|
|
(21), (22) Заявка: 2008140601/04, 14.10.2008
(24) Дата начала отсчета срока действия патента:
14.10.2008
(43) Дата публикации заявки: 20.04.2010
(46) Опубликовано: 20.09.2010
(56) Список документов, цитированных в отчете о поиске:
1, с.64-75. ШПАКОВ А.О. и др. Исследование молекулярных механизмов действия релаксина на аденилатциклазную сигнальную систему с применением синтетических пептидов, производных релаксинового рецептора LGR7. – Российский физиологический журнал им. И.М.Сеченова: Санкт-Петербургская издательская фирма, Наука, РАН, 2006, т.92, 5, с.521-535. RU 2008139495, 06.10.2008.
Адрес для переписки:
141400, Московская обл., г. Химки, ул. Рабочая, 2а, корп.1, ЦВТ “ХимРар”, Н.М. Шмаковой
|
(72) Автор(ы):
Иващенко Александр Васильевич (US), Савчук Николай Филиппович (RU), Иващенко Андрей Александрович (RU)
(73) Патентообладатель(и):
Иващенко Андрей Александрович (RU), АЛЛА ХЕМ, ЛЛС (US)
|
(54) ЗАМЕЩЕННЫЕ 2-АЛКИЛАМИНО-3-СУЛЬФОНИЛ-ПИРАЗОЛО[1,5-a]ПИРИМИДИНЫ, АНТАГОНИСТЫ СЕРОТОНИНОВЫХ 5-HT6 РЕЦЕПТОРОВ, СПОСОБЫ ИХ ПОЛУЧЕНИЯ И ПРИМЕНЕНИЯ
(57) Реферат:
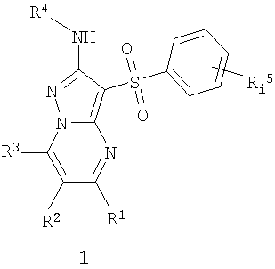
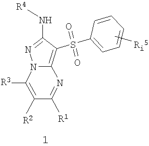
Данное изобретение относится к новым замещенным 2-алкиламино-3-сульфонил-пиразоло[1,5-а]пиримидинам, их фармацевтически приемлемым солям и/или гидратам, которые обладают свойствами антагонистов серотониновых 5-НТ6 рецепторов, и может быть использовано при лечении и предупреждении развития различных заболеваний центральной нервной системы, патогенез которых связан с 5-НТ6 рецепторами, в частности болезни Альцгеймера, болезни Паркинсона, болезни Гангтинтона, шизофрении, других нейродегенеративных заболеваний, когнитивных и тревожных расстройств и ожирения. В общей формуле 1 
R1 и R3 независимо друг от друга представляют собой необязательно одинаковые C1-С3 алкил, а R2 представляет собой группу -(СН2)nX или R1 и R3 независимо друг от друга представляют собой разные заместители, выбранные из C1-С3 алкила или группы -(СН2)nX, а R2 представляет собой атом водорода или C1-С3 алкил; R4 представляет собой C1-С3 алкил; Ri 5 представляет собой атом водорода, один или два одинаковых или разных атома галогена, C1-С3 алкил; i представляет собой число 0, 1 или 2; n представляет собой число 0, 1, 2 или 3; X представляет собой карбоксил СО2Н, C1-С3алкилоксикарбонил, аминокарбонил CONR6R7 или аминогруппу NR6R7; R6 и R7 представляют собой необязательно одинаковые атом водорода, необязательно замещенный C1-С3 алкил, С3-С7циклоалкил или необязательно замещенный 5-7-членный азагетероциклил, содержащий 1-2 атома азота в цикле, где заместители выбираются из C1-С3 алкила; или R6 и R7 вместе с атомом азота, с которым они связаны, образуют необязательно замещенный 5-6-членный азагетероциклил, содержащий 1-2 атома азота в цикле, где заместители выбираются из C1-С3 алкила. 16 н. и 10 з.п. ф-лы, 12 ил., 4 табл.
Текст описания приведен в факсимильном виде.                                                        
Формула изобретения
1. Замещенные 2-алкиламино-3-арилсульфонил-пиразоло[1,5-а]пиримидины общей формулы 1 и их фармацевтически приемлемые соли и/или гидраты,
 где R1 и R3 независимо друг от друга представляют собой необязательно одинаковые C1-С3 алкил, а R2 представляет собой группу -(СН2)nX или R1 и R3 независимо друг от друга представляют собой разные заместители, выбранные из C1-С3 алкила или группы -(CH2)nX, а R2 представляет собой атом водорода или C1-С3 алкил; R4 представляет собой C1-С3 алкил; Ri 5 представляет собой атом водорода, один или два одинаковых или разных атома галогена, C1-С3 алкил; i представляет собой число 0, 1 или 2; n представляет собой число 0, 1, 2 или 3; X представляет собой карбоксил CO2H, C1-С3алкилоксикарбонил, аминокарбонил CONR6R7 или аминогруппу NR6R7; исключая соединения, в которых R3 представляет собой группу -(CH2)nX, где Х – аминогруппа NR6R7, а n=0; и соединения, в которых R2 представляет собой группу -(СН2)nX, где Х – аминогруппа NR6R7, а n=0; R6 и R7 представляют собой необязательно одинаковые атом водорода, необязательно замещенный C1-С3 алкил, С3-С7циклоалкил или необязательно замещенный 5-7-членный азагетероциклил, содержащий 1-2 атома азота в цикле, где заместители выбираются из C1-С3 алкила; или R6 и R7 вместе с атомом азота, с которым они связаны, образуют необязательно замещенный 5-6-членный азагетероциклил, содержащий 1-2 атома азота в цикле, где заместители выбираются из C1-С3 алкила.
2. Соединения по п.1, представляющие собой эфиры общей формулы 1.1, 1.2 или 1.3 и их фармацевтически приемлемые соли и/или гидраты
   где n и Ri 5 имеют вышеуказанное значение.
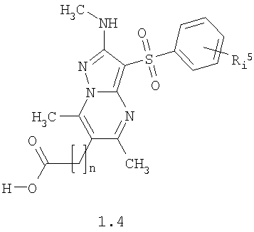
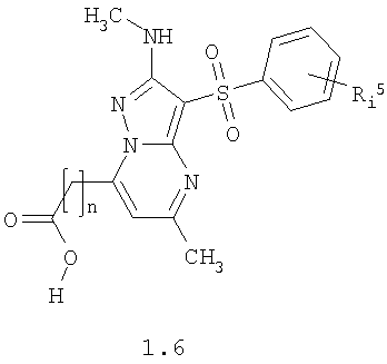
3. Соединения по п.1, представляющие собой кислоты общей формулы 1.4, 1.5 или 1.6 и их фармацевтически приемлемые соли и/или гидраты
   где n и Ri 5 имеют вышеуказанное значение.
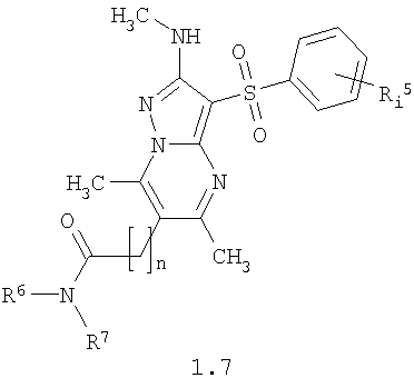
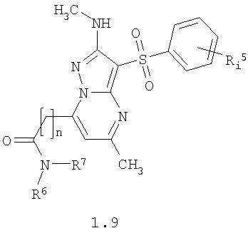
4. Соединения по п.1, представляющие собой амиды общей формулы 1.7, 1.8 или 1.9 и их фармацевтически приемлемые соли и/или гидраты
   где n, Ri 5, R6 и R7 имеют вышеуказанное значение.
5. Соединения по п.1, представляющие собой диамины общей формулы 1.10, 1.11 или 1.12 и их фармацевтически приемлемые соли и/или гидраты
   где Ri 5, R6 и R7 имеют вышеуказанное значение, n равно 1, 2, 3.
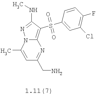
6. Соединения по п.5, представляющие собой 6-аминометил-5,7-диметил-2-метиламино-3-фенилсульфонил-пиразоло[1,5-а]пиримидин 1.10(2), 6-(2-аминоэтил)-5,7-диметил-2-метиламино-3-фенилсульфонил-пиразоло[1,5-а]пиримидин 1.10(3), 6-(3-аминопропил)-5,7-диметил-2-метиламино-3-фенилсульфонил-пиразоло[1,5-а]пиримидин 1.10(4), 6-аминометил-5,7-диметил-2-метиламино-3-(3-хлорфенилсульфонил)-пиразоло[1,5-а]пиримидин 1.10(5), 6-аминометил-5,7-диметил-2-метиламино-3-(3-фторфенилсульфонил)-пиразоло[1,5-а]пиримидин 1.10(6), 6-аминометил-5,7-диметил-2-метиламино-3-(4-фтор-3-хлорфенилсульфонил)-пиразоло[1,5-а]пиримидин 1.10(7), 6-(2-аминоэтил)-5,7-диметил-2-метиламино-3-(3-хлорфенилсульфонил)-пиразоло[1,5-а]пиримидин 1.10(8), 6-(2-аминоэтил)-5,7-диметил-2-метиламино-3-(3-фторфенилсульфонил)-пиразоло[1,5-а]пиримидин 1.10(9), 5,7-диметил-6-диметиламинометил-2-метиламино-3-фенилсульфонил-пиразоло[1,5-а]пиримидин 1.10(10), 5,7-диметил-6-диметиламинометил-2-метиламино-3-(3-хлорфенилсульфонил)-пиразоло[1,5-а]пиримидин 1.10(11), 5,7-диметил-6-диметиламинометил-2-метиламино-3-(3-фторфенилсульфонил)-пиразоло[1,5-а]пиримидин 1.10(12), 5,7-диметил-6-диметиламинометил-2-метиламино-3-(4-фтор-3-хлорфенилсульфонил)-пиразоло[1,5-а]пиримидин 1.10(13), 5,7-диметил-6-(2-диметиламино-этил)-2-метиламино-3-фенилсульфонил-пиразоло[1,5-а]пиримидин 1.10(14), 5,7-диметил-6-(2-диметиламино-этил)-2-метиламино-3-(3-хлорфенилсульфонил)-пиразоло[1,5-а]пиримидин 1.10(15), 5,7-диметил-6-(2-диметиламино-этил)-2-метиламино-3-(3-фторфенилсульфонил)-пиразоло[1,5-а]пиримидин 1.10(16), 5,7-диметил-6-(2-диметиламино-этил)-2-метиламино-3-(4-фтор-3-хлорфенилсульфонил)-пиразоло[1,5-а]пиримидин 1.10(17), 5-аминометил-7-метил-2-метиламино-3-фенилсульфонил-пиразоло[1,5-а]пиримидин 1.11(1), 5-аминометил-7-метил-2-метиламино-3-(4-фторфенилсульфонил)-пиразоло[1,5-а]пиримидин 1.11(2), 5-(2-аминоэтил)-7-метил-2-метиламино-3-фенилсульфонил-пиразоло[1,5-а]пиримидин 1.11(3), 5-(3-аминопропил)-7-метил-2-метиламино-3-фенилсульфонил-пиразоло[1,5-а]пиримидин 1.11(4), 5-аминометил-7-метил-2-метиламино-3-(3-хлорфенилсульфонил)-пиразоло[1,5-а]пиримидин 1.11(5), 5-аминометил-7-метил-2-метиламино-3-(3-фторфенилсульфонил)-пиразоло[1,5-а]пиримидин 1.11(6), 5-аминометил-7-метил-2-метиламино-3-(4-фтор-3-хлорфенилсульфонил)-пиразоло[1,5-а]пиримидин 1.11(7), 5-(2-аминоэтил)-7-метил-2-метиламино-3-(3-хлорфенилсульфонил)-пиразоло[1,5-а]пиримидин 1.11(8), 5-(2-аминоэтил)-7-метил-2-метиламино-3-(3-фторфенилсульфонил)-пиразоло[1,5-а]пиримидин 1.11(9), 5-диметиламинометил-7-метил-2-метиламино-3-фенилсульфонил-пиразоло[1,5-а]пиримидин 1.11(10), 5-диметиламинометил-7-метил-2-метиламино-3-(3-хлорфенилсульфонил)-пиразоло[1,5-а]пиримидин 1.11(11), 5-диметиламинометил-7-метил-2-метиламино-3-(3-фторфенилсульфонил)-пиразоло[1,5-а]пиримидин 1.11(12), 5-диметиламинометил-7-метил-2-метиламино-3-(4-фтор-3-хлорфенилсульфонил)-пиразоло[1,5-а]пиримидин 1.11(13), 5-(2-диметиламино-этил)-7-метил-2-метиламино-3-фенилсульфонил-пиразоло[1,5-а]пиримидин 1.11(14), 5-(2-диметиламино-этил)-7-метил-2-метиламино-3-(3-хлорфенилсульфонил)-пиразоло[1,5-а]пиримидин 1.11(15), 5-(2-диметиламино-этил)-7-метил-2-метиламино-3-(3-фторфенилсульфонил)-пиразоло[1,5-а]пиримидин 1.11(16), 5-(2-диметиламино-этил)-7-метил-2-метиламино-3-(4-фтор-3-хлорфенилсульфонил)-пиразоло[1,5-а]пиримидин 1.11(17), 7-аминометил-5-метил-2-метиламино-3-фенилсульфонил-пиразоло[1,5-а]пиримидин 1.12(1), 7-аминометил-5-метил-2-метиламино-3-(4-фторфенилсульфонил)-пиразоло[1,5-а]пиримидин 1.12(2), 7-(2-аминоэтил)-5-метил-2-метиламино-3-фенилсульфонил-пиразоло[1,5-а]пиримидин 1.12(3), 7-(3-аминопропил)-5-метил-2-метиламино-3-фенилсульфонил-пиразоло[1,5-а]пиримидин 1.12(4), 7-аминометил-5-метил-2-метиламино-3-(3-хлорфенилсульфонил)-пиразоло[1,5-а]пиримидин 1.12(5), 7-аминометил-5-метил-2-метиламино-3-(3-фторфенилсульфонил)-пиразоло[1,5-а]пиримидин 1.12(6), 7-аминометил-5-метил-2-метиламино-3-(4-фтор-3-хлорфенилсульфонил)-пиразоло[1,5-а]пиримидин 1.12(7), 7-(2-аминоэтил)-5-метил-2-метиламино-3-(3-хлорфенилсульфонил)-пиразоло[1,5-а]пиримидин 1.12(8), 7-(2-аминоэтил)-5-метил-2-метиламино-3-(3-фторфенилсульфонил)-пиразоло[1,5-а]пиримидин 1.12(9), 7-диметиламинометил-5-метил-2-метиламино-3-фенилсульфонил-пиразоло[1,5-а]пиримидин 1.12(10), 7-диметиламинометил-5-метил-2-метиламино-3-(3-хлорфенилсульфонил)-пиразоло[1,5-а]пиримидин 1.12(11), 7-диметиламинометил-5-метил-2-метиламино-3-(3-фторфенилсульфонил)-пиразоло[1,5-а]пиримидин 1.12(12), 7-диметиламинометил-5-метил-2-метиламино-3-(4-фтор-3-хлорфенилсульфонил)-пиразоло[1,5-а]пиримидин 1.12(13), 7-(2-диметиламино-этил)-5-метил-2-метиламино-3-фенилсульфонил-пиразоло[1,5-а]пиримидин 1.12(14), 7-(2-диметиламино-этил)-5-метил-2-метиламино-3-(3-хлорфенилсульфонил)-пиразоло[1,5-а]пиримидин 1.12(15), 7-(2-диметиламино-этил)-5-метил-2-метиламино-3-(3-фторфенилсульфонил)-пиразоло[1,5-а]пиримидин 1.12(16), 7-(2-диметиламино-этил)-5-метил-2-метиламино-3-(4-фтор-3-хлорфенилсульфонил)-пиразоло[1,5-а]пиримидин 1.12(17) и их фармацевтически приемлемые соли и/или гидраты
  
  
  
  
   
   
   
  
  
  
   
   
  
  
  
7. Способ получения эфиров общей формулы 1.1 по п.2 взаимодействием 3-амино-4-сульфонил-2Н-пиразолов общей формулы 2 с соответствующими -дикарбонильными соединениями общей формулы 3,
  где n, R1, R3, R4 и Ri 5 имеют вышеуказанное значение.
8. Способ получения эфиров общей формулы 1.2, 1.3 по п.2 взаимодействием 3-амино-4-сульфонил-2Н-пиразолов общей формулы 2 с соответствующими -дикарбонильными соединениями общей формулы 4 с последующим выделением и очисткой или разделением продуктов реакции,
  где n, R1, R3, R4 и Ri 5 имеют вышеуказанное значение.
9. Способ получения кислот общей формулы 1.4, 1.5, 1.6 по п.3 гидролизом соответствующих эфиров общей формулы 1.1, 1.2, 1.3.
10. Способ получения амидов общей формулы 1.7, 1.8, 1.9 по п.4 взаимодействием соответствующих кислот общей формулы 1.4, 1.5, 1.6 или их производных с аминами общей формулы 5,
 где R6 и R7 имеют вышеуказанное значение.
11. Способ получения амидов общей формулы 1.7 по п.4 взаимодействием 3-амино-4-сульфонил-2Н-пиразолов общей формулы 2 с соответствующими -дикарбонильными соединениями общей формулы 6,
  где n, R1, R3, R4, Ri 5, R6 и R7 имеют вышеуказанное значение.
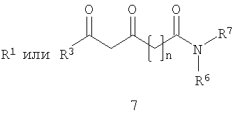
12. Способ получения амидов общей формулы 1.8, 1.9 по п.4 взаимодействием 3-амино-4-сульфонил-2Н-пиразолов общей формулы 2 с соответствующими -дикарбонильными соединениями общей формулы 7 с последующим выделением и очисткой или разделением продуктов реакции,
  где n, R1, R3, R4, Ri 5, R6 и R7 имеют вышеуказанное значение.
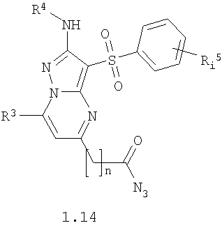
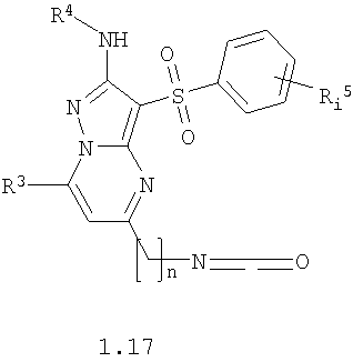
13. Способ получения аминов общей формулы 1.10, 1.11, 1.12 по любому из пп.5 и 6 последовательным превращением кислот общей формулы 1.4, 1.5, 1.6 в соответствующие ацилазиды общей формулы 1.13, 1.14, 1.15 под действием азида натрия, термическим разложением полученных азидов в изоцианаты общей формулы 1.16, 1.17, 1.18 и гидролизом последних в амины общей формулы 1.10, 1.11, 1.12 соответственно,
  
   где n, R1, R3, R4 и Ri 5 имеют вышеуказанное значение.
14. Способ получения аминов общей формулы 1.10, 1.11, 1.12 по любому из пп.5 и 6 восстановительным алкилированием соответствующих аминов общей формулы 1.10, 1.11, 1.12, в которых R6 и R7 представляют собой атом водорода, карбонильными соединениями общей формулы 8,
 где R8 и R9 представляют собой необязательно одинаковые атом водорода, необязательно замещенный C1-С3 алкил, или R8 и R9 вместе с атомом углерода, с которым они связаны, образуют необязательно замещенный C5-C7 циклоалкил или азагетероциклил, включающий один гетероатом азота и 4-6 атомов углерода.
15. Замещенные 2-алкиламино-3-арилсульфонил-пиразоло[1,5-а]пиримидины по любому из пп.1-6, обладающие свойствами антагонистов серотониновых 5-НТ6 рецепторов.
16. Замещенные 2-алкиламино-3-арилсульфонил-пиразоло[1,5-а]пиримидины по любому из пп.1-6 для изучения молекулярного механизма действия соединений по ингибированию серотониновых 5-НТ6 рецепторов.
17. Замещенные 2-алкиламино-3-арилсульфонил-пиразоло[1,5-а]пиримидины по любому из пп.1-6 в качестве лекарственного начала для фармацевтических композиций и лекарственных средств.
18. Фармацевтическая композиция, обладающая свойствами антагонистов серотониновых 5-НТ6 рецепторов, пригодная для лечения и предупреждения развития состояний и заболеваний центральной нервной системы, содержащая фармацевтически эффективное количество лекарственного начала по п.17.
19. Способ получения фармацевтической композиции по п.18 смешением с инертным наполнителем и/или растворителем лекарственного начала по п.17.
20. Лекарственное средство в форме таблеток, капсул или инъекций, помещенных в фармацевтически приемлемую упаковку, для профилактики и лечения заболеваний центральной нервной системы, патогенез которых связан с 5-НТ6 рецепторами, включающее фармацевтически эффективное количество лекарственного начала по п.17 или фармацевтической композиции по п.18.
21. Лекарственное средство по п.20 для профилактики и лечения когнитивных расстройств и нейродегенеративных заболеваний.
22. Лекарственное средство по п.20 для профилактики и лечения психических расстройств.
23. Лекарственное средство, обладающее анксиолитической активностью, по п.20 для профилактики и лечения тревожных расстройств.
24. Лекарственное средство, обладающее ноотропной активностью, по п.21 для улучшения умственных способностей.
25. Лекарственное средство по п.20 для профилактики и лечения ожирения.
26. Способ профилактики и лечения заболеваний центральной нервной системы, патогенез которых связан с 5-НТ6 рецепторами, заключающийся во введении в эффективном количестве лекарственного начала по п.17, или фармацевтической композиции по п.18, или лекарственного средства по любому из пп.20-25.
РИСУНКИ
|
|