже земли. Общее количество изображаемых антенн, связанных с поверхностными отражениями сигнала, теоретически бесконечно, но для выполнения практических вычислений оно установлено равным определенному числу N. В этом случае общее количество траекторий сигнала составляет NT = 2(N + 1). В уравнении 15 принято, что поляризация всех радиоволн имеет направление 
. Ширина W дороги в модели каньона установлена равной 25 м. Местоположение передающей антенны имеет координаты: xt = 5 м, yt = 0 м, высота zt составляет 9 м. Местоположение приемной антенны имеет координаты: xr = 20 м (если не указано иначе); высота zr = 1,5 м, а yr является переменной. Комплексная диэлектрическая проницаемость
[дБ, отсчитываемых относительно уровня 1 мВт], что составляет 0 [ватт]. Это происходит потому, что когда
принимаемого сигнала и направление распространения
приемной антенны являются ортогонально поляризованными, так что если найдено произведение двух вышеупомянутых значений, оно становится равным 0, и, когда yr составляет 0 [м], 






отражения электрического поля передающего излучения в каждой точке отражения сигнала отражающей поверхности в каньоне в соответствии со следующим уравнением
электрическое поле передающего излучения;
бинарный коэффициент отражения.
6. Способ по п.5, в котором
вычисляют с помощью выражения
единичный вектор компоненты перпендикулярной поляризации подающей волны до отражения;
единичный вектор компоненты перпендикулярной поляризации отраженной волны после отражения;
единичный вектор компоненты параллельной поляризации отражающей волны;

– угол падения радиоволны;
нормальный вектор отражающей поверхности;
единичный вектор падающей волны.
9. Способ по п.7, в котором 
относительная диэлектрическая проницаемость;
единичный вектор поляризации приемной антенны.
11. Способ по п.10, в которой количество суммарных траекторий Nt волн от передающей антенны до приемной антенны определяется выражением