|
|
(21), (22) Заявка: 2008125281/02, 24.06.2008
(24) Дата начала отсчета срока действия патента:
24.06.2008
(43) Дата публикации заявки: 27.12.2009
(46) Опубликовано: 20.09.2010
(56) Список документов, цитированных в отчете о поиске:
RU 2296635 С1, 10.04.2007. SU 1000863 А, 28.02.1983. SU 1390542 А1, 23.04.1988. GB 1466312 А, 09.03.1977.
Адрес для переписки:
623112, Свердловская обл., г.Первоуральск, ул.Торговая, 1, ОАО “Первоуральский новотрубный завод”, начальнику управления научно-исследовательских работ А.В.Серебрякову
|
(72) Автор(ы):
Серебряков Александр Васильевич (RU), Слесарев Анатолий Иванович (RU), Серебряков Андрей Васильевич (RU), Буркин Сергей Павлович (RU), Прилуков Сергей Борисович (RU), Ладыгин Сергей Александрович (RU), Марков Дмитрий Всеволодович (RU)
(73) Патентообладатель(и):
Открытое акционерное общество “Первоуральский новотрубный завод” (RU)
|
(54) СПОСОБ ВОЛОЧЕНИЯ ТРУБ
(57) Реферат:
Изобретение предназначено для повышения качества поверхности труб, получения труб с субмикронной чистотой поверхности. Способ включает деформацию заготовки керамическим инструментом, материал которого выбирают в зависимости от его адгезионных свойств. Исключение адгезионного разрушения поверхностного слоя металла обеспечивается за счет того, что адгезионные свойства материала инструмента определяют по значению работы выхода электронов материала инструмента, которое не должно быть меньше 4,0 эВ. 2 ил., 2 табл.
Изобретение относится к области обработки металлов давлением и может быть использовано при волочении труб с субмикронной чистотой поверхности.
Для процессов обработки металлов давлением, в частности волочения труб, характерно адгезионное взаимодействие металла с инструментом. Это взаимодействие приводит к переносу деформированного металла с изделия на инструмент, последствиями которого являются разрушение поверхностного слоя металла (задиры, риски, поперечные микротрещины) и нарушение чистоты его поверхности (рост шероховатости). Что касается коррозионностойкой стали, то проблема усугубляется тем, что из-за наваривания металла на инструмент невозможно осуществить известными способами оправочное волочение труб.
Известно применение керамических материалов на основе тугоплавких соединений, например карбида вольфрама, карбида титана в качестве материала инструмента [Берин И.Ш., Днестровский Н.З. Волочильный инструмент. М.: Металлургия, 1971. С27-28].
Керамический материал (керамика) – это материал на основе тугоплавких соединений, т.е. соединений неметаллов III-VI групп периодической системы элементов друг с другом и(или) с любыми металлами. Такими соединениями являются бориды, карбиды, нитриды и оксиды металлов или сложные соединения на их основе. Термин керамика относится к объемным телам, пленкам, покрытиям. Частным случаем керамики являются композиционные материалы (керметы или твердые сплавы), состоящие из одной или нескольких керамических и металлических фаз. В качестве керамических фаз обычно используют бориды, карбиды, нитриды и оксиды металлов, а металлических – металлы, например Со, Ni, Mo и др. [С.82-85, Словарь-справочник по новой керамике / Шведков Е.Л., Ковенский И.И., Денисенко Э.Т., Зырин А.В.; Отв. ред. Трефилов В.И.; АН УССР. Ин-т пробл. Материалловедения им. И.Н.Францевича. – Киев: Наук. Думка, 1991. – 280 с.].
Что касается практического применения керамических материалов, то их использование основывается на высокой твердости, которая на практике считается эквивалентной «высокой прочности на износ и истирание». Как показывает практика, различные тугоплавкие соединения со сходными характеристиками твердости проявляют по отношению к одному и тому же металлу (и наоборот) различную активность с точки зрения адгезионного взаимодействия. Критериев, которые позволяли бы сделать выбор между различными материалами со сходными характеристиками твердости, в настоящее время нет.
Известен способ контроля адгезионной прочности клеевых соединений [А.С. СССР 1000863, G01N 19/04, опубл. 28.02.1983]. В этом способе перед склеиванием элементов измеряют величину работы выхода электронов со склеиваемых поверхностей. Работа выхода электронов зависит от качества поверхности. По величине работы выхода электронов судят о качестве подготовки поверхностей, что позволяет прогнозировать адгезионную прочность: большей величине работы выхода электронов соответствует большая адгезионная прочность клеевого соединения.
Известен способ определения адгезионной способности покрытия к неорганической подложке [А.С. СССР 1390542 A1, G01N 21/17, опубл. 23.04.1988]. В этом способе измеряют величину фотоэмиссионного тока подложки до нанесения покрытия и подложки с участками покрытия после его удаления. Наличие на поверхности подложки органических веществ с отличной от подложки работой выхода электронов приводит к изменению величины фотоэмиссионного тока. По относительному изменению тока фотоэмиссии определяют наличие органических веществ на поверхности подложки, что позволяет судить об адгезионной способности покрытия к подложке.
Известен способ волочения труб, включающий деформацию заготовки инструментом, выполненным из материала, препятствующего налипанию на него алюминия [Патент РФ 2296635 С1, опубл. 10.04.2007 – прототип].
Признаком, сходным с отличительным признаком заявляемого способа, является выполнение инструмента из материала, препятствующего налипанию на него металла, а именно – из сплава на основе никеля, содержание никеля в котором превышает 74 вес.%. Существенным признаком в заявляемом способе является выполнение инструмента из материала с определенными физическими свойства, а именно – из материала, работа выхода электронов которого не менее 4,0 эВ.
Известный способ имеет следующие недостатки. Применение инструмента, выполненного из сплава на основе никеля, ограничено волочением заготовок из алюминия.
Технической задачей, на решение которой направлено заявленное изобретение, является повышение качества поверхности труб путем исключения адгезионного разрушения поверхностного слоя металла и обеспечения шероховатости его поверхности по параметру Ra не более 1,0 мкм.
Выбор значения параметра Ra не более 1,0 мкм обоснован требованиями технических условий (ТУ 14-ЗР-760-2006, ТУ 14-159-295-2004, ТУ 14-161-216-2003), по которым шероховатость внутренней поверхности труб по параметру Ra должна быть не более 1,0 мкм.
Указанная задача решается тем, что в способе волочения стальных труб, включающем выбор материала инструмента и деформацию заготовки инструментом из керамического материала, согласно изобретению материал инструмента выбирают из условия величины работы выхода электронов материала не менее 4,0 эВ.
Сущность изобретения заключается в том, что деформацию металла производят инструментом, выполненным из керамического материала с определенными физическими свойствами, а именно – из материала, работа выхода электронов которого не менее 4,0 эВ.
Заявленное значение работы выхода электронов материала инструмента обеспечивает качественное изменение механизма адгезионного взаимодействия инструмента с металлом. Это изменение заключается в том, что разрушение адгезионных связей (мостиков сварки) между инструментом и металлом происходит не в поверхностном слое(объеме) металла, а по границе(поверхности) контакта инструмента с металлом и представляет собой не процесс когезионного разрушения металла, а разрыв адгезионной связи по границе инструмент-металл. В результате исключается разрушение поверхностного слоя металла, что обеспечивает качественное изменение шероховатости поверхности труб в заявляемом способе волочения по сравнению с известным.
Выбор значения работы выхода материала не менее 4,0 эВ обоснован тем, что это значение, как установлено экспериментально, обеспечивает исключение разрушения поверхностного слоя металла и достижение шероховатости его поверхности по параметру Ra не более 1,0 мкм.
Верхнее значение работы выхода электронов материала не оговаривается, так как ограничивать его нецелесообразно: чем больше работа выхода электронов материала, тем меньше интенсивность эмиссии электронов с его поверхности и меньше интенсивность адгезионного взаимодействия.
Суть адгезионного взаимодействия инструмента с металлом заключается в следующем. При сближении двух твердых тел на расстояние, соизмеримое с параметрами решетки, происходит объединение валентных электронов и образование общего электронного облака, взаимодействующего с атомами обеих поверхностей. Образование такой металлической связи представляет собой адгезионное взаимодействие (сцепление, прилипание) двух твердых тел [Сахацкий Г.П. Технология сварки металлов в холодном состоянии [Текст] / Г.П.Сахацкий. – Киев: Наукова Думка, 1979. – 296 с.].
В процессе трения материал инструмента подвержен энергетическому воздействию: механической и термической активации. Упругая деформация и нагрев материала повышают энергию его атомов. Слабосвязанные электроны в возбужденных атомах забрасываются на более высокие энергетические уровни, что ведет к повышению энергии решетки и, как следствие, к снижению работы выхода электрона. Те же самые процессы происходят в деформируемом металле. Влияние энергетического воздействия на материал сводится, по существу, к активации экзоэлектронной эмиссии с его поверхности и, тем самым, обеспечению интенсивного электронного обмена между поверхностями трения [А.С. СССР 938094, G01N 3/56, опубл. 23.06.1982, Дерягин П.В., Кротова Н.А., Смилга В.П. Адгезия твердых тел. М.: Наука, 1973. С. 57-56].
Тугоплавкие соединения: карбиды, нитриды и оксиды металлов имеют разный тип связи, точнее разные соотношения металлического, ковалентного, ионного взаимодействия. Эти различия проявляются в разных значениях работы выхода электронов, которая определяет энергетический порог возбуждения материала. Чем выше этот порог, тем больше энергетические затраты для возбуждения материала и выхода электронов с его поверхности.
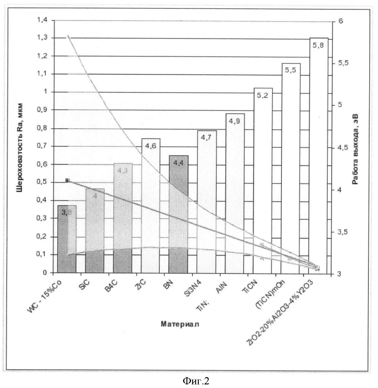
В таблице 1 приведены значения работы выхода электронов ряда керамических материалов на основе тугоплавких соединений: карбидов (WC, SiC, ZrC, B4C), нитридов (TiN, AlN, Si3N4, BN), оксидов (Al2O3, ZrO2) металлов и комбинированных соединений (TiCN, (TiCN)mOn). Эмиссионные свойства этих материалов исследовали с использованием метода фотостимулированной экзоэлектронной эмиссии. Образцы изготавливали в виде таблеток диаметром 10 мм и толщиной 1 мм. Поверхность образцов обработана алмазным кругом и подвергнута полированию алмазной пастой до шероховатости Ra 1. – С.50-60].
Как видно из таблицы 1, заявляемому значению работы выхода электронов удовлетворяют материалы на основе следующих тугоплавких соединений: SiC, B4C, ZrC, BN, Si3N4, TIN, AlN, TiCN, (TiCN)mOn, ZrO2. Причем выбор материалов на основе оксидов и комбинированных соединений, как следует из таблицы 1, предпочтительнее по сравнению с карбидами и нитридами.
Пример. Проводилось изготовление труб из коррозионностойкой стали марки 08Х18Н10Т.
Трубы размером 12×1,2 мм изготавливались волочением на оправке. Волочение труб производилось по маршруту 16×1,5 12×1,2 мм с коэффициентом вытяжки, равным 1,68. В качестве технологической смазки использовался хлорированный парафин марки ХП-600. Поверхность оправки обработана алмазным кругом и подвергнута полированию алмазной пастой до шероховатости Ra=0,32 мкм.
При волочении по описываемому способу в качестве керамического материала оправки выбраны материалы на основе тугоплавких соединений:
– карбонитрида титана (Состав материала: 78% TiCN – Mo, Ni. Работа выхода электронов материала – 5,2 эВ (см. табл.1));
– оксикарбонитрида титана (Состав материала: не менее 70%(TiCN)mOn – Zr, Та, Nb. Работа выхода электронов материала – 5,5 эВ (см. табл.1));
– диоксида циркония (Состав материала: ZrO2 – 20% Al2O3 – 4% Y2O3. Работа выхода электронов материала – 5,8 эВ (см. табл.1)).
Для получения сравнительных данных производилось волочение труб известным способом. При волочении по известному способу в качестве керамического материала оправки использовался материал на основе карбида вольфрама. Состав материала: WC – 15% Со. Работа выхода электронов материала – 3,8 эВ (см. табл.1).
Адгезионное взаимодействие инстумента с металлом оценивали по состоянию внутренней поверхности труб до и после волочения. Оценка состояния поверхности производилась путем определения параметра шероховатости Ra по ГОСТ 2789-73. Измерения параметра Ra производили в соответствии с ГОСТ 2789-73 и осуществляли на профилометре модели 296 (тип II). По результатам измерений определяли минимальное и макисмальное значения, вычисляли выборочное среднее значение параметра Ra. Данные представлены в таблице 2 и иллюстрируются фигурой 1, 2.
Как видно из таблицы 2, по сравнению с известным предлагаемый способ волочения обеспечивает достижение шероховатости поверхности труб по параметру Ra не более 1,0 мкм.
На фигуре 1 представлена зависимость шероховатости поверхности трубы от работы выхода электронов материала инструмента.
На фигуре 2 – шероховатость поверхности трубы и диаграмма работы выхода электронов керамических материалов.
На фигуре 1 видно, чем больше работа выхода , тем меньше среднее значение параметра шероховатости Ra. Эта зависимость описывается линейным уравнением при коэффициенте достоверности аппроксимации R2=0,9987. Поле рассеивания параметра Ra, ограниченное на фигуре 1 тонкими линиями, также зависит от работы выхода: чем больше работа выхода, тем меньше поле рассеивания параметра шероховатости Ra. Эти результаты показывают, что адгезионное взаимодействие связано с работой выхода электронов: чем больше работа выхода электронов, тем меньше адгезионное взаимодействие инструмента с металлом.
Из фигуры 1 также следует: для достижения субмикронной чистоты поверхности труб с параметром шероховатости Ra не более 1,0 мкм работа выхода электронов должна быть не менее 4,0 эВ.
Как видно из фигуры 2, заявляемому значению работы выхода электронов удовлетворяют материалы на основе следующих тугоплавких соединений: SiC, B4C, ZrC, BN, Si3N4, TIN, AlN, TiCN, (TiCN)mOn, ZrO2. Причем выбор материалов на основе оксидов и комбинированных соединений, как следует из фигуры 2, предпочтительнее по сравнению с карбидами и нитридами.
| Таблица 1 |
| Работа выхода электронов керамического материала |
| Керамический материал |
Работа выхода, , эВ |
| Тип соединения |
Основной состав |
| Карбиды |
WC |
3,8 |
| SiC |
4,0 |
| В4С |
4,3 |
| ZrC |
4,6 |
| Нитриды |
BN |
4,4 |
| Si3N4 |
4,7 |
| TiN |
4,9 |
| A1N |
4,9 |
| Комбинированные |
TiCN |
5,2 |
| (TiCN)mOn |
5,5 |
| Оксиды |
ZrO2 |
5,8 |
| Таблица 2 |
| Состав и работа выхода электронов материала инструмента, шероховатость поверхности труб при изготовлении по известному и предлагаемому способам |
| Способ волочения |
Состав материала инструмента |
Работа выхода, эВ |
Шероховатость поверхности труб, Ra, мкм |
| перед волочением |
после волочения |
| известный |
WC – 15% Со |
3,8 |
 |
 |
| предлагаемый |
78% TiCN – Mo, Ni |
5,2 |
 |
 |
| не менее 70% (TiCN)mOn – Zr, Та, Nb |
5,5 |
 |
| ZrO2 – 20% Al2O3 – 4% Y2O3 |
5,8 |
 |
 |
Формула изобретения
Способ волочения стальных труб, включающий выбор материала инструмента и деформацию заготовки инструментом из керамического материала, отличающийся тем, что материал инструмента выбирают из условия величины работы выхода электронов материала не менее 4,0 эВ.
РИСУНКИ
|
|