|
|
(21), (22) Заявка: 2006109547/13, 27.08.2004
(24) Дата начала отсчета срока действия патента:
27.08.2004
(30) Конвенционный приоритет:
28.08.2003 US 60/498,514
(43) Дата публикации заявки: 10.10.2007
(46) Опубликовано: 20.09.2010
(56) Список документов, цитированных в отчете о поиске:
CZAUDERNA F. et al. Structural variations and stabilising modifications of synthetic siRNAs in mammalian cells. Nucleic Acids Research, v.31, no.11, p.2705-16. WO 0244321, 06.06.2002. RU 2000105336 A, 10.01.2002.
(85) Дата перевода заявки PCT на национальную фазу:
28.03.2006
(86) Заявка PCT:
EP 2004/009599 20040827
(87) Публикация PCT:
WO 2005/021749 20050310
Адрес для переписки:
101000, Москва, М.Златоустинский пер., 10, кв.15, “ЕВРОМАРКПАТ”, пат.пов. И.А.Веселицкой, рег. 11
|
(72) Автор(ы):
ВАЙЛЕР Ян (DE), ХОЛЛ Джонатан (CH), БОЛОНЬЯ Жан-Шарль (CH), НАТТ Франсуа Жан-Шарль (CH), ХЭНЕР Роберт (CH)
(73) Патентообладатель(и):
НОВАРТИС АГ (CH)
|
(54) СПОСОБНЫЙ К ИНТЕРФЕРЕНЦИИ ДУПЛЕКС РНК, ИМЕЮЩИЙ “ТУПЫЕ” КОНЦЫ И 3′-МОДИФИКАЦИИ
(57) Реферат:
Изобретение относится к области биотехнологии. В частности, к соединениям, которые представляют собой двухцепочечную РНК, опосредующую интерференцию РНК и включающую две комплементарные цепи РНК, содержащие 17-30 нуклеотидов по меньшей мере с одним «тупым» концом, который включает 3′-конец формулы I

в которой Х означает О или S, R1 и R2 независимо друг от друга означают ОН, NH2, SH, алкил, арил, алкиларил, арилалкил, где алкил, арил, алкиларил, арилалкил необязательно замещены дополнительными гетероатомами и функциональными группами, где указанный гетероатом выбирают из группы, включающей N, О и S, и указанную функциональную группу выбирают из группы, включающей ОН, NH2, SH, карбоновую кислоту и сложный эфир, или R1 и R2 могут иметь формулу Y-Z, в которой Y означает О, N, S и Z означает Н, алкил, арил, алкиларил, арилалкил, где алкил, арил, алкиларил, арилалкил необязательно замещены дополнительными гетероатомами, где указанный гетероатом выбирают из группы, включающей N, О и S; при условии, что оба R1 и R2 не означают ОН. Предложенное изобретение позволяет устранить недостатки синтетических siPHK с выступающими 3′-концами. 2 н. и 6 з.п. ф-лы, 4 ил., 1 табл.
Область техники, к которой относится изобретение
Изобретение относится к избирательному ингибированию генов-мишеней с использованием двухцепочечной РНК и к соединениям, которые можно применять для этой цели.
Предпосылки создания изобретения
На многих моделях in vitro и in vivo было установлено, что короткие дуплексы РНК эффективно обеспечивают интерференцию РНК (Hamilton и др. 1999, Zamore и др., 2000, Caplen и др., 2001, Elbashir и др., 2001, Yang и др., 2000).
Наиболее часто создают синтетические дуплексы siPHK, например, состоящие из 19 примыкающих пар рибонуклеотидов, которые фланкированы 2-3 неспаренными нуклеотидами на 3′-конце каждой цепи («выступающие» концы). Было установлено, что эти состоящие из 21 нуклеотида виды siPHK можно создавать в процессе опосредуемого DICER расщепления длинной dsPHK в организме млекопитающих и в системах кроме млекопитающих (Bernstein и др., 2001, Ketting и др., 2001). Это конкретный 21-мерный формат siPHK был первоначально выбран с использованием в качестве модели Drosophila melanogaster и затем проведены исследования, касающиеся доказательства его эффективности (Elbashir и др., 2001). В результате основная часть современных исследований, в которых используют синтетические siPHK в качестве ингибиторов генов, основана на применении этого 21-мерного производного siPHK «дикого типа». Для создания выступающих концов, как правило, используют 2′-дезоксинуклеотиды, прежде всего из-за их низкой стоимости, но также с учетом потенциальной защиты от внутриклеточной нуклеазной активности.
При создании настоящего изобретения создан новый предлагаемый в изобретении формат двухцепочечной РНК («dsPHK»), который опосредует интерференцию РНК (PHKi). SiPHK с «тупыми концами», предлагаемые в настоящем изобретении, позволяют устранить недостатки синтетических siPHK с выступающими 3′-концами, которые в настоящее время применяют в данной области техники.
Краткое изложение сущности изобретения
Настоящее изобретение относится к двухцепочечной РНК с по меньшей мере одним «тупым» концом, имеющей по меньшей мере один 3′-конец формулы

в которой
Х обозначает О или S;
R1 и R2 независимо друг от друга обозначают ОН, NH2, SH, алкил, арил, алкиларил, арилалкил, где алкил, арил, алкиларил, арилалкил могут быть замещены дополнительными гетероатомами и функциональными группами, предпочтительно гетероатомом, выбранным из группы, включающей N, О и S, или функциональной группой, выбранной из ОН, NH2, SH, карбоновой кислоты или сложного эфира;
кроме того R1 и R2 могут иметь формулу Y-Z, в которой Y обозначает О, N, S и Z обозначает Н, алкил, арил, алкиларил, арилалкил, где алкил, арил, алкиларил, арилалкил могут быть замещены дополнительными гетероатомами, предпочтительно гетероатомом, выбранным из группы, включающей N, О и S; и где эта двухцепочечная РНК опосредует интерференцию РНК.
Подробное описание изобретения
При создании настоящего изобретения неожиданно было установлено, что молекулы синтетической двухцепочечной РНК (dsPHK) по меньшей мере с одним «тупым» концом, имеющие определенный тип химической модификации, эффективно опосредуют интерференцию РНК. DsPHK, предлагаемые в настоящем изобретении, прежде всего можно применять для высокоэффективных методов, основанных на использовании siPHK, из-за простоты процедуры синтеза, например, с использованием универсальной твердой подложки.
Одним из объектов настоящего изобретения является двухцепочечная РНК по меньшей мере с одним «тупым» концом, имеющая по меньшей мере один 3′-конец формулы

в которой
Х обозначает О или S;
R1 и R2 независимо друг от друга обозначают ОН, NH2, SH, алкил, арил, алкиларил, арилалкил, где алкил, арил, алкиларил, арилалкил могут быть замещены дополнительными гетероатомами и функциональными группами, предпочтительно гетероатомом, выбранным из группы, включающей N, О и S, или функциональной группой, выбранной из ОН, NH2, SH, карбоновой кислоты и сложного эфира;
кроме того R1 и R2 могут иметь формулу Y-Z, в которой Y обозначает О, N, S и Z обозначает Н, алкил, арил, алкиларил, арилалкил, где алкил, арил, алкиларил, арилалкил могут быть замещены дополнительными гетероатомами, предпочтительно гетероатомом, выбранным из группы, включающей N, О и S;
и где эта двухцепочечная РНК опосредует интерференцию РНК;
R1 и R2 могут образовывать также циклическую структуру, например, карбоциклическое или гетероциклическое кольцо, где кольцевая структура предпочтительно состоит из 3-7 членов.
В предпочтительном варианте осуществления изобретения Z обозначает один или несколько остатков нуклеозидов, лишенных азотистого основания (образовавшихся в результате апуринизации), предпочтительно остатков рибонуклеозидов. Остатки нуклеозидов могут быть связаны, например, с помощью фосфодиэфирной или фосфотиоатной группы.
В другом предпочтительном варианте осуществления изобретения R1 обозначает ОН. В следующем предпочтительном варианте осуществления изобретения R1 и R2 вместе содержат от 1 до 24 С-атомов, более предпочтительно от 1 до 12 или от 2 до 10 и наиболее предпочтительно от 1 до 8 или от 2 до 6. В другом предпочтительном варианте осуществления изобретения R1 и R2 независимо друг от друга обозначают ОН, (низш.)алкил, (низш.)арил, (низш.)алкиларил, (низш.)арилалкил, где (низш.)алкил, (низш.)арил, (низш.)алкиларил, (низш.)арилалкил могут быть замещены указанными выше дополнительными гетероатомами и функциональными группами. В следующем предпочтительном варианте осуществления изобретения R1 и R2 оба не обозначают ОН.
Понятие «(низш.)» касательно органических радикалов или соединений обозначает соединение или радикал, которые могут быть разветвленными или неразветвленными, несущие вплоть до и включительно 7 атомов углерода, предпочтительно 1-4 атома углерода. (Низш.)алкил обозначает, например, метил, этил, н-пропил, изобутил, н-бутил, втор-бутил, трет-бутил, н-пентил и разветвленный пентил, н-гексил и разветвленный гексил.
Родственным объектом является двухцепочечная РНК по меньшей мере с одним «тупым» концом, имеющая по меньшей мере один 3′-конец формулы

в которой R3 обозначает ОН, NH2, SH, алкил, арил, алкиларил, арилалкил, где алкил, арил, алкиларил, арилалкил могут быть замещены дополнительными гетероатомами, предпочтительно гетероатомом, выбранными из группы, включающей N, О и S, и R4 независимо обозначает алкил, арил, алкиларил, арилалкил, где алкил, арил, алкиларил, арилалкил могут быть замещены дополнительными гетероатомами, предпочтительно гетероатомом, выбранным из группы, включающей N, О и S, или функциональной группой, выбранной из ряда, включающего ОН, NH2, SH, карбоновую кислоту или сложный эфир, и где двухцепочечная РНК опосредует интерференцию РНК. R3 и R4 могут образовывать также циклическую структуру, например, карбоциклическое или гетероциклическое кольцо, где кольцевая структура предпочтительно состоит из 3-7 членов;
R3 и R4 могут содержать также дополнительные гетероатомы, предпочтительно гетероатом, выбранный из группы, включающей N, О и S.
В предпочтительном варианте осуществления изобретения R3 обозначает ОН. В другом предпочтительном варианте осуществления изобретения R3 и R4 соответственно вместе содержат от 1 до 24 С-атомов, более предпочтительно от 1 до 12, или 2 до 10 и наиболее предпочтительно от 1 до 8 или от 2 до 6. В следующем предпочтительном варианте осуществления изобретения R3 обозначает (низш.)алкил, (низш.)арил, (низш.)алкиларил, (низш.)арилалкил, где (низш.)алкил, (низш.)арил, (низш.)алкиларил, (низш.) арилалкил могут быть замещены указанными выше дополнительными гетероатомами и функциональными группами и R4 независимо обозначает (низш.)алкил, (низш.)арил, (низш.)алкиларил, (низш.)арилалкил, где (низш.)алкил, (низш.)арил, (низш.)алкиларил, (низш.)арилалкил могут быть замещены указанными выше дополнительными гетероатомами и функциональными группами.
Родственным объектом является двухцепочечная РНК по меньшей мере с одним «тупым» концом, имеющая по меньшей мере один 3′-конец формулы

в которой R5 и R6 имеют одинаковые или различные значения и обозначают Н, алкил, арил, алкиларил, арилалкил, где алкил, арил, алкиларил, арилалкил могут быть замещены дополнительными гетероатомами, предпочтительно гетероатомом, выбранным из группы, включающей N, О и S, или функциональной группой, выбранной из ряда, включающего ОН, NH2, SH, карбоновую кислоту и сложный эфир, и где двухцепочечная РНК опосредует интерференцию РНК. R5 и R6 могут образовывать также циклическую структуру, например, карбоциклическое или гетероциклическое кольцо, где кольцевая структура предпочтительно состоит из 3-7 членов.
R5 и R6 могут содержать также дополнительные гетероатомы, предпочтительно гетероатом, выбранный из группы, включающей N, О и S.
В предпочтительном варианте осуществления изобретения R5 и R6 соответственно вместе содержат от 1 до 24 С-атомов, более предпочтительно от 1 до 12 или от 2 до 10 и наиболее предпочтительно от 1 до 6 или от 2 до 6. В другом предпочтительном варианте осуществления изобретения R5 и R6 независимо друг от друга обозначают (низш.)алкил, (низш.)арил, (низш.)алкиларил, (низш.)арилалкил, где (низш.)алкил, (низш.)арил, (низш.)алкиларил, (низш.)арилалкил могут быть замещены указанными выше дополнительными гетероатомами и функциональными группами.
В другом варианте осуществления изобретения R5 и R6 оба не обозначают Н.
Молекулы РНК, предлагаемые в настоящем изобретении, должны нести по меньшей мере одну цепь, содержащую 3′-концы формул I, II или III. Предпочтительно обе цепи двухцепочечной РНК несут 3′-концы, содержащие группу формул I, II или III. Молекулы РНК, предлагаемые в настоящем изобретении, должны также иметь по меньшей мере один «тупой» конец, предпочтительно два «тупых» конца. В наиболее предпочтительном варианте осуществления изобретения молекулы РНК, предлагаемые в настоящем изобретении, имеют «тупые» концы на обеих сторонах, и оба конца содержат 3′-концы формул I, II или III.
Молекулы РНК, предлагаемые в настоящем изобретении, должны по меньшей мере частично иметь двухцепочечное строение. В предпочтительном варианте осуществления изобретения они являются полностью двухцепочечными. Они могут состоять из двух различных цепей, но могут иметь также одну цепь, образующую петлю в виде «шпильки». В наиболее предпочтительном варианте осуществления изобретения молекулы РНК, предлагаемые в настоящем изобретении, состоят из двух различных цепей, они являются полностью двухцепочечными, содержащими по меньшей мере один, предпочтительно два, «тупых» конца.
Молекулы РНК, предлагаемые в настоящем изобретении, опосредуют интерференцию РНК («PHKi»). Понятие «PHKi» хорошо известно в данной области и, как правило, подразумевает ингибирование одного или нескольких генов-мишеней в клетках с помощью dsPHK, которая имеет область, комплементарную гену-мишени. В данной области известны различные анализы для оценки способности dsPHK опосредовать PHKi (см., например, у Elbashir и др.. Methods, 26, 2002, сс.199-213). Воздействие dsPHK, предлагаемой в настоящем изобретении, на экспрессию гена, как правило, приводит к ингибированию экспрессии гена по меньшей мере на 10%, 33%, 50%, 90%, 95% или 99% по сравнению с клетками, не обработанными молекулами РНК, предлагаемыми в настоящем изобретении.
Молекулы РНК, предлагаемые в настоящем изобретении, содержат двухцепочечную область, практически идентичную области мРНК гена-мишени. Особенно предпочтительно область на 100% идентична соответствующей последовательности гена-мишени. Однако эта область может содержать также одно или два ошибочных спариваний по сравнению с соответствующей областью гена-мишени. Настоящее изобретение относится к молекулам РНК, мишенью для которых является более одного гена. В предпочтительном варианте осуществления изобретения специфической мишенью молекул РНК, предлагаемых в настоящем изобретении, является один конкретный ген. Для того чтобы единственной мишенью являлась требуемая мРНК, реагент siPHK должен быть на 100% гомологичен мРНК-мишени и иметь по меньшей мере два ошибочно спаренных нуклеотида по сравнению со всеми другими генами, присутствующими в клетке или организме. Методы анализа и идентификации dsPHK, последовательности которых в достаточной степени идентичны, чтобы ингибировать экспрессию специфической последовательности-мишени, известны в данной области. Идентичность последовательностей можно оптимизировать путем сравнения последовательностей и с использованием алгоритмов сравнительного анализа первичной структуры, которые известны в данной области (см. Gribskov и Devereux, Sequence Analysis Primer, изд-во Stockton Press, 1991, и процитированные в данной публикации ссылки), и рассчитывая процент различия между нуклеотидными последовательностями, например, с помощью алгоритма Смита-Уотермана (Smith-Waterman) согласно программному обеспечению BESTFIT с использованием задаваемых по умолчанию параметров (например, программного обеспечения, разработанного University of Wisconsin Genetic Computing Group). Другим фактором, оказывающим воздействие на эффективность PHKi-реагента, является область-мишень гена-мишени. Область гена-мишени, которую можно эффективно ингибировать с помощью PHKi-реагента, можно определять экспериментальным путем. Наиболее предпочтительной областью-мишенью мРНК является кодирующая область. Предпочтительными являются также нетранслируемые области, прежде всего 3′-UTR, экзон-интронные стыки. Для этой цели можно осуществлять, например, анализы с использованием трансфекции, описанные у Elbashir S.M. и др., EMBO J., 20, 2001, сс.6877-6888. В данной области существует целый ряд других пригодных анализов и методов, которые хорошо известны специалисту в данной области.
Длина комплементарной области молекул РНК, предлагаемых в настоящем изобретении, предпочтительно составляет от 10 до 100 нуклеотидов, более предпочтительно 15-50 нуклеотидов, еще более предпочтительно 17-30 нуклеотидов и наиболее предпочтительно 19-25 нуклеотидов. В особенно предпочтительном варианте осуществления изобретения молекулы РНК, предлагаемые в настоящем изобретении, состоят из коротких молекул dsPHK, имеющих 15-50 нуклеотидов, более предпочтительно 17-30 нуклеотидов и наиболее предпочтительно 19-25 нуклеотидов.
3′-конец dsPHK, предлагаемой в настоящем изобретении, обусловливает высокую стабильность in vivo в сыворотке или в питательной среде для клеточных культур. Так, для dsPHK, предлагаемой в настоящем изобретении, не требуется дополнительная стабилизация с целью предупреждения расщепления нуклеазами, для чего в данной области, как правило, добавляют, например, выступающие на 3′-конце 2 или 3 дезоксинуклеотида. Однако dsPHK, предлагаемая в настоящем изобретении, может содержать также по меньшей мере один модифицированный или не встречающийся в естественных условиях рибонуклеотид. Предпочтительные мутации включают (но не ограничиваясь ими) модификации в 2′-положении сахарного фрагмента, такого, например, как 2′-O-(2-метоксиэтил) или 2′-МОЕ (Martin и др., Helv. Chim. Acta, 78, 1995, сс.486-504), т.е. алкоксиалкоксигруппы. Другие предпочтительные модификации включают модификации каркаса, и они представляют собой (но не ограничиваясь ими) замену фосфоэфирной группы, связывающей соседние рибонуклеотиды, например, на фосфортиоаты, хиральные фосфортиоаты или фосфордитиоаты. Методы синтеза модифицированных или не встречающихся в естественных условиях рибонуклеотидов хорошо известны и легко доступны специалистам в данной области.
Молекулы dsPHK можно получать с помощью способа, включающего стадии, на которых:
(I) синтезируют две цепи РНК, используя для каждой, например, ТОМ-метод химического синтеза, проиллюстрированный в примере 1. Другие методы синтеза цепей РНК очевидны специалисту в данной области. Реакцию можно осуществлять в растворе или предпочтительно на твердой фазе или с использованием реагентов в качестве полимерных подложек;
(II) объединяют синтезированные цепи РНК в условиях, при которых образуется молекула dsPHK, которая может опосредовать ингибирование РНК.
Следующим объектом настоящего изобретения являются способы ингибирования гена-мишени, заключающиеся в том, что интродуцируют в клетку dsPHK, предлагаемую в настоящем изобретении, которая обладает способностью ингибировать по меньшей мере один ген-мишень посредством PHKi. Кроме того, в клетку можно одновременно или последовательно интродуцировать более одного вида dsPHK, каждая из которых обладает специфичностью в отношении другой области-мишени. DsPHK, предлагаемую в настоящем изобретении, можно интродуцировать в клетку различными стандартными методами генной инженерии, включая физические методы, в том числе простую диффузию, путем инъекции раствора, содержащего нуклеиновую кислоту, с помощью бомбардировки частицами, на которые нанесено покрытие, содержащее нуклеиновую кислоту, путем замачивания клетки или организма в растворе нуклеиновой кислоты, липофекции или электропорации клеточных мембран в присутствии нуклеиновой кислоты. Наиболее предпочтительный метод введения нуклеиновых кислот основан на применении липофекции. Клетки последовательно поддерживают в условиях, при которых происходит PHKi. Специалисту в данной области должны быть очевидны условия, в которых поддерживают данную клеточную линию для того, чтобы происходила PHKi. Этот способ ингибирования гена-мишени можно применять в терапевтических целях (например, для прекращения сверхэкспрессии гена при конкретном заболевании) или для исследований (например, для оценки функции гена или выявления мишеней при разработке лекарственных средств). В предпочтительном варианте осуществления изобретения с помощью этого способа функцию гена элиминируют полностью, т.е. с помощью этого способа у клеток «выключают» способность образовывать конкретный ген.
Клетка может представлять растительную или животную клетку. В предпочтительном варианте осуществления изобретения клетка представляет собой клетку млекопитающего, более предпочтительно человеческую клетку. Тип и источник не имеет решающего значения для настоящего изобретения, т.е. изобретение относится, например, к клеткам из внутренней клеточной массы, внезародышевой эктодермы или эмбриональным стволовым клеткам, тотипотентным или плюрипотентным, делящимся или неделящимся, паренхимным или эпителиальным, иммортализованным или трансформированным клеткам или т.п. Клетка может представлять собой стволовую клетку или дифференцированную клетку. Типы дифференцированных клеток включают (но не ограничиваясь ими) адипоциты, фибробласты, миоциты, кардиомиоциты, эндотелиальные, дендритные клетки, нейроны, клетки глии, тучные клетки, кровяные клетки и лейкоциты (например, эритроциты, мегакариоты, лимфоциты, такие как В-, Т-лимфоциты и естественные клетки-киллеры, макрофаги, нейтрофилы, эозинофилы, базофилы, тромбоциты, гранулоциты), эпителиальные клетки, кератиноциты, хондроциты, остеобласты, остеокласты, гепатоциты и клетки эндокринных или экзокринных желез, а также сенсорные клетки.
Согласно следующему объекту изобретения dsPHK, предлагаемую в настоящем изобретении, применяют для идентификации функции гена в организме, при этом осуществляют ингибирование активности гена-мишени с ранее неизвестной функцией. Вместо требующего больших временных затрат и трудоемкого выделения мутантов с помощью традиционного генетического скрининга, специалисты в области функциональной генетики могут точно определять функцию ранее неохарактеризованных генов, применяя dsPHK, предлагаемую в настоящем изобретении, для снижения уровня и/или изменения временной схемы активности гена-мишени. DsPHK, предлагаемую в настоящем изобретении, можно применять для определения потенциальных мишеней для фармацевтических агентов, понимания нормальных и патологических событий, связанных с развитием, определения путей передачи сигнала, ответственного за послеродовое развитие/старение, и т.п. С помощью настоящего изобретения может достигаться повышенная скорость получения информации о нуклеотидной последовательности из таких источников, как геном и экспрессированный ген, включая человеческий геном, с целью определения функции гена в системах млекопитающих, прежде всего в системах культур человеческих клеток.
Простота, с которой можно интродуцировать РНК в интактную клетку млекопитающего, содержащую ген-мишень, позволяет использовать способ ингибирования гена-мишени, предлагаемый в настоящем изобретении, для высокоэффективного скрининга (HTS). Например, растворы, содержащие молекулы РНК, предлагаемые в настоящем изобретении, которые могут ингибировать данный ген-мишень, можно помещать в индивидуальные лунки, расположенные упорядоченными рядами на титрационном микропланшете. В результате у интактной клетки в каждой лунке можно оценивать любые изменения или модификации поведения или развития, связанные с ингибированием активности гена-мишени, или использовать методы оценки белков, гена или стандартные методы молекулярной биологии. Таким образом, функцию гена-мишени можно оценивать по его воздействиям на клетку путем ингибирования активности гена.
Настоящее изобретение не ограничено каким-либо типом гена-мишени или нуклеотидной последовательности-мишени. Например, ген-мишень может представлять собой клеточный ген, эндогенный ген, связанный с патогеном ген или вирусный ген или онкоген. Ниже перечислены классы возможных генов-мишеней, которые даны только с целью иллюстрации, а не для ограничения объема изобретения: гены факторов транскрипции и развития (например, молекулы адгезии, ингибиторы циклинкиназ, представители семейства Wnt, представители семейства Pax, представители семейства Winged-спиралей, представители семейства Нох, цитокины/лимфокины и их рецепторы, факторы роста/дифференцировки и их рецепторы, нейромедиаторы и их рецепторы); онкогены (например, ABLI, BCLI, BCL2, BCL6, CBFA2, CBL, CSFIR, ERBA, ERBB, ERBB2, ETSI, ETV6, FGR, FOS, FYN, HCR, HRAS, JUN, KRAS, LCK, LYN, MDM2, MLL, MYB, MYC, MYCLI, MYCN, NRAS, PIMI, PML, RET, SKP2, SRC, TALI, TCL3 и YES); гены подавления опухолей (например, АРС, BRAI, BRCA2, СТМР, MADH4, MCC, NFI, NF2, RBI, TP53 и WTI); и ферменты (например, десатуразы и гидроксилазы АПБ (ацилпереносящий белок), АДФ-глюкозопирофорилазы, АТФазы, алгокольдегидрогеназы, амилазы, амилоглюкозидазы, каталазы, циклооксигеназы, декарбоксилазы, декстриназы, ДНК- и РНК-полимеразы, галактозидазы, глюкозооксидазы, ГТФазы, хеликазы, интегразы, инсулиназы, инвертазы, изомеразы, киназы, лактазы, липазы, липоксигеназы, лизоцимазы, пероксидазы, фосфотазы, фосфолипазы, фосфорилазы, протеиназы и пептидазы, рекомбиназы, обратные транскриптазы, теломеразы, включая компоненты РНК и/или белка, и топоизомеразы).
Конкретный ген любого патогена может быть мишенью для ингибирования. Например, ген, который может вызывать иммуносупрессию хозяина непосредственно или который имеет важное значение для репликации патогена, трансмиссии патогена или поддерживания инфекции. Мишенью для лечения путем интродукции РНК, предлагаемой изобретении, являются клетки, которые имеют риск заражения патогеном или которые уже являются зараженными, например, клетки, зараженные вирусом иммунодефицита человека (ВИЧ), зараженные возбудителем гриппа, малярии, гепатита, плазмодием, цитомегаловирусом, вирусом герпеса простого и вирусом ящера. Ген-мишень может представлять собой ген патогена или хозяина, ответственный за проникновение патогена в хозяина, ген, ответственный за метаболизм лекарственного средства в патогене или хозяине, репликацию или интеграцию генома патогена, проникновение или распространение инфекции в хозяине или совокупность следующей генерации патогена. Под объем изобретения подпадают также пути профилактики (т.е. предупреждения или снижения риска заболевания), а также снижения частоты или серьезности симптомов, связанных с инфекцией.
Следующим объектом изобретения является способ идентификации и/или получения характеристик фармакологических агентов, которые оказывают воздействие по меньшей мере на один белок-мишень, заключающийся в том, что: приводят в контакт эукариотическую клетку, предпочтительно клетку млекопитающего, более предпочтительно человеческую клетку, которая обладает способностью экспрессировать по меньшей мере один эндогенный ген, кодирующий представляющий(ие) интерес белок(ки) с (а) по меньшей мере одной молекулой dsPHK, предлагаемой в настоящем изобретении, которая обладает способностью ингибировать экспрессию гена(ов), кодирующего(их) представляющий(ие) интерес белок(ки), и (б) тестируемой субстанцией или набором тестируемых субстанций, фармакологические свойства которых (а именно, тестируемой субстанции или набора) должны быть идентифицированы и/или охарактеризованы. Клетки можно одновременно или последовательно приводить в контакт с dsPHK и соединением(ями), которое(ые) должно(ы) тестироваться, порядок, в котором клетки приводят в контакт с dsPHK и соединением(ями), не имеет решающего значения. В предпочтительном варианте осуществления изобретения клетки дополнительно содержат по меньшей мере одну экзогенную нуклеиновую кислоту, кодирующую вариант или мутантную форму представляющего(их) интерес белка(ов), когда экспрессия указанной экзогенной нуклеиновой кислоты в меньшей степени ингибируется указанной dsPHK.
Следующим объектом изобретения является также набор, содержащий реагенты для ингибирования экспрессии гена-мишени в клетке, где набор включает dsPHK, предлагаемую в настоящем изобретении. Набор содержит по меньшей мере один из реагентов, необходимых для осуществления in vitro или in vivo интродукции dsPHK, предлагаемой в настоящем изобретении, для тестирования образцов или индивидуумов. В предпочтительном варианте осуществления изобретения такие наборы содержат также инструкции, детализирующие процедуры, с помощью которых можно применять компоненты набора.
Следующим объектом настоящего изобретения являются фармацевтические композиции и препараты, которые включают dsPHK, предлагаемую в настоящем изобретении, которая обладает способностью ингибировать по меньшей мере один ген-мишень посредством PHKi. Фармацевтические композиции могут содержать также более одного вида dsPHK, каждый из которых является специфическим для другой области-мишени. Фармацевтические композиции, предлагаемые в настоящем изобретении, можно вводить разнообразными путями в зависимости от того, требуется ли местное или системное лечение, и в зависимости от области, подлежащей лечению. Обработка может быть местной (в том числе введение в глаз и на слизистые мембраны, включая вагинальное и ректальное введение), легочной, например, путем ингаляции или инсуффляции порошков или аэрозолей, в том числе с использованием распылителя; интратрахеальной, интраназальной, эпидермальной и трансдермальной), оральной или парентеральной. Парентеральное введение включает внутривенную, внутриартериальную, подкожную, внутрибрюшинную или внутримышечную инъекцию или инфузию; или внутричерепное, например подоболочечное или внутрижелудочковое введение.
Композиции, предлагаемые в настоящем изобретении, можно приготавливать в виде любых из многочисленных возможных форм лекарственных средств, таких как (но не ограничиваясь ими) таблетки, капсулы, жидкие сиропы, мягкие гели, суппозитории и клизмы. Композиции, предлагаемые в настоящем изобретении, можно приготавливать также в форме суспензий в водных, неводных или смешанных средах. Водные суспензии могут дополнительно содержать субстанции, которые повышают вязкость суспензии, в том числе, например, натрийкрбоксиметилцеллюлозу, сорбит и/или декстран. Суспензия может содержать также стабилизаторы. Фармацевтическая композиция может быть в виде соли, которую можно получать с различными кислотами, включая (но не ограничиваясь ими) соляную, серную, уксусную, молочную, винную, яблочную, янтарную и т.д. Соли характеризуются тенденцией к большей растворимости в водных или других протонных растворителях по сравнению с соответствующими формами в виде свободных оснований. В других случаях предпочтительным препаратом может являться лиофилизированный порошок, который может содержать любой или все перечисленные далее ингредиенты: 1-50 мМ гистидин, 0,1-2% сахарозы и 2-7% маннита при значении рН от 4,5 до 5,5, который объединяют с буфером перед применением.
Определение эффективной дозы находится в компетенции специалистов в данной области. Терапевтическую эффективность и токсичность можно определять с помощью стандартных фармацевтических процедур с использованием клеточных культур или экспериментов на животных, например, с определением значений ED50 (доза, обладающая терапевтической эффективностью для 50% популяции) и LD50 (доза летальная для 50% популяции). Соотношение доз, обладающих токсическим и терапевтическим действиями, обозначают как терапевтический индекс и его можно выражать в виде соотношения LD50/ED50. Предпочтительными являются фармацевтические композиции, характеризующиеся высокими терапевтическими индексами. Данные, полученные с использованием анализов на клеточных культурах и в опытах на животных, используют для определения диапазона доз препаратов, которые можно применять для человека. Доза, входящая в такие композиции, предпочтительно обеспечивает такую концентрацию в кровотоке, которая включает дозы, соответствующие ED50, но при этом обладают незначительной токсичностью или вообще являются нетоксичными. Дозы варьируются в указанном диапазоне в зависимости от применяемой формы лекарственного средства, чувствительности пациента и пути введения. Как правило, дозы могут варьироваться от 0,1 до 100000 мкг, вплоть до общей дозы примерно 1 г, в зависимости от пути введения. Указания, касающиеся конкретных доз и методов введения, представлены в литературе и, как правило, известны практикующим специалистам. Специалисты в данной области могут применять различные препаративные формы для нуклеотидов, белков или их ингибиторов. Аналогично этому, введение полинуклеотидов или полипептидов должно быть специфичным для конкретных клеток, условий, месторасположений и т.д.
Ниже изобретение проиллюстрировано на примерах, которые не ограничивают его объем.
Примеры
Пример 1:
Процедуры синтеза твердой подложки LM-17
3-[Бис(4-метоксифенил)фенилметокси]пропан-1-ол (LM-14)

К раствору 1,3-пропандиола (20 мл, 268 ммолей) в абсолютном пиридине (20 мл) в атмосфере аргона добавляли 4,4′-диметокситрифенилхлорметан (ДМТ-хлорид) (1,87 г, 5,4 ммоля). После перемешивания при комнатной температуре в течение 10 мин смесь сливали на смесь лед/вода и экстрагировали этилацетатом (дважды). Объединенные органические фазы промывали водой (дважды) и соляным раствором, сушили над сульфатом натрия, фильтровали и концентрировали. Полученную жидкость коричневого цвета очищали с помощью хроматографии на колонках (силикагель, элюент: этилацетат/гексан=1:2), получая 1,56 г (77%) LM-14 в виде масла желтоватого цвета.
Моно{3-[бис-(4-метоксифенил)фенилметокси]пропиловый}эфир янтарной кислоты (LM-15)

К раствору LM-14 (250 мг, 0,69 ммоля) в абсолютном пиридине (5 мл) в атмосфере аргона добавляли N,N-диметиламинопиридин (45 мг, 0,37 ммоля). После добавления янтарного ангидрида (57 мг, 0,57 ммоля) смесь перемешивали при комнатной температуре в течение ночи. Реакционную смесь разбавляли этилацетатом и промывали соляным раствором (3 раза). Органическую фазу сушили на сульфатом натрия, фильтровали, концентрировали, получая неочищенный продукт LM-15 (536 мг), который использовали без дополнительной очистки на следующей стадии.
Твердая подложка LM-17

К раствору неочищенного LM-15 (0,69 ммоля) в смеси с абсолютным ДМФ (5 мл) добавляли в атмосфере аргона пиридин (0,13 мл), 4-нитрофенол (143 мг, 1,0 ммоль) и N,N-дициклогексилкарбодиимид (ДЦК, 156 мг, 0,76 ммоля). Раствор желтого цвета перемешивали при комнатной температуре в течение 2 дней, после чего образовывалась суспензия желтого цвета. После фильтрации через целит к фильтрату добавляли аминопроизводное полистирола (457 мг). Добавляли триэтиламин (0,046 мл) и смесь встряхивали с использованием механического роллер-флакона в течение 24 ч. Смесь фильтровали и твердую подложку промывали дважды, используя каждый раз ДМФ (5 мл), метанол (5 мл) и диэтиловый эфир (5 мл), получая LM-17 (453 мг). Количественная оценка (абсорбция при 498 нм) тритильных групп, выделяющихся после обработки 0,1 мл раствора пара-толуолсульфоновой кислоты (1,9 г) в ацетонитриле (100 мл), подтвердила, что наполнение составляло 14 ммолей/г.
Пример 2
1. Синтез олигорибонуклеотидов (siPHK)
Модифицированные синтетические олигорибонуклеотиды, предлагаемые в настоящем изобретении, можно получать, используя стандартный метод ТОМ-фосфорамидитного химического синтеза в синтезаторах типа ABI394 или Expedite/Moss (фирма Applied Biosystems). Фосфорамидиты растворяли в ацетонитриле в концентрации 0,05М (0,2М на устройстве типа OligoPilot II), реакцию сочетания осуществляли путем активации фосфорамидитов с помощью 0,2М раствора трифлата бензимидазолия в ацетонитриле. Продолжительность реакции сочетания составляла, как правило, 3-6 мин. Первый кэппинг осуществляли, используя стандартные реагенты для кэппинга. Окисление осуществляли с помощью 0,1М раствора йода в смеси ТГФ/пиридин/вода (77:20:3) или 0,5М трет-бутилгидроксипероксида (фирма Fluka) в дихлорметане в течение 2 мин. Второй кэппинг осуществляли после окисления. У растущих цепей олигонуклеотидов удаляли тритильную группу для следующего сочетания, используя 2%-ную дихлоруксусную кислоту в дихлорметане или дихлорэтане. После завершения процесса связанные с подложкой соединения отщепляли и удаляли защитные группы, обозначенные как «Тритил-on», с помощью раствора метиламина (41% водного метиламина/33% этанольного метиламина, 1:1 об./об.) при 35°С в течение 6 ч. Образовавшиеся суспензии лиофилизировали досуха. 2′-O-силильные группы удаляли обработкой 1М фторидом тетрабутиламмония в течение 10 мин при 50°С и 6 ч при 35°С. Полученные неочищенные растворы очищали непосредственно с помощью ОФ-ЖХВР. Очищенные детритилированные соединения анализировали с помощью масс-спектрометрии с использованием электроспрея и капиллярного гель-электрофореза и количественно оценивали с помощью УФ на основе их коэффициента поглощения при 260 нм.
Олигонуклеотидные последовательности представлены в таблице:
| Название «ника» |
Мишень |
Антисмысловая цепь |
Смысловая цепь |
| siPHK 8646 |
Р2х3 |
ACU ССА UCC AGC CGA GUG Aasg |
UCA CUC GGC UGG AUG GAG Utst |
| С3-8646 |
Р2х3 |
ACU ССА UCC AGC CGA GUG A-C3 |
UCA CUC GGC UGG AUG GAG U-C3 |
| фосфат-8646 |
Р2х3 |
ACU ССА UCC AGC CGA GUG А-р |
UCA CUC GGC UGG AUG GAG U-p |
| лишенный азотистого основания-8646 |
Р2х3 |
ACU ССА UCC AGC CGA GUG A-ab-ab |
UCA CUC GGC UGG AUG GAG Uab-ab |
| siPHK 8549 |
Luc |
UCG AAG UAC UCA GCG UAA GdTdT |
CUU ACG CUG AGU ACU UCG AdTdT |
| siPHK-10557 |
GAPDH |
GGC CAU ССА CAG UCU UCU Ggg |
CAG AAG ACU GUG GAU GGC CUU |
| MM siPHK-10559 |
GAPDH |
GGC CAG ССА CAU UCG UCU Ugg |
AAG ACG AAU GUG GCU GGC CUU |
| С3-10569 |
GAPDH |
GGC CAU ССА CAG UCU UCU G-C3 |
CAG AAG ACU GUG GAU GGC C-C3 |
| Название «ника» |
Мишень |
Антисмысловая цепь |
Смысловая цепь |
| ММС3-10571 |
GAPDH |
GGC CAG CCA CAU UCG UCU U-C3 |
AAG ACG AAU GUG GCU GGC C-C3 |
| siPHK2 |
hGAPDH |
CAU GUA GUU GAG GUC AAU Gaa |
CAU UGA CCU CAA CUA CAU GUU |
| siPHK2 MM |
hGAPDH |
CAU GUA GAU GAU GUC GAU Gaa |
CAU CGA CAU CAU CUA CAU GUU |
| C3-siPHK2 |
hGAPDH |
CAU GUA GUU GAG GUC AAU G-C3 |
CAU UGA CCU CAA CUA CAU G-C3 |
| C3-siPHK2 MM |
hGAPDH |
CAU GUA GAU GAU GUC GAU G-C3 |
CAU CGA CAU CAU CUA CAU G-C3 |
| OH-siPHK |
hGAPDH |
CAU GUA GAU GAU GUC GAU G |
CAU UGA CCU CAA CUA CAU G |
| P2-siPHK |
hGAPDH |
CAU GUA GAU GAU GUC GAU G-p |
CAU UGA CCU CAA CUA CAU G-p |
N обозначает РНК, n обозначает 2′-метоксиэтилрибонуклеозид, dN обозначает дезоксирибонуклеозид, ab обозначает рибонуклеозид, лишенный азотистого основания, р обозначает фосфат, s обозначает фосфоротиоат, С3 обозначает сложный гидроксипропилфосфодиэфир
Пример 3
3.1 Материалы и методы
Материалы: Олигофектамин и другие реагенты для клеточных культур получали от фирмы Life Technologies, GibcoBRL, которая теперь называется Invitrogen, Гейтерсберг, шт. Мэриленд). JetPEI получали от фирмы Polyplus-Transfection (Иллкирх, Франция).
Клеточные линии: Стабильно трансфектированные клетки яичника китайского хомяка (СНО-K1) (АТСС CCL61, Американская коллекция типовых культур, Роквилл, шт. Мэриленд), экспрессирующие рекомбинантный крысиный Р2Х3, получали согласно описанному методу (Hemmings и др., NAR 31, 2003, сс.2117-2126). СНО-клетки культивировали в минимальной поддерживающей среде (МЕМ- ), дополненной 10 об.% ФБС, 2 мМ глутамином, в увлажняющем 5% CO2-инкубаторе. Клетки линии HeLa культивировали в модифицированной по способу Дульбекко среде Игла (DMEM 41965), дополненной 10 об.% ФБС, 2 мМ глутамином в увлажняющем 5% СО2-инкубаторе.
Синтез олигонуклеотидов: Олигорибонуклеотиды получали от фирмы Qiagen или синтезировали, используя метод ТОМ-фосфорамидитного химического синтеза, описанный у производителя (фирма Qiagen), и очищали с помощью ОФ-ЖХВР. Несущие 3′-гидроксипропилфосфатную группу олигорибонуклеотиды синтезировали на твердой подложке LM-17 (наполнение: 14 ммолей/г). Удлинение олигонуклеотидной цепи, отщепление от подложки, удаление защитных групп и очистка идентичны применяемым для 21-мерных олигорибонуклеотидов, которые имеют два дезоксинуклеотида в качестве 3′-выступающих концов.
Чистоту оценивали с помощью капиллярного гель-электрофореза. Количественную оценку осуществляли с помощью УФ на основе их коэффициента поглощения при 260 нм. Отжиг двухцепочечной РНК (dsPHK) осуществляли согласно известному методу (Elbashir и др.. Methods 26, 2002, сс.199-213). Олигонуклеотидные последовательности, которые применяли в указанной публикации, представлены в таблице 1 и их характеристики были получены с помощью масс-спектроскопии с использованием электроспрея.
Трансфекция клеток: Смеси катионный липид-олигонуклеотид (олигофектамин) и полимер-олигонуклеотид (jetPEI) готовили непосредственно перед трансфекцией согласно описанному ранее методу. За 18 ч до трансфекции 4×104 клеток высевали в 24-луночные планшеты, используя для каждой лунки по 0,5 мл среды МЕМ- для СНО-клеток или 0,5 мл среды DMEM для клеток линии HeLa (обе среды дополнены 10 об.% ФБС, 2 мМ глутамином). Перед трансфекцией питательную среду удаляли из клеток и заменяли 500 мкл среды OptiMEM и 100 мкл смеси реагент для трансфекции/олигонуклеотид. Планшеты инкубировали при 37°C в увлажняющем 5% СО2-инкубаторе. Через 4 ч добавляли в каждую лунку по 60 мкл ФБС и инкубацию продолжали в течение 20 ч.
Сбор РНК и количественный анализ мРНК с помощью ПЦР в реальном времени: Общую РНК выделяли через 24 ч после трансфекции олигонуклеотидами с помощью набора RNeasy 96 (фирма Qiagen, Чатсворт, шт. Калифорния) согласно протоколу производителя. Образцы РНК смешивали с реагентами из набора Reverse Transcriptase Q-PCR mastermix (фирма Eurogentec) и разгоняли согласно прилагаемому к набору протоколу.
3.2 Активность siPHK с «тупыми» концами
Линию СНО-клеток, экспрессирующую крысиный пуринорецептор Р2Х3, применяли для сравнения относительной активности различных ингибиторов мРНК, таких как первое и второе поколение олигонуклеотидов (ASO), а также короткие интерферирующие РНК. Применение линейного PEI в качестве «универсального» реагента для трансфекции позволяет осуществлять для сравнения анализ типа «голова к голове» между этими различными ингибиторами экспрессии генов. Последовательность siPHK, выбранную из оптимальных ASO-последовательностей, которые были ранее охарактеризованы (Dorn и др., Antisense & Nucleic Acid Drug Development 11, 2001, сс.165-174), создавали для целевого воздействия на кодирующую последовательность Р2Х3 и было установлено, что они эффективно и избирательно осуществляли понижающую регуляцию экспрессии Р2Х3 на молекулярном уровне, что продемонстрировано с помощью Q-PB-ПЦР, иммунологического анализа и функционального анализа. В качестве положительного контроля использовали последовательность siPHK, имеющую две комплементарные мишени модифицированных 2′-МОЕ выступающих конца, которые связаны друг с другом через фосфоротиоатную межнуклеозидную связь. Затем синтезировали соответствующую 19-мерную siPHK с «тупым» концом так, чтобы после опосредуемого аммиаком отщепления от твердой подложки высвободившееся соединение сохраняло гидроксипропилфосфатную (hpp) группу в 3′-положении последнего рибонуклеотида.
В качестве промежуточной между 21-мерной siPHK (два комплементарных выступающих конца) и 19-мерной siPHK с «тупым» концом синтезировали также последовательность, гомологичную состоящей из 21 нуклеотида siPHK с двумя лишенными азотистого основания нуклеозидными выступающими концами. Такие ненуклеозидные выступающие концы при создании изобретения позволяли оценивать, имеет ли одна из стадий, участвующая в пути PHKi, и более конкретно является ли совершенно необходимым удлинение 3′-конца siPHK в процессе разматывания дуплекса.
С помощью siPHK трансфектировали СНО-клетки, используя JetPEI при соотношении N/P, равном 5. Уровни мРНК оценивали с помощью ОТ-Q-ПЦР через 24 ч после трансфекции. Как видно на фиг.2, при использовании всех трех соединений в СНО-клетках обнаружено снижение уровня мРНК глицеральдегид-фосфат-дегидрогеназы (GAPDH), при этом уровень понижающей регуляции оказался сопоставимым. Состоящая из 19 пар оснований siPHK с «тупым» концом, несущая 3′-гидроксипропилфосфатный рибонуклеотид, обладала такой же эффективностью в отношении ингибирования мРНК Р2Х3, что и 21-мерная siPHK «дикого типа».
При создании настоящего изобретения модификацию аналогичного формата применяли для siPHK, мишенью которой является эндогенный ген, и создавали последовательность siPHK, мишенью которой является мРНК GAPDH китайского хомячка, таким образом, что она являлась также специфичной и полностью гомологичной гену человеческой GAPDH. После трансфекции СНО-клеток 21-мерной siPHK (2 дезоксирибонуклеотидных выступающих конца) и несущей 3′-гидроксипропилфосфатную группу siPHK (19-мерная) с использованием концентраций от 25 до 200 нМ, анализ с помощью OT-Q-ПЦР уровня мРНК GAPDH китайского хомячка позволил установить, что оба соединения обладали эквивалентной способностью осуществлять понижающую регуляцию мРНК, хотя понижающая регуляция являлась несколько более выраженной при использовании высоких концентраций siPHK «дикого типа». Однако при использовании для трансфекции одинаковых концентраций катионного липида олигофектамина оба соединения обладали совершенно одинаковой способностью ингибировать мРНК.
Взятые в совокупности, эти данные свидетельствуют о том, что модификация или отсутствие олигонуклеотидных выступающих концов на 3′-концах siPHK в СНО-клетках не имеют решающего значения для их способности к интерференции.
3.3 Активность в человеческих клетках siPHK с «тупыми» концами
Для подтверждения этого впервые полученного результата в человеческих клетках создавали последовательность siPHK, мишенью которой является открытая рамка считывания мРНК человеческой GAPDH. siPHK как с «тупыми» концами, так и «дикого типа» вызывали молчание человеческой GAPDH в клетках линии HeLa с одинаковым уровнем понижающей регуляции мишени (фиг.3).
3.4 Функциональные требования к 3′-концу siPHK с «тупыми» концами
С учетом данных о том, что на двух различных линиях клеток млекопитающих и с использованием различных мишеней отсутствие выступающих концов не влияет на способность вызывать молчание (на ингибирующую активность) полученных siPHK с «тупыми» концами, при создании изобретения оценивали также, требуется ли специфический химический остаток в 3′-положении рибонуклеотида на первом 3′-рибонуклеотиде siPHK с «тупыми» концами для оптимального процесса ингибирования.
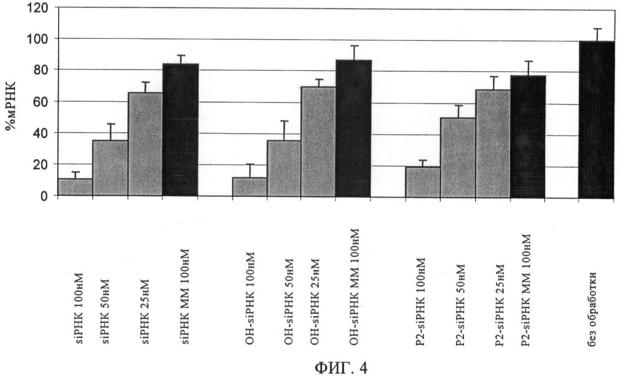
Из данных, представленных на фиг.4, видно, что как несущие 3′-гидроксигруппу, так и несущие 3′-фосфатную группу siPHK с «тупыми» концами обусловливали такой же уровень понижающей регуляции мРНК GAPDH, которая являлась для них мишенью, на клетках линии HeLa, что и 21-мерная siPHK «дикого типа», при этом обладали более высоким избирательным действием по сравнению с контролем, несущим три ошибочно спаренных нуклеотида.
Формула изобретения
1. Двухцепочечная РНК, опосредующая интерференцию РНК и включающая две комплементарные цепи РНК, содержащие 17-30 нуклеотидов по меньшей мере с одним «тупым» концом, где двухцепочечная РНК содержит 3′-конец формулы I:
 в которой Х означает О или S, R1 и R2 независимо друг от друга означают ОН, NH2, SH, алкил, арил, алкиларил, арилалкил, где алкил, арил, алкиларил, арилалкил необязательно замещены дополнительными гетероатомами и функциональными группами, где указанный гетероатом выбирают из группы, включающей N, О и S, и указанную функциональную группу выбирают из группы, включающей ОН, NH2, SH, карбоновую кислоту и сложный эфир, или R1 и R2 могут иметь формулу Y-Z, в которой Y означает О, N, S и Z означает Н, алкил, арил, алкиларил, арилалкил, где алкил, арил, алкиларил, арилалкил необязательно замещены дополнительными гетероатомами, где указанный гетероатом выбирают из группы, включающей N, О и S, при условии, что оба R1 и R2 не означают ОН.
2. Двухцепочечная РНК по п.1, в которой R1 означает ОН.
3. Двухцепочечная РНК по п.1 или 2, которая содержит состоящую из 15-30 нуклеотидов область, комплементарную гену-мишени.
4. Двухцепочечная РНК по п.1, в которой R1 и R2 независимо друг от друга означают ОН, NH2, SH, (низш.)алкил, включающий до 7 атомов углерода, (низш.)арил, включающий до 7 атомов углерода, (низш.)алкиларил, (низш.)арилалкил, где (низш.)алкил, (низш.)арил, (низш.)алкиларил, (низш.)арилалкил, необязательно замещены дополнительными гетероатомами и функциональными группами, где гетероатом выбирают из группы, включающей N, О и S, и указанную функциональную группу выбирают из группы, включающей ОН, NH2, SH, карбоновую кислоту и сложный эфир; или R1 и R2 могут иметь формулу Y-Z, в которой Y означает О, N, S и Z означает алкил, арил, алкиларил, арилалкил, где алкил, арил, алкиларил, арилалкил необязательно замещены дополнительными гетероатомами, и указанный гетероатом, выбрают из группы, включающей N, О и S.
5. Двухцепочечная РНК по п.1, в которой R1 означает ОН и R2 содержит от 1 до 24 С-атомов.
6. Двухцепочечная РНК по п.1, 2, 3, 4 или 5, где указанная двухцепочечная РНК имеет два «тупых» конца.
7. Двухцепочечная РНК по пп.1-5, в которой Z означает один или несколько нуклеозидов, лишенных азотистого основания.
8. Фармацевтическая композиция, содержащая эффективное для ингибирования экспрессии гена-мишени в клетке количество по меньшей мере одной dsPHK по одному из пп.1-6, а также по меньшей мере одну неактивную добавку.
РИСУНКИ
|
|