Патент на изобретение №2169930
|
||||||||||||||||||||||||||
(54) ПЛАСТМАССОВЫЙ СЦИНТИЛЛЯТОР
(57) Реферат: Использование: тонкопленочный пластмассовый сцинтиллятор для регистрации тяжелых заряженных частиц, ионов и осколков деления при исследовании ядерных взаимодействий. Изобретение позволяет повысить радиационную стойкость пластмассового сцинтиллятора за счет использования растворимых полиалканэфиримидов. Технический результат: расширение диапазона работоспособности пленочных пластмассовых сцинтилляторов при регистрации тяжелых заряженных частиц до поглощения доз ионизирующего излучения 4000 – 7000 кГр. 2 ил., 1 табл. Изобретение относится к созданию пленочных пластмассовых сцинтилляторов, обладающих высокой радиационной стойкостью, и может быть использовано при изготовлении устройств, применяемых для детектирования тяжелых заряженных частиц, ионов и осколков деления в интенсивных радиационных полях. Основным требованием, предъявляемым к пластмассовым сцинтилляторам, предназначенным для работы в интенсивных радиационных полях, является условие сохранение светового выхода при поглощении больших доз ионизирующего излучения. Известны пленочные пластмассовые сцинтилляторы на основе виниловых и винилароматических полимеров и их сополимеров, включающие первичную люминесцирующую добавку в количестве от 5 до 40% по массе и вторичную люминесцирующую добавку в количестве от 0,1 до 0,5% по массе [Авторское свидетельство СССР N 818287 A1, кл. G 01 T 1/203, опубл. 1992]. Основой для таких сцинтилляторов служат винилароматические и метакриловые полимеры: полистирол, поливинилксилол, полиметилметакрилат. В качестве первичной люминесцирующей добавки используют любое хорошо растворимое в полимере люминесцирующее соединение: 2,5-дифенилоксазол (PPO), 2-( -нафтил)-5-фенилоксазол ( NPO) и другие. В качестве вторичной люминесцирующей добавки используют: ди(фенилоксазолил)бензол (POPOP), 1,5-дифенил-3-стирилпиразолил – , дифенилстильбен, тетрафенилбутадиен и другие. Описанные образцы сцинтилляторов представляют собой пленки толщиной 0,01 см и диаметром 3,0 см. Несмотря на такое важное достоинство как высокий световой выход, описанные пленочные пластмассовые сцинтилляторы имеют существенный недостаток – невысокую радиационную устойчивость. Для большинства из них падение светового выхода в два раза наблюдается уже при поглощенной дозе 700 – 1500 кГр. Так, на фиг.1 приведена зависимость падения светового выхода пластмассового сцинтиллятора на основе полистирола, содержащего 10% PPO и 0,1% POPOP, от поглощенной дозы -излучения с энергией 5,15 МэВ. Падение светового выхода в 2 раза наблюдается в этом случае уже при величине поглощенной дозы 1150 кГр.
В последнее время было твердо установлено, что снижение светового выхода пластмассового сцинтиллятора при поглощении ионизирующего излучения обусловлено, в основном, поглощением люминесценции первичной (активирующей) добавки продуктами радиолиза, которые накапливаются в процессе облучения сцинтиллятора [Милинчук В. К., Клиншпонт Э.Р., Пшежецкий С.Я. Макрорадикалы. М.: Химия, 1980, – 264 с.; Милинчук В.К. и др. Ж. физ. химии, 1999, т. 73, N 2, с. 275-282] . Отмечается, что стабильные макрорадикалы, образовавшиеся в сцинтилляторе, гибнут в результате реакции окисления при взаимодействии с растворенным кислородом и последующим отрывом водорода от молекулы полимера с образованием гидроперекисей. Однако для пленочных сцинтилляторов (толщиной порядка 0,0010 – 0,0100 см) проницаемость по кислороду достаточно велика. Дальнейшее насыщение полимерной матрицы кислородом может привести лишь к тушению люминесценции первичной и вторичной добавок. Кроме того, при величине поглощенной дозы половинного ослабления световыхода 1000 – 2000 кГр, характерной для пластмассовых сцинтилляторов на основе винилароматических полимеров, возможна уже радиационная деградация самих люминесцирующих добавок. Из этого следует, что принципиальным подходом к существенному повышению радиационной устойчивости пленочных пластмассовых сцинтилляторов является использование в качестве сцинтилляторов радиационностойких полимеров, обладающих достаточно интенсивной собственной люминесценцией в видимой области, поскольку в этом случае можно обойтись без низкомолекулярных люминесцирующих добавок.
Задача, решаемая изобретением, состоит в получении пленочного пластмассового сцинтиллятора с высокой радиационной устойчивостью при достаточно высоком исходном световом выходе.
Технический результат, который может быть получен при осуществлении изобретения, состоит в расширении диапазона работоспособности пленочных пластмассовых сцинтилляторов при регистрации тяжелых заряженных частиц до поглощенных доз ионизирующего излучения 4000 – 7000 кГр.
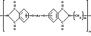
Для решения поставленной задачи с достижением указанного технического результата в качестве пластмассового сцинтиллятора – вещества, способного эффективно трансформировать энергию ионизирующей частицы в энергию видимого излучения, – используют растворимые полиалканэфиримиды (ПАЭИ) общей формулы:![]() где Ar – двухвалентный одно-, двуядерный остаток ароматического углеводорода, который может содержать алкильные заместители в ядрах и/или алкиленовые группы между ядрами; m = 2 – 12; n = 10 – 100. Полиимиды и среди них растворимые и термопластичные полиэфиримиды являются перспективным классом органических полимеров для создания радиационностойких пластмассовых сцинтилляторов ввиду сочетания таких свойств как радиационная стойкость и высокие физико-механические характеристики, а также хорошая пленкообразующая способность. Эти полимеры сохраняют свои оптические и прочностные свойства после поглощения дозы 1000 – 2000 кГр [Бессонов М.П., Котон М.М., Кудрявцев В.В., Лайус Л.А. Полиимиды – класс термостойких полимеров. Л.: Наука, 1983, – 328 с.]. Однако ароматические полиимиды, в том числе полиэфиримиды, являются, как правило, окрашенными и обнаруживают незначительную фотолюминесценцию [Hasegawa M. et al. J. Polym. Sci., C, 1989, v. 27, N 8, p. 263], а также часто являются нерастворимыми в органических растворителях. Способность растворяться для полимеров этого класса реализуется лишь при специфическом строении полимерной цепи. Авторами установлено, что полиалканэфиримиды, получаемые из ароматических диэфирдиангидридов и алифатических диаминов, обладают значительной собственной фото- и радиолюминесценцией, хорошо растворимы в ряде органических растворителей и виде пленок, полученных из растворов этих полимеров, прозрачны практически во всей видимой области спектра. Благодаря такому сочетанию свойств они могут быть использованы в качестве сцинтилляторов. Полиалканэфиримиды (ПАЭИ) формулы: ![]() где Ar – двухвалентный одно-, двуядерный остаток ароматического углеводорода, который может содержать алкильные заместители в ядрах и/или алкиленовые группы между ядрами; m = 2 – 12; n = 10 – 100, получают методом, описаным в [Патент РФ N 1809612, 1995], из 1, -диаминоалканов C2-C12 и диангидридов арилендиоксидифталевых кислот, например, диангидрида 2,2-бис-[4-(3,4-дикарбоксифенокси)фенил] пропана (A), или диангидрида 1,3-бис-(3,4-дикарбоксифенокси)бензола (P) или диангидрида 4,4′-бис-(3,4-дикарбоксифенокси)дифенила (ДФ), заявляются как пластмассовые сцинтилляторы с повышенной радиационной стойкостью.
Химическое строение ПАЭИ приведенной формулы доказывают методом ИК-спектроскопии. Степень поликонденсации, n, ПАЭИ оценивают методом ГПХ. ПАЭИ приведенной формулы полностью растворимы при комнатной температуре в органических растворителях, таких как некоторые хлорированные углеводороды – хлороформ, симм-тетрахлорэтан, и в амидных растворителях – N,N-диметилформамиде, N-метил-2-пирролидоне и др. – с образованием прозрачных растворов.
Из растворов этих ПАЭИ методом полива изготавливают пленочные сцинтилляторы. Для полива наиболее удобны растворы ПАЭИ с логарифмической вязкостью в диапазоне значений лог = 0,3-1,0 дл/г ( лог – измеряют для растворов полимеров концентрации 0,5 мас.% в хлороформе при температуре 25oC). Для изготовления пленочных сцинтилляторов раствор ПАЭИ наносят на соответствующую подложку (например, на стеклянную), растворитель упаривают на воздухе при комнатной температуре в течение 8-10 часов и далее пленку досушивают при температуре 70oC в течение 2 часов. Образующиеся из растворов ПАЭИ слои прозрачны, однородны, не содержат плотных микровключений и трещин.
В результате описанных операций получают пленочные пластмассовые сцинтилляторы толщиной от 10 до 100 мкм, основные сцинтилляционные, оптические и спектрально-люминесцентные характеристики которых приведены в таблице.
С целью определения радиационной устойчивости, полученные таким способом сцинтилляторы, помещают в интенсивное поле моноэнергетического альфа-излучения. Величину поглощенной дозы определяют расчетным путем из известных: энергии альфа-частиц, плотности их потока и пробега альфа-частиц данной энергии в полимере, времени экспозиции. Зависимость светового выхода заявляемого сцинтиллятора от величины поглощенной дозы ионизирующего излучения приведена на фиг. 1б и в. На фиг. 1а приведена зависимость световыхода прототипа (пленочный сцинтиллятор на основе полистирола, содержащий 10% PPO и 0,1% POPOP) от величины поглощенной дозы ионизирующего излучения.
Как видно из фиг.1а-в предлагаемый пленочный сцинтиллятор обладает в 6 – 7 раз более высокой радиационной стойкостью, чем прототип. Это обусловливается спецификой химического строения полимера (ПАЭИ), использованного в качестве сцинтиллятора. Для ПАЭИ указанного строения характерно наличие длинноволновой полосы поглощения с максимумом в области 320 – 330 нм (фиг.2), которой соответствует спектр фотолюминесценции с максимумом в области 400 – 420 нм. Эта полоса поглощения и соответствующая полоса в спектре люминесценции относятся к электронным переходам с внутримолекулярным переносом заряда в эфиримидном фрагменте полимерной цепи ПАЭИ. Спектр радиолюминесценции тождественен спектру фотолюминесценции. Поскольку продукты радиолиза, образующиеся в ПАЭИ (радикалы феноксильного и бензильного типа и др.) интенсивно поглощают в более коротковолновой области спектра, а передача энергии возбуждения от полимера к первичной и вторичной добавкам отсутствует (в заявляемом сцинтилляторе они не используются), влияние образующихся продуктов радиолиза на световыход сцинтиллятора начинает сказываться при существенно больших поглощенных дозах, при которых появляются продукты, поглощающие в более длинноволновой области.
Изобретение иллюстрируется следующими примерами:Пример 1. Получение пленочного сцинциллятора на основе полиалканэфиримида формулы: ![]() где ![]() проводят по следующей методике. В реакционную колбу, снабженную механической мешалкой и продуваемую слабым током аргона, помещают 0,5578 г (0,0048 М) 1,6-гексаметилендиамина, 1,4365 г (0,0048 М) диангидрида 2,2-бис-(3,4-дикарбоксифеноксифенил)пропана и 8 г бензойной кислоты, смесь нагревают 2 часа при 150oC, выливают в чашку Петри, охлаждают до застывания, измельчают и экстрагируют бензойную кислоту ацетоном. Полимер сушат в вакууме при температуре 100oC в течение 6 часов. Логарифмическая вязкость раствора полимера (полиалканэфиримида, здесь и далее во всех примерах приводятся значения логарифмической вязкости, измеренной для растворов полимеров концентрации 0,5 мас.% в хлороформе при 25o) лог = 0,61 дл/г. Изготовление пленочных сцинтилляторов на основе полиалканэфиримидов производят методом полива по следующей методике. Раствор полимера концентрации 10,0 мас.% получают, растворяя 10 г полиалканэфиримида в 100 мл хлороформа при комнатной температуре с периодическим перемешиванием, 2 мл профильтрованного раствора наносят на стеклянную пластинку размером 20х20 мм, растворитель испаряют на воздухе при комнатной температуре в течение 8-10 часов и полученный слой полиалканэфиримида дополнительно сушат при 70oC в течение 2 часов. Исследование радиационной стойкости пленочного пластмассового сцинтиллятора проведено как описано выше. Результаты испытаний приведены в таблице.
Пример 2. Получение пленочного сцинтиллятора на основе полиалканэфиримида формулы:![]() где ![]() производят аналогично примеру 1, но в качестве исходного диамина используют 1,10-диаминодекан. Получают с количественным выходом полиалканэфиримид с лог = 0,64 дл/г. Изготовление и исследование сцинтилляционных свойств, а также радиационной деградации пленочного пластмассового сцинциллятора проводят аналогично примеру 1. Результаты измерений приведены в таблице.
Пример 3. Получение пленочного сцинтиллятора на основе полиалканэфиримида формулы:![]() где ![]() проводят аналогично примеру 1, но в качестве исходного диамина 1,12-диаминододекан. Получают с количественным выходом полиалканэфиримид с лог = 0,31 дл/г. Изготовление и исследование сцинтилляционных свойств, а также радиационной деградации пленочного пластмассового сцинтиллятора проводят аналогично примеру 1. Результаты измерений сцинтилляционных характеристик приведены в таблице.
Пример 4. Получение пленочного сцинтиллятора на основе полиалканэфиримида формулы:![]() где ![]() производят аналогично примеру 1, на в качестве исходного диангидрида используют диангидрид 1,3-бис(3,4-дикарбоксифенокси)бензола и в качестве диамина 1,6-гексаметилендиамин. Получают с количественным выходом полиалканэфиримид лог = 0,31 дл/г. Изготовление и исследование сцинтилляционных свойств, а также радиационной деградации проводят аналогично примеру 1. Результаты измерений сцинтилляционных характеристик приведены в таблице.
Пример 5. Получение пленочного сцинтиллятора на основе полиалканэфиримида формулы:![]() где ![]() производят аналогично примеру 1, но в качестве исходного диамина используют 1,10-диаминодекан, а в качестве диангидрида диангидрид 1,3-бис-(3,4-дикарбоксифенокси)бензола. Получают с количественным выходом полиэфиримид лог = 0,27 дл/г. Изготовление и исследование сцинтилляционных свойств, а также радиационной деградации пленочного пластмассового сцинтиллятора проводят аналогично примеру 1. Результаты измерений приведены в таблице.
Пример 6. Получение пленочного сцинтиллятора на основе полиалканэфиримида формулы:![]() где ![]() проводят аналогично примеру 1, но в качестве исходного диамина используют 1,2-этилендиамин. Получают с количественным выходом полиэфиримид лог = 0,35 дл/г. Изготовление и исследование сцинтилляционных свойств, а также радиационной деградации пленочного пластмассового сцинтиллятора проводят аналогично примеру 1. Результаты измерений сцинтилляционных характеристик приведены в таблице.
Пример 7. Получение пленочного сцинтиллятора на основе полиалканэфиримида формулы:![]() где ![]() производят аналогично примеру 1, на в качестве исходного диангидрида используют диангидрид 4,4′-бис-(3,4-дикарбоксифенокси)дифенила и 1,12-диаминододекан. Получают с количественным выходом полиэфиримид с лог = 0,37 дл/г. Изготовление и исследование сцинтилляционных свойств и радиационной деградации проводят аналогично примеру 1. Результаты измерений сцинтилляционных характеристик приведены в таблице.
Таким образом, заявляемые как сцинтилляторы полиалканэфиримиды с собственной люминесценцией сочетают высокую механическую прочность, устойчивость к температурным воздействиям, к воздействию света и ионизирующего излучения с достаточно высоким световыходом. Изобретение впервые позволяет получать пленочные сцинтилляторы, используя полиалканэфиримиды без люминесцирующих добавок, и тем самым упростить процесс создания пластмассового пленочного сцинтиллятора для регистрации тяжелых заряженных частиц, ионов и осколков деления.
Формула изобретения
![]() где Ar – двухвалентный одно-, двуядерный остаток ароматического углеводорода, который содержит алкильные заместители в ядрах и/или алкиленовые группы между ядрами; m = 2 – 12; n = 10 – 100. РИСУНКИ
MM4A Досрочное прекращение действия патента Российской Федерации на изобретение из-за неуплаты в установленный срок пошлины за поддержание патента в силе
Дата прекращения действия патента: 01.04.2005
Извещение опубликовано: 10.03.2006 БИ: 07/2006
|
||||||||||||||||||||||||||

-нафтил)-5-фенилоксазол (
, дифенилстильбен, тетрафенилбутадиен и другие. Описанные образцы сцинтилляторов представляют собой пленки толщиной 0,01 см и диаметром 3,0 см. Несмотря на такое важное достоинство как высокий световой выход, описанные пленочные пластмассовые сцинтилляторы имеют существенный недостаток – невысокую радиационную устойчивость. Для большинства из них падение светового выхода в два раза наблюдается уже при поглощенной дозе 700 – 1500 кГр. Так, на фиг.1 приведена зависимость падения светового выхода пластмассового сцинтиллятора на основе полистирола, содержащего 10% PPO и 0,1% POPOP, от поглощенной дозы 

-диаминоалканов C2-C12 и диангидридов арилендиоксидифталевых кислот, например, диангидрида 2,2-бис-[4-(3,4-дикарбоксифенокси)фенил] пропана (A), или диангидрида 1,3-бис-(3,4-дикарбоксифенокси)бензола (P) или диангидрида 4,4′-бис-(3,4-дикарбоксифенокси)дифенила (ДФ), заявляются как пластмассовые сцинтилляторы с повышенной радиационной стойкостью.
Химическое строение ПАЭИ приведенной формулы доказывают методом ИК-спектроскопии. Степень поликонденсации, n, ПАЭИ оценивают методом ГПХ. ПАЭИ приведенной формулы полностью растворимы при комнатной температуре в органических растворителях, таких как некоторые хлорированные углеводороды – хлороформ, симм-тетрахлорэтан, и в амидных растворителях – N,N-диметилформамиде, N-метил-2-пирролидоне и др. – с образованием прозрачных растворов.
Из растворов этих ПАЭИ методом полива изготавливают пленочные сцинтилляторы. Для полива наиболее удобны растворы ПАЭИ с логарифмической вязкостью в диапазоне значений
лог = 0,3-1,0 дл/г ( 













