Патент на изобретение №2399655
|
||||||||||||||||||||||||||||||||||||||||||||||||||||||||||||||||||||||||||||||
(54) ЖИДКАЯ ЧИСТЯЩАЯ КОМПОЗИЦИЯ ДЛЯ ТВЕРДОЙ ПОВЕРХНОСТИ
(57) Реферат:
Изобретение относится к способам очистки твердых поверхностей и композициям для такого назначения. Сущность: композиция содержит в мас.%: 0,01-10 малоновой кислоты или ее производных, 0,01-50 поверхностно-активного материала и полимер, причем соотношение полимер/малоновая кислота по массе составляет от 1:1 до 20:1. Поверхностно-активный материал содержит анионное и неионное поверхностно-активное вещество в соотношении между 20:1 и 1:10. Способ удаления грязи или пятен с твердых поверхностей включает в себя стадии последовательной обработки поверхности композицией, где допускают осаждение на поверхности загрязнений или пятен, и очищают поверхность, чтобы удалить загрязнения или пятна. Технический результат – повышение степени последующей очистки поверхности, предпочтительно, от жировых загрязнений и пятен. 4 н. и 6 з.п. ф-лы, 6 табл.
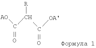
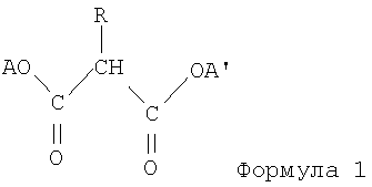
Область техники, к которой относится изобретение Настоящее изобретение относится к способам очистки твердых поверхностей и к композициям, подходящим для такого назначения, в том числе применение малоновой кислоты для таких поверхностей. Уровень техники Рабочие поверхности жилых помещений обычно чистят с использованием композиций, которые содержат один или несколько компонентов, которые способствуют удалению жирной/маслянистой/засаленной грязи и/или любых видимых пятен, например, связанного с твердыми отходами. Такие композиции могут быть использованы в виде разбавленных или концентрированных водных растворов, например, с тряпкой, скребком или другим приспособлением, или в виде аэрозоля, такого как аэрозольный распылитель с пусковым устройством или другое аэрозольное устройство для нанесения, необязательно с последующим промыванием. Такие композиции могут быть или кислотными, или щелочными. Кислотные композиции часто содержат карбоновые кислоты, которые могут быть моно-, ди- или поликарбоновыми кислотами, такими как лимонная кислота, сорбиновая кислота, уксусная кислота, муравьиная кислота, малеиновая кислота, адипиновая кислота, молочная кислота, яблочная кислота и гликолевая кислота. Если конкретно не оговорен тип грязи, требуется наличие сильной минеральной кислоты; такие кислоты обычно не рекомендуются в связи с повреждениями, которые они могут вызвать на тонких и чувствительных к кислотам поверхностях. Кислотные моющие средства обычно применяются для удаления грязи, чувствительной к кислотам, такой как известковая накипь. Для удаления жирной грязи обычно предпочтительными являются щелочные композиции. Из уровня техники известно применение малоновой кислоты в кислотных моющих средствах для твердых поверхностей. В патенте UK 2392167 описана композиция, которая включает в себя малоновую кислоту. Описанная композиция изготавливается по рецептуре кислотной композиции и предназначается для очистки туалетов. В патентах US В документах WO 00/32737 и WO 00/27983 раскрыт способ очистки с использованием кислот, имеющих показатель рКа>3,5, с целью предотвращения повреждения эмалированных поверхностей. Малоновая кислота является необязательным компонентом в композиции и используется в качестве хелатообразующего агента. Хотя показатель рКа малоновой кислоты равен 2,8, этот факт никак не отмечается. В документе WO 94/016045 раскрыты композиции для посудомоечной машины, содержащие дикарбоновые кислоты, такие как малоновая кислота, в качестве ингибитора коррозии. Независимо от кислотных или щелочных условий очистки было бы желательно иметь материал, который наносят на очищаемую поверхность и который способствовал бы удалению грязи и/или пятен при последующей очистке. Краткое изложение сущности изобретения Было обнаружено, что после того как поверхность обработана малоновой кислотой, определенными производными малоновой кислоты или их солями, загрязнения или пятна, впоследствии осажденные на этой поверхности, удаляются легче, чем без предварительной обработки. Обычно этот эффект называется “преимуществом последующей очистки”. Таким образом, объектом настоящего изобретения является разработка способа удаления грязи или пятен с твердых поверхностей, который включает в себя обработку поверхности малоновой кислотой, определенными производными малоновой кислоты или их солями. Дальнейшей целью настоящего изобретения является разработка композиций для очистки твердых поверхностей, содержащих малоновую кислоту, определенные производные малоновой кислоты или их соли. Подробное описание изобретения Все указанные в изобретении проценты даны по массе и рассчитаны на всю композицию, если не указано иное. Соответственно, в настоящем изобретении разработан способ удаления загрязнений или пятен с твердой поверхности, причем этот способ включает в себя последовательность стадий: (а) обработка поверхности соединением, имеющим общую формулу 1:
в которой А и А’ независимо выбирают из группы -Н, ионов щелочных и щелочноземельных металлов, ионов четвертичного аммония, ионов трехвалентных металлов и органических катионов, и где R выбирают из группы -Н или C1-C4 алкила или комбинации таких соединений; (b) допускают осаждение на поверхности загрязнений или пятен; и (c) очищают поверхность, чтобы удалить загрязнения или пятна. Кроме того, настоящее изобретение предоставляет жидкую композицию для очистки твердых поверхностей, которая включает в себя: (a) от 0,01 до 10 мас.% соединения, имеющего указанную выше общую формулу 1; и (b) от 0,01 до 50 мас.% от общей массы всей композиции материала поверхностно-активного вещества, где поверхностно-активное вещество включает в себя анионное и неионное поверхностно-активное вещество в соотношении между 20:1 и 1:10. Используемые в изобретении выражения «загрязнения» и «пятна» в основном включают в себя все виды загрязнений и пятен, которые обычно возникают в домашнем хозяйстве, или органического, или неорганического происхождения, как видимые, так и невидимые невооруженным глазом, в том числе загрязненные твердые отходы и/или с бактериями, или другими болезнетворными микроорганизмами. Конкретно, способ и композиции согласно изобретению могут быть использованы для обработки жирных или засаленных загрязнений и пятен, более конкретно, таких, что вызваны природными жирами или маслами. Не прибегая к любой конкретной теории или объяснению, заявители полагают, что малоновая кислота проявляет свое действие путем осаждения на поверхности и оказывает влияние на загрязнения или пятна, которые впоследствии осаждаются на поверхности таким образом, что предотвращается сильное связывание этих загрязнений или пятен с поверхностью. Следовательно, в предпочтительном варианте осуществления этого изобретения соединение, соответствующее формуле 1 (в последующем кратко называется “малоновая кислота”), наносится на поверхность в виде раствора, предпочтительно водного раствора, который затем оставляют подсохнуть на поверхности. Стадия (с) способа согласно изобретению выгодно осуществляется с применением композиции для очистки твердой поверхности, которая включает в себя малоновую кислоту, снова таким образом, что удаляются загрязнения или пятна, и наносят свежую порцию малоновой кислоты, эффективную составляющую стадии (а) последующего способа согласно первому замыслу изобретению. После стадии (с) необязательно следует стадия промывки, предпочтительно водой. Собственно малоновая кислота может быть произведена из сахарной свеклы и поэтому может быть отнесена к природным материалам, что в настоящее время имеет все возрастающее значение для потребителей. Используемый в настоящем изобретении термин “малоновая кислота” подразумевает, что включены производные малоновой кислоты, а также соли или смеси этих соединений, как указано выше в формуле 1. Предпочтительно, R выбирают из группы -Н, или -СН3, или -CH2CH3. Кроме того, настоящее изобретение может обеспечивать другие преимущества, такие как улучшенное восприятие поверхности (например, гладкость) во время и/или после чистки, обонятельные преимущества (например, ослабление тошнотворного запаха) до чистки, поверхностной коррозии и уменьшение шума во время чистки. Дополнительные аспекты настоящего изобретения включают в себя использование малоновой кислоты или композиций, содержащих малоновую кислоту, для получения одного или нескольких из указанных преимуществ при выполнении чистки твердой поверхности и/или применение малоновой кислоты в производстве продуктов для получения одного или нескольких из других преимуществ. Более того, малоновая кислота не приводит к обесцвечиванию, что представляет собой особое преимущество способа чистки согласно изобретению. Способы, применение, композиции и изделия согласно настоящему изобретению используются при обработке любой рабочей поверхности в домашнем хозяйстве, которые встречаются на кухне и в ванной комнате, в том числе крышки кастрюль, лопасти выжималки, плитки, полы, ванны, туалеты, раковины, душевые, посудомоечные машины, вентили, сточные трубы и рабочие поверхности. Эти поверхности могут быть выполнены, например, из пластиков, стекла, эмали, керамики, дерева (покрашенного, лакированного или с другим покрытием) или металла (например, нержавеющая сталь или хром). Формы применения Предпочтительно, малоновую кислоту наносят на поверхность в виде композиции, содержащей малоновую кислоту, или с помощью скребка, пропитанного малоновой кислотой, или составом, содержащим малоновую кислоту. Композиции для обработки твердой поверхности Согласно настоящему изобретению малоновая кислота может быть использована в любой подходящей композиции. Композиция должна быть удобной для нанесения материала с малоновой кислотой на твердую поверхность. Малоновая кислота может присутствовать в композиции в любой подходящей форме, например в форме раствора или дисперсии. Кроме того, компонент может быть в твердой форме, которая будет увлажняться при использовании, за исключением других форм, которые указаны или подразумеваются. Однако в предпочтительных вариантах осуществления композиции являются жидкими. Термин «жидкость» включает в себя растворы, дисперсии, эмульсии, гели, пасты и тому подобное. В жидком виде, предпочтительно, они имеют показатель pH выше 6. Подходящие жидкие композиции включают в себя растворы, дисперсии или эмульсии в жидком носителе, который может представлять собой органический растворитель, или воду, или их комбинации. Предпочтительно, большая часть растворителя (то есть 50% или больше) составляет вода. Композиции могут быть использованы только для нанесения малоновой кислоты, или они могут выполнять дополнительные функции, например очищающие. Общее содержание малоновой кислоты в любой такой композиции, предпочтительно составляет, по меньшей мере, 0,01%, более предпочтительно, по меньшей мере, 0,1%, не более, чем 10%, предпочтительно не более, чем 5%, более предпочтительно не более, чем 2% от всей композиции и целесообразно не более, чем 1% от этой композиции. Композиция может быть нанесена с помощью любого подходящего средства в разбавленном или концентрированном виде. Например, ее можно выливать или разбрызгивать на поверхности из контейнера или из аэрозольного баллончика, или из пистолета-распылителя. В качестве альтернативы, композиция может быть нанесена с помощью тряпки, чистящей салфетки или другого средства, которое смочено этой композицией. Композиции, используемые в настоящем изобретении, могут включать в себя компоненты, которые хорошо известны из уровня техники для очищающих композиций для твердых поверхностей. Очищающие композиции для твердых поверхностей согласно изобретению включают в себя, по меньшей мере, одно поверхностно-активное вещество и необязательные другие компоненты, очищающие твердые поверхности. Особенно предпочтительно, когда композиция находится в виде «жидкости», имеющей вязкость, по меньшей мере, 100 мПа·с, которую измеряют при скорости сдвига 21 с-1 при комнатной температуре, но предпочтительно не больше, чем 5000 мПа·с. Эта вязкая жидкая композиция может находиться в виде собственно вязкой жидкости, или геля, пены, мусса или пасты. Вязкость может быть обусловлена одним или несколькими другими компонентами в системе, например “внешним полимерным загустителем”, который может быть синтетическим полимером, например, поликарбоксилатного типа, таким как Carbopol Пены и муссы обычно подаются из распылительного устройства, которое газифицирует или аэрирует распыляемый продукт. Показатель pH В жидких композициях для обработки твердых поверхностей согласно изобретению показатель pH композиции предпочтительно выше 6, более предпочтительно, по меньшей мере, 6,5, и не больше, чем 14, предпочтительно не больше, чем 13, более предпочтительно не больше, чем 12. В щелочных композициях показатель pH предпочтительно составляет, по меньшей мере, 7. Показатель pH раствора может быть отрегулирован органическими или неорганическими кислотами или основаниями. Предпочтительные неорганические основания представляют собой гидроксиды щелочных или щелочноземельных металлов, аммиак, карбонаты или бикарбонаты. Предпочтительным щелочным металлом является натрий (Na+) или калий (K+), и предпочтительным щелочноземельным металлом является кальций (Са2+) или магний (Mg2+). Органические основания предпочтительно представляют собой оксиды аминов. Неорганические кислоты могут включать в себя хлористоводородную кислоту, серную кислоту или фосфорную кислоту, и органические кислоты могут включать в себя уксусную кислоту, лимонную кислоту или муравьиную кислоту, а также смеси дикарбоновых кислот, такие как Radimix (торговая марка, фирма Radici Group) и Sokalan DCS (торговая марка, фирма BASF). Поверхностно-активные вещества Композиции согласно изобретению, или для применения в этом изобретении, включают в себя поверхностно-активное вещество (активный детергент), которое обычно выбирают из группы анионных, а также неионных активных детергентов. Кроме того, композиции могут содержать катионоактивные, амфотерные и цвиттер-ионные поверхностно-активные вещества. В композициях настоящего изобретения, содержащих поверхностно-активное вещество, суммарное количество используемого поверхностно-активного вещества обычно может изменяться от 0,01 до 50%. Предпочтительно, это количество составляет, по меньшей мере, 0,1%, более предпочтительно, по меньшей мере, 0,5%, еще более предпочтительно, по меньшей мере, 1%. Максимальное количество обычно составляет 30% или меньше, предпочтительно не больше, чем 20%, или даже оно равно 10% или меньше. Подходящие синтетические анионные поверхностно-активные вещества (не мыла) представляют собой органические растворимые в воде соли моноэфиров серной кислоты и сульфоновых кислот, которые имеют в молекулярной структуре алкильную группу с разветвленной или неразветвленной цепочкой, содержащей от 6 до 22 атомов углерода в алкильном фрагменте. Примерами таких анионных поверхностно-активных веществ являются растворимые в воде соли: – сульфатов (первичных) спиртов с длинной цепочкой (например, 6-22 атомов углерода), которые в последующем называются СПС, особенно те, что получены путем сульфатации жирных спиртов, полученных путем восстановления глицеридов таллового или кокосового масла; – алкилбензолсульфонатов, например, таких, в которых алкильная группа содержит от 6 до 20 атомов углерода; – вторичных алкилсульфонатов; и их смесей. Кроме того, подходящими являются соли: – сульфатов простых алкилэфиров глицерина, особенно простых эфиров жирных спиртов, произведенных из таллового и кокосового масла; – сульфатов моноглицеридов жирных кислот; – сульфатов этоксилированных алифатических спиртов, содержащих 1-12 этиленоксидных групп; – сульфатов простых эфиров алкилфенолов и этиленоксида, содержащих от 1 до 8 этиленоксидных звеньев в молекуле, и в которых алкильные группы содержат от 4 до 14 атомов углерода; – продукта взаимодействия жирных кислот, этерифицированных изэтионовой кислотой и нейтрализованных щелочью, и их смесей. Предпочтительные растворимые в воде синтетические анионные поверхностно-активные вещества представляют собой соли щелочных металлов (таких как натрий и калий) и щелочноземельных металлов (таких как кальций и магний), алкилбензолсульфонатов и смесей с олефинсульфонатами и алкилсульфатами, и сульфатами моноглицеридов жирных кислот. Наиболее предпочтительными анионными поверхностно-активными веществами являются алкилароматические сульфонаты, такие как алкилбензолсульфонаты, содержащие от 6 до 20 атомов углерода в алкильной группе в неразветвленной или разветвленной цепочке, конкретными примерами которых являются натриевые соли алкилбензолсульфонатов или алкилтолуол-, ксилол- или фенолсульфонатов, алкилнафталинсульфонатов, диамилнафталинсульфонат аммония и динонилнафталинсульфонат натрия. Если будет использоваться синтетическое анионное поверхностно-активное вещество, то его количество, присутствующее в композициях согласно изобретению, обычно может составлять, по меньшей мере, 0,1%, предпочтительно, по меньшей мере, 0,5%, более предпочтительно, по меньшей мере, 1,0%, но не больше, чем 20%, предпочтительно, по большей мере, 10%, более предпочтительно, по большей мере, 8%. Подходящий класс неионных поверхностно-активных веществ может быть обобщенно описан, как соединения, полученные путем конденсации простых алкиленоксидов, которые имеют гидрофильную природу, с алифатическим или алкилароматическим гидрофобным соединением, имеющим реакционноспособный атом водорода. Длину гидрофильной или полиоксиалкиленовой цепочки, которая присоединена к любой конкретной гидрофобной группе, можно легко регулировать с целью получения соединения, обладающего желательным балансом (ГЛБ) между гидрофильным и гидрофобным фрагментами. Это обеспечивает выбор неионных поверхностно-активных веществ с нужным показателем ГЛБ. Конкретные примеры включают в себя: – продукты конденсации алифатических спиртов, имеющих от 8 до 22 атомов углерода в каждой конфигурации неразветвленной или разветвленной цепочки, с этиленоксидом, такие как продукты конденсации кокосового спирта с этиленоксидом, имеющие от 2 до 15 моль этиленоксида на моль кокосового спирта; – продукты конденсации алкилфенолов, имеющих алкильные группы C6-C15, с 5-25 молями этиленоксида на моль алкилфенола; – продукты конденсации продукта взаимодействия этилендиамина и пропиленоксида с этиленоксидом, причем эти продукты конденсации содержат от 40 до 80% этиленоксидных групп по массе и имеют молекулярную массу от 5000 до 11000. Другими классами неионных поверхностно-активных веществ являются: – алкилполигликозиды, которые представляют собой продукты конденсации алифатических спиртов с длинной цепочкой и сахаридов; – оксиды третичных аминов структуры RRRNO, где один радикал R представляет собой алкильную группу от 8 до 20 атомов углерода, а каждый другой из радикалов означает алкильную или гидроксиалкильную группу с 1-3 атомами углерода, например, оксид диметилдодециламина; – оксиды третичных фосфинов структуры RRRPO, где один радикал R представляет собой алкильную группу от 8 до 20 атомов углерода, а каждый другой из радикалов означает алкильную или гидроксиалкильную группу с 1-3 атомами углерода, например, оксид диметилдодецилфосфина; – диалкилсульфоксиды структуры RRSO, где один радикал R представляет собой алкильную группу от 10 до 18 атомов углерода, а другой R означает метил или этил, например метилтетрадецилсульфоксид; – алканоламиды жирных кислот, такие как этаноламиды; – продукты конденсации алкиленоксида и алканоламидов жирных кислот; – алкилмеркаптаны. Количество неионного поверхностно-активного вещества, которое может быть использовано в чистящей композиции согласно изобретению, предпочтительно будет составлять, по меньшей мере, 0,1%, более предпочтительно, по меньшей мере, 0,5%, наиболее предпочтительно, по меньшей мере, 1%. Целесообразное количество составляет, по большей мере, 15%, предпочтительно не больше, чем 10%, и наиболее предпочтительно не больше, чем 7%. Композиции могут содержать анионное, а также неионное поверхностно-активное вещество, количества которых выбирают с учетом содержания электролита, если он присутствует, таким образом, чтобы получить структурированную композицию жидкого моющего средства, то есть такую, которая является «самозагущающейся». Таким образом, несмотря на наличие органического растворителя загущенные жидкие чистящие композиции можно получать, не прибегая к использованию любого дополнительного загустителя, которые, тем не менее, обладают длительным сроком хранения в широком диапазоне температур. Отношение масс анионного поверхностно-активного вещества к неионному поверхностно-активному веществу может изменяться, с учетом приведенных выше соображений, и будет зависеть от их природы, находясь, однако, в диапазоне от 20:1 до 1:10, предпочтительно от 15:1 до 1:5, и оптимально от выше, чем 10:1 до 1:2. Согласно варианту осуществления, иллюстрирующему любой замысел изобретения, композиции могут включать в себя от 0,1 мас.% до 7 мас.% малоновой кислоты, от 0 до 20 мас.%, предпочтительно от 0,5 мас.% до 10 мас.% растворимой в воде соли синтетического анионного сульфатного или сульфонатного поверхностно-активного вещества, содержащего алкильный радикал, имеющий от 8 до 22 атомов углерода в молекуле, и от 0,5 до 7 мас.% этоксилированного неионного поверхностно-активного вещества, полученного путем конденсации алифатического спирта, содержащего от 8 до 22 атомов углерода в молекуле, с этиленоксидом, так чтобы продукт конденсации имел от 2 до 15 моль этиленоксида на моль алифатического спирта, причем остальное приходится на необязательные компоненты и воду. Кроме того, возможно необязательное введение амфотерных, катионоактивных или цвиттер-ионных поверхностно-активных веществ в композициях согласно изобретению. Подходящие амфотерные поверхностно-активные вещества представляют собой производные алифатических вторичных и третичных аминов, содержащих алкильную группу от 8 до 20 атомов углерода, и алифатическую группу, замещенную анионной группой, обеспечивающей растворимость в воде, например натрий 3-додециламино-пропионат, 3-додециламинопропансульфонат натрия и N-2-гидроксидодецил-N-метилтаурат натрия. Примеры подходящих катионоактивных поверхностно-активных веществ можно найти среди соединений четвертичного аммония, имеющих одну или две алкильных или аралкильных групп от 8 до 20 атомов углерода, и две или три небольших алифатических (например, метальных) групп, например бромистый цетилтриметиламмоний. Специфической группой поверхностно-активных веществ являются третичные амины, полученные путем конденсации этилен- и/или пропиленоксида с алифатическими аминами, имеющими длинные цепочки. Эти соединения имеют свойства, подобные неионным поверхностно-активным веществам в щелочной среде, и подобные катионоактивным поверхностным веществам в кислотной среде. Примеры подходящих цвиттер-ионных поверхностно-активных веществ можно найти среди производных алифатических четвертичных соединений аммония, сульфония и фосфония, имеющих алифатические группы от 8 до 18 атомов углерода и алифатические группы, замещенные анионной группой, обеспечивающей растворимость в воде, например бетаин и производные бетаина, такие как алкилбетаин, в том числе C12-C16 алкилбетаин, 3-(N,N-диметил-N-гексадециламмоний)-пропан-1-сульфонат бетаина, 3-(додецилметилсульфоний)-пропан-1-сульфонат бетаина, 3-(цетилметилфосфоний)-пропан-1-сульфонат бетаина и N,N-диметил-N-додецилглицин. Другие хорошо известные бетаины представляют собой алкиламидопропилбетаины, например те, в которых алкиламидная группа произведена из жирных кислот кокосового масла. Кроме того, примерами подходящих поверхностно-активных веществ являются соединения, обычно применяемые в качестве поверхностно-активных агентов, которые приведены в широко известных справочниках: “Surface Active Agents” том 1, Schwartz и Perry, Intel-science 1949; «Surface Active Agents» том 2, Schwartz, Perry и Berch, Interscience 1958; периодическое издание “McCutcheon’s Emulsifiers and Detergents», опубликованное фирмой Manufacturing Confectioners Company; “Tenside-Taschenbuch”, H.Stache, 2e издание, Carl Hauser Verlag, 1981. Композиции согласно настоящему изобретению могут включать в себя абразивные материалы. Однако обычно этот вариант не является предпочтительным, так как абразивные материалы имеют склонность повреждать или удалять тонкий слой малоновой кислоты, который был нанесен на поверхность. Композиции могут содержать другие компоненты, которые улучшают характеристики очистки. Например, они могут содержать модифицирующие добавки моющих средств, такие как нитрилотриацетаты, поликарбоксилаты, цитраты, дикарбоновые кислоты, растворимые в воде фосфаты (особенно орто-, пиро- или полифосфаты или их смеси), цеолиты и их смеси в количестве до 25%. Некоторые из этих модифицирующих добавок могут выполнять дополнительную функцию абразивных материалов, если они присутствуют в количестве, превышающем их растворимость в воде. Модифицирующая добавка, если она имеется, предпочтительно будет составлять, по меньшей мере, 0,1% от массы композиции. Агенты, связывающие ионы металлов, такие как этилендиаминтетраацетат или диэтилентриаминпентаацетат, аминополифосфонаты (DEQUEST Кроме того, необязательным компонентом композиций согласно изобретению является материал, регулирующий свойства (пену) мыльного раствора, который может быть использован в композициях, имеющих тенденцию к образованию избыточной пены при использовании. Примерами таких материалов являются жирные кислоты или их соли (мыла), изопарафины, силиконовые масла и их комбинации. Мыла представляют собой соли жирных кислот и включают в себя мыла щелочных металлов, таких как натриевые, калиевые и аммониевые соли жирных кислот, содержащие приблизительно от 8 до 24 атомов углерода, и предпочтительно приблизительно от 10 до 20 атомов углерода. Особенно эффективными являются натриевые и калиевые и моно-, ди- и триэтаноламиновые соли смеси жирных кислот, произведенных из пальмового масла, кокосового масла и арахисового масла. Количество жирной кислоты или мыла, если они используются, может составлять, по меньшей мере, 0,005%, предпочтительно от 0,1% до 2% от массы композиции. Обнаружено, что подходящими для такого назначения являются промышленно доступные смеси жирных кислот, такие как Prifac 7901 Если углеводородный сорастворитель присутствует в достаточно высокой концентрации, то сам этот растворитель может обеспечить часть (или всю) требуемой активности против вспенивания. Кроме того, композиции согласно изобретению могут содержать, в дополнение к уже упомянутым компонентам, различные другие необязательные компоненты, такие как красители, осветлители, оптические отбеливатели, агенты, суспендирующие загрязнения, моющие ферменты, совместимые отбеливающие агенты (особенно пероксидные соединения и соединения, выделяющие активный хлор), гелеобразующие агенты, дополнительные стабилизаторы замораживания-оттаивания, бактерициды, консерванты (например 1,2-бензизотиазолин-3-он), гидротропные и парфюмерные добавки. Полимеры Композиция согласно изобретению необязательно может содержать полимеры, в том числе полимеры, которые способствуют связыванию малоновой кислоты с поверхностью и, таким образом, обеспечивают дополнительное сопротивление смыванию. Предпочтительными полимерами являются неионные и анионные полимеры. Соотношение полимера к малоновой кислоте Для получения оптимальных преимуществ соотношение полимера к малоновой кислоте (по массе) должно находиться в диапазоне от 1:1 до 20:1, предпочтительно в диапазоне от 2:1 до 15:1, наиболее предпочтительно в диапазоне от 3:1 до 10:1. Предпочтительными являются полимеры, которые имеют среднюю молекулярную массу более 4000 Дальтон (D). Более предпочтительно, молекулярная масса составляет, по меньшей мере, 10000 D, еще более предпочтительно более 100000 D или даже более 1000000 D. Обычно полимеры имеют молекулярную массу ниже 5000000 D, предпочтительно ниже 4000000 D. Подходящие полимеры или растворимы в воде, или могут диспергироваться в воде, предпочтительные полимеры растворимы в воде. Неионогенные полимеры Неионогенные полимеры могут быть выбраны из неионных полимеров на основе целлюлозы, таких как целлюлоза, алкилцеллюлоза, гидроксиалкилцеллюлоза, простые эфиры целлюлозы, сложные эфиры целлюлозы и амиды целлюлозы, такие как метилцеллюлоза, этилцеллюлоза, гидроксиметилцеллюлоза, гидроксипропилцеллюлоза, гидроксипропилметилцеллюлоза. Кроме того, подходящими являются другие полимеры полисахаридов, такие как крахмал и модифицированные крахмалы, и декстрины, такие как мальто декстрин. Кроме того, полимер может быть выбран из группы полностью синтетических полимеров, таких как поливиниловые спирты, поливинилпирролидоны, полиалкиленгликоли, такие как полиэтиленгликоль, полиалкиленоксиды, полиамиды, полиакриламиды, простые поливиниловые эфиры, такие как полиметилвиниловый эфир, поливинилацетаты и их сополимеры. Полиакриловые кислоты, полиметакриловые кислоты и их гомологи, и другие поликарбоновые кислоты также могут быть использованы в композициях, когда полимеры имеют характеристики неионных полимеров. Такие композиции обычно представляют собой кислотные композиции с показателем pH приблизительно ниже 4. Наиболее предпочтительно, неионогенные полимеры выбирают из группы поливинилпирролидон (ПВП), поливиниловый спирт (ПВС) и их комбинации. Предпочтительно, композиции содержат, по меньшей мере, 0,1%, более предпочтительно, по меньшей мере, 0,5 мас.% неионогенного полимера и, по большей мере, 20%, предпочтительно, по большей мере, 10%, более предпочтительно, по большей мере, 5%. Поливинилпирролидон включает в себя замещенные и незамещенные продукты полимеризации винилпирролидона. Анионный полимер Предпочтительные анионные полимеры являются растворимыми в воде анионными полимерами. В основном подходящими являются синтетические полимеры, но также могут быть использованы природные полимеры или их производные. Подходящие полимеры включают в себя полиакриловые кислоты и полиметакриловые кислоты и их гомологи, другие поликарбоновые кислоты, полиаминокислоты или пептиды, полиангидриды, полистиролсульфоновые кислоты, поливинилсульфоновые кислоты и их сополимеры, а также их сополимеры с неионными мономерами и полимерами. Кроме того, могут быть подходящими природные смолы, такие как ксантан, кашедь плодов рожкового дерева и каррагинаны и производные целлюлозы, такие как карбоксиметилцеллюлоза. Если анионные полимеры присутствуют, композиции предпочтительно содержат, по меньшей мере, 0,1%, более предпочтительно, по меньшей мере, 0,5 мас.% анионного полимера, и, по большей мере, 20%, предпочтительно, по большей мере, 10%, более предпочтительно, по большей мере, 5%. Дозаторы жидкости Жидкие композиции можно хранить и дозировать, используя любое подходящее средство, однако особенно предпочтительны аэрозольные устройства для нанесения. Также могут быть использованы пульверизоторы насосного типа (дозаторы с нагнетателем) (независимо от того, аэрозольный или неаэрозольный нагнетатели) и разливающие устройства для нанесения (бутыли и т.п.). Таким образом, в настоящем изобретении предоставляется контейнер для жидкого моющего средства для твердой поверхности, причем контейнер включает в себя емкость, содержащую раствор малоновой кислоты или жидкую композицию, имеющую показатель pH выше 6 и содержащую малоновую кислоту, и аэрозольный распылитель для распыления композиции в виде аэрозоля. Предпочтительно, аэрозольный распылитель представляет собой аэрозольный баллончик с пусковым устройством, но может быть любым механическим средством, выталкивающим жидкость в виде распыленной струи или аэрозоля. Чистящие салфетки Салфетки могут быть пропитаны малоновой кислотой или композицией, содержащей малоновую кислоту. Этот материал может быть пропитан в сухом состоянии, или более предпочтительно во влажном состоянии (то есть в виде тонкой пленки или вязкой жидкостью). Подходящие чистящие салфетки включают тканное или нетканое полотно, природные или синтетические губки или губчатые листы, влагоснимающие резиновые валики и т.п. Настоящее изобретение предоставляет чистящую салфетку, пропитанную малоновой кислотой или композицией, содержащей малоновую кислоту, например, любой композицией, которая определена или описана в любом месте этой заявки. Примеры В примерах все части и проценты являются массовыми, если не указано другое. В качестве испытуемой поверхности используют пластинки, размером 5 на 5 см, обычной из нержавеющей стали. До загрязнения пластинки обезжиривают, используя порошкообразный кальцит, нанесенный с помощью увлажненного полотна. Предварительную обработку выполняют путем нанесения равномерного слоя 0,08 мл композиции на заданную поверхность пластинки. В качестве загрязняющего материала в примерах используют касторовое масло (от фирмы John L.Seaton, Очистку проводят, используя установку абразивного износа Martindale (торговая марка, фирма SDL International). Пластинки, которые будут подвергаться очистке, помещают в “держателе” установки Martindale и погружают их в 20 г очищающего флюида. Полотно Ballerina закрепляют на очищающей головке установки Martindale и обтирают всю поверхность пластинки, используя заданный характер покрытия всей пластинки. В приведенных ниже примерах характер покрытия повторяется три раза при каждом определении. После завершения очистки пластинок на установке Martindale в трех циклах эти пластинки промывают потоком воды, чтобы удалить избыток продукта очистки. Затем пластинки оставляют сушиться на воздухе. Пятно от удаленного касторового масла измеряют с помощью повторного взвешивания высушенных пластинок и рассчитывают процент удаленного касторового масла следующим образом: Пример 1 и сравнительный пример А В качестве очищающего раствора используют композиции из таблицы 1. В примере 1 пластинки сначала обрабатывают “композицией 1”, затем наносят пятно касторового масла указанным выше способом и окончательно пластинки очищают с помощью “композиции А”. В сравнительном примере А сначала пластинки обрабатывают композицией А, затем наносят пятно касторового масла указанным выше способом и окончательно пластинки очищают с помощью композиции А.
В результате обработки пластинок композицией, содержащей малоновую кислоту, в примере 1 и такой же композицией без малоновой кислоты в сравнительном примере А, с последующим нанесением пятна и окончательной очисткой обоих наборов пластинок композицией без малоновой кислоты, в этом примере дано ясное сопоставление пятен на поверхности, обработанной малоновой кислотой, и поверхности, которая не обработана малоновой кислотой.
Результаты этой очистки наглядно демонстрируют, что обработка поверхности композицией, содержащей малоновую кислоту, до нанесения пятна оказывает значительный эффект на очистку поверхности. Примеры 2 и 3 и сравнительный пример В В качестве очищающего раствора используются композиции из таблицы 3. В примере 2 пластинки сначала обрабатывают композицией 2, затем наносят пятно касторового масла указанным выше способом и окончательно пластинки очищают с помощью композиции В. В примере 3 сначала пластинки обрабатывают композицией 3, затем наносят пятно касторового масла указанным выше способом и окончательно пластинки очищают с помощью композиции В. В сравнительном примере В сначала пластинки обрабатывают композицией В, затем наносят пятно касторового масла указанным выше способом и окончательно пластинки очищают с помощью композиции В.
В результате обработки пластинок композицией, содержащей малоновую кислоту, в примерах 2 и 3 и такой же композицией без малоновой кислоты в сравнительном примере В, с последующим нанесением пятна и окончательной очисткой обоих наборов пластинок композицией без малоновой кислоты, в этом примере дано ясное сопоставление пятен на поверхности, обработанной малоновой кислотой, и поверхности, которая не обработана малоновой кислотой.
Результаты этой очистки наглядно демонстрируют, что обработка поверхности композицией, содержащей малоновую кислоту, до нанесения пятна оказывает значительный эффект на очистку поверхности. Примеры 4, 5 и 6 В этих примерах продемонстрирован эффект промежуточной промывки предварительно обработанной пластинки на композиции с полимером и без него. Способы подготовки пластинок и предварительной обработки такие же, как описано выше. Использованные композиции показаны в таблице 5.
Показатель pH во всех композициях регулируется лимонной кислотой до pH=4 и добавляют воду до 100%. В этих примерах чистые, обезжиренные пластинки сначала предварительно обрабатывают одной из композиций из таблицы 5. Пластинки оставляют сушиться в течение 15 минут и промывают водой (300 мл), которую осторожно выливают из стакана. В примерах 4, 5 и 6 используют соответствующие композиции 4, 5 и 6. После предварительной обработки путем промывания пластинок наносят касторовое масло и пластинки очищают указанным выше способом. Результаты очистки (то есть степень удаления касторового масла) приведены в таблице 6.
Можно увидеть, что, хотя общая очистка поверхности, предварительно обработанной малоновой кислотой, с промыванием не настолько хороша, как без промывки, за счет добавления полимера получаются улучшенные результаты.
Формула изобретения
1. Жидкая композиция для очистки твердой поверхности, содержащая 2. Жидкая композиция для очистки твердой поверхности по п.1, имеющая показатель pH выше 6. 3. Жидкая композиция для очистки твердой поверхности по п.1 или 2, в которой неионное поверхностно-активное вещество присутствует в концентрации меньше чем 7 мас.%. 4. Жидкая композиция для очистки твердой поверхности по п.1, в которой R означает -Н, -CH3 или -CH2CH3. 5. Жидкая композиция для очистки твердой поверхности по п.1, в которой А и А’ независимо выбирают из группы -Н, Na+, K+, Ca2+, NH4 6. Способ удаления загрязнений или пятен с твердой поверхности, который включает в себя следующие стадии: 7. Способ по п.6, в котором загрязнения или пятна представляют собой жировые загрязнения или пятна. 8. Контейнер для жидкого средства очистки твердой поверхности, который включает в себя резервуар, содержащий чистящую композицию по любому из пп.1-5 и аэрозольный распылитель для распыления указанной композиции в виде аэрозоля. 9. Контейнер по п.8, в котором аэрозольный распылитель является аэрозольным баллончиком с пусковым устройством. 10. Чистящая салфетка, пропитанная жидкостью для очистки твердой поверхности по любому из пп.1-5.
|
||||||||||||||||||||||||||||||||||||||||||||||||||||||||||||||||||||||||||||||



, или природной полисахаридной смолой, такой как ксантановая камедь или гуаровая камедь. В качестве альтернативы, могут быть использованы «внутренние структурирующие» системы, с использованием одного или нескольких поверхностно-активных веществ и необязательно электролита, для того, чтобы создать упорядоченную или жидкокристаллическую фазу внутри композиции. Все эти различные способы повышения вязкости хорошо известны специалистам в данной области техники.

