Патент на изобретение №2168869
|
||||||||||||||||||||||||||
(54) СПОСОБ ДЕМОДУЛЯЦИИ СИГНАЛОВ С ОТНОСИТЕЛЬНОЙ ФАЗОВОЙ МАНИПУЛЯЦИЕЙ И УСТРОЙСТВО ДЛЯ ЕГО РЕАЛИЗАЦИИ
(57) Реферат: Изобретение относится к технике связи и может использоваться при приеме сигналов дискретной информации при нестабильности несущей частоты сигнала, вызванной в частности наличием большой величины доплеровского смещения частоты в канале связи. Входной фазоманипулированный сигнал разлагают на синфазную и квадратурную составляющие относительно центральной частоты диапазона входных сигналов, фильтруют каждую из указанных составляющих в полосе низких частот, равной полуширине диапазона частот входных сигналов, оба отфильтрованных сигнала задерживают на половину длительности символа, при этом первую из упомянутых выше компонент сигнала формируют как результат суммирования произведения отфильтрованного синфазного сигнала с задержанным отфильтрованным синфазным сигналом и произведения отфильтрованного квадратурного сигнала с задержанным отфильтрованным квадратурным сигналом, а вторую из упомянутых выше компонент сигнала формируют как результат разности произведения задержанного отфильтрованного синфазного сигнала с отфильтрованным квадратурным сигналом и произведения отфильтрованного синфазного сигнала с задержанным отфильтрованным квадратурным сигналом. Способ реализуется устройством, содержащим восемь перемножителей, общий источник сигнала (3), фазовращатель (4), пять элементов памяти (5,8,9,15,22), на половину длительности посылки сигнала, и два интегратора со сбросом (6,7) три сумматора (12, 13,19), решающее устройство (14), устройство синхронизации (16), два фильтра нижних частот (ФНЧ), (17,20) вычитающее устройство (24), а общим источником сигнала является генератор, частота которого равна центральной частоте диапазона входных частот сигнала, причем ширина полосы ФНЧ равна полуширине диапазона входных частот. Технический результат: повышение помехоустойчивости за счет исключения дополнительных высокочастотных помеховых составляющих, возникающих в прототипе после операций перемножения, которые предшествуют интегрированию со сбросом, и за счет снижения мощности других шумовых составляющих перед интегрированием со сбросом, при сохранении инвариантности к частоте принимаемого сигнала. 2 c. и 1 з.п.ф-лы, 2 ил. Изобретение относится к технике связи и может использоваться при приеме сигналов дискретной информации при нестабильности несущей частоты сигнала, вызванной в частности наличием большой величины доплеровского смещения частоты в канале связи. Для приема и демодуляции сигналов с относительной фазовой манипуляцией, в общем случае возможно использование трех основных способов демодуляции [1-3]: когерентного, корреляционного и автокорреляционного. Информационным параметром при фазоразностной модуляции является разность фаз двух посылок: Sn-1(t) = cos( 0t+ n-1), Sn(t) = cos( 0t+ n). (1)При демодуляции определяется = n– n-1:![]() ![]() ![]() ![]() Так как норма величина положительная, а для двухпозиционной фазовой манипуляции {0, }, то в выражении (2) для двухпозиционной фазовой манипуляции требуется определять только знак переданной разности фаз:signI = sign(cos ), (6)где signI – знак переданного информационного символа, то есть (так как норма величина положительная): signI = sign(Sn Sn-1) (7)Выражение (7) является фундаментальным в теории фазоразностной модуляции (ФРМ), поскольку с его помощью можно получить математические выражения для алгоритмов (способов) демодуляции сигналов с ФРМ и классифицировать их. Непосредственная реализация выражения (7): ![]() позволяет осуществить автокорреляционную демодуляцию [1-3]. При корреляционном способе демодуляции скалярное произведение (Sn Sn-1) вычисляется через проекции векторов Sn(t) и Sn-1(t) на координатные функции (оси) f1(t) = cos t и f2(t) = sin t, а именно:signI = sign [(Sn f1) (Sn-1(t) f1) + (Sn f2) (Sn-1(t) f2)]. (9)При когерентном способе демодуляции скалярное произведение (Sn Sn-1) вычисляется через проекцию на единственную координатную ось f0(t) = cos( t + 0); таким образом:signI = sign(Sn f0) sign(Sn-1 f0), (10)а координатную ось f0(t) получают путем восстановления фазы несущей сигнала. Когерентный способ демодуляции обладает наилучшей помехоустойчивостью среди перечисленных способов демодуляции [1-3], однако при нестабильности несущей частоты сигнала из-за срывов синхронизации в процессе восстановления несущей сигнала будет происходить потеря информации [3, стр. 160-164], в таких случаях используют некогерентные способы демодуляции. Аналогично, некогерентные способы демодуляции оказываются более предпочтительными в случаях существенной априорной неопределенности несущей частоты сигнала, вызванной, в частности, наличием большой величины доплеровского смещения частоты в канале связи с космическими аппаратами (КА) типа Mars Polarlander или Mars Pathfinder [6], а также при потере когерентности опорного колебания, как это имело место в КА Galileo [7]. Известен корреляционный способ демодуляции сигналов с относительной фазовой манипуляцией [4], недостатком данного корреляционного способа демодуляции является то, что расстройка опорного колебания не должна превышать величины обратно пропорциональной 8Ts [8]: <1/8Ts, (11)где Ts – длительность символа. Известен более устойчивый к нестабильности несущей частоты сигнала автокорреляционный способ демодуляции сигналов с относительной фазовой манипуляцией [2, стр. 158-162], абсолютно инвариантный к частоте демодулируемого сигнала основанный на использовании оператора вида: ![]() где Yn(t), Yn-1(t), Yn-2(t) – посылки принимаемого сигнала, представляющие собой при отсутствии помех отрезки гармонического колебания с частотой и фазами n-2, n-1 и n,принятый за прототип. В прототипе аналогичный выражению (12) автокорреляционный алгоритм демодуляции имеет вид [2, стр. 160-162]: ![]() где z(t) – принимаемый сигнал, a z*(t) – сигнал, фаза которого повернута на 90o по отношению к исходному сигналу. Как следует из выражения (13), способ-прототип предполагает выполнение следующих операций над сигналом: – задерживают принятый сигнал на половину длительности символа, – формируют одну компоненту сигнала перемножением принятого и задержанного сигналов, – фазу задержанного сигнала поворачивают на 90o, – формируют другую компоненту сигнала перемножением принятого сигнала с задержанным сигналом, фаза которого повернута на 90o, – синхронно интегрируют со сбросом на интервале времени, равном половине длительности символа, каждую из двух компонент сигнала, – задерживают оба проинтегрированных сигнала на половину длительности символа, – перемножают каждый из двух проинтегрированных сигналов с соответствующим ему задержанным сигналом, – суммируют результаты перемножения, – задерживают суммарный сигнал на половину длительности символа, – суммируют суммарный сигнал и задержанный суммарный сигнал, – принимают решения о значении переданного двоичного символа по знаку результата второго суммирования. Устройство-прототип [5] содержит два квадратурных автокоррелятора, состоящих из общего элемента памяти на половину длительности посылки, фазовращателя, двух перемножителей и двух интеграторов со сбросом, выходы которых непосредственно и через другие элементы памяти на половину длительности посылки подключены к третьему и четвертому перемножителям, выходы последних подключены к входам сумматора, а его выход соединен с одним из входов дополнительного элемента памяти на половину длительности посылки и через дополнительный сумматор с входом порогового элемента. Входы дополнительного сумматора через дополнительный элемент памяти и непосредственно соединены с соответствующими выходами устройства синхронизации и управления, соединенного также со всеми элементами памяти, кроме первого, и с входами сброса интеграторов. Недостатком способа-прототипа и устройства-прототипа является присутствие помех в результатах перемножении, предшествующих интегрированию со сбросом. Покажем это. Представим модель принимаемого сигнала r(t) как аддитивную смесь переданного сигнала s(t) и аддитивного полосового гауссовского шума n(t): r(t) = s(t) + n(t). (14) Сигнал с относительной фазовой манипуляцией (2ФМн) можно описать моделью [8]: ![]() (16)где – амплитуда сигнала, f0 – несущая частота сигнала, 0 – начальная фаза сигнала, T – длительность символа, начальная фаза тактовой частоты сигнала, mi – дифференциально-кодированные информационные символы сообщения.
Модель аддитивного полосового гауссовского шума n(t) через его огибающую n0(t) можно представить следующим образом:n(t) = n0(t)cos(2 f0t+ 0) (17)Для упрощения обозначений амплитуда сигнала полагается равной единице, полная фаза сигнала (t) = 2 f0t+ 0. Тогда r(t) можно представить следующим образом:r(t) = m(t)cos (t) + n0cos (t). (18)Результат перемножения pI(t) принятого сигнала r(t) с тем же, но задержанным, в соответствии со способом-прототипом, сигналом r(t-T/2), представляется следующим образом: ![]() В соответствии с известными тригонометрическими выражениями производные косинусов в (19) можно представить как полусумму косинусов суммарного и разностного углов: ![]() Следует отметить, что информационной компонентой, несущей информацию о модулирующем сообщении m(t), является только первое из восьми слагаемых выражения (20), при этом остальные нечетные слагаемые, являются низкочастотными помеховыми компонентами, а все четные – высокочастотными помеховыми компонентами. Таким образом все последующие семь слагаемых выражения (20) снижают помехоустойчивость способа прототипа. Аналогичное выражение выводится и для результата перемножения pQ(t) принятого сигнала с задержанным сигналом, фаза которого повернута на 90o: ![]() Осуществляя с выражением (21) тождественные тригонометрические преобразования, как для выражения (20), получим: ![]() Аналогично выражению (20) для pI(t) в выражении (22) для pQ(t) слагаемым полученным для восстановления из r(t) модулирующей функции m(t) является только первое слагаемое. То есть, так же как и в выражении (20), последующие семь слагаемых в (22) снижают помехоустойчивость способа-прототипа. Отметим, если допустить равномерной спектральную плотность мощности N0 для шума n0(t) в полосе принимаемых частот B, что является обычным допущением для аудитивного полосового гаусовского шума, то его средняя мощность Pn0= N0B. Таким образом, в способе-прототипе образуются дополнительные помеховые сигналы снижающие его помехоустойчивость. Повышение помехоустойчивости за счет полосовой фильтрации ограничивается неопределенностью по частоте и полосой принимаемого сигнала. Техническим результатом предлагаемого изобретения является повышение помехоустойчивости за счет исключения дополнительных высокочастотных помеховых составляющих, возникающих в прототипе после операций перемножения, которые предшествуют интегрированию со сбросом, и за счет снижения мощности других шумовых составляющих перед интегрированием со сбросом, при сохранении инвариантности к частоте принимаемого сигнала. Технический результат достигнут тем, что способ демодуляции сигналов с относительной фазовой манипуляцией включает синхронное интегрирование со сбросом на интервале времени, равном половине длительности символа, каждой из двух компонент сигнала, задержку обоих проинтегрированных сигналов на половину длительности символа, перемножение каждого из двух проинтегрированных сигналов с соответствующим ему задержанным сигналом, суммирование результатов перемножения, задержку суммарного сигнала на половину длительности символа, последующее суммирование суммарного сигнала и задержанного суммарного сигнала и принятие решения о значении переданного двоичного символа по знаку результата второго суммирования. Согласно изобретению входной фазоманипулированный сигнал разлагают на синфазную и квадратурную составляющие относительно центральной частоты диапазона входных сигналов, фильтруют каждую из указанных составляющих в полосе низких частот, равной полуширине диапазона частот входных сигналов, оба отфильтрованных сигнала задерживают на половину длительности символа, при этом первую, из упомянутых выше компонент сигнала, формируют как результат суммирования произведения отфильтрованного синфазного сигнала с задержанным отфильтрованным синфазным сигналом и произведения отфильтрованного квадратурного сигнала с задержанным отфильтрованным квадратурным сигналом, а вторую, из упомянутых выше компонент сигнала, формируют как результат разности произведения задержанного отфильтрованного синфазного сигнала с отфильтрованным квадратурным сигналом и произведения отфильтрованного синфазного сигнала с задержанным отфильтрованным квадратурным сигналом. Способ реализуется устройством, к входу которого подключены первые входы двух перемножителей, вторые входы которых подключены к общему источнику сигнала, при этом второй вход первого перемножителя связан с общим источником сигнала непосредственно, а второй вход второго перемножителя – через фазовращатель, содержащее элемент памяти на половину длительности посылки сигнала, и два интегратора со сбросом, выходы которых непосредственно и через второй и третий элементы памяти на половину длительности посылки сигнала подключены к другим соответствующим перемножителям, выходы последних через последовательно соединенные два сумматора подключены к решающему устройству, другой вход второго сумматора соединен с выходом первого сумматора через четвертый элемент памяти на половину длительности посылки сигнала, третий вход второго сумматора связан с устройством синхронизации, соединенным с упомянутыми элементами памяти на половину длительности посылки сигнала и с тактовым входом решающего устройства. Согласно изобретению выход первого перемножителя подключен к входу одного из интеграторов через последовательно соединенные фильтр нижних частот (ФНЧ), пятый перемножитель и третий сумматор, выход второго перемножителя подключен к другому входу третьего сумматора через последовательно соединенные второй ФНЧ и шестой перемножитель, выход второго ФНЧ подключен к входу другого интегратора через последовательно соединенные пятый элемент памяти на половину длительности посылки сигнала, седьмой перемножитель, другим входом связанный с выходом первого ФНЧ, и вычитающее устройство, вычитающим входом через восьмой перемножитель связанное с выходом второго ФНЧ, выход пятого элемента памяти подключен к второму входу шестого перемножителя, между выходом первого ФНЧ и соединенными вторыми входами пятого и восьмого перемножителей включен первый элемент памяти на половину длительности посылки сигнала, а общим источником сигнала является генератор, частота которого равна центральной частоте диапазона входных частот сигнала, причем ширина полосы ФНЧ равна полуширине диапазона входных частот. Другое отличие состоит в том, что между выходами ФНЧ и общими точками подключения к их выходам других устройств включены соответствующие аналого-цифровые преобразователи, а устройства, следующие за аналого-цифровыми преобразователями, выполнены в цифровом виде. На фиг. 1 приведена структурная схема устройства, в котором реализуется предложенный способ. На фиг. 2 приведена структурная схема другого варианта устройства, в котором реализуется предложенный способ. Согласно предлагаемому способу: 1. Входной фазоманипулированный сигнал разлагают на синфазную и квадратурную составляющие относительно центральной частоты диапазона входных сигналов. 2. Фильтруют каждую из указанных составляющих в полосе низких частот, равной полуширине диапазона частот входных сигналов. 3. Оба отфильтрованных сигнала задерживают на половину длительности символа. 4. Формируют первую компоненту сигнала как результат суммирования произведения отфильтрованного синфазного сигнала с задержанным отфильтрованным синфазным сигналом и произведения отфильтрованного квадратурного сигнала с задержанным отфильтрованным квадратурным сигналом. 5. Формируют вторую компоненту сигнала как результат разности произведения задержанного отфильтрованного синфазного сигнала с отфильтрованным квадратурным сигналом и произведения отфильтрованного синфазного сигнала с задержанным отфильтрованным квадратурным сигналом. 6. Синхронно интегрируют со сбросом на интервале времени, равном половине длительности символа, каждую из двух компонент сигнала. 7. Задерживают оба проинтегрированных сигналов на половину длительности символа. 8. Перемножают каждый из двух проинтегрированных сигналов с соответствующим ему задержанным сигналом. 9. Суммируют результаты перемножения. 10. Задерживают суммарный сигнал на половину длительности символа. 11. Повторно суммируют суммарный сигнал и задержанный суммарный сигнал. 12. Принимают решение о значении переданного двоичного символа по знаку результата второго суммирования. Покажем, что в результате выполнения операций в соответствии с п.4 предлагаемого способа содержится первое (полезное) слагаемое p1I (t) из выражения (20): ![]() а в результате выполнения операции в соответствии с п.5 предлагаемого способа содержится первое полезное слагаемое 1Q(t) из выражения (22) ![]() Для этого сначала тождественно преобразуем (23) и (24) к следующему виду; ![]() ![]() введем обозначения: Is(t) = m(t)cos 0, (27)Is(t-T/2) = m(t-T/2)cos( 0– 0T/2), (28)Qs(t) = m(t)sin 0, (29)Qs(t-T/2) = m(t-T/2)sin( 0– 0T/2), (30)В общем случае в выражении (26) можно вместо 0 прибавить и отнять ![]() = 0+![]() t, тогда выражение (27) – (30) преобразуются к виду:Is(t) = m(t)cos( 0–![]() t), (31)Is(t-T/2) = m(t-T/2)cos( 0+![]() t- 0T/2), (32)Qs(t) = m(t)sin( 0+![]() t), (33)Qs(t-T/2) = m(t-T/2)sin( 0+![]() t- 0T/2), (34)В соответствии с принятыми обозначениями (27)-(30) p1I(t) и p1Q(t) можно представить как: p1I (t) = Is(t) Is(t-T/2)+Qs(t)Q5(t-T/2) (35) p1Q(t) = Is(t)Qs(t-T/2) – Is(t-T/2) Q3 (36) Из выражений (35) и (36) следует, что если разложить сигнал (t) на квадратурные составляющие, отфильтровать их, затем задержать каждую из них на T/2 и выполнить над ними операции перемножения и сложения-вычитания в соответствии с выражениями (35) и (36) то можно получить полезные компоненты для инвариантной к частоте демодуляции. Покажем, что в результате предложенного способа в новых составляющих р1I(t) и p1Q(t) содержится меньше шумовых составляющих. Представим входной сигнал r(t), обозначенный на основании предложенных обозначений в следующем виде: ![]() Без потери общности полосовой сигнал n(t) аналогично, можно представить как сумму: n(t) = n(t)cos = n0c(t)cos ct-n0s(t)sin ct, (37)где с – центральная частота диапазона частот,![]() После квадратурного разложения сигнала относительно центральной частоты с и фильтрации низкочастотных составляющих в полосе, равной полуширине входного диапазона частот, получим Ir(t) и квадратурную Qr(t) компоненты принятого сигнала соответственно, поскольку частота o в обозначениях (27)-(34) может быть произвольной![]() ![]() где – отфильтрованные квадратурные составляющие входного полосового шума, средняя мощность которых в соответствии с двухкратным обужением полосы в соответствии с принятым выше допущением в два раза меньше мощности компонент n0C(t) и n0S(t).
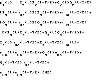
В результате операций над сигналом в предлагаемом способе, изложенном выше в п.4 и п.5 соответственно формируют составляющие pI(t) и pQ(t):![]() Как видно из выражений (22) и (42), в выражении для pI(t) отсутствуют высокочастотные шумовые составляющие, а как указано выше мощность каждой из исходных щумовых составляющих как минимум в два раза меньше, чем в способе-прототипе, за счет чего повышается помехоустойчивость демодуляции. Аналогичный результат можно показать для рQ(t). Устройство, реализующее предложенный способ демодуляции (см. фиг. 1), содержит перемножители 1, 2 первые входы которых подключены к входу устройства. Вторые входы перемножителей 1, 2 подключены к общему источнику сигнала 3, при этом второй вход первого перемножителя 1 связан с общим источником сигнала 3 непосредственно, а второй вход второго перемножителя 2 – через фазовращатель 4. Устройство также содержит элемент памяти на половину длительности посылки сигнала 5, а также два интегратора со сбросом 6, 7. Выходы интеграторов 6, 7 непосредственно и через второй 8 и третий 9 элементы памяти на половину длительности посылки сигнала подключены к перемножителям 10, 11. Выходы перемножителей 10, 11 через последовательно соединенные первый и второй сумматоры 12, 13 подключены к решающему устройству 14. Другой вход сумматора 13 соединен с выходом сумматора 12 через четвертый элемент памяти на половину длительности посылки сигнала 15. Третий вход второго сумматора 13 связан с устройством синхронизации 16, соединенным также с упомянутыми элементами памяти на половину длительности посылки сигнала 8, 9, 15 и с тактовым входом решающего устройства 14. Выход перемножителя 1 также подключен к входу интегратора 6 через последовательно соединенные фильтр нижних частот 17, пятый перемножитель 18 и третий сумматор 19. Выход перемножителя 2 подключен к другому входу третьего сумматора 19 через последовательно соединенные второй ФНЧ 20 и шестой перемножитель 21. Выход второго ФНЧ 20 подключен к входу интегратора 7 через последовательно соединенные пятый элемент памяти на половину длительности посылки сигнала 22, седьмой перемножитель 23, другим входом связанный с выходом первого ФНЧ 17, и вычитающее устройство 24, вычитающим входом через восьмой перемножитель 25 связанное с выходом второго ФНЧ 20. Выход пятого элемента памяти 22 подключен также к второму входу шестого перемножителя 21, между выходом первого ФНЧ 17 и соединенными вторыми входами пятого 18 и восьмого 25 перемножителей включен первый элемент памяти на половину длительности посылки сигнала 5. Общим источником сигнала является генератор 26, частота которого равна центральной частоте диапазона входных частот сигнала. Ширина полосы обоих ФНЧ 17, 20 равна полуширине диапазона входных частот. В другом варианте устройства (см. фиг. 2) между выходами ФНЧ 17, 20 и общими точками подключения к их выходам других устройств включены соответствующие аналого-цифровые преобразователи, а устройства, следующие за аналого-цифровыми преобразователями, выполнены в цифровом виде. Предлагаемое устройство работает следующим образом. Входной фазоманипулированный сигнал с входа устройства подается на первые входы перемножителей 1, 2. В продуктах перемножения входного сигнала с сигналом генератора 26, частота которого равна центральной частоте диапазона входных частот сигнала, на выходе перемножителя 1 содержится синфазная составляющая входного фазоманипулированного сигнала. В продуктах перемножения входного сигнала с сигналом генератора 26, развернутым по фазе на 90° фазовращателем 4, на выходе перемножителя 2 содержится квадратурная составляющая входного фазоманипулированного сигнала. Каждая из указанных составляющих в полосе низких частот, равной полуширине диапазона частот входных сигналов, фильтруется в ФНЧ 17 и 20 соответственно. Далее в устройстве формируется первая компонента сигнала как результат суммирования в третьем сумматоре 19 произведения в перемножителе 18 отфильтрованного синфазного сигнала с задержанным в элементе памяти 5 отфильтрованного синфазного сигнала и произведения в перемножителе 21 отфильтрованного квадратурного сигнала с задержанным в элементе памяти 22 отфильтрованного квадратурного сигнала. Так же в устройстве формируется вторая компонента сигнала как результат разности в вычитающем устройстве 24 произведения в перемножителе 23 отфильтрованного синфазного сигнала с задержанным в элементе памяти 22 отфильтрованного квадратурного сигнала и произведения в перемножителе 25 отфильтрованного квадратурного сигнала с задержанным в элементе памяти 5 отфильтрованного синфазного сигнала. В интеграторах со сбросом 6, 7 синхронно, под управлением устройства синхронизации 16, интегрируются со сбросом, на интервале времени, равном половине длительности символа, обе сформированные компоненты сигнала. Оба проинтегрированных сигналов задерживаются на половину длительности символа во втором 8 и третьем 9 элементах памяти соответственно. Каждый из двух проинтегрированных сигналов перемножается с соответствующим ему задержанным сигналом в перемножителях 10, 11 соответственно. Результаты перемножения в перемножителях 10, 11 суммируются в первом сумматоре 12. Суммарный сигнал задерживается на половину длительности символа в четвертом элементе памяти 15. Суммарный сигнал с выхода первого сумматора 12 и задержанный суммарный сигнал с выхода четвертого элемента памяти 15 повторно суммируется во втором сумматоре 13. По знаку результата второго суммирования в решающем устройстве 14 под управлением устройства синхронизации 16 принимается решение о значении переданного двоичного символа. В другом варианте устройства между выходами ФНЧ 17, 20 и общими точками подключения к их выходам других устройств включены соответствующие аналого-цифровые преобразователи 26 и 27, в которых отфильтрованные синфазная и квадратурная составляющие входного фазоманипулированного сигнала соответственно преобразуются в цифровую форму, а последующая обработка полученных цифровые сигналов осуществляется также, как и описано выше, теми же, что и в первом варианте устройствами, но выполненными в цифровом виде. На момент подачи заявки на изобретение в ГКБ “Связь” проведено имитационное математическое моделирование предлагаемого способа демодуляции в среде MATLAB, подтвердившее повышение помехоустойчивости по сравнению с известным. Источники информации 1. 3аездный А.М., Окунев Ю.Б., Рахович Л.М. Фазоразностная модуляция и ее применение для передачи дискретной информации. М.: Связь, 1967, – 304 с. 2. Окунев Ю.Б. Теория фазоразностной модуляции. М.: Связь, 1979, – 216 с.(Способ-прототип). 3. Окунев Ю.Б. Цифровая передача информации фазомодулированными сигналами. М.: Радио и связь, 1991, – 296 с. 4. А. с. N 177471, Рахович Л.М. Способ детектирования фазоманипулированных сигналов, переданных методом двухкратной относительной фазовой манипуляции. М.: ЦНИИПИ, 1966, – 2с. 5. А. с. N 543194, Барбанель Е.С., Гончаров В.Н., Щелкунов К.Н. Система связи с фазоразностной модуляцией первого порядка. М.: ЦНИИПИ, 1977, – 3 с. (Устройство-прототип). 6. Harcke, L., and G. Wood, Laboratory and Flight Performance of the Mars Pathfinder (15,1/6) Convolutionally Encoded Telemetry Link. TDA PR 42-129, January-March 1997, pp. 1-11, May 15, 1997. 7. Rebold, T.A., М. Tinto, S.W. Asmar, and E.R. Kursinski, Neptune Revisited: Synthesizing Coherent Doppler From Voyager’s Noncoherent Downlink, TDA PR 42-131, July – September 1997, pp. 1-19, November 15, 1997. 9. Feher K. Digital communications: Satellite/Earth stations Engineering N-Y., Prentice-Hall, 1983.6 Формула изобретения
РИСУНКИ
|
||||||||||||||||||||||||||

0t+
n-1), Sn(t) = cos(



{0,
}, то в выражении (2) для двухпозиционной фазовой манипуляции требуется определять только знак переданной разности фаз:
Sn-1) (7)
<1/8Ts, (11)
n-2, 

(16)
– амплитуда сигнала, f0 – несущая частота сигнала,
начальная фаза тактовой частоты сигнала, mi – дифференциально-кодированные информационные символы сообщения.
Модель аддитивного полосового гауссовского шума n(t) через его огибающую n0(t) можно представить следующим образом:
0) (17)











– отфильтрованные квадратурные составляющие входного полосового шума, средняя мощность которых в соответствии с двухкратным обужением полосы в соответствии с принятым выше допущением в два раза меньше мощности компонент n0C(t) и n0S(t).
В результате операций над сигналом в предлагаемом способе, изложенном выше в п.4 и п.5 соответственно формируют составляющие pI(t) и pQ(t):