|
|
(21), (22) Заявка: 2007116119/04, 30.09.2005
(24) Дата начала отсчета срока действия патента:
30.09.2005
(30) Конвенционный приоритет:
01.10.2004 US 60/615,152 11.08.2005 US 60/707,626
(43) Дата публикации заявки: 10.11.2008
(46) Опубликовано: 20.09.2010
(56) Список документов, цитированных в отчете о поиске:
RU 2119351 С1, 27.09.1998. WO 99/65933 A1, 23.12.1999. US 5994299 A, 30.11.1999. WO 2004/041221 A1, 21.05.2004. INOUE К ЕТ AL: “Combined interferon alpha2b and cyclosporin A in the treatment of chronic hepatitis C: Controlled trial” JOURNAL OF GASTROENTEROLOGY, SPRINGER VERLAG, TOKYO, JP, vol.38, no.6, 1 June 2003 (2003-06-01), pages 567-572(реферат). М.NAKAGAWA: ‘Specific inhibition of hepatits C virus replication by cyclosporin A’ BIOCHEMICAL AND BIOPHYSICAL RESEARCH COMMUNICATIONS vol.313, 2004, pages 42-47.
(85) Дата перевода заявки PCT на национальную фазу:
02.05.2007
(86) Заявка PCT:
US 2005/035533 20050930
(87) Публикация PCT:
WO 2006/039668 20060413
Адрес для переписки:
129090, Москва, ул. Б.Спасская, 25, стр.3, ООО “Юридическая фирма Городисский и Партнеры”, пат.пов. Е.Е.Назиной
|
(72) Автор(ы):
ФЛИРИ Ханс Георг (GB), ХОУК Дэвид Ренвик (US)
(73) Патентообладатель(и):
СКАЙНЕКСИС, ИНК. (US)
|
(54) ПРОИЗВОДНЫЕ ЦИКЛОСПОРИНА, ЗАМЕЩЕННЫЕ 3-ЭФИРОМ И 3-ТИОЭФИРОМ, ДЛЯ ЛЕЧЕНИЯ И ПРОФИЛАКТИКИ ИНФЕКЦИОННОГО ГЕПАТИТА С
(57) Реферат:
Данное изобретение относится к производным циклоспорина общей формулы (I), где А, В, R1, R2 и Х определены в описании, для применения в лечении вирусного гепатита С. 9 н. и 14 з.п. ф-лы.

1. Область техники, к которой относится изобретение
В настоящем изобретении предлагаются производные циклоспорина и полученные на их основе фармацевтические композиции для применения для лечения гепатита С или профилактики инфицирования вирусом гепатита С у нуждающегося в этом субъекта. В определенных аспектах в настоящем изобретении предлагаются способы лечения гепатита С путем введения нуждающемуся в этом субъекту количества 3-эфира или 3-тиоэфира циклоспорина изобретения, эффективного для лечения или профилактики инфекции.
2. Известный уровень техники
В 1989 г. была найдена главная причина вирусного посттрансфузионного гепатита не A и не B и названа вирусом гепатита С. С тех пор было обнаружено несколько типов вирусов гепатита, кроме типа A, типа B и типа C, когда гепатит вызывается HCV, его называют гепатитом C. Субъекты, инфицированные HCV, как считается, составляют несколько процентов населения мира, и инфицирование HCV обычно становится хроническим.
HCV представляет собой оболочечный содержащий РНК вирус, геном которого представляет собой односпиральную РНК плюс-цепь, и принадлежит к роду Hepacivirus из Flavivirus (из международного комитета по таксономии вирусов международного объединения микробиологических обществ). Среди однотипных вирусов, например, вирус гепатита B (HBV), который представляет собой ДНК-содержащий вирус, уничтожается иммунной системой, и инфицирование этим вирусом заканчивается острой инфекцией за исключением новорожденных и детей, обладающих еще незрелой иммунной компетенцией. Напротив, HCV каким-то образом избегает иммунной системы хозяина благодаря неизвестному механизму. При инфицировании этим вирусом даже у взрослого, обладающего зрелой иммунной системой, часто развивается персистирующая инфекция.
Когда хронический гепатит связан с персистирующей инфекцией HCV, он часто приводит к циррозу или раку печени. Удаление опухолевого узла с помощью операции не помогает существенно, так как у субъекта часто развивается рецидивирующий рак печени, обусловленный последующим воспалением в участках, не затронутых раком.
Таким образом, желателен эффективный терапевтический способ лечения инфекционного гепатита C. Кроме симптоматической терапии для подавления воспаления с помощью противовоспалительного агента крайне необходима разработка терапевтического агента, который снижает HCV до низкого уровня, не индуцирующего воспаления, и который истребляет HCV. Оптимальный терапевтический агент должен обеспечивать вирологический ответ, классифицируемый как «поддерживаемый вирологический ответ», который определяется как неопределимые уровни вируса в крови в течение шести месяцев или более после завершения лечения гепатита C.
В настоящее время лечение интерфероном в качестве единственного агента или в сочетании с рибавирином является единственным эффективным способом, известным для подавления HCV. Однако интерферон может уничтожать вирус только у приблизительно 33-46% популяции субъектов. Для оставшихся субъектов он не эффективен или дает только временный эффект. Следовательно, лекарство против HCV для применения вместо или одновременно с интерфероном ожидается с большой надеждой.
Циклоспорин A хорошо известен из-за своей иммуносупрессорной активности и диапазона терапевтического применения, включая противогрибковую, антипаразитарную и противовоспалительную активность, а также активность против ВИЧ. Циклоспорин A и определенные производные описаны как обладающие активностью против HCV, см. Watashi et al., 2003, Hepatology 38: 1282-1288, Nakagawa et al., 2004, Biochem. Biophys. Res. Commun. 313: 42-7, и Shimotohno и Watashi, 2004, American Transplant Congress, Abstract 648 (American Journal of Transplantation, 2004, 4(s8): 1-653).
Однако проблемой известных циклоспоринов является их нефротоксичность. Например, циклоспорин A (циклоспорин) может быть нефротоксичным и гепатотоксичным. Нефротоксичность, серьезное осложнение лечения циклоспорином, характеризуется сильной почечной вазоконстрикцией, которая часто прогрессирует до хронической недостаточности с необратимым структурным повреждением почек (Busauschina et al., 2004; Myers et al., 1988). Нефротоксичность, связанная с циклоспорином, отмечена у 25-38% субъектов с трансплантацией. Дисфункция почек может возникнуть в любое время и варьироваться от раннего обратимого повреждения до поздней прогрессии до необратимой хронической почечной недостаточности. Острая нефротоксичность может появиться быстро после трансплантации или через недели или месяцы с олигоурией, острым снижением скорости клубочковой фильтрации и почечного кровотока (Kahan, 1989).
При продолжительном введении циклоспорина хроническая нефротоксичность характеризуется прогрессирующим и в основном необратимым ухудшением функции почек, и это обеспечивается гистологическими повреждениями, варьирующими от полосатого фиброза до ишемического коллапса клубочка, склероза клубочков и атрофии трубочек.
Эффективные способы и композиции для лечения или профилактики инфекционного гепатита C необходимы для повсеместной борьбы с вирусом.
3. Краткое изложение сущности изобретения
Неожиданно было найдено, что определенные 3-замещенные производные циклоспорина обладают активностью против HCV. Было найдено также, что некоторые из указанных 3-замещенных производных циклоспорина обладают неожиданно хорошими токсикологическими профилями.
В одном аспекте в настоящем изобретении предлагаются производные циклоспорина, обладающие активностью против HCV. В определенных осуществлениях в настоящем изобретении предлагаются способы лечения или профилактики инфекционного гепатита C у нуждающегося в этом субъекта с помощью введения субъекту эффективного количества 3-замещенного производного циклоспорина изобретения. В определенных осуществлениях 3-замещенное производное циклоспорина выбрано из группы, состоящей из 3-эфира циклоспорина; 3-эфира 4-гамма-гидроксиметиллейцинциклоспорина; 3-тиоэфира циклоспорина и 3-тиоэфира 4-гамма-гидроксиметиллейцинциклоспорина.
В дополнительном аспекте в настоящем изобретении предлагаются производные циклоспорина, обладающие активностью против HCV с улучшенным пределом безопасности (т.е. различием между уровнем дозы соединения, требуемым для обеспечения эффективного контроля HCV, и уровнями доз, являющимися токсичными).
В дополнительном аспекте в настоящем изобретении предлагаются производные циклоспорина, обладающие улучшенной нефротоксичностью и/или гепатотоксичностью по сравнению с известными соединениями.
В другом аспекте в настоящем изобретении предлагается способ лечения или профилактики инфицирования вирусом гепатита C у субъекта. В определенных аспектах способ изобретения включает введение нуждающемуся в этом субъекту эффективного количества соединения циклоспорина с высоким терапевтическим индексом против вируса гепатита C. Терапевтический индекс или отношение цитотоксической концентрации к ингибирующей вирус концентрации подробно описывается ниже.
В другом аспекте в настоящем изобретении предлагается способ, включающий введение терапевтически эффективного количества производного циклоспорина формулы (I):

где
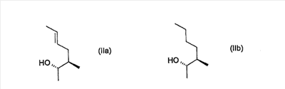
A представляет собой остаток формулы (IIa) или (IIb):

B представляет собой этил, 1-гидроксиэтил, изопропил или н-пропил;
R1 представляет собой алкил с линейной или разветвленной цепью, содержащий от одного до шести углеродных атомов, необязательно замещенных одной или более группами R3, которые могут быть одинаковыми или различными; алкенил с линейной или разветвленной цепью, содержащий от двух до шести углеродных атомов, необязательно замещенных одной или более группами, которые могут быть одинаковыми или различными, выбранными из группы, состоящей из галогена, гидрокси, амино, моноалкиламино и диалкиламино; алкинил с линейной или разветвленной цепью, содержащий от двух до шести углеродных атомов, необязательно замещенных одной или более группами, которые могут быть одинаковыми или различными, выбранными из группы, состоящей из галогена, гидрокси, амино, моноалкиламино и диалкиламино;
циклоалкил, содержащий от трех до шести углеродных атомов, необязательно замещенных одной или более группами, которые могут быть одинаковыми или различными, выбранными из группы, состоящей из галогена, гидрокси, амино, моноалкиламино и диалкиламино;
алкоксикарбонил с линейной или разветвленной цепью, содержащий от одного до шести углеродных атомов;
R2 представляет собой изобутил или 2-гидроксиизобутил;
X представляет собой -S(O)n– или кислород;
R3 выбран из группы, состоящей из галогена, гидрокси, карбоксила, алкоксикарбонила, -NR4R5 и -NR6(CH2)mNR4R5;
R4 и R5, которые могут быть одинаковыми или различными, представляют собой водород;
алкил с линейной или разветвленной цепью, включающий от одного до шести углеродных атомов, необязательно замещенных одной или более группами R7, которые могут быть одинаковыми или различными;
алкенил или алкинил с линейной или разветвленной цепью, включающий от двух до четырех углеродных атомов;
циклоалкил, содержащий от трех до шести углеродных атомов, необязательно замещенных алкилом с линейной или разветвленной цепью, содержащим от одного до шести углеродных атомов;
фенил, необязательно замещенный от одной до пяти группами, которые могут быть одинаковыми или различными, выбранными из группы, состоящей из галогена, алкокси, алкоксикарбонила, амино, алкиламино и диалкиламино;
гетероциклическое кольцо, которое может быть насыщенным или ненасыщенным, содержащее пять или шесть атомов кольца и от одного до трех гетероатомов, которые могут одинаковыми или различными, выбранными из азота, серы и кислорода;
или R4 и R5 вместе с атомом азота, к которому они присоединены, образуют насыщенное или ненасыщенное гетероциклическое кольцо, содержащее от четырех до шести атомов кольца, причем кольцо может необязательно содержать другой гетероатом, выбранный из группы, состоящей из азота, кислорода и серы, и может быть необязательно замещено от одной до четырех группами, которые могут быть одинаковыми или различными, выбранными из группы, состоящей из алкила, фенила и бензила;
R6 представляет собой водород или алкил с линейной или разветвленной цепью, содержащий от одного до шести углеродных атомов;
R7 выбран из группы, состоящей из галогена, гидрокси, карбоксила, алкоксикарбонила и -NR8R9;
R8 и R9, которые могут быть одинаковыми или различными, каждый представляет собой водород или алкил с линейной или разветвленной цепью, содержащий от одного до шести углеродных атомов;
n равно нулю, единице или двум;
m является целым числом от двух до четырех;
галоген обозначает фтор, хлор, бром или йод;
или его фармацевтически приемлемую соль.
В определенных осуществлениях X представляет собой O. В других осуществлениях X представляет собой S.
В определенных случаях заместители A, B, R1 и R2 могут вносить вклад в оптическую или стереоизомерию. Все такие формы охватываются настоящим изобретением.
В качестве примеров фармацевтически приемлемых солей может быть сделано упоминание о солях с щелочными металлами, например натрием, калием или литием, или с щелочноземельными металлами, например магнием или кальцием, аммонийной соли или солях азотсодержащих оснований, например этаноламине, диэтаноламине, триметиламине, триэтиламине, метиламине, пропиламине, диизопропиламине, N,N-диметилэтаноламине, бензиламине, дициклогексиламине, N-бензилфенэтиламине, N,N’-дибензилэтилендиамине, дифенилендиамине, бензгидриламине, хинине, холине, аргинине, лизине, лейцине или дибензиламине.
В качестве примеров аддитивных солей с фармацевтически приемлемыми кислотами может быть сделано упоминание о солях, образованных с неорганическими кислотами, например гидрохлоридах, гидробромидах, сульфатах, нитратах или фосфатах, или с органическими кислотами, например сукцинатах, фумаратах, тартратах, ацетатах, пропионатах, малеатах, цитратах, метансульфонатах, этансульфонатах, п-толуолсульфонатах, изэтионатах или эмбонатах, или с замещенными производными этих соединений. Предпочтительными солями являются сукцинат, фосфат, цитрат, ацетат, гидрохлориды, метансульфонат и пропионат. Некоторые из этих солей являются новыми и как таковые составляют дополнительную особенность настоящего изобретения.
Соответственно, в определенных аспектах в настоящем изобретении предлагаются новые соли описанных здесь соединений. В определенных осуществлениях в настоящем изобретении предлагается соль соединения формулы I, где соль выбрана из группы, состоящей из гидрохлоридов, гидробромидов, сульфатов, нитратов, фосфатов, сукцинатов, фумаратов, тартратов, ацетатов, пропионатов, малеатов, цитратов, метансульфонатов, этансульфонатов, п-толуолсульфонатов, изэтионатов и эмбонатов. В определенных осуществлениях соль выбрана из группы, состоящей из сукцината, фосфата, цитрата, ацетата, гидрохлорида, метансульфоната и пропионата.
4. Описание предпочтительных осуществлений
В настоящем изобретении предлагаются способы лечения или профилактики инфекционного гепатита С у нуждающегося в этом субъекта и фармацевтические композиции, а также единицы лекарственных форм, пригодные для таких способов. Способы и композиции подробно описаны в последующих разделах.
4.1. Определения
При ссылке на соединения и комплексы изобретения следующие термины имеют следующие значения, если не указано иначе.
«Циклоспорин» относится к любому соединению циклоспорина, известному специалистам в данной области техники, или к его производному. См., например, Ruegger et al., 1976, Helv. Chim. Acta. 59: 1075-92; Borel et al., 1977, Immunology 32: 1017-25; содержание которых включено здесь в качестве ссылки во всей своей полноте. Примерами соединений изобретения являются производные циклоспорина. Если не указано иначе, описанный здесь циклоспорин представляет собой циклоспорин A и описанное здесь производное циклоспорина представляет собой производное циклоспорина A.
«Ацил» относится к радикалу -C(O)R, где R представляет собой водород, алкил, циклоалкил, циклогетероалкил, арил, арилалкил, гетероалкил, гетероарил, гетероарилалкил, как здесь определяется. Примеры представителей включают, но не ограничиваются этим, формил, ацетил, циклогексилкарбонил, циклогексилметилкарбонил, бензоил, бензилкарбонил и т.п.
«Алкил» относится к одновалентным насыщенным алифатическим гидрокарбиловым группам, особенно имеющим до приблизительно 11 углеродных атомов, более предпочтительно в виде низшего алкила, от 1 до 8 углеродных атомов и еще более предпочтительно от 1 до 6 углеродных атомов. Цепь углеродов может быть либо линейной, либо разветвленной. Примерами этого термина являются такие группы, как метил, этил, н-пропил, изопропил, н-бутил, изобутил, трет-бутил, н-гексил, н-октил, трет-октил и т.п. Термин «низший алкил» относится к алкильным группам, имеющим от 1 до 6 углеродных атомов.
«Алкилен» обозначает двухвалентные насыщенные алифатические гидрокарбильные группы, в особенности содержащие до приблизительно 11 атомов углерода и еще более предпочтительно от 1 до 6 атомов углерода, которые могут быть линейными или разветвленными цепями. Данный термин иллюстрируется такими группами, как метилен (-CH2-), этилен (-CH2CH2-), изомеры пропилена (например, -CH2CH2CH2– и -CH(CH3)CH2-) и т.п.
«Алкенил» обозначает одновалентные олефинненасыщенные гидрокарбильные группы, предпочтительно содержащие до приблизительно 11 атомов углерода, в особенности от 2 до 8 атомов углерода и более предпочтительно от 2 до 6 атомов углерода, которые могут быть линейными или разветвленными цепями и содержащими, по меньшей мере, 1 и предпочтительно от 1 до 2 сайтов олефиновой ненасыщенности. Конкретные алкенильные группы включают этенил (-CH=CH2), н-пропенил (-CH2CH=CH2), изопропенил (-C(CH3)=CH2), винил и замещенный винил и т.п.
«Алкенилен» обозначает двухвалентные олефинненасыщенные гидрокарбильные группы, в особенности содержащие до приблизительно 11 атомов углерода и более предпочтительно от 2 до 6 атомов углерода, которые могут быть линейными или разветвленными цепями и содержащими, по меньшей мере, 1 и предпочтительно от 1 до 2 сайтов олефиновой ненасыщенности. Данный термин иллюстрируется такими группами, как этенилен (-CH=CH-), изомеры пропенилена (например, -CH=CHCH2– и -C(CH3)=CH- и -CH=C(CH3)-) и т.п.
«Алкинил» обозначает ацетиленоподобные ненасыщенные гидрокарбильные группы, в особенности содержащие до приблизительно 11 атомов углерода и более предпочтительно от 2 до 6 атомов углерода, которые могут быть линейными или разветвленными цепями и содержащими, по меньшей мере, 1 и предпочтительно от 1 до 2 сайтов алкинильной ненасыщенности. Конкретные не ограничивающие примеры алкинильных групп включают ацетиленовую, этинильную (-C CH), пропаргильную (-CH2C CH) и т.п.
«Алкокси» обозначает группу -OR, где R представляет собой алкил. Конкретные алкоксигруппы включают в качестве примера метокси, этокси, н-пропокси, изопропокси, н-бутокси, трет-бутокси, втор-бутокси, н-пентокси, н-гексокси, 1,2-диметилбутокси и т.п.
«Алкиламино» обозначает группу алкил-NR’-, где R’ выбран из водорода и алкила.
«Ариламино» обозначает группу арил-NR’-, где R’ выбран из водорода, арила и гетероарила.
«Алкоксикарбонил» обозначает радикал -C(O)-алкокси, где алкокси представляет собой определенное здесь.
«Амино» обозначат радикал -NH2.
«Карбокси» обозначает радикал -C(O)OH.
«Диалкиламино» обозначает радикал -NRR’, где R и R’ независимо представляют собой алкильную, замещенную алкильную, арильную, замещенную арильную, циклоалкильную, замещенную циклоалкильную, циклогетероалкильную, замещенную циклогетероалкильную, гетероарильную или замещенную гетероарильную группу, как определено здесь.
«Галоген» обозначает хлор, бром, фтор или йод.
«Гидрокси» обозначает радикал -OH.
«Нитро» обозначает радикал -NO2.
«Тиоалкокси» обозначает группу -SR, где R представляет собой алкил.
«Сульфанил» обозначает радикал HS-. «Замещенный сульфанил» относится к такому радикалу, как RS-, где R представляет собой любой описанный здесь заместитель. В некоторых осуществлениях «замещенный сульфанил» относится к радикалу -SR, где R представляет собой алкильную или циклоалкильную группу, как определено здесь, которая может быть необязательно замещена, как определено здесь. Иллюстративные примеры включают, но не ограничиваются этим, метилтио, этилтио, пропилтио, бутилтио и т.п.
«Сульфинил» обозначает радикал -S(O)H. «Замещенный сульфинил» относится к такому радикалу, как S(O)-R, где R представляет собой любой описанный здесь заместитель.
«Сульфонил» обозначает двухвалентный радикал -S(O2)-. «Замещенный сульфонил» относится к такому радикалу, как -S(O2)-R, где R представляет собой любой описанный здесь заместитель. В отдельных осуществлениях R выбран из H, низшего алкила, алкила, арила и гетероарила.
«Фармацевтически приемлемая соль» обозначает любую соль соединения данного изобретения, которая сохраняет его биологические свойства и которая не является токсичной или каким-либо другим образом нежелательной для фармацевтического применения. Такие соли могут брать начало от множества органических и неорганических противоионов, которые хорошо известны в данной области техники. Такие соли включают (1) аддитивные соли кислоты, образованные с органическими или неорганическими кислотами, такими как хлористоводородная, бромистоводородная, серная, азотная, фосфорная, сульфаминовая, уксусная, трифторуксусная, трихлоруксусная, пропионовая, гексановая, циклопентилпропионовая, гликолевая, глутаровая, пировиноградная, молочная, малоновая, янтарная, сорбиновая, аскорбиновая, яблочная, малеиновая, фумаровая, винная, лимонная, бензойная, 3-(4-гидроксибензоил)бензойная, пикриновая, коричная, миндальная, фталевая, лауриновая, метансульфоновая, этансульфоновая, 1,2-этандисульфоновая, 2-гидроксиэтансульфоновая, бензолсульфоновая, 4-хлорбензолсульфоновая, 2-нафталинсульфоновая, 4-толуолсульфоновая, камфорная, камфорсульфоновая, 4-метилбицикло[2.2.2]-окт-2-ен-1-карбоновая, глюкогептоновая, 3-фенилпропионовая, триметилуксусная, трет-бутилуксусная, лаурилсерная, глюконовая, бензойная, глутаминовая, гидроксинафтойная, салициловая, стеариновая, циклогексилсульфаминовая, хинная, муконовая и т.п. кислоты; или (2) соли, образованные, когда кислотный протон находится в исходном соединении, или (a) заменен ионом металла, например ионом щелочного металла, ионом щелочноземельного металла, или ионом алюминия, или гидроксидами щелочных металлов или щелочноземельных металлов, такими как гидроксид натрия, калия, кальция, магния, алюминия, лития, цинка и бария, аммиаком, или (b) находится в координатной связи с органическим основанием, таким как алифатические, алициклические или ароматические органические амины, такие как аммиак, метиламин, диметиламин, диэтиламин, пиколин, этаноламин, диэтаноламин, триэтаноламин, этилендиамин, лизин, аргинин, орнитин, холин, N,N’-дибензилэтилендиамин, хлорпрокаин, диэтаноламин, прокаин, N-бензилфенэтиламин, N-метилглюкаминпиперазин, трис(гидроксиметил)аминометан, тетраметиламмония гидрохлорид и т.п.
Соли дополнительно включают, лишь в качестве примера, соли натрия, калия, кальция, магния, аммония, тетраалкиламмония и т.п., и когда соединение содержит основную функцию, соли нетоксичных органических или неорганических кислот, таких как галогеноводороды, например гидрохлорид и гидробромид, сульфат, фосфат, сульфамат, нитрат, ацетат, трифторацетат, трихлорацетат, пропионат, гексаноат, циклопентилпропионат, гликолат, глутарат, пируват, лактат, малонат, сукцинат, сорбат, аскорбат, малат, малеат, фумарат, тартрат, цитрат, бензоат, 3-(4-гидроксибензоил)бензоат, пикрат, циннамат, манделат, фталат, лаурат, метансульфонат (мезилат), этансульфонат, 1,2-этандисульфонат, 2-гидроксиэтансульфонат, бензолсульфонат (безилат), 4-хлорбензолсульфонат, 2-нафталинсульфонат, 4-толуолсульфонат, камфорат, камфорсульфонат, 4-метилбицикло[2.2.2]окт-2-ен-1-карбоксилат, глюкогептонат, 3-фенилпропионат, триметилацетат, трет-бутилацетат, лаурилсульфат, глюконат, бензоат, глутамат, гидроксинафтоат, салицилат, стеарат, циклогексилсульфамат, хинат, муконат и т.п.
Термин «физиологически приемлемый катион» обозначает нетоксичный, физиологически приемлемый катионный противоион кислой функциональной группы. Такие катионы иллюстрируются катионами натрия, калия, кальция, магния, аммония и тетраалкиламмония и т.п.
«Сольват» обозначает соединение настоящего изобретения или его соль, которое дополнительно включает стехиометрическое или не стехиометрическое количество растворителя, связанного с помощью нековалентных межмолекулярных сил. Когда растворителем является вода, сольват представляет собой гидрат.
Следует понимать, что соединения, имеющие одну и ту же молекулярную формулу, но различающиеся по природе или последовательности связей их атомов или пространственной организацией их атомов, называются «изомерами». Изомеры, которые различаются по пространственной организации их атомов, называются «стереоизомерами».
Стереоизомеры, которые не являются зеркальными отображениями друг друга, называются «диастереомерами», а те, которые не являются взаимоналагаемыми зеркальными изображениями друг друга, называются «энантиомерами». Когда соединение содержит центр асимметрии, например, когда он связан с четырьмя различными группами, возможна пара энантиомеров. Энантиомер может характеризоваться абсолютной конфигурацией своего асимметричного центра и обозначается (R) или (S) согласно правилам Cahn и Prelog (Cahn et al., 1966, Angew. Chem. 78: 413-447, Angew. Chem., Int. Ed. Engl. 5: 385-414 (ссылка: Angew. Chem., Int. Ed. Engl. 5: 511); Prelog and Helmchen, 1982, Angew. Chem. 94: 614-631, Angew. Chem. Internat. Ed. Eng. 21: 567-583; Mata and Lobo, 1993, Tetrahedron: Asymmetry 4: 657-668) или может характеризоваться таким способом, при котором молекула вращает плоскость поляризованного света и обозначается как правовращающая или левовращающая (т.е. как (+)- или (-)-изомеры соответственно). Хиральное соединение может находиться либо в виде индивидуального энантиомера, либо в виде их смеси. Смесь, содержащая равные части энантиомеров, называется «рацемической смесью».
В некоторых осуществлениях соединения данного изобретения могут содержать один или более асимметричных центров; такие соединения, следовательно, могут быть получены в виде индивидуальных (R)- или (S)-энантиомеров или их смеси. Если это не указано иначе, например путем указания стереохимии в любом положении формулы, описание или наименование конкретного соединения в описании и формуле изобретения предназначено для включения обоих индивидуальных энантиомеров и их смесей, рацемических или иных. Способы определения стереохимии и разделения стереоизомеров хорошо известны в данной области техники. В отдельных осуществлениях настоящего изобретения предлагаются стереоизомеры описанных здесь соединений после обработки основанием.
В некоторых осуществлениях соединения изобретения являются «стереохимически чистыми». Стереохимически чистое соединение имеет уровень стереохимической чистоты, который был бы определен как «чистый» специалистами в данной области техники. Конечно, данный уровень чистоты должен быть ниже 100%. В некоторых осуществлениях «стереохимически чистый» обозначает соединение, которое по существу свободно от альтернативных изомеров. В конкретных осуществлениях соединение на 85%, 90%, 91%, 92%, 93%, 94%, 95%, 96%, 97%, 98%, 99%, 99,5% или 99,9% свободно от других изомеров.
«Саркозин», или «Сар», относится к аминокислотному остатку, известному специалистам в данной области техники, имеющему структуру -N(Me)CH2C(O)-. Специалисты в данной области техники могли бы узнать саркозин как N-метилглицин.
Применяемые здесь термины «субъект» и «пациент» используются здесь взаимозаменяемо. Термины «субъект» и «субъекты» обозначают животное, предпочтительно млекопитающее, включая отличное от приматов (например, корову, свинью, лошадь, кошку, собаку, крысу и мышь) и приматов (например, обезьяну, такую как обезьяна cynomolgous, шимпанзе и человека) и более предпочтительно человека. В одном осуществлении субъект устойчив или не отвечает на существующее лечение инфекционного гепатита C. В другом осуществлении субъектом является сельскохозяйственное животное (например, лошадь, корова, свинья и т.д.) или комнатное животное (например, собака или кошка). В предпочтительном осуществлении субъектом является человек.
Применяемые здесь термины «терапевтический агент» и «терапевтические агенты» относятся к любому(ым) агенту(ам), которые могут быть использованы для лечения, ведения или облегчения заболевания или одного или более его симптомов. В некоторых осуществлениях термин «терапевтический агент» относится к соединению изобретения. В некоторых других осуществлениях термин «терапевтический агент» не относится к соединению изобретения. Предпочтительно, терапевтический агент представляет собой агент, о котором известно, что он пригоден, использовался или в настоящее время используется для лечения, ведения, профилактики или облегчения заболевания или одного или более его симптомов.
«Терапевтически эффективное количество» обозначает количество соединения или комплекса, или композиции, которое при введении субъекту для лечения заболевания является достаточным для того, чтобы такое лечение действовало на заболевание. «Терапевтически эффективное количество» может варьироваться в зависимости от, среди прочего, соединения, заболевания и его тяжести, возраста, массы и т.д. подлежащего лечению субъекта.
«Лечение» или «терапия» любой болезни или заболевания относится в одном осуществлении к облегчению болезни или заболевания, имеющегося у субъекта. В другом осуществлении «лечение» или «терапия» относятся к облегчению, по меньшей мере, одного физического параметра, который может быть не заметен для субъекта. В еще одном осуществлении «лечение» или «терапия» относятся к модуляции болезни или заболевания либо физически (например, стабилизация незаметного симптома), либо физиологически (например, стабилизация физического параметра), либо обоих. В еще одном осуществлении «лечение» или «терапия» относятся к задержке наступления болезни или заболевания.
Применяемые здесь термины «профилактический агент» и «профилактические агенты» относятся к любому агенту(ам), который(ые) может быть использован для профилактики заболевания или одного или более его симптомов. В определенных осуществлениях термин «профилактический агент» относится к соединению изобретения. В некоторых других осуществлениях термин «профилактический агент» не относится к соединению изобретения. Предпочтительно профилактический агент представляет собой агент, о котором известно, что он пригоден, использовался или в настоящее время используется для профилактики или задержки наступления, развития, прогрессии и/или тяжести заболевания.
Применяемые здесь термины «предотвращать», «предотвращение» и «профилактика» относятся к профилактике рецидива, наступления или развития одного или более симптомов заболевания у субъекта в результате введения терапевтического средства (например, профилактического или терапевтического агента) или введения комбинированной терапии (например, сочетания профилактического или терапевтического агентов).
Применяемое здесь словосочетание «профилактически эффективное количество» относится к количеству терапевтического средства (например, профилактического агента), которое является достаточным для того, чтобы создать профилактику развития рецидива или наступления одного или более симптомов, связанных с заболеванием (или для усиления или улучшения профилактического действия другого терапевтического агента (например, другого профилактического агента).
Термин «этикетка» относится к представлению написанного, отпечатанного или графического материала непосредственно на контейнере предмета производства, например написанный материал изображается на флаконе, содержащем фармацевтически активный агент.
Термин «маркировка» относится ко всем этикеткам и другим написанным, отпечатанным или графическим материалам на любом предмете производства или любых контейнерах или упаковках или сопровождающим такой предмет производства, например вложению в упаковку или видеопленкам с указаниями, или DVD, сопровождающими или связанными с контейнером фармацевтически активного агента.
4.2 Осуществления изобретения
Настоящее изобретение основывается отчасти на открытии того, что соединения изобретения эффективны для лечения и профилактики инфекционного гепатита C у нуждающегося в этом субъекта. Соответственно, в настоящем изобретении предлагаются способы лечения инфекции гепатита C у нуждающегося в этом субъекта. В настоящем изобретении дополнительно предлагаются способы профилактики инфекции гепатита C у нуждающегося в этом субъекта. В целом способы изобретения включают стадию введения нуждающемуся в этом субъекту соединения изобретения в количестве, эффективном для лечения или профилактики инфекции гепатита C. Способы лечения подробно описаны в разделах, представленных ниже. Соединение может быть любым соединением изобретения, как описано в разделах, представленных ниже. В некоторых осуществлениях соединение находится в форме фармацевтической композиции или лекарственной форме, как описано в разделах, представленных ниже.
Не желая связываться с какой-либо конкретной теорией действия, заявители полагают, что соединения изобретения ингибируют репликацию вируса гепатита C (HCV) с помощью механизма, отличного от существующей терапии HCV. Существующая терапия для HCV, как упоминалось выше, заключается в совместном введении интерферона и рибавирина. Полагают, что существующая терапия действует путем модуляции иммунной системы субъекта для лечения или профилактики инфекции HCV. Полагают, что соединения настоящего изобретения действуют путем модуляции или ингибирования клеточных процессов, решающих для репликации HCV у хозяина. Такие механизмы обсуждаются в примерах ниже. Действуя с помощью нового механизма, соединения, композиции и способы изобретения обеспечивают новую терапию для лечения или профилактики инфекции HCV. Поэтому они полезны для любого субъекта, инфицированного или имеющего риск инфекции HCV, и в особенности для субъектов, которые не отвечают на существующую терапию.
В осуществлениях изобретения субъектом может быть любой субъект, инфицированный или имеющий риск инфекции HCV. Инфекция или риск инфекции могут быть определены с помощью любого способа, который, как полагают, является пригодным для специалиста в данной области техники. Особенно предпочтительными субъектами являются люди, инфицированные HCV.
HCV может быть любым HCV, известным специалистам в данной области техники. Существует, по меньшей мере, шесть генотипов и, по меньшей мере, 50 подтипов HCV, известных в настоящее время специалистам в данной области техники. HCV может иметь любой генотип или подтип, известный специалистам в данной области техники. В некоторых осуществлениях HCV имеет генотип или подтип, еще не охарактеризованный. В некоторых осуществлениях субъект инфицирован HCV одного генотипа. В некоторых осуществлениях субъект инфицирован HCV множества подтипов или множества генотипов.
В некоторых осуществлениях HCV имеет генотип 1 и может быть любым подтипом. Например, в некоторых осуществлениях HCV имеет подтип 1a, 1b или 1c. Полагают, что при инфекции HCV генотипа 1 существующая терапия интерфероном обеспечивает слабый ответ. Способы настоящего изобретения могут быть благоприятными для терапии инфекции HCV генотипа 1.
В некоторых осуществлениях HCV отличен от генотипа 1. В некоторых осуществлениях HCV представляет собой генотип 2 и может быть любого подтипа. Например, в некоторых осуществлениях HCV имеет подтип 2a, 2b или 2c. В некоторых осуществлениях HCV представляет собой генотип 3 и может быть любого подтипа. Например, в некоторых осуществлениях HCV имеет подтип 3a, 3b или 10a. В некоторых осуществлениях HCV представляет собой генотип 4 и может быть любого подтипа. Например, в некоторых осуществлениях HCV имеет подтип 4a. В некоторых осуществлениях HCV представляет собой генотип 5 и может быть любого подтипа. Например, в некоторых осуществлениях HCV имеет подтип 5a. В некоторых осуществлениях HCV представляет собой генотип 6 и может быть любого подтипа. Например, в некоторых осуществлениях HCV имеет подтип 6a, 6b, 7b, 8b, 9a или 11a. См., например, Simmonds, 2004, J. Gen. Virol. 85: 3173-88; Simmonds, 2001, J. Gen. Virol., 82, 693-712, содержание которых включено в качестве ссылки во всей своей полноте.
В некоторых осуществлениях изобретения субъект никогда не получал терапию или профилактическое лечение инфекции HCV. В дополнительных осуществлениях изобретения субъект ранее получал терапию или профилактическое лечение инфекции HCV. Например, в некоторых осуществлениях субъект не отвечал на терапию HCV. Действительно, при существующей терапии интерфероном до 50% или более субъектов с HCV не отвечают на терапию. В некоторых осуществлениях субъектом может быть субъект, который получал терапию, но продолжал страдать от вирусной инфекции или от одного или более ее симптомов. В некоторых осуществлениях субъектом может быть субъект, который получал терапию, но у него не возникал устойчивый вирологический ответ. В некоторых осуществлениях субъект получал терапию по поводу инфекции HCV, но у него не наблюдалось 2 log10 снижения уровня РНК HCV через 12 недель лечения. Полагают, что у субъектов, у которых не наблюдается более чем 2 log10 снижения РНК HCV в сыворотке через 12 недель лечения, имеется 97-100% вероятность отсутствия ответа. Поскольку соединение настоящего изобретения действует посредством механизма, отличного от существующей терапии HCV, полагают, что соединения изобретения должны быть эффективны при лечении таких не отвечающих субъектов.
В некоторых осуществлениях субъект представляет собой субъект, который прекратил лечение HCV из-за одного или более неблагоприятных эффектов, связанных с лечением. В некоторых осуществлениях субъект представляет собой субъект, которому существующая терапия не показана. Например, некоторые типы терапии HCV связаны с нейропсихиатрическими эффектами. Интерферон (ИФН)-альфа вместе с рибавирином связан с высокой частотой депрессии. Депрессивные симптомы, как было показано, связаны с неблагоприятным исходом при ряде медицинских нарушений. Угрожающие для жизни или фатальные нейропсихиатрические случаи, включая суицид, суицидное и склонное к убийству умонастроение, депрессию, рецидивы склонности к наркотикам/передозировке и агрессивное поведение, наблюдались у субъектов, имевших и не имевших ранее психиатрическое заболевание, во время лечения HCV. Индуцированная интерфероном депрессия служит ограничением для лечения хронического гепатита C, особенно у субъектов с психиатрическими нарушениями. Психиатрические побочные эффекты являются обычными при терапии интерфероном и ответственными за приблизительно от 10% до 20% прекращения существующей терапии по поводу инфекции HCV.
Соответственно, в настоящем изобретении предлагаются способы лечения или профилактики инфекции HCV у субъектов, когда риск нейропсихиатрических событий, таких как депрессия, служит противопоказанием для лечения с помощью текущей терапии HCV. В настоящем изобретении предлагаются также способы лечения или профилактики инфекции HCV у субъектов, когда нейропсихиатрическое событие, такое как депрессия, или его риск указывает на прекращение лечения с помощью текущей терапии HCV. В настоящем изобретении дополнительно предлагаются способы лечения или профилактики инфекции HCV у субъектов, когда нейропсихиатрическое событие, такое как депрессия, или его риск указывает на снижение дозы текущей терапии HCV.
Текущая терапия также противопоказана у субъектов, которые гиперчувствительны к интерферону, или рибавирину, или обоим, или к любому другому компоненту фармацевтического продукта для введения интерферона или рибавирина. Текущая терапия не показана у субъектов с гемоглобинопатиями (например, большой талассемией, серповидно-клеточной анемией) и у других субъектов, подверженных риску гематологических побочных эффектов текущей терапии. Обычные гематологические побочные эффекты включают подавление активности костного мозга, нейтропению и тромбоцитопению. Более того, рибавирин является токсичным в отношении красных клеток крови и связан с гемолизом. Соответственно, в настоящем изобретении предлагаются способы лечения или профилактики инфекции HCV у субъектов, гиперчувствительных к интерферону, или рибавирину, или к обоим, у субъектов с гемоглобинопатией, например у субъектов с большой талассемией и у субъектов с серповидно-клеточной анемией, и у других субъектов, подверженных риску гематологических побочных эффектов текущей терапии.
В определенных осуществлениях субъект получал терапию HCV и прекратил терапию до введения по способу изобретения. В дополнительных осуществлениях субъект получал терапию HCV и продолжает получать терапию вместе с введением по способу изобретения. Агенты по способам изобретения могут быть введены совместно с другой терапией HCV в соответствии с решением специалиста в данной области техники. В выгодных осуществлениях способы или композиции изобретения могут быть введены совместно со сниженной дозой другой терапии HCV.
В определенных осуществлениях в настоящем изобретении предлагаются способы лечения субъекта, который устойчив к лечению интерфероном. Например, в некоторых осуществлениях субъект может представлять собой субъект, который не способен отвечать на лечение одним или более агентами, выбранными из группы, состоящей из интерферона, интерферона , ПЭГилированного интерферона , интерферона плюс рибавирин, интерферона плюс рибавирин и ПЭГилированного интерферона плюс рибавирин. В некоторых осуществлениях субъект может представлять собой субъект, который плохо отвечает на лечение одним или более агентами, выбранными из группы, состоящей из интерферона, интерферона , ПЭГилированного интерферона , интерферона плюс рибавирин, интерферона плюс рибавирин и ПЭГилированного интерферона плюс рибавирин.
В дополнительных осуществлениях настоящее изобретение обеспечивает способы лечения HCV-инфекции у субъектов, которые беременны или могут забеременеть, поскольку терапевтическое лечение противопоказано беременным женщинам.
В определенных осуществлениях субъект имеет совместные инфекции HCV и ВИЧ или находится в состоянии риска совместной инфекции. Например, в Соединенных Штатах 30% субъектов с ВИЧ соинфицированы HCV, и данные указывают, что люди, инфицированные ВИЧ, характеризуются намного более быстрым развитием у них инфекции гепатита C. Maier and Wu, 2002, World J. Gastroenterol 8: 577-57. Способы изобретения могут быть использованы для лечения или профилактики инфекции HCV у таких субъектов. Считается, что уничтожение HCV у таких субъектов будет снижать смертность от конечной стадии заболевания печени. Конечно, риск прогрессирующего заболевания печени выше у субъектов с тяжелым иммунодефицитом, определяемым СПИД, чем у тех, кто его не имеет. См., например, Lesens et al., 1999, J. Infect. Dis. 179: 1254-1258. Выгодно, что соединения изобретения, как показано, подавляют ВИЧ у субъектов с HCV. См., например, патенты США 5977067; 5994299, 5948884 и 6583265 и публикации PCT WO 99/32512, WO 99/67280, содержание которых включено здесь во всей своей полноте в качестве ссылки. Таким образом, в определенных осуществлениях в настоящем изобретении предлагаются способы лечения или профилактики инфекции ВИЧ и инфекции HCV у нуждающихся в этом субъектов.
В определенных осуществлениях агенты способов или композиции изобретения вводят субъекту после трансплантации печени. Гепатит C является лидирующей причиной трансплантации печени в США, и многие субъекты, которые подверглись трансплантации печени, остаются HCV положительными после трансплантации. В настоящем изобретении предлагаются способы лечения таких субъектов с возвратным HCV соединением или композицией изобретения. В определенных осуществлениях в настоящем изобретении предлагаются способы лечения субъекта перед, во время или после трансплантации печени для профилактики возвратной инфекции HCV.
4.2.1 Соединения изобретения
В определенных осуществлениях в настоящем изобретении предлагаются способы лечения или профилактики инфекции гепатита C у нуждающегося в этом субъекта с помощью введения субъекту эффективного количества соединения изобретения. В определенных осуществлениях соединение изобретения представляет собой производное циклоспорина, эффективное для лечения или профилактики инфекции гепатита C у нуждающегося в этом субъекта. Если не указано иначе, применяемый здесь термин «циклоспорин» относится к соединению циклоспорина A, как известно специалистам в данной области техники. См., например, Ruegger et al., 1976, Helv. Chim. Acta. 59: 1075-92; Borel et al., 1977, Immunology 32: 1017-25; содержание которых включено здесь во всей своей полноте в качестве ссылки. Термин «производное циклоспорина» относится к любому производному циклоспорина с активностью против инфекции гепатита C, является ли производное природным, синтетическим или полусинтетическим.
В конкретных осуществлениях производное циклоспорина отличается от циклоспорина A в третьем положении, т.е. положении N-метилглицина, что известно специалистам в данной области техники. В определенных осуществлениях производное циклоспорина представляет собой 3-эфир циклоспорина. В дополнительных осуществлениях производное циклоспорина представляет собой 3-тиоэфир циклоспорина. Производное циклоспорина может дополнительно включать другие модификации циклоспорина, известные специалистам в данной области техники. В преимущественных осуществлениях циклоспорин дополнительно включает остаток 4-гамма-гидроксиметиллейцина. Соответственно, в определенных осуществлениях производное циклоспорина представляет собой 3-эфир, 4-гамма-гидроксиметиллейцин. В дополнительных осуществлениях производное циклоспорина представляет собой 3-тиоэфир, 4-гамма-гидроксиметиллейцин.
В определенных осуществлениях в настоящем изобретении предлагаются способы лечения или профилактики инфекции гепатита C у субъекта, включающие введение субъекту терапевтически или профилактически эффективного количества производного циклоспорина общей формулы (I) или его фармацевтически приемлемой соли или сольвата:

В формуле (I) A, B, X, R1 и R2 представляют собой определенное выше.
В определенных осуществлениях A соответствует формуле (IIa). В дополнительных осуществлениях A соответствует формуле (IIb). В предпочтительных осуществлениях A представляет собой остаток формулы (IIa), указанной выше.
В предпочтительных осуществлениях B представляет собой этил.
Предпочтительно R1 представляет собой 2-аминоэтил, 2-аминопропил, 2-моноалкиламиноэтил, 2-моноалкиламинопропил, 2-диалкиламиноэтил, 2-диалкиламинопропил, 2-моноциклоалкиламиноэтил, 2-моноциклоалкиламинопропил, 2-дициклоалкиламиноэтил или 2-диалкиламинопропил, где алкил имеет линейную или разветвленную цепь, содержащую от одного до четырех углеродных атомов, и циклоалкил содержит от трех до шести углеродных атомов.
В дополнительном предпочтительном осуществлении R1 представляет собой алкил с линейной или разветвленной цепью, содержащий от одного до четырех углеродных атомов (более предпочтительно один или два углеродных атома), необязательно замещенный одной группой R3.
В определенных осуществлениях R2 представляет собой изобутил. В других осуществлениях R2 представляет собой 2-гидроксиизобутил.
Предпочтительно X представляет собой кислород или серу. В определенных осуществлениях X представляет собой кислород. В дополнительных осуществлениях X представляет собой серу.
R3 предпочтительно представляет собой гидрокси или -NR4R5, где R4 и R5, которые могут быть одинаковыми или различными, каждый представляет собой водород или алкил с линейной или разветвленной цепью, содержащий от одного до шести углеродных атомов (более предпочтительно от одного до четырех углеродных атомов). В дополнительном предпочтительном осуществлении R3 представляет собой -NR4R5.
В определенных осуществлениях, когда X представляет собой серу, предпочтительно R1 выбран из группы, состоящей из N,N-диметиламиноэтила, N,N-диэтиламиноэтила, N-метил-N-трет-бутиламиноэтила и N-этил-N-трет-бутиламиноэтила.
В определенных осуществлениях X представляет собой серу, R2 представляет собой изобутил и R1 выбран из группы, состоящей из N,N-диметиламиноэтила, N,N-диэтиламиноэтила, N-метил-N-трет-бутиламиноэтила и N-этил-N-трет-бутиламиноэтила.
В определенных осуществлениях X представляет собой серу, R2 представляет собой 2-гидроксиизобутил и R1 выбран из группы, состоящей из N,N-диметиламиноэтила, N,N-диэтиламиноэтила, N-метил-N-трет-бутиламиноэтила и N-этил-N-трет-бутиламиноэтила.
Дополнительными предпочтительными соединениями формулы (I) являются те, в которых R1 представляет собой алкил с линейной или разветвленной цепью, содержащий от двух до шести углеродных атомов, необязательно замещенный группой R3; или алкенил с линейной или разветвленной цепью, содержащий от двух до четырех углеродных атомов; и R3 представляет собой гидрокси, -NR4R5 или метокси.
Дополнительными предпочтительными соединениями формулы (I) являются те, в которых каждый из R4 и R5, которые могут быть одинаковыми или различными, представляет собой водород; алкил с линейной или разветвленной цепью, содержащий от одного до четырех углеродных атомов, или R4 и R5 вместе с атомом азота, к которому они присоединены, образуют насыщенное кольцо, содержащее шесть атомов кольца; причем атомы кольца, отличные от атома азота, независимо выбраны из углерода и кислорода.
В дополнительном предпочтительном осуществлении R3 выбран из группы, состоящей из галогена, гидрокси, карбоксила, алкоксикарбонила, -NR4R5 и -NR6(CH2)mNR4R5.
Предпочтительно галоген представляет собой фтор, хлор или бром и более предпочтительно фтор или хлор.
Соединения формулы (I), в которых X представляет собой кислород и R1 представляет собой 2-метоксиэтил, или их фармацевтически приемлемые соли также являются предпочтительными.
Соединения формулы (I), в которых X представляет собой кислород или серу и R1 представляет собой пропил, замещенный -NR4R5 или метокси, или их фармацевтически приемлемые соли также являются предпочтительными.
Среди этих более предпочтительных соединений, применяемых в способе настоящего изобретения, находятся производные циклоспорина, перечисленные ниже:
3-метоксициклоспорин;
3-этоксициклоспорин;
3-пропоксициклоспорин;
3-изопропоксициклоспорин;
3-(2-аминоэтокси)циклоспорин;
3-(2-N-метиламиноэтокси)циклоспорин;
3-(2-N-этиламиноэтокси)циклоспорин;
3-(2-диметиламиноэтокси)циклоспорин;
3-(2-диэтиламиноэтокси)циклоспорин;
3-(2-трет-бутилметиламиноэтокси)циклоспорин;
3-(2-трет-бутилэтиламиноэтокси)циклоспорин;
3-[(R)-2-(N,N-диметиламино)этилтио-Sar]-4-[4′-гидрокси-MeLeu]циклоспорин;
3-[(R)-2-(N,N-диметиламино)этилтио-Sar]циклоспорин;
3-[(R)-2-(гидрокси)этилтио-Sar]-4-[4′-гидрокси-MeLeu]циклоспорин;
3-[(R)-2-(гидрокси)этилтио-Sar]циклоспорин;
3-[(R)-2-(N,N-диэтиламино)этилтио-Sar]-4-[4′-гидрокси-MeLeu]циклоспорин;
3-[(R)-2-(N,N-диэтиламино)этилтио-Sar]циклоспорин;
3-(втор-бутокси)циклоспорин;
3-[2-(l,4-дигидропирид-l-ил)этокси)циклоспорин;
и их фармацевтически приемлемые соли.
Особенно предпочтительные соединения, применяемые в способе изобретения, включают следующие:
| Соединение |
Название |
| A |
3-метоксициклоспорин |
| B |
3-(2-аминоэтокси)циклоспорин |
| C |
3-(2-N,N-диметиламиноэтокси)циклоспорин |
| D |
3-(изопропокси)циклоспорин |
| E |
3-(2-этилбутокси)циклоспорин |
| F |
3-(2,2-диметилпропокси)циклоспорин |
| G |
3-(2-гидроксиэтокси)циклоспорин |
| H |
3-(3-гидроксипропокси)циклоспорин |
| I |
3-[2-(N-метиламино)этокси]циклоспорин |
| J |
3-[2-(N-метил-N-изопропиламино)этокси]циклоспорин |
| K |
3-[2-(пиперидин-1-ил)этокси]циклоспорин |
| L |
3-[2-(N-морфолин)этокси]циклоспорин |
| M |
3-этоксициклоспорин |
| N |
3-(2-метоксиэтилтио)-4-(гамма-гидроксиметиллейцин)циклоспорин |
| O |
3-[(R)-2-(N,N-диметиламино)этилтио-Sar]-4-(гамма-гидроксиметиллейцин)циклоспорин |
| P |
3-этилтиоциклоспорин |
| Q |
3-пропенилтиоциклоспорин |
| R |
3-[(2-метокси)этилтио]циклоспорин |
| S |
3-(метилтио)-4-(гамма-гидроксиметиллейцин)циклоспорин |
| T |
3-(метокси)-4-(гамма-гидроксиметиллейцин)циклоспорин |
| U |
3-(проп-2-ен-l-окси)-4-(гамма-гидроксиметиллейцин)циклоспорин |
| V |
3-(изопропокси)-4-(гамма-гидроксиметиллейцин)циклоспорин |
| W |
3-(этокси)-4-(гамма-гидроксиметиллейцин)циклоспорин |
| X |
3-[2-(метокси)этокси]-4-(гамма-гидроксиметиллейцин)циклоспорин |
| Y |
3-[3-(метокси)пропокси]-4-(гамма-гидроксиметиллейцин)циклоспорин |
Соединения, обозначенные буквами от A до Y, будут применяться здесь далее.
В определенных осуществлениях в настоящем изобретении предлагается способ лечения или профилактики инфицирования вирусом гепатита C у субъекта с помощью введения нуждающемуся в этом субъекту эффективного количества соединения изобретения, выбранного из группы, состоящей из соединений A-Y, или его фармацевтически приемлемой соли.
Соединение O или его фармацевтически приемлемая соль особенно предпочтительно из-за высокого уровня его активности и его токсикологического профиля, как описано в примерах ниже.
В определенных осуществлениях производные циклоспорина по изобретению, в которых R1 представляет собой алкил, замещенный одной или более группами R3, где R3 представляет собой -NR4R5 или -NR6(CH2)mNR4R5 и R4, R5 и R6 представляют собой определенное выше, могут быть превращены в аддитивные соли кислот с помощью известных методов. Понятно, что эти соли также входят в объем настоящего изобретения. Примеры солей изобретения и способы их получения описываются в разделах ниже.
В выгодных осуществлениях изобретения соединение находится в чистой форме. Чистота может быть любой чистотой, известной специалистам в данной области техники, такой как абсолютная чистота, стереохимическая чистота или обе. В определенных осуществлениях чистота соединения изобретения составляет, по меньшей мере, 80%, 85%, 90%, 91%, 92%, 93%, 94%, 95%, 96%, 97%, 98% или 99%. В определенных осуществлениях чистота соединения изобретения составляет, по меньшей мере, 90%. В дополнительных осуществлениях изобретения чистота соединения изобретения составляет, по меньшей мере, 98%. Способы очистки соединений изобретения описываются ниже.
4.2.2 Получение соединений изобретения
Соединения изобретения могут быть синтезированы, выделены или получены с помощью любого способа, очевидного специалистам в данной области техники. Примеры способов получения подробно описываются в примерах ниже.
Кроме того, циклоспорины, замещенные в 3 положении тиоэфирными или эфирными группами, могут быть получены в соответствии с методами, описанными в патентах США 5977067, 5994299, 5948884 и 6583265 и в публикациях PCT WO 99/32512, WO 99/67280. Содержание этих ссылок включено здесь в качестве ссылки во всей своей полноте.
Соединения могут быть очищены после синтеза с помощью любого способа для очистки производных циклоспорина, очевидного специалистам в данной области техники. В определенных осуществлениях соединение изобретения очищают с помощью хроматографии. Например, соединение изобретения может быть очищено с применением высокоэффективной жидкостной хроматографии (ВЭЖХ). Полезным примером очистки с помощью ВЭЖХ является следующий: колонку ВЭЖХ с размерами 10 мм (диаметр) × 50 мм (высота), содержащую 5 мкм стационарной обратной фазы (октадецилсилан или октасилан), уравновешивают мобильной фазой, содержащей 0,1% муравьиной кислоты, от 50 до 90% воды и от 50 до 10% ацетонитрила. Важно, чтобы колонку нагревали до, по меньшей мере, 65°С или потенциально до 85°С. Мобильная фаза протекает со скоростью от 10 до 16 мл/мин и нагревается до 60°С. Приблизительно от 5 до 25 мг производного циклоспорина наносится на колонку в 0,1-0,8 мл растворителя, предпочтительно диметилсульфоксида. Ток мобильной фазы поддерживается и ее состав доводится линейным градиентом до 90% или 100% ацетонитрила в течение периода от 20 до 60 мин. Пики соединений определяют с применением определения светорассеяния в парах и/или определения при изменчивом ультрафиолете при длине волны, установленной от 205 до 215 нм. Пики соединений собирают в мобильной фазе, которую удаляют в вакууме; образцы полностью высушивают в вакууме и анализируют с помощью ЯМР, ИК и ВЭЖХ-МС для определения идентичности и чистоты.
4.2.3 Фармацевтические соли соединений изобретения
Как обсуждалось выше, производное циклоспорина изобретения может находится в нейтральной форме или в форме соли. Солевая форма может быть любой солевой формой, известной специалистам в данной области техники. Особенно пригодными солевыми формами являются те, которые координированы с фосфатом, цитратом, ацетатом, хлоридом, метансульфонатом или пропионатом.
Когда соединение настоящего изобретения, например соединение изобретения, замещено основной частью, может быть образована кислотно-аддитивная соль. Кислота, которая может быть использована для получения кислотно-аддитивной соли, предпочтительно включает такую, которая при соединении со свободным основанием дает фармацевтически приемлемую соль, т.е. анион которой является нетоксичным для субъекта при фармацевтических дозах соли. Фармацевтически приемлемыми солями в пределах объема изобретения являются те, которые получают из следующих кислот: неорганических кислот, таких как хлористоводородная кислота, бромистоводородная кислота, серная кислота, фосфорная кислота, сульфаминовая кислота и азотная кислота; и органических кислот, таких как уксусная, трифторуксусная, трихлоруксусная, пропионовая, гексановая, циклопентилпропионовая, гликолевая, глутаровая, пировиноградная, молочная, малоновая, янтарная, сорбиновая, аскорбиновая, яблочная, малеиновая, фумаровая, винная, лимонная, бензойная, 3-(4-гидроксибензоил)бензойная, пикриновая, коричная, миндальная, фталевая, лауриновая, метансульфоновая, этансульфоновая, 1,2-этандисульфоновая, 2-гидроксиэтансульфоновая, бензолсульфоновая, 4-хлорбензолсульфоновая, 2-нафталинсульфоновая, 4-толуолсульфоновая, камфорная, камфорсульфоновая, 4-метилбицикло[2.2.2]окт-2-ен-1-карбоновая, глюкогептоновая, 3-фенилпропионовая, триметилуксусная, трет-бутилуксусная, лаурилсерная, глюконовая, бензойная, глутаминовая, гидроксинафтойная, салициловая, стеариновая, циклогексилсульфаминовая, хинная, муконовая кислота и т.п. кислоты.
Соответствующие аддитивные соли включают гидрогалогениды, например гидрохлорид и гидробромид, сульфат, фосфат, сульфамат, нитрат, ацетат, трифторацетат, трихлорацетат, пропионат, гексаноат, циклопентилпропионат, гликолат, глутарат, пируват, лактат, малонат, сукцинат, сорбат, аскорбат, малат, малеат, фумарат, тартрат, цитрат, бензоат, 3-(4-гидроксибензоил)бензоат, пикрат, циннамат, манделат, фталат, лаурат, метансульфонат (мезилат), этансульфонат, 1,2-этандисульфонат, 2-гидроксиэтансульфонат, бензолсульфонат (безилат), 4-хлорбензолсульфонат, 2-нафталинсульфонат, 4-толуолсульфонат, камфорат, камфорсульфонат, 4-метилбицикло[2.2.2]окт-2-ен-1-карбоксилат, глюкогептонат, 3-фенилпропионат, триметилацетат, трет-бутилацетат, лаурилсульфат, глюконат, бензоат, глутамат, гидроксинафтоат, салицилат, стеарат, циклогексилсульфамат, хинат, муконат и т.п.
Согласно дополнительной особенности изобретения кислотно-аддитивные соли соединений данного изобретения могут быть получены с помощью взаимодействия свободного основания с соответствующей кислотой путем применения или адаптации известных способов. Например, кислотно-аддитивные соли соединений данного изобретения могут быть получены либо путем растворения свободного основания в водном или водно-спиртовом растворе или других подходящих растворителях, содержащих соответствующую кислоту, и выделения соли путем упаривания раствора или путем взаимодействия свободного основания и кислоты в органическом растворителе, и в этом случае соль отделяют прямо или она может быть получена путем концентрирования раствора.
Кислотно-аддитивные соли соединений данного изобретения, например соединения изобретения, могут быть восстановлены из солей путем применения или адаптации известных способов. Например, исходные соединения изобретения могут быть восстановлены из своих кислотно-аддитивных солей путем обработки щелочами, например водным раствором бикарбоната натрия или водным раствором аммиака.
Когда соединение изобретения, например соединение изобретения, замещено кислой частью, могут быть образованы основно-аддитивные соли. Фармацевтически приемлемыми солями, включая, например, соли щелочных и щелочноземельных металлов, в пределах объема изобретения являются такие, которые получены из следующих оснований: гидрида натрия, гидроксида натрия, гидроксида калия, гидроксида кальция, гидроксида магния, гидроксида алюминия, гидроксида лития, гидроксида цинка, гидроксида бария и органических аминов, таких как алифатические, алициклические или ароматические органические амины, такие как аммиак, метиламин, диметиламин, диэтиламин, пиколин, этаноламин, диэтаноламин, триэтаноламин, этилендиамин, лизин, аргинин, орнитин, холин, N,N’-дибензилэтилендиамин, хлорпрокаин, диэтаноламин, прокаин, N-бензилфенэтиламин, N-метилглюкаминпиперазин, трис(гидроксиметил)аминометан, тетраметиламмония гидрохлорид и т.п.
Соли металлов соединений настоящего изобретения, например соединения изобретения, могут быть получены путем соединения гидрида, гидроксида, карбоната или сходного реакционного соединения выбранного металла в водном или органическом растворителе со свободной кислотной формой соединения. Применяемый водный растворитель может быть водой, или он может быть смесью воды с органическим растворителем, предпочтительно спиртом, таким как метанол или этанол, кетоном, таким как ацетон, алифатическим простым эфиром, таким как тетрагидрофуран, или сложным эфиром, таким как этилацетат. Такие реакции обычно проводят при температуре окружающей среды, но их можно при желании проводить с нагреванием.
Аминные соли соединений настоящего изобретения, например соединения изобретения, могут быть получены путем взаимодействия амина в водном или органическом растворителе со свободной кислотной формой соединения. Подходящие водные растворители включают воду и смеси воды со спиртами, такими как метанол или этанол, простые эфиры, такие как тетрагидрофуран, нитрилы, такие как ацетонитрил, или кетоны, такие как ацетон. Соли аминокислот могут быть получены сходным образом.
Аддитивные соли оснований соединений данного изобретения, например соединения изобретения, могут быть восстановлены из солей путем применения или адаптации известных способов. Например, исходные соединения изобретения могут быть восстановлены из своих аддитивных солей основания путем обработки кислотой, например хлористоводородной кислотой.
4.2.4 Фармацевтические композиции и способы введения
Производные циклоспорина, применяемые в способе настоящего изобретения, предпочтительно предлагаются с использованием фармацевтических композиций, содержащих, по меньшей мере, одно соединение общей формулы (I), если это пригодно, в форме соли, либо отдельно, либо в форме сочетания с одним или более совместимыми и фармацевтически приемлемыми носителями, такими как разбавители или адъюванты, либо с другим агентом против HCV. В клинической практике производные циклоспорина настоящего изобретения можно вводить любым традиционным путем, в частности перорально, парентерально, ректально или с помощью ингаляции (например, в форме аэрозолей). Производные циклоспорина настоящего изобретения предпочтительно вводят перорально.
Применение может осуществляться в виде твердых композиций для перорального введения в форме таблеток, пилюль, твердых желатиновых капсул, порошков или гранул. В этих композициях активное вещество по изобретению смешано с одним или более инертных разбавителей или адъювантов, таких как сахароза, лактоза или крахмал.
Данные композиции могут включать вещества, отличные от разбавителей, например смазывающий агент, такой как стеарат магния, или покрытие, предназначенное для контролируемого высвобождения.
Применение может осуществляться в виде жидких композиций для перорального введения в форме фармацевтически приемлемых растворов, суспензий, эмульсий, сиропов и эликсиров, содержащих инертные разбавители, такие как вода и жидкий парафин. Эти композиции могут также включать вещества, отличные от разбавителей, например увлажнители, подсластители или отдушки.
Композиции для парентерального введения могут представлять собой эмульсии или стерильные растворы. В качестве растворителя или носителя могут применяться пропиленгликоль, полиэтиленгликоль, растительные масла, в частности оливковое масло, или сложные органические эфиры для инъекций, например этилолеат. Эти композиции могут также включать адъюванты, в частности увлажняющие, обеспечивающие изотоничность, эмульгирующие, диспергирующие и стабилизирующие агенты. Стерилизация может быть осуществлена несколькими способами, например с помощью бактериального фильтра, облучения или нагревания. Композиции также можно готовить в форме стерильных твердых композиций, которые можно растворять в стерильной воде во время применения или в любой другой пригодной для инъекций стерильной среде.
Композиции для ректального применения представляют собой суппозитории или ректальные капсулы, которые содержат в дополнение к активной основе наполнители, такие как масло какао, полусинтетические глицериды или полиэтиленгликоли.
Композиции могут также представлять собой аэрозоли. Для применения в форме жидких аэрозолей композиции могут быть стабильными стерильными растворами или твердыми композициями, растворяемыми во время применения в апирогенной стерильной воде, солевом растворе или другом фармацевтически приемлемом носителе. Для применения в форме сухих аэрозолей, предназначенных для прямой ингаляции, активную основу тонко измельчают и соединяют с водорастворимым твердым разбавителем или носителем, например декстраном, маннитом или лактозой.
В предпочтительном осуществлении композиция изобретения представляет собой фармацевтическую композицию или единицу лекарственной формы. Фармацевтические композиции и единицы лекарственной формы изобретения включают профилактически или терапевтически эффективное количество одного или более профилактических или терапевтических агентов (например, соединения изобретения или другого профилактического или терапевтического агента) и обычно один или более фармацевтически приемлемых носителей или наполнителей. В конкретном осуществлении и в данном контексте термин «фармацевтически приемлемый» означает утвержденный регулирующим ведомством Федерального правительства или правительства штата или входящий в перечень Фармакопеи США или другой общепризнанной фармакопеи для применения у животных и особенно у человека. Термин «носитель» относится к разбавителю, адъюванту (например, адъюванту Фрейнда (полному и неполному)), наполнителю или растворителю, с которым вводят терапевтический агент. Такие фармацевтические носители могут быть стерильными жидкостями, такими как вода и масла, включая происходящие из нефти, имеющие животное, растительное или синтетическое происхождение, такие как арахисовое масло, соевое масло, минеральное масло, кунжутное масло и т.п. Вода является предпочтительным носителем тогда, когда фармацевтическую композицию вводят внутривенно. Солевые растворы и водные растворы декстрозы и глицерина также можно применять в качестве жидких носителей, особенно для растворов для инъекций. Примеры подходящих фармацевтических носителей описаны в Remington’s Pharmaceutical Sciences E.W. Martin.
Типичные фармацевтические композиции и лекарственные формы включают один или более наполнителей. Подходящие наполнители хорошо известны специалистам в области фармации, и неограничивающие примеры пригодных наполнителей включают крахмал, глюкозу, лактозу, сахарозу, желатин, солод, рис, муку, мел, силикагель, стеарат натрия, моностеарат глицерина, тальк, хлорид натрия, сухое снятое молоко, глицерин, пропиленгликоль, воду, этанол и т.п. Пригодность конкретного наполнителя для включения в фармацевтическую композицию или лекарственную форму зависит от множества факторов, хорошо известных в данной области техники, включая, но не ограничиваясь этим, путь введения субъекту лекарственной формы и конкретные активные ингредиенты в лекарственной форме. Композиция или отдельная единица лекарственной формы по желанию может также содержать минорное количество увлажняющих или эмульгирующих агентов или буферирующих pH агентов.
Композиции изобретения без лактозы могут включать наполнители, которые хорошо известны в данной области техники и перечислены, например, в Фармакопее США (USP) SP (XXI)/NF (XVI). В целом, композиции без лактозы включают активный ингредиент, связующее/наполнитель и смазывающий агент в фармацевтически совместимом или фармацевтически приемлемом количестве. Иллюстративные лекарственные формы без лактозы включают активный ингредиент, микрокристаллическую целлюлозу предварительно желатинизированный крахмал и стеарат магния.
Изобретение дополнительно охватывает безводные фармацевтические композиции и лекарственные формы, включающие активные ингредиенты, поскольку вода ускоряет деградацию некоторых соединений. Например, добавление воды (например, 5%) широко применяется в фармацевтике в качестве способа имитации долговременного хранения для определения таких свойств, как срок хранения или стабильность составов во времени. См., например, Jens T. Carstensen, Drug Stability: Principles & Practice, 2d. Ed., Marcel Dekker, NY, NY, 1995, p.379 80. Действительно, вода и тепло ускоряют разрушение некоторых соединений. Таким образом, действие воды на состав может иметь важное значение, поскольку влага или влажность являются обычными во время производства, обработки, упаковки, хранения, транспортировки и применения составов.
Безводные фармацевтические композиции и лекарственные формы изобретения могут быть получены при применении безводных или с низким содержанием влаги ингредиентов и условий с низкой влажностью. Фармацевтические композиции и лекарственные формы, которые включают лактозу и, по меньшей мере, один активный ингредиент, включающий первичный или вторичный амин, являются предпочтительно безводными, если ожидается достаточный контакт с влагой и/или влажностью во время производства, упаковки и/или хранения.
Безводную фармацевтическую композицию следует получать и хранить таким образом, чтобы поддерживалось безводное состояние. Соответственно, безводные композиции предпочтительно упаковывают с использованием материалов, известных своей способностью предотвращать экспозицию с водой, так что они могут включаться в подходящие составленные в соответствии с правилами наборы. Примеры подходящей упаковки включают, но не ограничиваются этим, герметично закрытую фольгу, пластик, контейнеры лекарственной формы (например, пузырьки), блистерные упаковки и контурные упаковки.
Изобретение дополнительно охватывает фармацевтические композиции и лекарственные формы, которые включают одно или более соединений, снижающие скорость разрушения активного ингредиента. Такие соединения, которые здесь называются «стабилизаторами», включают, но не ограничиваются этим, антиоксиданты, такие как аскорбиновая кислота, буферы pH или солевые буферы.
Фармацевтические композиции и единицы лекарственных форм могут находиться в форме растворов, суспензий, эмульсии, таблеток, пилюль, капсул, порошков, составов с постоянным высвобождением и т.п. Пероральный состав может включать стандартные носители, такие как маннит, лактоза, крахмал, стеарат магния, сахарин натрия, целлюлоза, карбонат магния и т.д. фармацевтического квалитета. Такие композиции и лекарственные формы обычно содержат профилактически или терапевтически эффективное количество профилактического или терапевтического агента предпочтительно в очищенной форме вместе с подходящим количеством носителя для обеспечения формы для надлежащего введения субъекту. Состав должен соответствовать способу введения. В предпочтительном осуществлении фармацевтические композиции или отдельные единицы лекарственной формы являются стерильными и находятся в форме, пригодной для введения субъекту, предпочтительно животному субъекту, более предпочтительно млекопитающему субъекту и наиболее предпочтительно человеку.
Фармацевтическую композицию изобретения составляют так, чтобы она была совместима с предназначенным для нее путем введения. Примеры путей введения включают, но не ограничиваются этим, парентеральное, например внутривенное, внутрикожное, подкожное, внутримышечное, подкожное, пероральное, защечное, подъязычное, ингаляционное, интраназальное, чрескожное, местное, через слизистую, внутрь опухоли, внутрисуставное и ректальное введение. В конкретном осуществлении композицию составляют в соответствии с обычными способами в виде фармацевтической композиции, приспособленной для внутривенного, подкожного, внутримышечного, перорального, интраназального или местного введения человеку. В осуществлении фармацевтическую композицию составляют в соответствии с обычными способами для подкожного введения человеку. Обычно композиции для внутривенного введения представляют собой растворы в стерильном изотоническом водном буфере. При необходимости композиция может также включать солюбилизирующий агент и местное обезболивающее, такое как лигнокамн, для облегчения боли в месте инъекции.
Примеры лекарственных форм включают, но не ограничиваются этим, таблетки; капсулированные таблетки; капсулы, такие как мягкие эластичные желатиновые капсулы; каше; облатки; лепешки; дисперсии; суппозитории; мази; припарки (примочки); пасты; порошки; повязки; кремы; пластыри; растворы; наклейки; аэрозоли (например, спреи для носа или ингаляторы); гели; жидкие лекарственные формы, пригодные для перорального введения или нанесения на слизистую субъекта, включая суспензии (например, водные или неводные жидкие суспензии, эмульсии масло-в-воде или жидкие эмульсии вода-в-масле), растворы и эликсиры; жидкие лекарственные формы, пригодные для парентерального введения субъекту; и стерильные твердые вещества (например, кристаллические или аморфные твердые вещества), которые могут быть воссозданы для получения жидких лекарственных форм, пригодных для парентерального введения субъекту.
Композицию, вид и тип лекарственных форм изобретения обычно варьируют в зависимости от их применения. Например, лекарственная форма, применяемая для первоначального лечения вирусной инфекции, может содержать большее количество одного или более активных ингредиентов по сравнению с пероральной лекарственной формой, используемой для лечения того же заболевания или нарушения. Эти и другие вариации конкретных лекарственных форм, охватываемых данным изобретением, обычно отличающиеся одна от другой, должны быть очевидны для специалистов в данной области техники. См., например, Remington’s Pharmaceutical Sciences, 18th ed., Mack Publishing, Easton PA (1990).
Обычно ингредиенты композиций изобретения поставляются либо раздельно, либо смешанными в единичной дозированной лекарственной форме, например в виде сухого лиофилизированного порошка или безводного концентрата в герметично закрытом контейнере, таком как ампула или саше, с указанием количества активного агента. Когда композиция предназначена для введения путем инфузии, она может отпускаться с емкостью для инфузии, содержащей стерильную воду фармацевтического квалитета или солевой раствор. Когда композицию вводят путем инъекции, может быть предложена ампула со стерильной водой для инъекций или солевым раствором с тем, чтобы ингредиенты можно было смешать перед введением.
Типичные лекарственные формы изобретения включают соединение изобретения или фармацевтически приемлемую соль, его сольват или гидрат в диапазоне от приблизительно 0,1 мг до приблизительно 1000 мг в день, принимаемые в виде однократной ежедневной дозы утром, но предпочтительно в виде разделенных доз на протяжении дня с пищей. Конкретные лекарственные формы изобретения содержат приблизительно 0,1, 0,2, 0,3, 0,4, 0,5, 1,0, 2,0, 2,5, 5,0, 10,0, 15,0, 20,0, 25,0, 50,0, 100, 200, 250, 500 или 1000 мг активного циклоспорина.
4.2.4.1 Пероральные лекарственные формы
Фармацевтические композиции изобретения, пригодные для перорального введения, могут быть представлены в виде дискретных лекарственных форм, таких как, но не ограничиваясь этим, таблетки (например, таблетки для разжевывания), капсулированные таблетки, капсулы и жидкости (например, ароматизированные сиропы). Такие лекарственные формы содержат заранее определенное количество активных ингредиентов и могут быть получены способами фармации, хорошо известными специалистам в данной области техники. См. в целом Remington’s Pharmaceutical Sciences, 18th ed., Mack Publishing, Easton PA (1990).
В предпочтительных осуществлениях пероральные лекарственные формы являются твердыми, и их получают в безводных условиях с применением безводных ингредиентов, как подробно описано в представленных выше разделах. Однако объем изобретения выходит за рамки безводных твердых пероральных лекарственных форм. Поэтому здесь описываются дополнительные формы.
Типичные пероральные лекарственные формы изобретения получают соединением активного ингредиента(ов) в тщательно перемешанной смеси с, по меньшей мере, одним наполнителем в соответствии с традиционными способами фармацевтического составления. Наполнители могут находиться в широком диапазоне форм в зависимости от формы препарата, подлежащего введению. Например, наполнители, пригодные для применения в жидких пероральных или аэрозольных лекарственных формах, включают, но не ограничиваются этим, воду, гликоли, масла, спирты, отдушки, консерванты и красители. Примеры наполнителей, пригодных для применения в твердых пероральных лекарственных формах (например, порошках, таблетках, капсулах и капсулированных таблетках), включают, но не ограничиваются этим, крахмалы, сахара, микрокристаллическую целлюлозу, разбавители, гранулирующие агенты, смазывающие агенты, связующие и разрыхляющие агенты.
Благодаря простоте их введения таблетки и капсулы являются наиболее привлекательными единицами пероральных лекарственных форм, в которых применяют твердые наполнители. При желании таблетки могут быть покрыты с помощью стандартных водных и неводных способов. Такие лекарственные формы могут быть получены любыми способами фармации. В целом фармацевтические композиции и лекарственные формы получают путем однородного и тщательного смешивания активных ингредиентов с жидкими носителями, тонко измельченными твердыми носителями или обоими с последующей формовкой продукта в желаемую форму, если это необходимо.
Например, таблетка может быть получена прессованием или формовкой. Прессованные таблетки могут быть получены прессованием в подходящей машине активных ингредиентов в свободно сыпучей форме, такой как порошок или гранулы, необязательно смешанных с наполнителем. Формованные таблетки могут быть получены формованием в подходящей машине смеси порошкового соединения, смоченного инертным жидким разбавителем.
Примеры наполнителей, которые могут быть использованы в пероральных лекарственных формах изобретения, включают, но не ограничиваются этим, связующие, собственно наполнители, разрыхлители и смазывающие агенты. Связующие, пригодные для применения в фармацевтических композициях и лекарственных формах, включают, но не ограничиваются этим, кукурузный крахмал, картофельный крахмал или другие крахмалы, желатин, природные и синтетические камеди, такие как аравийская камедь, альгинат натрия, альгиновая кислота, другие альгинаты, порошковый трагакант, гуаровая смола, целлюлоза и ее производные (например, этилцеллюлоза, ацетат целлюлозы, карбоксиметилцеллюлоза кальция, карбоксиметилцеллюлоза натрия), поливинилпирролидон, метилцеллюлоза, предварительно желатинизированный крахмал, гидроксипропилметилцеллюлоза (например, 2208, 2906, 2910), микрокристаллическая целлюлоза и их смеси.
Примеры собственно наполнителей, пригодных для использования в раскрытых здесь фармацевтических композициях и лекарственных формах, включают, но не ограничиваются этим, тальк, карбонат кальция (например, гранулы или порошок), микрокристаллическую целлюлозу, порошковую целлюлозу, декстраты, каолин, манит, кремниевую кислоту, сорбит, крахмал, предварительно желатинизированный крахмал и их смеси. Связующее или собственно наполнитель в фармацевтических композициях изобретения обычно находится в количестве от приблизительно 50 до приблизительно 99 процентов от массы фармацевтической композиции или лекарственной формы.
Подходящие формы микрокристаллической целлюлозы включают, но не ограничиваются этим, вещества, продаваемые как AVICEL PH 101, AVICEL PH 103, AVICEL RC 581, AVICEL PH 105 (от FMC Corporation, American Viscose Division, Avicel Sales, Marcus Hook, PA), и их смеси. Конкретное связующее представляет собой смесь микрокристаллической целлюлозы и карбоксиметилцеллюлозы натрия, продаваемую как AVICEL RC 581. Подходящие безводные наполнители или наполнители или добавки с низкой влажностью включают AVICEL PH 103 и Starch 1500 LM.
Разрыхлители применяют в композициях изобретения для получения таблеток, которые распадаются при экспозиции с водным окружением. Таблетки, содержащие слишком большое количество разрыхлителя, могут распадаться при хранении, а содержащие слишком малое количество могут не распадаться с желаемой скоростью или при желаемых условиях. Таким образом, для образования твердых пероральных лекарственных форм изобретения следует применять достаточное количество разрыхлителя, которое является не слишком большим и не слишком малым для неблагоприятного влияния на высвобождение активных ингредиентов. Применяемое количество разрыхлителя варьирует в зависимости от типа состава и вполне очевидно для специалистов в данной области техники. Типичные фармацевтические композиции включают от приблизительно 0,5 до приблизительно 15 процентов по массе разрыхлителя, особенно от приблизительно 1 до приблизительно 5 процентов по массе разрыхлителя.
Разрыхлители, которые могут применяться в фармацевтических композициях и лекарственных формах изобретения, включают, но не ограничиваются этим, агар-агар, альгиновую кислоту, карбонат кальция, микрокристаллическую целлюлозу, кроскармелозу натрия, кросповидон, полакрилин калия, крахмалгликолат натрия, крахмал картофеля или тапиоки, предварительно желатинизированный крахмал, другие крахмалы, глины, другие альгины, другие целлюлозы, камеди и их смеси.
Смазывающие агенты, которые могут применяться в фармацевтических композициях и лекарственных формах изобретения, включают, но не ограничиваются этим, стеарат кальция, стеарат магния, минеральное масло, легкое минеральное масло, глицерин, сорбит, маннит, полиэтиленгликоль, другие гликоли, стеариновую кислоту, лаурилсульфат натрия, тальк, гидрогенизированное растительное масло (например, арахисовое масло, хлопковое масло, подсолнечное масло, кунжутное масло, оливковое масло, кукурузное масло и соевое масло), стеарат цинка, этилолеат, этиллауреат, агар и их смеси. Дополнительные смазывающие агенты включают, например, силоидный силикагель (AEROSIL 200, производства W.R.Grace Co., Baltimore, MD), коагулированный аэрозоль синтетического диоксида кремния (продаваемый Degussa Co., Plano, TX), CAB O SIL (пирогенный продукт диоксида кремния, продаваемый Cabot Co., Boston, MA) и их смеси. Если их применяют, то смазывающие агенты обычно используются в количестве менее приблизительно 1 процента по массе от фармацевтических композиций или лекарственных форм, в которые они включены.
4.2.5 Лекарственные формы с отставленным высвобождением
Активные ингредиенты, такие как соединения изобретения, можно вводить с помощью средств с контролируемым высвобождением или устройств для доставки, которые хорошо известны специалистам в данной области техники. Примеры включают, но не ограничиваются этим, описанные в патентах США 3845770, 3916899, 3536809, 3598123 и 4008719, 5674533, 5059595, 5591767, 5120548, 5073543, 5639476, 5354556 и 5733566, каждый из которых включен здесь в качестве ссылки. Такие лекарственные формы можно использовать для обеспечения медленного или контролируемого высвобождения одного или более активных ингредиентов с применением в различных пропорциях, например, гидроксипропилметилцеллюлозы, других полимерных матриксов, гелей, проницаемых мембран, осмотических систем, многослойных покрытий, микрочастиц, липосом, микросфер или их сочетаний для достижения желаемого профиля высвобождения. Подходящие составы с контролируемым высвобождением, известные специалистам в данной области техники, включая описанные здесь, могут быть легко выбраны для применения с активными ингредиентами изобретения. Изобретение таким образом охватывает единицы лекарственных форм, пригодные для перорального введения, такие как, но не ограничиваясь этим, таблетки, капсулы, желатиновые капсулы и капсулированные таблетки, которые приспособлены для контролируемого высвобождения.
Все фармацевтические продукты с контролируемым высвобождением имеют общую цель улучшения лекарственной терапии по сравнению с достигаемой их неконтролируемыми двойниками. В идеале применение препарата с оптимально разработанным контролируемым высвобождением для медицинского лечения отличается минимальным количеством лекарственного вещества, используемого для лечения или контроля состояния в течение минимального промежутка времени. Преимущества составов с контролируемым высвобождением включают расширенную активность лекарственного средства, сниженную частоту введения дозы и повышенную податливость субъекта. Кроме того, составы с контролируемым высвобождением могут использоваться для изменения времени наступления действия или других характеристик, таких как уровень лекарственного средства в крови, и таким образом могут влиять на случаи возникновения побочных (например, неблагоприятных) эффектов.
Составы с наиболее контролируемым высвобождением разрабатываются для первоначального высвобождения лекарственного средства (активного ингредиента) в количестве, которое быстро оказывает желаемое терапевтическое действие, и постепенного и непрерывного высвобождения лекарственного средства в других количествах для поддержания данного уровня терапевтического или профилактического действия на протяжении расширенного периода времени. Для поддержания данного постоянного уровня лекарственного средства в организме лекарственное средство должно высвобождаться из лекарственной формы со скоростью, которая должна восполнять количество метаболизируемого и экскретируемого из организма лекарственного средства. Контролируемое высвобождение активного ингредиента может стимулироваться различными условиями, включая, но не ограничиваясь этим, pH, температуру, ферменты, воду или другие физиологические условия или соединения.
4.2.6 Парентеральные лекарственные формы
Хотя твердые безводные пероральные лекарственные формы являются предпочтительными, в настоящем изобретении предлагаются также парентеральные лекарственные формы. Парентеральные лекарственные формы можно вводить субъектам различными путями, включая, но не ограничиваясь этим, подкожный, внутривенный (включая болюсную инъекцию), внутримышечный и внутриартериальный. Поскольку их введение обычно идет в обход естественных преград субъекта в отношении загрязнений, парентеральные лекарственные формы предпочтительно являются стерильными или имеющими возможность стерилизации перед введением субъекту. Примеры парентеральных лекарственных форм включают, но не ограничиваются этим, растворы, готовые для инъекций, сухие продукты, готовые для растворения или суспендирования в фармацевтически приемлемом носителе для инъекций, суспензии, готовые для инъекций, и эмульсии.
Подходящие носители, которые можно использовать для получения парентеральных лекарственных форм изобретения, хорошо известны специалистам в данной области техники. Примеры включают, но не ограничиваются этим, воду для инъекций USP; водные носители, такие как, но не ограничиваясь этим, хлорид натрия для инъекций, раствор Рингера для инъекций, декстрозу для инъекций, декстрозу и хлорид натрия для инъекций и раствор Рингера с лактатом для инъекций; смешиваемые с водой носители, такие как, но не ограничиваясь этим, этиловый спирт, полиэтиленгликоль и пропиленгликоль; и неводные носители, такие как, но не ограничиваясь этим, кукурузное масло, хлопковое масло, арахисовое масло, кунжутное масло, этилолеат, изопропилмиристат и бензилбензоат.
Соединения, которые повышают растворимость одного или более раскрытых здесь активных ингредиентов, также могут включаться в парентеральные лекарственные формы изобретения.
4.2.7 Лекарственные формы для чрескожного, местного и слизистого введения
Хотя твердые безводные пероральные лекарственные формы являются предпочтительными, в настоящем изобретении предлагаются также лекарственные формы для чрескожного, местного и слизистого введения. Лекарственные формы изобретения для чрескожного, местного и слизистого введения включают, но не ограничиваются этим, глазные растворы, спреи, аэрозоли, кремы, лосьоны, мази, гели, растворы, эмульсии, суспензии или другие формы, известные специалистам в данной области техники. См., например, Remington’s Pharmaceutical Sciences, 16th и 18th eds., Mack Publishing, Easton PA (1980 и 1990); и Introduction to Pharmaceutical Dosage Forms, 4th ed., Lea & Febiger, Philadelphia (1985). Лекарственные формы, пригодные для лечения слизистых тканей в ротовой полости, могут быть составлены в виде полосканий для рта или гелей для рта. Кроме того, трансдермальные лекарственные формы включают пластыри «резервуарного типа» или «матриксного типа», которые можно наносить на кожу и носить в течение определенного периода времени для обеспечения проникновения желаемого количества активного ингредиента.
Подходящие наполнители (например, носители и разбавители) и другие вещества, которые можно использовать для введения чрескожных, местных и слизистых лекарственных форм, охватываемых данным изобретением, хорошо известны специалистам в области фармацевтики и зависят от конкретной ткани, на которую должна быть нанесена данная фармацевтическая композиция или лекарственная форма. Данный факт следует иметь в виду при том, что типичные наполнители включают, но не ограничиваются этим, воду, ацетон, этанол, этиленгликоль, пропиленгликоль, бутан-1,3-диол, изопропилмиристат, изопропилпальмитат, минеральное масло и их смеси в форме лосьонов, настоек, кремов, эмульсий, гелей или мазей, которые являются нетоксичными и фармацевтически приемлемыми. При желании к фармацевтическим композициям и лекарственным формам могут быть также добавлены увлажняющие агенты или влагопоглотители. Примеры таких дополнительных ингредиентов хорошо известны в данной области техники. См., например, Remington’s Pharmaceutical Sciences, 16th и 18th eds., Mack Publishing, Easton PA (1980 и 1990).
В зависимости от конкретной ткани, подлежащей лечению, могут быть применены дополнительные компоненты до лечения активными ингредиентами изобретения, совместно с ним или после него. Например, для содействия доставке активных ингредиентов к ткани могут быть использованы усилители проникновения. Подходящие усилители проникновения включают, но не ограничиваются этим, ацетон; различные спирты, такие как этанол, олеил или тетрагидрофурил; алкильные сульфоксиды, такие как диметилсульфоксид; диметилацетамид; диметилформамид; полиэтиленгликоль; пирролидоны, такие как поливинилпирролидон; сорта коллидона (повидон, поливидон); мочевину и различные водорастворимые и нерастворимые сложные эфиры сахаров, такие как твин 80 (полисорбат 80) и спан 60 (моностеарат сорбитана).
pH фармацевтической композиции или лекарственной формы или ткани, на которую наносят фармацевтическую композицию или лекарственную форму, также может быть доведен для улучшения доставки одного или более активных ингредиентов. Сходным образом, для улучшения доставки могут быть доведены полярность растворителя-носителя, его ионная сила или тоничность. К фармацевтическим композициям или лекарственным формам для благоприятного изменения гидрофильности или липофильности одного или более активных ингредиентов с тем, чтобы улучшить доставку, могут быть также добавлены такие соединения, как стеараты. В этом отношении стеараты могут в качестве липидного носителя для состава, в качестве эмульгирующего агента или поверхностно-активного вещества и в качестве агента, усиливающего доставку или проникновение. Для дополнительного доведения свойств получаемой композиции могут применяться различные соли, гидраты или сольваты активных ингредиентов.
4.2.8 Дозировка и единицы лекарственных форм
При лечении человека врач должен определить дозировку, которую он считает наиболее подходящей для профилактики или лечения, в соответствии также с возрастом, массой, стадией инфекции и другими факторами, специфичными для подлежащего лечению субъекта. В целом дозы составляют от приблизительно 1 до приблизительно 1000 мг в день для взрослого или от приблизительно 5 до приблизительно 250 мг в день или от приблизительно 10 до 50 мг в день для взрослого человека. В некоторых осуществлениях дозы составляют от приблизительно 5 до приблизительно 400 мг в день и более предпочтительно от 25 до 200 мг в день для взрослого человека. Предпочтительными также являются величины доз от приблизительно 50 до приблизительно 500 мг в день.
В дополнительных вариантах настоящего изобретения предлагаются способы лечения или профилактики вирусной инфекции гепатита C у субъекта путем введения нуждающемуся в этом субъекту эффективного количества соединения изобретения или его фармацевтически приемлемой соли с высоким терапевтическим индексом против вируса гепатита C. Терапевтический индекс может быть измерен в соответствии с любым способом, известным специалистам в данной области техники, таким как способ, описанный в примерах ниже. В некоторых осуществлениях терапевтический индекс представляет собой отношение концентрации, при которой соединение является токсичным, к концентрации, являющейся эффективной против вируса гепатита C. Токсичность может быть измерена любым известным специалистам способом, включая цитотоксичность (например, IC50 или IC90) или летальную дозу (например, LD50 или LD90). Сходным образом эффективные концентрации могут быть измерены любым известным специалистам способом, включая эффективную концентрацию (например, EC50 или EC90) и эффективную дозу (например, ED50 или ED90). Предпочтительно сходные измерения сравнивают по соотношению (например, IC50/EC50, IC90/EC90, LD50/ED50 или LD90/ED90). В некоторых осуществлениях терапевтический индекс может достигать 2,0, 5,0, 10,0, 15,0, 20,0, 25,0, 50,0, 75,0, 100,0, 125,0, 150,0 или более.
Количество соединения или композиции изобретения, которое должно быть эффективным для профилактики, лечения, ведения или облегчения заболевания или одного или более его симптомов, обычно варьирует в зависимости от природы и тяжести заболевания или состояния и пути введения активного ингредиента. Частоту и дозировку также обычно варьируют в соответствии с факторами, индивидуальными для каждого субъекта, в зависимости от конкретной применяемой терапии (например, лечебной или профилактической), тяжести нарушения, заболевания или состояния, пути введения, а также возраста, массы тела, ответа и последней истории болезни субъекта. Эффективные дозы можно экстраполировать на основании кривых доза-ответ, полученных в тест-системах in vitro или животной модели.
Иллюстративные дозы композиции включают миллиграммовые или микрограммовые количества активного соединения на килограмм массы тела субъекта или массы образца (например, от приблизительно 10 мкг/кг до приблизительно 50 мг/кг, от приблизительно 100 мкг/кг до приблизительно 25 мг/кг или от приблизительно 100 мкг/кг до приблизительно 10 мг/кг). Для композиций изобретения доза, вводимая субъекту, обычно составляет от 0,140 мг/кг до 3 мг/кг массы тела субъекта по массе активного соединения. Предпочтительно вводимая субъекту доза находится между 0,20 мг/кг и 2,00 мг/кг или между 0,30 мг/кг и 1,50 мг/кг массы тела субъекта.
В целом рекомендуемая дневная доза композиции изобретения для описанных здесь состояний лежит в диапазоне от приблизительно 0,1 мг до приблизительно 1000 мг в день, вводимая однократной ежедневной дозой или разделенными дозами на протяжении дня. В одном осуществлении дневную дозу вводят дважды в день в равных разделенных дозах. Конкретно, диапазон дневной дозы должен составлять от приблизительно 10 мг до приблизительно 200 мг в день, более конкретно между приблизительно 10 мг и приблизительно 150 мг в день и еще более конкретно между приблизительно 25 мг и приблизительно 100 мг в день. В некоторых случаях может иметься необходимость использования доз активного ингредиента за пределами раскрытого здесь диапазона, как это должно быть ясно специалистам в данной области техники. Более того, следует отметить, что клиницист или лечащий врач должен знать, как и когда следует прекратить, изменить или закончить терапию в соответствии с реакцией субъекта.
В отношении разных заболеваний и условий могут применяться различающиеся терапевтически эффективные количества, как должно быть понятно специалистам в данной области техники. Сходным образом, описанные выше величины доз и режимы частоты введения дозы также охватывают количества, достаточные для профилактики, ведения, лечения или облегчения таких заболеваний, но недостаточные для индукции или достаточные для снижения неблагоприятных эффектов, связанных с композицией изобретения. Кроме того, когда субъекту вводят множественные дозы композиции изобретения, необязательно, чтобы все дозы были одинаковыми. Например, вводимая субъекту доза может быть увеличена для улучшения профилактического или терапевтического действия композиции или может быть снижена для снижения одного или более побочных эффектов, от которых страдает конкретный субъект.
В конкретном осуществлении доза композиции изобретения или композиция изобретения на основе массы активного соединения, вводимая для профилактики, лечения, ведения или облегчения нарушения или одного или более из его симптомов у субъекта, составляет 0,1 мг/кг, 1 мг/кг, 2 мг/кг, 3 мг/кг, 4 мг/кг, 5 мг/кг, 6 мг/кг, 10 мг/кг или 15 мг/кг или более массы тела субъекта. В другом осуществлении доза композиции изобретения или композиция изобретения, вводимая для профилактики, лечения, ведения или облегчения нарушения или одного или более из его симптомов у субъекта, представляет единицу дозы от 0,1 мг до 200 мг, 0,1 мг до 100 мг, 0,1 мг до 50 мг, 0,1 мг до 25 мг, 0,1 мг до 20 мг, 0,1 мг до 15 мг, 0,1 мг до 10 мг, 0,1 мг до 7,5 мг, 0,1 мг до 5 мг, 0,1 мг до 2,5 мг, 0,25 мг до 20 мг, 0,25 мг до 15 мг, 0,25 мг до 12 мг, 0,25 мг до 10 мг, 0,25 мг до 7,5 мг, 0,25 мг до 5 мг, 0,5 мг до 2,5 мг, 1 мг до 20 мг, 1 мг до 15 мг, 1 мг до 12 мг, 1 мг до 10 мг, 1 мг до 7,5 мг, 1 мг до 5 мг или 1 мг до 2,5 мг.
В некоторых осуществлениях лечение или профилактика могут быть начаты с одной или более ударных доз соединения или композиции изобретения с последующими одной или более поддерживающими дозами. В таких осуществлениях ударная доза может составлять, например, от приблизительно 60 до приблизительно 400 мг в день или от приблизительно 100 до приблизительно 200 мг в день в течение от одного дня до пяти недель. Ударная доза может сопровождаться одной или более поддерживающими дозами. Каждая поддерживающая доза может составлять независимо от приблизительно 10 мг до приблизительно 200 мг в день, более конкретно, между приблизительно 25 мг и приблизительно 150 мг в день или даже, более конкретно, между приблизительно 25 и приблизительно 80 мг в день. Поддерживающие дозы предпочтительно вводят ежедневно, и их можно вводить в виде однократной дозы или в виде разделенных доз.
В некоторых осуществлениях дозу соединения или композиции изобретения можно вводить для достижения стационарной концентрации активного ингредиента в крови или сыворотке субъекта. Стационарная концентрация может быть определена путем измерения способами, доступными для специалистов, или может основываться на физических характеристиках субъекта, таких как рост, масса и возраст. В некоторых осуществлениях достаточное количество соединения или композиции изобретения вводят для достижения стационарной концентрации активного ингредиента в крови или сыворотке субъекта от приблизительно 300 до приблизительно 4000 нг/мл, от приблизительно 400 до приблизительно 1600 нг/мл или от приблизительно 600 до приблизительно 1200 нг/мл. Ударные дозы можно вводить для достижения стационарной концентрации активного ингредиента в крови или сыворотке от приблизительно 1200 до приблизительно 8000 нг/мл или от приблизительно 2000 до приблизительно 4000 нг/мл в течение от одного до пяти дней. Поддерживающие дозы можно вводить для достижения стационарной концентрации активного ингредиента в крови или сыворотке субъекта от приблизительно 300 до приблизительно 4000 нг/мл, от приблизительно 400 до приблизительно 1600 нг/мл или от приблизительно 600 до приблизительно 1200 нг/мл.
В некоторых осуществлениях введение одной и той же композиции изобретения может быть повторено, и введения могут быть разделены между собой, по меньшей мере, 1 днем, 2 днями, 3 днями, 5 днями, 10 днями, 15 днями, 30 днями, 45 днями, 2 месяцами, 75 днями, 3 месяцами или 6 месяцами. В других осуществлениях введение одного и того же профилактического или терапевтического агента может быть повторено, и введения могут быть разделены между собой, по меньшей мере, 1 днем, 2 днями, 3 днями, 5 днями, 10 днями, 15 днями, 30 днями, 45 днями, 2 месяцами, 75 днями, 3 месяцами или 6 месяцами.
В некоторых осуществлениях настоящего изобретения предлагаются единицы доз, включающие соединение изобретения или его фармацевтически приемлемую соль в форме, пригодной для введения. Такие формы подробно описываются выше. В некоторых осуществлениях единица дозы включает от 1 до 1000 мг, от 5 до 250 мг или от 10 до 50 мг активного ингредиента. В конкретных осуществлениях единица дозы включает приблизительно 1, 5, 10, 25, 50, 100, 125, 250, 500 или 1000 мг активного ингредиента. Такие единицы доз могут быть получены способами, известными специалистам в данной области техники.
4.3 Наборы
В изобретении также предлагаются наборы для применения в способах лечения или профилактики инфекции HCV. Наборы могут включать фармацевтическое соединение или композицию изобретения и указания, содержащие информацию для поставщика лекарств относительно применения для лечения или профилактики бактериальной инфекции. Инструкции могут предоставляться в печатной форме или в электронной форме, такой как гибкий диск, CD или DVD, или в форме адреса в Интернете, где такие инструкции могут быть получены. Единичная доза соединения или композиции изобретения может включать такую дозу, при введении которой субъекту терапевтически или профилактически эффективный уровень соединения или композиции в плазме может поддерживаться у субъекта, по меньшей мере, в течение 1 дня. В некоторых осуществлениях соединение или композиция изобретения могут быть включены в виде стерильной водной фармацевтической композиции или сухой порошковой (например, лиофилизированной) композиции. В одном осуществлении соединение соответствует формуле (I).
В некоторых осуществлениях предлагается подходящая упаковка. Применяемый здесь термин «упаковка» относится к твердому матриксу или материалу, используемому по требованию заказчика в системе и способному сохранять в определенных границах соединение или композицию изобретения, пригодные для введения субъекту. Такие материалы включают стеклянные или пластиковые (например, полиэтиленовые, полипропиленовые или поликарбонатные) бутылочки, флаконы, бумажные, пластиковые или слоистые из пластика и фольги обертки и т.п. Если применяют электронно-лучевые способы стерилизации, упаковка должна иметь достаточно низкую плотность для обеспечения стерилизации содержимого.
Наборы изобретения могут также включать дополнительно к соединению или композиции изобретения другие соединения или композиции для применения с соединением или композицией, как описано в способах выше.
Следующие примеры иллюстрируют синтез репрезентативных производных циклоспорина, применяемых в настоящем изобретении, и следующие ссылочные примеры иллюстрируют синтез промежуточных соединений при их получении. Данные примеры не предназначены для ограничения объема изобретения, и их не следует толковать как ограничивающие. Должно быть ясно, что изобретение может быть реализовано иначе, чем конкретно описано здесь. Возможны многочисленные модификации и вариации настоящего изобретения в свете представленных здесь указаний и, таким образом, входят в объем изобретения.
5. Примеры
5.1 Пример 1: 3-метоксициклоспорин
Раствор 3-(меркаптобензтиазол-2-илтио)циклоспорина (0,4 г, 0,28 ммоль) и камфорной сульфокислоты (0,7 г, 3 ммоль) в безводном тетрагидрофуране и безводном метаноле нагревали при 50°С в течение 2 час. Смеси давали остыть до комнатной температуры и добавляли насыщенный бикарбонат натрия, эфир и воду. Слои разделяли и водную фазу экстрагировали диэтиловым эфиром. Объединенные органические экстракты сушили над безводным сульфатом магния, фильтровали и упаривали досуха. Повторная хроматография на силикагеле с элюцией смесью дихлорметана и этилацетата дала 120 мг 3-метоксициклоспорина (соединения A).
Сигналы ЯМР для данного соединения в дейтерий-хлороформе соответствуют 5,83 м.д. (сакрозин H), 3,49 м.д. (метокси CH3), 83,5 м.д. (саркозин C) и 58,7 м.д. (метокси CH3).
5.2 Пример 2: 3-(2-Аминоэтокси)циклоспорин
К раствору 3-(N-Fmoc-2-аминоэтокси)циклоспорина (0,52 г, 0,35 ммоль) в диметилформамиде (16 мл) добавляли пиперидин (4 мл). Смесь перемешивали в атмосфере азота в течение 1,25 час. Полученную смесь разбавляли этилацетатом (25 мл) и водой (25 мл). Органическую фазу промывали водой (20 мл), насыщенным раствором соли (2×10 мл), сушили над безводным сульфатом магния, фильтровали и упаривали досуха. Полученное вещество очищали повторной хроматографией на силикагеле с элюцией градиентом метанол/этилацетат до 100% метанола с получением 3-(2-аминоэтокси)циклоспорина (соединения B) в виде белой камеди (130 мг). Сигналы ЯМР для данного соединения в дейтерий-хлороформе находятся при 5,95 м.д. (саркозин H).
Образование соли
Соединение B (130 мг) растворяли в дихлорметане и обрабатывали раствором метансульфокислоты (1 мл 0,1 М раствора в дихлорметане); перемешивание продолжали в течение 10 мин. Растворитель выпаривали и остаток растирали с диэтиловым эфиром с получением белого твердого вещества (120 мг).
5.3. Пример 3: 3-(2-диметиламиноэтокси)циклоспорин
Раствор 3-(2-аминоэтокси)циклоспорина (0,375 г, 0,3 ммоль), формалина (0,8 ммоль) и муравьиной кислоты (1,33 ммоль) в 1,4-диоксане нагревали при 80°С в течение 5 час. Смеси давали остыть до комнатной температуры и разбавляли насыщенным бикарбонатом натрия. Полученную смесь экстрагировали дихлорметаном, объединенные органические экстракты сушили над безводным сульфатом магния, фильтровали и упаривали. Остаток очищали повторной хроматографией на силикагеле с элюцией градиентом метанол/дихлорметан до 100% метанола с получением 3-(2-диметиламиноэтокси)циклоспорина (соединение C, 230 мг).
Сигналы ЯМР для данного соединения в дейтерий-хлороформе находятся при 6,01 м.д. (саркозин H) и 82,6 м.д. (саркозин C).
Образование соли
К раствору соединения C (194 мг) в трет-бутиловом эфире и метаноле добавляли раствор хлористоводородной кислоты (2 мл 2,0 М раствора в эфире). Полученную смесь перемешивали в течение 1 час, после чего растворители выпаривали. Остаток растирали с эфиром с получением бледно-желтого твердого вещества (154 мг).
5.4 Пример 4: 3-Метокси-4-(гамма-гидроксиметиллейцин)циклоспорин
3-Метокси-4-(гамма-гидроксиметиллейцин)циклоспорин:
К раствору 1,4-диацетил-3-метокси-4-(гамма-гидроксиметиллейцин)циклоспорина (275 мг) в метаноле (15 мл) добавляли 25% масс. метоксида натрия в метаноле (0,12 мл) и полученную смесь перемешивали при комнатной температуре в течение 24 час в атмосфере азота. Метанол удаляли при пониженном давлении и остаток разбавляли этилацетатом (50 мл), промывали насыщенным хлоридом аммония (30 мл), насыщенным раствором соли (30 мл) и сушили над безводным сульфатом натрия. После удаления растворителя остаток очищали с помощью препаративной жидкостной хроматографии с получением 33 мг указанного в заголовке соединения (соединение T).
Сигналы ЯМР для данного соединения в дейтерий-хлороформе соответствуют (м.д.) 5,80 (синглет, саркозин Н) и четырем сигналам NH при 7,14, 7,39, 7,69 и 7,96. ЖХ-МС (ESI): вычисл. Для C63H113N11O14: 1247, обнаружено 1248,5 (М+Н)+.
5.5 Примеры 5-13: 3-эфиры циклоспоринов
Следующие соединения формулы (I), представленной выше, где А представляет собой остаток формулы (IIa) выше, В представляет собой этил, Х представляет собой кислород и R2 представляет собой изобутил, или R2 представляет собой гидроксиизобутил для соединений U, V W, также получали с помощью процедуры, сходной с описанной в специфицированном примере или ссылочном примере для каждого продукта:
| Соед. |
R1 |
Пример способа |
Молекулярная масса М+Н (m/z) |
1H-ЯМР Резонанс саркозина (м.д.) |
| D |
СН(СН3)2 |
1 |
1260,5 |
6,09 |
| Е |
CH2CH(Et)2 |
1 |
1302,7 |
5,87 |
| F |
СН2С(СН3)3 |
1 |
1288,7 |
5,89 |
| Н |
СН2СН2СН2ОН |
1 |
1276,6 |
5,94 |
| I |
CH2CH2NHMe |
2 |
1275,6 |
5,96 |
| J |
CH2CH2NMe(Pr-i) |
1 |
1317,7 |
5,97 |
| К |
CH2CH2N(CH2)5 |
1 |
1329,7 |
6,02 |
| L |
CH2CH2N(CH2CH2)2O |
1 |
1317,6 |
6,06 |
| М |
СН2СН3 |
Ссылочный пример 1 |
1246,6 |
5,83 |
| U |
СН2СН=СН2 |
5 |
1274,6 |
5,92 |
| W |
СН2СН3 |
5 |
1262,6 |
5,89 |
| V |
СН(СН3)2 |
5 |
1276,6 |
6,00 |
| Х |
CH2CH2OCH3 |
5 |
1292,6 |
6,01 |
| Y |
CH2CH2CH2OCH3 |
5 |
1306,6 |
5,88 |
5.6 Пример 14: 3-(2-Метоксиэтилтио)-4-(гамма-гидроксиметиллейцин)циклоспорин
Жидкий аммиак (30 мл) конденсировали в сосуд в атмосфере азота. Добавляли амид натрия (1,0 г) и затем раствор 4-(гамма-гидроксиметиллейцин)циклоспорин (1,22 г, 1,0 ммоль) в трет-бутилметиловом простом эфире (20 мл). Смесь перемешивали при -35°С в течение 90 мин. Добавляли 2-метоксиэтилдисульфид (5,9 г) и перемешивание продолжали еще в течение 2 час при -35°С. Добавляли твердый хлорид аммония (1,5 г) и смесь перемешивали при -33°С в течение 10 мин. После нагревания до комнатной температуры смесь разбавляли трет-бутилметиловым простым эфиром, промывали водой, насыщенным раствором соли и сушили над безводным сульфатом натрия. После удаления растворителя остаток очищали с помощью колоночной хроматографии на силикагеле с элюцией сначала смесью этилацетат/гептан и затем метанол/этилацетат с получением 500 мг 3-(2-метоксиэтилтио)-4-(гамма-гидроксиметиллейцин)циклоспорина (соединение N). Сигналы ЯМР для данного соединения в дейтерий-хлороформе соответствуют (м.д.): 5,97 (синглет, саркозин H) и четырем сигналам NH при 7,14, 7,47, 7,62 и 7,92. ЖХ-МС (ES): вычисл. для C65H117N11O14S: 1307, обнаружено 1308,6 (M+H)+.
5.7 Примеры 15-19: 3-тиоэфиры циклоспоринов
Следующие соединения формулы (I), представленной выше, где A представляет собой остаток формулы (IIa) выше, B представляет собой этил, X представляет собой серу, также получали с помощью процедуры, сходной с описанной в специфицированном примере или ссылочном примере для каждого продукта:
| Соед. |
R1 |
R2 |
Пример способа |
Молекулярная масса M+H (m/z) |
1H-ЯМР Резонанс саркозина (м.д.) |
| O |
CH2CH2N(CH3)2 |
2-гидрокси-изобутил |
15 |
1321,7 |
6,00 |
| P |
CH2CH3 |
Изобутил |
Ссылочный пример 1 |
1262,6 |
5,85 |
| Q |
CH2CH=CH2 |
Изобутил |
Ссылочный пример 1 |
1274,6 |
5,79 |
| R |
CH2CH2OCH3 |
Изобутил |
15 |
1292,6 |
5,98 |
| S |
CH3 |
2-гидрокси-изобутил |
15 |
1264,6 |
5,73 |
5.8 Ссылочный пример 1: 3-(Меркаптобензтиазол-2-илтио)циклоспорин
К раствору диизопропиламида лития (LDA) (10,0 ммоль) в безводном тетрагидрофуране при -70°С в инертной атмосфере добавляли по каплям раствор циклоспорина A (1,2 г, 1,0 ммоль) в безводном тетрагидрофуране, перемешивание продолжали при -70°С в течение 1 час, после чего единой порцией добавляли твердый бис-бензотиазолдисульфид (5 г, 15 ммоль). Полученной суспензии давали нагреться до комнатной температуры и перемешивали в течение 18 час. Смесь фильтровали и фильтрат обрабатывали водой и упаривали досуха. Остаток растворяли в этилацетате и промывали насыщенным раствором соли, сушили над безводным сульфатом магния, фильтровали и упаривали досуха. Полученную коричневую смолу (3,3 г) очищали хроматографией на силикагеле, элюируя смесью этилацетат/изогексан, с получением 3-(меркаптобензтиазол-2-илтио)циклоспорина в виде бежевого твердого вещества (0,33 г). Сигналы ЯМР для данного соединения в дейтерий-хлороформе соответствуют 6,98 м.д. (саркозин H).
5.9 Ссылочный пример 2: 3-(N-Fmoc-2-аминоэтокси)циклоспорин
К раствору 3-(меркаптобензтиазол-2-илтио)циклоспорина (0,7 г, 0,5 ммоль) в безводном тетрагидрофуране добавляли камфорную сульфокислоту (0,175 г, 0,75 ммоль) и 9H-флуорен-9-илметиловый сложный эфир (2-гидроксиэтил)карбаминовой кислоты (1,7 г, 6 ммоль), полученный раствор нагревали при 50°С в течение 4,5 час. Реакционной смеси давали охладиться до комнатной температуры и разбавляли этилацетатом (25 мл). Раствор промывали насыщенным сульфатом натрия (20 мл), насыщенным раствором соли (20 мл), сушили над безводным сульфатом магния, фильтровали и упаривали досуха. Остаток очищали колоночной хроматографией на силикагеле, элюируя смесью этилацетат/дихлорметан, с получением 3-(N-Fmoc-2-аминоэтокси)циклоспорина в виде смолы (0,52 г). Сигналы ЯМР для данного соединения в дейтерий-хлороформе соответствуют 5,9 м.д. (саркозин H).
5.10 Ссылочный пример 3: 9H-флуорен-9-илметиловый сложный эфир (2-гидроксиэтил)карбаминовой кислоты
К перемешиваемой смеси этаноламина (0,49 г, 8 ммоль), тетрагидрофурана, воды и бикарбоната натрия (1,5 г, 18 ммоль) при 6°С добавляли единой порцией раствор флуоренилметилхлорформиата (2,27 г, 8,8 ммоль) в тетрагидрофуране, перемешивание продолжали в течение 1 час, давая смеси нагреться до комнатной температуры. Смесь разбавляли водой и экстрагировали этилацетатом. Объединенные органические экстракты сушили над безводным сульфатом магния, фильтровали и упаривали с получением сырого продукта. Сырой продукт перекристаллизовывали из дихлорметана с получением 9H-флуорен-9-илметилового сложного эфира (2-гидроксиэтил)карбаминовой кислоты в виде белого твердого вещества (1,2 г).
5.11 Ссылочный пример 4: 1,4-диацетил-3-метокси-4-(гамма-гидроксиметиллейцин)циклоспорин
К раствору 1,3,4-триацетил-4-(гамма-гидроксиметиллейцин)циклоспорина (295 мг) в метаноле (5 мл) добавляли камфорсульфокислоту (55 мг); полученную смесь перемешивали при 50°С в течение 5 час в атмосфере азота. Метанол удаляли при пониженном давлении и остаток разбавляли этилацетатом (50 мл), промывали насыщенным бикарбонатом натрия (30 мл), насыщенным раствором соли (30 мл) и сушили над безводным сульфатом натрия. После удаления растворителя было получено 275 мг указанного в заголовке соединения, которое использовали на следующей стадии без дополнительной очистки.
Сигналы ЯМР для данного соединения в дейтерий-хлороформе соответствуют (м.д.) 1,92 (синглет, OAc), 2,00 (синглет, OAc), 5,71 (синглет, саркозин H) и четырем дублетным NH сигналам 7,33, 7,43, 8,03 и 8,51. ЖХ-МС (ESI): вычисл. для C63H113N11O14: 1331, обнаружено 1332,6 (M+H)+.
5.12 Ссылочный пример 5: 1,3,4-триацетил-4-(гамма-гидроксиметиллейцин)циклоспорин
К раствору 1,4-диацетил-3-фенилтио-4-(гамма-гидроксиметиллейцин)циклоспорина (389 мг) в ледяной уксусной кислоте (8 мл) добавляли ацетат ртути (389 мг) и полученную смесь перемешивали при 50°С в течение 3 час в атмосфере азота. Уксусную кислоту удаляли при пониженном давлении и остаток разбавляли этилацетатом (50 мл), промывали насыщенным бикарбонатом натрия (30 мл), насыщенным раствором соли (30 мл) и сушили над безводным сульфатом натрия. После удаления растворителя остаток очищали с помощью колоночной хроматографии на силикагеле, элюируя сначала смесью этилацетат/гептан (30:70), затем смесью метанол/этилацетат (0,2/100), с получением 280 мг указанного в заголовке соединения.
5.13. Ссылочный пример 6: 1,4-диацетил-3-фенилтио-4-(гамма-гидроксиметиллейцин)циклоспорин
К раствору 3-фенилтио-4-(гамма-гидроксиметиллейцин)циклоспорина (550 мг) в безводном дихлорметане (10 мл) добавляли 4-диметиламинопиридин (310 мг), триэтиламин (0,35 мл) и уксусный ангидрид (0,16 мл) в указанном порядке и полученную смесь перемешивали при комнатной температуре в течение 60 час в атмосфере азота. Ее разбавляли этилацетатом (50 мл), промывали водой (50 мл), 1,0 н HCl (50 мл), насыщенным бикарбонатом натрия (50 мл), насыщенным раствором соли (50 мл) и сушили над безводным сульфатом натрия. После удаления растворителя и высушивания в вакууме было получено 389 мг указанного в заголовке соединения.
Сигналы ЯМР для данного соединения в дейтерий-хлороформе соответствуют (м.д.) 2,00 (3H, синглет, OAc), 2,04 (3H, синглет, OAc), 6,11 (1H, синглет, саркозин H), 7,20-7,37 (6H, мультиплет, NH и фенил) и трем дублетным NH сигналам 7,44, 8,03 и 8,52.
5.14 Ссылочный пример 7: 3-фенилтио-4-(гамма-гидроксиметиллейцин)циклоспорин
Жидкий аммиак (30 мл) конденсировали в сосуд в атмосфере азота. Добавляли амид натрия (1,0 г) и затем раствор 4-(гамма-гидроксиметиллейцин)циклоспорина (1,22 г, 1,0 ммоль) в трет-бутилметиловом простом эфире (15 мл). Смесь перемешивали при -35°С в течение 90 мин. Затем добавляли раствор дифенилдисульфида (4,4 г, 20 ммоль) в трет-бутилметиловом простом эфире (15 мл) и перемешивание продолжали еще в течение 2 час при -35°С. Добавляли твердый хлорид аммония (1,5 г) и смесь перемешивали при -33°С в течение 10 мин. После нагревания до комнатной температуры смесь разбавляли трет-бутилметиловым простым эфиром (50 мл), промывали водой (50 мл), насыщенным раствором соли (50 мл) и сушили над безводным сульфатом натрия. После удаления растворителя остаток очищали с помощью колоночной хроматографии на силикагеле, элюируя сначала смесью этилацетат/гептан (30:70), затем смесью метанол/этилацетат (0,2:100), с получением 550 мг указанного в заголовке соединения.
Сигналы ЯМР для данного соединения в дейтерий-хлороформе соответствуют (м.д.) 6,12 (1H, синглет, саркозин H), 7,33 (5H, мультиплет, Ph) и четырем дублетным NH сигналам 7,14, 7,39, 7,65 и 7,96.
5.15 Пример 20: Соли [(R)-2-(N,N-диметиламино)этилтио-Sar]3[4′-гидрокси-MeLeu]-4-циклоспорина (соединения O)
В настоящем примере показаны фармацевтически приемлемые соли изобретения, которые проявляют растворимость, благоприятную для применения в способах изобретения.
[(R)-2-(N,N-Диметиламино)этилтио-Sar]3[4′-гидрокси-MeLeu]-4-циклоспорин A (1,0 г) растворяли в 10 мл этилового эфира. Добавляли соответствующую кислоту (1,0 экв.) и перемешивали при 25°С в течение 2 час. Осадок собирали фильтрованием и промывали холодным эфиром, сушили в вакууме и анализировали. В примерах ацетатной и пропионатной солей к эфирному экстракту добавляли 10 мл гептана для стимуляции осаждения. Растворимость каждой соли в биологическом буфере, а именно в забуференном фосфатом солевом растворе Дульбекко (ЗФР), определяли путем турбидиметрического титрования (Schote et al., 2002. J. Pharm. Sciences 91(3): 856). Буфер pH 7,2 содержит физиологические концентрации кальция, магния, натрия, калия, фосфата и хлорида. Растворимость циклоспорина в ЗФР составляет от 0,015 до 0,020 мМ, в то время как соли растворимы в диапазоне от 0,45 до 0,65 мМ. Были получены следующие соли соединения O:
| Соль |
Точка плавления (°С) |
1H-ЯМР резонанс саркозина (м.д.) |
Растворимость в ЗФР мМ |
| Фосфат |
167-169 |
5,84 |
0,534 |
| Цитрат |
148-150 |
5,91 |
0,532 |
| Ацетат |
117-119 |
5,92 |
0,612 |
| HCl |
175-178 |
5,81 |
0,497 |
| Метансульфонат |
150-155 |
5,82 |
0,537 |
| Пропионат |
110-112 |
5,95 |
0,522 |
5.16 Пример 21: Активность против HCV
В настоящем примере показано, что соединения изобретения эффективны против инфекции HCV. Кроме того, в настоящем примере показано, что соединения изобретения проявляют благоприятные эффективность или цитотоксичность или и то, и другое по сравнению с циклоспорином A.
Соединения настоящего изобретения (или соли, полученные в примерах 1-21) тестировали на активность против HCV с помощью способов, адаптированных на основе описанных Kriger et al., 2001, Journal of Virology, 75: 4614-4624, Pietschmann et al., 2002, Journal of Virology 76: 4008-4021, и с помощью конструктов РНК HCV, как описано в патенте США 6630343. Содержание данных ссылок включено здесь в качестве ссылки во всей своей полноте.
Соединения проверяли на клеточной линии гепатомы человека ET (lub ubi neo/ET), содержащей стабильный люциферазный (LUC) репортер репликона РНК HCV. Репликон ET РНК HCV содержит 5′-конец HCV (с внутренним сайтом HCV вхождения в рибосому (IRES) и первыми несколькими аминокислотами белка ядра HCV), который управляет продукцией гибридного белка люциферазы (LUC) светлячка, убиквитина и неомицинфосфотрансферазы (NeoR). Отщепление убиквитина высвобождает белки LUC и NeoR. Элемент EMCV IRES контролирует трансляцию структурных белков NS3-NS5 HCV. Белок NS3 расщепляет полипротеин HCV с высвобождением зрелых белков NS3, NS4A, NS4B, NS5A и NS5B, которые необходимы для репликации HCV. На 3′-конце репликона находится подлинный 3′ NTR HCV. Активность репортера LUC прямо пропорциональна уровню репликации HCV, и противовирусные соединения положительного контроля вызывают воспроизводимый противовирусный ответ при использовании в качестве конечного показателя LUC.
Каждое соединение растворяли в ДМСО в пяти полулогарифмических концентрациях в диапазоне от 0,02 до 2,0 мкМ, от 0,03 до 3 мкМ, от 2,0 до 20 мкМ или от 1 до 100 мкМ. Культуры линии ET в состоянии, близком к конфлюентности, высевали в 96-луночные планшеты, предназначенные для анализа количества клеток (цитотоксичности) или противовирусной активности, и на следующий день в соответствующие лунки добавляли соединения. Через 72 час все еще близкие к конфлюентности клетки подвергали обработке. Противовирусную активность выражали в виде EC50 и EC90, эффективной концентрации соединения, снижающей репликацию вируса на 50% и 90% соответственно. Величины EC50 и EC90 для соединения получали на основании уровня РНК HCV, измеренного по активности LUC из репликона РНК HCV. Цитотоксичность выражали в виде IC50 и IC90, концентрации соединения, ингибирующей выживаемость клеток на 50% и 90% соответственно. Величины IC50 и IC90 для соединения рассчитывали с помощью колориметрического анализа в качестве показателя количества клеток и цитотоксичности. Активность репортера LUC прямо пропорциональна уровню РНК HCV в линии клеток человека. Тест HCV-репликона подтверждали в параллельных экспериментах с использованием интерферона-альфа-2b в качестве положительного контроля. Для сравнения тестировали также циклоспорин. Соединения изобретения эффективно ингибируют репликацию HCV в клетках печени человека в большей степени, чем циклоспорин. Кроме того, что касается уровня цитотоксичности, то многие соединения данного изобретения обладают более широким диапазоном безопасности (например, IC50 цитотоксичности по сравнению с противовирусной EC50), чем циклоспорин.
Были получены следующие результаты (если это не указано иначе, все величины выражены в нМ), N/D означает, что данные не получали.
| Соединение |
Активность против HCV |
Цитотоксичность |
| EC50 |
EC90 |
IC50 |
IC90 |
| A |
60 |
220 |
2330 |
>3000 |
| B |
1180 |
2720 |
6310 |
20310 |
| C |
180 |
640 |
>3000 |
>3000 |
| D |
290 |
1320 |
17200 |
>20000 |
| E |
20001 |
N/D |
15600 |
N/D |
| F |
17000 |
N/D |
>20000 |
N/D |
| G |
<200 |
570 |
10300 |
>20000 |
| H |
<200 |
370 |
>20000 |
>20000 |
| I |
1010 |
1870 |
2830 |
17350 |
| J |
150 |
530 |
8201 |
19600 |
| K |
260 |
590 |
5500 |
17800 |
| L |
280 |
1250 |
11500 |
>20000 |
| M |
3350 |
6111 |
>20000 |
>20000 |
| N |
<200 |
<200 |
>20000 |
>20000 |
| O |
122 |
300 |
13440 |
>20000 |
| P |
230 |
580 |
6150 |
>20000 |
| Q |
210 |
620 |
18880 |
>20000 |
| R |
310 |
590 |
11100 |
>20000 |
| S |
40 |
160 |
>2000 |
>2000 |
| T |
80 |
410 |
>2000 |
>2000 |
| U |
90 |
450 |
>2000 |
>2000 |
| V |
360 |
1200 |
>2000 |
>2000 |
| W |
130 |
510 |
>2000 |
>2000 |
| X |
480 |
1500 |
>2000 |
>2000 |
| Y |
300 |
950 |
>2000 |
>2000 |
 |
| Соли соединения O |
| Фосфат |
130 |
470 |
>2000 |
>2000 |
| Цитрат |
110 |
410 |
>2000 |
>2000 |
| Ацетат |
100 |
300 |
>2000 |
>2000 |
| Гидрохлорид |
110 |
380 |
>2000 |
>2000 |
| MeSO2 |
160 |
500 |
>2000 |
>2000 |
| Пропионат |
100 |
320 |
>2000 |
>2000 |
| Циклоспорин |
400 |
1420 |
5780 |
19403 |
5.17 Пример 22: Связывание циклофилином и активность против HCV
В данном примере предлагаются дополнительные способы оценки эффективности соединений изобретения для лечения или профилактики инфекции HCV у нуждающегося в этом субъекта.
Было показано, что некоторые циклоспорины являются эффективными для лечения или профилактики инфекции HCV благодаря связыванию циклоспорина с циклофилином B (CyPB). См. Watashi et al., 2005, Molecular Cell 19: 111-122; Nakagawa et al., 2005 Gastroenterology I29(3): 1031-41; содержание которых включено здесь в качестве ссылок во всей своей полноте. Хотя заявители не хотят быть связанными какой-либо конкретной теорией действия, считается, что циклофилин B играет решающую роль в эффективной репликации генома HCV. Циклоспорин A и производные циклоспорина, которые ингибируют циклофилин B, могут резко снижать репликацию HCV в стандартных тестах.
Соответственно, с помощью оценки связывания или модуляции циклофилина, например циклофилина B, показано, что соединения настоящего изобретения эффективны для лечения или профилактики инфекции HCV. Модуляцию циклофилина соединением данного изобретения измеряют с помощью стандартных способов, например, описанных Watashi et al., 2005, описанных Nakagawa et al., 2005 или описанных Billich et al., J. Virol. 69: 2451-2461, содержание которых включено здесь в качестве ссылок во всей своей полноте.
5.18 Пример 23: Активность против HCV
Соединения настоящего изобретения тестировали на противоретровирусную активность в отношении вируса-1 иммунодефицита человека (ВИЧ) с использованием инфицированной штаммом ВИЧ, HIV-1IIIB T-лимфобластоидной линии клеток человека CEM-SS (Weislow et al., 1989, J. Natl. Cancer Inst. 81: 577-586). В данном тесте MTS защиты клеток в каждый эксперимент включали лунки с контрольными клетками (только клетки), контрольные лунки с вирусом (клетки плюс вирус), лунки на токсичность лекарственного средства (клетки плюс только лекарственное средство), лунки на колориметрический контроль лекарственного средства (только лекарственное средство), а также экспериментальные лунки (лекарственное средство плюс клетки плюс вирус). Соединения сначала растворяли в ДМСО и тестировали с применением шести полулогарифмических разведений, начиная с высокой концентрации 20 или 2 мкМ. В каждую лунку добавляли HIV-1RF в объеме 50 мкл в количестве, которое, как было определено, вызывает гибель приблизительно 90% клеток через 6 дней после инфекции. По окончании теста планшеты для тестирования окрашивали растворимым красителем MTS на основе тетразолия (CellTiter 96 Reagent, Promega) для определения выживаемости клеток и количественной оценки токсичности соединения. MTS метаболизируется митохондриальными ферментами метаболически активных клеток с образованием растворимого формазанового продукта, что обеспечивает количественный анализ выживания клеток и цитотоксичности соединения. Правомочность теста была подтверждена в параллельных экспериментах с применением зидовудина (3′-азидо-3′-дезокситимидина, или AZT) в качестве положительного контроля. Тест включал определение EC50 соединения (концентрации, ингибирующей репликацию вируса на 50%), IC50 (концентрации, вызывающей ингибирование клеточного роста на 50%) и показатель избирательности (IC50/EC50).
Результаты для избирательных соединений были следующими (если это не указано иначе, все величины выражены в нМ).
 |
Активность против ВИЧ |
Цитотоксичность |
Показатель избирательности |
| Соединение |
EC50 |
IC50 |
IC50/EC50 |
| D |
1360 |
>20000 |
>15 |
| H |
1380 |
13300 |
10 |
| L |
1930 |
19500 |
10 |
| N |
350 |
20000 |
57 |
| O |
60 |
20000 |
333 |
| P |
160 |
6150 |
38 |
| Q |
230 |
18880 |
82 |
| R |
500 |
17300 |
35 |
| S |
90 |
14000 |
156 |
| T |
60 |
18000 |
300 |
| U |
110 |
13400 |
122 |
| V |
440 |
>20000 |
>45 |
| W |
680 |
>20000 |
>29 |
| X |
1000 |
>20000 |
>20 |
| Y |
520 |
>20000 |
>38 |
5.19 Пример 24: Пероральные лекарственные формы
Одно или более соединений изобретения могут быть составлены в виде капсулы. Такая капсула может включать от 10 до 200 мг соединения и один или более наполнителей, выбранных из группы, состоящей из микрокристаллической целлюлозы, предварительно желатинизированного крахмала, лактозы, крахмала гликолята натрия, кросповидона, повидона, гидроксипропилцеллюлозы, стеарата магния и диоксида кремния. Полученную композицию можно заключать в капсулу с одной или более стандартных композиций для получения капсул, таких как желатин или пластификатор.
Одно или более соединений изобретения могут быть составлены в виде соли в сиропе или эликсире. Соединение или соединения могут находиться в суммарной концентрации от 5 до 50 мг/мл. Сироп или эликсир могут дополнительно включать полиэтиленгликоль, пропиленгликоль, смеси полиэтиленгликоля, PEG 400, блоксополимер этиленоксида и пропиленоксида (например, полоксамер 407), полисорбат 20, этанол, сахар, лимонную кислоту и/или отдушку.
Все цитированные в данном описании публикации и патентные заявки включены здесь в качестве ссылки, как если бы в отношении каждой отдельной публикации и патентной заявки было специально и отдельно указано, что она включена здесь в качестве ссылки. Хотя изобретение было описано в плане различных предпочтительных осуществлений, специалист должен понимать, что могут быть осуществлены различные модификации, замены, пропуски и изменения без выхода за пределы духа изобретения. Соответственно подразумевается, что объем настоящего изобретения ограничивается только объемом следующей формулы изобретения, включая ее эквиваленты.
Формула изобретения
1. Способ лечения или профилактики вирусной инфекции гепатита С у нуждающегося в этом субъекта, включающий введение субъекту терапевтически эффективного количества соединения общей формулы (I):
 где А представляет собой остаток формулы (IIa) или (IIb):
 ; В представляет собой этил, 1-гидроксиэтил, изопропил или н-пропил; R1 представляет собой алкил с линейной или разветвленной цепью, содержащий от одного до шести углеродных атомов, необязательно замещенных одной или более группами R3, которые могут быть одинаковыми или различными; алкенил с линейной или разветвленной цепью, содержащий от двух до шести углеродных атомов, необязательно замещенных одной или более группами, которые могут быть одинаковыми или различными, выбранными из группы, состоящей из галогена, гидрокси, амино, моноалкиламино и диалкиламино; алкинил с линейной или разветвленной цепью, содержащий от двух до шести углеродных атомов, необязательно замещенных одной или более группами, которые могут быть одинаковыми или различными, выбранными из группы, состоящей из галогена, гидрокси, амино, моноалкиламино и диалкиламино; циклоалкил, содержащий от трех до шести углеродных атомов, необязательно замещенных одной или более группами, которые могут быть одинаковыми или различными, выбранными из группы, состоящей из галогена, гидрокси, амино, моноалкиламино и диалкиламино; алкоксикарбонил с линейной или разветвленной цепью, содержащий от одного до шести углеродных атомов; R2 представляет собой изобутил или 2-гидроксиизобутил; Х представляет собой -S(O)n– или кислород; R3 выбран из группы, состоящей из галогена, гидрокси, карбоксила, алкоксикарбонила, -NR4R5 и -NR6(CH2)mNR4R5; каждый из R4 и R5, которые могут быть одинаковыми или различными, представляет собой независимо водород; алкил с линейной или разветвленной цепью, содержащий от одного до шести углеродных атомов, необязательно замещенных одной или более группами R7, которые могут быть одинаковыми или различными; алкенил или алкинил с линейной или разветвленной цепью, содержащий от двух до четырех углеродных атомов; циклоалкил, содержащий от трех до шести углеродных атомов, необязательно замещенных алкилом с линейной или разветвленной цепью, содержащим от одного до шести углеродных атомов; фенил, необязательно замещенный от одной до пяти группами, которые могут быть одинаковыми или различными, выбранными из группы, состоящей из галогена, алкокси, алкоксикарбонила, амино, алкиламино и диалкиламино; гетероциклическое кольцо, которое может быть насыщенным или ненасыщенным, содержащее пять или шесть атомов кольца и от одного до трех гетероатомов, которые могут быть одинаковыми или различными, выбранными из азота, серы и кислорода; или R4 и R5 вместе с атомом азота, к которому они присоединены, образуют насыщенное или ненасыщенное гетероциклическое кольцо, содержащее от четырех до шести атомов кольца, причем кольцо может необязательно содержать другой гетероатом, выбранный из группы, состоящей из азота, кислорода и серы, и может быть необязательно замещено от одной до четырех группами, которые могут быть одинаковыми или различными, выбранными из группы, состоящей из алкила, фенила и бензила; R6 представляет собой водород или алкил с линейной или разветвленной цепью, содержащий от одного до шести углеродных атомов; R7 выбран из группы, состоящей из галогена, гидрокси, карбоксила, алкоксикарбонила и -NR8R9; каждый из R8 и R9, которые могут быть одинаковыми или различными, представляет собой водород или алкил с линейной или разветвленной цепью, содержащий от одного до шести углеродных атомов; n равно нулю, единице или двум; и m является целым числом от двух до четырех; или его фармацевтически приемлемой соли.
2. Способ по п.1, где А представляет собой остаток формулы (IIa), и В представляет собой этил.
3. Способ по п.1 или 2, где R1 представляет собой 2-аминоэтил, 2-аминопропил, 2-моноалкиламиноэтил, 2-моноалкиламинопропил, 2-диалкиламиноэтил, 2-диалкиламинопропил, 2-моноциклоалкиламиноэтил, 2-моноциклоалкиламинопропил, 2-дициклоалкиламиноэтил или 2-дициклоалкиламинопропил, где алкил представляет собой линейную или разветвленную цепь, содержащую от одного до четырех углеродных атомов, и циклоалкил содержит от трех до шести углеродных атомов.
4. Способ по п.1 или 2, где Х представляет собой кислород или серу.
5. Способ по п.4, где Х представляет собой кислород.
6. Способ по п.4, где Х представляет собой серу.
7. Способ по п.1, где Х представляет собой серу и R1 выбран из группы, состоящей из диметиламиноэтила, диэтиламиноэтила, метил-трет-бутиламиноэтила и этил-трет-бутиламиноэтила.
8. Способ по п.1, где соединение формулы (I) представляет собой 3-метоксициклоспорин; 3-(2-аминоэтокси)циклоспорин; 3-(2-N,N-диметиламиноэтокси)циклоспорин; 3-(изопропокси)циклоспорин; 3-[2-(N-метиламино)этокси]циклоспорин; 3-этоксициклоспорин; 3-[(R)-2-(N,N-диметиламино)этилтио-Sar]-4-(гамма-гидроксиметиллейцин)циклоспорин; или его фармацевтически приемлемую соль.
9. Способ по п.1, где соединение формулы (I) представляет собой 3-(2-этилбутокси)циклоспорин; 3-(2,2-диметилпропокси)циклоспорин; 3-(2-гидроксиэтокси)циклоспорин; 3-(3-гидроксипропокси)циклоспорин; 3-[2-(N-метил-N-изопропиламино)этокси]циклоспорин; 3-[2-(пиперидин-1-ил)этокси]циклоспорин; 3-[2-(N-морфолин)этокси]циклоспорин; 3-этилтиоциклоспорин; 3-пропенилтиоциклоспорин; 3-(метилтио)-4-(гамма-гидроксиметиллейцин)циклоспорин; 3-(метокси)-4-(гамма-гидроксиметиллейцин)циклоспорин; 3-(проп-2-ен-1-окси)-4-(гамма-гидроксиметиллейцин)циклоспорин; 3-(изопропокси)-4-(гамма-гидроксиметиллейцин)циклоспорин; 3-(этокси)-4-(гамма-гидроксиметиллейцин)циклоспорин; или его фармацевтически приемлемую соль.
10. Способ по п.1, где соединение вводят перорально.
11. Способ по п.1, где вводимое количество соединения составляет от приблизительно 1 до приблизительно 1000 мг в день.
12. Способ по п.11, где вводимое количество соединения составляет от приблизительно 25 до приблизительно 200 мг в день.
13. Способ по п.1, где указанный субъект не поддается лечению интерфероном.
14. Способ по п.1, где указанный субъект одновременно инфицирован ВИЧ.
15. Применение производного циклоспорина общей формулы (I):
 где А представляет собой остаток формулы (IIa) или (IIb):
 ; В представляет собой этил, 1-гидроксиэтил, изопропил или н-пропил; R1 представляет собой алкил с линейной или разветвленной цепью, содержащий от одного до шести углеродных атомов, необязательно замещенных одной или более группами R3, которые могут быть одинаковыми или различными; алкенил с линейной или разветвленной цепью, содержащий от двух до шести углеродных атомов, необязательно замещенных одной или более группами, которые могут быть одинаковыми или различными, выбранными из группы, состоящей из галогена, гидрокси, амино, моноалкиламино и диалкиламино; алкинил с линейной или разветвленной цепью, содержащий от двух до шести углеродных атомов, необязательно замещенных одной или более группами, которые могут быть одинаковыми или различными, выбранными из группы, состоящей из галогена, гидрокси, амино, моноалкиламино и диалкиламино; циклоалкил, содержащий от трех до шести углеродных атомов, необязательно замещенных одной или более группами, которые могут быть одинаковыми или различными, выбранными из группы, состоящей из галогена, гидрокси, амино, моноалкиламино и диалкиламино; алкоксикарбонил с линейной или разветвленной цепью, содержащий от одного до шести углеродных атомов; R2 представляет собой изобутил или 2-гидроксиизобутил; Х представляет собой -S(O)n– или кислород; R3 выбран из группы, состоящей из галогена, гидрокси, карбоксила, алкоксикарбонила, -NR4R5 и -NR6(CH2)mNR4R5; каждый из R4 и R5, которые могут быть одинаковыми или различными, представляет собой независимо водород; алкил с линейной или разветвленной цепью, содержащий от одного до шести углеродных атомов, необязательно замещенных одной или более группами R7, которые могут быть одинаковыми или различными; алкенил или алкинил с линейной или разветвленной цепью, содержащий от двух до четырех углеродных атомов; циклоалкил, содержащий от трех до шести углеродных атомов, необязательно замещенных алкилом с линейной или разветвленной цепью, содержащим от одного до шести углеродных атомов; фенил, необязательно замещенный от одной до пяти группами, которые могут быть одинаковыми или различными, выбранными из группы, состоящей из галогена, алкокси, алкоксикарбонила, амино, алкиламино и диалкиламино; гетероциклическое кольцо, которое может быть насыщенным или ненасыщенным, содержащее пять или шесть атомов кольца и от одного до трех гетероатомов, которые могут быть одинаковыми или различными, выбранными из азота, серы и кислорода; или R4 и R5 вместе с атомом азота, к которому они присоединены, образуют насыщенное или ненасыщенное гетероциклическое кольцо, содержащее от четырех до шести атомов кольца, причем кольцо может необязательно содержать другой гетероатом, выбранный из группы, состоящей из азота, кислорода и серы, и может быть необязательно замещено от одной до четырех группами, которые могут быть одинаковыми или различными, выбранными из группы, состоящей из алкила, фенила и бензила; R6 представляет собой водород или алкил с линейной или разветвленной цепью, содержащий от одного до шести углеродных атомов; R7 выбран из группы, состоящей из галогена, гидрокси, карбоксила, алкоксикарбонила и -NR8R9; каждый из R8 и R9, которые могут быть одинаковыми или различными, представляет собой водород или алкил с линейной или разветвленной цепью, содержащий от одного до шести углеродных атомов; n равно нулю, единице или двум; и m является целым числом от двух до четырех; или его фармацевтически приемлемой соли для получения лекарственного средства для лечения или профилактики вирусной инфекции гепатита С.
16. Способ лечения или профилактики вирусной инфекции гепатита С у субъекта, включающий введение терапевтически эффективного количества 3-[(R)-2-(N,N-диметиламино)этилтио-Sar]-4-(гамма-гидроксиметиллейцин)циклоспорина или его фармацевтически приемлемой соли.
17. Применение 3-[(R)-2-N,N-диметиламино)этилтио-Sar]-4-(гамма-гидроксиметиллейцин)циклоспорина или его фармацевтически приемлемой соли для получения лекарственного средства для лечения или профилактики вирусной инфекции гепатита С.
18. Способ лечения или профилактики вирусной инфекции гепатита С у субъекта, включающий введение терапевтически эффективного количества соединения общей формулы (I):
 где А представляет собой остаток формулы (IIa) или (IIb):
 ; В представляет собой этил, 1-гидроксиэтил, изопропил или н-пропил; R1 представляет собой алкил с линейной или разветвленной цепью, содержащий от двух до шести углеродных атомов, необязательно замещенных группой R3; или алкенил с линейной или разветвленной цепью, содержащий от двух до четырех углеродных атомов; R2 представляет собой изобутил или 2-гидроксиизобутил; Х представляет собой -S(O)n– или кислород; R3 представляет собой гидрокси, -NR4R5 или метокси; каждый из R4 и R5, которые могут быть одинаковыми или различными, представляет собой независимо водород; алкил с линейной или разветвленной цепью, включающий от одного до шести углеродных атомов, необязательно замещенных одной или более группами R7, которые могут быть одинаковыми или различными; алкенил или алкинил с линейной или разветвленной цепью, включающий от двух до четырех углеродных атомов; циклоалкил, содержащий от трех до шести углеродных атомов, необязательно замещенных алкилом с линейной или разветвленной цепью, содержащим от одного до шести углеродных атомов; фенил, необязательно замещенный от одной до пяти группами, которые могут быть одинаковыми или различными, выбранными из группы, состоящей из галогена, алкокси, алкоксикарбонила, амино, алкиламино и диалкиламино; гетероциклическое кольцо, которое может быть насыщенным или ненасыщенным, содержащее пять или шесть атомов кольца и от одного до трех гетероатомов, которые могут быть одинаковыми или различными, выбранными из азота, серы и кислорода; или R4 и R5 вместе с атомом азота, к которому они присоединены, образуют насыщенное или ненасыщенное гетероциклическое кольцо, содержащее от четырех до шести атомов кольца, причем кольцо может необязательно содержать другой гетероатом, выбранный из группы, состоящей из азота, кислорода и серы, и может быть необязательно замещено от одной до четырех группами, которые могут быть одинаковыми или различными, выбранными из группы, состоящей из алкила, фенила и бензила; R6 представляет собой водород или алкил с линейной или разветвленной цепью, содержащий от одного до шести углеродных атомов; R7 выбран из группы, состоящей из галогена, гидрокси, карбоксила, алкоксикарбонила и -NR8R9; каждый из R8 и R9, которые могут быть одинаковыми или различными, представляет собой независимо водород или алкил с линейной или разветвленной цепью, содержащий от одного до шести углеродных атомов; n равно нулю, единице или двум; и m является целым числом от двух до четырех; или его фармацевтически приемлемой соли.
19. Способ по п.18, где соединение формулы (I) представляет собой 3-(2-метоксиэтилтио)-4-(гамма-гидроксиметиллейцин)циклоспорин; 3-[(2-метокси)этилтио]циклоспорин; 3-[2-(метокси)этокси]-4-(гамма-гидроксиметиллейцин)циклоспорин; или 3-[3-(метокси)пропокси]-4-(гамма-гидроксиметиллейцин)циклоспорин; или его фармацевтически приемлемую соль.
20. Фармацевтически приемлемая соль соединения общей формулы (I):
 где А представляет собой остаток формулы (IIa) или (IIb):
 ; В представляет собой этил, 1-гидроксиэтил, изопропил или н-пропил; R1 представляет собой алкил с линейной или разветвленной цепью, содержащий от одного до шести углеродных атомов, необязательно замещенных одной или более группами R3, которые могут быть одинаковыми или различными; алкенил с линейной или разветвленной цепью, содержащий от двух до шести углеродных атомов, необязательно замещенных одной или более группами, которые могут быть одинаковыми или различными, выбранными из группы, состоящей из галогена, гидрокси, амино, моноалкиламино и диалкиламино; алкинил с линейной или разветвленной цепью, содержащий от двух до шести углеродных атомов, необязательно замещенных одной или более группами, которые могут быть одинаковыми или различными, выбранными из группы, состоящей из галогена, гидрокси, амино, моноалкиламино и диалкиламино; циклоалкил, содержащий от трех до шести углеродных атомов, необязательно замещенных одной или более группами, которые могут быть одинаковыми или различными, выбранными из группы, состоящей из галогена, гидрокси, амино, моноалкиламино и диалкиламино; алкоксикарбонил с линейной или разветвленной цепью, содержащий от одного до шести углеродных атомов; R2 представляет собой 2-гидроксиизобутил; Х представляет собой кислород; R3 выбран из группы, состоящей из галогена, гидрокси, карбоксила, алкоксикарбонила, NR4R5 и -NR6(CH2)mNR4R5; каждый из R4 и R5, которые могут быть одинаковыми или различными, представляет собой водород; алкил с линейной или разветвленной цепью, включающий от одного до шести углеродных атомов, необязательно замещенных одной или более группами R7, которые могут быть одинаковыми или различными; алкенил или алкинил с линейной или разветвленной цепью, включающий от двух до четырех углеродных атомов; циклоалкил, содержащий от трех до шести углеродных атомов, необязательно замещенных алкилом с линейной или разветвленной цепью, содержащим от одного до шести углеродных атомов; фенил, необязательно замещенный от одной до пяти группами, которые могут быть одинаковыми или различными, выбранными из группы, состоящей из галогена, алкокси, алкоксикарбонила, амино, алкиламино и диалкиламино; гетероциклическое кольцо, которое может быть насыщенным или ненасыщенным, содержащее пять или шесть атомов кольца и от одного до трех гетероатомов, которые могут быть одинаковыми или различными, выбранными из азота, серы и кислорода; или R4 и R5 вместе с атомом азота, к которому они присоединены, образуют насыщенное или ненасыщенное гетероциклическое кольцо, содержащее от четырех до шести атомов кольца, причем кольцо может необязательно содержать другой гетероатом, выбранный из группы, состоящей из азота, кислорода и серы, и может быть необязательно замещено от одной до четырех группами, которые могут быть одинаковыми или различными, выбранными из группы, состоящей из алкила, фенила и бензила; R6 представляет собой водород или алкил с линейной или разветвленной цепью, содержащий от одного до шести углеродных атомов; R7 выбран из группы, состоящей из галогена, гидрокси, карбоксила, алкоксикарбонила и -NR8R9; каждый из R8 и R9, которые могут быть одинаковыми или различными, независимо представляет собой водород или алкил с линейной или разветвленной цепью, содержащий от одного до шести углеродных атомов; и m является целым числом от двух до четырех; где указанная соль представляет собой фосфатную, цитратную, ацетатную, хлоридную, метансульфонатную или пропионатную соль.
21. Фармацевтически приемлемая соль 3-[(R)-2-(N,N-диметиламино)этилтио-Sar]-4-(гамма-гидроксиметиллейцин)циклоспорина, где указанная соль представляет собой фосфатную, цитратную, ацетатную, хлоридную, метансульфонатную или пропионатную соль.
22. Соединение общей формулы (I):
 где А представляет собой остаток формулы (IIa):
 В представляет собой этил; R1 представляет собой метил; R2 представляет собой 2-гидроксиизобутил; и X представляет собой кислород; которое является 3-метокси-4-(гамма-гидроксиметиллейцин)циклоспорином.
23. Фармацевтическая композиция, обладающая анти-HCV активностью, содержащая соединение по п.22 в эффективном количестве в сочетании с одним или более совместимыми и фармацевтически приемлемыми носителями.
|
|