|
|
(21), (22) Заявка: 2009132450/09, 27.08.2009
(24) Дата начала отсчета срока действия патента:
27.08.2009
(46) Опубликовано: 27.08.2010
(56) Список документов, цитированных в отчете о поиске:
SU 1821855 A1, 15.06.1993. JP 63-1316041, 03.06.1988. КАНАРЕЙКИН Д.Б. и др. Поляризация радиолокационных сигналов. – М.: Советское Радио, 1966, с.374-375.
Адрес для переписки:
634045, г.Томск, ул. Вершинина, 47, ЗАО “НПФ “Микран”, патентный отдел
|
(72) Автор(ы):
Доценко Владимир Викторович (RU), Осипов Михаил Витальевич (RU), Хлусов Валерий Александрович (RU)
(73) Патентообладатель(и):
Закрытое акционерное общество “Научно-производственная фирма Микран” (RU)
|
(54) РАДИОЛОКАЦИОННЫЙ ОТРАЖАТЕЛЬ С УПРАВЛЯЕМЫМИ ПОЛЯРИЗАЦИОННЫМИ СВОЙСТВАМИ
(57) Реферат:
Изобретение относится к радиолокационной технике и может служить в качестве маркерного отражателя при решении задач навигации по пассивным маякам, а также калибровочным отражателем при калибровке поляризационных РЛС. Техническим результатом является обеспечение возможности имитации поляризационных свойств любых радиолокационных отражателей, в том числе с невзаимными свойствами обратного рассеяния электромагнитного поля. Устройство представляет собой пассивную переизлучающую антенну полного поляризационного «приема-передачи» электромагнитного поля, поляризационные свойства обратного рассеяния которой в главном лепестке диаграммы направленности могут быть заданы произвольным образом путем управления фазой и амплитудой ортогональных (по поляризации) компонент переизлучаемого поля. При этом в тракты питающих фидеров антенны введены невзаимные элементы – циркуляторы, обуславливающие разные пути прохождения ортогональных по поляризации компонент падающего поля при его обратном переизлучении. Установка требуемых параметров собственных поляризаций и коэффициента невзаимности отражателя производится путем регулировки управляемых аттенюаторов и фазовращателей, включенных в тракты прохождения ортогональных по поляризации компонент переизлучаемого поля, а также заданием угла ориентации фазовой пластинки в круглом волноводе облучателя переизлучающей антенны. 1 ил.
Изобретение относится к радиолокационной технике и может служить в качестве маркерного отражателя при решении задач навигации по пассивным маякам, а также калибровочным отражателем при калибровке поляризационных РЛС.
Недостатки этого устройства заключаются в том, что устройство-аналог может имитировать ограниченный класс взаимных отражателей, что ограничивает его возможности в задаче имитации произвольных, в том числе невзаимных радиолокационных объектов.
Известен радиолокационный отражатель с управляемыми поляризационными свойствами (а.с. SU 1821855, МКИ H01Q 15/18, опубл. 15.06.93), выбранный нами за прототип, который включает излучатель, выполненный в виде отрезка круглого волновода, внутри которого размещена четвертьволновая диэлектрическая пластинка, а его конец соединен соосно с секцией круглого волновода через вращающееся сочленение, поляризационный разделитель, вход которого соединен с секцией круглого волновода, первый и второй аттенюаторы, управляемый фазовращатель, вход которого соединен с выходом первого аттенюатора, причем выходы второго аттенюатора и управляемого фазовращателя закорочены. Радиолокационный отражатель позволяет имитировать свойства обратного рассеяния любого из возможных в природе отражателей электромагнитного поля с взаимными свойствами обратного рассеяния радиоволн. При этом параметры обратного рассеяния отражателя оперативно и наглядно задаются путем регулировки коэффициентов передачи фазовращателей и аттенюаторов, входящих в его функциональную схему.
Недостатком данного устройства является то, что оно не может имитировать невзаимные отражатели, для которых в общем случае матрица обратного рассеяния несимметрична.
Основная техническая задача состоит в создании радиолокационного отражателя с управляемыми поляризационными свойствами, функциональные возможности которого позволят решать задачи имитации рассеивающих свойств любых радиолокационных объектов, в том числе с невзаимными свойствами обратного рассеяния.
Поставленная техническая задача достигается тем, что в радиолокационном отражателе с управляемыми поляризационными свойствами, содержащем излучатель, выполненный в виде отрезка круглого волновода, внутри которого размещена четвертьволновая диэлектрическая пластинка, а его конец соединен соосно с секцией круглого волновода через вращающееся сочленение, поляризационный разделитель, вход которого соединен с секцией круглого волновода, первый и второй управляемые аттенюаторы, первый управляемый фазовращатель, вход которого соединен с выходом первого управляемого аттенюатора, причем выходы второго управляемого аттенюатора и первого управляемого фазовращателя закорочены, согласно предложенному решению введены первый и второй делители мощности, входы которых соединены с плечами поляризационного разделителя, а первые выходы соединены с входами первого и второго управляемых аттенюаторов соответственно, третий управляемый аттенюатор и второй управляемый фазовращатель, вход которого соединен с выходом третьего управляемого аттенюатора, а вход третьего управляемого аттенюатора соединен со вторым выходом первого делителя мощности, первый и второй идентичные трехпортовые циркуляторы и третий фазовращатель, причем первый порт первого циркулятора соединен с выходом второго управляемого фазовращателя, второй порт первого циркулятора соединен с входом третьего фазовращателя, выход третьего фазовращателя соединен с первым портом второго циркулятора, второй порт второго циркулятора соединен со вторым выходом второго делителя мощности, а третий порт первого циркулятора соединен с третьим портом второго циркулятора,
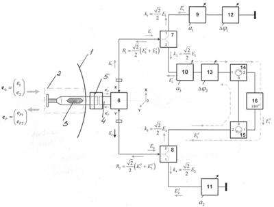
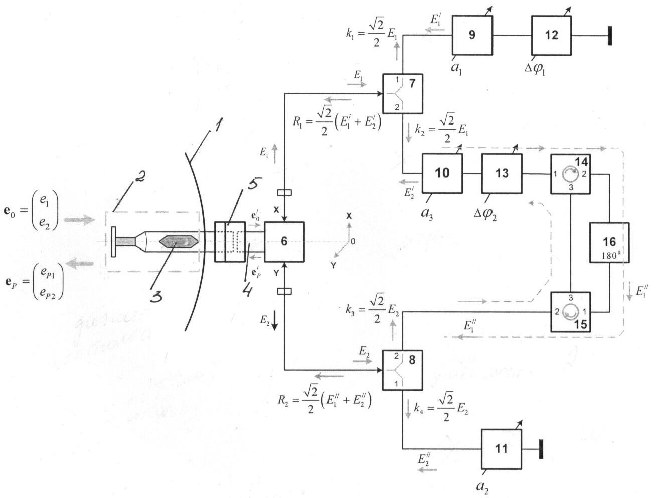
На чертеже представлена функциональная схема предлагаемого устройства.
Устройство содержит параболическое зеркало 1 с симметричным излучателем 2 в виде отрезка круглого волновода, внутри которого размещена четвертьволновая диэлектрическая пластинка 3, а его конец соединен с секцией круглого волновода 4 через вращающееся сочленение 5, поляризационный разделитель 6, соединенный с выходом секции круглого волновода 4, первый 7 и второй 8 делители мощности, входы которых соединены соответственно с плечами поляризационного разделителя 6, первый, второй и третий управляемые аттенюаторы 9, 10, 11, первый и второй управляемые фазовращатели 12 и 13, идентичные первый и второй трехпортовые циркуляторы 14 и 15, третий фазовращатель 16. Вход первого управляемого аттенюатора 9 соединен с первым выходом делителя мощности 7, а выход аттенюатора 9 соединен с входом первого управляемого фазовращателя 12, выход которого закорочен. Вход третьего управляемого аттенюатора 10 соединен со вторым выходом первого делителя мощности 7, а выход третьего аттенюатора 10 соединен с входом второго управляемого фазовращателя 13, выход которого соединен с первым портом первого циркулятора 14. Второй порт первого циркулятора 14 соединен с входом фазовращателя 16, выход которого соединен с первым портом второго циркулятора 15. Третий порт второго циркулятора 15 соединен с третьим портом первого циркулятора 14, а второй порт второго циркулятора 15 соединен со вторым выходом второго делителя мощности 8. Первый выход второго делителя мощности 8 соединен с входом третьего управляемого аттенюатора 11, выход которого закорочен. Все аттенюаторы и фазовращатели схемы отражателя являются двунаправленными пассивными устройствами.
Радиолокационный отражатель работает следующим образом.
Падающее на радиолокационный отражатель электромагнитное поле e0 возбуждает в круглом волноводе излучателя 2 поле, описываемое эти же вектором, которое проходит четвертьволновую диэлектрическую пластинку 3, при этом в секции круглого волновода 4 формируется поле , связанное с полем e0 соотношением:

где F – оператор пропускания четвертьволновой диэлектрической пластинки 3, ориентированной под углом по отношению к оси 0Х системы координат, образованной осями плеч поляризационного разделителя 6. Поле возбуждает на выходах плеч поляризационного разделителя 6 два сигнала Е1 и E2. Эти сигналы, поскольку они распространяются в независимых каналах х и у плеч поляризационного разделителя 6, можно записать в виде вектора

Каждый из сигналов Е1 и Е2, при помощи первого и второго делителей мощности 7 и 8 разветвляется на два сигнала (k1, k2 и k3, k4 соответственно, см. чертеж). При этом в каждом из разветвленных каналов сигналы идентичны входным сигналам первого и второго делителей мощности 7 и 8, а их амплитуда уменьшается в раз. Для простоты мы не учитываем потери в реальном делителе мощности, поскольку это не имеет принципиального значения. На чертеже обозначены составляющие сигналов и их направления распространения.
В силу того, что выходы первого и второго делителей мощности 7 и 8 «развязаны» между собой (по принципу работы этих устройств), можно независимо от сигналов k3, k4 рассмотреть прохождение сигналов k1 и k4, через отдельные элементы схемы, при этом можем также записать эти сигналы в виде вектора

а отраженные сигналы и определить соотношением

где a1 – коэффициент передачи первого аттенюатора 9;
a2 – коэффициент передачи третьего аттенюатора 11;
 1 – сдвиг фазы во втором управляемом двунаправленном фазовращателе 12 при проходе сигнала в прямом либо обратном направлении.
Аналогично, в силу того, что первые и вторые выходы делителей мощности 7 и 8 «развязаны», можно независимо рассмотреть прохождение сигналов k2 и k3 через отдельные элементы схемы, при этом можем также записать эти сигналы в виде вектора

(такого же, как и вектор (3), поскольку k1=k2, k3=k4), и отраженные сигналы и определить соотношением

где a3 – коэффициент передачи второго аттенюатора 10;
 2 – сдвиг фазы во втором управляемом двунаправленном фазовращателе 13 при проходе сигнала в прямом либо обратном направлении.
Поскольку коэффициент передачи амплитуды сигналов с выходов первого и второго делителей мощности 7 и 8 на его вход равен (по принципу работы таких устройств), отраженные сигналы R1 и R2 можно записать в виде вектора

который описывает отраженное поле в секции круглого волновода 4, которое распространяется в обратном по отношению к волне направлении.
Поле проходит четвертьволновую диэлектрическую пластинку 3 в обратном по отношению к волне направлении и излучается в пространство. При этом отраженное поле ep описывается соотношением:

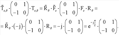
Знак ~ означает операцию транспонирования оператора, либо вектора (в данном случае транспонирование учитывает изменение направления движения волны через четвертьволновую диэлектрическую пластинку 3, которая при прямом прохождении имеет оператор пропускания F (1)).
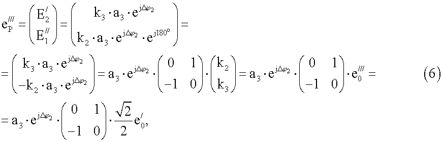
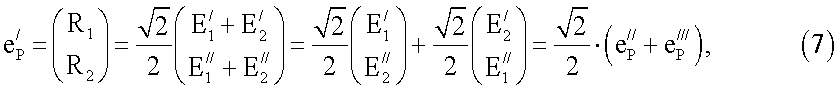
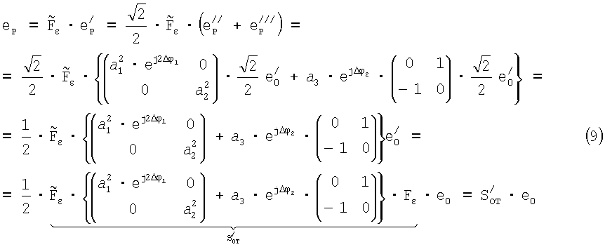
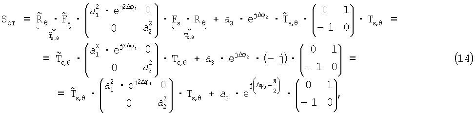
Таким образом, учитывая выражения (1), (4), (6,7), выражение (8) можем записать в виде развернутого соотношения, определяющего взаимосвязь между падающим полем е0 и отраженным полем eP:

где – матрица обратного рассеяния заявляемого отражателя, представленная в системе координат X0Y, образованной осями плеч поляризационного разделителя 6.
Выпишем выражение для матрицы обратного рассеяния отражателя SOT в виде суммы двух операторов:

В системе координат, повернутой относительно системы координат X0Y на угол , матрица обратного рассеяния отражателя принимает вид:

где R – оператор поворота системы координат на угол .

Оператор F пропускания четвертьволновой диэлектрической пластинки 3, ориентированной под углом относительно системы координат X0Y, имеет вид:

где R – оператор поворота системы координат на угол .
С учетом выражений (12), (13) выражение (11) принимает вид:

поскольку имеет место соотношение:

Таким образом, матрица обратного рассеяния SOT заявляемого отражателя имеет вид

Известно (Хлусов В.А. Параметризация матрицы обратного рассеяния невзаимных сред. – Оптика атмосферы и океана. 1995, т.8, 10, 1441-1445), что матрица обратного рассеяния S произвольного, в общем случае частично-невзаимного объекта имеет вид суммы двух операторов, симметричного SC и антисимметричного SA:

где SC – симметричный оператор, описывающий взаимные свойства отражателя;
SA – антисимметричный оператор, описывающий невзаимные свойства отражателя;
, – собственные числа симметричного оператора SC;
– унитарный оператор группы вращений векторов Джонса в пространстве их проекций на сферу Пуанкаре, заданный углами эллиптичности 0 и ориентации 0 собственного базиса симметричного оператора SC;
– половинная разность внедиагональных элементов матрицы обратного рассеяния S, определяющая степень невзаимности свойств объекта.
Сумма квадратов модулей величин   определяет эвклидову норму ||S|| матрицы S, которая пропорциональна полной эффективной поверхности обратного рассеяния (ЭПР) отражающего объекта: Нормированная к величине ||S|| матрица обратного рассеяния (16) принимает вид:

Сравнивая выражение (15) для матрицы обратного рассеяния управляемого радиолокационного отражателя с выражением (17) для произвольного, в общем случае невзаимного объекта, можно видеть их полное совпадение. Таким образом, в силу того, что формы матриц (15) и (17) идентичны, можно утверждать, что управляемый радиолокационный отражатель, схема которого приведена на чертеже, позволяет имитировать свойства обратного рассеяния любого, произвольного отражателя, в том числе с невзаимными свойствами обратного рассеяния радиоволн.
Для имитации рассеивающих свойств радиолокационного объекта, нормированная матрица обратного рассеяния (17) которого, представленная в системе координат X0Y, имеет собственные числа  нормированную половинную разность внедиагональных элементов угол эллиптичности 0 и угол ориентации 0 собственного поляризационного базиса необходимо:
– установить угол ориентации четвертьволновой диэлектрической пластинки 3 относительно плеч поляризационного разделителя 6, равным = 0;
– установить угол ориентации плеч поляризационного разделителя 6 (путем поворота всей конструкции отражателя) относительно системы координат X0Y, равным = 0– 0;
– установить ослабление первого аттенюатора 9, равным величине ;
– установить значение фазового сдвига в первом управляемом фазовращателе 12, равным величине  1=0,5 ;
– установить ослабление второго аттенюатора 11, равным величине 
– установить ослабление третьего аттенюатора 10, равным величине a3=m3;
– установить значение фазового сдвига во втором фазовращателе, равным величине 
Формула изобретения
Радиолокационный отражатель с управляемыми поляризационными свойствами, содержащий излучатель, выполненный в виде отрезка круглого волновода, внутри которого размещена четверть волновая диэлектрическая пластинка, а его конец соединен соосно с секцией круглого волновода через вращающееся сочленение, поляризационный разделитель, вход которого соединен с секцией круглого волновода, первый и второй управляемые аттенюаторы, первый управляемый фазовращатель, вход которого соединен с выходом первого управляемого аттенюатора, причем выходы второго управляемого аттенюатора и первого управляемого фазовращателя закорочены, отличающийся тем, что введены первый и второй делители мощности, входы которых соединены с плечами поляризационного разделителя, а первые выходы соединены с входами первого и второго управляемых аттенюаторов, соответственно, третий управляемый аттенюатор и второй управляемый фазовращатель, вход которого соединен с выходом третьего управляемого аттенюатора, а вход третьего управляемого аттенюатора соединен со вторым выходом первого делителя мощности, первый и второй идентичные трехпортовые циркуляторы и третий фазовращатель, причем первый порт первого циркулятора соединен с выходом второго управляемого фазовращателя, второй порт первого циркулятора соединен с входом третьего фазовращателя, выход третьего фазовращателя соединен с первым портом второго циркулятора, второй порт второго циркулятора соединен со вторым выходом второго делителя мощности, а третий порт первого циркулятора соединен с третьим портом второго циркулятора.
РИСУНКИ
|
|