Патент на изобретение №2399640
|
|||||||||||||||||||||||||||||||||||||||||||||||||||||||||||||||||||||||||||||||||||||||||||||||||||||||||||||||||||||||||||||||||||||||||||||||||||||||||||||||||||||||||||||||||||||||||||||||||||||||||||||||||||||||||||||||||||||||||||||||||||||||||||||||||||||||||||||||||||||||||||||||||||||||||||||||||||||||||||||||||||||||||||||||||||||||||||||||||||||||||||||||||||||||||||||||||||||||||||||||||||||||||||||||||||||||||||||||||||||||||||||||||||||||||||||||||||||||||||||||||||||||||||||||||||||||||||||||||||||||||||||||||||||||||||||||||||||||||||||||||||||||||||||||||||||||||||||||||||||||||||||||||||||||||||||||||||||||||||||||||||||||||||||||||||||||||||||||||||||||||||||||||||||||||||||||||||||||||||||||||||||||||||||||||||||||||||||||||||||||||||||||||||||||||||||||||||||||||||||||||||||||||||||||||||||||||||||||||||||||||||||||||||||||||||||||||||||||||||||||||||||||||||||||||||||||||||||||||||||||||||||||||||||||||||||||||||||||||||||||||||||||||||||||||||||||||||||||||||||||
(54) ЭЛЕКТРООСАЖДАЕМАЯ КОМПОЗИЦИЯ, ПРИДАЮЩАЯ СТОЙКОСТЬ К ПОТУ И СПОСОБЫ ЕЕ ПРИМЕНЕНИЯ
(57) Реферат:
Изобретение относится к области нанесения защитных покрытий. Готовят композицию электроосаждаемого покрытия, содержащую катионную акриловую смолу и изоциануратный тример диизоцианата изофорона. На отполированную подложку электрофоретически наносят приготовленную композицию. Покрытие промывают деионизированной водой и нагревают в электрической печи. Определяют толщину полученной пленки. Электрофоретически покрытые и отвержденные панели тестируют на стойкость к поту. Изобретение позволяет получить покрытия с улучшенной стойкостью к поту. 4 н. и 16 з.п. ф-лы.
Область техники, к которой относится изобретение Настоящее изобретение предлагает электроосаждаемые композиции и способ их применения. Более точно электроосаждаемые композиции содержат катионную акриловую смолу и изоциануратный тример диизоцианата изофорона. Известный уровень техники Электроосаждение в качестве способа нанесения покрытия включает осаждение пленкообразующей композиции на подложку под влиянием приложенного электрического потенциала. Подложка либо сама является проводящей, либо имеет осажденный на нее проводящий слой. Электроосаждение стало весьма важным процессом в индустрии покрытий, поскольку по сравнению с неэлектрофоретическими средствами нанесения покрытий электроосаждение позволяет увеличить использование краски по назначению, улучшить защиту от коррозии и снизить загрязнение окружающей среды. Проводящие подложки, такие как металлы, и подложки покрытые, по меньшей мере, частично проводящей пленкой, применяются для производства многих продуктов. Указанные продукты могут включать такие, которых часто касаются люди, например, сантехника, дверные ручки и тому подобное. Для многих применений желательно наносить покрытия, которые выдерживают длительный контакт без заметного износа и окрашивания и т.п. Указанные покрытия могут быть окрашенными покрытиями и/или прозрачными покрытиями. Однако часто указанные покрытия не обладают необходимым уровнем стойкости к поту. Поэтому покрытие может покрыться пятнами, дефектами или даже полностью отделиться. Соответственно необходимы электроосаждаемые покрытия с улучшенной стойкостью к поту. Раскрытие изобретения Настоящее изобретение направлено на создание электроосаждаемого покрытия, состоящего из катионной акриловой смолы и сшивающего агента, в котором содержание сшивающего агента составляет 35 мас.% композиции покрытия или более по отношению к общему весу твердого покрытия и в котором 50% или более сшивающего агента составляет тример изоцианурата диизцианата изофорона (“IPDI тример”). Настоящее изобретение также направлено на создание электроосаждаемого покрытия, состоящего из катионной акриловой смолы, получаемой из акриловой смолы с эпоксидной функцией, в которой катионная часть получена из сульфониевой соли и IPDI тримера. Настоящее изобретение направлено кроме того на создание способа нанесения электрофоретического покрытия на подложку с применением любой композиции покрытия, раскрытой в описании. Настоящее изобретение направлено кроме того на создание подложек с покрытием с улучшенной стойкостью к поту, в которых покрытие наносится электрофоретически на подложку и обладает стойкостью к поту равной или более чем два цикла, в которых стойкость к поту определяют в соответствии с ANSI/BHMA A156.18-2000. Осуществление изобретения Настоящее изобретение направлено на создание композиции электроосаждаемого покрытия, состоящего из катионной акриловой смолы и сшивающего агента, в котором содержание сшивающего агента составляет 35 мас.% композиции покрытия или более по отношению к общему весу твердого покрытия и в котором 50% или более сшивающего агента составляет тример изоцианурата диизоцианата изофорона (“IPDI тример”). Катионная акриловая смола может иметь, например, молекулярный вес (Mz) 10000-1500000, например, 40000-1000000 или 80000-400000. Катионная акриловая смола может быть получена из акриловой смолы с эпоксидной функциональной группой. Акриловая смола с эпоксидной функциональной группой может быть получена в соответствии с любым способом известного уровня техники, например способом, раскрытым в US 2003/0098238 A1, содержание которого включено в описание ссылкой. Подходящие акриловые полимеры, применяемые для образования катионной акриловой смолы, могут включать сополимеры одного или более алкильных эфиров (мет)акриловой кислоты необязательно вместе с одним или более способных к полимеризации ненасыщенных по типу этилена мономеров. Подходящие алкильные эфиры (мет)акриловой кислоты включают метил(мет)акрилат, этил(мет)акрилат, бутил(мет)акрилат, изоборнил(мет)акрилат и 2-этилгексил(мет)акрилат. Другие подходящие способные к сополимеризации ненасыщенные по типу этилена мономеры включают нитрилы, такие как (мет)акрилонитрил, винил и виниледен галиды, такие как винилхлорид и винилиден фторид и винильные эфиры, такие как винил ацетат. Могут быть применены ненасыщенные по типу этилена мономеры кислот и ангидридов, такие как (мет)акриловая кислота или ангидрид, итаконовая кислота, малеиновая кислота или ангидрид или фумаровая кислота. Также подходят мономеры амидов, включая (мет)акриламид и N-замещенные (мет)акриламиды. Винильные ароматические соединения, такие как стирол, Акриловый полимер может быть получен традиционным способом свободно-радикального инициирования известного уровня техники с применением подходящих катализаторов, включая органические пероксиды и соединения азо-типа и необязательно с агентами передачи цепи, такими как димер альфа-метилстирола и третичный додецилмеркалтан. Дополнительные акриловые полимеры, которые подходят для формирования катионной смолы, применяемой в электроосаждаемых композициях настоящего изобретения, включают смолы, раскрытые в US 3455806 и 3928157. Катионные солевые группы могут быть введены реакцией полимера, содержащего эпоксидные группы, описанного выше типа, с подходящими солеобразующими соединениями. Например, сульфониевые солевые группы могут быть введены взаимодействием сульфида в присутствии кислоты, как описано в US 3959106 и 4715898; аминные солевые группы могут быть получены реакцией акрилового полимера с эпоксидной функциональной группой с соединением, содержащим первичную или вторичную аминогруппу, таким как метиламин, диэтаноламин, аммиак, диизопропиламин, N-метилэтаноламин, диэтилентриамин, дипропилентриамин, бисгексаметилентриамин, дикетимин диэтилентриамина, дикетимин дипропилентриамина, дикетимин бисгексаметилентриамина и их смеси. Аминогруппы могут быть, по меньшей мере, частично нейтрализованы кислотой. Подходящие кислоты включают органические и неорганические кислоты, такие как муравьиная, уксусная, молочная, фосфорная, диметилолпропионовая и сульфаминовая кислоты. Может быть применена смесь кислот. Смола может содержать первичные, вторичные и/или третичные аминогруппы. Подходящие катионные акриловые полимеры, содержащие аминогруппы, включают смолы, описанные в US 3455806 и 3928157 и US 2003/0054193. Альтернативно, солевые аминогруппы могут быть введены непосредственно применением мономера, содержащего аминогруппу, такого как аминоалкил(мет)акрилат, например, диметиламинопропилетакрилат. Применение термина “катионная акриловая смола, полученная из акриловой смолы с эпоксидной функциональной группой” в описании относится к акриловой смоле с эпоксидной функциональной группой, в которой, по меньшей мере, некоторые из эпоксидных функциональных групп акриловой смолы прореагировали с образованием катионной соли. Катионная акриловая смола обычно присутствует в количестве 80-10 мас.% по отношению к общему весу твердого вещества, например 65-40 мас.%. Композиции электроосаждаемых покрытий в некоторых осуществлениях настоящего изобретения кроме того включает 35 мас.% или более сшивающего агента, например 39 мас.% сшивающего агента, 50% или более которого составляет тример IPDI. Массовые проценты относятся к общему весу твердой композиции. Тример IPDI может быть, по меньшей мере, частично блокированным. “Блокированный” означает, что изоцианатные группы прореагировали с соединением так, что полученные блокированные изоцианатные группы устойчивы к активному водороду при обычной температуре, но реакционноспособны по отношению к активному водороду при повышенной температуре обычно между 90°С и 200°С, например 160°С или ниже, или 140°С или ниже. В некоторых осуществлениях тример IPDI полностью блокирован по существу с полным отсутствием свободных изоцианатных групп. Подходящие блокирующие агенты включают агенты, раскрытые в US 3, 984, 299 колонка 2, строка 53 – колонка 3, строка 15, US 2003/0054193 A1 в параграфах [0093], [0094], [0127] и [0128], и “Blocked isocyanates III: Part A. Mechanisms and chemistry. Wicks and Wicks Jr., Progress in Organic Coatings, 36 (1999) pp.148-172. Предпочтительно, блокирующим агентом является оксим, такой как метилэтилкетоксим, пиразол, такой как 3,5-диметилпиразол или циклический амид, такой как капролактам. В некоторых осуществлениях в основном весь сшивающий агент состоит из IPDI тримера; “в основном весь” означает 95% или более, например 99% или более. Подходящий тример IPDI коммерчески доступен в Degussa под маркой VESTANAT В1358. Остаток сшивающего агента может содержать любой сшивающей агент, способный реагировать с катионной акриловой смолой. В некоторых осуществлениях остаток сшивающего агента содержит, по меньшей мере, частично блокированный полиизоцианат, такой как алифатический полиизоцианат, аралифатический или ароматический полиизоцианат или их смесь. В некоторых осуществлениях остаток сшивающего агента содержит, по меньшей мере, частично блокированный алифатический полиизоцианат. Примерами ароматических полиизоцианатов, подходящих для применения в качестве отверждающего агента,являются диизоцианаты, такие как 2,4-толуол диизоцианат, 2,6-толуол диизоцианат, метилен дифенил диизоцианат, олигомерный метилен дифенил диизоцианат и их смеси. Примеры аралифатических и алифатических полиизоцианатов, подходящих для применения в качестве отверждающего агента, включают диизоцианаты, такие как диизоцианат 1,6-гексаметилена, диизоцианат изофорона, бис-(изоцианатопиклогексил)метан, норборнан диизоцианат, тетраметилксилол диизоцианат и их смеси. В некоторых осуществлениях высшие полиизоцианаты, такие как изоцианураты, аллофонаты или биуреты диизоцианатов могут быть применены вместо или в сочетании с диизоцианатами. Форполимер изоцаната, например, продукт реакции полиизоцианатов с многоатомными спиртами, такими как неопентил гликоль, или триметилол пропан или с полимерными многоатомными спиртами, такими как диолы или триолы поликапролактона, могут быть применены. Подходящие полиизоцианаты включают, например, полностью блокированные полиизоцианаты, такие как описанные в US 3984299 в колонка 1, строка 57 – колонка 3, строка 15, или частично блокированные алифатические полиизоцианаты, прореагировавшие с основной полимерной цепью, такие как описанные в US 3947338 колонка 2, строка 65 – колонка 4, строка 30. В некоторых осуществлениях настоящего изобретения остаток сшивающего агента может содержать полностью блокированный полиизоцианат, выбранный из полимерного диизоцианата 1,6-гексаметилена, диизоцианата изофорона и их смесей. В других осуществлениях настоящего изобретения остаток сшивающего агента может содержать полностью блокированный тример диизоцианата гексаметилена, поставляемого Bayer Corporation под маркой DESMODUR N3300. Настоящее изобретение направлено кроме того на получение композиции электроосаждаемого покрытия, включающего катионную акриловую смолу, полученную из акриловой смолы с эпоксидной функциональной группой, в которой катионная часть получена из сульфониевой соли и тримера IPDI. В некоторых осуществлениях тример IPDI может присутствовать в количестве 20 мас.% или более, например 30% или более или 39 мас.% или более по отношению к общему весу твердой композиции. Следует понимать, что в составе композиций электроосаждаемых покрытий настоящего изобретения тример IPDI будет, по меньшей мере, частично блокирован подходящим блокирующим агентом, например алифатическим спиртом, оксимом, эфиром гликоля, капролактамом или диалкиламином. Таким образом, тример IPDI может быть включен в композицию покрытия обычным образом, например смешением отвердителя с катионной акриловой смолой в органическом растворителе с последующим диспергированием смеси. Дисперсионной средой предпочтительно является вода. Стадия диспергирования может быть осуществлена объединением нейтрализованной или частично нейтрализованной смолы с дисперсионной средой. Нейтрализация и диспергирование могут быть осуществлены на одной стадии объединением смолы с дисперсионной средой. Смола (или ее соль) могут быть добавлены к дисперсионной среде, или дисперсионная среда может быть добавлена к смоле (или ее соли). В некоторых осуществлениях рН дисперсии составляет от 4 до 9. Дисперсия для покрытия может быть приготовлена с подходящим содержанием твердого вещества, например 5-15 мас.% по отношению к общему весу твердого вещества, например 20-45 мас.% по отношению к общему весу твердого вещества для минимизирования веса и объема материала, который необходимо хранить и транспортировать. Содержание твердого вещества в дисперсии для покрытия может быть скорректировано перед применением. Альтернативно, смола, необязательно смешанная со сшивающим агентом, может храниться и транспортироваться в виде органического раствора и диспергироваться непосредственно перед применением. Подходящие условия для формирования указанных дисперсий включают условия, определенные в примерах. Композиции настоящего изобретения кроме того могут включать один или более полимеров в дополнение к катионным акриловым смолам. Подходящие полимеры включают полиэпоксидные, полиуретановые, акриловые и полиэфирные полимеры. Полимеры необязательно могут содержать катионные группы. Дополнительные полимеры могут составлять 0-20 мас.% по отношению к твердой смоле, например 2-15 мас.% или 4-80 мас.%. Одной из особенно полезных дополнительных смол является катионная эпоксидная смола, например смола, описанная в US 4715898. Композиции настоящего изобретения могут кроме того содержать стандартные добавки, известные в уровне технике, такие как коалесцирующие растворители, пластификаторы, диспергирующие агенты, гидрофибизаторы, светостабилизаторы, сурфактанты и катализаторы. Указанные добавки в случае применения обычно составляют 0,001-5 мас.% по отношению к общему весу твердой композиции. В некоторых осуществлениях настоящего изобретения композиции являются прозрачными. “Прозрачный”, в том значении как употребляется в описании, относится к покрытию, которое, будучи отвержденным, позволяет видеть подложку. Таким образом, понятно, что прозрачный включает и чистые покрытия и покрытия, которые могут содержать, например, прозрачный краситель, когда покрытие будет окрашенным, но подложку можно видеть. В некоторых осуществлениях настоящего изобретения покрытие кроме того содержит краситель. Как употребляется в описании, термин “краситель” означает любое вещество, которое придает цвет и/или матовость и/или другой визуальный эффект композиции. Краситель может быть добавлен к покрытию в любой подходящей форме, например в виде отдельных частиц, дисперсий, растворов и/или хлопьев. Один краситель или смесь двух и более красителей может быть применена в покрытии настоящего изобретения. Примеры красителей включают пигменты, красители и краски, такие как применяемые в лакокрасочной промышленности и/или каталогизированные Dry Color Manufacturers Association (DCMA) также как композиции для создания специальных эффектов. Краситель может включать, например, тонко измельченный порошок твердого вещества, который является нерастворимым, но смачиваемым в условиях применения. Краситель может быть органическим или неорганическим агломерированным или не агломерированным. Пример пигментов и/или композиции пигментов включает, но не ограничен неочищенным карбазол диоксазиновым пигментом, азо, моноазо, дисазо, нафтол AS, солевого типа (лаки), бензимидазолоновыми, конденсационными, металлокомплексными, изоиндолиноновыми, изоиндолиновыми и полициклическими фталоцианиновыми, хинакридоновыми, периленовыми, периноновыми, дикетопирроло пирроловыми, тиоиндиговыми, антрахиноновыми, индатроновыми антрапиримидиновыми, флавантроновыми, пирантроновыми, антантроновыми, диоксазиновыми, триарилкарбониевыми, хинофталоновыми пигментами, дикетопирролопиррол красным (“DPPBO red”), диоксидом титана, газовой сажей и их смесями. Термины “пигмент” и “окрашенный наполнитель” могут применяться взаимозаменяемо. Пример красителей включает, но не ограничен красителями на основе растворителя и/или на водной основе, такими как фтало зеленый или синий, оксид железа, ванадат висмута, антрахинон, перилен, алюминий и хинакридон. Пример красок включает, но не ограничен пигментами, диспергированными в носителях на водной основе или смешивающимися с водой, такими как AQUA-CHEM 896 коммерчески поставляемый Degussa, Inc., CHARISMA COLORANTS и MAXITONER INDUSTRIAL COLORANTS коммерчески поставляемый Accurate Dispersions, отделение Eastman Chemical, Inc. Как отмечено выше, краситель может быть в форме дисперсии, включая, но не ограничивая дисперсией наночастиц. Дисперсии наночастиц могут включать один или более тонко диспергированных наночастиц красителей или частицы красителя, которые дают желаемый видимый цвет и/или матовость и/или визуальный эффект. Дисперсии наночастиц могут включать красители, такие как пигменты или красящие вещества с размером частиц менее 150 нм, например, менее 70 нм или менее 30 нм. Наночастицы могут быть получены размалыванием исходных органических или неорганических пигментов с размером частиц абразивного материала менее 0,5 мм. Пример дисперсий наночастиц и способы их получения раскрыты в US 2003/0125417, который включен в описание ссылкой. Дисперсии наночастиц могут быть получены кристаллизацией, осаждением, конденсацией газовой фазы и химическим измельчением (т.е. частичным растворением). Для минимизирования повторной агломерации наночастиц в покрытии может быть применена дисперсия наночастиц, покрытых смолой. В том значении, как применяется в описании “дисперсия наночастиц, покрытых смолой” относится к непрерывной фазе, в которой диспергированы дискретные “микрочастицы композита”, которая содержит наночастицы и наночастицы покрыты смолой. Пример дисперсий наночастиц, покрытых смолой, и способы их получения раскрыты в US 10/876315, заявленной 24 июня 2004 и US 60/482167, заявленной 24 июня 2003, которые включены в описание ссылкой. Пример композиций для создания специальных эффектов, которые могут быть применены в покрытии настоящего изобретения, включает пигменты и/или композиции, которые дают один или более визуальных эффектов, таких как отражение, перламутровый эффект, эффект металлического блеска, фосфоресценции, флуоресценции, фотохромизма, фоточувствительности, термохромизма, гониохромизма, и/или изменения цвета. Дополнительные композиции для создания специальных эффектов могут обеспечить другие заметные свойства, такие как матовость или текстуру. В неограничивающем осуществлении композиции для создания специальных эффектов могут вызывать изменение цвета так, что цвет покрытия меняется при разных углах зрения. Пример композиций с цветовым эффектом представлен в US 2003/0125416, включенный в описание ссылкой. Дополнительные композиции с цветовым эффектом могут включать прозрачное покрытие на слюде и/или синтетической слюде, покрытый диоксид кремния, покрытый оксид алюминия, прозрачный жидкокристаллический пигмент, жидкокристаллическое покрытие и/или любую композицию, в которой интерференция вызвана разницей в показателе преломления в материале, а не из-за разницы в показателях преломления между поверхностью материала и воздухом. В некоторых неограничивающих осуществлениях фоточувствительная и/или фотохромная композиция, которая обратимо меняет свой цвет при освещении одним или более источниками света, может быть применена в настоящем изобретении. Фотохромные и/или фоточувствительные композиции могут активироваться при облучении излучением с определенной длиной волны. При возбуждении композиции изменяется молекулярная структура, и измененная структура показывает новый цвет, который отличается от исходного цвета композиции. При прекращении облучения фотохромные и/или фоточувствительные композиции возвращаются в состояние покоя, в котором исходный цвет композиции восстанавливается. В одном неограничивающем осуществлении фотохромная и/или фоточувствительная композиция может быть бесцветной в невозбужденном состоянии и окрашенной – в возбужденном состоянии. Полное изменение цвета может проходить за время от миллисекунд до нескольких минут, например от 20 до 60 секунд. Пример фотохромных и/или фоточувствительных композиций включает фотохромные красители. В неограничивающем осуществлении фоточувствительная и/или фотохромная композиция может быть объединена и/или, по меньшей мере, частично связана, например, ковалентной связью, с полимером и/или полимерными материалами способного к полимеризации компонента. В отличие от некоторых покрытий, в которых фоточувствительная композиция может перемещаться из покрытия и кристаллизоваться на подложке, фоточувствительная и/или фотохромная композиция, объединенная и/или, по меньшей мере, частично связанная, например, ковалентной связью, с полимером и/или полимерными материалами способного к полимеризации компонента, в соответствии с неограничивающим осуществлением настоящего изобретения, обладает минимальной способностью к перемещению из покрытия. Пример фоточувствительной и/или фотохромной композиции и способы их получения представлен в US 10/892, 919, заявленной 16 июля 2004, включенной в описание ссылкой. В общем, краситель входит в композицию покрытия в любых количествах, достаточных для придания желаемого визуального и/или цветового эффекта. Краситель может составлять 1-65 мас.% композиций, например 3-40 мас.% или 5-35 мас.%, по отношению к общему весу композиций. Композиции электроосаждаемых покрытий настоящего изобретения обычно находятся в форме водной дисперсии, то есть смола и сшивающий агент являются дисперсной фазой и вода является непрерывной фазой. В некоторых осуществлениях композиции покрытий настоящего изобретения обладают стойкостью к поту в один цикл или более, например, в два цикла и более с определением стойкости к поту в соответствии с ANSI/BHMA A156.18-2000. Настоящее изобретение далее направлено на создание способов электроосаждения покрытия на подложку, включающих нанесение на подложку любых композиций покрытий, раскрытых в описании. Поскольку для электроосаждения требуется проводимость, подложка должна быть либо сама проводящей, либо покрыта, по меньшей мере, проводящей пленкой. Например, проводящая подложка может быть любым металлом, таким как латунь, бронза, хром, сталь, нержавеющая сталь, серебро и/или алюминий. Неметаллическая подложка может включать, например, пластик, керамику, дерево и/или стекло, которые должны быть покрыты, по меньшей мере, проводящей пленкой. Проводящая пленка может включать, например, металлизированную окраску или пленки, полученные с применением покрытия с проводящими пигментами или проводящими металлическими фрагментами. Любые подходящие способы электроосаждения могут быть применены в соответствии с настоящим изобретением, например, любые способы известного уровня техники. Подобным образом отверждение электроосажденного покрытия можно проводить с применением параметров отверждения известных из уровня техники. Толщина сухой пленки отвержденного покрытия может составлять, например, 0,2-2 микрон, например, 0,4-1,2 микрон. Настоящее изобретение далее направлено на создание покрытых подложек с улучшенной стойкостью к поту. Указанные подложки могут быть получены электроосаждением на подложку покрытия со стойкостью к поту в один или более циклов с определением стойкости к поту в соответствии с ANSI/BHMA A156.18-2000. Кроме того, поскольку применяется электроосаждение, понятно, что подложка или сама является проводящей или должна быть покрыта, по меньшей мере, частично проводящей пленкой. Композиции и способы настоящего изобретения могут давать подложку, которая обладает, например, устойчивым к поту окрашенным и/или прозрачным покрытием. В соответствии с применением в описании, если не оговорено особо, все числа, например, числа, выражающие значения величин, диапазоны, количества или процентное содержание, могут рассматриваться как предваренные словом “около”, даже если термин явно не фигурирует. Любые цифровые диапазоны, указанные в описании, подразумевают включение всех под-диапазонов, входящих в них. Множественное число включает единственное и наоборот. Например, когда в изобретении указано катионная акриловая смола, полученная из акриловой смолы с эпоксидной функцией, может быть применена смесь указанных смол. Также, в соответствии с применением в описании, термин “полимер” означает относящиеся к форполимерам, олигомерам и гомополимерам и сополимерам; приставка “поли” относится к двум или более. Примеры Следующие примеры направлены на иллюстрацию изобретения и не должны быть истолкованы в качестве ограничивающих изобретение каким-либо образом. Пример 1 Образцы 1-19 готовят с применением ингредиентов указанных в Таблице 1, в которой масса каждого ингредиента приведена в граммах.
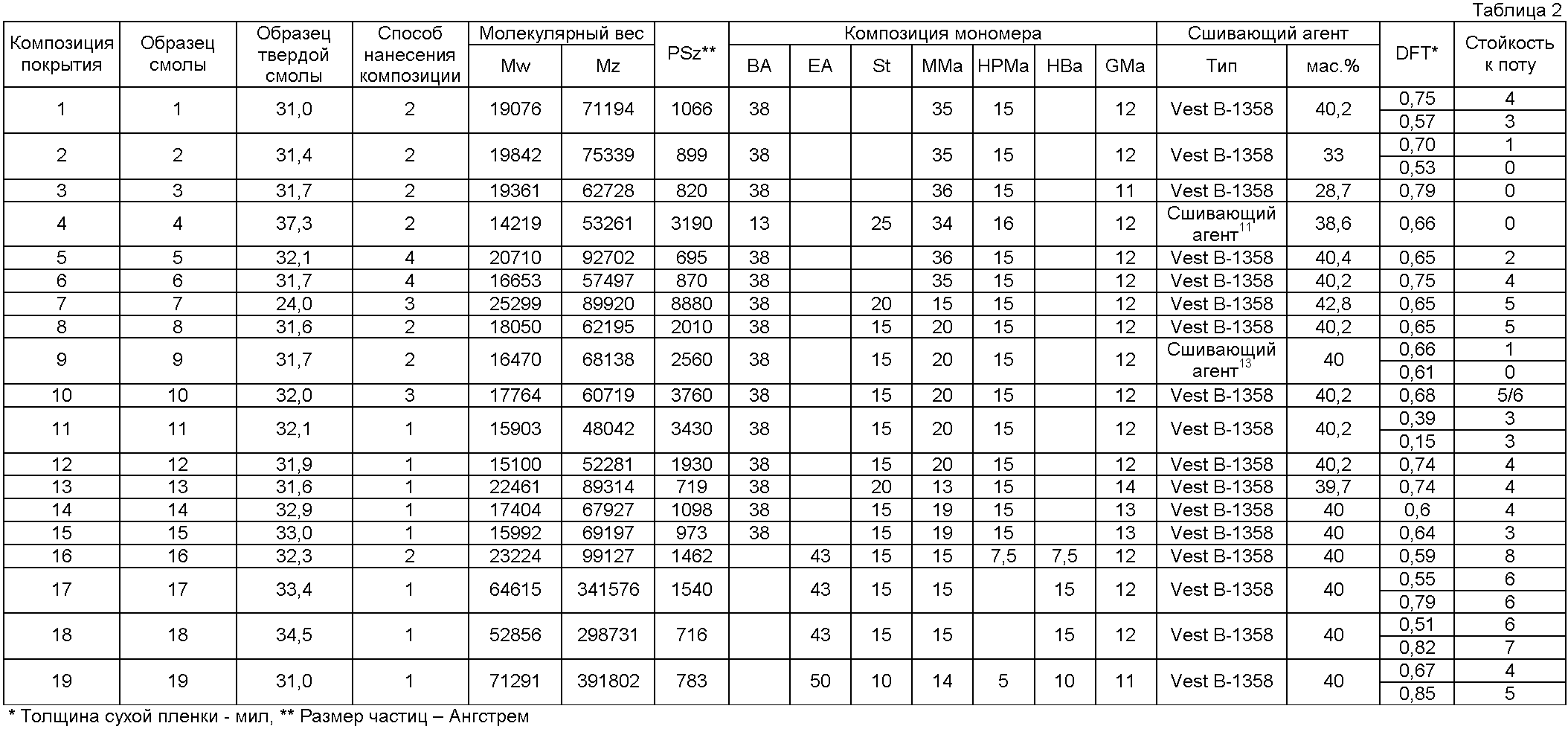
Образцы смолы 1-6 и 8-19 готовят следующим образом: компонент А загружают в колбу, снабженную вводом азота, мешалкой, холодильником и термопарой. Поднимают температуру до начала кипения. Затем компонент В добавляют с постоянной скоростью более 30 минут. После дополнительных 30 минут добавляют компонент С с постоянной скоростью более 150 минут. Через тридцать минут 50% компонента С добавляют в течение около 5 минут. Остальную часть компонента С добавляют за время более около 5 минут спустя 30 минут. В ходе указанных стадий реакции температуру регулируют так, чтобы поддерживать постоянное кипение. Нагрев прекращают и позволяют температуре понизиться до около 120°С и добавляют тиодиэтанол из компонента Е. По достижению температуры ниже 100°С добавляют остаток компонента Е. Возобновляют нагрев и температуру поднимают до 85°С. Указанная температура выдерживается 31/2 часа. Затем добавляют компоненты F и G и температуру вновь поднимают до 85°С. По получению гомогенного раствора смолы и сшивающего агента добавляют компонент Н и перемешивание продолжают дополнительно 20 минут. В отдельной емкости компонент I нагревают до 40°С. Затем добавляют смолу и сшивающий агент при интенсивном перемешивании. Через час добавляют компонент J. Дисперсию оставляют для охлаждения ниже 30°С перед прекращением перемешивания. Содержание твердого вещества в дисперсиях представлены в Таблице 2. Образец 7 готовят следующим образом: компонент А загружают в колбу, снабженную вводом азота, мешалкой, холодильником и термопарой. Поднимают температуру до начала кипения. Затем компонент В добавляют с постоянной скоростью более 30 минут. После дополнительных 30 минут добавляют компонент С с постоянной скоростью более 150 минут. Через тридцать минут 50% компонента С добавляют около 5 минут. Остальную часть компонента С добавляют за время более около 5 минут спустя 30 минут. В ходе указанных стадий реакции температуру регулируют так, чтобы поддерживать постоянное кипение. Нагрев прекращают и позволяют температуре понизится до около 110°С и добавляют компонент Е. Температура поднимается до 120°С из-за экзотермической реакции. Нагрев возобновляют и температуру в 120°С поддерживают 90 минут. Температуру понижают до 90°С и добавляют компоненты F и G и температуру доводят до 85°С. По получению гомогенного раствора смолы и сшивающего агента добавляют компонент Н и перемешивание продолжают дополнительно 20 минут. В отдельной емкости компонент I нагревают до 40°С. Затем добавляют смолу и сшивающий агент при интенсивном перемешивании. Через час добавляют компонент J. Дисперсию смолы оставляют для охлаждения ниже 30°С перед прекращением перемешивания. Пример 2 Элекроосаждаемые покрытия 1-19 готовят с применением образцов смолы 1-19, соответственно. Покрытия получают одним из следующих способов, как указано в Таблице 2. Способ 1. Дисперсию смолы с содержанием 23-40 мас.% нелетучего остатка загружают в пластиковый стакан и начинают перемешивание с применением высокоподнятой мешалки. Затем добавляют смесь растворителей, содержащую 25-100% 2-гексиокси этанола, 25-100% 2-бутокси этанола и 25-100% 2-бутоксиэтокси этанола на уровне 5-20% по отношению к твердой смоле, при продолжении перемешивания высокоподнятой мешалкой. После 5 минут перемешивания медленно добавляют деионизированную воду к смеси с продолжающимся перемешиванием. Разбавление дисперсии деионизированной водой до содержания 10-15 мас.% нелетучего остатка дает ванну для нанесения покрытия с вязкостью менее 50 сПуаз, рН 4,2-4,9 и проводимостью 300-500 микроСименс. Ванна с содержанием 10-15% не дает видимых признаков коагуляции или агломерации частиц. Способ 2. Дисперсию смолы с содержанием 23-40 мас.% нелетучего остатка, загружают в пластиковый стакан и начинают перемешивание с применением высокоподнятой мешалки. Затем медленно добавляют деионизированную воду с продолжающимся перемешиванием. Разбавление дисперсии деионизированной водой до содержания 10-15 мас.% нелетучего остатка дает ванну для нанесения покрытия с вязкостью менее 50 сПуаз, рН 4,2-4,9 и проводимостью 300-500 микроСименс. Ванна с содержанием 10-15% не дает видимых признаков коагуляции или агломерации частиц. Способ 3. Дисперсию смолы с содержанием 23-40 мас.% нелетучего остатка, загружают в пластиковый стакан и начинают перемешивание с применением высокоподнятой мешалки. Дисперсию разбавляют деионизированной водой до содержания 10-15 мас.% нелетучего остатка. Последующее добавление дисперсии эпоксидной смолы* в количестве 5-10% нелетучего остатка по отношению к твердой смоле, с последующим добавлением 2-бутокси этанола или 2-гексокси этанола, или 2-бутоксиэтокси этанола, или 2-бутокси-1-пропанола в количестве 5-20% от твердой смолы в существующую ванну для окрашивания дает ванну для нанесения покрытия с вязкостью менее 50 сПуаз, рН 4,2-4,9 и проводимостью 300-500 микроСименс. Ванна не дает видимых признаков коагуляции или агломерации частиц. (*получена как описано в US 4,715,898, пример 4, за исключением того, что монобутиловый эфир пропиленгликоля замещен смесью 4:1 по весу бутилового эфира пропиленгликоля и метилового эфира пропиленгликоля и добавляют достаточно деионизированной воды для снижения содержания твердого вещества до 30,6%.) Способ 4. Дисперсию, полученную в соответствии со способом 2 с 10-15% нелетучего остатка, перемешивают с применением высокоподнятой мешалки. Последующее добавление при продолжающемся перемешивании высокоподнятой мешалкой, 2-бутокси этанола или 2-гексокси этанола, или 2-бутоксиэтокси этанола, или 2-бутокси-1-пропанола (или моноалкил или моноарилзамещенных эфиров EG, DEG, PG или DPG) в количестве 5-20% от твердой смолы в существующую ванну для окрашивания дает ванну для нанесения покрытия с вязкостью менее 50 сПуаз, рН 4,2-4,9 и проводимостью 300-500 микроСименс. Ванна не дает видимых признаков коагуляции или агломерации частиц. Пример 3
Полированную “желтую” латунь (CDA 260), поставленную McMurray Metals of 3000 Elm Street, Dallas, Texas 75226, подготавливают в соответствии с таблицей 3, затем электрофоретически покрывают катионной краской Таблицы 2 при температуре ванны 80°F, напряжении 320 В и за время 15-60 секунд. Покрытые панели промывают деионизированной водой и отверждают нагреванием в электрической печи при 320°F в течение 30 минут для сшивки полимерного покрытия. Толщину сухой пленки в 0,40-1,20 мил определяют на отвержденных панелях с применением оборудования Fisherscope MMS. Визуально покрытие гладкое, прозрачное с высоким глянцем и индивидуальностью внешнего вида. Затем электрофоретически покрытые и отвержденные панели подвергают тесту на стойкость к поту, как описано в ANSI/BHMA A156.18-2000, American National Standard for Materials and Finishes, доступный в American National Standard Institute, New York. Результаты указанного теста представлены в Таблице 2. Сравнительные панели, подготовленные и покрытые ClearClad HSR, поставляемые LVH Coatings, Birmingham В46 1НТ England, не прошли одного цикла испытаний на стойкость к поту. Принимая во внимание, что отдельные осуществления настоящего изобретения раскрыты с иллюстративными целями, очевидно для специалиста в данной области техники, что многочисленные изменения деталей настоящего изобретения могут быть осуществлены не выходя за пределы объема притязаний, как они определены в прилагаемой формуле изобретения.
Формула изобретения
1. Композиция электроосаждаемого покрытия, включающая: 2. Композиция покрытия по п.1, в которой катионную группу получают из сульфониевой соли. 3. Композиция покрытия по п.1, в которой в основном весь сшивающий агент представляет собой изоциануратный тример диизоцианата изофорона. 4. Композиция покрытия по п.1, в которой указанное покрытие является непрозрачным. 5. Композиция покрытия по п.1, в которой указанное покрытие является прозрачным. 6. Композиция покрытия по п.1, в которой указанная катионная акриловая смола содержит группы стирола. 7. Композиция покрытия по п.1, в которой указанная катионная акриловая смола содержит группы этил акрилата. 8. Композиция покрытия по п.1, в которой указанная катионная акриловая смола содержит группы 4-гидроксибутил акрилата. 9. Композиция покрытия по п.1, которая содержит 39 мас.% или более сшивающего агента. 10. Композиция электроосаждаемого покрытия, включающая: 11. Композиция покрытия по п.10, в которой указанное покрытие является непрозрачным. 12. Композиция покрытия по п.10, в которой содержание изоцианурата составляет 20 мас.% или более композиции покрытия. 13. Композиция покрытия по п.10, в которой содержание изоцианурата составляет 30 мас.% или более композиции покрытия. 14. Композиция покрытия по п.10, в которой содержание изоцианурата составляет 39 мас.% или более композиции покрытия. 15. Композиция покрытия по п.10, в которой указанное покрытие является прозрачным. 16. Композиция покрытия по п.15, в которой содержание изоцианурата составляет 20 мас.% или более композиции покрытия. 17. Композиция покрытия по п.15, в которой содержание изоцианурата составляет 30 мас.% или более композиции покрытия. 18. Композиция покрытия по п.15, в которой содержание изоцианурата составляет 39 мас.% или более композиции покрытия. 19. Способ электроосаждения покрытия на подложку, включающий электроосаждение на подложку композиции покрытия по п.1. 20. Способ электроосаждения покрытия на подложку, включающий электроосаждение на подложку композиции покрытия по п.10.
|
|||||||||||||||||||||||||||||||||||||||||||||||||||||||||||||||||||||||||||||||||||||||||||||||||||||||||||||||||||||||||||||||||||||||||||||||||||||||||||||||||||||||||||||||||||||||||||||||||||||||||||||||||||||||||||||||||||||||||||||||||||||||||||||||||||||||||||||||||||||||||||||||||||||||||||||||||||||||||||||||||||||||||||||||||||||||||||||||||||||||||||||||||||||||||||||||||||||||||||||||||||||||||||||||||||||||||||||||||||||||||||||||||||||||||||||||||||||||||||||||||||||||||||||||||||||||||||||||||||||||||||||||||||||||||||||||||||||||||||||||||||||||||||||||||||||||||||||||||||||||||||||||||||||||||||||||||||||||||||||||||||||||||||||||||||||||||||||||||||||||||||||||||||||||||||||||||||||||||||||||||||||||||||||||||||||||||||||||||||||||||||||||||||||||||||||||||||||||||||||||||||||||||||||||||||||||||||||||||||||||||||||||||||||||||||||||||||||||||||||||||||||||||||||||||||||||||||||||||||||||||||||||||||||||||||||||||||||||||||||||||||||||||||||||||||||||||||||||||||||||

1101
-метилстирол и винилтолуол могут быть применены при условии, что стойкость к фотодеградации полимера и конечного электроосажденного покрытия не ухудшится. Следует понимать, что “(мет)акриловый” и подобные термины относятся к обоим метакриловый и акриловый как это принято в известном уровне техники. Эпоксидные функциональные группы (для превращения в катионные солевые группы) могут быть введены в акриловый полимер применением функциональных мономеров, таких как глицидил(мет)акрилат, 3,4-эпоксициклогексил-метил(мет)акрилат, 2-(3,4-эпоксициклогексил)этил(мет)акрилат и/или аллилглицидиловый эфир. Альтернативно эпоксидные функциональные группы могут быть введены в акриловый полимер взаимодействием карбоксильных групп акрилового полимера с эпигалогидрином или дигалогидрином, такими как эпихлоргидрин или дихлоргидрин.
