|
|
(21), (22) Заявка: 2009114372/02, 15.04.2009
(24) Дата начала отсчета срока действия патента:
15.04.2009
(46) Опубликовано: 20.09.2010
(56) Список документов, цитированных в отчете о поиске:
RU 2312006 C1, 10.12.2007. RU 2164859 С1, 10.04.2001. RU 2066626 С1, 20.09.1996. ЕР 0120198 А1, 18.01.1984.
Адрес для переписки:
690041, Приморский край, г.Владивосток, ул. Радио, 5, Институт автоматики и процессов управления ДВО РАН (ИАПУ ДВО РАН)
|
(72) Автор(ы):
Филаретов Владимир Федорович (RU)
(73) Патентообладатель(и):
Институт автоматики и процессов управления Дальневосточного отделения Российской академии наук (статус государственного учреждения) (ИАПУ ДВО РАН) (RU)
|
(54) ЭЛЕКТРОПРИВОД РОБОТА
(57) Реферат:
Изобретение относится к робототехнике и может быть использовано для создания электроприводов роботов. Электропривод содержит последовательно соединенные первый и второй сумматоры, первый блок умножения, третий сумматор, усилитель и электродвигатель. Первый датчик скорости непосредственно связан с электродвигателем, который связан через редуктор с первым датчиком положения. Выход датчика положения соединен с первым отрицательным входом первого сумматора, подключенного вторым положительным входом ко входу устройства. Оно содержит последовательно соединенные релейный блок и четвертый сумматор, второй положительный вход которого соединен с выходом первого датчика скорости и входом релейного блока. Обеспечивает высокую динамическую точность электропривода заданной степени подвижности робота и позволяет получить стабильно высокое качество управления в любых режимах его работы. 2 ил.
Изобретение относится к робототехнике и может быть использовано при создании электроприводов роботов.
Известно устройство для управления приводом робота, содержащее последовательно соединенные первый и второй сумматоры, первый блок умножения, третий сумматор, усилитель и двигатель, связанный с первым датчиком скорости непосредственно и через редуктор – с первым датчиком положения, выход которого соединен с первым положительным входом первого сумматора, подключенного вторым входом ко входу устройства, последовательно соединенные релейный блок и четвертый сумматор, второй положительный вход которого соединен с выходом первого датчика скорости и входом релейного блока, последовательно соединенные первый задатчик сигнала и пятый сумматор, второй положительный вход которого подключен к выходу датчика массы, а выход – к второму входу первого блока умножения, последовательно соединенные второй датчик скорости, установленный в третьей степени подвижности робота, второй блок умножения и третий блок умножения, второй вход которого соединен с выходом первого датчика скорости, а выход – с третьим отрицательным входом четвертого сумматора, а также второй датчик положения, установленный в третьей степени подвижности робота, причем второй отрицательный вход второго сумматора соединен с выходом первого датчика скорости, а выход четвертого сумматора подключен ко второму положительному входу третьего сумматора, последовательно соединенные второй задатчик сигнала, шестой сумматор, четвертый блок умножения, второй вход которого через первый косинусный функциональный преобразователь соединен с выходом второго датчика положения, седьмой сумматор, второй положительный вход которого соединен с выходом третьего задатчика сигнала, и пятый блок умножения, второй вход которого соединен с выходом первого датчика ускорения, установленного в третьей степени подвижности робота, а выход подключен к четвертому положительному входу четвертого сумматора, последовательно соединенные второй синусный функциональный преобразователь, вход которого соединен со входом первого косинусного функционального преобразователя, и шестой блок умножения, второй вход которого подключен к выходу шестого сумматора, а выход – ко второму входу второго блока умножения, пятый отрицательный вход четвертого сумматора подключен к выходу седьмого блока умножения, первый вход которого соединен с выходом второго датчика скорости, а второй вход – с выходом второго блока умножения, третий положительный вход пятого сумматора соединен с выходом четвертого блока умножения, третий положительный вход седьмого сумматора подключен к выходу датчика массы и второму положительному входу шестого сумматора, последовательно соединенные восьмой сумматор, первый положительный вход которого подключен к выходу второго датчика положения, а его второй положительный вход – к выходу первого датчика положения, третий синусный функциональный преобразователь, восьмой блок умножения, девятый сумматор и девятый блок умножения, выход которого подключен к шестому положительному входу четвертого сумматора, а также второй датчик ускорения, установленный в первой степени подвижности робота, и последовательно соединенные четвертый задатчик сигнала, десятый сумматор, десятый блок умножения, второй вход которого через четвертый синусный функциональный преобразователь подключен к выходу первого датчика положения, а его выход – ко второму положительному входу девятого сумматора, последовательно соединенные пятый задатчик сигнала и одиннадцатый сумматор, второй положительный вход которого подключен к выходу датчика массы и ко второму положительному входу десятого сумматора, а его выход – ко второму положительному входу восьмого блока умножения, последовательно соединенные третий датчик ускорения, механически связанный с выходным валом двигателя, и одиннадцатый блок умножения, второй вход которого соединен с выходом второго блока умножения, а выход – с первым отрицательным входом двенадцатого сумматора, второй положительный вход которого подключен к выходу третьего датчика ускорения, а выход – к третьему положительному входу третьего сумматора, последовательно соединенные первый дифференциатор и двенадцатый блок умножения, второй вход которого соединен с выходом седьмого сумматора, а также тринадцатый блок умножения, первый вход которого подключен к выходу шестого блока умножения, второй вход – к выходу первого датчика ускорения и входу первого дифференциатора, а выход – к первому отрицательному входу тринадцатого сумматора, выход которого подключен ко входу четырнадцатого блока умножения, последовательно соединенные квадратор, пятнадцатый блок умножения, второй вход которого соединен с выходом четвертого блока умножения, и шестнадцатый блок умножения, последовательно соединенные четырнадцатый сумматор, семнадцатый блок умножения и восемнадцатый блок умножения, второй вход которого подключен к выходу одиннадцатого сумматора, последовательно соединенные пятый косинусный функциональный преобразователь, вход которого соединен с выходом первого датчика положения, девятнадцатый блок умножения, второй вход которого подключен к выходу десятого сумматора, двадцатый блок умножения и двадцать первый блок умножения, второй вход которого соединен с выходом первого датчика скорости, первым положительным входом четырнадцатого сумматора и вторым входом четырнадцатого блока умножения, последовательно соединенные шестой косинусный функциональный преобразователь, подключенный вводом к выходу восьмого сумматора, и двадцать второй блок умножения, выход которого соединен со вторым входом семнадцатого блока умножения, последовательно соединенные второй дифференциатор, подключенный входом к выходу второго датчика ускорения, и двадцать третий блок умножения, второй вход которого соединен с выходом восьмого блока умножения, а также двадцать четвертый блок умножения, первый вход которого соединен с выходом десятого блока умножения, а его второй вход – с выходом второго дифференциатора, а выход – с третьим положительным входом двенадцатого сумматора, четвертый положительный вход которого подключен к выходу двадцать третьего блока умножения, пятый положительный вход – к выходу восемнадцатого блока умножения, шестой положительный вход – к выходу двадцать первого блока умножения, седьмой положительный вход – к выходу четырнадцатого блока умножения, восьмой отрицательный вход – к выходу шестнадцатого блока умножения, девятый положительный вход – к выходу двенадцатого блока умножения, а десятый отрицательный – к выходу двадцать пятого блока умножения, первый вход которого соединен с выходом тринадцатого блока умножения, а второй вход – с выходом второго датчика скорости, входом квадратора, вторым входом шестнадцатого блока умножения и вторым положительным входом четырнадцатого сумматора, причем второй отрицательный вход тринадцатого сумматора подключен к выходу пятнадцатого блока умножения, отличающееся тем, что в него дополнительно введены последовательно соединенные шестой задатчик сигнала и пятнадцатый сумматор, второй положительный вход которого подключен к выходу второго датчика ускорения, а выход – к вторым входам девятого, двадцатого и двадцать второго блоков умножения (см. патент РФ 2312007, БИ 34, 2007 г.).
Его недостатком является то, что в нем отсутствует полная инвариантность динамических свойств рассматриваемого электропривода к непрерывным изменениям его моментных нагрузочных характеристик, поскольку в нем рассматривается робот с другой кинематической схемой.
Известно также устройство для управления приводом робота, содержащее последовательно соединенные первый и второй сумматоры, первый блок умножения, третий сумматор, усилитель и двигатель, связанный с первым датчиком скорости непосредственно и через редуктор – с первым датчиком положения, выход которого соединен с первым отрицательным входом первого сумматора, подключенного вторым положительным входом ко входу устройства, последовательно соединенные релейный блок и четвертый сумматор, второй положительный вход которого соединен с выходом первого датчика скорости и входом релейного блока, последовательно соединенные первый задатчик сигнала и пятый сумматор, второй положительный вход которого подключен к выходу датчика массы, а выход – к второму входу первого блока умножения, последовательно соединенные второй датчик скорости, установленный в третьей степени подвижности робота, второй блок умножения и третий блок умножения, второй вход которого соединен с выходом первого датчика скорости, а выход – с третьим отрицательным входом четвертого сумматора, а также второй датчик положения, установленный в третьей степени подвижности робота, причем второй отрицательный вход второго сумматора соединен с выходом первого датчика скорости, а выход четвертого сумматора подключен ко второму положительному входу третьего сумматора, последовательно соединенные второй задатчик сигнала, шестой сумматор, четвертый блок умножения, второй вход которого через первый косинусный функциональный преобразователь соединен с выходом второго датчика положения, седьмой сумматор, второй положительный вход которого соединен с выходом третьего задатчика сигнала, и пятый блок умножения, второй вход которого соединен с выходом первого датчика ускорения, установленного в третьей степени подвижности робота, а выход подключен к четвертому положительному входу четвертого сумматора, последовательно соединенные второй синусный функциональный преобразователь, вход которого соединен со входом первого косинусного функционального преобразователя, и шестой блок умножения, второй вход которого подключен к выходу шестого сумматора, а выход – ко второму входу второго блока умножения, пятый отрицательный вход четвертого сумматора подключен к выходу седьмого блока умножения, первый вход которого соединен с выходом второго датчика скорости, а второй вход – с выходом второго блока умножения, третий положительный вход пятого сумматора соединен с выходом четвертого блока умножения, третий положительный вход седьмого сумматора подключен к выходу датчика массы и второму положительному входу шестого сумматора, последовательно соединенные восьмой сумматор, первый и второй положительные входы которого подключены соответственно к выходам второго и первого датчиков положения, третий синусный функциональный преобразователь, восьмой блок умножения и девятый сумматор, а также девятый блок умножения, второй вход которого подключен к выходу второго датчика ускорения, установленного в первой степени подвижности робота, а его выход – к шестому положительному входу четвертого сумматора, последовательно соединенные четвертый задатчик сигнала, десятый сумматор, десятый блок умножения, второй вход которого через четвертый синусный функциональный преобразователь подключен к выходу первого датчика положения, а его выход – ко второму положительному входу девятого сумматора, последовательно соединенные пятый задатчик сигнала и одиннадцатый сумматор, второй положительный вход которого подключен к выходу задатчика массы и ко второму входу десятого сумматора, а его выход – ко второму входу восьмого блока умножения, последовательно соединенные третий датчик ускорения, механически связанный с выходным валом двигателя, одиннадцатый блок умножения, второй вход которого соединен с выходом второго блока умножения, и двенадцатый сумматор, второй положительный вход которого подключен к выходу третьего датчика ускорения, а выход – к третьему положительному входу третьего сумматора, последовательно соединенные первый дифференциатор и двенадцатый блок умножения, второй вход которого соединен с выходом седьмого сумматора, тринадцатый блок умножения, первый вход которого подключен к выходу шестого блока умножения, а второй вход – к выходу первого датчика ускорения и входу первого дифференциатора, последовательно соединенные тринадцатый сумматор, подключенный первым отрицательным входом к выходу тринадцатого блока умножения, и четырнадцатый блок умножения, последовательно соединенные квадратор, пятнадцатый блок умножения, второй вход которого соединен с выходом четвертого блока умножения, и шестнадцатый блок умножения, последовательно соединенные четырнадцатый сумматор, семнадцатый блок умножения и восемнадцатый блок умножения, второй вход которого подключен к выходу одиннадцатого сумматора, последовательно соединенные пятый косинусный функциональный преобразователь, вход которого соединен с выходом первого датчика положения, и девятнадцатый блок умножения, второй вход которого подключен к выходу десятого сумматора, а также двадцатый и двадцать первый блоки умножения, причем второй вход последнего соединен с выходом первого датчика скорости, первым положительным входом четырнадцатого сумматора и вторым входом четырнадцатого блока умножения, последовательно соединенные шестой косинусный функциональный преобразователь, подключенный входом к выходу восьмого сумматора, и двадцать второй блок умножения, последовательно соединенные второй дифференциатор, подключенный входом к выходу второго датчика ускорения и второму входу двадцатого блока умножения, и двадцать третий блок умножения, а также двадцать четвертый блок умножения, второй вход которого соединен с выходом второго дифференциатора, а выход – с третьим положительным входом двенадцатого сумматора, пятый положительный вход которого подключен к выходу восемнадцатого блока умножения, шестой положительный – к выходу двадцать первого блока умножения, седьмой положительный – к выходу четырнадцатого блока умножения, восьмой отрицательный вход – к выходу шестнадцатого блока умножения, девятый положительный – к выходу двенадцатого блока умножения, а десятый отрицательный – к выходу двадцать пятого блока умножения, первый вход которого соединен с выходом тринадцатого блока умножения, а второй вход – с выходом второго датчика скорости, входом квадратора, вторым входом шестнадцатого блока умножения и вторым положительным входом четырнадцатого сумматора, причем второй отрицательный вход тринадцатого сумматора подключен к выходу пятнадцатого блока умножения, отличающееся тем, что в него дополнительно введены последовательно соединенные двадцать шестой блок умножения, первый вход которого подключен к выходу восьмого блока умножения, а его второй вход – к выходу четырнадцатого сумматора, и пятнадцатый сумматор, второй положительный вход которого через двадцать седьмой блок умножения подключен к выходу первого датчика скорости, а выход – к первому входу двадцатого блока умножения, выход которого соединен с одиннадцатым отрицательным входом двенадцатого сумматора, а также шестнадцатый сумматор, первый положительный вход которого соединен с выходом двадцать второго блока умножения, второй положительный вход – с выходом девятнадцатого блока умножения и первыми входами двадцать первого и двадцать четвертого блоков умножения, а выход – с первым входом девятого блока умножения, и двадцать восьмой блок умножения, первый вход которого подключен к выходу двадцать третьего блока умножения, второй вход – к выходу одиннадцатого сумматора и второму входу двадцать второго блока умножения, а выход – к четвертому положительному входу двенадцатого сумматора, причем второй вход двадцать седьмого блока умножения соединен с выходом десятого блока умножения, выход девятого сумматора подключен к седьмому положительному входу четвертого сумматора, а выход шестого косинусного функционального преобразователя – к вторым входам семнадцатого и двадцать третьего блоков умножения (см. патент РФ 2312006, БИ 34, 2007 г.)
Данное устройство по своей технической сущности является наиболее близким к предлагаемому решению.
Недостатком прототипа также является то, что в нем отсутствует полная инвариантность динамических свойств рассматриваемого электропривода к непрерывным изменениям его моментных нагрузочных характеристик, поскольку в нем рассматривается робот с другой кинематической схемой.
Задачей, на решение которой направлено заявляемое техническое решение, является обеспечение полной инвариантности динамических свойств рассматриваемого электропривода к непрерывным и быстрым изменениям его динамических моментных нагрузочных характеристик при движении конкретного робота с заданной кинематической схемой по всем его степеням подвижности с учетом электрической постоянной времени электродвигателя.
Технический результат, который может быть получен при реализации заявляемого технического решения, выражается в формировании дополнительного сигнала управления, подаваемого на вход электропривода, который обеспечивает получение моментного воздействия, необходимого для обеспечения полной инвариантности его показателей качества к непрерывно изменяющимся параметрам нагрузки.
Поставленная задача решается тем, что в электропривод робота, содержащий последовательно соединенные первый и второй сумматоры, первый блок умножения, третий сумматор, усилитель и электродвигатель, связанный с первым датчиком скорости непосредственно и через редуктор – с первым датчиком положения, выход которого соединен с первым отрицательным входом первого сумматора, подключенного вторым положительным входом ко входу устройства, последовательно соединенные релейный блок и четвертый сумматор, второй положительный вход которого соединен с выходом первого датчика скорости и входом релейного блока, последовательно соединенные первый задатчик сигнала и пятый сумматор, второй положительный вход которого подключен к выходу датчика массы, а выход – к второму входу первого блока умножения, последовательно соединенные второй датчик скорости, установленный в третьей степени подвижности робота, второй блок умножения и третий блок умножения, второй вход которого соединен с выходом первого датчика скорости, а выход – с третьим отрицательным входом четвертого сумматора, а также второй датчик положения, установленный в третьей степени подвижности робота, причем второй отрицательный вход второго сумматора соединен с выходом первого датчика скорости, а выход четвертого сумматора подключен ко второму положительному входу третьего сумматора, последовательно соединенные второй задатчик сигнала, шестой сумматор, четвертый блок умножения, второй вход которого через первый косинусный функциональный преобразователь соединен с выходом второго датчика положения, седьмой сумматор, второй положительный вход которого соединен с выходом третьего задатчика сигнала, и пятый блок умножения, второй вход которого соединен с выходом первого датчика ускорения, установленного в третьей степени подвижности робота, а выход подключен к четвертому положительному входу четвертого сумматора, последовательно соединенные второй синусный функциональный преобразователь, вход которого соединен со входом первого косинусного функционального преобразователя, и шестой блок умножения, второй вход которого подключен к выходу шестого сумматора, а выход – ко второму входу второго блока умножения, пятый отрицательный вход четвертого сумматора подключен к выходу седьмого блока умножения, первый вход которого соединен с выходом второго датчика скорости, а второй вход – с выходом второго блока умножения, третий положительный вход пятого сумматора соединен с выходом четвертого блока умножения, третий положительный вход седьмого сумматора подключен к выходу датчика массы и второму положительному входу шестого сумматора, последовательно соединенные восьмой сумматор, первый и второй положительные входы которого подключены соответственно к выходам второго и первого датчиков положения, третий синусный функциональный преобразователь, восьмой блок умножения и девятый сумматор, а также девятый блок умножения, второй вход которого подключен к выходу второго датчика ускорения, установленного в четвертой степени подвижности робота, а его выход – к шестому положительному входу четвертого сумматора, последовательно соединенные четвертый задатчик сигнала, десятый сумматор, десятый блок умножения, второй вход которого через четвертый синусный функциональный преобразователь подключен к выходу первого датчика положения, а его выход – ко второму положительному входу девятого сумматора, последовательно соединенные пятый задатчик сигнала и одиннадцатый сумматор, второй положительный вход которого подключен к выходу датчика массы и ко второму входу десятого сумматора, а его выход – ко второму входу восьмого блока умножения, последовательно соединенные третий датчик ускорения, механически связанный с выходным валом электродвигателя, одиннадцатый блок умножения, второй вход которого соединен с выходом второго блока умножения, и двенадцатый сумматор, второй положительный вход которого подключен к выходу третьего датчика ускорения, а выход – к третьему положительному входу третьего сумматора, последовательно соединенные первый дифференциатор и двенадцатый блок умножения, второй вход которого соединен с выходом седьмого сумматора, тринадцатый блок умножения, первый вход которого подключен к выходу шестого блока умножения, а второй вход – к выходу первого датчика ускорения и входу первого дифференциатора, последовательно соединенные тринадцатый сумматор, подключенный первым отрицательным входом к выходу тринадцатого блока умножения, и четырнадцатый блок умножения, последовательно соединенные квадратор, пятнадцатый блок умножения, второй вход которого соединен с выходом четвертого блока умножения, и шестнадцатый блок умножения, последовательно соединенные четырнадцатый сумматор, семнадцатый блок умножения и восемнадцатый блок умножения, второй вход которого подключен к выходу одиннадцатого сумматора, последовательно соединенные пятый косинусный функциональный преобразователь, вход которого соединен с выходом первого датчика положения, и девятнадцатый блок умножения, второй вход которого подключен к выходу десятого сумматора, а также двадцатый и двадцать первый блоки умножения, причем второй вход последнего соединен с выходом первого датчика скорости, первым положительным входом четырнадцатого сумматора и вторым входом четырнадцатого блока умножения, последовательно соединенные шестой косинусный функциональный преобразователь, подключенный входом к выходу восьмого сумматора, и двадцать второй блок умножения, последовательно соединенные второй дифференциатор, подключенный входом к выходу второго датчика ускорения и второму входу двадцатого блока умножения, и двадцать третий блок умножения, а также двадцать четвертый блок умножения, второй вход которого соединен с выходом второго дифференциатора, а выход – с третьим положительным входом двенадцатого сумматора, седьмой положительный – к выходу четырнадцатого блока умножения, восьмой отрицательный вход – к выходу шестнадцатого блока умножения, девятый положительный – к выходу двенадцатого блока умножения, а десятый отрицательный – к выходу двадцать пятого блока умножения, первый вход которого соединен с выходом тринадцатого блока умножения, а второй вход – с выходом второго датчика скорости, входом квадратора, вторым входом шестнадцатого блока умножения и вторым положительным входом четырнадцатого сумматора, причем второй отрицательный вход тринадцатого сумматора подключен к выходу пятнадцатого блока умножения, последовательно соединенные двадцать шестой блок умножения, первый вход которого подключен к выходу восьмого блока умножения, а его второй вход – к выходу четырнадцатого сумматора, и пятнадцатый сумматор, второй положительный вход которого через двадцать седьмой блок умножения подключен к выходу первого датчика скорости, а выход – к первому входу двадцатого блока умножения, выход которого соединен с одиннадцатым отрицательным входом двенадцатого сумматора, а также шестнадцатый сумматор, первый положительный вход которого соединен с выходом двадцать второго блока умножения, второй положительный вход – с выходом девятнадцатого блока умножения и первыми входами двадцать первого и двадцать четвертого блоков умножения, а выход – с первым входом девятого блока умножения, и двадцать восьмой блок умножения, первый вход которого подключен к выходу двадцать третьего блока умножения, второй вход – к выходу одиннадцатого сумматора и второму входу двадцать второго блока умножения, а выход – к четвертому положительному входу двенадцатого сумматора, причем второй вход двадцать седьмого блока умножения соединен с выходом десятого блока умножения, а выход шестого косинусного функционального преобразователя – со вторыми входами семнадцатого и двадцать третьего блоков умножения, дополнительно вводятся последовательно соединенные четвертый датчик ускорения, установленный в первой степени подвижности робота, двадцать девятый блок умножения и семнадцатый сумматор, второй положительный вход которого подключен ко второму входу двадцать девятого блока умножения и выходу девятого сумматора, а выход – к седьмому положительному входу четвертого сумматора, последовательно соединенные тридцатый блок умножения и восемнадцатый сумматор, второй положительный вход которого подключен к выходу восемнадцатого блока умножения и второму входу тридцатого блока умножения, а выход – к пятому положительному входу двенадцатого сумматора, последовательно соединенные тридцать первый блок умножения и девятнадцатый сумматор, второй положительный вход которого подключен к выходу двадцать первого блока умножения и второму входу тридцать первого блока умножения, а выход – к шестому положительному входу двенадцатого сумматора, последовательно соединенные третий дифференциатор, вход которого соединен с выходом четвертого датчика ускорения и первыми входами тридцатого и тридцать первого блоков умножения, и тридцать второй блок умножения, второй вход которого соединен с выходом девятого сумматора, а выход – с двенадцатым положительным входом двенадцатого сумматора.
Сопоставительный анализ существенных признаков предлагаемого технического решения с существенными признаками аналогов и прототипа свидетельствуют о его соответствии критерию «новизна».
При этом отличительные признаки формулы изобретения обеспечивают высокую точность и устойчивость работы электропривода робота в условиях существенного изменения его параметров нагрузки.
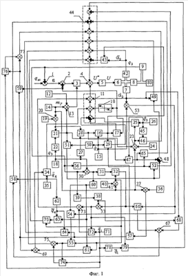
На фиг.1 дана блок-схема предлагаемого электропривода робота, а на фиг.2 – кинематическая схема исполнительного органа этого робота.
Электропривод робота содержит последовательно соединенные первый 1 и второй 2 сумматоры, первый блок 3 умножения, третий сумматор 4, усилитель 5 и электродвигатель 6, связанный с первым датчиком 7 скорости непосредственно и через редуктор 8 – с первым датчиком 9 положения, выход которого соединен с первым отрицательным входом первого сумматора 1, подключенного вторым положительным входом ко входу устройства, последовательно соединенные релейный блок 10 и четвертый сумматор 11, второй положительный вход которого соединен с выходом первого датчика 7 скорости и входом релейного блока 10, последовательно соединенные первый задатчик 12 сигнала и пятый сумматор 13, второй положительный вход которого подключен к выходу датчика 14 массы, а выход – к второму входу первого блока 3 умножения, последовательно соединенные второй датчик 15 скорости, установленный в третьей степени подвижности робота, второй блок 16 умножения и третий блок 17 умножения, второй вход которого соединен с выходом первого датчика 7 скорости, а выход – с третьим отрицательным входом четвертого сумматора 11, а также второй датчик 18 положения, установленный в третьей степени подвижности робота, причем второй отрицательный вход второго сумматора 2 соединен с выходом первого датчика 7 скорости, а выход четвертого сумматора 11 подключен ко второму положительному входу третьего сумматора 4, последовательно соединенные второй задатчик 19 сигнала, шестой сумматор 20, четвертый блок 21 умножения, второй вход которого через первый косинусный функциональный преобразователь 22 соединен с выходом второго датчика 18 положения, седьмой сумматор 23, второй положительный вход которого соединен с выходом третьего задатчика 24 сигнала, и пятый блок 25 умножения, второй вход которого соединен с выходом первого датчика 26 ускорения, установленного в третьей степени подвижности робота, а выход подключен к четвертому положительному входу четвертого сумматора 11, последовательно соединенные второй синусный функциональный преобразователь 27, вход которого соединен со входом первого косинусного функционального преобразователя 22, и шестой блок 28 умножения, второй вход которого подключен к выходу шестого сумматора 20, а выход – ко второму входу второго блока 16 умножения, пятый отрицательный вход четвертого сумматора 11 подключен к выходу седьмого блока 29 умножения, первый вход которого соединен с выходом второго датчика 15 скорости, а второй вход – с выходом второго блока 16 умножения, третий положительный вход пятого сумматора 13 соединен с выходом четвертого блока 21 умножения, третий положительный вход седьмого сумматора 23 подключен к выходу датчика 14 массы и второму положительному входу шестого сумматора 20, последовательно соединенные восьмой сумматор 30, первый и второй положительные входы которого подключены соответственно к выходам второго 18 и первого 9 датчиков положения, третий синусный функциональный преобразователь 31, восьмой блок 32 умножения и девятый сумматор 33, а также девятый блок 34 умножения, второй вход которого подключен к выходу второго датчика 35 ускорения, установленного в четвертой степени подвижности робота, а его выход – к шестому положительному входу четвертого сумматора 11, последовательно соединенные четвертый задатчик 36 сигнала, десятый сумматор 37, десятый блок 38 умножения, второй вход которого через четвертый синусный функциональный преобразователь 39 подключен к выходу первого датчика 9 положения, а его выход – ко второму положительному входу девятого сумматора 33, последовательно соединенные пятый задатчик 40 сигнала и одиннадцатый сумматор 41, второй положительный вход которого подключен к выходу датчика 14 массы и ко второму входу десятого сумматора 37, а его выход – ко второму входу восьмого блока 32 умножения, последовательно соединенные третий датчик 42 ускорения, механически связанный с выходным валом электродвигателя 6, одиннадцатый блок 43 умножения, второй вход которого соединен с выходом второго блока 16 умножения, и двенадцатый сумматор 44, второй положительный вход которого подключен к выходу третьего датчика 42 ускорения, а выход – к третьему положительному входу третьего сумматора 4, последовательно соединенные первый дифференциатор 45 и двенадцатый блок 46 умножения, второй вход которого соединен с выходом седьмого сумматора 23, тринадцатый блок 47 умножения, первый вход которого подключен к выходу шестого блока 28 умножения, а второй вход – к выходу первого датчика 26 ускорения и входу первого дифференциатора 45, последовательно соединенные тринадцатый сумматор 48, подключенный первым отрицательным входом к выходу тринадцатого блока 47 умножения, и четырнадцатый блок 49 умножения, последовательно соединенные квадратор 50, пятнадцатый блок 51 умножения, второй вход которого соединен с выходом четвертого блока 21 умножения, и шестнадцатый блок 52 умножения, последовательно соединенные четырнадцатый сумматор 53, семнадцатый блок 54 умножения и восемнадцатый блок 55 умножения, второй вход которого подключен к выходу одиннадцатого сумматора 41, последовательно соединенные пятый косинусный функциональный преобразователь 56, вход которого соединен с выходом первого датчика 9 положения и девятнадцатый блок 57 умножения, второй вход которого подключен к выходу десятого сумматора 37, а также двадцатый 58 и двадцать первый 59 блоки умножения, причем второй вход последнего соединен с выходом первого датчика 7 скорости, первым положительным входом четырнадцатого сумматора 53 и вторым входом четырнадцатого блока 49 умножения, последовательно соединенные шестой косинусный функциональный преобразователь 60, подключенный входом к выходу восьмого сумматора 30, и двадцать второй блок 61 умножения, последовательно соединенные второй дифференциатор 62, подключенный входом к выходу второго датчика 35 ускорения и второму входу двадцатого блока 58 умножения, и двадцать третий блок 63 умножения, а также двадцать четвертый блок 64 умножения, второй вход которого соединен с выходом второго дифференциатора 62, а выход – с третьим положительным входом двенадцатого сумматора 44, седьмой положительный – к выходу четырнадцатого блока 49 умножения, восьмой отрицательный вход – к выходу шестнадцатого блока 52 умножения, девятый положительный – к выходу двенадцатого блока 46 умножения, а десятый отрицательный – к выходу двадцать пятого блока 65 умножения, первый вход которого соединен с выходом тринадцатого блока 47 умножения, а второй вход – с выходом второго датчика 15 скорости, входом квадратора 50, вторым входом шестнадцатого блока 52 умножения и вторым положительным входом четырнадцатого сумматора 53, причем второй отрицательный вход тринадцатого сумматора 48 подключен к выходу пятнадцатого блока 51 умножения, последовательно соединенные двадцать шестой блок 66 умножения, первый вход которого подключен к выходу восьмого блока 32 умножения, а его второй вход – к выходу четырнадцатого сумматора 53, и пятнадцатый сумматор 67, второй положительный вход которого через двадцать седьмой блок 68 умножения подключен к выходу первого датчика скорости, а выход – к первому входу двадцатого блока 58 умножения, выход которого соединен с одиннадцатым отрицательным входом двенадцатого сумматора 44, а также шестнадцатый сумматор 69, первый положительный вход которого соединен с выходом двадцать второго блока 61 умножения, второй положительный вход – с выходом девятнадцатого блока 57 умножения и первыми входами двадцать первого 59 и двадцать четвертого 64 блоков умножения, а выход – с первым входом девятого блока 34 умножения, и двадцать восьмой блок 70 умножения, первый вход которого подключен к выходу двадцать третьего блока 63 умножения, второй вход – к выходу одиннадцатого сумматора 41 и второму входу двадцать второго блока 61 умножения, а выход – к четвертому положительному входу двенадцатого сумматора 44, причем второй вход двадцать седьмого блока 68 умножения соединен с выходом десятого блока 38 умножения, а выход шестого косинусного функционального преобразователя 60 – со вторыми входами семнадцатого 54 и двадцать третьего 63 блоков умножения, отличающийся тем, что в него дополнительно введены последовательно соединенные четвертый датчик 71 ускорения, установленный в первой степени подвижности робота, двадцать девятый блок 72 умножения и семнадцатый 73 сумматор, второй положительный вход которого подключен ко второму входу двадцать девятого блока 72 умножения и выходу девятого 33 сумматора, а выход – к седьмому положительному входу четвертого сумматора 11, последовательно соединенные тридцатый блок 74 умножения и восемнадцатый сумматор 75, второй положительный вход которого подключен к выходу восемнадцатого блока 55 умножения и второму входу тридцатого блока 74 умножения, а выход – к пятому положительному входу двенадцатого сумматора 44, последовательно соединенные тридцать первый блок 76 умножения и девятнадцатый сумматор 77, второй положительный вход которого подключен к выходу двадцать первого блока 59 умножения и второму входу тридцать первого блока 76 умножения, а выход – к шестому положительному входу двенадцатого сумматора 44, последовательно соединенные третий дифференциатор 78, вход которого соединен с выходом четвертого датчика 71 ускорения и первыми входами тридцатого 74 и тридцать первого 76 блоков умножения, и тридцать второй блок 79 умножения, второй вход которого соединен с выходом девятого сумматора 33, а выход – с двенадцатым положительным входом двенадцатого сумматора 44. Объект управления 80.
На чертежах введены следующие обозначения: qвх – сигнал желаемого положения; – ошибка электропривода (величина рассогласования); q1, q2, q3, q4 – соответствующие обобщенные координаты исполнительного органа робота; – скорости изменения соответствующих обобщенных координат; – ускорения изменения соответствующих обобщенных координат; m1, m2, m3, mг – соответственно массы первого, второго, третьего звеньев исполнительного органа и захваченного груза; – расстояния от осей вращения соответствующих звеньев до их центров масс; l2, l3 – длины соответствующих звеньев; – соответственно скорость и ускорение вращения ротора электродвигателя; U*, U – соответственно усиливаемый сигнал и сигнал управления электродвигателем 6.
Устройство работает следующим образом. Сигнал ошибки с сумматора 1 после коррекции в блоках 2, 3, 4, усиливаясь, поступает на электродвигатель 6, приводя его вал во вращательное движение с направлением и скоростью (ускорением), зависящими от величины поступающего сигнала U, моментов трения и внешнего моментного воздействия Мв. Электропривод при работе с различными грузами, а также за счет взаимовлияния степеней подвижности исполнительного органа робота, обладает переменными моментными характеристиками, которые могут меняться в широких пределах. Это снижает качественные показатели электропривода и даже приводит к потере устойчивости его работы. В результате возникает задача, связанная с обеспечением инвариантности динамических свойств электропривода к непрерывным и быстрым изменениям его моментных нагрузочных характеристик, что позволяет обеспечить стабильность заданного качества системы управления.
Рассматриваемый электропривод управляет обобщенной координатой q2 робота. Конструкция его исполнительного органа позволяет осуществлять горизонтальное прямолинейное перемещение в плоскости (координаты q1 и q4) и два вращательных движения (координаты q2 и q3) в вертикальной плоскости.
Моментные характеристики электропривода, управляющего координатой q2, существенно зависят от изменения координат и массы груза mг. В связи с этим для качественного управления координатой q2 необходимо компенсировать отрицательное влияние изменения этих координат и переменной массы груза mг на динамические свойства рассматриваемого электропривода.
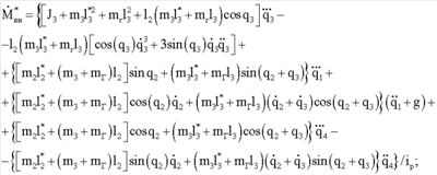
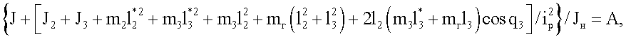
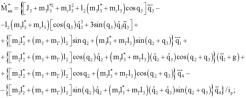
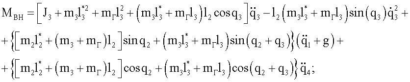
На основе уравнений Лагранжа 2 рода можно записать моментное воздействие на выходной вал привода, управляющего координатой q2. Это воздействие имеет вид

где



g – ускорение свободного падения.
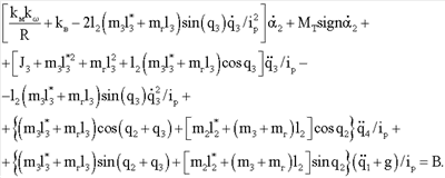
С учетом соотношения (1), а также уравнений механической и электрической цепей электродвигателя постоянного тока с постоянными магнитами или независимого возбуждения электропривод, управляющий координатой q2, можно описать следующим дифференциальным уравнением

где ; ; ; 


L, R – соответственно индуктивность и активное сопротивление якорной цепи электродвигателя 6; J – момент инерции якоря электродвигателя и вращающихся частей редуктора 8, приведенный к валу электродвигателя; kм, k , kв, ky – соответственно коэффициенты крутящего момента, противо-ЭДС, вязкого трения и усиления усилителя 5; ip – передаточное отношение редуктора; Мстр – момент сухого трения; i – ток якоря электродвигателя.
Из уравнения (2) видно, что его параметры, а следовательно, и параметры привода, управляющего координатой q2, являются существенно переменными, зависящими от величин и mг. В результате в процессе работы электропривода меняются (и при том существенно) его динамические свойства. Для реализации поставленной выше задачи необходимо сформировать такое корректирующее устройство, которое застабилизировало бы параметры электропривода таким образом, чтобы он описывался дифференциальным уравнением с постоянными параметрами.
Первый положительный вход сумматора 2 (со стороны сумматора 1) имеет единичный коэффициент усиления, а его второй отрицательный вход – коэффициент усиления k /ky. Следовательно, на выходе сумматора 2 формируется сигнал .
Первый положительный вход сумматора 20 имеет единичный коэффициент усиления, а задатчик 19 подает на него сигнал . Второй положительный вход этого сумматора имеет коэффициент усиления l2l3. В результате на выходе этого сумматора формируется сигнал . Датчик 18 установлен в третьей степени подвижности исполнительного органа и измеряет обобщенную координату q3, a функциональный преобразователь 22 реализует функцию cosq3. В результате на выходе блока 21 формируется сигнал 
Все входы сумматора 13 положительные. Первый из них имеет единичный коэффициент усиления, а задатчик 12 сигнала подает на этот вход сигнал где Jн=const – номинальное значение приведенного момента инерции электропривода. На его второй вход с коэффициентом усиления датчик 14 массы подает сигнал mг. Третий вход сумматора 13 имеет коэффициент усиления . В результате на его выходе формируется сигнал
а на выходе блока 3 – сигнал .
Функциональный преобразователь 27 реализует функцию sinq3. В результате на выходе блока 28 формируется сигнал 
Датчик 15 установлен в третьей степени подвижности исполнительного органа и измеряет величину . В результате на третий отрицательный вход сумматора 11 (со стороны блока 17) с коэффициентом усиления поступает а на его пятый отрицательный вход (со стороны блока 29) с коэффициентом усиления 1/ip – сигнал 
Все входы сумматора 23 положительные. Первый и второй (соответственно со стороны блока 21 и задатчика 24) имеют единичные коэффициенты усиления, а его третий – коэффициент усиления Задатчик 24 формирует сигнал а датчик 26, установленный в третьей степени подвижности исполнительного органа, измеряет . В результате на выходе блока 25 формируется сигнал который поступает на четвертый положительный вход сумматора 11, имеющий коэффициент усиления 1/ip. Первый и второй положительные входы сумматора 11 (соответственно, со стороны релейного элемента 10 и датчика 7) соответственно имеют единичный коэффициент усиления и коэффициент усиления, равный kмk /R+kв.
Все входы сумматора 37 положительные. Первый вход имеет единичный коэффициент усиления и задатчик 36 подает на него сигнал , а второй вход – коэффициент усиления l2/ip. В результате на выходе этого сумматора формируется сигнал Функциональный преобразователь 39 реализует функцию sinq2. В результате на выходе блока 38 формируется сигнал 
Все входы сумматора 41 положительные. Задатчик 40 подает на его первый вход с единичным коэффициентом усиления сигнал а его второй вход имеет коэффициент усиления, равный l3/ip. В результате на выходе этого сумматора формируется сигнал Сумматор 30 имеет положительные входы с единичными коэффициентами усиления. В результате на его выходе формируется сигнал q2+q3. Функциональный преобразователь 31 реализует функцию sin(q2+q3). В результате на выходе блока 32 формируется сигнал 
Положительные входы сумматора 33 имеют единичные коэффициенты усиления, поэтому на его выходе формируется сигнал Датчик 71 установлен в первой степени подвижности исполнительного органа и измеряет ускорение . Первый положительный вход сумматора 73 (со стороны блока 72) имеет единичный коэффициент усиления, а его второй положительный вход – коэффициент усиления g. В результате с выхода сумматора 73 на седьмой положительный вход сумматора 11 с единичным коэффициентом усиления поступает сигнал 
Функциональный преобразователь 60 реализует функцию cos(q2+q3). В результате на выходе блока 61 формируется сигнал 
Функциональный преобразователь 56 реализует функцию cosq2. В результате на выходе блока 57 формируется сигнал 
Сумматор 69 имеет положительные входы с единичными коэффициентами усиления. Датчик 35 установлен в четвертую степень подвижности исполнительного органа и измеряет ускорение . В результате на выходе блока 34 формируется сигнал который поступает на шестой положительный вход сумматора 11, имеющий единичный коэффициент усиления.
Выходной сигнал релейного элемента 10 имеет вид
,
где |МТ| – величина момента сухого трения при движении.
В результате на выходе сумматора 11 формируется сигнал

Отрицательные входы сумматора 48 имеют коэффициенты усиления . В результате на седьмой положительный вход сумматора 44, имеющий единичный коэффициент усиления, со стороны блока 49 поступает сигнал Для исполнительного органа рассматриваемого робота выполняется условие , а датчик 42 измеряет ускорение . В результате на первый отрицательный вход сумматора 44, имеющий коэффициент усиления , со стороны блока 43 поступает сигнал Второй положительный вход этого сумматора (со стороны датчика 42) имеет коэффициент усиления kв.
На девятый положительный вход сумматора 44 (со стороны блока 46) поступает сигнал на его десятый отрицательный вход, имеющий коэффициент усиления 3/ip, (со стороны блока 65) – сигнал а на восьмой отрицательный (со стороны блока 52) – сигнал 
На выходе блока 63 формируется сигнал . В результате на четвертый положительный вход сумматора 44 (со стороны блока 70) поступает сигнал 
Первый (со стороны датчика 7) положительный вход сумматора 53 имеет коэффициент усиления 1/ip, а его второй положительный вход – единичный коэффициент усиления. В результате на выходе этого сумматора формируется сигнал а на выходе блока 55 – сигнал Первый положительный вход сумматора 75 (со стороны блока 55) имеет коэффициент усиления g, а его второй положительный вход – единичный коэффициент усиления. В результате на пятый положительный вход сумматора 44 (со стороны сумматора 75) поступает сигнал

На выходе блока 59 формируется сигнал Первый положительный вход сумматора 77 (со стороны блока 59) имеет коэффициент усиления g/ip, а его второй положительный вход – коэффициент усиления 1/ip. В результате на шестой положительный вход сумматора 44 (со стороны сумматора 77) поступает сигнал 
На третий положительный вход сумматора 44 (со стороны блока 64) поступает сигнал 
Первый положительный вход сумматора 67 (со стороны блока 66) имеет единичный коэффициент усиления, а его второй положительный вход – коэффициент усиления 1/ip. В результате на одиннадцатый отрицательный вход сумматора 44 (со стороны блока 58) поступает сигнал 
Все положительные входы сумматора 80 имеют единичные коэффициенты усиления, поэтому на его выходе формируется сигнал который поступает на двенадцатый положительный вход сумматора 44.
Третий, четвертый, пятый, шестой, одиннадцатый и двенадцатый входы сумматора 44 имеют единичные коэффициенты усиления, а восьмой и девятый входы – коэффициенты усиления 1/ip. В результате на выходе сумматора 44 формируется сигнал 
Первый положительный вход сумматора 4 (со стороны блока 3) имеет единичный коэффициент усиления, его второй положительный вход (со стороны сумматора 11) – коэффициент усиления R/(kмkу), а третий положительный вход – коэффициент усиления L/(kмkу).
В результате на выходе сумматора 4 формируется сигнал U*, равный

Поскольку при движении электропривода достаточно точно соответствует Мстр, то сигнал U* (3), как несложно убедиться, обеспечивает превращение уравнения (2) с существенно переменными параметрами в уравнение с постоянными номинальными желаемыми параметрами, обеспечивающими рассматриваемому электроприводу заданные динамические свойства и показатели качества.
Таким образом, за счет введения дополнительных элементов и связей удалось обеспечить полную инвариантность рассматриваемого электропривода к эффектам взаимовлияния между степенями подвижности исполнительного органа робота и моментам трения. Это позволяет получить стабильно высокое качество управления в любых режимах работы рассматриваемого электропривода.
Практическая реализация предлагаемого устройства не вызывает затруднений, так как в нем использованы только типовые электронные элементы.
Формула изобретения
Электропривод робота, содержащий последовательно соединенные первый и второй сумматоры, первый блок умножения, третий сумматор, усилитель и электродвигатель, связанный с первым датчиком скорости непосредственно и через редуктор – с первым датчиком положения, выход которого соединен с первым отрицательным входом первого сумматора, подключенного вторым положительным входом ко входу устройства, последовательно соединенные релейный блок и четвертый сумматор, второй положительный вход которого соединен с выходом первого датчика скорости и входом релейного блока, последовательно соединенные первый задатчик сигнала и пятый сумматор, второй положительный вход которого подключен к выходу датчика массы, а выход – к второму входу первого блока умножения, последовательно соединенные второй датчик скорости, установленный в третьей степени подвижности робота, второй блок умножения и третий блок умножения, второй вход которого соединен с выходом первого датчика скорости, а выход – с третьим отрицательным входом четвертого сумматора, а также второй датчик положения, установленный в третьей степени подвижности робота, причем второй отрицательный вход второго сумматора соединен с выходом первого датчика скорости, а выход четвертого сумматора подключен ко второму положительному входу третьего сумматора, последовательно соединенные второй задатчик сигнала, шестой сумматор, четвертый блок умножения, второй вход которого через первый косинусный функциональный преобразователь соединен с выходом второго датчика положения, седьмой сумматор, второй положительный вход которого соединен с выходом третьего задатчика сигнала, и пятый блок умножения, второй вход которого соединен с выходом первого датчика ускорения, установленного в третьей степени подвижности робота, а выход подключен к четвертому положительному входу четвертого сумматора, последовательно соединенные второй синусный функциональный преобразователь, вход которого соединен со входом первого косинусного функционального преобразователя, и шестой блок умножения, второй вход которого подключен к выходу шестого сумматора, а выход – ко второму входу второго блока умножения, пятый отрицательный вход четвертого сумматора подключен к выходу седьмого блока умножения, первый вход которого соединен с выходом второго датчика скорости, а второй вход – с выходом второго блока умножения, третий положительный вход пятого сумматора соединен с выходом четвертого блока умножения, третий положительный вход седьмого сумматора подключен к выходу датчика массы и второму положительному входу шестого сумматора, последовательно соединенные восьмой сумматор, первый и второй положительные входы которого подключены соответственно к выходам второго и первого датчиков положения, третий синусный функциональный преобразователь, восьмой блок умножения и девятый сумматор, а также девятый блок умножения, второй вход которого подключен к выходу второго датчика ускорения, установленного в четвертой степени подвижности робота, а его выход – к шестому положительному входу четвертого сумматора, последовательно соединенные четвертый задатчик сигнала, десятый сумматор, десятый блок умножения, второй вход которого через четвертый синусный функциональный преобразователь подключен к выходу первого датчика положения, а его выход – ко второму положительному входу девятого сумматора, последовательно соединенные пятый задатчик сигнала и одиннадцатый сумматор, второй положительный вход которого подключен к выходу датчика массы и ко второму входу десятого сумматора, а его выход – ко второму входу восьмого блока умножения, последовательно соединенные третий датчик ускорения, механически связанный с выходным валом электродвигателя, одиннадцатый блок умножения, второй вход которого соединен с выходом второго блока умножения, и двенадцатый сумматор, второй положительный вход которого подключен к выходу третьего датчика ускорения, а выход – к третьему положительному входу третьего сумматора, последовательно соединенные первый дифференциатор и двенадцатый блок умножения, второй вход которого соединен с выходом седьмого сумматора, тринадцатый блок умножения, первый вход которого подключен к выходу шестого блока умножения, а второй вход – к выходу первого датчика ускорения и входу первого дифференциатора, последовательно соединенные тринадцатый сумматор, подключенный первым отрицательным входом к выходу тринадцатого блока умножения, и четырнадцатый блок умножения, последовательно соединенные квадратор, пятнадцатый блок умножения, второй вход которого соединен с выходом четвертого блока умножения, и шестнадцатый блок умножения, последовательно соединенные четырнадцатый сумматор, семнадцатый блок умножения и восемнадцатый блок умножения, второй вход которого подключен к выходу одиннадцатого сумматора, последовательно соединенные пятый косинусный функциональный преобразователь, вход которого соединен с выходом первого датчика положения и девятнадцатый блок умножения, второй вход которого подключен к выходу десятого сумматора, а также двадцатый и двадцать первый блоки умножения, причем второй вход последнего соединен с выходом первого датчика скорости, первым положительным входом четырнадцатого сумматора и вторым входом четырнадцатого блока умножения, последовательно соединенные шестой косинусный функциональный преобразователь, подключенный входом к выходу восьмого сумматора, и двадцать второй блок умножения, последовательно соединенные второй дифференциатор, подключенный входом к выходу второго датчика ускорения и второму входу двадцатого блока умножения, и двадцать третий блок умножения, а также двадцать четвертый блок умножения, второй вход которого соединен с выходом второго дифференциатора, а выход – с третьим положительным входом двенадцатого сумматора, седьмой положительный – к выходу четырнадцатого блока умножения, восьмой отрицательный вход – к выходу шестнадцатого блока умножения, девятый положительный – к выходу двенадцатого блока умножения, а десятый отрицательный – к выходу двадцать пятого блока умножения, первый вход которого соединен с выходом тринадцатого блока умножения, а второй вход – с выходом второго датчика скорости, входом квадратора, вторым входом шестнадцатого блока умножения и вторым положительным входом четырнадцатого сумматора, причем второй отрицательный вход тринадцатого сумматора подключен к выходу пятнадцатого блока умножения, последовательно соединенные двадцать шестой блок умножения, первый вход которого подключен к выходу восьмого блока умножения, а его второй вход – к выходу четырнадцатого сумматора, и пятнадцатый сумматор, второй положительный вход которого через двадцать седьмой блок умножения подключен к выходу первого датчика скорости, а выход – к первому входу двадцатого блока умножения, выход которого соединен с одиннадцатым отрицательным входом двенадцатого сумматора, а также шестнадцатый сумматор, первый положительный вход которого соединен с выходом двадцать второго блока умножения, второй положительный вход – с выходом девятнадцатого блока умножения и первыми входами двадцать первого и двадцать четвертого блоков умножения, а выход – с первым входом девятого блока умножения, и двадцать восьмой блок умножения, первый вход которого подключен к выходу двадцать третьего блока умножения, второй вход – к выходу одиннадцатого сумматора и второму входу двадцать второго блока умножения, а выход – к четвертому положительному входу двенадцатого сумматора, причем второй вход двадцать седьмого блока умножения соединен с выходом десятого блока умножения, а выход шестого косинусного функционального преобразователя – со вторыми входами семнадцатого и двадцать третьего блоков умножения, отличающийся тем, что в него дополнительно введены последовательно соединенные четвертый датчик ускорения, установленный в первой степени подвижности робота, двадцать девятый блок умножения, и семнадцатый сумматор, второй положительный вход которого подключен ко второму входу двадцать девятого блока умножения и выходу девятого сумматора, а выход – к седьмому положительному входу четвертого сумматора, последовательно соединенные тридцатый блок умножения, и восемнадцатый сумматор, второй положительный вход которого подключен к выходу восемнадцатого блока умножения и второму входу тридцатого блока умножения, а выход – к пятому положительному входу двенадцатого сумматора, последовательно соединенные тридцать первый блок умножения и девятнадцатый сумматор, второй положительный вход которого подключен к выходу двадцать первого блока умножения и второму входу тридцать первого блока умножения, а выход – к шестому положительному входу двенадцатого сумматора, последовательно соединенные третий дифференциатор, вход которого соединен с выходом четвертого датчика ускорения и первыми входами тридцатого и тридцать первого блоков умножения, и тридцать второй блок умножения, второй вход которого соединен с выходом девятого сумматора, а выход – с двенадцатым положительным входом двенадцатого сумматора.
РИСУНКИ
|
|