Патент на изобретение №2168862
|
||||||||||||||||||||||||||
(54) СПОСОБ ПЕРЕДАЧИ И ПРИЕМА СИГНАЛОВ
(57) Реферат: Изобретение относится к области электротехники и радиотехники и может найти применение при организации каналов связи с использованием радиоканала передаче сигналов телесигнализации с n контролируемых пунктов, где n = 1,2,3, . . ., n, на общий диспетчерский пункт, передачу сигналов в виде последовательности пачек радиоимпульсов производят на одной частоте длительностью в случайные моменты включения передатчиков на контролируемых пунктах. Параметры радиоканала выбирают так, чтобы обеспечить заданную вероятность потери (трансформации) сигналов телесигнализации. Техническим результатом, достигаемым при осуществлении заявленного изобретения, является создание симплексного радиоканала на одной частоте между контролируемыми пунктами и диспетчерским пунктом. 1 ил.
Изобретение относится к электротехнике и может найти применение для образования радиоканала, который входит в систему охранной телесигнализации объектов, которыми могут служить дачные участки, гаражи, торговые точки, угнанные автомобили и т. д., где нет телефонной связи и нет электрических сетей, которые гальванически связаны между контролируемыми пунктами (КП) и общим диспетчерским пунктом (ДП). Изобретение решает задачу создания симплексного радиоканала на одной частоте между КП и ДП, причем, на КП установлены только передатчики, а на ДП только приемник. Передачу телесигналов (сигналов) с КП осуществляют без запроса с ДП, при этом обеспечивают заданную вероятность потери трансформации сигнала, которую определяет ГОСТ 16521-74. Известен способ передачи и приема сигналов по проводам трехфазной линии электропередачи, который реализован в устройстве (авт. свид. 1757110, H 04 B 3/54, 1992 г.) Недостатком данного способа является низкая скорость передачи сигналов и потеря его работоспособности при отсутствии гальванической связи по проводам трехфазной линии электропередачи между передающим и приемным пунктами. Известен также способ передачи сигналов по трехфазной линии электропередачи низкого напряжения, который реализован в устройстве (патент N 2122285, кл. H 04 B 3/54, 1998 г.), который принят за прототип. Несмотря на повышение скорости передачи, по сравнению с предыдущим способом, остается недостаток – потеря работоспособности при отсутствии гальванической связи по проводам трехфазной линии электропередачи между передающим и приемным пунктами. В заявленном способе, даже при отсутствии гальванической связи по проводам трехфазной линии электропередачи между передающим и приемным пунктами, работоспособность устройства, реализующего заявленный способ, сохраняется. Это достигается тем, что в способе передачи и приема сигналов, в соответствии с которым на n контролируемых пунктах, где n = 1, 2, 3,…n, формируют сигналы, которые передают по каналу связи на диспетчерский пункт, где производят их прием, на каждом контролируемом пункте сигналы формируют в виде последовательности пачек радиоимпульсов на одной частоте длительностью , которые передают в случайные моменты времени по радиоканалу на диспетчерский пункт через равные промежутки времени![]() где P – заданная вероятность потери последовательности пачек радиоимпульсов за счет совпадения на диспетчерском пункте двух последовательностей пачек радиоимпульсов от различных контролируемых пунктов в интервале t = .Блок-схема устройства, реализующего заявленный способ передачи и приема сигналов, приведена на чертеже, где: 1 – электрическая сеть, 2 – блок формирования последовательности пачек радиоимпульсов длительностью , следующих через период Т (блок формирования),3 – ключ, 4 – передатчик, 5 – передающая антенна, 6 – приемник, 7 – приемная антенна. Работает устройство следующим образом. Передатчик 4 на каждом контролируемом пункте непрерывно передает сигналы длительностью через равные промежутки времени Т, которые формируют в блоке формирования 2 в виде последовательности пачек радиоимпульсов.
Передачу последовательности пачек импульсов с каждого контролируемого пункта осуществляют в случайные моменты времени![]() Случайные моменты времени передачи Т определяются независимыми моментами включения ключа 3 на каждом КП. Таким образом, сигналы со всех КП будут распределены на оси времени и их совпадение в интервале времени t = , будет соответствовать вероятностному закону Пуассона, т.к. соблюдают следующие условия:(Е.С. Вентцель Теория вероятностей. “Наука”, 1964, М): 1. Поток событий (сигналов, поступающих с КП) – ординарен. 2. Поток событий – стационарен. 3. Поток событий – не имеет последействия. Условие ординарности означает, что сигналы от каждого рассредоточенного КП приходят на общий приемник 6 поодиночке, а не парами, тройками и т.д. Условию стационарности удовлетворяет поток событий, вероятностные характеристики которого не зависят от времени. Для стационарного потока характерна постоянная плотность потока – среднее число событий (сигналов), поступающих в приемное устройство в единицу времени , (1)где n – число КП (сигналов) – постоянная величина; Т – период следования событий (сигналов) – постоянная величина. Из (1) следует, что = const и означает постоянство событий (сигналов) в единицу времени.
Условие отсутствия последействия означает, что события (сигналы) поступают в систему (на приемник 6) независимо друг от друга.
Всеми этими тремя необходимыми и достаточными свойствами обладает поток событий (сигналов) с рассредоточенных КП, где период следования Т постоянен, а моменты времени начала передачи сигналов с каждого КП есть случайные величины.
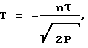
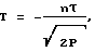
Закон Пуассона имеет вид: , (2)где m – количество сигналов, попадающих на интервал времени t = .
Принимаем m = 2, т.к. совпадение даже двух сигналов с разных КП на входе приемника 6 даст потерю (трансформацию) принимаемого сигнала, l – основание натурального логарифма. P – вероятность совпадения сигналов на интервале времени t = . В заявленном способе, P – есть вероятность потери (трансформации) сигнала, при наложении их друг на друга в приемнике 6 на интервал времени t = . a – параметр Пуассона, есть математическое ожидание числа сигналов, попадающих на интервал времени t = . , (3)где (t) – плотность потока. В данном способе ![]() Поэтому, решение (3) даст: a = ![]() ![]() , (4)при m = 2 выражение (2) примет вид: P = a2/2la. (5) Ниже мы полагаем, что а <<< 1, т.е. la 1 и при этом условии выражение (5) примет вид:P = a2/2. (6) Определим a из (6) . (7)С другой стороны с учетом (1) и (4) имеют: . (8)Выразим (7) и (8) через T , (9)где n, , P задают в технических условиях.
Пример расчета параметров устройстваПусть задано: 1. n = 100 – количество рассредоточенных КП, работающих на один ДП. 2. = 10-3 сек, выбрана из следующих соображений: Государственный комитет по радиочастотам СССР решением от 15.11.78 г. N 665 разрешил использовать для разработки и эксплуатации радиотелесигнализации частоты в диапазоне (162.15 – 168.075) мГц. Исходя из разрешенной полосы излучения, которая была выделена и равна F = 20 кГц, длительность радиоимпульса u при этом равна![]() при = 10-3 и u = 0,1 10-3 можно передать 10 Бит информации с каждой КП за период T.
3. P = 10-6. Эту вероятность по ГОСТ 16521-74, что соответствует потере сигнала за счет совпадения в приемнике 6 двух сигналов от разных КП в интервале времени t = .4. Моменты времени начала передачи сигналов с каждого КП представляют случайные величины и их определяют независимыми моментами времени включения ключей 3 на каждом рассредоточенном КП. Определяют T из (9) с учетом данных примера: . (10)Проведем проверку правильности допущений, принятых выше. 1. Определим значение параметра a из (7) при P = 10-6 . (11)При определении (6) мы приняли значение a <<< 1, что теперь доказано, т. е. 1a 1.
2. Определим расчетное значение P из (5) и сравним его с заданным значением P = 10-6.
P = a2/2la = (1,41 10-3)2/2 l1,41 10-3 = 1,99 10-6/2 1,0014 = 0,99 10-6.
Погрешность в расчетах, по сравнению с заданным значением P = 10-6, составила 1%, что вполне допустимо.
3. При выводе выражения (5), мы приняли значение m = 2. Примем m = 3 и вычислим P из (5).
Таким образом, при m = 3, вероятность P намного меньше, чем при m = 2. При расчетах выше мы приняли самый “тяжелый” случай, т.к. чем больше m, тем меньше P.
Определим скорость передачи сигналов с учетом исходных данных примера:![]() Таким образом, мы доказали, что цель, поставленная изобретением, достигнута, при этом получен новый технический результат при передаче сигналов телесигнализации с КП на ДП. 1. На n = 1, 2, 3,…n КП имеются только передатчики. 2. На ДП имеются только приемник. 3. Известно, что наибольшая доля стоимости на приемопередающую аппаратуру приходится на приемную часть, которой на КП нет. 4. Несмотря на то, что КП и ДП не имеют между собой двухстороннего канала, устройство способно работать при использовании одной частоты. Формула изобретения
, которые передают в случайные моменты времени по радиоканалу на диспетчерский пункт через равные промежутки времени![]() где P – заданная вероятность потери последовательности пачек радиоимпульсов за счет совпадения на диспетчерском пункте двух последовательностей пачек радиоимпульсов от различных контролируемых пунктов в интервале времени t = .р
РИСУНКИ
MM4A Досрочное прекращение действия патента Российской Федерации на изобретение из-за неуплаты в установленный срок пошлины за поддержание патента в силе
Дата прекращения действия патента: 26.11.2001
Номер и год публикации бюллетеня: 11-2003
Извещение опубликовано: 20.04.2003
|
||||||||||||||||||||||||||

в случайные моменты включения передатчиков на контролируемых пунктах. Параметры радиоканала выбирают так, чтобы обеспечить заданную вероятность потери (трансформации) сигналов телесигнализации. Техническим результатом, достигаемым при осуществлении заявленного изобретения, является создание симплексного радиоканала на одной частоте между контролируемыми пунктами и диспетчерским пунктом. 1 ил.

t = 
– среднее число событий (сигналов), поступающих в приемное устройство в единицу времени
, (1)
, (2)
, (3)

1 и при этом условии выражение (5) примет вид:
. (7)
. (8)
, (9)
. (10)
. (11)
