Патент на изобретение №2170490
|
||||||||||||||||||||||||||
(54) ГЕНЕРАТОР ИМПУЛЬСОВ С ЦИФРОВОЙ ПЕРЕСТРОЙКОЙ ПЕРИОДА
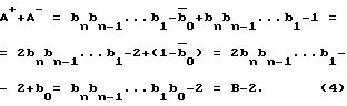
(57) Реферат: Изобретение относится к генерированию импульсов и может использоваться в цифровых устройствах фазовой синхронизации. Генератор импульсов с цифровой перестройкой периода содержит инвертор, секционированную линию задержки, мультиплексор, блок преобразования цифрового кода периода. Достигаемый технический результат – расширение диапазона перестройки частоты. 1 з.п. ф-лы, 1 ил. Изобретение относится к технике генерирования электрических импульсов, в частности к генераторам импульсов с электронным регулированием периода. Для генерирования импульсов со стандартными логическими уровнями напряжения широко применяются устройства на основе инвертора с обратной связью через линию задержки [1, 2]. Однако в известных генераторах импульсов не предусмотрена возможность регулирования частоты электронным способом. Известен также генератор импульсов [3], содержащий инвертор, конденсаторы и элементы И-НЕ с открытым коллектором, в котором цепь обратной связи инвертора в виде соответствующего конденсатора и элемента И-НЕ назначается подачей логической единицы на второй вход выбранного элемента И-НЕ. За счет этого в данном аналоге обеспечивается цифровое управление периодом импульсов. Недостатками этого аналога является низкая стабильность периода, который определяется емкостью конденсатора и входными токами логических элементов, а также то, что управляющий цифровой код должен быть не обычным двоичным кодом, а унитарным кодом “1 из N”. Из известных аналогов наиболее близок по технической сущности к настоящему изобретению генератор импульсов [4], содержащий последовательно соединенные инвертор и секционированную линию задержки, выходом подключенную к входу инвертора, причем множество отводов линии задержки непосредственно и через дополнительные инверторы подключены к соответствующим информационным входам мультиплексора. В устройстве-прототипе перестройка частоты осуществляется путем монотонного изменения адресного кода мультиплексора, при этом мультиплексор перебирает коммутируемые к его выходу отводы линии задержки. Изменение адресного кода достигается включением на входе устройства накапливающего сумматора (цифрового интегратора). За счет этого период и, следовательно, частота импульсов на выходе мультиплексора являются переменными и зависят от скорости изменения адресного кода. Таким образом, в устройстве-прототипе перестройка периода достигается косвенным способом путем воздействия на фазу импульсов. С этим связан его недостаток, который заключается в относительно узком диапазоне перестройки периода. Цель настоящего изобретения – расширение диапазона перестройки частоты. Как и в устройстве-прототипе генерирование импульсов в устройстве согласно настоящему изобретению обеспечивается за счет обратной связи инвертора через секционированную линию задержки. В отличие от прототипа время задержки в цепи обратной связи регулируется путем управляемого выбора отвода секционированной линии задержки, сигнал с которого используется в качестве сигнала обратной связи. Для достижения указанной цели в генератор импульсов с цифровой перестройкой периода, содержащий последовательно соединенные инвертор и секционированную линию задержки, отводы которой подключены к соответствующим информационным входам мультиплексора, введен дополнительно блок преобразования цифрового кода периода. Указанный блок соединен выходами с соответствующими адресными входами мультиплексора, первым входом – с первым отводом секционированной линии задержки, а остальными входами – с соответствующими входными зажимами цифрового кода периода. При этом выход мультиплексора подключен к входу инвертора. Блок преобразования цифрового кода периода выполнен в виде вычитателя, входом одноразрядного вычитаемого соединенного с выходом элемента И-НЕ, у которого один вход является первым входом блока преобразования цифрового кода периода. Другой вход элемента И-НЕ и входы многоразрядного уменьшаемого вычитателя составляют группу остальных входов блока преобразования цифрового кода периода. В качестве секционированной линии задержки может использоваться как электромагнитная линия задержки, так и линия задержки, работающая на иных физических принципах, например множество последовательно соединенных электронных элементов задержки. На чертеже показана электрическая функциональная схема генератора импульсов с цифровой перестройкой периода согласно настоящему изобретению. Показанная на чертеже схема генератора импульсов с цифровой перестройкой периода включает последовательно соединенные инвертор 1 и группу образующих секционированную линию 2 задержки элементов 3 задержки, а также мультиплексор 4, присоединенный своими информационными входами к соответствующим отводам секционированной линии 2 задержки. Дополнительно введенный блок 5 преобразования цифрового кода периода соединен своими выходами с адресными входами мультиплексора 4, первый вход этого блока подключен к первому отводу секционированной линии 2 задержки, а остальные входы – к входным зажимам 8 цифрового кода периода. Блок 5 преобразования цифрового кода периода выполнен в виде вычитателя 6, входом одноразрядного вычитаемого соединенного с выходом элемента 7 типа И-НЕ, у которого один вход является первым входом блока преобразования цифрового кода периода. Другой вход элемента И-НЕ и входы многоразрядного уменьшаемого вычитателя 6 составляют группу остальных входов блока 5 преобразования цифрового кода периода. Выходной зажим 9 устройства подключен к выходу мультиплексора 4, выходами могут также служить отводы секционированной линии 2 задержки. Если секционированная линия 2 задержки состоит из 2n секций, т.е. содержит 2n элементов 3 задержки и имеет 2n отводов, то устройство обязано иметь (n+1) входных зажимов 8 цифрового кода периода. Вычитатель 6 при этом является n-разрядным. В предпочтительном варианте реализации вычитатель 6 выполняется в виде соединенных последовательно по цепи распространения сигнала заема n полувычитателей [5]. Пусть для определенности n = 3. Тогда восемь отводов секционированной линии 2 задержки присоединены к информационным входам мультиплексора в порядке нарастания порядковых номеров отводов так, что, например, первый отвод оказывается подключенным к входу мультиплексора 4 с номером 0, а ее восьмой отвод – к входу с номером 7. Двоичное число B = bnbn-1…b0 цифрового кода периода, принимающее значения от 2 до (2n+1-1), поступает на входные зажимы 8-4, 8-3, 8-2, 8-1, причем на зажим 8-1 приходит его младший разряд. При любом значении B мультиплексор 4 подключает к входу инвертора 1 один из отводов секционированной линии 2 задержки, что обеспечивает режим генерирования импульсов на выходном зажиме 9 и на всех отводах линии 2 задержки. В течение положительного полупериода импульса на первом отводе линии 2 задержки элемент 7 И-НЕ образует на своем выходе уровень логической “1”, если значение младшего разряда b0 цифрового кода B периода на входном зажиме 8-1 равно нулю, и уровень логического “0”, если b0 = единице, т.е. образуется значение / В течение отрицательного полупериода импульса на первом отводе линии 2 задержки на выходе элемента 7 И-НЕ образуется уровень логической “1” вне зависимости от значения b0 на зажиме 8-1. За счет этого в течение формирования положительного полупериода импульса выходное число вычитателя 6, оно же адрес мультиплексора 4, равно![]() где bnbn-1…b1 – значения старших разрядов цифрового кода B периода на входных зажимах 8-4, 8-3, 8-2, а – инверсия его младшего разряда на входном зажиме 8-1. В течение формирования отрицательного полупериода импульса адрес мультиплексора 4, образуемый вычитателем 6, равенA– = bnbn-1…b1-1. (2) Число A+ определяет длительность положительного полупериода, так как сигнал с информационного входа именно с адресом A+ поступает на вход инвертора 1 в процессе формирования этого полупериода. Аналогично число A– определяет длительность отрицательного полупериода генерируемых импульсов. С учетом описанного выше порядка соединения отводов секционированной линии 2 задержки с информационными входами мультиплексора 4 полный период генерируемых импульсов оказывается равным T = T++T– = (A++1) t+(A–+1) t = (A++A–+2) t.(3)где t – время задержки одной секции линии 2 задержки.
Однако согласно (1) и (2)![]() Подставив это значение в (3), получим T = B t. (5)Таким образом, период T генерируемых импульсов пропорционален значению цифрового кода периода на зажимах 8 и период может перестраиваться электронным способом в пределах от 2 t до (2n+1-1) t.
Генератор импульсов переменной частоты может применяться в цифровых устройствах фазовой синхронизации.
Литература1. Долгий Б.Ю., Елисеев А.Б., Загидулин Р.Ш. Стабильная цифровая линия задержки. – Приборы и техника эксперимента, 1987, N 1, с. 95, рис. 1. 2. Устройство синхронизации канала воспроизведения данных. Авт. свид. N 1674245, кл. G 11 B 27/00, H 03 L 7/00, БИ 1991, N 32. 3. Генератор импульсов. Авт. свид. СССР N 1267588, кл. H 03 K 3/027, БИ 1986, N 40. 4. Управляемый напряжением генератор импульсов. Патент РФ N 2103816, кл. H 03 L 7/00, 7/099, БИ 1998, N 3. 5. Токхейм Р. Основы цифровой электроники. – М.: Мир, 1988, с. 219, рис. 9.9. Формула изобретения
РИСУНКИ
MM4A Досрочное прекращение действия патента Российской Федерации на изобретение из-за неуплаты в установленный срок пошлины за поддержание патента в силе
Дата прекращения действия патента: 01.03.2002
Номер и год публикации бюллетеня: 11-2003
Извещение опубликовано: 20.04.2003
|
||||||||||||||||||||||||||

/ В течение отрицательного полупериода импульса на первом отводе линии 2 задержки на выходе элемента 7 И-НЕ образуется уровень логической “1” вне зависимости от значения b0 на зажиме 8-1. За счет этого в течение формирования положительного полупериода импульса выходное число вычитателя 6, оно же адрес мультиплексора 4, равно
– инверсия его младшего разряда на входном зажиме 8-1. В течение формирования отрицательного полупериода импульса адрес мультиплексора 4, образуемый вычитателем 6, равен
t+(A–+1)