Патент на изобретение №2169156
|
||||||||||||||||||||||||||
(54) СПОСОБ ПОЛУЧЕНИЯ ГИДРАЗИДА ПОЛИМЕТАКРИЛОВОЙ КИСЛОТЫ
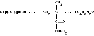
(57) Реферат: Описывается способ получения гидразида полиметакриловой кислоты путем взаимодействия поли(метил)метакрилата с гидразином или гидразингидратом при нагревании в растворе, взаимодействие осуществляют на поверхности волокнистого субстрата, причем предварительно волокнистый субстрат пропитывают (метил)метакрилатом, с последующей полимеризацией его под действием лазерного излучения при энергии облучения поверхности 70-500 мВт/м2с. При этом в качестве волокнистого субстрата используют полиамидное, полиакрилонитрильное, полиэфирное волокно. Изобретение позволяет повысить кислотостойкость, проницаемость фильтровального материала из волокнистого субстрата, а также повысить обменную емкость фильтровального материала. 1 з.п. ф-лы, 1 табл. Изобретение относится к области получения ионообменных фильтровальных материалов, находящих применение в народном хозяйстве, конкретно к синтезу гидразида полиметакриловой кислоты. Известен способ получения гидразида полиметакриловой кислоты путем взаимодействия раствора галоидангидрида полиметакриловой кислоты в диметилформамиде с гидразином или гидразингидратом при комнатной температуре. Гидразид полиметакриловой кислоты высаживают из реакционной среды метанолом или этанолом. Осадок отделяют центрифугированием (А. с. N 895994, МКИ C 08 F 120/60, C 08 F 8/30, 1982). Недостатком данного способа является необходимость выделения гидразида полиметакриловой кислоты из раствора, полученный продукт в виде смолы с низкой сквозной пористостью не может использоваться в качестве эффективного фильтровального пленочного материала, так как не обладает достаточной проницаемостью. Известен способ обработки полиакрилонитрильного волокна водным раствором сульфата гидразина с последующей термообработкой при 200-220oC (А. с. N 855092, МКИ D 01 F 11/04, 1981). Полученный материал не обладает необходимыми ионообменными свойствами, достаточной проницаемостью. Наиболее близким к предлагаемому является способ получения гидразида полиметакриловой кислоты, заключающийся в нагревании раствора полиметилметакрилата в амидном растворителе с 2-3 кратным избытком гидразина или гидразингидрата при нагревании до 110-120oC в течение 5-10 часов. Полученный раствор гидразида полиметакриловой кислоты выливают на стеклянную подложку и высушивают (А. с. N 572469, МКИ C 08 F 120/34, C 08 F 8/30). Полученная пленка обладает низкой проницаемостью, недостаточной обменной емкостью и агрессивостойкостью к кислым средам. Предлагаемый способ решает задачу получения высокоэффективных ионообменных фильтровальных материалов, способных работать в кислых средах. Техническим результатом изобретения является повышение кислотостойкости, проницаемости, повышение обменной емкости фильтровального материала. Поставленный технический результат достигается тем, что в способе получения гидразида полиметакриловой кислоты путем взаимодействия поли(метил)метакрилата с гидразином или гидразингидратом при нагревании в растворе, взаимодействие осуществляют на поверхности волокнистого субстрата, причем предварительно пропитывают волокнистый субстрат (метил)метакрилатом с последующей полимеризацией его под действием лазерного излучения при энергии облучения поверхности 70-500 мВт/м2с. При этом в качестве волокнистого субстрата используют полиамидное, полиакрилонитрильное, полиэфирное волокно. Получаемый технический результат обусловлен возникновением новых явлений, связанных с взаимодействием гидразида полимерной карбоновой кислоты с функциональными группами полимерной матрицы волокнистого субстрата и его поверхностью. Действие лазерного облучения приводит к образованию химических и физических связей и структурированию композиции. Пределы энергетического воздействия обусловлены созданием на поверхности теплового режима и фотовозбуждения, достаточных для релаксационных переходов и появления новых свойств данного технического решения, что приводит к повышению кислотостойкости, проницаемости, повышению обменной емкости материала. Разрушение полимера происходит при 320oC. Сущность способа заключается в том, что образец предварительно пропитывают на плюсовке (метил)метакрилатом. Затем образец на стеклянной подложке подвергают облучению лазерным лучом с лицевой и изнаночной стороны с целью полимеризации (метил)метакрилата. Образец помещают в реактор и осуществляют кипячение в гидразине или гидразингидрате в течение 1 часа. Затем промывают водой и сушат. Изобретение иллюстрируется следующими примерами. Пример 1. Образец трикотажного полиамидного полотна размером 20 х 20 см на лабораторной плюсовке пропитывают до 100% прироста массы метилметакрилатом. Образец помещают на стеклянную подложку и подвергают облучению сканирующим ультрафиолетовым лазерным лучом при энергии облучения поверхности 70 мВт/м2с с лицевой и изнаночной стороны. Затем образец помещают в реактор, снабженный обратным холодильником, и заливают 1000 мл гидразингидрата, осуществляют кипячение реакционной смеси при температуре кипячения гидразингидрата 118oC в течение 1 часа. Затем промывают водой до нейтральной среды и сушат. Пример 2. Образец трикотажного полиакрилонитрильного полотна пропитывают, как указано в примере 1, метакрилатом. Образец подвергают облучению лазерным лучом 200 мВт/м2с. Затем образец помещают в реактор, заливают гидразином и кипятят с обратным холодильником в течение 1 часа при 113,5oC. Промывают водой и сушат. Пример 3. Образец из полиэфирного полотна пропитывают аналогично примеру 1 метилметакрилатом. Затем образец подвергают облучению лазерным лучом при энергии облучения 500 мВт/м2с с лицевой и изнаночной стороны. Затем образец помещают в реактор и заливают гидразингидратом, осуществляют кипячение при температуре 118oC аналогично примеру 1. Затем промывают водой и сушат. Данные, характеризующие полученное соединение – гидразид полиметакриловой кислоты. I. Содержание гидразида полиметакриловой кислоты на волокнистом носителе (трикотажные полотна из полиамидного, полиакрилонитрильного, полиэфирного волокна): Гидразид полиметакриловой кислоты – 50% Волокнистый носитель – 50% II. Характеристика гидразида полиметакриловой кислоты 1. Формула гидразида полиметакриловой кислоты ![]() 2. Молекулярная масса звена 100,13 3. Элементный состав,%: найдено: C 48,03, H 7,96, N 27,73 вычислено: C 47,94, H 8,00, N 27,96 4. Степень замещения групп – OCH3-, %: 98,0 0,35. Количество гидразидных групп от теоретического (по результатам потенциометрического титрования 1,72 0,03 мг экв/г6. Спектральная характеристика (по результатам ИК – спектроскопии): карбонил гидразидного фрагмента (>C=O) 1680-1700 см-1 связь – NH – гидразитного фрагмента 3300-3350 см-1 Сравнительные свойства материала по прототипу и предлагаемому способу представлены в таблице. Как видно из таблицы, материалы, полученные по предлагаемому способу, обладают лучшей кислотостойкостью на 30-50%, ионообменной активностью на 20-30%, коэффициент проницаемости увеличивается в 2-4 раза. Формула изобретения
РИСУНКИ
MM4A Досрочное прекращение действия патента Российской Федерации на изобретение из-за неуплаты в установленный срок пошлины за поддержание патента в силе
Дата прекращения действия патента: 11.08.2001
Номер и год публикации бюллетеня: 11-2003
Извещение опубликовано: 20.04.2003
|
||||||||||||||||||||||||||


0,3
экв/г