|
|
(21), (22) Заявка: 2007140788/04, 01.05.2006
(24) Дата начала отсчета срока действия патента:
01.05.2006
(30) Конвенционный приоритет:
03.05.2005 US 60/676,932
(43) Дата публикации заявки: 10.06.2009
(46) Опубликовано: 20.09.2010
(56) Список документов, цитированных в отчете о поиске:
RU 2266909 С2, 20.12.2003. WO 9517407 A1, 29.06.95. WO 9519983 A1, 27.07.95. YASUTSUGU UEDA ET ALL, BIOORGANIC & MEDICINAL CHEMISTRY LETTERS, 2003, 13, 3669-3672.
(85) Дата перевода заявки PCT на национальную фазу:
03.12.2007
(86) Заявка PCT:
JP 2006/309435 20060501
(87) Публикация PCT:
WO 2006/118351 20061109
Адрес для переписки:
119034, Москва, Пречистенский пер., 14, стр. 1, 4-й этаж, “Гоулингз Интернэшнл Инк.”, пат.пов. Ю.В.Дементьевой, рег. 560
|
(72) Автор(ы):
ГАО Ки (US), ЧЕН Чанг-Пин Х. (US), ФЭЙКС Майкл Г. (US), ПЕНДРИ Ядагири Р. (US), КИАУ Сюзанн (US), ВАККАЛАГАДДА Блисс (US)
(73) Патентообладатель(и):
АЙСЭЙ РэндД МЭНЕДЖМЕНТ КО., Лтд. (JP)
|
(54) МОНОЛИЗИНОВЫЕ СОЛИ ПРОИЗВОДНЫХ АЗОЛА
(57) Реферат:
Настоящее изобретение относится к монолизиновым солям производных азола общей формулы (I), способу их получения и использованию для лечения грибковых инфекций.

где R и R1 представляют собой водород или (С1-С6)алкил; и А представляет собой производное триазола, в том числе производное общей формулы (i)

где R3 представляет собой галогензамещенный фенил; R4 представляет собой водород или СН3; R5 представляет собой водород или вместе с R4 представляет собой =СН2; R6 представляет собой необязательно замещенные тиазолил, пиримидинил, триазолил или фенил. Технический результат – получение новых солей, эффективных для лечения грибковых инфекций. 17 н. и 26 з.п. ф-лы, 14 ил., 8 табл.
Текст описания приведен в факсимильном виде.                                                     
Формула изобретения
1. Монолизиновая соль соединения формулы I или ее сольват:
 где каждый из R и R1 представляет собой водород или (С1-С6)алкил; и А выбран из группы, состоящей из:





 и формулы (i):
 где в формуле (i) R3 представляет собой фенильную группу, замещенную одним или большим количеством атомов галогена; R4 представляет собой водород или СН3; R5 представляет собой водород, или взятый вместе с R4 представляет собой =CH2; и R6 представляет собой тиазолил, пиримидинил или триазолил, где каждое кольцо является необязательно замещенным одной или большим количеством групп, выбранных из группы, состоящей из галогена, =O, СН=СН-(С6Н4)-OCH2CF2CHF2, и фенила, замещенного одной или большим количеством групп, выбранных из группы, состоящей из CN и OCH2CF2CHF2, или фенила, замещенного одной или большим количеством групп, выбранных из группы, состоящей из галогена и метилпиразолила.
2. Монолизиновая соль или ее сольват по п.1, где А имеет формулу (i):
 где R3 представляет собой фенильную группу, замещенную одним или большим количеством атомов галогена; R4 представляет собой водород или СН3; R5 представляет собой водород, или взятый вместе с R4 представляет собой =СН2; и R6 представляет собой тиазолил, пиримидинил или триазолил, где каждое кольцо является необязательно замещенным одной или большим количеством групп, выбранных из группы, состоящей из галогена, =O, СН=СН-(С6Н4)-OCH2CF2CHF2, и фенила, замещенного одной или большим количеством групп, выбранных из группы, состоящей из CN и OCH2CF2CHF2, или фенила, замещенного одной или большим количеством групп, выбранных из группы, состоящей из галогена и метилпиразолила.
3. Монолизиновая соль или ее сольват по п.1 или 2, где R3 в формуле (i) представляет собой 2,4-дифторфенил.
4. Монолизиновая соль или ее сольват по п.1, где R4 в формуле (i) представляет собой метил и R5 представляет собой водород.
5. Монолизиновая соль или ее сольват по п.1, где R6 в формуле (i) представляет собой 4-(4-цианофенил)-тиазол-2-ил.
6. Монолизиновая соль или ее сольват по п.1, где каждый из R и R1 формулы I представляет собой водород.
7. Монолизиновая соль или ее сольват по п.1 или 2, где А представляет собой
 или

8. Монолизиновая соль или ее сольват по п.1, где А выбран из группы, состоящей из


,
,
,



9. Монолизиновая соль или ее сольват по п.1, где А выбран из группы, состоящей из:

,


 и

10. Сольват монолизиновой соли по п.1, который представляет собой сольват с этанолом.
11. Сольват монолизиновой соли по п.1, который представляет собой сольват с изопропиловым спиртом.
12. Сольват монолизиновой соли по п.1, который представляет собой сольват с н-пропиловым спиртом.
13. Фармацевтическая композиция для лечения грибковых инфекций, состоящая из: монолизиновой соли по любому одному из пп.1-9, или ее фармацевтически приемлемого сольвата; и фармацевтически приемлемых адъюванта, разбавителя или носителя.
14. Способ лечения грибковых инфекций, включающий: введение эффективного противогрибкового количества монолизиновой соли по любому из пп.1-9, или ее фармацевтически приемлемого сольвата млекопитающему, нуждающемуся в нем.
15. Способ получения растворимой в воде монолизиновой соли формулы I:
 где каждый из R и R1 представляет собой водород или (С1-С6)алкил; и А выбран из группы, состоящей из:
,
,
,
,
,
, и формулы (i):
 где в формуле (i) R3 представляет собой фенильную группу, замещенную одним или большим количеством атомов галогена; R4 представляет собой водород или СН3; R5 представляет собой водород, или взятый вместе с R4 представляет собой =СН2; и R6 представляет собой тиазолил, пиримидинил или триазолил, где каждое кольцо является необязательно замещенным одной или большим количеством групп, выбранных из группы, состоящей из галогена, =O, CH=H-(C5H4)-OCH2CF2CHF2, и фенила, замещенного одной или большим количеством групп, выбранных из группы, состоящей из CN и OCH2CF2CHF2, или фенила, замещенного одной или большим количеством групп, выбранных из группы, состоящей из галогена и метилпиразолила; который включает: (а) взаимодействие соединения формулы А-ОН, где А является тем, как определено выше в формуле I, с соединением формулы III:
 где каждый R и R1 в формуле III независимо представляет собой водород или (С1-С6)алкил, и Pr представляет собой гидроксил-защитную группу; указанную реакцию проводят в инертном органическом растворителе в присутствии основания в интервале температур от приблизительно 25 до 50°С для образования первого промежуточного соединения формулы IV:
 где каждый R и R1 в формуле IV независимо представляет собой водород или (С1-С6)алкил, Pr представляет собой гидроксил-защитную группу, и А является тем, как определено в формуле I; (b) удаление защитных групп Pr в формуле IV с помощью кислот в инертном органическом растворителе для образования второго промежуточного соединения формулы V:
 где каждый R и R1 в формуле V независимо представляют собой водород или (С1-С6)алкил, и А является тем, как определено в формуле I; и (с) взаимодействие указанного второго промежуточного соединения формулы V с лизином в растворителе при значениях рН в диапазоне 4.2-5.5 для получения монолизиновой соли формулы I.
16. Способ по п.15, отличающийся тем, что защитная группа Pr представляет собой третичный-бутил.
17. Способ по п.15, отличающийся тем, что растворитель на стадии (а) представляет собой тетрагидрофуран.
18. Способ по любому из пп.15-17, отличающийся тем, что основание, используемое на стадии (а), представляет собой гидрид натрия.
19. Способ получения растворимого в воде сольвата монолизиновой соли, где указаннная монолизиновая соль имеет формулу I:
 в которой каждый из R и R1 представляет собой водород или (С1-С6)алкил; и А выбран из группы, состоящей из:





 и формулы (i):
 где в формуле (i) R3 представляет собой фенильную группу, замещенную одним или большим количеством атомов галогена; R4 представляет собой водород или СН3; R5 представляет собой водород, или взятый вместе с R4 представляет собой =СН2; и R6 представляет собой тиазолил, пиримидинил или триазолил, где каждое кольцо является необязательно замещенным одной или большим количеством групп, выбранных из группы, состоящей из галогена, =O, СН=СН-(С6Н4)-OCH2CF2CHF2, и фенила, замещенного одной или большим количеством групп, выбранных из группы состоящей из CN и OCH2CF2CHF2, или фенила, замещенного одной или большим количеством групп, выбранных из группы, состоящей из галогена и метилпиразолила; который включает: (а) взаимодействие соединения формулы А-ОН, где А является тем как определено выше в формуле I, с соединением формулы III:
 где каждый R и R1 в формуле III независимо представляет собой водород или (С1-С6)алкил, и Pr представляет собой гидроксильную защитную группу; указанную реакцию проводят в инертном органическом растворителе в присутствии основания в интервале температур от приблизительно 25 до 50°С для образования первого промежуточного соединения формулы IV:
 где каждый R и R1 в формуле IV независимо представляет собой водород или (С1-С6)алкил, Pr представляет собой гидроксильную защитную группу, и А является тем, как определено в формуле I; (b) удаление защитной группы Pr из соединения формулы IV с помощью кислот в инертном органическом растворителе для образования второго промежуточного соединения формулы V:
 где каждый R и R1 в формуле V независимо представляет собой водород или (С1-С6)алкил, и А является тем, как определено в формуле I; (c) взаимодействие указанного второго промежуточного соединения формулы V с лизином в растворителе при значениях рН в диапазоне 4,2-5,5 для получения указанной монолизиновой соли формулы I; и (d) кристаллизацию указанной монолизиновой соли в растворителе для получения ее сольвата.
20. Способ по п.19, отличающийся тем, что растворитель на стадии (d) представляет собой водный раствор этанола.
21. Способ по п.19, отличающийся тем, что растворитель на стадии (d) представляет собой водный раствор изопропилового спирта.
22. Способ по п.19, отличающийся тем, что растворитель на стадии (d) представляет собой водный раствор н-пропилового спирта.
23. Способ по любому одному из пп.15 или 19, отличающийся тем, что А исходного продукта А-ОН представлен формулой (i):

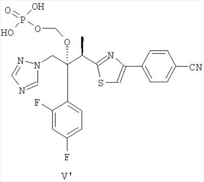
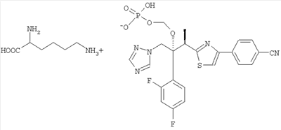
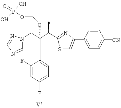
24. Монолизиновая соль дигидрофосфата ((2R,3R)-3-(4-(4-цианофенил)тиазол-2-ил)-2-(2,4-дифторфенил)-1-(1Н-1,2,4-триазол-1-ил)бутан-2-илокси)метила, имеющая структуру:
 или ее фармацевтически приемлемый сольват.
25. Монолизиновая соль или ее сольват по п.24, в кристаллической форме.
26. Сольват монолизиновой соли по п.24, который представляет собой сольват с этанолом.
27. Сольват монолизиновой соли по п.24, который представляет собой сольват с изопропиловым спиртом.
28. Сольват монолизиновой соли по п.24, который представляет собой сольват с н-пропиловым спиртом.
29. Фармацевтическая композиция для лечения грибковых инфекций, состоящая из: эффективного количества монолизиновой соли по п.24, или ее фармацевтически приемлемого сольвата; и фармацевтически приемлемого адъюванта, разбавителя или носителя.
30. Фармацевтическая композиция по п.29, которая представляет собой таблетку, капсулу, порошок, раствор, суспензию, эмульсию, мазь, лосьон, крем или спрей.
31. Способ лечения грибковых инфекций, включающий: введение эффективного противогрибкового количества монолизиновой соли по п.24, или ее фармацевтически приемлемого сольвата млекопитающему, нуждающемуся в нем.
32. Способ лечения грибковых инфекций, включающий: оральное введение эффективного противогрибкового количества монолизиновой соли по п.24, или ее фармацевтически приемлемого сольвата млекопитающему, нуждающемуся в нем.
33. Способ лечения грибковых инфекций, включающий: парентеральное введение эффективного противогрибкового количества монолизиновой соли по п.24, или ее фармацевтически приемлемого сольвата млекопитающему, нуждающемуся в нем.
34. Способ получения растворимой в воде монолизиновой соли следующей формулы:
 включающий: (а) взаимодействие соединения формулы В:
 с соединением формулы III’:
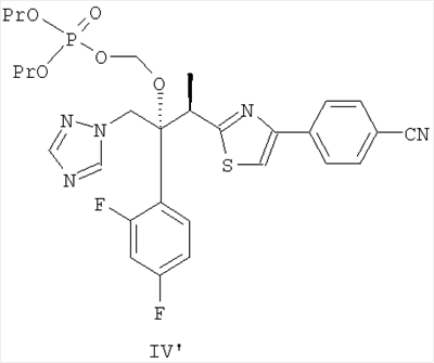
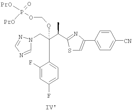
 где Pr в формуле III’ представляет собой гидроксильную защитную группу; указанную реакцию проводят в инертном органическом растворителе в присутствии основания в интервале температур от приблизительно 25 до 50°С для образования первого промежуточного соединения формулы IV’:
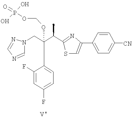
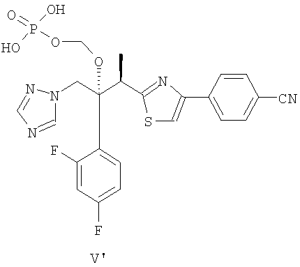
 где Pr в формуле IV’ представляет собой гидроксильную защитную группу; (b) удаление защитной группы Pr из соединения формулы IV’ с помощью кислот в инертном органическом растворителе для образования второго промежуточного соединения формулы V’:
 и (с) взаимодействие указанного второго промежуточного соединения формулы V’ с лизином в растворителе при значениях рН в диапазоне 4.2-5.5 для получения указанной монолизиновой соли.
35. Способ по п.34, отличающийся тем, что защитная группа Pr представляет собой третичный-бутил.
36. Способ по п.34 или 35, отличающийся тем, что растворитель на стадии (а) представляет собой тетрагидрофуран.
37. Способ по п.34, отличающийся тем, что основание, используемое на стадии (а), представляет собой гидрид натрия.
38. Способ получения растворимого в воде сольвата монолизиновой соли, имеющего формулу:
 включающий: (а) взаимодействие соединения формулы В:
 с соединением формулы III’:
 где Pr в формуле III’ представляет собой гидроксил-защитную группу; в инертном органическом растворителе в присутствии основания в интервале температур от приблизительно 25 до 50°С для образования первого промежуточного соединения формулы IV’:
 где Pr в формуле IV’ представляет собой гидроксил-защитную группу; (b) удаление защитной группы Pr из соединения формулы IV’ с помощью кислот в инертном органическом растворителе для образования второго промежуточного соединения формулы V’:
 (c) взаимодействие указанного второго промежуточного соединения формулы V’ с лизином в растворителе при значениях рН в диапазоне 4,2-5,5 для получения монолизиновой соли; и (d) кристаллизацию указанной монолизиновой соли в растворителе для получения ее сольвата.
39. Способ по п.38, отличающийся тем, что растворитель на стадии (d) представляет собой водный раствор этанола.
40. Способ по п.38, отличающийся тем, что растворитель на стадии (d) представляет собой водный раствор изопропилового спирта.
41. Способ по п.38, отличающийся тем, что растворитель на стадии (d) представляет собой водный раствор н-пропилового спирта.
42. Применение монолизиновой соли по любому одному из пп.1-9 для производства средства для лечения грибковых инфекций.
43. Применение монолизиновой соли по п.24 для производства средства для лечения грибковых инфекций.
РИСУНКИ
|
|