|
|
(21), (22) Заявка: 2009118675/28, 18.05.2009
(24) Дата начала отсчета срока действия патента:
18.05.2009
(46) Опубликовано: 20.09.2010
(56) Список документов, цитированных в отчете о поиске:
RU 89243 U1, 27.11.2009. RU 2229725 C1, 27.05.2004. SU 359659 A1, 03.12.1972. SU 789881 A1, 23.12.1980. RU 2335778 C1, 10.10.2008.
Адрес для переписки:
634050, г.Томск, пр-кт Ленина, 30, ГОУ ВПО “Томский политехнический университет”, отдел правовой охраны результатов интеллектуальной деятельности
|
(72) Автор(ы):
Гольдштейн Ефрем Иосифович (RU), Радаев Евгений Валерьевич (RU)
(73) Патентообладатель(и):
Государственное образовательное учреждение высшего профессионального образования “Томский политехнический университет” (RU)
|
(54) СПОСОБ СПЕКТРАЛЬНОГО АНАЛИЗА ПЕРИОДИЧЕСКИХ МНОГОЧАСТОТНЫХ СИГНАЛОВ, ПРЕДСТАВЛЕННЫХ ЦИФРОВЫМИ ОТСЧЕТАМИ
(57) Реферат:
Заявленное изобретение относится к области систем обработки информации и измерительной технике и может быть использовано для определения спектрального состава периодического многочастотного сигнала. Особенностью изобретения является то, что анализируемый a(ti) и опорные синусный bsin0(ti) и косинусный bcos0(ti) сигналы задаются отсчетами мгновенных значений для одних и тех же моментов времени ti=t1, t2, , tN, затем одновременно определяют синусный bsin0(ti) и косинусный bcos0(ti) опорные сигналы для заданной частоты 0k. Затем определяют синусную Qsink и косинусную Qcosk площади вольтамперной характеристики для точек совместного решения a(bsin0) и a(bcos0). А также одновременно запоминают значения амплитуды Аmk фазы k и частоты k= 0k. Подают сигнал о задании следующей частоты 0k+ . Все действия для определения Amk и k повторяют до достижения 0k= n. Техническим результатом от применения заявленного способа является сокращение времени, необходимого для определения амплитуд частот и фаз отдельных составляющих сигнала. 2 ил., 3 табл.
Изобретение относится к области систем обработки информации и измерительной технике и может быть использовано для определения спектрального состава периодического многочастотного сигнала при решении разнообразных задач передачи информации на расстоянии, контроля работоспособности электротехнических и электромеханических устройств.
Известен способ спектрального анализа периодических многочастотных сигналов, представленных цифровыми отсчетами [Патент РФ 2229725, МПК7 G01R 23/16, опубл. 12.11.2002], выбранный в качестве прототипа, заключающийся в формировании опорного синусоидального сигнала, который многократно сдвигают по фазе относительно анализируемого сигнала. Для анализируемого периодического многочастотного сигнала a(ti) и опорного сигнала с амплитудой Bm, представленных отсчетами мгновенных значений для одних и тех же моментов времени tj=t1,t2, ,tN, где N – число разбиений на периоде Т,
находят точки совместного решения а(b0) при различных круговых частотах опорного сигнала 0 и фазах опорного сигнала 0. Строят вольтамперные характеристики и определяют их площадь FВАХ min, причем вывод о присутствии гармонической составляющей с круговой частотой k и фазой k в анализируемом сигнале a(ti) делают исходя из условия FВАХ=0. Затем определяют максимальную площадь вольтамперной характеристики FВАХ max при k=±90° и находят амплитуду К-й спектральной составляющей по формуле

где 
1 – основная круговая частота.
Далее по значениям k, k и Amk судят о спектральном составе анализируемого сигнала а(ti).
Недостатком известного способа является избыточное количество определений площади вольтамперных характеристик и, как следствие, большое время определения амплитуд, частот и фаз отдельных составляющих сигнала.
Задачей изобретения является создание способа спектрального анализа периодических многочастотных сигналов, позволяющего сократить время, необходимое для определения амплитуд, частот и фаз отдельных составляющих сигнала.
Это достигается тем, что в способе спектрального анализа многочастотных периодических сигналов, представленных цифровыми отсчетами, также как в прототипе, для анализируемого a(ti) и опорного b0(ti) сигнала, представленных отсчетами мгновенных значений одних и тех же моментов времени ti=t1,t2, ,tN, находят точки совместного решения a(b0) при различных круговых частотах опорного сигнала 0k и фазах опорного сигнала 0k, определяют их площадь QВАХ k.
Согласно изобретению анализируемый a(ti) и опорные синусный bsin0(ti) и косинусный bcos0(ti) сигналы задают отсчетами мгновенных значений, для одних и тех же моментов времени ti=t1,t2, ,tN, при

где t – шаг дискретизации;
N – количество точек отсчета за время выборки сигнала tN,
для заданного диапазона 0 0k n с заданным шагом  задают частоты 0k в Рад/с, начиная с минимальной, затем одновременно определяют синусный bsin0(ti) и косинусный bcosQ(ti) опорные сигналы для заданной частоты 0k


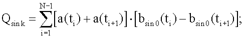
используя которые определяют синусную Qsink и косинусную Qcosk площади вольтамперной характеристики для точек совместного решения a(bsin0) и a(bcosQ) соответственно


определяют амплитуду заданной частоты

где частота в Гц,
и определяют фазу заданной частоты

После этого одновременно запоминают значения амплитуды Amk, фазы k и частоты k= 0k и подают сигнал о задании следующей частоты 0k+ , все действия для определения Amk и k повторяют до достижения 0k= n, после чего подают сигнал о готовности результатов спектрального анализа, о спектральном составе сигнала судят по значениям Amk, k, k.
Заявленный способ СА периодических многочастотных сигналов, представленных цифровыми отсчетами, имеет существенные преимущества, так как позволяет увеличить быстродействие спектрального анализа. Это реализовано за счет того, что нет необходимости поиска фазы сигнала путем подбора минимальной площади вольтамперной характеристики. Фазу сигнала заданной частоты определяют по соотношению двух опорных сигналов, поэтому только два раза определяют площадь вольтамперной характеристики. Кроме того, способ позволяет использовать всю имеющуюся длину массива анализируемого многочастотного сигнала и не привязан к знанию его периода.
На фиг.1 приведена аппаратная схема устройства, реализующего рассматриваемый способ спектрального анализа.
На фиг.2 приведена осциллограмма тестового анализируемого сигнала.
В табл.1 приведены параметры тестового анализируемого сигнала.
В табл.2 приведены результаты определения параметров тестового анализируемого сигнала по предложенному способу.
В табл.3 приведены результаты определения параметров тестового анализируемого сигнала по способу, выбранному в качестве прототипа.
Заявленный способ может быть осуществлен с помощью схемы (фиг.1), содержащей датчик анализируемого сигнала 1 (ДАС), который подключен к объекту исследования. К датчику анализируемого сигнала 1 (ДАС) последовательно подключены программатор определения амплитуды и фазы по вольтамперной характеристике 2 (АФВАХ), первый датчик опорного сигнала 3 (ДОС1), первый программатор 4 (П1), второй программатор 5 (П2), который связан с дисплеем или ЭВМ (не показано на фиг.1). Программатор определения амплитуды и фазы по вольтамперной характеристике 2 (АФВАХ) соединен с первым программатором 4 (П1), вторым программатором 5 (П2) и с вторым датчиком опорного сигнала 6 (ДОС2), который подключен к первому программатору 4 (П1).
В качестве датчика анализируемого сигнала 1 (ДАС) может быть использован датчик тока – промышленный прибор КЭИ-0,1 или датчик напряжения – трансформатор напряжения (220/5 В). Программатор определения амплитуды и фазы по вольтамперной характеристике 2 (АФВАХ), датчики опорного сигнала 3 (ДОС1) и 6 (ДОС2), программаторы 4 (П1), 5 (П2) могут быть выполнены на микроконтроллере серии 51 производителя atmel AT89S53. Для работы пользователя может быть предусмотрена кнопочная клавиатура FT008, имеющая 8 кнопок.
С выхода датчика анализируемого сигнала 1 (ДАС) анализируемый сигнал a(ti), заданный отсчетами мгновенных значений в моменты времени
t1,t2, ,ti, ,tN;
t2-t1=t3-t2=tN-tN-1= = t;
,
где t – шаг дискретизации;
N – количество точек отсчета за время выборки сигнала tN,
поступает на вход программатора определения амплитуды и фазы по вольтамперной характеристике 2 (АФВАХ). Для заданного диапазона 0 0k n с заданным шагом  частот в первом программаторе 4 (П1) последовательно задают частоты 0k в Рад/с, начиная с минимальной, каждое передают на первый датчик опорного сигнала 3 (ДОС1), второй датчик опорного сигнала 6 (ДОС2) и на второй программатор 5 (П2). После получения первого значения частоты 0k датчиками опорного сигнала 3 (ДОС1) и 6 (ДОС2), в первом датчике опорного сигнала 3 (ДОС1) определяют синусный опорный сигнал bsin0(ti), одновременно с этим во втором датчике опорного сигнала 6 (ДОС2) определяют косинусный опорный сигнал bcos0(ti) для заданной частоты 0k и в моменты времени t1,t2, ,ti, ,tN


при этом длину массива N и шаг дискретизации t принимают равными соответствующим параметрам анализируемого сигнала a(ti). Затем полученные опорные сигналы bsin0(ti) и bcos0(ti) одновременно подают на программатор определения амплитуды и фазы по вольтамперной характеристике 2 (АФВАХ), где определяют синусную Qsink и косинусную Qcosk площади вольтамперной характеристики для точек совместного решения a(bsin0) и a(bcos0) соответственно


определяют амплитуду заданной частоты

где – частота в Гц,
и определяют фазу заданной частоты
.
Сразу поле этого из программатора определения амплитуды и фазы по вольтамперной характеристике 2 (АФВАХ) значения амплитуды Amk и фазы k передают на второй программатор 5 (П2), а сигнал о задании следующей частоты 0k+ на первый программатор 4 (П1). После этого одновременно во втором программаторе полученные значения амплитуды Amk и фазы k запоминают вместе со значением k= 0k из первого программатора 4 (П1), а из первого программатора 4 (П1) передают следующее значение частоты 0k+ на первый датчик опорного сигнала 3 (ДОС1), второй датчик опорного сигнала 6 (ДОС2) и на второй программатор 5 (П2). Все действия для определения Amk и k повторяют до достижения 0k= n. После достижения 0k= n на выход второго программатора 5 (П2) подают сигнал о готовности результатов спектрального анализа, о спектральном составе сигнала судят по значениям Amk, k, k и их либо передают на ЭВМ.
Для проверки работоспособности предложенной процедуры провели спектральный анализ тестового сигнала тока по способу, указанному в качестве прототипа, и по предложенному способу. В качестве тестового сигнала взят простой гармонический сигнал тока, параметры которого приведены в табл.1
.
Т.к. в способе, выбранном в качестве прототипа, есть привязка к периоду анализируемого сигнала, рассчитали массив мгновенных значений для N=200 точек с шагом дискретизации t=10-4 с, что соответствует периоду tN=T=0,02 с (осциллограмма тестового анализируемого сигнала приведена на фиг.2).
Сравнение по времени расчета будем проводить упрощенно, выбрав наиболее длительное действие – определение площади вольтамперной характеристики, которое выберем в качестве единицы времени (временем других операций можно пренебречь). Площади вольтамперной характеристики определяют по формулам

и


для прототипа и предложенного способа соответственно. Они практически равнозначны по времени обработки равнозначными цифровыми устройствами.
Тестовый сигнал a(ti) из датчика анализируемого сигнала 1 (ДАС) передали на вход программатора определения амплитуды и фазы по вольтамперной характеристике 2 (АФВАХ). Для заданного диапазона 50·2 150·2 Рад/с с заданным шагом  =50·2 Рад/с передали первую частоту 01=50·2 Рад/с на первый датчик опорного сигнала 3 (ДОС1), второй датчик опорного сигнала 6 (ДОС2) и на второй программатор 5 (П2). В 3 (ДОС1) и 6 (ДОС2) определили синусный опорный сигнал bsin0(ti) и косинусный опорный сигнал bcos0(ti). Затем их передали на программатор определения амплитуды и фазы по вольтамперной характеристике 2 (АФВАХ), где определяют синусную Qsin1=0,104 и косинусную Qcos1=62,823 площади вольтамперной характеристики.
Определяли амплитуду и фазу


Сразу поле этого из программатора определения амплитуды и фазы по вольтамперной характеристике 2 (АФВАХ) значения амплитуды Amk и фазы k передают на второй программатор 5 (П2), а сигнал о задании следующей частоты на первый программатор 4 (П1). После этого во втором программаторе полученные значения амплитуды Am1=9,999 А и фазы 1=-0,095° запоминают вместе со значением 1=50·2 Рад/с из первого программатора 4 (П1), а из первого программатора 4 (П1) передают следующее значение частоты 02=100·2 на первый датчик опорного сигнала 3 (ДОС1), второй датчик опорного сигнала 6 (ДОС2) и на второй программатор 5 (П2). Все действия для определения остальных Amk и k повторяют до достижения 0k=150·2 Рад/с. После чего на выход второго программатора 5 (П2) подали сигнал о готовности результатов спектрального анализа.
Результаты определения всех амплитуд, частот и фаз по предложенному способу приведены в табл.2. Также в данной таблице приведена информация о том, какое количество раз было проведено определение площади вольтамперной характеристики. Результаты определения всех амплитуд, частот и фаз по способу, выбранному в качестве прототипа, приведены в табл.3. Также в данной таблице приведена информация о том, какое количество раз было проведено определение площади вольтамперной характеристики и начальные параметры опорного сигнала. Таким образом, для анализа тестового сигнала способом, выбранным в качестве прототипа, требуется 174 раза определить площадь вольтамперной характеристики, а для предложенного способа 6 раз, что доказывает его быстродействие.
| Таблица 1 |
| Am, А |
10 |
3 |
1 |
| f, Гц |
50 |
100 |
150 |
, град |
0 |
60 |
-45 |
| Таблица 2 |
| Гармоника |
Результаты |
Количество расчетов QВАХ |
 |
k, град |
Amk, А |
 |
| 1-я (50 Гц) |
-0,1 |
9,999 |
2 раза (Qsin=0,104, Qcos=62,823) |
| 2-я (100 Гц) |
59,83 |
2,984 |
2 раза (Qsin=-32,419, QC0S=18,844) |
| 3-я (150 Гц) |
-45,6 |
1,011 |
2 раза (Qsin=13,62, Qcos=13,324) |
| Всего расчетов QВАХ |
6 раз |
| Таблица 3 |
| Гармоника |
Параметры опорного сигнала |
Результаты |
Количество расчетов QВАХ |
k, град |
Amk, А |
| 1-я (50 Гц) |
0=-180,-179 180 0, Bm=1 |
0 |
9,999 |
4 раза |
(QВАХ min=0,052, QВАХ max=31,412) |
| 2-я (100 Гц) |
0=-180,-179 180°, Bm=1 |
60 |
2,984 |
32 раза |
(QВАХ min=0,055, QВАХ max=18,749) |
| 3-я (150 Гц) |
0=-180,-179 180°, Bm=1 |
-46 |
1,011 |
138 раз |
(QВАХ min=-0,061, QВАХ max=9,526) |
| Всего расчетов QВАХ |
174 раза |
Формула изобретения
Способ спектрального анализа многочастотных периодических сигналов, представленных цифровыми отсчетами, заключающийся в том, что для анализируемого a(ti) и опорного b0(ti) сигналов, представленных отсчетами мгновенных значений одних и тех же моментов времени ti=t1, t2, , tN, находят точки совместного решения а(b0) при различных круговых частотах опорного сигнала 0k и фазах опорного сигнала 0k, определяют их площадь QBAX k, отличающийся тем, что анализируемый и опорные синусный bsin0(ti) и косинусный bcos0(ti) сигналы задают отсчетами мгновенных значений, для одних и тех же моментов времени ti=t1, t2, , tN, при
 где t – шаг дискретизации; N – количество точек отсчета за время выборки сигнала tN, для заданного диапазона 0 0k n с заданным шагом  задают частоты 0k в Рад/с, начиная с минимальной, затем одновременно определяют синусный bsin0(ti) и косинусный bcos0(ti) опорные сигналы для заданной частоты 0k

 используя которые определяют синусную Qsin k и косинусную Qcos k площади вольтамперной характеристики для точек совместного решения a(bsin0) и a(bcos0) соответственно

 определяют амплитуду заданной частоты
 где – частота, Гц, и определяют фазу заданной частоты
 после этого одновременно запоминают значения амплитуды Аmk, фазы k и частоты k= 0k и подают сигнал о задании следующей частоты 0k+ , все действия для определения Аmk и k повторяют до достижения 0k= n, после чего подают сигнал о готовности результатов спектрального анализа, о спектральном составе сигнала судят по значениям Amk, k, k.
РИСУНКИ
|
|