|
|
(21), (22) Заявка: 2007135363/04, 23.02.2006
(24) Дата начала отсчета срока действия патента:
23.02.2006
(30) Конвенционный приоритет:
25.02.2005 US 60/656,802
(43) Дата публикации заявки: 27.03.2009
(46) Опубликовано: 20.09.2010
(56) Список документов, цитированных в отчете о поиске:
GOEL S.С. ET AL, Cyclic compounds of boron: alkenoxyboroxins, Synthesis and reactivity in inorganic and metal-organic chemistry, 1980, 10 (6), 591-600. WO 98/42802 A, 01.10.1998. RU 2159255 C2, 20.11.2000.
(85) Дата перевода заявки PCT на национальную фазу:
25.09.2007
(86) Заявка PCT:
EP 2006/060237 20060223
(87) Публикация PCT:
WO 2006/089937 20060831
Адрес для переписки:
129090, Москва, ул.Б.Спасская, 25, стр.3, ООО “Юридическая фирма Городисский и Партнеры”, пат.пов. Е.Е.Назиной
|
(72) Автор(ы):
ТИЦ Роджер (US), БЛЯХМАН Ефим (US), БРАЙАНТ Марк (US), ЛИН Бор-Шэн (US), ОРСЕР Дейв (US), ВАЙДМАНН Ульрих (CH)
(73) Патентообладатель(и):
ХАНТСМАН ЭДВАНСТ МАТИРИАЛЗ (СВИТЗЕРЛАНД) ГМБХ (CH)
|
(54) ПРОИЗВОДНЫЕ БОРОКСИНА В КАЧЕСТВЕ ОГНЕЗАЩИТНЫХ СОЕДИНЕНИЙ
(57) Реферат:
Изобретение относится к соединению, содержащему бороксиновый цикл, в котором атомы бора данного цикла имеют заместитель, содержащий оксифункцию, связанную с (1) атомом бора и с (2) ненасыщенной не ароматической частью, содержащей тройную углерод-углеродную связь. Также предложены способ получения данного соединения, применение соединения, огнестойкая композиция полимерной смолы и изделие. Изобретение позволяет получить соединения, обладающие пониженной воспламеняемостью при сохранении механических и термических характеристик. 5 н. и 8 з.п. ф-лы, 4 табл.
ОБЛАСТЬ ТЕХНИКИ
Данное изобретение касается соединений – производных бороксина – и их применения в качестве огнезащитных соединений в полимерных смолах, в частности в термореактивных полимерных смолах.
УРОВЕНЬ ТЕХНИКИ ИЗОБРЕТЕНИЯ
Огнестойкость полимерных смол, в частности термореактивных полимерных смол, таких как, например, эпоксидные, бензоксазиновые, цианатные или полиимидные (а также термопластические) смолы, еще недостаточна для многих применений. Чтобы сделать полимерные смолы огнестойкими, необходимо добавление бром-, фосфор- или хлорсодержащих соединений или наполнителей. Очень часто предлагаемые растворы для придания композиции огнестойкости основаны на инертных наполнителях или галогенсодержащих соединениях, или других добавках, которые имеют, как правило, один или несколько недостатков:
– они представляют собой инертные материалы, не реагирующие в массе, и, следовательно, могут вызывать проблемы с точки зрения обработки;
– они снижают термические характеристики смол;
– они могут быть нерастворимыми в органических растворителях;
– им часто не хватает технологической гибкости для введения более чем в один тип смол;
– токсичные газы могут образовываться при горении, особенно когда присутствуют галогенированные соединения.
Поэтому предпочтительно, когда огне-, теплостойкие полимерные смолы свободны от галогенсодержащих соединений.
Бороксины стали известны как сокатализаторы для получения катализаторов полимеризации алкенов. Главным образом триметоксибороксины использовались для этой цели, ср. US 20030207757. Данные соединения также известны своей способностью захватывать анионы солей, ср. ЕР 898319. Защитные покрытия с использованием соединений бора также были изготовлены, ср. ЕР 791029. WO 2003011583 описывает систему, основанную на триметоксибороксине, которая способна увеличивать межслойную адгезию, US 4343928 описывает прозрачные композиты, включающие в себя прозрачный теплостойкий промежуточный слой, образованный из эпоксидной смолы, триметоксибороксина и фенилзамещенного алкильного спирта, особенно бензилового спирта.
Обработка древесины с использованием соединений бора, которые действуют так же, как огнезащитные соединения, описана в WO 2002102560.
Эфиры бороновой кислоты стали известны как огнезащитные соединения, ср. WO 200026288.
Кроме того, триметоксибороксины использовали в расширяющихся системах, ср. US 5474721.
Галогензамещенные бороксины упоминали в качестве огнезащитных композиций, ср. WO 9842802.
СУЩНОСТЬ ИЗОБРЕТЕНИЯ
Неожиданно было обнаружено, что изделия, изготовленные из полимерных смол, в частности из термореактивных полимерных смол, содержащие производные бороксина с, по меньшей мере, одним атомом бора, замещенным оксипроизводным алифатической ненасыщенной цепи, такие как, например, трипропаргилбороксин, могут демонстрировать значительно пониженную воспламеняемость при сохранении механических и термических характеристик. Поэтому такие изделия особенно пригодны для применения в аэрокосмических, промышленных, электронных и других приложениях, таких как автомобилестроение, адгезивы, материалы для уплотнений, препреги и ламинаты, покрытия и РСВ. Их также можно получать с использованием технологий нагнетания, таких как ЛПС (литьевое прессование смол) или вакуумное ЛПС (ВЛПС).
ПОДРОБНОЕ ОПИСАНИЕ ИЗОБРЕТЕНИЯ
Объект настоящего изобретения представляет собой соединение (А), содержащее бороксиновый цикл, в котором, по меньшей мере, один из 3 атомов бора данного цикла несет заместитель, содержащий оксифункцию, связанную с (1) атомом бора и (2) с фрагментом, содержащим ненасыщенную, неароматическую, углерод-углеродную связь. Данный фрагмент (2) также может называться частью, содержащей ненасыщенную, неароматическую, углерод-углеродную связь.
Согласно правилам ИЮПАК алифатическое соединение представляет собой “ациклическое или циклическое, насыщенное или ненасыщенное углеродное соединение, исключая ароматическое соединение”.
Предпочтительно, заместитель представляет собой оксипроизводное ненасыщенного алифатического соединения.
Предпочтительно, соединение согласно данному изобретению представляет собой либо алкеноксибороксин, содержащий, по меньшей мере, одну углерод-углеродную двойную связь, либо, более предпочтительно, алкиноксибороксин, содержащий, по меньшей мере, одну углерод-углеродную тройную связь.
Предпочтительно, заместитель имеет общую формулу типа
-О-(CR1R2)n-[C((R3)oR4) C((R5)pR6)],
где
обозначает ненасыщенную связь;
n 0, и когда n>1, R1 и/или R2 могут быть разными на каждом из n атомов углерода;
о=р=0, когда ненасыщенная связь представляет собой тройную углерод-углеродную связь, или о=р=1, когда ненасыщенная связь представляет собой двойную углерод-углеродную связь;
каждый от R1 до R6 независимо представляет собой Н или любое другое органическое или неорганическое производное. Предпочтительно n равно от 1 до 20, предпочтительно n=1.
Если заместитель представляет собой алкеноксипроизводное, его предпочтительно не выбирают среди следующего списка: трис(2-пропенилокси)-, трис(3-бутенилокси)-, трис(2-бутенилокси)-, трис[(2-метил-2-пропенил)окси]-, трис[(1-метил-2-пропенил)окси]-, трис(4-пентенилокси)-, трис[(1-метил-3-бутенил)окси]-, трис[(1-метил-2-бутенил)окси]-, трис[(1-этил-2-бутенил)окси]-, трис(9-октадеценилокси).
Ненасыщенная связь заместителя предпочтительно располагается близко к бороксиновому циклу. Считается, что отсутствие длинной алифатической цепи благоприятно с точки зрения стабильности и диспергируемости или растворимости бороксинового производного в матрице смолы. Поэтому предпочтительно, когда в общей формуле n=1.
Заместитель содержит ненасыщенную связь, которая не является частью ароматического фрагмента. Предпочтительно, заместитель не содержит ароматического цикла, более предпочтительно, он не содержит какого-либо цикла.
Не связывая себя какой-либо теорией, изобретатели считают, что это позволяет ненасыщенной связи принимать участие в последующей полимеризации смолы, которая увеличивает распространение соединения (а) по отвержденной смоле и может играть роль в обеспечении соответствующей огне- или термостойкости.
Предпочтительно, ненасыщенная связь заместителя представляет собой тройную углерод-углеродную связь. Предпочтительно, все 3 атома кислорода бороксинового цикла замещены. Это гарантирует, что большое количество ненасыщенных фрагментов доступно для участия в дальнейшей полимеризации смолы. Предпочтительно, заместители на атомах углерода, участвующих в ненасыщенной связи или расположенных по соседству, все представляют собой водород. Считается, что это способствует соответствующей стабильности соединения и его диспергируемости и совместимости в смолах.
Другой объект данного изобретения представляет собой способ получения соединения (А), причем данный способ содержит замену, по меньшей мере, одного алкокси-фрагмента триалкоксибороксина на ненасыщенный алифатический спиртовой фрагмент, предпочтительно алкенильный или алкинильный спиртовой фрагмент, предпочтительно путем нагрева.
Предпочтительно, все 3 алкоксифрагмента триалкилбороксина замещены.
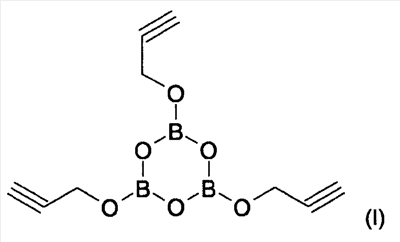
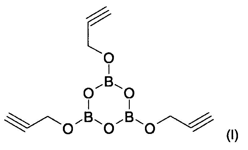
Предпочтительный объект настоящего изобретения представляет собой соединение формулы

трипропаргилбороксина, также называемого триспропаргилбороксин.
Удобный способ приготовления соединения формулы (I) содержит замену алкокси-фрагмента триалкоксибороксина на фрагменты пропаргилового спирта путем нагрева. Предпочтительно, триалкоксибороксин и пропаргиловый спирт реагируют в мольном отношении приблизительно от 1 до 3 с до 25% по массе избытка пропаргилового спирта. Предпочтительно, триалкоксибороксин представляет собой три-С1-С4-алкоксибороксин, и, наиболее предпочтительно, применяют триметоксибороксин, и полученный метанол отгоняют.
Другой объект настоящего изобретения заключается в использовании соединения (А) в способе получения огнестойких отливок, препрегов, ламинатов или систем нагнетания, которые основаны на полимерных смолах, в частности на термореактивных полимерных смолах.
Огнестойкость в контексте средств настоящего изобретения предпочтительно удовлетворяет критерию V0 стандарта UL 94 (способ тестирования “Underwrites Laboratory” UL 94).
Свойства полимерных смол, получаемых, как описано выше, могут быть приспособлены для конкретного применения путем добавления обычных добавок. Особенно важны следующие добавки:
армирующие волокна, такие как стеклянные, кварцевые, углеродные, минеральные или синтетические волокна (Keflar, Nomex), природные волокна (такие как лен, джут, сизаль, пенька) в обычных формах коротких волокон, штапельных волокон, нитей, тканей и рогож;
пластификаторы, особенно соединения фосфора;
сажа или графит;
наполнители;
красители;
полые микросферы;
металлические порошки.
Способы, известные для полимерных смол, в частности для термореактивных полимерных смол, такие как горячее прессование препрегов, ЛФС (листовое формованное соединение); формование; литье; намотка волокна; технологии нагнетания или вакуумной пропитки (ЛПС, ВЛПС) пригодны для получения композиций согласно данному изобретению. В отношении вакуумной пропитки особенно применимы очень мелкоизмельченные добавки, имеющие размер части от 0,2 до 0,001 мм.
Масса огнезащитного соединения, применяемого в композиции, будет зависеть от эффективности этого компонента в данном составе для достижения желательного критерия V0 согласно стандарту UL-94. Нужно принимать во внимание диапазон масс от 0,1 до 50% массы соединения (А), основываясь на композиции смолы. Особенно подходящая композиция содержит больше чем 1 и, более предпочтительно, больше чем 5% по массе относительно композиции смолы.
Другой объект настоящего изобретения представляет собой композицию полимерной смолы, в частности композицию термореактивной полимерной смолы, содержащую эпоксидную, бензоксазиновую, цианатную или полиимидную смолу и соединение (А). Подходящие композиции могут включать в себя смеси полимерных смол, в частности смеси термореактивных полимерных смол.
Типичные эпоксидные смолы, которые являются особенно пригодными, представляют собой эпоксидные смолы на основе бисфенола А и бисфенола F, эпоксидный крезольный новолак, эпоксидный фенольный новолак и циклоалифатические эпоксидные смолы. Особенно применимы эпоксидные смолы, которые являются коммерчески доступными, которые включают в себя, например, многофункциональные эпоксидные смолы (Tactix 742, Tactix 556 и Tactix 756, РТ 810, MY 720 и MY 0500).
Типичные бензоксазиновые смолы, которые особенно применимы, представляют собой бензоксазины на основе бисфенола А и бисфенола F, тиодифенолбензоксазины, бензоксазины на основе фенолфталеина или имеющие дициклопентадиеновую структуру, а также сульфонбензоксазины. Подходящие альдегидные реагенты включают в себя парообразный формальдегид; параформ; полиоксиметилен; а также альдегиды, имеющие общую формулу RCHO, где R является алифатическим, включая смеси таких альдегидов, желательно имеющих от 1 до 12 атомов углерода. Подходящие аминовые реагенты требуют, по меньшей мере, одну первичную аминогруппу. Также возможно, что фенольное соединение может иметь один или несколько аминовых заместителей.
Типичные цианатные смолы, которые являются особенно пригодными, могут быть выбраны из арильных соединений, имеющих, по меньшей мере, одну цианатную эфирную группу на каждой молекуле, и в целом могут быть выражены формулой Ar(OCN)m, где m равно целому числу от 2 до 5, и Ar представляет собой ароматический радикал. Ароматический радикал Ar должен содержать, по меньшей мере, 6 атомов углерода и может быть производным, например, ароматических углеводородов, таких как бензол, бифенил, нафталин, антрацен, пирен или подобные. Ароматический радикал Ar также может быть производным полиядерного ароматического углеводорода, в котором, по меньшей мере, два ароматических кольца соединены вместе через мостиковую группу. Также включаются ароматические радикалы, производные от фенольных смол новолакового типа, т.е. цианатные эфиры этих фенольных смол. Ароматический радикал Ar также может содержать дополнительные, присоединенные к кольцу, нереакционноспособные заместители.
Примеры таких цианатных эфиров включают в себя, например, 1,3-дицианатобензол; 1,4-дицианатобензол; 1,3,5-трицианатобензол; 1,3-, 1,4-, 1,6-, 1,8-, 2,6- или 2,7-дицианатонафталин; 1,3,6-трицианатонафталин; бис(4-цианатофенил)метан и 3,3′,5,5′-тетраметилбис(4-цианатофенил)метан; 2,2-бис(3,5-дихлор-4-цианатофенил)пропан; 2,2-бис(3,5-дибром-4-дицианатофенил)пропан; бис(4-цианатофенил)эфир; бис(4-цианатофенил)сульфид; 2,2-бис(4-цианатофенил)пропан; трис(4-цианатофенил)фосфит; трис(4-цианатофенил)фосфат; бис(3-хлор-4-цианатофенил)метан; цианатированный новолак; 1,3-бис[4-цианатофенил1-1(метилиден)]бензол и цианатированный, бисфенол-терминатный поликарбонат или другой термопластический олигомер.
Другие сложные эфиры цианатов включают в себя цианаты, описанные в патентах США  4477629 и 4528366, описание каждого из которых определенно включено сюда посредством ссылки; сложные эфиры цианатов, описанные в патенте Великобритании 1305702, и сложные эфиры цианатов, описанные в международной патентной публикации WO 85/02184, описание каждого из которых определенно включено сюда посредством ссылки.
Особенно пригодными цианатными смолами являются те, которые являются коммерчески доступными и которые включают в себя, например, материалы на основе бисфенола А и бисфенола Е.
Типичными полиимидными смолами термопластического полиимидного типа, которые особенно пригодны, являются те, которые имеют общую формулу (1), в которой а равно целому числу больше 1, например, в интервале от приблизительно 10 до приблизительно 10000 или больше; и V представляет собой четырехвалентное связующее без ограничения до тех пор, пока данное связующее не препятствует синтезу или применению термопластического полиимида:

Подходящие связующие включают в себя, но не ограничиваются ими: (а) замещенные или незамещенные, насыщенные, ненасыщенные или ароматические моноциклические и полициклические группы, имеющие от приблизительно 5 до приблизительно 50 атомов углерода, (b) замещенные или незамещенные, линейные или разветвленные, насыщенные или ненасыщенные алкильные группы, имеющие от 1 до приблизительно 30 атомов углерода; или их комбинации. Подходящие заместители и/или связующие включают в себя простые эфиры, эпоксиды, амиды, сложные эфиры и их комбинации, но не ограничиваются ими. Предпочтительные связующие включают в себя, но не ограничиваются ими, четырехвалентные ароматические радикалы формулы (2), такие как

где W представляет собой двухвалентный фрагмент, выбранный из группы, состоящей из -О-, -S-, -С(О)-, -SO2-, CYH2Y (y равно целому числу от 1 до 5) и их галогенированных производных, включая перфторалкиленовые группы или группы формулы -О-Z-О-, где двухвалентные связи -О- или -О-Z-О-группы находятся в положениях 3,3′, 3,4′, 4,3′ или 4,4′ и где Z включает в себя двухвалентные радикалы формулы (3), но не ограничивается ими.

где Q включает в себя, но не ограничивается, двухвалентный фрагмент, выбранный из группы, состоящей из -О-, -S-, -С(О)-, -SO2-, CyH2y (y равно целому числу от 1 до 5) и их галогенированных производных, включая перфторалкиленовые группы.
R в формуле (1) включает в себя, но не ограничивается, замещенные или незамещенные двухвалентные органические радикалы, такие как: (а) ароматические углеводородные радикалы, имеющие от приблизительно 6 до приблизительно 20 атомов углерода, и их галогенированные производные; (b) прямые или разветвленные алкиленовые радикалы, имеющие от приблизительно 2 до приблизительно 20 атомов углерода; (с) циклоалкиленовые радикалы, имеющие от приблизительно 3 до приблизительно 20 атомов углерода, или (d) двухвалентные радикалы общей формулы (4)

где Q такое же, как определено выше.
Особенно пригодными полиимидными смолами являются бисмалеимидные смолы, особенно те, которые включают в себя, например, 4,4′-метилен-бис-(N-фенилмалеимид) и производные 4,4′-метилен-бис-(N-фенилмалеимида), и диаллилбисфенол А (аллильная группа в ортоположении к фенольному ОН).
Кроме того, можно внедрять наполнители, подобные полифосфатам аммония и неорганическим и органическим фосфорным соединениям, как описано в ЕР 356379 и US 5200452.
В другом объекте данное изобретение обеспечивает изделие, получаемое путем отверждения композиции полимерной смолы, содержащей эпоксидную, бензоксазиновую, цианатную или полиимидную смолу и соединение (А).
В другом объекте данное изобретение касается производных бороксина, например трипропаргилбороксина, получения упомянутых соединений и применения в качестве огнезащитных соединений в полимерных смолах, в частности в термореактивных полимерных смолах.
Данные композиции особенно пригодны для изготовления электрических ламинатов и других композитов из армирующего волокна и смолы матрицы. Примеры применимых способов обычно содержат следующие этапы.
Способ пропитки на основе растворителя
1. Композицию полимерной смолы наносят на подложку или пропитывают ее, используя вальцевание, внедрение, погружение, распыление, другие известные технологии и/или их комбинации. Подложка обычно представляет собой тканый или нетканый волокнистый мат, содержащий, например, стекловолокно или бумагу.
2. Пропитанную подложку подвергают “стадии В” путем нагрева при температуре, достаточной, чтобы удалить растворитель в композиции полимерной смолы и возможно частично отвердить композицию полимерной смолы, чтобы пропитанную подложку можно было легко перемещать. Этап “стадии В” обычно выполняют при температуре от 90°С до 210°С и в течение времени от 1 минуты до 15 минут. Пропитанную подложку, которая прошла “стадию В”, называют “препрег”. Температура, как правило, составляет 100°С для композитов и от 130°С до 200°С для электрических ламинатов.
3. Один или несколько листов препрега упаковывают или укладывают в перемещающиеся слои с одним или несколькими листами проводящего материала, такого как медная фольга, если желателен электрический ламинат.
4. Уложенные слои прессуют при высоких температуре и давлении в течение времени, достаточного, чтобы отвердить смолу и образовать ламинат, и удалить воздух и растворители. Температура данного этапа ламинирования составляет обычно от 100°С до 250°С и, наиболее часто, от 165°С до 200°С. Этап ламинирования также можно выполнять в две или несколько стадий, таких как первая стадия от 100°С до 150°С и вторая стадия от 165°С и 200°С. Давление обычно составляет от 50 Н/см2 до 500 Н/см2. Этап ламинирования обычно выполняют в течение времени от 1 минуты до 200 минут и, наиболее часто, в течение от 45 минут до 90 минут. Этап ламинирования можно выполнять при больших температурах в течение меньшего времени (так как в способах непрерывного ламинирования) или в течение большего времени при меньших температурах (так как в способах прессования малой мощности).
5. Необязательно, полученный ламинат, например плакированный медью ламинат, можно дополнительно обрабатывать путем нагрева в течение некоторого времени при высокой температуре и окружающем давлении. Температура данной постобработки обычно составляет от 120°С до 250°С. Время постобработки обычно составляет от 30 минут до 16 часов.
ПРИМЕРЫ
Все тесты выполняли согласно IPC ТМ 650.
Способы тестирования IPC представляют собой стандарт промышленности электрических ламинатов (The Institute For Interconnection and Packaging Electronic Circuits, 3451 Church Street, Evanston, Illinois 60203), как приведено в таблице 1.
| Таблица 1 |
| Способ |
Номер способа тестирования IPC |
| Реакционная способность (лак) |
IPC-ТМ-650-5.410 |
| Время покоя геля при 170°С, секунды |
IPC-ТМ-650-2.3.18 |
| Mil Flow, массовый процент |
IPC-ТМ-650-2.3.17 |
| Температура стеклования, Tg[°C] |
IPC-ТМ-650-2.4.25 |
| Прочность на отрыв меди |
IPC-ТМ-650-2.4.8 |
| Автоклавный тест, массовый процент захвата воды и процент прохождения бани с расплавленным металлом при 260°С |
IPC-ТМ-650-2.6.16 |
| UL-94 стандарт |
IPC-ТМ-650-2.3.10 |
А) Приготовление трипропаргилбороксина (соединение (I))
Смесь 3 молей пропаргилового спирта и 1 моля триметоксибороксина нагревают до температуры 120-150°С до прекращения дистилляции метанола.
Точка кипения: 85-88°С (при 10 мм рт. ст.)
В) Ламинаты
Стекловолокнистые ламинатные композиции изготавливают с помощью способа пропитки с растворителем. Компоненты растворяют в растворителе и затем наносят на ткань 7628, промышленное стандартное стекловолокно тканого типа, определяемое стеклопряжей, толщиной и высотой стеклоткани (Porcher SA 7628; с силановым или полиимидным окончанием). Растворитель затем испаряют и композицию подвергают стадии В. Препрег с медью затем ламинируют при нагреве и давлении, получая плакированный медью ламинат (таблица 3). Температура горячего воздуха в печи составляет 150-180°С, и время осуществления стадии В лежит в диапазоне от 2 до 5 секунд. Данные ламинаты затем оценивают на их термические и огнестойкие характеристики.
Все характеристики основаны на ламинате с 8 слоями стеклоткани 7628 согласно IPC TMI 3949. Ламинаты всегда имеют слои стекловолокна, ориентированные так, что все слои лежат в одном направлении заполнения и искривления.
Таблица 2 Ламинированные композиции |
 |
A |
B |
C |
D |
E |
| 4,4′-метилен-бис-(N-фенилмалеимид) |
35,32* |
33,24* |
29,44* |
60,2 |
58,22 |
| диаллилбисфенол А |
26,93* |
25,35* |
22,45* |
38,1 |
36,77 |
| тиоциануровая кислота |
0,5 |
0,56 |
0,5 |
0,5 |
0,5 |
| фенотизин |
 |
1,6 |
1,4 |
1,7 |
 |
| тетрабромбисфенол А (поликарбонат) олигомер |
9,85 |
 |
 |
 |
 |
| соединение (I) |
 |
18,9 |
28,5 |
 |
5,01 |
“жирные”: согласно настоящему изобретению *: продвинутая смола на основе 4,4′-метилен-бис-(N-фенилмалеимида) и диаллилбисфенола А |
| Таблица 3 |
| Исходная температура прессования |
Комнатная температура |
| Скорость нагрева, °C/мин |
3-5 |
| Давление, ф/кв.дюйм |
50 |
| Конечная температура прессования |
218°С |
| Время при температуре прессования |
120 минут |
| Последующее отверждение [2 часа] |
218°С |
| Таблица 4 |
| Свойства |
А |
В |
С |
D |
Е |
| Температура стеклования [°С] |
240-250 |
277,5 |
219,3 |
236,0 |
272. |
| СТЕ [ч/млн °С] |
20-80 |
50,4 |
18,6 |
35,5 |
59,4 |
| Т288 [мин] |
>60 |
>60 |
20,0 |
>60 |
>60 |
| Начало разложения [°С] |
330-360 |
407,0 |
373 |
407 |
433. |
| Потеря массы [%] |
1-2 |
3,16 |
2,75 |
0,71 |
1,97 |
| (поведение при горении) |
V0 |
V0 |
V0 |
V1 |
V0 |
| Полное время горения [с] |
15-30 |
13,6 |
10,1 |
84,2 |
48 |
| “жирные”: согласно настоящему изобретению |
Формула изобретения
1. Соединение, содержащее бороксиновый цикл, в котором атомы бора данного цикла имеют заместитель, содержащий окси-функцию, связанную с (1) атомом бора и с (2) ненасыщенной, не ароматической частью, содержащей тройную углерод-углеродную связь.
2. Соединение по п.1, которое содержит алкинокси заместитель.
3. Соединение по п.1 или 2, которое представляет собой трипропаргилбороксин формулы
.
4. Способ получения соединения по п.1 или 2, содержащий замену фрагмента алкоксибороксина на фрагмент ненасыщенного алифатического спирта путем нагрева.
5. Способ получения по п.4, содержащий замену 3 алкокси-фрагментов триалкоксибороксина фрагментами пропаргилового спирта путем нагрева с образованием трипропаргилбороксина.
6. Способ получения по п.5, в котором триалкоксибороксин и пропаргиловый спирт реагируют в мольном отношении приблизительно от 1 до 3 при до 25% по массе избытке пропаргилового спирта.
7. Способ получения по п.5, в котором триалкоксибороксин представляет собой три-С1-С4-алкоксибороксин, предпочтительно триметоксибороксин.
8. Применение соединения, содержащего бороксиновый цикл, в котором атомы бора имеют алкинокси заместитель, в способе получения огнестойких изделий, предпочтительно отливок или ламинатов на основе полимерных смол.
9. Огнестойкая композиция полимерной смолы, содержащая смолу, выбранную из группы, включающей: эпоксидную смолу на основе бензоксазина, смолу, содержащую цианатные эфирные группы, полиимидную смолу и соединение, содержащее бороксиновый цикл, в котором атомы бора имеют алкинокси заместитель.
10. Композиция по п.9, содержащая от 0,1 до 50% по массе соединения, содержащего бороксиновый цикл, в котором атомы бора имеют алкинокси заместитель.
11. Композиция по п.9, содержащая больше, чем 1% по массе соединения, содержащего бороксиновый цикл, в котором атомы бора имеют алкинокси заместитель.
12. Композиция по п.9, содержащая больше, чем 5% по массе соединения, содержащего бороксиновый цикл, в котором атомы бора имеют алкинокси заместитель.
13. Изделие, получаемое путем отверждения композиции полимерной смолы согласно любому из пп.9-12.
|
|