Патент на изобретение №2168759
|
||||||||||||||||||||||||||
(54) СПОСОБ (ВАРИАНТЫ) И УСТРОЙСТВО (ВАРИАНТЫ) ОЦЕНИВАНИЯ НЕСУЩЕЙ ЧАСТОТЫ
(57) Реферат: Изобретения относятся к радиоизмерительной технике и могут быть использованы для дискретизации сигнала в пределах полосы частот поиска. Техническим результатом является повышение точности оценивания несущей частоты сигнала за счет использования информации, заложенной во всех дискретных отсчетах спектральной плотности мощности. Варианты способа основаны на делении элементов преобразованной спектральной мощности сигналов на элементы последовательности дискретных отсчетов с последующим спектральным преобразованием полученных значений отсчетов. Варианты устройства содержат аналого-цифровой преобразователь, блоки памяти, блок преобразования Фурье и определения спектральной плотности мощности, блок быстрого преобразования Фурье, умножитель, блок обратного быстрого преобразования Фурье и определения спектральной плотности мощности, блок определения частоты, блок управления и тактовую шину. 18 с.п. ф-лы, 19 ил. Предлагаемые объекты изобретения объединены единым изобретательским замыслом, относятся к радиоизмерительной технике. Известен способ оценивания частоты сигнала, см. патент США N 4904930, МКИ G 01 R 23/16, 27.02,1990. Способ заключается в предварительной дискретизации сигнала в пределах полосы частот поиска, вычислении компонент спектральной плотности мощности в дискретных точках методом преобразования Фурье, выделении частотной области F функции спектральной плотности мощности с максимальной концентрацией мощности и вычислении несущей частоты в этой области.
Недостатком этого способа является низкая точность оценивания частоты сигнала.
Наиболее близким по своей технической сущности к заявляемому является способ по патенту RU N 2100812 C1, МКИ G 01 R 23/00, 1998. Способ-прототип заключается в предварительной дискретизации сигнала в предела полосы частот поиска, вычислении компонент спектральной плотности мощности в дискретных точках методом преобразования Фурье, выделении частотной области F функции спектральной плотности мощности с максимальной концентрацией мощности сигнала, выделении спектральной компоненты с максимальной амплитудой мощности на частоте fn = n f, где n = 0, 1, … – номер спектральной компоненты, f – частотное расстояние между спектральными компонентами, вычислении несущей частоты сигнала.
Данный способ позволяет определять несущую частоту сигнала за счет использования информации о степени гладкости спектральной плотности мощности, однако способ-прототип имеет низкую точность, так как в решении не используется весь массив исходных данных. Кроме того, для поиска максимума используются производные спектральной плотности мощности сигнала, точность определения которых ниже, чем при вычислении функций.
Известно устройство оценивания несущей частоты аналогового входного сигнала, см. патент WO 91/04496, МКИ G 01 R 23/00, 4.04.1991. Устройство включает последовательно соединенные блок дискретизации входного сигнала, преобразующее устройство для получения спектральных компонент из дискретизированного сигнала, блок определения спектральной компоненты, имеющей наибольшую спектральную величину мощности, и блок присвоения частоты данной компоненты частоте оцениваемого сигнала.
Недостатком устройства является низкая точность определения частоты сигнала.
Наиболее близким к заявленному по своей технической сущности является устройство оценивания несущей частоты, см. патент RU N 2100812 C1, МКИ G 01 R 23/00, 1998, фиг. 2.
Устройство-прототип с учетом элементов синхронизации содержит последовательно соединенные первый блок памяти, блок преобразования Фурье и определения спектральной плотности мощности, блок фильтров, второй блок памяти и блок определения частоты, группы входов управления которых объединены между собой и с выходами управления блока управления, группа адресных входов которого соединена с группами адресных входов первого и второго блоков памяти.
Благодаря использованию блока определения частоты повышается точность оценивания.
Недостатком устройства-прототипа является низкая точность, так как оно не использует весь массив исходных данных и для поиска максимума применяются производные спектральной плотности мощности сигнала, точность определения которых ниже, чем при вычислении функций.
Целью заявляемых объектов изобретения является разработка способов (варианты) и устройств (варианты) оценивания несущей частоты сигнала, которые обеспечивают более высокую точность оценивания несущей частоты.
Поставленная цель в первом варианте заявляемого способа достигается тем, что в способе оценивания несущей частоты сигнала, заключающемся в его предварительной дискретизации в пределах полосы частот поиска, вычислении компонент его спектральной плотности мощности S(n), n = 0, 1, 2, …, в дискретных точках методом преобразования Фурье с частотным расстоянием f, выделении спектральной компоненты с максимальной амплитудой мощности сигнала и соответствующего ей номера и вычислении значения несущей частоты, дополнительно после вычисления компонент спектральной плотности мощности сигнала S(n) в дискретных точках с частотным расстоянием f спектральную плотность мощности сигнала преобразуют методом преобразования Фурье. Элементы преобразованной спектральной плотности мощности сигнала делят на соответствующие элементы последовательности дискретных отсчетов, полученных преобразованием Фурье периодического B-сплайна заданной степени p-1, p = 2, 3, 4, … . Полученную после деления последовательность дискретных отсчетов преобразуют методом обратного преобразования Фурье в последовательность дискретных отсчетов g(n) и вычисляют после этого компоненты спектральной плотности мощности (r, n) сигнала в пределах полосы частот поиска с заданной разрешающей способностью fзад по формуле![]() где r [ f n, f (n+1)]; r = (n+ )![]() f, = ( fзад/ f) d 1; при M < 0 g(M) = 0;d = 0, 1, 2, … , f/ fзад – целое неотрицательное число;![]() число сочетаний из p по j;![]() причем значение несущей частоты fнес сигнала вычисляют по формуле fнес = r fзад, где r = 0, 1, 2, … – номер спектральной компоненты с максимальной амплитудой мощности сигнала.
Поставленная цель во втором варианте заявляемого способа достигается тем, что в способе оценивания несущей частоты сигнала, заключающемся в его предварительной дискретизации в пределах полосы частот поиска, вычислении компонент его спектральной плотности мощности S(n), n = 0, 1, 2, …, в дискретных точках методом преобразования Фурье с частотным расстоянием f, выделении спектральной компоненты с максимальной амплитудой мощности сигнала и соответствующего ей номера и вычислении значения несущей частоты, дополнительно после вычисления компонент спектральной плотности мощности S(n) сигнала в дискретных точках с частотным расстоянием f спектральную плотность мощности сигнала преобразуют методом преобразования Хартли. Полученную методом преобразования Хартли последовательность дискретных отсчетов умножают на матрицу преобразования из базиса Хартли в базис Фурье. Результат умножения поэлементно делят на последовательность дискретных отсчетов, полученную преобразованием Фурье от периодического B-сплайна заданной степени p-1, p = 2, 3, 4, … . Затем вычисляют спектральные коэффициенты в базисе Хартли путем умножения полученной от деления последовательности дискретных отсчетов на матрицу преобразования из базиса Фурье в базис Хартли. Полученные спектральные коэффициенты в базисе Хартли преобразуют методом преобразования Хартли в последовательность дискретных отсчетов g(n), а затем вычисляют компоненты спектральной плотности мощности (r, n) сигнала в пределах полосы частот поиска с заданной разрешающей способностью fзад по формуле![]() где r [ f n, f (n+1)]; r = (n+ )![]() f, = ( fзад/ f) d 1; при M < 0 g(M) = 0;d = 0, 1, 2, …, f/ fзад – целое неотрицательное число;![]() число сочетаний из p по j;![]() причем значение несущей частоты fнес сигнала вычисляют по формуле fнес = r fзад, где r = 0, 1, 2, … – номер спектральной компоненты с максимальной амплитудой мощности сигнала.
Поставленная цель в третьем варианте заявляемого способа достигается тем, что в способе оценивания несущей частоты сигнала, заключающемся в его предварительной дискретизации в пределах полосы частот поиска, вычислении компонент его спектральной плотности мощности S(n), n = 0, 1, 2, …, в дискретных точках с частотным расстоянием f, выделении спектральной компоненты с максимальной амплитудой мощности сигнала и соответствующего ей номера и вычислении значения несущей частоты, дополнительно после дискретизации сигнала его преобразуют методом преобразования Хартли. Полученную последовательность умножают на матрицу преобразования из базиса Хартли в базис Фурье, после чего вычисляют компоненты спектральной плотности мощности S(n) сигнала в дискретных точках с частотным расстоянием f. Затем компоненты спектральной плотности мощности сигнала преобразуют методом преобразования Фурье. Результат этого преобразования делят поэлементно на последовательность дискретных отсчетов, полученную преобразованием Фурье от периодического B-сплайна заданной степени p-1, p = 2, 3, 4, … . Последовательность дискретных отсчетов после деления преобразуют методом обратного преобразования Фурье в последовательность дискретных отсчетов g(n) и вычисляют компоненты спектральной плотности мощности (r, n) сигнала в пределах полосы частот поиска с заданной разрешающей способностью fзад по формуле![]() где r [ f n, f (n+1)]; r = (n+ )![]() f; = ( fзад/ f) d 1; при M < 0 g(M) = 0;d = 0, 1, 2, …, f/ fзад– целое неотрицательное число;![]() число сочетаний из p по j;![]() причем значение несущей частоты fнес сигнала вычисляют по формуле fнес = r fзад, где r = 0, 1, 2, … – номер спектральной компоненты с максимальной амплитудой мощности сигнала.
Поставленная цель в четвертом варианте заявляемого способа достигается тем, что в способе оценивания несущей частоты сигнала, заключающемся в его предварительной дискретизации в пределах полосы частот поиска, вычислении компонент его спектральной плотности мощности S(n), n = 0, 1, 2, …, в дискретных точках с частотным расстоянием f, выделении спектральной компоненты с максимальной амплитудой мощности сигнала и соответствующего ей номера и вычислении значения несущей частоты, дополнительно после дискретизации сигнала его преобразуют методом преобразования Хартли. Полученную последовательность умножают на матрицу преобразования из базиса Хартли в базис Фурье, после чего вычисляют компоненты спектральной плотности мощности S(n) сигнала в дискретных точках с частотным расстоянием f. Затем компоненты спектральной плотности мощности сигнала преобразуют методом преобразования Хартли. Результат этого преобразования Хартли умножают на матрицу преобразования из базиса Хартли в базис Фурье. Результат этого умножения поэлементно делят на последовательность дискретных отсчетов, полученную преобразованием Фурье периодического B-сплайна заданной степени p-1, p = 2, 3, 4, … . Затем вычисляют спектральные коэффициенты в базисе Хартли путем умножения полученной от деления последовательности дискретных отсчетов на матрицу преобразования из базиса Фурье в базис Хартли. Полученные спектральные коэффициенты в базисе Хартли преобразуют методом Хартли в последовательность дискретных отсчетов g(n), а затем вычисляют компоненты спектральной плотности мощности (r, n) сигнала в пределах полосы частот поиска с заданной разрешающей способностью fзад по формуле![]() где r [ f n, f (n+1)]; r = (n+ )![]() f; = ( fзад/ f) d 1; при M < 0 g(M) = 0;d = 0, 1, 2, …, f/ fзад– целое неотрицательное число;![]() число сочетаний из p по j;![]() причем значение несущей частоты fнес сигнала вычисляют по формуле fнес = r fзад, где r = 0, 1, 2, … – номер спектральной компоненты с максимальной амплитудой мощности сигнала.
Поставленная цель в пятом варианте заявляемого способа достигается тем, что в способе оценивания несущей частоты сигнала, заключающемся в его предварительной дискретизации в пределах полосы частот поиска, вычислении N компонент его спектральной плотности мощности S(n) в дискретных точках методом преобразования Фурье, где количество компонент спектральной плотности мощности N = 2l, а l = 1, 2, 3, …, выделении частотной области F функции спектральной плотности мощности с максимальной концентрацией мощности сигнала, выделении спектральной компоненты с максимальной амплитудой мощности сигнала на частоте fn = n f, где n = 0, 1, 2, … – номер спектральной компоненты с максимальной амплитудой мощности сигнала, f – частотное расстояние между спектральными компонентами, и вычислении значения несущей частоты, дополнительно после вычисления компонент спектральной плотности мощности S(n) сигнала в дискретных точках спектральную плотность мощности сигнала преобразуют методом преобразования Фурье. Преобразованную спектральную плотность мощности сигнала поэлементно делят на последовательность дискретных отсчетов, полученную преобразованием Фурье от периодического B-сплайна заданной степени p-1, p = 2, 3, 4, … . Полученную после деления последовательность дискретных отсчетов преобразуют методом обратного преобразования Фурье в последовательность дискретных отсчетов g(n). Затем вычисляют компоненты спектральной плотности мощности (r, n) сигнала в пределах полосы частот поиска с заданной разрешающей способностью fзад в промежутке от n-1 до n+1 по формуле![]() где r [ f n, f (n+1)]; r = (n+ )![]() f; = ( fзад/ f) d 1; при M < 0 g(M) = 0;d = 0, 1, 2, …, f/ fзад– целое неотрицательное число;![]() – число сочетаний из p по j;![]() Выделяют номер r (r = 0, 1, 2, …) спектральной компоненты с максимальной амплитудой мощности сигнала, причем значение несущей частоты fнес сигнала вычисляют по формуле fнес = (n-1) f + r fзад. При этом положение спектральной компоненты с номером r = 0 соответствует положению спектральной компоненты с номером n-1, где 0 < n < N.
Поставленная цель в шестом варианте заявляемого способа достигается тем, что в способе оценивания несущей частоты сигнала, заключающемся в его предварительной дискретизации в пределах полосы частот поиска, вычислении компонент его спектральной плотности мощности S(n), n = 0, 1, 2, …, в дискретных точках с частотным расстоянием f методом преобразования Фурье, выделении спектральной компоненты с максимальной амплитудой мощности сигнала и соответствующего ей номера и вычислении значения несущей частоты, дополнительно после вычисления компонент спектральной плотности мощности S(n) сигнала в дискретных точках с частотным расстоянием f спектральную плотность мощности сигнала преобразуют методом преобразования Хартли. Полученную методом преобразования Хартли последовательность дискретных отсчетов поэлементно делят на последовательность дискретных отсчетов, полученную преобразованием Хартли от периодического B-сплайна заданной степени p-1, p = 2, 3, 4, … . Полученную после деления последовательность преобразуют методом преобразования Хартли в последовательность дискретных отсчетов g(n). Затем вычисляют компоненты спектральной плотности мощности (r, n) сигнала в пределах полосы частот поиска с заданной разрешающей способностью fзад по формуле![]() где r [ f n, f (n+1)]; r = (n+ )![]() f; = ( fзад/ f) d 1; при M < 0 g(M) = 0;d = 0, 1, 2, …, f/ fзад – целое неотрицательное число;![]() число сочетаний из p по j;![]() причем значение несущей частоты fнес сигнала вычисляют по формуле fнес = r fзад, где r = 0, 1, 2, … – номер спектральной компоненты с максимальной амплитудой мощности сигнала.
Поставленная цель в седьмом варианте заявляемого способа достигается тем, что в способе оценивания несущей частоты сигнала, заключающемся в его предварительной дискретизации в пределах полосы частот поиска, вычислении компонент его спектральной плотности мощности S(n), n = 0, 1, 2, …, в дискретных точках с частотным расстоянием f, выделении спектральной компоненты с максимальной амплитудой мощности сигнала и соответствующего ей номера и вычислении значения несущей частоты, дополнительно после дискретизации сигнала его преобразуют методом преобразования Хартли, затем вычисляют компоненты спектральной плотности мощности сигнала из базиса Хартли. Полученную спектральную плотность мощности S(n) сигнала преобразуют методом преобразования Хартли. Результат этого преобразования поэлементно делят на последовательность дискретных отсчетов, полученную преобразованием Хартли от периодического B-сплайна заданной степени p-1, p = 2, 3, 4, … . Последовательность дискретных отсчетов после деления преобразуют методом преобразования Хартли в последовательность дискретных отсчетов g(n). Затем вычисляют компоненты спектральной плотности мощности (r, n) сигнала в пределах полосы частот поиска с заданной разрешающей способностью fзад по формуле![]() где r [ f n, f (n+1)]; r = (n+ )![]() f; = ( fзад/ f) d 1; при M < 0 g(M) = 0;d = 0, 1, 2, …, f/ fзад – целое неотрицательное число;![]() число сочетаний из p по j;![]() причем значение несущей частоты fнес сигнала вычисляют по формуле fнес = r fзад, где r = 0, 1, 2, … – номер спектральной компоненты с максимальной амплитудой мощности сигнала.
Поставленная цель в восьмом варианте заявляемого способа достигается тем, что в способе оценивания несущей частоты сигнала, заключающемся в его предварительной дискретизации в пределах полосы частот поиска, вычислении компонент его спектральной плотности мощности S(n), n = 0, 1, 2, …, в дискретных точках с частотным расстоянием f, выделении спектральной компоненты с максимальной амплитудой мощности сигнала и соответствующего ей номера и вычислении значения несущей частоты, дополнительно после дискретизации сигнала его преобразуют методом преобразования Хартли. Затем вычисляют компоненты спектральной плотности мощности сигнала S(n) из базиса Хартли, после чего спектральную плотность мощности сигнала преобразуют методом преобразования Фурье. Элементы преобразованной спектральной плотности мощности сигнала делят на соответствующие элементы последовательности дискретных отсчетов, полученных преобразованием Фурье периодического B-сплайна заданной степени p-1, p = 2, 3, 4, … . Полученную после деления последовательность дискретных отсчетов после деления преобразуют методом обратного преобразования Фурье в последовательность дискретных отсчетов g(n) и вычисляют после этого компоненты спектральной плотности мощности (r, n) сигнала в пределах полосы частот поиска с заданной разрешающей способностью fзад по формуле![]() где r [ f n, f (n+1)]; r = (n+ )![]() f; = ( fзад/ f) d 1; при M < 0 g(M) = 0;d = 0, 1, 2, …, f/ fзад– целое неотрицательное число;![]() число сочетаний из p по j;![]() причем значение несущей частоты fнес сигнала вычисляют по формуле fнес = r fзад, где r = 0, 1, 2, … – номер спектральной компоненты с максимальной амплитудой мощности сигнала.
Поставленная цель в девятом варианте заявляемого способа достигается тем, что в способе оценивания несущей частоты сигнала, заключающемся в его предварительной дискретизации в пределах полосы частот поиска, вычислении N компонент его спектральной плотности мощности S(n) в дискретных точках методом преобразования Фурье, где количество компонент спектральной плотности мощности N = 2l, а l = 1, 2, 3, …, выделении частотной области F функции спектральной плотности мощности с максимальной концентрацией мощности сигнала, выделении спектральной компоненты с максимальной амплитудой мощности сигнала на частоте fn = n f, где n = 0, 1, 2, … – номер спектральной компоненты с максимальной амплитудой мощности сигнала, f – частотное расстояние между спектральными компонентами, и вычислении значения несущей частоты, дополнительно после вычисления компонент спектральной плотности мощности S(n) сигнала в дискретных точках спектральную плотность мощности преобразуют методом преобразования Хартли. Полученную методом преобразования Хартли последовательность дискретных отсчетов поэлементно делят на последовательность дискретных отсчетов, полученную преобразованием Хартли периодического B-сплайна заданной степени p-1, p = 2, 3, 4, … . Полученную после деления последовательность дискретных отсчетов преобразуют методом преобразования Хартли в последовательность дискретных отсчетов g(n). Затем вычисляют компоненты спектральной плотности мощности (r, n) сигнала в пределах полосы частот поиска с заданной разрешающей способностью fзад в промежутке от n-1 до n+1 по формуле![]() где r [ f n, f (n+1)]; r = (n+ )![]() f; = ( fзад/ f) d 1; при M < 0 g(M) = 0;d = 0, 1, 2, …, f/ fзад– целое неотрицательное число;![]() число сочетаний из p по j;![]() Выделяют номер r (r = 0, 1, 2, …) спектральной компоненты с максимальной амплитудой мощности сигнала, причем значение несущей частоты fнес сигнала вычисляют по формуле fнес = (n-1) f + r fзад. При этом положение спектральной компоненты с номером r = 0 соответствует положению спектральной компоненты с номером n-1, где 0 < n < N.
Указанная новая совокупность существенных признаков заявленных способов (варианты) позволяет осуществлять измерение частоты путем использования информации о гладкости спектральной плотности мощности, заложенной во всех дискретных отсчетах спектральной плотности мощности, чем и достигается более высокая точность оценивания несущей частоты.
Поставленная цель в первом варианте заявленного устройства, реализующего первый вариант способа оценивания несущей частоты сигнала, достигается тем, что в устройстве оценивания несущей частоты, содержащем аналого-цифровой преобразователь, первый и второй блоки памяти, блок преобразования Фурье и определения спектральной плотности мощности, умножитель, блок определения частоты и блок управления, первый выход которого соединен со входом разрешения аналого-цифрового преобразователя, информационный вход которого является информационной шиной устройства оценивания несущей частоты, выход готовности соединен с четвертым входом блока управления, а группа информационных выходов соединена с группой информационных входов первого блока памяти, группа входов управления которого объединена с группами входов управления блока преобразования Фурье и определения спектральной плотности мощности, второго блока памяти, блока определения частоты и третьей группой выходов блока управления, вторая группа выходов которого соединена с группами адресных входов второго и первого блоков памяти, группа информационных выходов которого соединена с группой информационных входов блока преобразования Фурье и определения спектральной плотности мощности, дополнительно введены третий, четвертый, пятый и шестой блоки памяти, блок быстрого преобразования Фурье и блок обратного быстрого преобразования Фурье и определения спектральной плотности мощности. Группа информационных выходов блока преобразования Фурье и определения спектральной плотности мощности соединена с группой информационных входов второго блока памяти. Группа информационных выходов второго блока памяти соединена с группой информационных входов блока быстрого преобразования Фурье. Группа информационных выходов блока быстрого преобразования Фурье соединена с группой информационных входов четвертого блока памяти. Группа адресных входов четвертого блока памяти объединена с группами адресных входов третьего, пятого и шестого блоков памяти, со второй группой выходов блока управления. Группа информационных выходов четвертого блока памяти соединена с первой группой входов умножителя. Вторая группа входов умножителя соединена с группой информационных выходов третьего блока памяти. Группа выходов умножителя соединена с группой информационных входов пятого блока памяти. Группа входов управления пятого блока памяти объединена с группами входов управления четвертого и шестого блоков памяти, блока обратного быстрого преобразования Фурье и определения спектральной плотности мощности, блока быстрого преобразования Фурье и третьей группой выходов блока управления. Группа информационных выходов пятого блока памяти соединена с группой информационных входов блока обратного быстрого преобразования Фурье и определения спектральной плотности мощности. Группа информационных выходов блока обратного быстрого преобразования Фурье и определения спектральной плотности мощности соединена с группой информационных входов шестого блока памяти. Группа информационных выходов шестого блока памяти соединена с группой информационных входов блока определения частоты. Группа выходов блока определения частоты является выходной шиной устройства оценивания несущей частоты. Тактовая шина устройства оценивания несущей частоты соединена с тактовым входом аналого-цифрового преобразователя.
Поставленная цель во втором варианте заявленного устройства, реализующего второй вариант способа оценивания несущей частоты сигнала, достигается тем, что в устройстве оценивания несущей частоты, содержащем аналого-цифровой преобразователь, первый и второй блоки памяти, блок преобразования Фурье и определения спектральной плотности мощности, первый умножитель, блок определения частоты и блок управления, первый выход которого соединен со входом разрешения аналого-цифрового преобразователя, информационный вход которого является информационной шиной устройства оценивания несущей частоты, выход готовности соединен с четвертым входом блока управления, а группа информационных выходов соединена с группой информационных входов первого блока памяти, группа входов управления которого объединена с группами входов управления блока преобразования Фурье и определения спектральной плотности мощности, второго блока памяти, блока определения частоты и третьей группой выходов блока управления, вторая группа выходов которого соединена с группами адресных входов второго и первого блоков памяти, группа информационных выходов которого соединена с группой информационных входов блока преобразования Фурье и определения спектральной плотности мощности, дополнительно введены третий, четвертый, пятый, шестой, седьмой и восьмой блоки памяти, второй и третий умножители, блок преобразования Хартли и блок преобразования Хартли и определения спектральной плотности мощности. Группа информационных выходов блока преобразования Фурье и определения спектральной плотности мощности соединена с группой информационных входов второго блока памяти. Группа информационных выходов второго блока памяти соединена с группой информационных входов блока преобразования Хартли. Группа управляющих входов блока преобразования Хартли объединена с группами управляющих входов третьего, четвертого, пятого, шестого, седьмого и восьмого блоков памяти, блока преобразования Хартли и определения спектральной плотности мощности и третьей группой выходов блока управления. Группа информационных выходов блока преобразования Хартли соединена с группой информационных входов четвертого блока памяти. Адресная группа входов четвертого блока памяти соединена со второй группой выходов блока управления, формирующего команды на поочередное считывание значений, записанных в четвертом блоке памяти. Адресная группа входов последнего объединена с группами адресных входов третьего, пятого, шестого, седьмого и восьмого блоков памяти. Группа информационных выходов четвертого блока памяти соединена с первой группой входов первого умножителя. Вторая группа входов первого умножителя соединена с группой информационных выходов третьего блока памяти. Группа выходов первого умножителя соединена со второй группой входов второго умножителя. Первая группа входов второго умножителя соединена с группой информационных выходов пятого блока памяти. Группа выходов второго умножителя соединена со второй группой входов третьего умножителя. Первая группа входов третьего умножителя соединена с группой информационных выходов шестого блока памяти. Группа выходов третьего умножителя соединена с группой информационных входов седьмого блока памяти. Группа информационных выходов седьмого блока памяти соединена с группой информационных входов блока преобразования Хартли и определения спектральной плотности мощности. Группа информационных выходов блока преобразования Хартли и определения спектральной плотности мощности соединена с группой информационных входов восьмого блока памяти. Группа информационных выходов восьмого блока памяти соединена с группой информационных входов блока определения частоты. Группа выходов блока определения частоты является выходной шиной устройства оценивания несущей частоты. Тактовая шина устройства оценивания несущей частоты соединена с тактовым входом аналого-цифрового преобразователя.
Поставленная цель в третьем варианте заявленного устройства, реализующего третий вариант способа оценивания несущей частоты сигнала, достигается тем, что в устройстве оценивания несущей частоты, содержащем аналого-цифровой преобразователь, первый и второй блоки памяти, первый умножитель, блок определения частоты и блок управления, причем информационный вход аналого-цифрового преобразователя является информационной шиной устройства оценивания несущей частоты, вход разрешения которого соединен с первым выходом блока управления, четвертый вход которого соединен с выходом готовности аналого-цифрового преобразователя, группа информационных выходов которого соединена с группой информационных входов первого блока памяти, группа входов управления которого объединена с группами входов управления второго блока памяти и блока определения частоты и третьей группой выходов блока управления, а группа адресных входов первого блока памяти объединена с группой адресных входов второго блока памяти и второй группой выходов блока управления, дополнительно введены блок преобразования Хартли, третий, четвертый, пятый, шестой, седьмой и восьмой блоки памяти, блок определения спектральной плотности мощности и преобразования Фурье, второй умножитель и блок обратного преобразования Фурье и определения спектральной плотности мощности. Группа информационных выходов первого блока памяти соединена с группой информационных входов блока преобразования Хартли. Группа входов управления блока преобразования Хартли объединена с группами входов управления третьего, четвертого, пятого, шестого, седьмого и восьмого блоков памяти, блока обратного преобразования Фурье и определения спектральной плотности мощности, блока определения спектральной плотности мощности и преобразования Фурье и третьей группой выходов блока управления, по сигналам которого производится вычисление компонент спектральной плотности мощности и преобразование Фурье в блоке определения спектральной плотности мощности и преобразования Фурье. Группа информационных выходов блока преобразования Хартли соединена с группой информационных входов второго блока памяти. Группа адресных входов второго блока памяти объединена с группами адресных входов третьего, четвертого, пятого, шестого, седьмого и восьмого блоков памяти. Группа информационных выходов второго блока памяти соединена с первой группой входов первого умножителя. Вторая группа входов первого умножителя соединена с группой информационных выходов третьего блока памяти. Группа выходов первого умножителя соединена с группой информационных входов четвертого блока памяти. Группа информационных выходов четвертого блока памяти соединена с группой информационных входов блока определения спектральной плотности мощности и преобразования Фурье. Группа информационных выходов блока определения спектральной плотности мощности и преобразования Фурье соединена с группой информационных входов шестого блока памяти. Группа информационных выходов шестого блока памяти соединена с первой группой входов второго умножителя. Вторая группа входов второго умножителя соединена с группой информационных выходов пятого блока памяти. Группа выходов второго умножителя соединена с группой информационных входов седьмого блока памяти. Группа информационных выходов седьмого блока памяти соединена с группой информационных входов блока обратного преобразования Фурье и определения спектральной плотности мощности. Группа информационных выходов блока обратного преобразования Фурье и определения спектральной плотности мощности соединена с группой информационных входов восьмого блока памяти. Группа информационных выходов восьмого блока памяти соединена с группой информационных входов блока определения частоты. Группа выходов блока определения частоты является выходной шиной устройства оценивания несущей частоты. Тактовая шина устройства оценивания несущей частоты соединена с тактовым входом аналого-цифрового преобразователя.
Поставленная цель в четвертом варианте заявленного устройства, реализующего четвертый вариант способа оценивания несущей частоты сигнала, достигается тем, что в устройстве оценивания несущей частоты, содержащем аналого-цифровой преобразователь, первый и второй блоки памяти, первый умножитель, блок определения частоты и блок управления, причем информационный вход аналого-цифрового преобразователя является информационной шиной устройства оценивания несущей частоты, вход разрешения которого соединен с первым выходом блока управления, четвертый вход которого соединен с выходом готовности аналого-цифрового преобразователя, группа информационных выходов которого соединена с группой информационных входов первого блока памяти, группа входов управления которого объединена с группами входов управления второго блока памяти и блока определения частоты и третьей группой выходов блока управления, а группа адресных входов первого блока памяти объединена с группой адресных входов второго блока памяти и второй группой выходов блока управления, дополнительно введены третий, четвертый, пятый, шестой, седьмой, восьмой, девятый и десятый блоки памяти, второй, третий и четвертый умножители, блок преобразования Хартли, блок определения спектральной плотности мощности и преобразования Хартли и блок преобразования Хартли и определения спектральной плотности мощности. Группа информационных выходов первого блока памяти соединена с группой информационных входов блока преобразования Хартли Группа входов управления блока преобразования Хартли объединена с группами входов управления третьего, четвертого, пятого, шестого, седьмого, восьмого, девятого и десятого блоков памяти, группой входов управления блока определения спектральной плотности мощности и преобразования Хартли, группой входов управления блока преобразования Хартли и определения спектральной плотности мощности и третьей группой выходов блока управления. Группа информационных выходов блока преобразования Хартли соединена с группой информационных входов второго блока памяти. Группа информационных выходов второго блока памяти соединена с первой группой входов первого умножителя. Вторая группа входов первого умножителя соединена с группой информационных выходов третьего блока памяти. Группа выходов первого умножителя соединена с группой информационных входов четвертого блока памяти. Группа адресных входов четвертого блока памяти объединена с группами адресных входов третьего, пятого, шестого, седьмого, восьмого, девятого и десятого блоков памяти. Группа информационных выходов четвертого блока памяти соединена с группой информационных входов блока определения спектральной плотности мощности и преобразования Хартли. Группа информационных выходов блока определения спектральной плотности мощности и преобразования Хартли соединена с группой информационных входов шестого блока памяти. Группа информационных выходов шестого блока памяти соединена с первой группой входов второго умножителя. Вторая группа входов второго умножителя соединена с группой информационных выходов пятого блока памяти. Группа выходов второго умножителя соединена со второй группой входов третьего умножителя. Первая группа входов третьего умножителя соединена с группой информационных выходов седьмого блока памяти. Группа выходов третьего умножителя соединена со второй группой входов четвертого умножителя. Первая группа входов четвертого умножителя соединена с группой информационных выходов восьмого блока памяти. Группа выходов четвертого умножителя соединена с группой информационных входов девятого блока памяти. Группа информационных выходов девятого блока памяти соединена с группой информационных входов блока преобразования Хартли и определения спектральной плотности мощности. Группа информационных выходов блока преобразования Хартли и определения спектральной плотности мощности соединена с группой информационных входов десятого блока памяти. Группа информационных выходов десятого блока памяти соединена с группой информационных входов блока определения частоты. Группа информационных выходов блока определения частоты является выходной шиной устройства оценивания несущей частоты. Тактовая шина устройства оценивания несущей частоты соединена с тактовым входом аналого-цифрового преобразователя.
Поставленная цель в пятом варианте заявленного устройства, реализующего пятый вариант способа оценивания несущей частоты сигнала, достигается тем, что в устройстве оценивания несущей частоты, содержащем аналого-цифровой преобразователь, первый и второй блоки памяти, блок преобразования Фурье и определения спектральной плотности мощности, умножитель, блок определения частоты и блок управления, первый выход которого соединен со входом разрешения аналого-цифрового преобразователя, информационный вход которого является информационной шиной устройства оценивания несущей частоты, выход готовности соединен с четвертым входом блока управления, а группа информационных выходов соединена с группой информационных входов первого блока памяти, группа входов управления которого объединена с группами входов управления блока преобразования Фурье и определения спектральной плотности мощности, второго блока памяти, блока определения частоты и третьей группой выходов блока управления, вторая группа выходов которого соединена с группами адресных входов второго и первого блоков памяти, группа информационных выходов которого соединена с группой информационных входов блока преобразования Фурье и определения спектральной плотности мощности, дополнительно введены третий, четвертый, пятый и шестой блоки памяти, блок быстрого преобразования Фурье и блок обратного быстрого преобразования Фурье и определения спектральной плотности мощности. Группа информационных выходов блока преобразования Фурье и определения спектральной плотности мощности соединена с группами информационных входов шестого блока памяти и второго блока памяти. Группа информационных выходов второго блока памяти соединена с группой информационных входов блока быстрого преобразования Фурье. Группа входов управления блока быстрого преобразования Фурье объединена с группами входов управления четвертого, пятого и шестого блоков памяти, блока обратного быстрого преобразования Фурье и определения спектральной плотности мощности и третьей группой выходов блока управления. Группа информационных выходов блока быстрого преобразования Фурье соединена с группой информационных входов четвертого блока памяти. Группа адресных входов четвертого блока памяти объединена с группами адресных входов третьего, пятого и шестого блоков памяти. Группа информационных выходов четвертого блока памяти соединена со второй группой входов умножителя. Первая группа входов умножителя соединена с группой информационных выходов третьего блока памяти. Группа выходов умножителя соединена с группой информационных входов пятого блока памяти. Группа информационных выходов пятого блока памяти соединена с группой информационных входов блока обратного быстрого преобразования Фурье и определения спектральной плотности мощности. Группа информационных выходов блока обратного быстрого преобразования Фурье и определения спектральной плотности мощности поразрядно соединена с группой информационных входов шестого блока памяти. Группа информационных выходов шестого блока памяти соединена с группой информационных входов блока определения частоты. Группа выходов блока определения частоты является выходной шиной устройства оценивания несущей частоты. Тактовая шина устройства оценивания несущей частоты соединена с тактовым входом аналого-цифрового преобразователя.
Поставленная цель в шестом варианте заявленного устройства, реализующего шестой вариант способа оценивания несущей частоты сигнала, достигается тем, что в устройстве оценивания несущей частоты, содержащем аналого-цифровой преобразователь, первый и второй блоки памяти, блок преобразования Фурье и определения спектральной плотности мощности, умножитель, блок определения частоты и блок управления, первый выход которого соединен со входом разрешения аналого-цифрового преобразователя, информационный вход которого является информационной шиной устройства оценивания несущей частоты, выход готовности соединен с четвертым входом блока управления, а группа информационных выходов соединена с группой информационных входов первого блока памяти, группа входов управления которого объединена с группами входов управления блока преобразования Фурье и определения спектральной плотности мощности, второго блока памяти, блока определения частоты и третьей группой выходов блока управления, вторая группа выходов которого соединена с группами адресных входов второго и первого блоков памяти, группа информационных выходов которого соединена с группой информационных входов блока преобразования Фурье и определения спектральной плотности мощности, дополнительно введены блок преобразования Хартли, третий, четвертый, пятый и шестой блоки памяти и блок преобразования Хартли и определения спектральной плотности мощности. Группа информационных выходов блока преобразования Фурье и определения спектральной плотности мощности соединена с группой информационных входов второго блока памяти. Группа входов управления второго блока памяти объединена с группами входов управления блока преобразования Хартли, четвертого, пятого и шестого блоков памяти и блока преобразования Хартли и определения спектральной плотности мощности. Группа информационных выходов второго блока памяти соединена с группой информационных входов блока преобразования Хартли. Группа информационных выходов блока преобразования Хартли соединена с группой информационных входов четвертого блока памяти. Группа адресных входов последнего объединена с группой адресных входов третьего, пятого и шестого блоков памяти и второй группой выходов блока управления, по командам которого выполняется поочередное считывание значений, записанных в третьем, четвертом, пятом и шестом блоках памяти. Группа информационных выходов четвертого блока памяти соединена со второй группой входов умножителя. Первая группа входов умножителя соединена с группой информационных выходов третьего блока памяти. Группа выходов умножителя соединена с группой информационных входов пятого блока памяти. Группа информационных выходов пятого блока памяти соединена с группой информационных входов блока преобразования Хартли и определения спектральной плотности мощности. Группа информационных выходов блока преобразования Хартли и определения спектральной плотности мощности соединена с группой информационных входов шестого блока памяти. Группа информационных выходов шестого блока памяти соединена с группой информационных входов блока определения частоты. Группа выходов блока определения частоты является выходной шиной устройства оценивания несущей частоты. Тактовая шина устройства оценивания несущей частоты соединена с тактовым входом аналого-цифрового преобразователя.
Поставленная цель в седьмом варианте заявленного устройства, реализующего седьмой вариант способа оценивания несущей частоты сигнала, достигается тем, что в устройстве оценивания несущей частоты, содержащем аналого-цифровой преобразователь, первый и второй блоки памяти, умножитель, блок определения частоты и блок управления, причем информационный вход аналого-цифрового преобразователя является информационной шиной устройства оценивания несущей частоты, вход разрешения которого соединен с первым выходом блока управления, четвертый вход которого соединен с выходом готовности аналого-цифрового преобразователя, группа информационных выходов которого соединена с группой информационных входов первого блока памяти, группа входов управления которого объединена с группами входов управления второго блока памяти и блока определения частоты и третьей группой выходов блока управления, а группа адресных входов первого блока памяти объединена с группой адресных входов второго блока памяти и второй группой выходов блока управления, дополнительно введены первый и второй блоки преобразования Хартли и определения спектральной плотности мощности, третий, четвертый, пятый и шестой блоки памяти, блок определения спектральной плотности мощности, блок преобразования Хартли. Группа информационных выходов первого блока памяти соединена с группой информационных входов первого блока преобразования Хартли и определения спектральной плотности мощности. Группа входов управления первого блока преобразования Хартли и определения спектральной плотности мощности объединена с группами входов управления блока преобразования Хартли, четвертого, пятого и шестого блоков памяти, второго блока преобразования Хартли и определения спектральной плотности мощности и третьей группой выходов блока управления. Группа информационных выходов первого блока преобразования Хартли и определения спектральной плотности мощности соединена с группой информационных входов второго блока памяти. Группа информационных выходов второго блока памяти соединена с группой информационных входов блока преобразования Хартли. Группа информационных выходов блока преобразования Хартли соединена с группой информационных входов четвертого блока памяти. Группа адресных последнего объединена с группами адресных входов третьего, пятого и шестого блоков памяти и второй группой выходов блока управления, по командам которого выполняется поочередное считывание значений, записанных в третьем, четвертом, пятом и шестом блоках памяти. Группа информационных выходов четвертого блока памяти соединена со второй группой входов умножителя. Первая группа входов умножителя соединена с группой информационных выходов третьего блока памяти. Группа выходов умножителя соединена с группой информационных входов пятого блока памяти. Группа информационных выходов пятого блока памяти соединена с группой информационных входов второго блока преобразования Хартли и определения спектральной плотности мощности. Группа информационных выходов второго блока преобразования Хартли и определения спектральной плотности мощности соединена с группой информационных входов шестого блока памяти. Группа информационных выходов шестого блока памяти соединена с группой информационных входов блока определения частоты. Группа выходов блока определения частоты является выходной шиной устройства оценивания несущей частоты. Тактовая шина устройства оценивания несущей частоты соединена с тактовым входом аналого-цифрового преобразователя.
Поставленная цель в восьмом варианте заявленного устройства, реализующего восьмой вариант способа оценивания несущей частоты сигнала, достигается тем, что в устройстве оценивания несущей частоты, содержащем аналого-цифровой преобразователь, первый и второй блоки памяти, умножитель, блок определения частоты и блок управления, причем информационный вход аналого-цифрового преобразователя является информационной шиной устройства оценивания несущей частоты, вход разрешения которого соединен с первым выходом блока управления, четвертый вход которого соединен с выходом готовности аналого-цифрового преобразователя, группа информационных выходов которого соединена с группой информационных входов первого блока памяти, группа входов управления которого объединена с группами входов управления второго блока памяти, блока определения частоты и третьей группой выходов блока управления, а группа адресных входов первого блока памяти объединена с группой адресных входов второго блока памяти и второй группой выходов блока управления, дополнительно введены блок преобразования Хартли и определения спектральной плотности мощности, блок преобразования Фурье, третий, четвертый, пятый и шестой блоки памяти и блок обратного преобразования Фурье и определения спектральной плотности мощности. Группа информационных выходов первого блока памяти соединена с группой информационных входов блока преобразования Хартли и определения спектральной плотности мощности. Группа входов управления блока преобразования Хартли и определения спектральной плотности мощности объединена с группами входов управления блока преобразования Фурье и третьей группой выходов блока управления, по командам которого в блоке преобразования Фурье преобразуются спектральные компоненты плотности мощности сигнала. Группа входов управления блока преобразования Фурье объединена с группами входов управления блока обратного преобразования Фурье и определения спектральной плотности мощности, четвертого, пятого и шестого блоков памяти. Группа информационных выходов блока преобразования Хартли и определения спектральной плотности мощности соединена с группой информационных входов второго блока памяти. Группа информационных выходов второго блока памяти соединена с группой информационных входов блока преобразования Фурье. Группа информационных выходов последнего соединена с группой информационных входов четвертого блока памяти. Группа адресных входов последнего объединена с группами адресных входов третьего, пятого и шестого блоков памяти и второй группой выходов блока управления, по командам которого выполняется поочередное считывание значений, записанных в третьем, четвертом, пятом и шестом блоках памяти. Группа информационных выходов четвертого блока памяти соединена со второй группой входов умножителя. Первая группа входов умножителя соединена с группой информационных выходов третьего блока памяти. Группа выходов умножителя соединена с группой информационных входов пятого блока памяти. Группа информационных выходов пятого блока памяти соединена с группой информационных входов блока обратного преобразования Фурье и определения спектральной плотности мощности. Группа информационных выходов блока обратного преобразования Фурье и определения спектральной плотности мощности соединена с группой информационных входов шестого блока памяти. Группа информационных выходов шестого блока памяти соединена с группой информационных входов блока определения частоты. Группа выходов блока определения частоты является выходной шиной устройства оценивания несущей частоты. Тактовая шина устройства оценивания несущей частоты соединена с тактовым входом аналого-цифрового преобразователя.
Поставленная цель в девятом варианте заявленного устройства, реализующего девятый вариант способа оценивания несущей частоты сигнала, достигается тем, что в устройстве оценивания несущей частоты, содержащем аналого-цифровой преобразователь, первый и второй блоки памяти, блок преобразования Фурье и определения спектральной плотности мощности, умножитель, блок определения частоты и блок управления, первый выход которого соединен со входом разрешения аналого-цифрового преобразователя, информационный вход которого является информационной шиной устройства оценивания несущей частоты, выход готовности соединен с четвертым входом блока управления, а группа информационных выходов соединена с группой информационных входов первого блока памяти, группа входов управления которого объединена с группами входов управления блока преобразования Фурье и определения спектральной плотности мощности, второго блока памяти, блока определения частоты и третьей группой выходов блока управления, вторая группа выходов которого соединена с группами адресных входов второго и первого блоков памяти, группа информационных выходов которого соединена с группой информационных входов блока преобразования Фурье и определения спектральной плотности мощности, дополнительно введены блок преобразования Хартли, третий, четвертый, пятый и шестой блоки памяти и блок преобразования Хартли и определения спектральной плотности мощности. Группа информационных выходов блока преобразования Фурье и определения спектральной плотности мощности объединена с группами информационных входов шестого блока памяти и второго блока памяти. Группа информационных выходов второго блока памяти соединена с группой информационных входов блока преобразования Хартли. Группа входов управления блока преобразования Хартли объединена с группами входов управления четвертого, пятого и шестого блоков памяти, блока преобразования Хартли и определения спектральной плотности мощности и третьей группой выходов блока управления. Группа информационных выходов блока преобразования Хартли соединена с группой информационных входов четвертого блока памяти. Группа адресных входов четвертого блока памяти объединена с группами адресных входов третьего, пятого и шестого блоков памяти и второй группой выходов блока управления. Группа информационных выходов четвертого блока памяти соединена со второй группой входов умножителя. Первая группа входов умножителя соединена с группой информационных выходов третьего блока памяти. Группа выходов умножителя соединена с группой информационных входов пятого блока памяти. Группа информационных выходов пятого блока памяти соединена с группой информационных входов блока преобразования Хартли и определения спектральной плотности мощности. Группа информационных выходов блока преобразования Хартли и определения спектральной плотности мощности поразрядно соединена с группой информационных входов шестого блока памяти. Группа информационных выходов шестого блока памяти соединена с группой информационных входов блока определения частоты. Группа выходов блока определения частоты является выходной шиной устройства оценивания несущей частоты. Тактовая шина устройства оценивания несущей частоты соединена с тактовым входом аналого-цифрового преобразователя.
Перечисленная новая совокупность существенных признаков заявленных устройств (варианты) позволяет осуществлять измерение частоты путем использования информации о гладкости спектральной плотности мощности, заложенной во всех дискретных отсчетах спектральной плотности мощности, чем и достигается более высокая точность оценивания несущей частоты.
Заявленные объекты поясняются чертежами, на которых:на фиг. 1 на 2-х листах приведены рисунки, поясняющие сущность заявленного первого варианта способа оценивания несущей частоты сигнала; на фиг. 2 на 2-х листах приведены рисунки, поясняющие сущность заявленного второго варианта способа оценивания несущей частоты сигнала; на фиг. 3 на 2-х листах приведены рисунки, поясняющие сущность заявленного третьего варианта способа оценивания несущей частоты сигнала; на фиг. 4 на 2-х листах приведены рисунки, поясняющие сущность заявленного четвертого варианта способа оценивания несущей частоты сигнала; на фиг. 5 на 2-х листах приведены рисунки, поясняющие сущность заявленного пятого варианта способа оценивания несущей частоты сигнала; на фиг. 6 приведены рисунки, поясняющие сущность заявленного шестого варианта способа оценивания несущей частоты сигнала; на фиг. 7 на 2-х листах приведены рисунки, поясняющие сущность заявленного седьмого варианта способа оценивания несущей частоты сигнала; на фиг. 8 на 2-х листах приведены рисунки, поясняющие сущность заявленного восьмого варианта способа оценивания несущей частоты сигнала; на фиг. 9 на 2-х листах приведены рисунки, поясняющие сущность заявленного девятого варианта способа оценивания несущей частоты сигнала; на фиг. 10 приведена общая структурная схема заявленного первого варианта устройства оценивания несущей частоты, реализующего первый вариант способа оценивания несущей частоты сигнала; на фиг. 11 приведена общая структурная схема заявленного второго варианта устройства оценивания несущей частоты, реализующего второй вариант способа оценивания несущей частоты сигнала; на фиг. 12 приведена общая структурная схема заявленного третьего варианта устройства оценивания несущей частоты, реализующего третий вариант способа оценивания несущей частоты сигнала; на фиг. 13 приведена общая структурная схема заявленного четвертого варианта устройства оценивания несущей частоты, реализующего четвертый вариант способа оценивания несущей частоты сигнала; на фиг. 14 приведена общая структурная схема заявленного пятого варианта устройства оценивания несущей частоты, реализующего пятый вариант способа оценивания несущей частоты сигнала; на фиг. 15 приведена общая структурная схема заявленного шестого варианта устройства оценивания несущей частоты, реализующего шестой вариант способа оценивания несущей частоты сигнала; на фиг. 16 приведена общая структурная схема заявленного седьмого варианта устройства оценивания несущей частоты, реализующего седьмой вариант способа оценивания несущей частоты сигнала; на фиг. 17 приведена общая структурная схема заявленного восьмого варианта устройства оценивания несущей частоты, реализующего восьмой вариант способа оценивания несущей частоты сигнала; на фиг. 18 приведена общая структурная схема заявленного девятого варианта устройства оценивания несущей частоты, реализующего девятый варианта способа оценивания несущей частоты сигнала; на фиг. 19 приведена структурная схема устройства, реализующего блоки, выделенные на фиг. 10 пунктирной линией. Реализация заявленного способа (варианты) оценивания несущей частоты сигнала объясняется следующим образом (соответственно фиг. 1, 2, 3, 4, 5, 6, 7, 8, 9). Известно (см., например, аналог: патент США N 4904930, МКИ G 01 R 23/16, 27.02,1990), что повышение точности оценивания несущей частоты можно добиться путем увеличения массива входного сигнала. При этом разрешающая способность будет увеличиваться (абсолютное значение f – частотного расстояния между спектральными компонентами – будет уменьшаться). Однако это приводит к усложнению реализации и к уменьшению скорости оценивания. Поэтому в аналоге с целью повышения точности без заметной потери скорости обработки предложено повысить точность оценивания несущей частоты путем учета информации, содержащейся в спектральных компонентах мощности сигнала, располагающихся рядом со спектральной компонентой с максимальной амплитудой мощности сигнала. Однако в аналоге не учитывается информация о степени гладкости спектральной плотности мощности сигнала, поэтому точность оценивания оказывается низкой.
В способе-прототипе для повышения качества оценивания используется априорная информация о степени гладкости функции спектральной плотности мощности сигнала. Используя эту информацию, строят соответствующие локальные (так называемые сплайны минимального шаблона – СМШ) для первой производной от функции спектральной плотности мощности сигнала и второй производной от функции спектральной плотности мощности сигнала, с помощью метода Ньютона производят уточнение несущей частоты сигнала. Однако, во-первых, в этом решении не используется вся информация, заключающаяся в функции спектральной плотности мощности (для расчета производных используются лишь ближайшие к уточняемому максимуму дискретные точки спектральной плотности мощности, а не применяется весь массив дискретных точек спектральной плотности мощности), и, во-вторых, точность вычисления построенных по дискретным точкам спектральной плотности мощности производных ниже, чем точность вычисления функций спектральной плотности мощности сигнала. Следовательно, используя все отсчеты спектральной плотности мощности для построения по ним непрерывной функции спектральной плотности мощности, можно повысить точность определения несущей частоты.
Для решения задачи предлагается использовать интерполяционные сплайны. Рассмотрим для примера кубический сплайн.
(см., например, с. 186, формула (2.9)) можно записать в виде![]() где дискретное преобразование Фурье (ДПФ) от коэффициентов g(n) вычисляется по формуле Fm(g(n)) = Fm(S(n))/ump, (11) где Fm(S(n)) – ДПФ имеющейся спектральной плотности мощности S(n) сигнала z(tk); l = [(p+1)/2], p0 = 1; (12)vm= 2 sin( m/N); 1/N = f; fm= f n; f – частотное расстояние между компонентами спектральной плотности мощности S(n) сигнала z(tk).
Массив коэффициентов g(n) получается обратным преобразованием от Fm(g(n)).
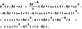
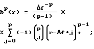
![]() где r [ f n, f (n+1)];bp – B-сплайн степени p-1: ![]() Cjp – число сочетаний из p по j: ![]() ![]() r = f (n+ ); ![]() [0,1]; = fзад d/ f;d = 0, 1, 2, …, f/ fзад– целое неотрицательное число.
При s = 0 выражение (13) упрощается. В этом случае, например, для кубического сплайна (p-1 = 3) имеем![]() ![]() Fm(g(n)) = Fm(S(n))/um4, (15) где um4 = 1 – vm2 4(r) отлично от нуля на участке (0, 4 f) и на различных интервалах наблюдения определяется следующим образом:[fn, fn+1] (когда r [ f n, f (n+1)], r = f (n+ ), ![]() [0,1]):![]() [fn+1, fn+2] (когда r [ f (n+1), f (n+2)], r = f (n+1+ ):![]() Учитывая, что носитель B-сплайна supp b4( ) = (0,4![]() f) и b4( ) симметричен относительно точки f p/2, получим для интервалов[fn+2, fn+3] (когда r [ f (n+2), f (n+3)], r = f (n+2+ )):![]() [fn+3, fn+4] (когда r [ f (n+3), f (n+4)], r = f (n+3+ ):![]() Тогда ![]() где ![]() = e2 i/N; N – объем массива (количество спектральных компонент). Если в выражении (13) M < 0, то можно принять g(M) = 0.
Реализация (16) и (17) позволяет вычислять функции S4(r, n) C5 с точностью, определяемой погрешностью интерполяционного сплайна (см., например, Ю.С. Завьялов, Б.И.Квасов, В.Л. Мирошниченко. Методы сплайн-функций. – М.: Наука, 1980. – С. 116, 117):![]() или, учитывая, что работа ведется со спектральной плотностью мощности ![]() Точность прототипа не лучше: ![]() Поэтому, например, для функции S C5 в случае выигрыш в точности интерполяции может достигать Аналогичные результаты получаются и для других степеней гладкости функции спектральной плотности мощности.
Рассмотрим особенности реализации каждого из девяти вариантов предлагаемого способа.
На фиг. 1 представлены графические пояснения первого варианта способа оценивания несущей частоты. Сигнал z(t), приведенный на фиг. 1а, дискретизируется (фиг. 1б), затем вычисляются компоненты его спектральной плотности мощности методом преобразования Фурье S(n) (фиг. 1в). Затем компоненты спектральной мощности сигнала в дискретных точках преобразуют методом преобразования Фурье с получением последовательности (m)+j v(m) (фиг. 1г, д). Затем элементы преобразования спектральной плотности мощности сигнала в соответствии с формулой (11) делят на преобразование Фурье от периодического B-сплайна ump (фиг. 1е, ж, з), а обратным преобразованием Фурье получают последовательность дискретных отсчетов g(n), представленную на фиг. 1и. Подставляя последовательно все величины g(n) в формулу (16) путем изменения = fзад d/ f 1, d = 0, 1, 2, …, f/ fзад (целое неотрицательное число), получаем “заполнение” спектральной плотности мощности сигнала через интервал fзад. Затем в новом массиве (r, n) (фиг. 1к) находится максимум, и значение несущей частоты определяется по формуле fнес = r fзад (фиг. 1л).
На фиг. 2 представлены эпюры для второго варианта предлагаемого способа. Особенность этого варианта в том, что здесь над компонентами спектральной плотности мощности S(n) (фиг. 2в) сигнала (фиг. 2а, б) выполняют преобразование Хартли (фиг. 2г), а затем полученную методом преобразования Хартли последовательность дискретных отсчетов умножают на матрицу преобразования из базиса Хартли в базис Фурье и получают последовательность ![]() v(m) (фиг. 2д, е), в точности совпадающую с последовательностью, представленной на фиг. 1г, д. То есть преобразование Фурье здесь заменено на преобразование Хартли и операцию умножения на матрицу преобразования для перехода из базиса Хартли в базис Фурье. Так как преобразование Хартли использует только вещественные числа (нет комплексных), то используемая здесь замена преобразования Фурье может выполняться быстрее (см. Брейсуэл Р. Преобразование Хартли: Пер. с англ. – М.: Мир, 1990. – C. 11). С той же целью увеличения скорости операция обратного преобразования Фурье заменяется на умножение на матрицу преобразования из базиса Фурье в базис Хартли (фиг. 2и) и на преобразование Хартли, в результате чего получается последовательность g(n) (фиг. 2л), полностью совпадающая с представленной на фиг. 1и. Остальные действия аналогичны первому варианту способа оценивания несущей частоты (фиг. 2ж, з, и, м, н).
Особенности третьего варианта предлагаемого способа можно продемонстрировать фиг. 3. Суть заключается в том, что компоненты спектральной плотности мощности S(n) (фиг. 3е) сигнала z(tk) (фиг. 3а, б) вычисляются не с помощью преобразования Фурье как в первом варианте способа, а посредством преобразования Хартли (фиг. 3в) с последующим переходом в базис Фурье (3г, д). В результате может быть повышена скорость вычисления. Остальные действия аналогичны первому варианту способа оценивания несущей частоты (фиг. 2ж, з, и, к, л, м, н, о).
Для четвертого варианта предлагаемого способа, приведенного на фиг. 4, компоненты спектральной плотности мощности S(n) (фиг. 4е) сигнала z(tk) (фиг. 4а, б) определяются с помощью преобразования Хартли (фиг. 4в) и умножения на матрицу преобразования из базиса Хартли в базис Фурье (фиг. 4г, д) как с третьем варианте способа. Реализация выражения (2) (ump изображено на фиг. 4к) выполняется с использованием преобразования Хартли над спектром (фиг. 4ж), умножения на матрицу преобразования для перехода в базис Фурье (фиг. 4з, и), деления на последовательность ump (фиг. 4л, м). Остальные действия аналогичны второму варианту способа оценивания несущей частоты (фиг. 4н, о, п, р).
В пятом варианте предлагаемого способа (фиг. 5) объем вычислений сокращается за счет того, что спектральные компоненты с заданной разрешающей способностью (“заполнение первоначально полученной спектральной плотности мощности) вычисляются только вблизи максимума n. Для этого после вычисления спектральной плотности мощности S(n) (фиг. 5в) сигнала z(tk) (фиг. 5а, б) запоминается номер n с максимальной спектральной компонентой (фиг. 5г), а после вычисления g(n) (фиг. 5к) значения (r, n) (фиг. 5л) вычисляются от номера n-1 до n+1, а несущая частота (фиг. 5м) вычисляется по формуле fнес = (n-1) f + r fзад, где значения точек n-1 и r = 0 совпадают (фиг. 5л). Действия по нахождению g(n) (фиг. 5д, е, ж, з, и, к) аналогичны действиям по первому варианту способа оценивания несущей частоты.
Главная особенность шестого варианта предлагаемого способа (фиг. 6) заключается в том, что нахождение последовательности g(n) (фиг. 6е) для расчета по формуле (16) производится без использования преобразования Фурье и без перехода в базис Фурье. Нахождение последовательности g(n) производится полностью в базисе Хартли, т.е. дискретное преобразование Хартли (ДПХ) от коэффициентов g(n) выполняется по формулеHmp(g(n)) = Hm(S(n))/UHmp, (18) где UHmp – ДПХ от периодического B-сплайна; Hm(S(n)) – ДПХ вектора S(n). Нахождение последовательности UHmp может быть достигнуто следующим образом. 1. Выбираем степень сплайна p-1. 2. Выполняем обратное преобразование Фурье от ump (формулы для umpmp обозначена как mn.3. Выполняется преобразование Хартли для получения UHmp. Вот на этот “аналог” ump и производится деление ДПХ от спектральной плотности мощности сигнала. Для получения последовательности g(n) с использованием выражения (11) фактически осуществляется свертка S(n) с периодическим B-сплайном в базисе Фурье. То же самое происходит в выражении (18), но в базисе Хартли. Естественно, что такой путь в вычислительном отношении экономичнее (здесь предполагается, что UHmp заранее определены). Последовательность действий в этом варианте показана на фиг. 6. Сигнал z(t) (фиг. 6а) дискретизируется (фиг. 6б), затем определяется спектральная плотность мощности S(n) (фиг. 6в). На фиг. 6г показано преобразование Хартли от S(n). Операция (18) демонстрируется эпюрой на фиг. 6д, получение g(n) преобразованием Хартли от X(S(n))/UHmp показано на фиг. 6е, а нахождение fнес = r fзад – на фиг. 6ж, з.
Седьмой вариант предлагаемого способа демонстрируется фиг. 7. Здесь особенность в том, что первоначально спектральная плотность мощности S(n) (фиг. 7г) сигнала z(tk) (фиг. 5а, б) вычисляется из базиса Хартли без последующего перехода в базис Фурье. На фиг. 7в показано преобразование Хартли от сигнала z(tk), а на фиг. 7г показана спектральная плотность мощности, полученная из базиса Хартли (см. Брейсуэл Р. Преобразование Хартли: Пер. с англ. – М.: Мир, 1990. – С. 24). Переход к спектральной плотности мощности осуществляется путем вычисления квадратного корня от суммы квадратов спектральных коэффициентов преобразования Хартли, симметричных относительно нуля, и деления на 21/2. Далее посредством преобразования Хартли получают последовательность g(n) (фиг. 7д, е, ж). Далее вычисляется спектральная плотность мощности с частотным разрешением fзад (фиг. 7з), ищется максимум и вычисляется fнес = r fзад (фиг. 7и).
Отличие восьмого варианта предлагаемого способа (фиг. 8) от седьмого заключено в том, что для вычисления последовательности g(n) (фиг. 8к) используется не преобразование Хартли, а преобразование Фурье. Поэтому преобразование Фурье от спектральной плотности мощности (фиг. 8г) дает e(m)+j d(m) (фиг. 8д, е), деление на ump (фиг. 8ж) согласно выражению (11) дает значения, приведенные на фиг. 8з, и. Нахождение несущей частоты, показанное на фиг. 8л, м, аналогично седьмому варианту предлагаемого способа. Получение преобразования Хартли A(xi) от сигнала z(t) также аналогично седьмому варианту способа оценки несущей частоты (фиг. 8а, б, в).
Особенность девятого варианта предлагаемого способа, демонстрируемого на фиг. 9, от пятого варианта способа заключается в том, что для увеличения скорости при обработке S(n) вместо действий, определяемых выражением (11), используются действия, определяемые выражением (18). Сигнал z(t) (фиг. 9а) дискретизируют z(tk) (фиг. 9б), определяют спектральную плотность мощности S(n) (фиг. 9в), находят номер спектральной компоненты n с максимальной мощностью (фиг. 9г) и запоминают его. Над S(n) выполняют преобразование Хартли (фиг. 9д). Полученную последовательность дискретных отсчетов X(m) делят на преобразование Хартли от периодического B-сплайна заданной степени гладкости p-1 (фиг. 9е), а полученный результат преобразуют методом Хартли для получения последовательности дискретных отсчетов g(n) (фиг. 9ж). От номера n-1 до номера n+1 находят спектральную плотность мощности (r,n) с частотным расстоянием fзад. Среди полученных спектральных компонент находят максимальную и вычисляют по ней значение несущей частоты по формуле fнес = (n-1) f + r fзад (фиг. 9з, и).
Первый вариант устройства оценивания несущей частоты (реализация первого варианта способа оценивания несущей частоты сигнала), показанный на фиг. 10, состоит из аналого-цифрового преобразователя 1, первого 2, второго 4, третьего 6, четвертого 7, пятого 9 и шестого 11 блоков памяти, блока преобразования Фурье и определения спектральной плотности мощности 3, блока быстрого преобразования Фурье 5, умножителя 8, блока обратного быстрого преобразования Фурье и определения спектральной плотности мощности 10, блока определения частоты 12 и блока управления 13. Первый выход блока управления 13 соединен со входом разрешения аналого-цифрового преобразователя 1. Информационный вход аналого-цифрового преобразователя 1 является информационной шиной устройства оценивания несущей частоты. Выход готовности аналого-цифрового преобразователя 1 соединен с четвертым входом блока управления 13. Группа информационных выходов аналого-цифрового преобразователя 1 соединена с группой информационных входов первого блока памяти 2. Группа входов управления первого блока памяти 2 объединена с группами входов управления блока преобразования Фурье и определения спектральной плотности мощности 3, второго блока памяти 4, блока определения частоты 12 и третьей группой выходов блока управления 13. Вторая группа выходов блока управления 13 соединена с группами адресных входов второго 4 и первого 2 блоков памяти. Группа информационных выходов первого блока памяти 2 соединена с группой информационных входов блока преобразования Фурье и определения спектральной плотности мощности 3. Группа информационных выходов блока преобразования Фурье и определения спектральной плотности мощности 3 соединена с группой информационных входов второго блока памяти 4. Группа информационных выходов второго блока памяти 4 соединена с группой информационных входов блока быстрого преобразования Фурье 5. Группа информационных выходов блока быстрого преобразования Фурье 5 соединена с группой информационных входов четвертого блока памяти 7. Группа адресных входов четвертого блока памяти 7 объединена с группами адресных входов третьего 6, пятого 9 и шестого 11 блоков памяти, со второй группой выходов блока управления 13. Группа информационных выходов четвертого блока памяти 7 соединена с первой группой входов умножителя 8. Вторая группа входов умножителя 8 соединена с группой информационных выходов третьего блока памяти 6. Группа выходов умножителя 8 соединена с группой информационных входов пятого блока памяти 9. Группа входов управления пятого блока памяти 9 объединена с группами входов управления четвертого 7 и шестого 11 блоков памяти, блока обратного быстрого преобразования Фурье и определения спектральной плотности мощности 10, блока быстрого преобразования Фурье 5 и третьей группой выходов блока управления 13. Группа информационных выходов пятого блока памяти 9 соединена с группой информационных входов блока обратного быстрого преобразования Фурье и определения спектральной плотности мощности 10. Группа информационных выходов блока обратного быстрого преобразования Фурье и определения спектральной плотности мощности 10 соединена с группой информационных входов шестого блока памяти 11. Группа информационных выходов шестого блока памяти 11 соединена с группой информационных входов блока определения частоты 12. Группа выходов блока определения частоты 12 является выходной шиной устройства оценивания несущей частоты. Тактовая шина 14 устройства оценивания несущей частоты соединена с тактовым входом аналого-цифрового преобразователя 1.
Второй вариант устройства оценивания несущей частоты (реализация второго варианта способа оценивания несущей частоты сигнала), показанный на фиг. 11, состоит из аналого-цифрового преобразователя 1, первого 2, второго 4, третьего 6, четвертого 7, пятого 9, шестого 11, седьмого 13 и восьмого 15 блоков памяти, блока преобразования Фурье и определения спектральной плотности мощности 3, блока преобразования Хартли 5, первого 8, второго 10 и третьего 12 умножителей, блока преобразования Хартли и определения спектральной плотности мощности 14, блока определения частоты 16 и блока управления 17. Первый выход блока управления 17 соединен со входом разрешения аналого-цифрового преобразователя 1. Информационный вход аналого-цифрового преобразователя 1 является информационной шиной устройства оценивания несущей частоты. Выход готовности аналого-цифрового преобразователя 1 соединен с четвертым входом блока управления 17. Группа информационных выходов аналого-цифрового преобразователя 1 соединена с группой информационных входов первого блока памяти 2. Группа входов управления первого блока памяти 2 объединена с группами входов управления блока преобразования Фурье и определения спектральной плотности мощности 3, второго блока памяти 4, блока определения частоты 16 и третьей группой выходов блока управления 17. Вторая группа выходов блока управления 17 соединена с группами адресных входов второго 4 и первого 2 блоков памяти. Группа информационных выходов первого блока памяти 2 соединена с группой информационных входов блока преобразования Фурье и определения спектральной плотности мощности 3. Группа информационных выходов блока преобразования Фурье и определения спектральной плотности мощности 3 соединена с группой информационных входов второго блока памяти 2. Группа информационных выходов второго блока памяти 2 соединена с группой информационных входов блока преобразования Хартли 5. Группа управляющих входов блока преобразования Хартли 5 объединена с группами управляющих входов третьего 6, четвертого 7, пятого 9, шестого 11, седьмого 13 и восьмого 15 блоков памяти, блока преобразования Хартли и определения спектральной плотности мощности 14 и третьей группой выходов блока управления 17. Группа информационных выходов блока преобразования Хартли 5 соединена с группой информационных входов четвертого блока памяти 7. Адресная группа входов последнего соединена со второй группой выходов блока управления 17, формирующего команды на поочередное считывание значений, записанных в четвертом блоке памяти 7, адресная группа входов которого объединена с группами адресных входов третьего 6, пятого 9, шестого 11, седьмого 13 и восьмого 15 блоков памяти. Группа информационных выходов четвертого блока памяти 7 соединена с первой группой входов первого умножителя 8. Вторая группа входов первого умножителя 8 соединена с группой информационных выходов третьего блока памяти 6. Группа выходов первого умножителя 8 соединена со второй группой входов второго умножителя 10. Первая группа входов второго умножителя 10 соединена с группой информационных выходов пятого блока памяти 9. Группа выходов второго умножителя 10 соединена со второй группой входов третьего умножителя 12. Первая группа входов третьего умножителя 12 соединена с группой информационных выходов шестого блока памяти 11. Группа выходов третьего умножителя 12 соединена с группой информационных входов седьмого блока памяти 13. Группа информационных выходов седьмого блока памяти 13 соединена с группой информационных входов блока преобразования Хартли и определения спектральной плотности мощности 14. Группа информационных выходов блока преобразования Хартли и определения спектральной плотности мощности 14 соединена с группой информационных входов восьмого блока памяти 15. Группа информационных выходов восьмого блока памяти 15 соединена с группой информационных входов блока определения частоты 16. Группа выходов блока определения частоты 16 является выходной шиной устройства оценивания несущей частоты. Тактовая шина 18 устройства оценивания несущей частоты соединена с тактовым входом аналого-цифрового преобразователя 1.
Третий вариант устройства оценивания несущей частоты (реализация третьего варианта способа оценивания несущей частоты сигнала), показанный на фиг. 12, состоит из аналого-цифрового преобразователя 1, первого 2, второго 4, третьего 5, четвертого 7, пятого 9, шестого 10, седьмого 12 и восьмого 14 блоков памяти, блока преобразования Хартли 3, первого 6 и второго 11 умножителей, блока определения спектральной плотности мощности и преобразования Фурье 8, блока обратного преобразования Фурье и определения спектральной плотности мощности 13, блока определения частоты 15 и блока управления 16. Информационный вход аналого-цифрового преобразователя 1 является информационной шиной устройства оценивания несущей частоты. Вход разрешения устройства оценивания несущей частоты соединен с первым выходом блока управления 16. Четвертый вход блока управления 16 соединен с выходом готовности аналого-цифрового преобразователя 1. Группа информационных выходов аналого-цифрового преобразователя 1 соединена с группой информационных входов первого блока памяти 2. Группа входов управления первого блока памяти 2 объединена с группами входов управления второго блока памяти 4 и блока определения частоты 15 и третьей группой выходов блока управления 16. Группа адресных входов первого блока памяти 2 объединена с группой адресных входов второго блока памяти 4 и второй группой выходов блока управления 16. Группа информационных выходов первого блока памяти 2 соединена с группой информационных входов блока преобразования Хартли 3. Группа входов управления последнего объединена с группами входов управления третьего 5, четвертого 7, пятого 9, шестого 10, седьмого 12 и восьмого 14 блоков памяти, блока обратного преобразования Фурье и определения спектральной плотности мощности 13, блока определения спектральной плотности мощности и преобразования Фурье 8 и третьей группой выходов блока управления 16, по командам которого производится вычисление компонент спектральной плотности мощности и преобразование Фурье в блоке 8. Группа информационных выходов блока преобразования Хартли 3 соединена с группой информационных входов второго блока памяти 4. Группа адресных входов второго блока памяти 4 объединена с группами адресных входов третьего 5, четвертого 7, пятого 9, шестого 10, седьмого 12 и восьмого 14 блоков памяти. Группа информационных выходов второго блока памяти 4 соединена с первой группой входов первого умножителя 6. Вторая группа входов первого умножителя 6 соединена с группой информационных выходов третьего блока памяти 5. Группа выходов первого умножителя 6 соединена с группой информационных входов четвертого блока памяти 7. Группа информационных выходов четвертого блока памяти 7 соединена с группой информационных входов блока определения спектральной плотности мощности и преобразования Фурье 8. Группа информационных выходов блока определения спектральной плотности мощности и преобразования Фурье 8 соединена с группой информационных входов шестого блока памяти 10. Группа информационных выходов шестого блока памяти 10 соединена с первой группой входов второго умножителя 11. Вторая группа входов второго умножителя 11 соединена с группой информационных выходов пятого блока памяти 9. Группа выходов второго умножителя 11 соединена с группой информационных входов седьмого блока памяти 12. Группа информационных выходов седьмого блока памяти 12 соединена с группой информационных входов блока обратного преобразования Фурье и определения спектральной плотности мощности 13. Группа информационных выходов блока обратного преобразования Фурье и определения спектральной плотности мощности 13 соединена с группой информационных входов восьмого блока памяти 14. Группа информационных выходов восьмого блока памяти 14 соединена с группой информационных входов блока определения частоты 15. Группа выходов блока определения частоты 15 является выходной шиной устройства оценивания несущей частоты. Тактовая шина 17 устройства оценивания несущей частоты соединена с тактовым входом аналого-цифрового преобразователя 1.
Четвертый вариант устройства оценивания несущей частоты (реализация четвертого варианта способа оценивания несущей частоты сигнала), показанный на фиг. 13, состоит из аналого-цифрового преобразователя 1, первого 2, второго 4, третьего 5, четвертого 7, пятого 9, шестого 10, седьмого 12, восьмого 14, девятого 16 и десятого 18 блоков памяти, блока преобразования Хартли 3, первого 6, второго 11, третьего 13 и четвертого 15 умножителей, блока определения спектральной плотности мощности и преобразования Хартли 8, блок преобразования Хартли и определения спектральной плотности мощности 17, блока определения частоты 19 и блока управления 20. Информационный вход аналого-цифрового преобразователя 1 является информационной шиной устройства оценивания несущей частоты. Вход разрешения устройства оценивания несущей частоты соединен с первым выходом блока управления 20. Четвертый вход блока управления 20 соединен с выходом готовности аналого-цифрового преобразователя 1. Группа информационных выходов аналого-цифрового преобразователя 1 соединена с группой информационных входов первого блока памяти 2. Группа входов управления первого блока памяти 2 объединена с группами входов управления второго блока памяти 4 и блока определения частоты 19 и третьей группой выходов блока управления 20. Группа адресных входов первого блока памяти 2 объединена с группой адресных входов второго блока памяти 4 и второй группой выходов блока управления 20. Группа информационных выходов первого блока памяти 2 соединена с группой информационных входов блока преобразования Хартли 3. Группа входов управления блока преобразования Хартли 3 объединена с группами входов управления третьего 5, четвертого 7, пятого 9, шестого 10, седьмого 12, восьмого 14, девятого 16 и десятого 18 блоков памяти, группой входов управления блока определения спектральной плотности мощности и преобразования Хартли 8, группой входов управления блока преобразования Хартли и определения спектральной плотности мощности 17 и третьей группой выходов блока управления 20. Группа информационных выходов блока преобразования Хартли 3 соединена с группой информационных входов второго блока памяти 4. Группа информационных выходов второго блока памяти 4 соединена с первой группой входов первого умножителя 6. Вторая группа входов первого умножителя 6 соединена с группой информационных выходов третьего блока памяти 5. Группа выходов первого умножителя 6 соединена с группой информационных входов четвертого блока памяти 7. Группа адресных входов четвертого блока памяти 7 объединена с группами адресных входов третьего 5, пятого 9, шестого 10, седьмого 12, восьмого 14, девятого 16 и десятого 18 блоков памяти. Группа информационных выходов четвертого блока памяти 7 соединена с группой информационных входов блока определения спектральной плотности мощности и преобразования Хартли 8. Группа информационных выходов блока определения спектральной плотности мощности и преобразования Хартли 8 соединена с группой информационных входов шестого блока памяти 10. Группа информационных выходов шестого блока памяти 10 соединена с первой группой входов второго умножителя 11. Вторая группа входов второго умножителя 11 соединена с группой информационных выходов пятого блока памяти 9. Группа выходов второго умножителя 11 соединена со второй группой входов третьего умножителя 13. Первая группа входов третьего умножителя 13 соединена с группой информационных выходов седьмого блока памяти 12. Группа выходов третьего умножителя 13 соединена со второй группой входов четвертого умножителя 15. Первая группа входов четвертого умножителя 15 соединена с группой информационных выходов восьмого блока памяти 14. Группа выходов четвертого умножителя 7 соединена с группой информационных входов девятого блока памяти 16. Группа информационных выходов девятого блока памяти 16 соединена с группой информационных входов блока преобразования Хартли и определения спектральной плотности мощности 17. Группа информационных выходов блока преобразования Хартли и определения спектральной плотности мощности 17 соединена с группой информационных входов десятого блока памяти 18. Группа информационных выходов десятого блока памяти 18 соединена с группой информационных входов блока определения частоты 19. Группа информационных выходов блока определения частоты 19 является выходной шиной устройства оценивания несущей частоты. Тактовая шина 21 устройства оценивания несущей частоты соединена с тактовым входом аналого-цифрового преобразователя 1.
Пятый вариант устройства оценивания несущей частоты (реализация пятого варианта способа оценивания несущей частоты сигнала), показанный на фиг. 14, состоит аналого-цифрового преобразователя 1, первого 2, второго 4, третьего 6, четвертого 7, пятого 9 и шестого 11 блоков памяти, блока преобразования Фурье и определения спектральной плотности мощности 3, блока быстрого преобразования Фурье 5, умножителя 8, блока обратного быстрого преобразования Фурье и определения спектральной плотности мощности 10, блока определения частоты 12 и блока управления 13. Первый выход блока управления 13 соединен со входом разрешения аналого-цифрового преобразователя 1. Информационный вход аналого-цифрового преобразователя 1 является информационной шиной устройства оценивания несущей частоты. Выход готовности аналого-цифрового преобразователя 1 соединен с четвертым входом блока управления 13. Группа информационных выходов аналого-цифрового преобразователя 1 соединена с группой информационных входов первого блока памяти 2. Группа входов управления первого блока памяти 2 объединена с группами входов управления блока преобразования Фурье и определения спектральной плотности мощности 3, второго блока памяти 4, блока определения частоты 12 и третьей группой выходов блока управления 13. Вторая группа выходов блока управления 13 соединена с группами адресных входов второго 4 и первого 2 блоков памяти. Группа информационных выходов первого блока памяти 2 соединена с группой информационных входов блока преобразования Фурье и определения спектральной плотности мощности 3. Группа информационных выходов блока преобразования Фурье и определения спектральной плотности мощности 3 соединена с группами информационных входов шестого блока памяти 11 и второго блока памяти 4. Группа информационных выходов второго блока памяти 4 соединена с группой информационных входов блока быстрого преобразования Фурье 5. Группа входов управления блока быстрого преобразования Фурье 5 объединена с группами входов управления четвертого 7, пятого 9 и шестого 11 блоков памяти, блока обратного быстрого преобразования Фурье и определения спектральной плотности мощности 10 и третьей группой выходов блока управления 13. Группа информационных выходов блока быстрого преобразования Фурье 5 соединена с группой информационных входов четвертого блока памяти 7. Группа адресных входов четвертого блока памяти 7 объединена с группами адресных входов третьего 6, пятого 9 и шестого 11 блоков памяти. Группа информационных выходов четвертого блока памяти 7 соединена со второй группой входов умножителя 8. Первая группа входов умножителя 8 соединена с группой информационных выходов третьего блока памяти 6. Группа выходов умножителя 8 соединена с группой информационных входов пятого блока памяти 9. Группа информационных выходов пятого блока памяти 9 соединена с группой информационных входов блока обратного быстрого преобразования Фурье и определения спектральной плотности мощности 10. Группа информационных выходов блока обратного быстрого преобразования Фурье и определения спектральной плотности мощности 10 поразрядно соединена с группой информационных входов шестого блока памяти 11. Группа информационных выходов шестого блока памяти 11 соединена с группой информационных входов блока определения частоты 12. Группа выходов блока определения частоты 12 является выходной шиной устройства оценивания несущей частоты. Тактовая шина 14 устройства оценивания несущей частоты соединена с тактовым входом аналого-цифрового преобразователя 1.
Шестой вариант устройства оценивания несущей частоты (реализация шестого варианта способа оценивания несущей частоты сигнала), показанный на фиг. 15, состоит из аналого-цифрового преобразователя 1, первого 2, второго 4, третьего 6, четвертого 7, пятого 9 и шестого 11 блоков памяти, блока преобразования Фурье и определения спектральной плотности мощности 3, блока преобразования Хартли 5, умножителя 8, блока преобразования Хартли и определения спектральной плотности мощности 10, блока определения частоты 12 и блока управления 13. Первый выход блока управления 13 соединен со входом разрешения аналого-цифрового преобразователя 1. Информационный вход аналого-цифрового преобразователя 1 является информационной шиной устройства оценивания несущей частоты. Выход готовности аналого-цифрового преобразователя 1 соединен с четвертым входом блока управления 13. Группа информационных выходов аналого-цифрового преобразователя 1 соединена с группой информационных входов первого блока памяти 2. Группа входов управления первого блока памяти 2 объединена с группами входов управления блока преобразования Фурье и определения спектральной плотности мощности 3, второго блока памяти 4, блока определения частоты 12 и третьей группой выходов блока управления 13. Вторая группа выходов блока управления 13 соединена с группами адресных входов второго 4 и первого 2 блоков памяти, группа информационных выходов первого блока памяти 2 соединена с группой информационных входов блока преобразования Фурье и определения спектральной плотности мощности 3. Группа информационных выходов блока преобразования Фурье и определения спектральной плотности мощности 3 соединена с группой информационных входов второго блока памяти 4. Группа входов управления второго блока памяти 4 объединена с группами входов управления блока преобразования Хартли 5, четвертого 7, пятого 9 и шестого 11 блоков памяти и блока преобразования Хартли и определения спектральной плотности мощности 10. Группа информационных выходов второго блока памяти 4 соединена с группой информационных входов блока преобразования Хартли 5. Группа информационных выходов блока преобразования Хартли 5 соединена с группой информационных входов четвертого блока памяти 7. Группа адресных входов последнего объединена с группой адресных входов третьего 6, пятого 9 и шестого 11 блоков памяти и второй группой выходов блока управления 13, по командам которого выполняется поочередное считывание значений, записанных в третьем 6, четвертом 7, пятом 9 и шестом 11 блоках памяти. Группа информационных выходов четвертого блока памяти 7 соединена со второй группой входов умножителя 8. Первая группа входов умножителя 8 соединена с группой информационных выходов третьего блока памяти 6. Группа выходов умножителя 8 соединена с группой информационных входов пятого блока памяти 9. Группа информационных выходов пятого блока памяти 9 соединена с группой информационных входов блока преобразования Хартли и определения спектральной плотности мощности 10. Группа информационных выходов блока преобразования Хартли и определения спектральной плотности мощности 10 соединена с группой информационных входов шестого блока памяти 11. Группа информационных выходов шестого блока памяти 11 соединена с группой информационных входов блока определения частоты 12. Группа выходов блока определения частоты 12 является выходной шиной устройства оценивания несущей частоты. Тактовая шина 14 устройства оценивания несущей частоты соединена с тактовым входом аналого-цифрового преобразователя 1.
Седьмой вариант устройства оценивания несущей частоты (реализация седьмого варианта способа оценивания несущей частоты сигнала), показанный на фиг. 16, состоит из аналого-цифрового преобразователя 1, первого 2, второго 4, третьего 6, четвертого 7, пятого 9 и шестого 11 блоков памяти, первого 3 и второго 10 блоков преобразования Хартли и определения спектральной плотности мощности, блока преобразования Хартли 5, блока определения спектральной плотности мощности, умножителя 8, блока определения частоты 12 и блока управления 13. Информационный вход аналого-цифрового преобразователя 1 является информационной шиной устройства оценивания несущей частоты. Вход разрешения устройства оценивания несущей частоты соединен с первым выходом блока управления 13. Четвертый вход блока управления 13 соединен с выходом готовности аналого-цифрового преобразователя 1. Группа информационных выходов аналого-цифрового преобразователя 1 соединена с группой информационных входов первого блока памяти 2. Группа входов управления первого блока памяти 2 объединена с группами входов управления второго блока памяти 4 и блока определения частоты 12 и третьей группой выходов блока управления 13. Группа адресных входов первого блока памяти 2 объединена с группой адресных входов второго блока памяти 4 и второй группой выходов блока управления 13. Группа информационных выходов первого блока памяти 2 соединена с группой информационных входов первого блока преобразования Хартли и определения спектральной плотности мощности 3. Группа входов управления первого блока преобразования Хартли и определения спектральной плотности мощности 3 объединена с группами входов управления блока преобразования Хартли 5, четвертого 7, пятого 9 и шестого 11 блоков памяти, второго блока преобразования Хартли и определения спектральной плотности мощности 10 и третьей группой выходов блока управления 13. Группа информационных выходов первого блока преобразования Хартли и определения спектральной плотности мощности 3 соединена с группой информационных входов второго блока памяти 4. Группа информационных выходов второго блока памяти 4 соединена с группой информационных входов блока преобразования Хартли 5. Группа информационных выходов блока преобразования Хартли 5 соединена с группой информационных входов четвертого блока памяти 7. Группа адресных входов последнего объединена с группами адресных входов третьего 6, пятого 9 и шестого 11 блоков памяти и второй группой выходов блока управления 13, по командам которого выполняется поочередное считывание значений, записанных в третьем 6, четвертом 7, пятом 9 и шестом 11 блоках памяти. Группа информационных выходов четвертого блока 7 памяти соединена со второй группой входов умножителя 8. Первая группа входов умножителя 8 соединена с группой информационных выходов третьего блока памяти 6. Группа выходов умножителя 8 соединена с группой информационных входов пятого блока памяти 9. Группа информационных выходов пятого блока памяти 9 соединена с группой информационных входов второго блока преобразования Хартли и определения спектральной плотности мощности 10. Группа информационных выходов второго блока преобразования Хартли и определения спектральной плотности мощности 10 соединена с группой информационных входов шестого блока памяти 11. Группа информационных выходов шестого блока памяти 11 соединена с группой информационных входов блока определения частоты 12. Группа выходов блока определения частоты 12 является выходной шиной устройства оценивания несущей частоты. Тактовая шина 14 устройства оценивания несущей частоты соединена с тактовым входом аналого-цифрового преобразователя 1.
Восьмой вариант устройства оценивания несущей частоты (реализация восьмого варианта способа оценивания несущей частоты сигнала), показанный на фиг. 17, состоит из аналого-цифрового преобразователя 1, первого 2, второго 4, третьего 6, четвертого 7, пятого 9 и шестого 11 блоков памяти, блока преобразования Хартли и определения спектральной плотности мощности 3, блока преобразования Фурье 5, умножителя 8, блока обратного преобразования Фурье и определения спектральной плотности мощности 10, блока определения частоты 12 и блока управления 13. Информационный вход аналого-цифрового преобразователя 1 является информационной шиной устройства оценивания несущей частоты. Вход разрешения устройства оценивания несущей частоты соединен с первым выходом блока управления 13. Четвертый вход блока управления 13 соединен с выходом готовности аналого-цифрового преобразователя 1. Группа информационных выходов аналого-цифрового преобразователя 1 соединена с группой информационных входов первого блока памяти 2. Группа входов управления первого блока памяти 2 объединена с группами входов управления второго блока памяти 4, блока определения частоты 12 и третьей группой выходов блока управления 13. Группа адресных входов первого блока памяти 2 объединена с группой адресных входов второго блока памяти 4 и второй группой выходов блока управления 13. Группа информационных выходов первого блока памяти 2 соединена с группой информационных входов блока преобразования Хартли и определения спектральной плотности мощности 3. Группа входов управления последнего объединена с группами входов управления блока преобразования Фурье 5 и третьей группой выходов блока управления, по командам которого в блоке 5 преобразуются спектральные компоненты плотности мощности сигнала. Группа входов управления блока 5 объединена с группами входов управления блока обратного преобразования Фурье и определения спектральной плотности мощности 10, четвертого 7, пятого 9 и шестого 11 блоков памяти. Группа информационных выходов блока преобразования Хартли и определения спектральной плотности мощности 3 соединена с группой информационных входов второго блока памяти 4. Группа информационных выходов второго блока памяти 4 соединена с группой информационных входов блока преобразования Фурье 5. Группа информационных выходов блока преобразования Фурье 5 соединена с группой информационных входов четвертого блока памяти 7. Группа адресных входов последнего объединена с группами адресных входов третьего 6, пятого 9 и шестого 11 блоков памяти и второй группой выходов блока управления 13, по командам которого выполняется поочередное считывание значений, записанных в третьем 6, четвертом 7, пятом 9 и шестом 11 блоках памяти. Группа информационных выходов четвертого блока памяти 7 соединена со второй группой входов умножителя 8. Первая группа входов умножителя 8 соединена с группой информационных выходов третьего блока памяти 6. Группа выходов умножителя 8 соединена с группой информационных входов пятого блока памяти 9. Группа информационных выходов пятого блока памяти 9 соединена с группой информационных входов блока обратного преобразования Фурье и определения спектральной плотности мощности 10. Группа информационных выходов блока обратного преобразования Фурье и определения спектральной плотности мощности 10 соединена с группой информационных входов шестого блока памяти 11. Группа информационных выходов шестого блока памяти 11 соединена с группой информационных входов блока определения частоты 12. Группа выходов блока определения частоты 12 является выходной шиной устройства оценивания несущей частоты. Тактовая шина 14 устройства оценивания несущей частоты соединена с тактовым входом аналого-цифрового преобразователя 1.
Девятый вариант устройства оценивания несущей частоты (реализация девятого варианта способа оценивания несущей частоты сигнала), показанный на фиг. 18, состоит из аналого-цифрового преобразователя 1, первого 2, второго 4, третьего 6, четвертого 7, пятого 9 и шестого 11 блоков памяти, блока преобразования Фурье и определения спектральной плотности мощности 3, блока преобразования Хартли 5, умножителя 8, блока преобразования Хартли и определения спектральной плотности мощности 10, блока определения частоты 12 и блока управления 13. Первый выход блока управления 13 соединен со входом разрешения аналого-цифрового преобразователя 1. Информационный вход аналого-цифрового преобразователя 1 является информационной шиной устройства оценивания несущей частоты. Выход готовности аналого-цифрового преобразователя 1 соединен с четвертым входом блока управления 13. Группа информационных выходов аналого-цифрового преобразователя 1 соединена с группой информационных входов первого блока памяти 2. Группа входов управления первого блока памяти 2 объединена с группами входов управления блока преобразования Фурье и определения спектральной плотности мощности 3, второго блока памяти 4, блока определения частоты 12 и третьей группой выходов блока управления 13. Вторая группа выходов блока управления 13 соединена с группами адресных входов второго 4 и первого 2 блоков памяти. Группа информационных выходов первого блока памяти 2 соединена с группой информационных входов блока преобразования Фурье и определения спектральной плотности мощности 3. Группа информационных выходов блока преобразования Фурье и определения спектральной плотности мощности 3 объединена с группами информационных входов шестого блока памяти 11 и второго блока памяти 4. Группа информационных выходов второго блока памяти 4 соединена с группой информационных входов блока преобразования Хартли 5. Группа входов управления блока преобразования Хартли 5 объединена с группами входов управления четвертого 7, пятого 9 и шестого 11 блоков памяти, блока преобразования Хартли и определения спектральной плотности мощности 10 и третьей группой выходов блока управления 13. Группа информационных выходов блока преобразования Хартли 5 соединена с группой информационных входов четвертого блока памяти 7. Группа адресных входов четвертого блока памяти 7 объединена с группами адресных входов третьего 6, пятого 9 и шестого 11 блоков памяти и второй группой выходов блока управления 13. Группа информационных выходов четвертого блока памяти 7 соединена со второй группой входов умножителя 8. Первая группа входов умножителя 8 соединена с группой информационных выходов третьего блока памяти 6. Группа выходов умножителя 8 соединена с группой информационных входов пятого блока памяти 9. Группа информационных выходов пятого блока памяти 9 соединена с группой информационных входов блока преобразования Хартли и определения спектральной плотности мощности 10. Группа информационных выходов блока преобразования Хартли и определения спектральной плотности мощности 10 поразрядно соединена с группой информационных входов шестого блока памяти 11. Группа информационных выходов шестого блока памяти 11 соединена с группой информационных входов блока определения частоты 12. Группа выходов блока определения частоты 12 является выходной шиной устройства оценивания несущей частоты. Тактовая шина 14 устройства оценивания несущей частоты соединена с тактовым входом аналого-цифрового преобразователя 1.
Заявленный первый вариант устройства оценивания несущей частоты (фиг. 10), реализующий первый вариант способа оценивания несущей частоты сигнала (фиг. 1), работает следующим образом.
Аналоговый сигнал z(t) (фиг. 1а) поступает на информационный вход аналого-цифрового преобразователя 1, в котором под воздействием импульсов, поступающих по тактовой шине 14, преобразуется в дискретную форму (см. фиг. 1б).
Далее полученные дискретные отсчеты сигнала z(tk) записываются в первый блок памяти 2. Это происходит следующим образом. Как только аналого-цифровой преобразователь 1 сформирует очередной дискретный отсчет сигнала, на четвертый вход блока управления 13 от него поступает сигнал готовности. По этому сигналу блок управления 13 на третьем управляющем и втором адресном выходах формирует сигналы для записи очередного отсчета в первый блок памяти 2. После этого на первом разрешающем выходе блока управления 13 формируется сигнал, разрешающий аналого-цифровому преобразователю 1 получить следующий дискретный отсчет.
После записи всех N дискретных отсчетов под воздействием управляющих сигналов, формируемых блоком управления 13, блоком преобразования Фурье и определения спектральной плотности 3 находятся спектральные компоненты плотности мощности сигнала (см. фиг. 1в). Последние под воздействием сигналов, формируемых блоком управления 13, записываются во второй блок памяти 4. Далее указанные спектральные компоненты плотности мощности сигнала преобразуются в блоке преобразования Фурье 5 (см. фиг. 1г, д), с выхода которого под воздействием сигналов, формируемых блоком управления 13, полученные величины записываются в четвертый блок памяти 7.
После этого блоком управления 13 формируются команды на поочередное считывание значений, записанных в четвертом блоке памяти 7, и соответствующих им значений 1/ump (см. фиг. 1е), хранящихся в третьем блоке памяти 6. Указанные величины поступают одновременно на соответствующие входы умножителя 8, на выходе которого формируются произведения (m)/ump и v(m)/ump (см. фиг. 1ж, з), которые поочередно под воздействием сигналов, формируемых блоком управления 13, записываются в пятый блок памяти 9.
После записи всех указанных произведений в блоке обратного преобразования Фурье и определения спектральной плотности мощности 10 производится преобразование величин, считываемых из пятого блока памяти 9, в последовательность дискретных отсчетов g(n) в соответствии с выражением (11) (см. фиг. 1и) и определение компонент спектральной плотности мощности (см. фиг. 1к), которые под воздействием сигналов, формируемых блоком управления 13, записываются в шестой блок памяти 11. А затем в блоке определения частоты 12 производится определение номера r компоненты спектральной плотности мощности с максимальной амплитудой и вычисление значения несущей частоты в соответствии с выражением fнес = r fзад (см. фиг. 1л).
Второй вариант заявленного устройства (фиг. 11), реализующего второй вариант способа оценивания несущей частоты сигнала (фиг. 2), работает следующим образом.
Аналоговый сигнал z(t) (фиг. 2а) поступает на информационный вход аналого-цифрового преобразователя 1, в котором под воздействием импульсов, поступающих по тактовой шине 18, преобразуется в дискретную форму (см. фиг. 2б).
Далее по командам блока управления 17 полученные дискретные отсчеты сигнала z(tk) записываются в первый блок памяти 2. После записи всех N дискретных отсчетов под воздействием управляющих сигналов, формируемых блоком управления 17, блоком преобразования Фурье и определения спектральной плотности 3 находятся спектральные компоненты плотности мощности сигнала (см. фиг. 2в). Последние под воздействием сигналов, формируемых блоком управления 17, записываются во второй блок памяти 4. Далее указанные спектральные компоненты плотности мощности сигнала преобразуются в блоке преобразования Хартли 5 (см. фиг. 2г), с выхода которого под воздействием сигналов, формируемых блоком управления 17, полученные величины записываются в четвертый блок памяти 7.
После этого блоком управления 17 формируются команды на поочередное считывание значений, записанных в четвертом блоке памяти 7, и соответствующих им значений элементов матрицы преобразования из базиса Хартли в базис Фурье, хранящихся в третьем блоке памяти 6. Указанные величины поступают одновременно на соответствующие входы первого умножителя 8, на выходе которого формируется значение вида (m)+j v(m) (фиг. 2д, е). Последнее подается на вторую группу входов второго умножителя 10. Одновременно с этим на первую группу его входов по команде блока управления 17 поступает значение 1/ump (см. фиг. 2ж), считываемое из пятого блока памяти 9. В результате на выходе второго умножителя 10 формируются произведения (m)/ump и v(m)/ump (см. фиг. 2з, и), которые поочередно подаются на вторую группу входов третьего умножителя 12, на первую группу входов которого под воздействием сигналов, формируемых блоком управления 17, поступают соответствующие им значения элементов матрицы преобразования из базиса Фурье в базис Хартли, хранящиеся в шестом блоке памяти 11. В результате на выходе третьего умножителя 12 формируются отсчеты X'(y) (фиг. 2к), которые по командам блока управления 17 переписываются в седьмой блок памяти 13.
Указанные действия повторяются для всего множества значений, записанных после преобразования Хартли в четвертый блок памяти 7. Далее в блоке преобразования Хартли и определения спектральной плотности мощности 14 производится преобразование величин, считываемых из седьмого блока памяти 13, в последовательность дискретных отсчетов g(n) (см. фиг. 2л) и определение компонент спектральной плотности мощности (см. фиг. 2м), которые под воздействием сигналов, формируемых блоком управления 17, записываются в восьмой блок памяти 15. А затем в блоке определения частоты 16 производится вычисление номера r компоненты спектральной плотности мощности с максимальной амплитудой и вычисление значения несущей частоты в соответствии с выражением fнес = r fзад (см. фиг. 2н).
Работа третьего варианта устройства оценивания несущей частоты (фиг. 12), реализующего третий вариант способа оценивания несущей частоты сигнала (фиг. 3), отличается от работы первого варианта устройства следующим.
Аналоговый сигнал z(t) (фиг. 3а) поступает на информационный вход аналого-цифрового преобразователя 1, в котором под воздействием импульсов, поступающих по тактовой шине 17, преобразуется в дискретную форму (см. фиг. 3б).
Далее по командам блока управления 16 полученные дискретные отсчеты сигнала z(tk) записываются в первый блок памяти 2. После записи всех N дискретных отсчетов под воздействием управляющих сигналов, формируемых блоком управления 16, производится преобразование Хартли данных отсчетов в блоке 3 (см. фиг. 3в). Полученные величины под воздействием сигналов, формируемых блоком управления 16, записываются во второй блок памяти 2.
После этого блоком управления 16 формируются команды на поочередное считывание значений, записанных во второй блок памяти 4, и соответствующих им значений элементов матрицы преобразования из базиса Хартли в базис Фурье, хранящихся в третьем блоке памяти 5. Указанные величины поступают одновременно на соответствующие входы первого умножителя 6, на выходе которого формируется значение вида B(n) + j C(n) (фиг. 3г, д). Последнее по команде блока управления 16 переписывается в четвертый блок памяти 7.
Указанные действия повторяются для всего множества значений, считываемых из второго блока памяти 4.
Далее в блоке определения спектральной плотности мощности и преобразования Фурье 8 производится вычисление компонент спектральной плотности мощности (фиг. 3е), над которыми затем выполняется преобразование Фурье (фиг. 3ж, з). Полученные величины по командам блока управления 16 записываются в шестой блок памяти 10. Далее алгоритм работы устройства аналогичен алгоритму работы первого варианта устройства оценивания несущей частоты.
Работа четвертого варианта заявленного устройства (фиг. 13), реализующего четвертый вариант способа оценивания несущей частоты сигнала (фиг. 4), отличается от работы второго варианта устройства следующим.
Аналоговый сигнал z(t) (фиг. 4а) поступает на информационный вход аналого-цифрового преобразователя 1, в котором под воздействием импульсов, поступающих по тактовой шине 21, преобразуется в дискретную форму (см. фиг. 4б).
Далее по командам блока управления 20 полученные дискретные отсчеты сигнала z(tk) записываются в первый блок памяти 2. После записи всех N дискретных отсчетов под воздействием управляющих сигналов, формируемых блоком управления 20, производится преобразованиеХартли данных отсчетов в блоке 3 (см. фиг. 4в). Полученные величины под воздействием сигналов, формируемых блоком управления 20, записываются во второй блок памяти 4. После этого блоком управления 20 формируются команды на поочередное считывание значений, записанных во второй блок памяти 4, и соответствующих им значений элементов матрицы преобразования из базиса Хартли в базис Фурье, хранящихся в третьем блоке памяти 5. Указанные величины поступают одновременно на соответствующие входы первого умножителя 6, на выходе которого формируется значение вида B(n) + j C(n) (фиг. 4г, д). Последнее по команде блока управления 20 переписывается в четвертый блок памяти 7.
Указанные действия повторяются для всего множества значений, считываемых из второго блока памяти 4.
Далее в блоке определения спектральной плотности мощности и преобразования Фурье 8 производится вычисление компонент спектральной плотности мощности (фиг. 4е), над которыми затем выполняется преобразование Фурье (фиг. 4ж, з). Полученные величины по командам блока управления 20 записываются в шестой блок памяти 10. Далее алгоритм работы устройства аналогичен алгоритму работы второго варианта устройства оценивания несущей частоты.
Заявленный пятый вариант устройства оценивания несущей частоты (фиг. 14), реализующий пятый вариант способа оценивания несущей частоты сигнала (фиг. 5), работает следующим образом.
Аналоговый сигнал z(t) (фиг. 5а) поступает на информационный вход аналого-цифрового преобразователя 1, в котором под воздействием импульсов, поступающих по тактовой шине 14, преобразуется в дискретную форму (см. фиг. 5б).
Полученные дискретные отсчеты сигнала z(tk) по командам блока управления 13 записываются в первый блок памяти 2. После записи всех N дискретных отсчетов под воздействием управляющих сигналов, формируемых блоком управления 13, блоком преобразования Фурье и определения спектральной плотности мощности 3 находятся спектральные компоненты плотности мощности сигнала (см. фиг. 5в). Среди них определяется компонента с максимальной амплитудой мощности, которой присваивается номер n. Полученные компоненты спектральной плотности мощности под воздействием сигналов, формируемых блоком управления 13, записываются во второй блок памяти 4, а номер n компоненты с максимальной амплитудой спектральной плотности мощности, кроме того, записывается в соответствующую ячейку шестого блока памяти 11. Далее компоненты спектральной плотности мощности преобразуются в блоке преобразования Фурье 5 (см. фиг. 5д, е), с выхода которого под воздействием сигналов, формируемых блоком управления 13, полученные величины записываются в четвертый блок памяти 7.
После этого блоком управления 13 формируются команды на поочередное считывание значений, записанных в четвертом блоке памяти 7, и соответствующих им значений 1/ump (см. фиг. 5ж), хранящихся в третьем блоке памяти 6. Указанные величины поступают одновременно на соответствующие входы умножителя 8, на выходе которого формируются произведения (m)/ump и v(m)/ump (см. фиг. 5з, и), которые поочередно под воздействием сигналов, формируемых блоком управления 13, записываются в пятый блок памяти 9.
После записи всех указанных произведений в блоке обратного преобразования Фурье и определения спектральной плотности мощности 10 производится преобразование величин, считываемых из пятого блока памяти 9, в последовательность дискретных отсчетов g(n) (см. фиг. 5к) и определение компонент спектральной плотности мощности на интервале от n-1 до n+1 (см. фиг. 5л). Последние под воздействием сигналов, формируемых блоком управления 13, записываются в шестой блок памяти 11. Затем в блоке определения частоты 12 производится определение номера r компоненты спектральной плотности мощности с максимальной амплитудой и вычисление значения несущей частоты в соответствии с выражением fнес = (n-1) f + r fзад (см. фиг. 5м).
Шестой вариант заявленного устройства (фиг. 15), реализующий шестой вариант способа оценивания несущей частоты сигнала (фиг. 6), работает следующим образом.
Аналоговый сигнал z(t) (фиг. 6а) поступает на информационный вход аналого-цифрового преобразователя 1, в котором под воздействием импульсов, поступающих по тактовой шине 14, преобразуется в дискретную форму (см. фиг. 6б). По командам блока управления 13 полученные дискретные отсчеты сигнала z(tk) записываются в первый блок памяти 2.
После записи всех N дискретных отсчетов под воздействием управляющих сигналов, формируемых блоком управления 13, блоком преобразования Фурье и определения спектральной плотности 3 находятся спектральные компоненты плотности мощности сигнала (см. фиг. 6в). Последние под воздействием сигналов, формируемых блоком управления 13, записываются во второй блок памяти 4. Далее указанные спектральные компоненты плотности мощности сигнала преобразуются в блоке преобразования Хартли 5 (см. фиг. 6г). С выхода последнего под воздействием сигналов, формируемых блоком управления 13, полученные величины записываются в четвертый блок памяти 7.
После этого блоком управления 13 формируются команды на поочередное считывание значений, записанных в четвертом блоке памяти 7, и соответствующих им значений 1/UHmp (см. выражение (18)), хранящихся в третьем блоке памяти 6. Указанные величины поступают одновременно на соответствующие входы умножителя 8, на выходе которого формируются произведения X(S(n))/UHmp (см. фиг. 6д), которые поочередно под воздействием сигналов, формируемых блоком управления 13, записываются в пятый блок памяти 9.
После записи всех указанных произведений в блоке преобразования Хартли и определения спектральной плотности мощности 10 производится преобразование величин, считываемых из пятого блока памяти 9, в последовательность дискретных отсчетов g(n) (см. фиг. 6е) и определение компонент спектральной плотности мощности (см. фиг. 6ж). Последние под воздействием сигналов, формируемых блоком управления 13, записываются в шестой блок памяти 11. Далее в блоке определения частоты 12 производится определение номера r компоненты спектральной плотности мощности с максимальной амплитудой и вычисление значения несущей частоты в соответствии с выражением fнес = r fзад (см. фиг. 6з).
Работа седьмого варианта заявленного устройства (фиг. 16), реализующего седьмой вариант способа оценивания несущей частоты сигнала (фиг. 7), отличается от работы шестого варианта устройства следующим.
Аналоговый сигнал z(t) (фиг. 7а) поступает на информационный вход аналого-цифрового преобразователя 1, в котором под воздействием импульсов, поступающих по тактовой шине 14, преобразуется в дискретную форму (см. фиг. 7б). По командам блока управления 13 полученные дискретные отсчеты сигнала z(tk) записываются в первый блок памяти 2.
После записи всех N дискретных отсчетов под воздействием управляющих сигналов, формируемых блоком управления 13, блоком преобразования Хартли и определения спектральной плотности 3 находятся спектральные компоненты плотности мощности сигнала (см. фиг. 7в, г). Последние под воздействием сигналов, формируемых блоком управления 13, записываются во второй блок памяти 4.
Далее алгоритм работы устройства аналогичен алгоритму работы шестого варианта устройства.
Работа восьмого варианта заявленного устройства (фиг. 17), реализующего восьмой вариант способа оценивания несущей частоты сигнала (фиг. 8), отличается от работы первого варианта устройства следующим.
Аналоговый сигнал z(t) (фиг. 8а) поступает на информационный вход аналого-цифрового преобразователя 1, в котором под воздействием импульсов, поступающих по тактовой шине 14, преобразуется в дискретную форму (см. фиг. 8б). По командам блока управления 13 полученные дискретные отсчеты сигнала z(tk) записываются в первый блок памяти 2.
После записи всех N дискретных отсчетов под воздействием управляющих сигналов, формируемых блоком управления 13, блоком преобразования Хартли и определения спектральной плотности 3 находятся спектральные компоненты плотности мощности сигнала (см. фиг. 8в, г). Последние под воздействием сигналов, формируемых блоком управления 13, записываются во второй блок памяти 4.
Далее алгоритм работы устройства аналогичен алгоритму работы первого варианта устройства.
Заявленный девятый вариант устройства оценивания несущей частоты (фиг. 18), реализующий девятый вариант способа оценивания несущей частоты сигнала (фиг. 9), работает следующим образом.
Аналоговый сигнал z(t) (фиг. 9а) поступает на информационный вход аналого-цифрового преобразователя 1, в котором под воздействием импульсов, поступающих по тактовой шине 14, преобразуется в дискретную форму (см. фиг. 9б).
Полученные дискретные отсчеты сигнала z(tk) по командам блока управления 13 записываются в первый блок памяти 2. После записи всех N дискретных отсчетов под воздействием управляющих сигналов, формируемых блоком управления 13, блоком преобразования Фурье и определения спектральной плотности 3 находятся спектральные компоненты плотности мощности сигнала (см. фиг. 9в). Среди них определяется компонента с максимальной амплитудой мощности, которой присваивается номер n. Значения полученных компонент спектральной плотности мощности под воздействием сигналов, формируемых блоком управления 13, записываются во второй блок памяти 4, а номер n компоненты с максимальной амплитудой спектральной плотности мощности, кроме того, записывается в соответствующую ячейку шестого блока памяти 11.
Далее значения компонент спектральной плотности мощности преобразуются в блоке преобразования Хартли 5 (см. фиг. 9д), с выхода которого под воздействием сигналов, формируемых блоком управления 13, полученные величины записываются в четвертый блок памяти 7. После этого блоком управления 13 формируются команды на поочередное считывание значений, записанных в четвертом блоке памяти 7, и соответствующих им значений 1/UHmp, хранящихся в третьем блоке памяти 6. Указанные величины поступают одновременно на соответствующие входы умножителя 8, на выходе которого формируются произведения X(S(n))/UHmp (см. фиг. 9е), которые под воздействием сигналов, формируемых блоком управления 13, записываются в пятый блок памяти 9.
После записи всех указанных произведений в блоке преобразования Хартли и определения спектральной плотности мощности 10 производится преобразование величин, считываемых из пятого блока памяти 9, в последовательность дискретных отсчетов g(n) (см. фиг. 9ж) и определение компонент спектральной плотности мощности на интервале от n-1 до n+1 (см. фиг. 9з), которые под воздействием сигналов, формируемых блоком управления 13, записываются в шестой блок памяти 11. Далее в блоке определения частоты 12 производится определение номера r компоненты с максимальной амплитудой и вычисление значения несущей частоты в соответствии с выражением fнес = (n-1) f + r fзад (см. фиг. 9и).
Принцип работы входящих в структурную схему заявляемых устройств умножителей известен и описан в книге: М.А. Карцев, В.А. Брик. Вычислительные системы и синхронная арифметика. – М.: Радио и связь, 1981, – с. 163-221. Могут быть реализованы на микросхемах SN54284 и SN54285 (с. 305, рис. 6.3.12) или на микросхеме ADSP1016 (С. Кун. Матричные процессоры на СБИС: Пер. с англ. – М.: Мир, 1991, – с. 502, табл. 7.4).
Принцип действия аналого-цифровых преобразователей известен и описан в книге: В. Н. Вениаминов, О.Н. Лебедев, А.И. Мирошниченко. Микросхемы и их применение. Справочное пособие – 3-е изд. перераб. и дополн. М.: Радио и связь. – 1989, – с. 180-184. Они могут быть реализованы на микросхеме К1108ПВ2 (И. В. Новаченко, В.А. Телец. Микросхемы для бытовой аппаратуры. Дополнение 2-е. Справочник. – М.: Радио и связь. 1992, – с. 171).
Совокупность блоков 9…13 (фиг. 10) может быть реализована на цифровом процессоре обработки сигналов TMS32010 с дополнительными элементами, как показано на фиг. 19, (входы и выходы устройства соответствуют входам и выходам группы блоков, обведенных пунктиром и обозначенных буквой Б). При этом блок управления 13 (фиг. 10) реализован на цифровом процессоре обработки сигналов Б1 и элементах Б2…Б8. Блоки памяти 9 и 11 (фиг. 10) реализованы на цифровом процессоре обработки сигналов (144 16-разрядных слова памяти) и блоке Б9. Блок определения частоты 12 (фиг. 10) известен и может быть реализован на цифровом процессоре обработки сигналов Б1. Принцип действия TMS32010 подробно рассмотрен в книге Цифровой процессов обработки сигналов TMS32010 и его применение. /Под ред. А.А. Ланнэ. Л.: ВАС, 1990, – с. 51-102. Сам процессор изображен в той же книге на рис. 3.1, – с. 75.
Счетчик Б3 (фиг. 19) – реверсивный, 16-разрядный. Принцип работы известен и описан в книге: В.Л. Шило. Популярные цифровые микросхемы. Справочник. – М.: Радио и связь, 1988, – с. 85-93, рис. 1.67, с. 91. Может быть реализован на микросхеме К155ИЕ7. Порядок соединения четырех счетчиков описан там же на с. 92-94. Он может быть реализован на микросхеме К155ИЕ8 (с. 94, рис. 1.69).
Принцип действия блока памяти Б9 (фиг. 19) известен и описан в книге: В. Н. Вениаминов, О.Н. Лебедев, А.И. Мирошниченко. Микросхемы и их применение. Справочное пособие – 3-е изд. перераб. и дополн. М.: Радио и связь, 1989, – с. 145-148. Может быть реализован на микросхеме IDT7186-70 (Цифровой процессор обработки сигналов TMS32010 и его применение. /Под ред. А.А. Ланнэ. – Л.: ВАС, 1990, – с. 50).
Аналогично реализуется совокупность блоков 13…17 (фиг. 11), 12…16 (фиг. 12), 16. . .20 (фиг. 13), 9…13 (фиг. 14), 9…13 (фиг. 15), 9…13 (фиг. 16), 9…13 (фиг. 17), 9…13 (фиг. 18).
Принцип работы блока быстрого преобразования Фурье 5 (фиг. 10), 5 (фиг. 14), 5 (фиг. 17) известен и описан в книге Л. Рабинер, Б. Голд. Теория и применение цифровой обработки сигналов. Пер. с англ. – М.: Мир, 1978, с. 394-429. Пример реализации быстрого преобразования Фурье на цифровом процессоре обработки сигналов TMS32010 приведен в книге: Цифровой процессор обработки сигналов TMS32010 и его применение. /Под ред. А.А. Ланнэ. – Л.: ВАС, 1990, – с. 259. На с. 260 данной книги приведен расчет необходимого для этого объема памяти. На этой же основе реализуются блок преобразования Фурье и определения спектральной плотности мощности 3 (фиг. 10), 3 (фиг. 11), 3 (фиг. 14), 3 (фиг. 15), 3 (фиг. 18), а также блок определения спектральной плотности мощности и преобразования Фурье 8 (фиг. 12).
Принцип обратного преобразования Фурье известен и описан в книге Л. Рабинер, Б. Голд. Теория и применение цифровой обработки сигналов. Пер. с англ. – М. : Мир, 1978, с. 394-420, 633-658. Реализация обратного преобразования Фурье на цифровом процессоре обработки сигналов TMS32010 приведена в книге: Цифровой процессор обработки сигналов TMS32010 и его применение. /Под ред. А. А. Ланнэ. – Л.: ВАС, 1990, – с. 259. На с. 260 последней книги приведен расчет необходимого для этого объема памяти. На этой основе может быть реализован блок обратного преобразования Фурье и определения спектральной плотности мощности 10 (фиг. 10), 13 (фиг. 12), 10 (фиг. 14), 10 (фиг. 17).
Принцип преобразования Хартли описан в книге Брейсуэл Р. Преобразование Хартли: Пер. с англ. – М.: Мир, 1990. Блок преобразования Хартли 5 (фиг. 11), 3 (фиг. 12), 3 (фиг. 13), 5 (фиг. 15), 5 (фиг. 16), 5 (фиг. 18) может быть реализован аналогично блоку преобразования Фурье (см. Цифровой процессор обработки сигналов TMS32010 и его применение. /Под ред. А.А. Ланнэ. – Л. : ВАС, 1990, – с. 259) за исключением: рабочая программа для процессора строится как показано на с. 131-162 в книге Брейсуэл Р. Преобразование Хартли: Пер. с англ. – М.: Мир, 1990. На этой же основе реализуются блок преобразования Хартли и определения спектральной плотности мощности 14 (фиг. 11), 17 (фиг. 13), 10 (фиг. 15), 3 и 10 (фиг. 16), 3 (фиг. 17), 10 (фиг. 18), а также блок определения спектральной плотности мощности и преобразования Хартли 8 (фиг. 13).
Блоки памяти 6 (фиг. 10), 6 (фиг. 14), 6 (фиг. 15), 6 (фиг. 16), 6 (фиг. 17), 6 (фиг. 18) можно реализовать на микросхеме К155ПР6, как указано в книге В.Л. Шило. Популярные цифровые микросхемы. Справочник. – М.: Радио и связь, 1988, с. 171-174.
Блоки памяти 4 и 7 (фиг. 10), 2, 4, 6, 7, 9, 11 (фиг. 11), 2, 4, 5, 7, 9, 10 (фиг. 12), 2, 4, 5, 7, 9, 10, 12, 14 (фиг. 13), 2, 4, 7 (фиг. 14), 2, 4, 7 (фиг. 15), 2, 4, 7 (фиг. 16), 2, 4, 7 (фиг. 17), 2, 4, 7 (фиг. 18) можно реализовать на микросхеме IDT7186-70.
Формула изобретения
f, выделении спектральной компоненты с максимальной амплитудой мощности сигнала и соответствующего ей номера и вычислении значения несущей частоты, отличающийся тем, что после вычисления компонент спектральной плотности мощности сигнала S(n) в дискретных точках с частотным расстоянием F спектральную плотность мощности сигнала преобразуют методом преобразования Фурье, затем элементы преобразованной спектральной плотности мощности сигнала делят на соответствующие элементы последовательности дискретных отсчетов, полученных преобразованием Фурье периодического В-сплайна заданной степени р-1, p = 2, 3, 4, …, а полученную после деления последовательность дискретных отсчетов преобразуют методом обратного преобразования Фурье в последовательность дискретных отсчетов g(n) и вычисляют после этого компоненты спектральной плотности мощности (r, n) сигнала в пределах полосы частоты поиска с заданной разрешающей способностью fзад по формуле![]() где r [ f n; f (n+1)];r = (n+ )![]() f; = ( fзад/ f) d 1,при M < 0, g(M) = 0; d = 0, 1, 2,…, f/ fзад – целое неотрицательное число;![]() число сочетаний из р по j;![]() причем значение несущей частоты fнес сигнала вычисляют по формуле fнес = r ![]() fзад, где r = 0, 1, 2, … – номер спектральной компоненты с максимальной амплитудой мощности сигнала.
2. Способ оценивания несущей частоты сигнала, заключающийся в его предварительной дискретизации в пределах полосы частот поиска, вычислении компонент его спектральной плотности мощности S(n), n = 0, 1, 2, …, в дискретных точках методом преобразования Фурье с частотным расстоянием f, выделении спектральной компоненты с максимальной амплитудой мощности сигнала и соответствующего ей номера и вычислении значения несущей частоты, отличающийся тем, что после вычисления компонент спектральной плотности мощности S(n) сигнала в дискретных точках с частотным расстоянием f спектральную плотность мощности сигнала преобразуют методом преобразования Хартли, затем полученную методом преобразования Хартли последовательность дискретных отсчетов умножают на матрицу преобразования из базиса Хартли в базис Фурье, после чего результат умножения поэлементно делят на последовательность дискретных отсчетов, полученную преобразованием Фурье от периодического В-сплайна заданной степени р-1, р = 2, 3, 4, …, затем вычисляют спектральные коэффициенты в базисе Хартли путем умножения полученной от деления последовательности дискретных отсчетов на матрицу преобразования из базиса Фурье в базис Хартли, после чего полученные спектральные коэффициенты в базисе Хартли преобразуют методом преобразования Хартли в последовательность дискретных отсчетов g(n), а затем вычисляют компоненты спектральной плотности мощности (r, n) сигнала в пределах полосы частот поиска с заданной разрешающей способностью fзад по формуле![]() где r [ f n; f (n+1)];r = (n+ )![]() f; = ( fзад/ f) d 1,при M < 0, g(M) = 0; d = 0, 1, 2,…, f/ fзад – целое неотрицательное число;![]() число сочетаний из р по j;![]() причем значение несущей частоты fнес сигнала вычисляют по формуле fнес = r ![]() fзад, где r = 0, 1, 2, … – номер спектральной компоненты с максимальной амплитудой мощности сигнала.
3. Способ оценивания несущей частоты сигнала, заключающийся в его предварительной дискретизации в пределах полосы частот поиска, вычислении компонент его спектральной плотности мощности S(n), n = 0, 1, 2, …, в дискретных точках с частотным расстоянием f, выделении спектральной компоненты с максимальной амплитудой мощности сигнала и соответствующего ей номера и вычислении значения несущей частоты, отличающийся тем, что после дискретизации сигнала его преобразуют методом преобразования Хартли, затем полученную последовательность умножают на матрицу преобразования из базиса Хартли в базис Фурье, после чего вычисляют компоненты спектральной плотности мощности S(n) сигнала в дискретных точках с частотным расстоянием f, затем компоненты спектральной плотности мощности сигнала преобразуют методом преобразования Фурье, результат этого преобразования делят поэлементно на последовательность дискретных отсчетов, полученную преобразованием Фурье от периодического В-сплайна заданной степени р-1, р = 2, 3, 4, …, последовательность дискретных отсчетов после деления преобразуют методом обратного преобразования Фурье в последовательность дискретных отсчетов g(n) и вычисляют компоненты спектральной плотности мощности (r, n) сигнала в пределах полосы частот поиска с заданной разрешающей способностью fзад по формуле![]() где r [ f n; f (n+1)];r = (n+ )![]() f; = ( fзад/ f) d 1;при M < 0, g(M) = 0; d = 0, 1, 2, …, f/ fзад – целое неотрицательное число;![]() число сочетаний из p по j;![]() причем значение несущей частоты fнес сигнала вычисляют по формуле fнес = r ![]() fзад, где r = 0, 1, 2, … – номер спектральной компоненты с максимальной амплитудой мощности сигнала.
4. Способ оценивания несущей частоты сигнала, заключающийся в его предварительной дискретизации в пределах полосы частот поиска, вычислении компонент его спектральной плотности мощности S(n), n = 0, 1, 2, …, в дискретных точках с частотным расстоянием f, выделении спектральной компоненты с максимальной амплитудой мощности сигнала и соответствующего ей номера и вычислении значения несущей частоты, отличающийся тем, что после дискретизации сигнала его преобразуют методом преобразования Хартли, затем полученную последовательность умножают на матрицу преобразования из базиса Хартли в базис Фурье, после чего вычисляют компоненты спектральной плотности мощности S(n) сигнала в дискретных точках с частотным расстоянием f, затем компоненты спектральной плотности мощности сигнала преобразуют методом преобразования Хартли, результат этого преобразования Хартли умножают на матрицу преобразования из базиса Хартли в базис Фурье, затем результат этого умножения поэлементно делят на последовательность дискретных отсчетов, полученную преобразованием Фурье периодического В-сплайна заданной степени р-1, р = 2, 3, 4 …, затем вычисляют спектральные коэффициенты в базисе Хартли путем умножения полученной от деления последовательности дискретных отсчетов на матрицу преобразования из базиса Фурье в базис Хартли, после чего полученные спектральные коэффициенты в базисе Хартли преобразуют методом Хартли в последовательность дискретных отсчетов g(n), а затем вычисляют компоненты спектральной плотности мощности (r, n) сигнала в пределах полосы частот поиска с заданной разрешающей способностью fзад по формуле![]() где r [ f n; f (n+1)];r = (n+ )![]() f; = ( fзад/ f) d 1;при M < 0, g(M) = 0; d = 0, 1, 2,…, f/ fзад – целое неотрицательное число;![]() число сочетаний из p по j;![]() причем значение несущей частоты fнес сигнала вычисляют по формуле fнес = r ![]() fзад, где r = 0, 1, 2,… – номер спектральной компоненты с максимальной амплитудой мощности сигнала.
5. Способ оценивания несущей частоты сигнала, заключающийся в его предварительной дискретизации в пределах полосы частот поиска, вычислении N компонент его спектральной плотности мощности S(n) в дискретных точках методом преобразования Фурье, где количество компонент спектральной плотности мощности N = 2L, a L = 1, 2, 3, …, выделении частотной области F функции спектральной плотности мощности с максимальной концентрацией мощности сигнала, выделении спектральной компоненты с максимальной амплитудой мощности сигнала на частоте fn = n![]() f, где n = 0, 1, 2, … – номер спектральной компоненты с максимальной амплитудой мощности сигнала, f – частотное расстояние между спектральными компонентами и вычислении значения несущей частоты, отличающийся тем, что после вычисления компонент спектральной плотности мощности S(n) сигнала в дискретных точках спектральную плотность мощности сигнала преобразуют методом преобразования Фурье, затем преобразованную спектральную плотность мощности сигнала поэлементно делят на последовательность дискретных отсчетов, полученную преобразованием Фурье от периодического В-сплайна заданной степени р-1, р = 2, 3, 4, …, полученную после деления последовательность дискретных отсчетов преобразуют методом обратного преобразования Фурье в последовательность дискретных отсчетов g(n), затем вычисляют компоненты спектральной плотности мощности (r, n) сигнала в пределах полосы частот поиска с заданной разрешающей способностью fзад в промежутке от n-1 до n+1 по формуле![]() где r [ f n; f (n+1)];r = (n+ )![]() f; = ( fзад/ f) d 1;при M < 0, g(M) = 0; d = 0, 1, 2, …, f/ fзад – целое неотрицательное число;![]() – число сочетаний из p по j;![]() выделяют номер r (r = 0, 1, 2, …) спектральной компоненты с максимальной амплитудой мощности сигнала, причем значение несущей частоты fнес сигнала вычисляют по формуле fнес= (n-1) ![]() f+r![]() fзад, при этом положение спектральной компоненты с номером r = 0 соответствует положению спектральной компоненты с номером n-1, где 0 f мeтoдoм преобразования Фурье, выделении спектральной компоненты с максимальной амплитудой мощности сигнала и соответствующего ей номера и вычислении значения несущей частоты, отличающийся тем, что после вычисления компонент спектральной плотности мощности S(n) сигнала в дискретных точкахс частотным расстоянием f спектральную плотность мощности сигнала преобразуют методом преобразования Хартли, затем полученную методом преобразования Хартли последовательность дискретных отсчетов поэлементно делят на последовательность дискретных отсчетов, полученную преобразованием Хартли от периодического В-сплайна заданной степени р-1, р = 2, 3, 4, …, полученную после деления последовательность преобразуют методом преобразования Хартли в последовательность дискретных отсчетов g(n), затем вычисляют компоненты спектральной плотности мощности (r, n) сигнала в пределах полосы частот поиска с заданной разрешающей способностью fзад по формуле![]() где r [ f n; f (n+1)];r = (n+ )![]() f; = ( fзад/ f) d 1,при M < 0, g(M) = 0; d = 0, 1, 2, …, f/ fзад – целое неотрицательное число;![]() число сочетаний из p по j;![]() причем значение несущей частоты fнес сигнала вычисляют по формуле fнес = r ![]() fзад, где r = 0, 1, 2, … – номер спектральной компоненты с максимальной амплитудой мощности сигнала.
7. Способ оценивания несущей частоты сигнала, заключающийся в его предварительной дискретизации в пределах полосы частот поиска, вычислении компонент его спектральной плотности мощности S(n), n = 0, 1, 2, …, в дискретных точках с частотным расстоянием f, выделении спектральной компоненты с максимальной амплитудой мощности сигнала и соответствующего ей номера и вычислении значения несущей частоты, отличающийся тем, что после дискретизации сигнала его преобразуют методом преобразования Хартли, затем вычисляют компоненты спектральной плотности мощности сигнала из базиса Хартли, полученную спектральную плотность мощности S(n) сигнала преобразуют методом преобразования Хартли, затем результат этого преобразования поэлементно делят на последовательность дискретных отсчетов, полученную преобразованием Хартли от периодического В-сплайна заданной степени р-1, р = 2, 3, 4, …, последовательность дискретных отсчетов после деления преобразуют методом преобразования Хартли в последовательность дискретных отсчетов g(n), затем вычисляют компоненты спектральной плотности мощности (r, n) сигнала в пределах полосы частот поиска с заданной разрешающей способностью fзад по формуле![]() где r [ f n; f (n+1)];r = (n+ )![]() f; = ( fзад/ f) d 1,при M < 0, g(M) = 0; d = 0, 1, 2, …, f/ fзад – целое неотрицательное число;![]() число сочетаний из p по j;![]() причем значение несущей частоты fнес сигнала вычисляют по формуле fнес = r ![]() fзад, где r = 0, 1, 2, … – номер спектральной компоненты с максимальной амплитудой мощности сигнала.
8. Способ оценивания несущей частоты сигнала, заключающийся в его предварительной дискретизации в пределах полосы частот поиска, вычислении компонент его спектральной плотности мощности S(n), n = 0, 1, 2, …, в дискретных точках с частотным расстоянием f, выделении спектральной компоненты с максимальной амплитудой мощности сигнала и соответствующего ей номера и вычислении значения несущей частоты, отличающийся тем, что после дискретизации сигнала его преобразуют методом преобразования Хартли, затем вычисляют компоненты спектральной плотности мощности сигнала S(n) из базиса Хартли, после чего спектральную плотность мощности сигнала преобразуют методом преобразования Фурье, затем элементы преобразованной спектральной плотности мощности сигнала делят на соответствующие элементы последовательности дискретных отсчетов, полученных преобразованием Фурье периодического В-сплайна заданной степени р-1, р = 2, 3, 4, …, а полученную после деления последовательность дискретных отсчетов после деления преобразуют методом обратного преобразования Фурье в последовательность дискретных отсчетов g(n) и вычисляют после этого компоненты спектральной плотности мощности (r, n) сигнала в пределах полосы частот поиска с заданной разрешающей способностью fзад по формуле![]() где r [ f n; f (n+1)];r = (n+ )![]() f; = ( fзад/ f) d 1;при M < 0, g(M) = 0; d = 0, 1, 2, …, f/ fзад – целое неотрицательное число;![]() число сочетаний из p по j;![]() причем значение несущей частоты fнес сигнала вычисляют по формуле fнес = r ![]() fзад, где r = 0, 1, 2, … – номер спектральной компоненты с максимальной амплитудой мощности сигнала.
9. Способ оценивания несущей частоты сигнала, заключающийся в его предварительной дискретизации в пределах полосы частот поиска, вычислении N компонент его спектральной плотности мощности S(n) в дискретных точках методом преобразования Фурье, где количество компонент спектральной плотности мощности N= 2L, a L = 1, 2, 3, …, выделении частотной области F функции спектральной плотности мощности с максимальной концентрацией мощности сигнала, выделении спектральной компоненты с максимальной амплитудой мощности сигнала на частоте fn=n![]() f, где n = 0, 1, 2, … – номер спектральной компоненты с максимальной амплитудой мощности сигнала, f – частотное расстояние между спектральными компонентами, и вычислении значения несущей частоты, отличающийся тем, что после вычисления компонент спектральной плотности мощности S(n) сигнала в дискретных точках спектральную плотность мощности преобразуют методом преобразования Хартли, затем полученную методом преобразования Хартли последовательность дискретных отсчетов поэлементно делят на последовательность дискретных отсчетов, полученную преобразованием Хартли периодического В-сплайна заданной степени р-1, р = 2, 3, 4, …, полученную после деления последовательность дискретных отсчетов преобразуют методом преобразования Хартли в последовательность дискретных отсчетов g(n), затем вычисляют компоненты спектральной плотности мощности (r, n) сигнала в пределах полосы частот поиска с заданной разрешающей способностью fзад в промежутке от n-1 до n+1 по формуле![]() где r [ f n; f (n+1)];r = (n+ )![]() f; = ( fзад/ f) d 1;при M < 0, g(M) = 0; d = 0, 1, 2, …, f/ fзад – целое неотрицательное число;![]() число сочетаний из p по j;![]() выделяют номер r(r = 0, 1, 2, …) спектральной компоненты с максимальной амплитудой мощности сигнала, причем значение несущей частоты fнес сигнала вычисляют по формуле fнес= (n-1) ![]() f+r![]() fзад, при этом положение спектральной компоненты с номером r=0 соответствует положению спектральной компоненты с номером n-1, где 0 < n < N.
10. Устройство оценивания несущей частоты, содержащее аналого-цифровой преобразователь, первый и второй блоки памяти, блок преобразования Фурье и определения спектральной плотности мощности, умножитель, блок определения частоты и блок управления, первый выход которого соединен c входом разрешения аналого-цифрового преобразователя, информационный вход которого является информационной шиной устройства оценивания несущей частоты, выход готовности соединен с четвертым входом блока управления, а группа информационных выходов с группой информационных входов первого блока памяти, группа входов управления которого объединена с группами входов управления блока преобразования Фурье и определения спектральной плотности мощности, второго блока памяти, блока определения частоты и третьей группой выходов блока управления, вторая группа выходов которого соединена с группами адресных входов второго и первого блоков памяти, группа информационных выходов которого соединена с группой информационных входов блока преобразования Фурье и определения спектральной плотности мощности, отличающееся тем, что дополнительно введены третий шестой блоки памяти, блок быстрого преобразования Фурье и блок обратного быстрого преобразования Фурье и определения спектральной плотности мощности, причем группа информационных выходов блока преобразования Фурье и определения спектральной плотности мощности соединена с группой информационных входов второго блока памяти, группа информационных выходов которого соединена с группой информационных входов блока быстрого преобразования Фурье, группа информационных выходов которого соединена с группой информационных входов четвертого блока памяти, группа адресных входов которого объединена с группами адресных входов третьего, пятого и шестого блоков памяти, с второй группой выходов блока управления, а группа информационных выходов – с первой группой входов умножителя, вторая группа входов которого соединена с группой информационных выходов третьего блока памяти, а группа выходов – с группой информационных входов пятого блока памяти, группа входов управления которого объединена с группами входов управления четвертого и шестого блоков памяти, блока обратного быстрого преобразования Фурье и определения спектральной плотности мощности, блока быстрого преобразования Фурье и третьей группой выходов блока управления, а группа информационных выходов пятого блока памяти соединена с группой информационных входов блока обратного быстрого преобразования Фурье и определения спектральной плотности мощности, группа информационных выходов которого соединена с группой информационных входов шестого блока памяти, группа информационных выходов которого соединена с группой информационных входов блока определения частоты, группа выходов которого является выходной шиной устройства оценивания несущей частоты, тактовая шина которого соединена с тактовым входом аналого-цифрового преобразователя.
11. Устройство оценивания несущей частоты, содержащее аналого-цифровой преобразователь, первый и второй блоки памяти, блок преобразования Фурье и определения спектральной плотности мощности, первый умножитель, блок определения частоты и блок управления, первый выход которого соединен с входом разрешения аналого-цифрового преобразователя, информационный вход которого является информационной шиной устройства оценивания несущей частоты, выход готовности соединен с четвертым входом блока управления, а группа информационных выходов – с группой информационных входов первого блока памяти, группа входов управления которого объединена с группами входов управления блока преобразования Фурье и определения спектральной плотности мощности, второго блока памяти, блока определения частоты и третьей группой выходов блока управления, вторая группа выходов которого соединена с группами адресных входов второго и первого блоков памяти, группа информационных выходов которого соединена с группой информационных входов блока преобразования Фурье и определения спектральной плотности мощности, отличающееся тем, что дополнительно введены третий – восьмой блоки памяти, второй и третий умножители, блок преобразования Хартли и блок преобразования Хартли и определения спектральной плотности мощности, причем группа информационных выходов блока преобразования Фурье и определения спектральной плотности мощности соединена с группой информационных входов второго блока памяти, группа информационных выходов которого соединена с группой информационных входов блока преобразования Хартли, группа управляющих входов которого объединена с группами управляющих входов третьего – восьмого блоков памяти, блока преобразования Хартли и определения спектральной плотности мощности и третьей группой выходов блока управления, а группа информационных выходов блока преобразования Хартли соединена с группой информационных входов четвертого блока памяти, адресная группа входов которого объединена с группами адресных входов третьего, пятого – восьмого блоков памяти, группа информационных выходов четвертого блока памяти соединена с первой группой входов первого умножителя, вторая группа входов которого соединена с группой информационных выходов третьего блока памяти, а группа выходов – с второй группой входов второго умножителя, первая группа входов которого соединена с группой информационных выходов пятого блока памяти, а группа выходов – с второй группой входов третьего умножителя, первая группа входов которого соединена с группой информационных выходов шестого блока памяти, а группа выходов – с группой информационных входов седьмого блока памяти, группа информационных выходов которого соединена с группой информационных входов блока преобразования Хартли и определения спектральной плотности мощности, группа информационных выходов которого соединена с группой информационных входов восьмого блока памяти, группа информационных выходов которого соединена с группой информационных входов блока определения частоты, группа выходов которого является выходной шиной устройства оценивания несущей частоты, тактовая шина которого соединена с тактовым входом аналого-цифрового преобразователя, блок управления предназначен для формирования команд на поочередное считывание значений, записанных в четвертом блоке памяти.
12. Устройство оценивания несущей частоты, содержащее аналого-цифровой преобразователь, первый и второй блоки памяти, первый умножитель, блок определения частоты и блок управления, причем информационный вход аналого-цифрового преобразователя является информационной шиной устройства оценивания несущей частоты, вход разрешения которого соединен с первым выходом блока управления, четвертый вход которого соединен с выходом готовности аналого-цифрового преобразователя, группа информационных выходов которого соединена с группой информационных входов первого блока памяти, группа входов управления которого объединена с группами входов управления второго блока памяти и блока определения частоты и третьей группой выходов блока управления, а группа адресных входов первого блока памяти объединена с группой адресных входов второго блока памяти и второй группой выходов блока управления, отличающееся тем, что дополнительно введены блок преобразования Хартли, третий – восьмой блоки памяти, блок определения спектральной плотности мощности и преобразования Фурье, второй умножитель и блок обратного преобразования Фурье и определения спектральной плотности мощности, причем группа информационных выходов первого блока памяти соединена с группой информационных входов блока преобразования Хартли, группа входов управления которого объединена с группами входов управления третьего – восьмого блоков памяти, блока обратного преобразования Фурье и определения спектральной плотности мощности и третьей группой выходов блока управления, по командам с которого величины, полученные в блоке определения спектральной плотности мощности и преобразования Фурье, записываются в шестой блок памяти, причем группа информационных выходов первого блока памяти соединена с группой информационных входов блока преобразования Хартли, группа входов управления которого объединена с группами входов управления третьего – восьмого блоков памяти, блока обратного преобразования Фурье и определения спектральной плотности мощности и третьей группой выходов блока управления, а группа информационных выходов блока преобразования Хартли соединена с группой информационных входов второго блока памяти, группа адресных входов которого объединена с группами адресных входов третьего – восьмого блоков памяти, а группа информационных выходов второго блока памяти – с первой группой входов первого умножителя, вторая группа входов которого соединена с группой информационных выходов третьего блока памяти, а группа выходов – с группой информационных входов четвертого блока памяти, группа информационных выходов которого соединена с группой информационных входов блока определения спектральной плотности мощности и преобразования Фурье, группа информационных выходов которого соединена с группой информационных входов шестого блока памяти, группа информационных выходов которого соединена с первой группой входов второго умножителя, вторая группа входов которого соединена с группой информационных выходов пятого блока памяти, а группа выходов – с группой информационных входов седьмого блока памяти, группа информационных выходов которого соединена с группой информационных входов блока обратного преобразования Фурье и определения спектральной плотности мощности, группа информационных выходов которого соединена с группой информационных входов восьмого блока памяти, группа информационных выходов которого соединена с группой информационных входов блока определения частоты, группа выходов которого является выходной шиной устройства оценивания несущей частоты, тактовая шина которого соединена с тактовым входом аналого-цифрового преобразователя.
13. Устройство оценивания несущей частоты, содержащее аналого-цифровой преобразователь, первый и второй блоки памяти, первый умножитель, блок определения частоты и блок управления, причем информационный вход аналого-цифрового преобразователя является информационной шиной устройства оценивания несущей частоты, вход разрешения которого соединен с первым выходом блока управления, четвертый вход которого соединен с выходом готовности аналого-цифрового преобразователя, группа информационных выходов которого соединена с группой информационных входов первого блока памяти, группа входов управления которого объединена с группами входов управления второго блока памяти и блока определения частоты, и третьей группой выходов блока управления, а группа адресных входов первого блока памяти объединена с группой адресных входов второго блока памяти и второй группой выходов блока управления, отличающееся тем, что дополнительно введены третий – десятый блоки памяти, второй – четвертый умножители, блок преобразования Хартли, блок определения спектральной плотности мощности и преобразования Хартли и блок преобразования Хартли и определения спектральной плотности мощности, причем группа информационных выходов первого блока памяти соединена с группой информационных входов блока преобразования Хартли, группа входов управления которого объединена с группами входов управления третьего – десятого блоков памяти, группой входов управления блока определения спектральной плотности мощности и преобразования Хартли, группой входов управления блока преобразования Хартли и определения спектральной плотности мощности и третьей группой выходов блока управления, а группа информационных выходов блока преобразования Хартли – с группой информационных входов второго блока памяти, группа информационных выходов которого соединена с первой группой входов первого умножителя, вторая группа входов которого соединена с группой информационных выходов третьего блока памяти, а группа выходов – с группой информационных входов четвертого блока памяти, группа адресных входов которого объединена с группами адресных входов третьего, пятого – десятого блоков памяти, а группа информационных выходов – с группой информационных входов блока определения спектральной плотности мощности и преобразования Хартли, группа информационных выходов которого соединена с группой информационных входов шестого блока памяти, группа информационных выходов которого соединена с первой группой входов второго умножителя, вторая группа входов которого соединена с группой информационных выходов пятого блока памяти, а группа выходов – с второй группой входов третьего умножителя, первая группа входов которого соединена с группой информационных выходов седьмого блока памяти, а группа выходов – с второй группой входов четвертого умножителя, первая группа входов которого соединена с группой информационных выходов восьмого блока памяти, а группа выходов – с группой информационных входов девятого блока памяти, группа информационных выходов которого соединена с группой информационных входов блока преобразования Хартли и определения спектральной плотности мощности, группа информационных выходов которого соединена с группой информационных входов десятого блока памяти, группа информационных выходов которого соединена с группой информационных входов блока определении частоты, группа информационных выходов которого является выходной шиной устройства оценивания несущей частоты, тактовая шина которого соединена с тактовым входом аналого-цифрового преобразователя.
14. Устройство оценивания несущей частоты, содержащее аналого-цифровой преобразователь, первый и второй блоки памяти, блок преобразования Фурье и определения спектральной плотности мощности, умножитель, блок определения частоты и блок управления, первый выход которого соединен с входом разрешения аналого-цифрового преобразователя, информационный вход которого является информационной шиной устройства оценивания несущей частоты, выход готовности соединен с четвертым входом блока управления, а группа информационных выходов – с группой информационных входов первого блока памяти, группа входов управления которого объединена с группами входов управления блока преобразования Фурье и определения спектральной плотности мощности, второго блока памяти, блока определения частоты и третьей группой выходов блока управления, вторая группа выходов которого соединена с группами адресных входов второго и первого блоков памяти, группа информационных выходов которого соединена с группой информационных входов блока преобразования Фурье и определения спектральной плотности мощности, отличающееся тем, что дополнительно введены третий – шестой блоки памяти, блок быстрого преобразования Фурье и блок обратного быстрого преобразования Фурье и определения спектральной плотности мощности, причем группа информационных выходов блока преобразования Фурье и определения спектральной плотности мощности соединена с группами информационных входов шестого блока памяти и второго блока памяти, группа информационных выходов которого соединена с группой информационных входов блока быстрого преобразования Фурье, группа входов управления которого объединена с группами входов управления четвертого, пятого и шестого блоков памяти, блока обратного быстрого преобразования Фурье и определения спектральной плотности мощности и третьей группой выходов блока управления, а группа информационных выходов – с группой информационных входов четвертого блока памяти, группа адресных входов которого объединена с группами адресных входов третьего, пятого и шестого блоков памяти, а группа информационных выходов соединена с второй группой входов умножителя, первая группа входов которого соединена с группой информационных выходов третьего блока памяти, а группа выходов – с группой информационных входов пятого блока памяти, группа информационных выходов которого соединена с группой информационных входов блока обратного быстрого преобразования Фурье и определения спектральной плотности мощности, группа информационных выходов которого поразрядно соединена с группой информационных входов шестого блока памяти, группа информационных выходов которого соединена с группой информационных входов блока определения частоты, группа выходов которого является выходной шиной устройства оценивания несущей частоты, тактовая шина которого соединена с тактовым входом аналого-цифрового преобразователя.
15. Устройство оценивания несущей частоты, содержащее аналого-цифровой преобразователь, первый и второй блоки памяти, блок преобразования Фурье и определения спектральной плотности мощности, умножитель, блок определения частоты и блок управления, первый выход которого соединен с входом разрешения аналого-цифрового преобразователя, информационный вход которого является информационной шиной устройства оценивания несущей частоты, выход готовности соединен с четвертым входом блока управления, а группа информационных выходов – с группой информационных входов первого блока памяти, группа входов управления которого объединена с группами входов управления блока преобразования Фурье и определения спектральной плотности мощности, блока определения частоты и третьей группой выходов блока управления, вторая группа выходов которого соединена с группами адресных входов второго и первого блоков памяти, группа информационных выходов которого соединена с группой информационных входов блока преобразования Фурье и определения спектральной плотности мощности, отличающееся тем, что дополнительно введены блок преобразования Хартли, третий – шестой блоки памяти и блок преобразования Хартли и определения спектральной плотности мощности, причем группа информационных выходов блока преобразования Фурье и определения спектральной плотности мощности соединена с группой информационных входов второго блока памяти, группа входов управления которого объединена с группами входов управления блока преобразования Хартли, четвертого, пятого и шестого блоков памяти, блока преобразования Хартли и определения спектральной плотности мощности, и третьей группой выходов блока управления, а группа информационных выходов соединена с группой информационных входов блока преобразования Хартли, группа информационных выходов которого соединена с группой информационных входов четвертого блока памяти, группа адресных входов которого объединена с группой адресных входов третьего, пятого и шестого блоков памяти, а группа информационных выходов – с второй группой входов умножителя, первая группа входов которого соединена с группой информационных выходов третьего блока памяти, а группа выходов – с группой информационных входов пятого блока памяти, группа информационных выходов которого соединена с группой информационных входов блока преобразования Хартли и определения спектральной плотности мощности, группа информационных выходов которого соединена с группой информационных входов шестого блока памяти, группа информационных выходов которого соединена с группой информационных входов блока определения частоты, группа выходов которого является выходной шиной устройства оценивания несущей частоты, тактовая шина которого соединена с тактовым входом аналого-цифрового преобразователя, блок управления предназначен для формирования команд на поочередное считывание значений, записанных в третьем, четвертом и пятом блоках памяти, и записи значений в шестой блок памяти.
16. Устройство оценивания несущей частоты, содержащее аналого-цифровой преобразователь, первый и второй блоки памяти, умножитель, блок определения частоты и блок управления, причем информационный вход аналого-цифрового преобразователя является информационной шиной устройства оценивания несущей частоты, вход разрешения которого соединен с первым выходом блока управления, четвертый вход которого соединен с выходом готовности аналого-цифрового преобразователя, группа информационных выходов которого соединена с группой информационных входов первого блока памяти, группа входов управления которого объединена с группами входов управления второго блока памяти и блока определения частоты, и третьей группой выходов блока управления, а группа адресных входов первого блока памяти объединена с группой адресных входов второго блока памяти и второй группой выходов блока управления, отличающееся тем, что дополнительно введены первый и второй блоки преобразования Хартли и определения спектральной плотности мощности, третий – шестой блоки памяти, блок определения спектральной плотности мощности, блок преобразования Хартли, причем группа информационных выходов первого блока памяти соединена с группой информационных входов первого блока преобразования Хартли и определения спектральной плотности мощности, группа входов управления которого объединена с группами входов управления блока преобразования Хартли, четвертого, пятого и шестого блоков памяти, второго блока преобразования Хартли и определения спектральной плотности мощности, и третьей группой выходов блока управления, а группа информационных выходов – с группой информационных входов второго блока памяти, группа информационных выходов которого соединена с группой информационных входов блока преобразования Хартли, группа информационных выходов которого соединена с группой информационных входов четвертого блока памяти, группа адресных входов которого объединена с группами адресных входов третьего, пятого и шестого блоков памяти, блок управления предназначен для формирования команд на поочередное считывание значений из третьего, четвертого и пятого блоков памяти и записи значений в шестой блок памяти, а группа информационных выходов четвертого блока памяти соединена с второй группой входов умножителя, первая группа входов которого соединена с группой информационных выходов третьего блока памяти, а группа выходов – с группой информационных входов пятого блока памяти, группа информационных выходов которого соединена с группой информационных входов второго блока преобразования Хартли и определения спектральной плотности мощности, группа информационных выходов которого соединена с группой информационных входов шестого блока памяти, группа информационных выходов которого соединена с группой информационных входов блока определения частоты, группа выходов которого является выходной шиной устройства оценивания несущей частоты, тактовая шина которого соединена с тактовым входом аналого-цифрового преобразователя.
17. Устройство оценивания несущей частоты, содержащее аналого-цифровой преобразователь, первый и второй блоки памяти, умножитель, блок определения частоты и блок управления, причем информационный вход аналого-цифрового преобразователя является информационной шиной устройства оценивания несущей частоты, вход разрешения которого соединен с первым выходом блока управления, четвертый вход которого соединен с выходом готовности аналого-цифрового преобразователя, группа информационных выходов которого соединена с группой информационных входов первого блока памяти, группа входов управления которого объединена с группами входов управления второго блока памяти, блока определения частоты и третьей группой выходов блока управления, а группа адресных входов первого блока памяти объединена с группой адресных входов второго блока памяти и второй группой выходов блока управления, отличающееся тем, что дополнительно введены блок преобразования Хартли и определения спектральной плотности мощности, блок преобразования Фурье, третий – шестой блоки памяти и блок обратного преобразования Фурье и определения спектральной плотности мощности, причем группа информационных выходов первого блока памяти соединена с группой информационных входов блока преобразования Хартли и определения спектральной плотности мощности, группа входов управления которого, предназначенная для воздействия сигналов, формируемых блоком управления, объединена с группами входов управления блока преобразования Фурье, блока обратного преобразования Фурье и определения спектральной плотности мощности, четвертого, пятого и шестого блоков памяти, а группа информационных выходов – с группой информационных входов второго блока памяти, группа информационных выходов которого соединена с группой информационных входов блока преобразования Фурье, группа информационных выходов которого соединена с группой информационных входов четвертого блока памяти, группа адресных входов которого объединена с группами адресных входов третьего, пятого и шестого блоков памяти, блок управления предназначен для формирования команд на поочередное считывание значений, записанных в третьем, четвертом и пятом блоках памяти, и записи значений в шестой блок памяти, а группа информационных выходов четвертого блока памяти соединена с второй группой входов умножителя, первая группа входов которого соединена с группой информационных выходов третьего блока памяти, а группа выходов – с группой информационных входов пятого блока памяти, группа информационных выходов которого соединена с группой информационных входов блока обратного преобразования Фурье и определения спектральной плотности мощности, группа информационных выходов которого соединена с группой информационных входов шестого блока памяти, группа информационных выходов ходов которого соединена с группой информационных входов блока определения частоты, группа выходов которого является выходной шиной устройства оценивания несущей частоты, тактовая шина которого соединена с тактовым входом аналого-цифрового преобразователя.
18. Устройство оценивания несущей частоты, содержащее аналого-цифровой преобразователь, первый и второй блоки памяти, блок преобразования Фурье и определения спектральной плотности мощности, умножитель, блок определения частоты и блок управления, первый выход которого соединен с входом разрешения аналого-цифрового преобразователя, информационный вход которого является информационной шиной устройства оценивания несущей частоты, выход готовности соединен с четвертым входом блока управления, а группа информационных выходов – с группой информационных входов первого блока памяти, группа входов управления которого объединена с группами входов управления блока преобразования Фурье и определения спектральной плотности мощности, второго блока памяти, блока определения частоты и третьей группой выходов блока управления, вторая группа выходов которого соединена с группами адресных входов второго и первого блоков памяти, группа информационных выходов которого соединена с группой информационных входов блока преобразования Фурье и определения спектральной плотности мощности, отличающееся тем, что дополнительно введены блок преобразования Хартли, третий – шестой блоки памяти и блок преобразования Хартли и определения спектральной плотности мощности, причем группа информационных выходов блока преобразования Фурье и определения спектральной плотности мощности объединена с группами информационных входов шестого блока-памяти и второго блока памяти, группа информационных выходов которого соединена с группой информационных входов блока преобразования Хартли, группа входов управления которого объединена с группами входов управления четвертого, пятого и шестого блоков памяти, блока преобразования Хартли и определения спектральной плотности мощности, и третьей группой выходов блока управления, а группа информационных выходов соединена с группой информационных входов четвертого блока памяти, группа адресных входов которого объединена с группами адресных входов третьего, пятого и шестого блоков памяти, и второй группой выходов блока управления, а группа информационных выходов соединена с второй группой входов умножителя, первая группа входов которого соединена с группой информационных выходов третьего блока памяти, а группа выходов – с группой информационных входов пятого блока памяти, группа информационных выходов которого соединена с группой информационных входов блока преобразования Хартли и определения спектральной плотности мощности, группа информационных выходов которого поразрядно соединена с группой информационных входов шестого блока памяти, группа информационных выходов которого соединена с группой информационных входов блока определения частоты, группа выходов которого является выходной шиной устройства оценивания несущей частоты, тактовая шина которого соединена с тактовом входом аналого-цифрового преобразователя.
РИСУНКИ
MM4A Досрочное прекращение действия патента Российской Федерации на изобретение из-за неуплаты в установленный срок пошлины за поддержание патента в силе
Дата прекращения действия патента: 17.12.2001
Номер и год публикации бюллетеня: 11-2003
Извещение опубликовано: 20.04.2003
|
||||||||||||||||||||||||||

F функции спектральной плотности мощности с максимальной концентрацией мощности и вычислении несущей частоты в этой области.
Недостатком этого способа является низкая точность оценивания частоты сигнала.
Наиболее близким по своей технической сущности к заявляемому является способ по патенту RU N 2100812 C1, МКИ G 01 R 23/00, 1998. Способ-прототип заключается в предварительной дискретизации сигнала в предела полосы частот поиска, вычислении компонент спектральной плотности мощности в дискретных точках методом преобразования Фурье, выделении частотной области
(r, n) сигнала в пределах полосы частот поиска с заданной разрешающей способностью 
[
)
1; при M < 0 g(M) = 0;
число сочетаний из p по j;
(r, n) сигнала в пределах полосы частот поиска с заданной разрешающей способностью 

число сочетаний из p по j;
(r, n) сигнала в пределах полосы частот поиска с заданной разрешающей способностью 

число сочетаний из p по j;
(r, n) сигнала в пределах полосы частот поиска с заданной разрешающей способностью 

число сочетаний из p по j;
(r, n) сигнала в пределах полосы частот поиска с заданной разрешающей способностью 

– число сочетаний из p по j;
(r, n) сигнала в пределах полосы частот поиска с заданной разрешающей способностью 

число сочетаний из p по j;
(r, n) сигнала в пределах полосы частот поиска с заданной разрешающей способностью 

число сочетаний из p по j;
(r, n) сигнала в пределах полосы частот поиска с заданной разрешающей способностью 

число сочетаний из p по j;
(r, n) сигнала в пределах полосы частот поиска с заданной разрешающей способностью 

число сочетаний из p по j;
(см., например, с. 186, формула (2.9)) можно записать в виде
l = [(p+1)/2],
p0 = 1; (12)
m/N); 1/N = 











= e2


выигрыш в точности интерполяции может достигать
Аналогичные результаты получаются и для других степеней гладкости функции спектральной плотности мощности.
Рассмотрим особенности реализации каждого из девяти вариантов предлагаемого способа.
На фиг. 1 представлены графические пояснения первого варианта способа оценивания несущей частоты. Сигнал z(t), приведенный на фиг. 1а, дискретизируется (фиг. 1б), затем вычисляются компоненты его спектральной плотности мощности методом преобразования Фурье S(n) (фиг. 1в). Затем компоненты спектральной мощности сигнала в дискретных точках преобразуют методом преобразования Фурье с получением последовательности
(r, n) (фиг. 1к) находится максимум, и значение несущей частоты определяется по формуле fнес = r
(r, n) (фиг. 5л) вычисляются от номера n-1 до n+1, а несущая частота (фиг. 5м) вычисляется по формуле fнес = (n-1)
(r,n) с частотным расстоянием
(r, n) сигнала в пределах полосы частоты поиска с заданной разрешающей способностью 

число сочетаний из р по j;
(r, n) сигнала в пределах полосы частот поиска с заданной разрешающей способностью 

число сочетаний из р по j;
(r, n) сигнала в пределах полосы частот поиска с заданной разрешающей способностью 

число сочетаний из p по j;
(r, n) сигнала в пределах полосы частот поиска с заданной разрешающей способностью 

число сочетаний из p по j;
(r, n) сигнала в пределах полосы частот поиска с заданной разрешающей способностью 

– число сочетаний из p по j;
(r, n) сигнала в пределах полосы частот поиска с заданной разрешающей способностью 

число сочетаний из p по j;
(r, n) сигнала в пределах полосы частот поиска с заданной разрешающей способностью 

число сочетаний из p по j;
(r, n) сигнала в пределах полосы частот поиска с заданной разрешающей способностью 

число сочетаний из p по j;
(r, n) сигнала в пределах полосы частот поиска с заданной разрешающей способностью 

число сочетаний из p по j;