Патент на изобретение №2168978
|
||||||||||||||||||||||||||
(54) КОМПОЗИЦИЯ ДЛЯ ОКРАШИВАНИЯ КЕРАТИНОВЫХ ВОЛОКОН, СПОСОБ ИХ ОКРАШИВАНИЯ, УПАКОВКА НАБОРА ДЛЯ ОКРАШИВАНИЯ КЕРАТИНОВЫХ ВОЛОКОН
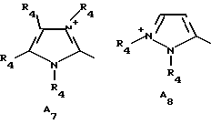
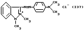
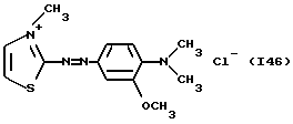
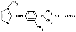
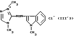
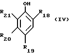
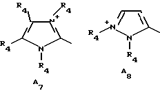
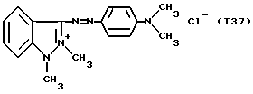
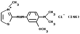
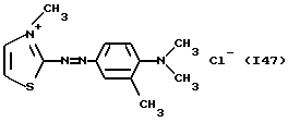
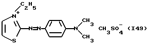
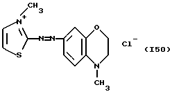
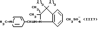
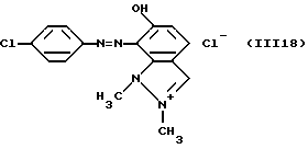
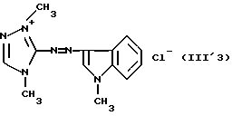
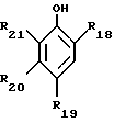
(57) Реферат: Изобретением является композиция для окрашивания кератиновых волокон волос, содержащая в подходящей для окрашивания среде один прямой катионный краситель и один самоокисляющий краситель, а также способ их окрашивания с использованием этой композиции и упаковка набора для окрашивания волос. Изобретение обеспечивает интенсивное хроматографическое окрашивание, имеющее низкую избирательность, стойкое к атмосферным воздействиям, к мытью, перманентной обработке. 3 с. и 31 з.п. ф-лы, 2 табл. Предметом изобретения является композиция для окрашивания кератиновых волокон и, в частности, кератиновых волокон человека, таких как волосы, содержащая в подходящей для окрашивания среде по меньшей мере один прямой катионный краситель и по меньшей мере один самоокисляющийся краситель, а также способ окрашивания с использованием такой композиции. Известно окрашивание кератиновых волокон и, в частности, человеческих волос, красящими композициями, содержащими самоокисляющиеся красители, такие как бензольные производные, включающие по меньшей мере три гидроксильных и/или аминогруппы, и индольные производные, такие как 5,6-дигидроксииндол. Эти самоокисляющиеся красители обладают способностью окисляться кислородом воздуха без какого-либо другого окислителя и вызвать появление окрашенных и окрашивающих молекул. Однако, окраски, получаемые при использовании таких красителей, не всегда являются достаточно хорошими, в частности, с точки зрения и интенсивности и цветности. Также известно окрашивание кератиновых волокон прямыми красителями и, в частности, прямыми катионными красителями. Недостаток прямых красителей в случае их введения в красящие композиции заключается в недостаточной стойкости, в частности, по отношению к мытью шампунями. Заявителю однако удалось открыть, что возможно получить новые композиции окрашивания кератиновых волокон, способные приводить к интенсивным, мало избирательным и стойким по отношению к различным агрессивным воздействиям, которым могут подвергаться волосы, окрашиваниям за счет объединения по меньшей мере одного прямого катионного красителя и по меньшей мере одного самоокисляющегося красителя. Это открытие лежит в основе настоящего изобретения. Итак, первым предметом изобретения является готовая к применению композиция для окрашивания кератиновых волокон и, в частности, кератиновых волокон человека, таких как волосы, отличающаяся тем, что она содержит в подходящей для окрашивания среде: – по меньшей мере один прямой катионный краситель, – по меньшей мере один самоокисляющийся краситель. Готовая к применению красящая композиция по изобретению приводит к интенсивным, хроматическим окрашиваниям, имеющим низкую избирательность и прекрасную стойкость одновременно по отношению к атмосферным факторам, таким как свет и непогода, и по отношению к выделению пота и различным обрабатывающим операциям, которым могут подвергаться волосы (мытье, перманентная обработка). Предметом изобретения является также способ окрашивания кератиновых волокон с использованием этой готовой к применению красящей композиции. Прямой катионный краситель или красители, которые могут использоваться в готовой к применению красящей композиции по изобретению, предпочтительно выбирают среди катионных аминоантрахиноновых соединений, катионных моно- или диазосоединений, катионных нафтохинонов. В качестве примера можно, в частности, привести [8-[(п-аминофенил)азо] -7-гидрокси-2-нафтил] триметиламмонийхлорид (называемый также Basic Brown 16 или Arianor Mahogany 306002 в Алфавитном Указателе Цветов), 3-[(4- амино-6-бром-5,8-дигидро-1-гидрокси-8-имино-5-оксо-2-нафталинил)- амино] -N,N,N-триметил-бензоланинийхлорид (называемый также Basic Blue 99 или Arianor Steel Blue 306004 в Алфавитном Указателе Цветов), 7-гидрокси-8-[(2-метоксифенил)азо] -N,N,N-триметил-2- нафталинаминийхлорид (называемый также Basic Red 76 или Arianor Madder Red в Алфавитном Указателе Цветов), [8-[(4-амино-2- нитрофенил)азо] -7-гидрокси-2-нафтил]триметиламмонийхлорид (называемый также Basic Brown 17 или Arianor Sienna Brown 306001 в Алфавитном Указателе Цветов) и 3-[(4,5-дигидро-3-метил-5-оксо-1- фенил-1H-пиразол-4-ил)азо]-N,N,N-триметилбензоламмонийхлорид (называемый также Basic Yellow 57 или Arianor Straw Yellow 306005 в Алфавитном Указателе Цветов). Прямой катионный краситель или красители могут также быть выбраны среди: а) соединений следующей формулы (I): ![]() в которой D представляет собой атом азота или группу -CH; R1 к R2, одинаковые или различные, представляют собой атом водорода, алкил C1-C4, который может быть замещен группой -CN, -O или -NH2, или образуют с атомом углерода бензольного цикла гетероцикл, возможно, кислород- или азотсодержащий, который может быть замещен одним или несколькими алкилами C1-C14; 4′-аминофенил; R3 и R’3, одинаковые или разные, представляют собой атом водорода или галогена, выбранного из хлора, брома, иода и фтора, циано, алкокси C1-C4 или ацетокси, X– представляет собой анион, предпочтительно выбранный из хлорида, метилсульфата и ацетата, A представляет собой группу, выбранную из следующих структур A1-A19: ![]() ![]() ![]() ![]() ![]() ![]() ![]() ![]() ![]() ![]() в которых R4 представляет собой алкил C1-C4, который может быть замещен гидроксильной группой; a R5 представляет собой алкокси C1-C4 при условии, что, когда D представляет собой -CH, A представляет собой A4 или A13, a R3 отличается от алкокси, тогда R1 и R2 не обозначают одновременно атом водорода; б) соединений следующей формулы (II): ![]() в которой R6 представляет собой атом водорода или алкил C1-C4, R7 представляет собой атом водорода, алкил, который может быть замещен -CN или аминогруппой, 4′-аминофенил, или образует с R6 гетероцикл, иногда кислород- и/или азотсодержащий, который может быть замещен алкилом C1-C4, R8 и R9, одинаковые или разные, представляют собой атом водорода, атом галогена, такого как бром, хлор, иод или фтор, алкил C1-C4 или алкокси C1-C4, -CN, X– представляет собой анион, предпочтительно выбранный среди хлорида, метилсульфата и ацетата, В представляет собой группу, выбранную из следующих структур B1-В6: ![]() ![]() ![]() в которых R10 представляет собой алкил C1-C4, R11 и R12, одинаковые или разные, представляют собой атом водорода или алкил C1-C4; в) соединений следующих формул (III) и (III’): ![]() ![]() в которых R13 представляет собой атом водорода, алкокси C1-C4; атом галогена, такого как бром, хлор, иод или фтор, или амино, R14 представляет собой атом водорода, алкил C1-C4 или образует с атомом углерода бензольного цикла гетероцикл, иногда кислородсодержащий и/или замещенный одной или несколькими алкильными группами C1-C4, R15 представляет собой атом водорода или галогена, такого как бром, хлор, иод или фтор, R16 и R17, одинаковые или разные, представляют собой атом водорода или алкил С1-С4, D1 и D2, одинаковые или разные, представляют собой атом азота или группу -CH; m = 0 или 1, при условии что, когда R13 представляет собой незамещенную аминогруппу, тогда D1 и D2 представляют собой одновременно группу -CH, а m = 0, Х– представляет собой анион, предпочтительно выбранный среди хлорида, метилсульфата и ацетата, E представляет собой группу, выбранную из следующих структур E1– E8: ![]() ![]() ![]() ![]() в которых R’ представляет собой алкил C1-C4; когда m = 0, a D1 представляет собой атом азота, то где E может также обозначать следующую структурную группу E9: ![]() в которой R’ представляет собой алкил C1-C4. Прямые катионные красители формул (I), (II), (III) и (III’), которые могут использоваться в готовых к применению красящих композициях по изобретению, являются известными соединениями и описаны, например, в заявках на патенты WO 95/01772, WO 95/15144 и EP-A-О 714 954. Среди прямых катионных красителей формулы (I), которые могут использоваться в готовых к применению красящих композициях по изобретению, можно, в частности, привести соединения, отвечающие следующим структурам (I1) – (I52). ![]() ![]() ![]() ![]() ![]() ![]() ![]() ![]() ![]() ![]() ![]() ![]() ![]() ![]() ![]() ![]() ![]() ![]() ![]() ![]() ![]() ![]() ![]() ![]() ![]() ![]() ![]() ![]() ![]() ![]() ![]() ![]() ![]() ![]() ![]() ![]() ![]() ![]() ![]() ![]() ![]() ![]() ![]() ![]() ![]() ![]() ![]() ![]() ![]() ![]() ![]() ![]() Среди описанных выше соединений структур (I1) – (I52) особенно предпочитают соединения, отвечающие структурам (I1), (I2), (I4) и (I31). Среди прямых катионных красителей формулы (II), которые могут использоваться в готовых к применению красящих композициях по изобретению, можно привести, в частности, соединения, отвечающие следующим структурам (II1) – (II12): ![]() ![]() ![]() ![]() ![]() ![]() ![]() ![]() ![]() ![]() ![]() ![]() Среди прямых катионных красителей формулы (III), которые могут использоваться в готовых к применению красящих композициях по изобретению, можно, в частности, привести соединения, отвечающие следующим структурам (III1) – (III18): ![]() ![]() ![]() ![]() ![]() ![]() ![]() ![]() ![]() ![]() ![]() ![]() ![]() ![]() ![]() ![]() ![]() ![]() Среди особых описанных выше соединений (III1) (III18) предпочитают особенно соединения, отвечающие структурам (III4), (III5) и (III13). Среди прямых катионных красителей формулы (III’), которые могут использоваться к готовых к применению красящих композициях по изобретению, можно, в частности, привести соединения, отвечающие следующим структурам (III’1) – (III’3): ![]() ![]() и ![]() Прямой катионный краситель или красители, используемые по изобретению, составляют предпочтительно приблизительно 0,001-10 вес. % от общего веса готовой к применению красящей композиции и еще более предпочтительно приблизительно 0,05-5 вес.% от этого веса. Природа самоокисляющегося красителя или красителей, используемых в готовой к применению красящей композиции, не имеет принципиального значения. Они могут, в частности, выбираться среди бензольных, индольных или индолиновых самоокисляющихся красителей. Среди самоокисляющихся бензольных красителей, которые могут использоваться в красящих композициях по изобретению, можно, в частности, привести соединения следующей формулы (IV) и их аддитивные соли с кислотой: ![]() в которой – R18 представляет собой атом водорода, алкил C1-C4 или амино группу, – R19 представляет собой алкил C1-C4, гидроксил, амино, моноалкил(C1-C4)амино или диалкил(C1-C4)амино, – R20 представляет собой атом водорода, гидроксил или аминогруппу, – R21 представляет собой атом водорода или аминогруппу, при условии, что по меньшей мере два из радикалов R19 – R21 представляют собой независимо друг от друга гидроксильную, амино, моноалкил(C1-C4)амино или диалкил(C1-C4) аминогруппу. Среди самоокисляющихся бензольных красителей вышеуказанной формулы (IV) можно, в частности, привести 1,2,4-тригидроксибензол, 1-метил-2,4,5-тригидроксибензол, 2,4-диамино 6-метилфенол, 2-амино 4-метиламинофенол, 2,5-диамино 4-метилфенол, 2,6-диамино 4- диэтиламинофенол, 2,6-диамино 1,4-дигидроксибензол и их аддитивные соли с кислотой. Среди самоокисляющихся индольных и индолиновых красителей, которые могут использоваться в красящей композиции по изобретению, можно, в частности, привести соединения следующих формул (V – (VI): ![]() ![]() в которых: – R22, R24, R25 и R126, одинаковые или разные, представляют собой атом водорода, алкил C1-C4 или ацил C1-C4, – R23 представляет собой атом водорода, алкил C1-C4 или карбоксильную группу. Среди самоокисляющихся красителей указанной выше формулы (V) можно, в частности, привести 5,6-диоксииндол, 2- метил-5,6-дигидроксииндол, 3-метил-5,6-дигидроксииндол, 1-метил-5, 6-дигидроксииндол, 2,3-диметил-5,6-дигидроксииндол, 5-метокси-6- гидроксииндол, 5-ацетокси-6-гидроксииндол, 5,6-диацетоксииндол, 5, 6-дигидроксииндол-2-карбоновую кислоту и их аддитивные соли с кислотой. Среди самоокисляющихся красителей вышеуказанной формулы (VI) можно, в частности, привести 5,6-дигидроксииндолин, 1-метил-5,6-дигидроксииндолин, 1-этил-5,6- дигидроксииндолин и их аддитивные соли с кислотой. Самоокисляющийся краситель или красители составляют предпочтительно около 0,0005-12 вес.% от общего веса красящей композиции по изобретению и еще более предпочтительно около 0,005-8 вес.% от этого веса. Для облегчения окисления самоокисляющихся красителей готовая к применению красящая композиция по изобретению может, кроме того, содержать один или несколько окислителей. Эти окислители могут, в частности, выбираться среди перекиси водорода, перекиси мочевины, броматов щелочных металлов, персолей, таких как пербораты и персульфаты, и ферментов, таких как пероксидазы и оксиредуктазы с двумя электронами. Среди оксиредуктаз с 2 электронами, которые могут быть использованы в качестве окислителя в готовой к применению красящей композиции по изобретению, можно, в частности, привести пиранозоксидазы, глюкозоксидазы, глицериноксидазы, лактатоксидазы, пируватоксидазы и уриказы. По изобретению особенно предпочтительным является использование уриказ животного, микробиологического или биотехнологического происхождения. В качестве примера, можно, в частности, привести уриказу из печени кабана, уриказу Arthrobacter globiformis, а также уриказу Aspergillus flavus. Оксиредуктаза или оксиредуктазы с 2 электронами могут использоваться в чистом кристаллическом виде или в разбавленном виде в разбавителе, инертном для указанной оксиредуктазы с 2 электронами. При их использовании, оксиредуктаза или оксиредуктазы с 2 электронами по изобретению составляют предпочтительно около 0,01-20 вес.% от общего веса готовой к применению красящей композиции и еще более предпочтительно около 0,1-5 вес.% от этого веса. При использовании фермента типа оксиредуктазы с 2 электронами готовая к применению красящая композиция может, кроме того, содержать один или несколько доноров. По изобретению под донором подразумевают различные субстраты, участвующие в действии названной оксиредуктазы или оксиредуктаз с 2 электронами. Природа используемого донора (или субстрата) зависит от типа используемой оксиредуктазы с 2 электронами. Например, в качестве донора для пиранозоксидазы можно привести D-глюкозу, L-сорбозу и D-ксилозу, в качестве донора для глюкозоксидаз можно привести D-глюкозу, в качестве донора для глицериноксидаз можно привести глицерин и дигидроксиацетон, в качестве донора для лактатоксидаз можно привести молочную кислоту и ее соли, в качестве донора для пируватоксидаз можно привести пировиноградную кислоту и ее соли, и наконец, в качестве донора для уриказ можно привести мочевую кислоту и ее соли. При их применении, используемые по изобретению донор или доноры (или субстраты) составляют предпочтительно около 0,01-20 вес.% от общего веса готовой к применению красящей композиции по изобретению и еще более предпочтительно около 0,1-5 вес.% от этого веса. Когда готовая к применению красящая композиция по изобретению содержит окислитель, она может содержать, кроме того, одно или несколько окисляемых оснований и/или одно или несколько краскообразующих веществ. Эти окисляемые основания могут, в частности, выбираться среди парафенилендиаминов, парааминофенолов, ортофенилендиаминов и гетероциклических оснований, таких как, например, пиридиновые производные, пиримидиновые производные, пиразольные производные и пиразолопиримидиновые производные. Краскообразующие вещества могут, в частности, выбираться среди метафенилендиаминов, метааминофенолов, метадифенолов, гетероциклических краскообразующих веществ, таких как, например, индольные производные, индолиновые производные, бензимидазольные производные, бензоморфолиновые производные, сезамоловые производные, пиридиновые производные, пиримидиновые и пиразольные производные и их аддитивные соли с кислотой. Когда они присутствуют, окисляемое основание или основания составляют предпочтительно около 0,0005-12 вес.% от общего веса красящей композиции по изобретению и еще более предпочтительно около 0,005-8 вес.% от этого веса. Когда они присутствуют, краскообразующее вещество или вещества составляют предпочтительно около 0,0001-10 вес.% от общего веса готовой к применению красящей композиции и еще более предпочтительно около 0,005-8 вес.% от этого веса. В целом, аддитивные соли с кислотой, которые могут использоваться в рамках красящих композиций по изобретению (самоокисляющиеся красители, окисляемые основания и краскообразующие вещества), выбирают, в частности, среди хлоргидратов, бромгидратов, сульфатов, тартратов, лактатов и ацетатов. Подходящая для окрашивания среда (или основа) готовой к применению красящей композиции по изобретению образована обычно водой или смесью воды и по меньшей мере одного органического растворителя для растворения соединений, которые недостаточно растворимы в воде. В качестве органического растворителя можно, например, привести алканолы C1-C4, такие как этанол и изопропапол, а также ароматические спирты, такие как бензоловый спирт или феноксиэтанол, аналогичные вещества или их смеси. pH готовой к применению красящей композиции по изобретению обычно составляет около 5-11 и предпочтительно около 6,5-10. Его можно регулировать до требуемого значения посредством подкисляющих или подщелачивающих агентов, обычно используемых при окрашивании кератиновых волокон. Среди подкисляющих агентов можно привести в качестве примера неорганические или органические кислоты, такие как соляная кислота, ортофосфорная кислота, серная кислота, карбоновые кислоты, такие как уксусная кислота, винная кислота, лимонная кислота, молочная кислота, сульфоновые кислоты. Среди подщелачивающих агентов можно привести в качестве примера аммиак, карбонаты щелочных металлов, алканоламины, такие как моно-, ди- и триэтаноламины, 2-метил-2-амино-1-пропанол, а также их производные, гидроксиды натрия или калия и соединения следующей формулы (VII): ![]() в которой W является пропиленовым остатком, при необходимости замещенным гидроксильной группой или алкилом 1-C4; R27, R28, R29 и R30, одинаковые или разные, представляют собой атом водорода, алкил C1-C4 или гидроксиалкил C1-C4. Готовая к применению красящая композиция по изобретению может также содержать различные добавки, традиционно используемые в композициях для окрашивания волос, такие как, например, антиоксиданты, катализаторы окрашивания, комплексообразователи, отдушки, буферы, диспергаторы, консерванты, матирующие агенты. Естественно, специалист должен выбирать это или эти возможные дополнительные соединения таким образом, чтобы полезные свойства, присущие готовой к применению красящей композиции по изобретению, не были бы ухудшены или существенно ухудшены предусматриваемой добавкой или добавками. Готовая к применению красящая композиция по изобретению может быть представлена в различных формах, таких как жидкости, кремы, гели, при необходимости герметизированные, или в любой другой подходящей для осуществления окрашивания кератиновых волокон и, в частности, человеческих волос, форме. Она не должна содержать газообразный кислород во избежание преждевременного окисления самоокисляющегося красителя или красителей. Предметом изобретения является также способ окрашивания кератиновых волокон и, в частности, кератиновых волокон человека, таких как волосы, с использованием готовой к применению красящей композиции, такой как определенная выше. Согласно этому способу на волокна наносят по меньшей мере одну готовую к применению красящую композицию, такую как описанная выше, на некоторое время, достаточное для проявления требуемой окраски, после чего волокна ополаскивают, при необходимости моют с шампунем, вновь ополаскивают и сушат. Время, необходимое для проявления окраски на кератиновых волокнах, обычно составляет от 3 до 60 минут, а точнее от 5 до 40 минут. Согласно особой форме осуществления изобретения, когда готовая к применению композиция содержит окислитель, способ включает в себя предварительную стадию, заключающуюся в раздельном хранении, с одной стороны, композиции (А), содержащей в подходящей для окрашивания среде по меньшей мере один прямой катионный краситель и по меньшей мере один самоокисляющийся краситель, а с другой стороны, композицию (Б), содержащую в подходящей для окрашивания среде по меньшей мере один окислитель, затем в их смешивании в момент применения перед нанесением этой смеси на кератиновые волокна. Другим предметом изобретения является устройство с несколькими отделениями или “набор” для окрашивания или любая другая система упаковки с несколькими отделениями, из которых первое отделение содержит композицию (А), такую как определенная выше, а второе отделение содержит композицию (Б), такую как определенная выше. Эти устройства могут быть оборудованы средством, позволяющим наносить на волосы требуемую смесь, такие как средства, описанные в патенте РФ 2 586 913, выданном на имя заявителя. Приводимые ниже примеры предназначены для иллюстрации изобретения без ограничения его объема. Примеры Примеры окрашивания 1-3 Получали готовые к применению красящие композиции (содержания в граммах), представленные в табл. 1. Каждая из описанных выше готовых к применению красящих композиций наносилась на пряди естественных седых волос с 90% седины на 30 минут, после чего волосы ополаскивали, промывали с обычным шампунем, затем сушили. Волосы окрашивались в тона, представленные в табл. 2. Формула изобретения
а) соединений следующей формулы I ![]() где D представляет собой атом азота или группу -CH; R1 и R2, одинаковые или различные, представляют собой атом водорода; алкил C1-C4, который может быть замещен группой -CN, -OH, или -NH2; или образуют с атомом углерода бензольного цикла гетероцикл, возможно, кислород- или азотсодержащий, который может быть замещен одним или несколькими алкилами C1-C4; 4′-аминофенил; R3 и R’3, одинаковые или разные, представляют собой атом водорода или галогена, выбранного из хлора, брома, иода и фтора, циано, алкокси C1-C4 или ацетокси; Х– представляет собой анион, предпочтительно выбранный из хлорида, метилсульфата и ацетата, А представляет собой группу, выбранную из следующих структур А1-А19: ![]() ![]() ![]() ![]() ![]() ![]() ![]() ![]() ![]() ![]() где R4 представляет собой алкил C1-C4, который может быть замещен гидроксильной группой; R5 представляет собой алкокси C1-C4 при условии, что, когда D представляет собой -CH, A представляет собой A4 или A13, а R3 отличается от алкокси, тогда R1 и R2 не обозначают одновременно атом водорода; б) соединений следующей формулы II ![]() где R6 представляет собой атом водорода или алкил C1-C4; R7 представляет собой атом водорода, алкил, который может быть замещен -CN или аминогруппой, 4′-аминофенил, или образует с R6 гетероцикл, иногда кислород- и/или азотсодержащий, который может быть замещен алкилом C1-C4; R8 и R9 одинаковые или разные, представляют собой атом водорода или галогена, такого как бром, хлор, иод или фтор, алкил C1-C4 или алкокси C1-C4, -CN; Х– представляет собой анион, предпочтительно выбранный среди хлорида, метилсульфата и ацетата; В представляет собой группу, выбранную из следующих структур B1-B6: ![]() ![]() ![]() ![]() где R10 представляет собой алкил C1-C4, R11 и R12, одинаковые или разные, представляют собой атом водорода или алкил C1-C4; в) соединений следующих формул III и III’ ![]() ![]() где R13 представляет собой атом водорода, алкокси C1-C4; атом галогена, такого как бром, хлор, иод или фтор, или амино; R14 представляет собой атом водорода, алкил C1-C4 или образует с атомом углерода бензольного цикла гетероцикл, иногда кислородсодержащий и/или замещенный одной или несколькими алкильными группами C1-C4; R15 представляет собой атом водорода или галогена, такого как бром, хлор, иод или фтор; R16 и R17, одинаковые или разные, представляют собой атом водорода или алкил C1-C4; D1 и D2 одинаковые или разные, представляют собой атом азота или группу -CH; m = 0 или 1, при условии что, когда R13 представляет собой незамещенную аминогруппу, тогда D1 и D2 представляют собой одновременно группу -CH, а m = 0; X– представляет собой анион, предпочтительно выбранный среди хлорида, метилсульфата и ацетата; Е представляет собой группу, выбранную из следующих структур Е1-Е8: ![]() ![]() ![]() ![]() где R’ представляет собой алкил C1-C4; когда m = 0, а D1 представляет собой атом азота, тогда Е может также обозначать следующую структурную группу Е9: ![]() где R’ представляет собой алкил C1-C4. 5. Композиция по п.4, отличающаяся тем, что прямые катионные красители формул I выбирают среди соединений, отвечающих следующим структурам I1 – I52: ![]() ![]() ![]() ![]() ![]() ![]() ![]() ![]() ![]() ![]() ![]() ![]() ![]() ![]() ![]() ![]() ![]() ![]() ![]() ![]() ![]() ![]() ![]() ![]() ![]() ![]() ![]() ![]() ![]() ![]() ![]() ![]() ![]() ![]() ![]() ![]() ![]() ![]() ![]() ![]() ![]() ![]() ![]() ![]() ![]() ![]() ![]() ![]() ![]() ![]() ![]() ![]() 6. Композиция по п.4, отличающаяся тем, что прямые катионные красители формулы II выбирают среди соединений, отвечающих следующим структурам II1 – II12: ![]() ![]() ![]() ![]() ![]() ![]() ![]() ![]() ![]() ![]() ![]() ![]() 7. Композиция по п.4, отличающаяся тем, что прямые катионные красители формулы III выбирают среди соединений, отвечающих следующим структурам III1 – III18: ![]() ![]() ![]() ![]() ![]() ![]() ![]() ![]() ![]() ![]() ![]() ![]() ![]() ![]() ![]() ![]() ![]() ![]() 8. Композиция по п.4, отличающаяся тем, что прямые катионные красители формулы III’ выбирают среди соединений, отвечающих следующим структурам III’1 – III’3: ![]() ![]() ![]() 9. Композиция по одному из пп.1-8, отличающаяся тем, что прямой катионный краситель или красители составляют 0,001-10 вес.% от общего веса красящей композиции. 10. Композиция по п.9, отличающаяся тем, что прямой катионный краситель или красители составляют 0,05-5 вес.% от общего веса красящей композиции. 11. Композиция по п.1, отличающаяся тем, что самоокисляющийся краситель или красители выбирают среди самоокисляющихся бензольных, индольных или индолиновых красителей. 12. Композиция по п. 11, отличающаяся тем, что самоокисляющиеся бензольные красители выбирают среди соединений следующей формулы IV и их аддитивных солей с кислотой ![]() где R18 представляет собой атом водорода, алкил C1-C4 или аминогруппу; R19 представляет собой алкил C1-C4, гидроксил, амино, моноалкил (C1-C4)амино или диалкил(C1-C4)амино; R20 представляет собой атом водорода, гидроксил или аминогруппу; R21 представляет собой атом водорода или аминогруппу, при условии, что по меньшей мере два из радикалов R19-R21 представляют собой независимо друг от друга гидроксильную, амино, моноалкил(C1-C4)амино или диалкил(C1-C4)аминогруппу. 13. Композиция по п.12, отличающаяся тем, что бензольные самоокисляющиеся красители формулы IV выбирают среди 1,2,4-тригидроксибензола, 1-метил-2,4,5-тригидроксибензола, 2,4-диамино 6-метилфенола, 2-амино 4-метиламинофенола, 2,5-диамино 4-метилфенола, 2,6-диамино 4-диэтиламинофенола, 2,6-диамино 1,4-дигидроксибензола и их аддитивных солей с кислотой. 14. Композиция по п.11, отличающаяся тем, что самоокисляющиеся индольные или индолиновые красители выбирают среди соединений следующих формулы V и VI: ![]() ![]() где R22, R24, R25 и R26, одинаковые или разные, представляют собой атом водорода, алкил C1-C4 или ацил C1-C4; R23 представляет собой атом водорода, алкил C1-C4 или карбоксильную группу. 15. Композиция по п.14, отличающаяся тем, что самоокисляющиеся красители формулы V выбирают среди 5,6-диоксииндола, 2-метил-5,6-дигидроксииндола, 3-метил-5,6-дигидроксииндола, 1-метил-5,6-дигидроксииндола, 2,3-диметил-5,6-дигидроксииндола, 5-метокси-6-гидроксииндола, 5-ацетокси-6-гидроксииндола, 5,6-диацетоксииндола, 5,6-дигидроксииндол-2-карбоновой кислоты и их аддивных солей с кислотой. 16. Композиция по п.14, отличающаяся тем, что самоокисляющиеся красители формулы VI выбирают среди 5,6-дигидроксииндолина, 1-метил-5,6-дигидроксииндолина, 1-этил-5,6-дигидроксииндолина и их аддивных солей с кислотой. 17. Композиция по п.1, отличающаяся тем, что самоокисляющийся краситель или красители составляют 0,0005-12 вес.% от общего веса красящей композиции. 18. Композиция по п.17, отличающаяся тем, что самоокисляющийся краситель или красители составляет 0,005-8 вес.% от общего веса красящей композиции. 19. Композиция по п.1, отличающаяся тем, что она дополнительно содержит один или несколько окислителей, выбранных среди перекиси водорода, перекиси мочевины, броматов щелочных металлов, персолей, таких как пербораты и персульфаты, и ферментов. 20. Композиция по п.19, отличающаяся тем, что ферменты выбирают среди пероксидаз и оксидоредуктаз с двумя электронами. 21. Композиция по п.20, отличающаяся тем, что оксидоредуктазы с двумя электронами выбирают среди пиранозоксидаз, глицериноксидаз, лактатоксидаз, пируватоксидаз, уриказ и глюкозоксидаз. 22. Композиция по п.20 или 21, отличающаяся тем, что оксидоредуктазу с 2 электронами выбирают среди уриказ животного, микробиологического или биотехнологического происхождения. 23. Композиция по одному из пп.20-22, отличающаяся тем, что оксидоредуктаза или оксидоредуктазы с 2 электронами составляют 0,01-20 вес.% от общего веса красящей композиции. 24. Композиция по п.23, отличающаяся тем, что оксидоредуктаза или оксидоредуктазы с 2 электронами составляют 0,1-5 вес.% от общего веса красящей композиции. 25. Композиция по одному из пп.22-24, отличающаяся тем, что она содержит донор (или субстрат) для названной оксидоредуктазы с 2 электронами, выбранный из мочевой кислоты и ее солей. 26. Композиция по п.1, отличающаяся тем, что она дополнительно содержит одно или несколько окисляемых оснований, выбранных среди парафенилендиаминов, парааминофенолов, ортофенилендиаминов и гетероциклических оснований, и/или одно или несколько краскообразующих веществ, выбранных среди метафенилендиаминов, метааминофенолов, метадифенолов, гетероциклических краскообразующих веществ, таких как, например, индольные производные, индолиновые производные, производные бензимидазола, производные бензоморфолина, производные сезамола, пиридиновые, пиримидиновые и пиразольные производные, и их аддитивных солей с кислотой. 27. Композиция по п.26, отличающаяся тем, что окисляемое основание или основания составляют 0,0005-12 вес.% от общего веса красящей композиции, а краскообразующее вещество или вещества составляют 0,0001-10 вес.% от общего веса красящей композиции. 28. Композиция по п.27, отличающаяся тем, что окисляемое основание или основания составляют 0,0005-8 вес.% от общего веса красящей композиции, а краскообразующее вещество или вещества составляют 0,0005-8 вес.% от общего веса красящей композиции. 29. Композиция по пп.12, 13, 15-16 и 26-28, отличающаяся тем, что аддитивные соли с кислотой выбирают среди хлоргидратов, бромгидратов, сульфатов, тартратов, лактатов и ацетатов. 30. Композиция по п.1, отличающаяся тем, что подходящая для окрашивания среда образована водой или смесью воды и по меньшей мере одного органического растворителя. 31. Композиция по п.1, отличающаяся тем, что ее рН составляет 5-11. 32. Способ окрашивания кератиновых волокон, в частности, волос, отличающийся тем, что на волокна наносят по меньшей мере одну красящую композицию, по п.1, на время, достаточное для проявления требуемой окраски. 33. Способ по п. 32, отличающийся тем, что композицию А, содержащую в подходящей для окрашивания среде по меньшей мере один прямой катионный краситель и по меньшей мере один самоокисляющийся краситель, смешивают с композицией Б, содержащей в подходящей для окрашивания среде по меньшей мере один окислитель, перед нанесением на волокна. 34. Упаковка набора для окрашивания кератиновых волокон, в частности волос, имеющая отделение под композицию А, и отделение под композицию Б, охарактеризованные в п.33. РИСУНКИ
MM4A Досрочное прекращение действия патента Российской Федерации на изобретение из-за неуплаты в установленный срок пошлины за поддержание патента в силе
Дата прекращения действия патента: 08.10.2004
Извещение опубликовано: 20.02.2006 БИ: 05/2006
|
||||||||||||||||||||||||||






























































































































































































































