Патент на изобретение №2168518
|
||||||||||||||||||||||||||
(54) СОСТАВ, СПОСОБНЫЙ К ПОЛИМЕРИЗАЦИИ
(57) Реферат: Описывается состав для метатезисной полимеризации, содержащий а) один дициклопентадиен или в смеси с другим затрудненным циклоолефином и б) каталитическое количество катионоактивного соединения рутения или осмия в качестве катализатора. Состав отличается тем, что соединение рутения или осмия соответствует соединению формулы VIII-VIIId (R26R27R28P)L1Me2+(Z11)Z2-1 (VIII), (R26R27R28P)2L1Me2+(Z11-)Z2-1 (VIIIa), (R26R27R28P)L1L2Me2+(Z11-)Z2-1 (VIIIb), (R26R27R28P)3L1Me2+(Z11-)Z2-1 (VIIIc), (R26R27R28P)(L1)2Me2+(Z11-)Z2-1 (VIIId), где Me является Ru или Os; Z1 и Z2 обозначает независимо друг от друга Н–, циклопентадиенил, Сl–, Br–, BF4–, PF6–, SbF6–, AsF6–, CF3SO3–, C6H5-SO3–, 4-метил-C6H5-SO3–, 3,5-диметил-C6H5-SO3–, 2,4,6-триметил-C6H5-SO3– или 4-CF3-C6H5-SO3–; R26, R27 и R28 обозначают независимо друг от друга водород, C1-С6-алкил, незамещенный или замещенный 1-3 С1-С4-алкилами циклопентил, или циклогексил, или циклопентилоксил, или циклогексилоксил, или незамещенный или замещенный 1-3 C1-С4-алкилами фенил, или бензил, или фенилоксил, или бензилоксил; L1 представляет собой незамещенный или замещенный 1-3 C1-С4-алкилами, C1-С4-алкоксилом, -ОН, -F или C1-C6-С16-арен или C5-С16-гетероарен или С1-С6-алкил -CN, бензонитрил или бензилнитрил, причем L1 в формуле VIIId имеет при необходимости разное значение; и 2 обозначает Н2О или С1-С6-алканол. Новый состав способен к термической полимеризации (метатезисной) и пригоден для изготовления формованных тел и покрытий. 23 з. п. ф-лы, 2 табл. Изобретение относится к составу из дициклопентадиена (ДЦПД) самого или в смеси по меньшей мере с одним затрудненным циклоолефином и однокомпонентным катализатором из группы фосфинов рутения и осмия; способу для проведения термической метатезисной полимеризации дициклопентадиена; покрытым слоем материалам; линейным или “сшитым” сополимерам из дициклопентадиена и по меньшей мере одного затрудненного циклоолефина. Вызванная нагреванием метатезисная полимеризация с размыканием кольца с применением каталитических количеств соединений металлов известна уже давно и неоднократно описывалась в литературе [(см., например, Ivin, K.J., Olefin Metathesis 1-12, Academic Press, London (1983)]. Такие полимеры получают промышленным путем и их можно найти в продаже, например Vestenamer .Описаны молибден- и вольфрамалкилиденовые комплексы [Feldman J., Schrock R.R., Lippard S.J. (Hrsg.), Progress in Inorganic Chemistry 39:1-74 (1991)], которые сами по себе являются слабыми, а в сочетании с люисными кислотами эффективными термическими катализаторами для полимеризации циклоолефинов. В WO 93/13171 описываются устойчивые к воздействию атмосферы и воды однокомпонентные и двухкомпонентные катализаторы на основе соединений молибдена и вольфрама, а также рутения и осмия, содержащих карбонильные группы, по меньшей мере с одним полиеновым лигандом для проведения термической метатезисной полимеризации и фотоактивированной метатезисной полимеризации затрудненных циклоолефинов, особенно норборнена и производных норборнена. Другие полициклические – и прежде всего неконденсированные полициклические циклоолефины – не упоминаются. Применяемые однокомпонентные катализаторы соединений рутения, а именно [Ru(кумен) Cl2)]2 и [(C6H6)Ru(CH3 CN)2Cl] +PF6–, могут, правда, активизироваться благодаря ультрафиолетовому облучению; однако устойчивость при хранении составов с норборненом крайне неудовлетворительна. Эти катализаторы способны заменить известные двухкомпонентные катализаторы лишь в незначительной степени. Дано описание (C6H5)3]PRuCl2, (C6H5)3 PRuHCl и (p-кумен)RuCl2P(C6H11)3 [Demonceau A., Noels A.F., Saive Е., Hubert A.J., J. Mol. Catal. 76:123-132 (1992)] , выступающих в качестве термических катализаторов в процессе метатезисной полимеризации с размыканием кольца норборнена, конденсированного полициклоолефина. По причине своей низкой активности эти катализаторы не могли использоваться в промышленном производстве. Поэтому предлагается повысить их активность путем добавления сложных диазоэфиров. Упоминается также, что лишь (p-кумен)RuCl2P(C6H6)3 способен полимеризовать норборнен в относительно короткое время при температуре 60oC. В качестве другого мономера упоминается еще циклооктен. О других циклоолефинах, предназначенных для метатезисной полимеризации, не говорится. В WO 93/20111 в качестве чисто термических катализаторов для проведения метатезисной полимеризации с размыканием кольца затрудненных циклоолефинов описаны карбеновые соединения осмия и рутения, содержащие фосфиновые лиганды, например [(H5C6)P] 2Cl2 =CH-CH=C(C6H5)2, причем циклодиены, как дициклопентадиен, действуют как ингибиторы и не могут полимеризоваться. Эти катализаторы трудно получить и они не очень устойчивы к действию влаги, так что для хранения и переработки составов с такими катализаторами требуются особые меры предосторожности. Описывается также, что соединение рутения RuCl2[PC6H5)3]3 теряет активность из-за дициклопентадиена, и полимеры путем термической метатезисной полимеризации не образуются [Tanielan C., Kieffer R., Harfouch A., Tetrahedron Letters 52:4589-4592 (1977)]. Неожиданным образом обнаружилось, что можно проводить термическую метатезисную полимеризацию дициклопентадиена с однокомпонентным катализатором, если применять фосфиновые катализаторы рутения (II) или осмия (II), не содержащие карбенов. Также выяснилось, что можно получить даже линейный полициклопентадиен, если вести процесс полимеризации в подходящих для этой цели растворителях, и получать “сшитые” полимеризаты, если вести процесс полимеризации в веществе. Также обнаружилось, что сама полимеризация происходит в присутствии добавок синтетических веществ, например наполнителей, и получаются формованные тела, пленки или покрытия, обладающие отличными физическими и механическими свойствами. Также наблюдалось, что составы из ДЦПД и фосфиновых катализаторов рутения (II) или осмия (П), не содержащих карбенов, устойчивы к воздействию атмосферы и влаги, а поэтому обладают высокой устойчивостью при хранении при необходимости в темноте, и для полимеризации не требуется принятие каких-либо особых мер предосторожности, что несет с собой значительную выгоду в процессе переработки. Обнаружилось еще и то, что ДЦПД можно сополимеризовать при использовании этих катализаторов вместе с затрудненными циклоолефинами в качестве сомономеров. Предметом изобретения является состав из (a) дициклопентадиена самого или в смеси с затрудненным циклоолефином и (b) каталитического количества по меньшей мере одного двухвалентного катионоактивного соединения рутения или осмия в качестве однокомпонентного катализатора, свободного от карбенов, содержащего по меньшей мере одну группу фосфинов и всего от 2 до 5 лигандов, связанных с атомом металла, и анионы кислоты для уравнивания зарядов. “Всего” в рамках изобретения обозначает сумму групп фосфинов и лигандов. Соединения рутения и осмия содержат предпочтительно всего 2 или 3 лиганда. В отношении фосфиновых групп речь идет предпочтительно о третичных фосфинах и фосфитах, в частности о фосфинах, содержащих от 3 до 40, предпочтительно от 3 до 30 и лучше всего от 3 до 24 атомов углерода. Дициклопентадиен формулы ![]() является димером циклопентадиена, который известен и имеется в продаже. Однако известно, что дициклопентадиен с циклопентадиеном образует другие продукты присоединения по Диелсу-Альдеру и так образует олигомеры, которые также можно применять. Таким образом, согласно изобретению можно применять чистый дициклопентадиен, олигомеры дициклопентадиена или их смеси в составе. Олигомеры могут соответствовать формуле ![]() где p обозначает число от 1 до 100, предпочтительно от 1 до 50, наиболее предпочтительно от 1 до 20 и лучше всего от 1 до 10. Затрудненные циклоолефины, которые могут содержаться в заявленном составе в качестве сомономеров, известны в большом количестве. В отношении циклических олефинов можно говорить о моноциклических или полициклических конденсированных и/или замкнутых мостиковой связью кольцевых системах, имеющих, например, от 2 до 4 колец, незамещенных или замещенных и способных содержать гетероатомы, например О, S, N или Si, в одном или нескольких кольцах и/или конденсированные ароматические или гетероароматические кольца, как например о-фенилен, о-нафтилен, о-пиридинилен или о-пиримидинилен. Некоторые циклические кольца могут содержать от 3 до 16, предпочтительно от 3 до 12 и наиболее предпочтительно от 3 до 8 элементов кольца. Циклические олефины могут иметь и дополнительные неароматические двойные связи, в зависимости от размеров колец предпочтительно от 2 до 4 таких дополнительных двойных связей. В отношении заместителей колец речь идет о таких, которые являются инертными, т.е. не нарушают химическую стабильность соединений рутения и осмия. В отношении циклоолефинов речь идет о затрудненных кольцах или системах колец. Если циклические олефины содержат более одной двойной связи, например от 2 до 4 двойных связей, то в зависимости от условий реакции, выбранного мономера и количества катализатора также могут образовываться “сшитые” полимеризаты. Сконденсированные алициклические кольца содержат предпочтительно от 3 до 8, более предпочтительно от 4 до 7 и лучше всего 5 или 6 углеродных атомов кольца. В одном из предпочтительных вариантов выполнения заявленного способа циклоолефины соответствуют формуле I ![]() где Q1 является радикалом по меньшей мере с одним углеродным атомом, который вместе с группой -CH=CQ2 образует по меньшей мере 3-членное алициклическое кольцо, содержащее при необходимости один или несколько гетероатомов из группы силиция, фосфора, кислорода, азота и серы; и который является незамещенным или замещенным галогеном, =O, -CN, -NO2, R1R2R3Si-(О)u-, -COOM, -SO3M, -PO3M, -COO (M1)1/2, -SO3(M1)1/2, -PO3(M1)1/2, C1-C20-алкилом, C1-C20-гидроксиалкилом, C1-C20-галогеналкилом, C1-C6-цианоалкилом, C3-C8-циклоалкилом, C6-C16-арилом, C7-C16-аралкилом, C3-C6-гетероциклоалкилом, C3-C16-гетероарилом, C4-C16-гетероаралкилом или R4-X-; или у которого два соседних углеродных атома замещены -CO-O-CO- или -CO-NR5-CO-; или у которого при необходимости у соседних углеродных атомов алициклического кольца сконденсировано алициклическое, ароматическое или гетероароматическое кольцо, незамещенное или замещенное галогеном, -CN, -NO2, R6R7R8Si-(O)u-, -COOM, -SO3M, -PO3M, -COO(M1)1/2, -SO3(M1)1/2, -PO3(M1)1/2, C1-C20-алкилом, C1-C20-галогеналкилом, C1-C20-гидроксиалкилом, C1-C6-цианоалкилом, C3-C8-циклоалкилом, C6-C16-арилом, C7-C16-аралкилом, C3-C6-гетероциклоалкилом, C3-C16-гетероарилом, C4-C16-гетероаралкилом или R13-X1-; X и X1 независимо друг от друга стоят вместо -О-, -S-, -CO-, -SO-, SO2-, -O-C(О)-, -C(O)-O-, -C(O)-NR5-, NR10-C(O)-, -SO2-O- или -O-SO2-; R1, R2 и R3 независимо друг от друга обозначают C1-C12-алкил, C1-C12-перфторалкил, фенил или бензил; R4 и R13 самостоятельно обозначают C1-C20-алкил, C1-C20-галогеналкил, C3-C8-гидроксиалкил, C3-C8-циклоалкил, C6-C16-арил, C7-C16-аралкил; R5 и R10 независимо друг от друга обозначают водород, C1-C12-алкил, фенил или бензил, причем группы алкила в свою очередь являются незамещенными или замещены C1-C12-алкоксилом или C3-C8-циклоалкилом; R6, R7 и R8 независимо друг от друга обозначают C1-C12-алкил, C1-C12-перфторалкил, фенил или бензил; М стоит вместо щелочного металла, a M1 вместо щелочноземельного металла; и u стоит вместо 0 или 1; причем образованное с помощью Q1 алициклическое кольцо содержит при необходимости дополнительные неароматические двойные связи; Q2 представляет водород, C1-C20-алкил, C1-C20-галогеналкил, C1-C12-алкоксил, галоген, -CN, R11-X2-; R11 обозначает C1-C20-алкил, C1-C20-галогеналкил, C1-C20-гидроксиалкил, C3-C8-циклоалкил, C6-C16-арил или C7-C16-аралкил; X2 обозначает -C(О)-О- или -C(O)-NR12-; R12 представляет водород, C1-C12-алкил, фенил или бензил; причем вышеназванные группы циклоалкила, гетероциклоалкила, арила, гетероарила, аралкила и гетероаралкила являются незамещенными или замещены C1-C12-алкилом, C1-C12-алкоксилом, -NO2-, -CN или галогеном, и причем гетероатомы вышеназванных групп гетероциклоалкила, гетероарила и гетероаралкила выбраны из группы -О-, -S-, -NR9– и -N=; и R9 представляет водород, C1-C12-алкил, фенил или бензил. Сконденсированные алициклические кольца содержат предпочтительно от 3 до 8, более предпочтительно от 4 до 7, а лучше 5 или 6 углеродных атомов кольца. Если в соединениях формулы I есть несимметричный центр, то это ведет к тому, что соединения могут выступать в форме оптических изомеров. Некоторые соединения формулы I имеют форму таутомеров (например, кето-энольная таутомерия). Если есть алифатическая двойная связь C=C, то может иметь место также геометрическая изомерия (E-форма или Z-форма). Кроме того, возможны конфигурации внутри кольца и вне его. Формула I охватывает, таким образом, все возможные стереоизомеры, которые существуют в форме энантиомеров, таутомеров, диастереомеров, E-Z-изомеров или их смесей. В определениях, данных для заместителей, группы алкила, алкенила и алкинила могут иметь прямую или разветвленную цепь атомов. То же относится и к частям алкила групп, содержащих алкоксил, алкилтио, алкоксикарбонил, и других групп, содержащих алкил. Эти группы алкила содержат предпочтительно от 1 до 12, более предпочтительно от 1 до 8, а лучше от 1 до 4 атомов углерода. Эти группы алкенила и алкинила содержат предпочтительно от 2 до 12, более предпочтительно от 2 до 8, а лучше от 2 до 4 углеродных атомов. К алкилу относятся, например, метил, этил, изопропил, n-пропил, n-бутил, изобутил, втор. -бутил, трет. -бутил, а также различные изомерные радикалы пентила, гексила, гептила, октила, нонила, децила, ундецила, додецила, тридецила, тетрадецила, пентадецила, гексадецила, гептадецила, октадецила, нонадецила и эйкосила. К гидроксиалкилу относятся, например, гидроксиметил, гидроксиэтил, 1-гидроксиизопропил, 1-гидрокси-n-пропил, 2-гидрокси-n-бутил, 1-гидрокси-изобутил, 1-гидрокси-втор. -бутил, 1-гидрокси-трет.-бутил, а также различные изомерные радикалы пентила, гексила, гептила, октила, нонила, децила, ундецила, додецила, тридецила, тетрадецила, пентадецила, гексадецила, гептадецила, октадецила, нонадецила и эйкосила. Галогеналкил охватывает, например, фторметил, дифторметил, трифторметил, хлорметил, дихлорметил, трихлорметил, 2,2,2-трифторэтил, 2-фторэтил, 2- хлорэтил, 2,2,2-трихлорэтил, а также галоидированные, особенно фторированные или хлорированные алканы, как, например, изопропила, n-пропила, n-бутила, изобутила, втор.-бутила, трет.-бутила, и различных изомерных радикалов пентила, гексила, гептила, октила, нонила, децила, ундецила, додецила, тридецила, тетрадецила, пентадецила, гексадецила, гептадецила, октадецила, нонадецила и эйкосила. К алкенилу относятся, например, пропенил, изопропенил, 2-бутенил, 3-бутенил, изобутенил, n-пента-2,4-диенил, 3-метил-бут-2-енил, n-окт-2-енил, n-додец-2-енил, изо-додеценил, п-октадец-2-енил, n-октадец-4-енил. Относительно циклоалкила речь идет предпочтительно о C5-C8-циклоалкиле, особенно о C5– или C6-циклоалкиле. Некоторыми примерами являются циклопропил, диметилциклопропил, циклобутил, цикло-пентил, метилциклопентил, циклогексил, циклогептил и циклооктил. Цианоалкил включает в себя, например, цианометил (метилнитрил), цианоэтил (этилнитрил), 1-цианоизопропил, 1-циано-n-пропил, 2-циано-n-бутил, 1-цианоизобутил, 1-циано-втор. -бутил, 1-циано-трет.-бутил, а также различные изомерные радикалы цианопентила и цианогексила. Аралкил содержит предпочтительно от 7 до 12, а лучше от 7 до 10 атомов углерода. Можно говорить например, о бензиле, фенэтиле 3-фенилпропиле, -метилбензиле, фенбутиле или , -диметилбензиле.
Арил содержит предпочтительно от 6 до 10 углеродных атомов. Можно говорить, например, о фениле, пенталине, индене, нафталине, азулине или антрацене.
Гетероарил содержит предпочтительно 4 или 5 атомов углерода и один или два гетероатома из группы О, S или N. Можно говорить, например, о пирроле, фуране, тиофене, оксазоле, тиазоле, пиридине, пиразине, пиримидине, пиридазине, индоле, пурине или хинолине.
Гетероциклоалкил содержит предпочтительно 4 или 5 углеродных атомов и один или два гетероатома из группы О, S или N. Можно говорить, например, об оксиране, азирине, 1,2-оксатиолане, пиразолине, пирролидине, пиперидине, пиперазине, морфолине, тетрагидрофуране или тетрагидротиофене.
Алкоксил представляет собой, например, метоксил, этоксил, пропилоксил, i-пропилоксил, n-бутилоксил, i-бутилоксил, втор.- бутилоксил и t-бутилоксил.
Под щелочными металлами в рамках предложенного изобретения следует понимать литий, натрий, калий, рубидий и цезий, особенно литий, натрий и калий.
Под щелочноземельными металлами в рамках предложенного изобретения следует понимать бериллий, магний, кальций, стронций и барий, особенно магний и кальций.
В определениях, данных выше, под галогеном следует понимать фтор, хлор, бром и йод, предпочтительно фтор, хлор и бром.
Для заявленного способа особенно хороши те соединения формулы I, в которых Q2 обозначает водород.
Кроме того, для полимеризации предпочтительными являются те соединения формулы I, в которых алициклическое кольцо, образованное с помощью Q1 и группы -CH=CQ2, содержит от 3 до 16, предпочтительно от 3 до 12, а лучше от 3 до 8 атомов кольца, и причем речь может идти о моноциклической, бициклической, трициклической или тетрациклической системе колец.
С особой выгодой можно реализовать заявленный способ с теми соединениями формулы I, в которых Q1 является радикалом по меньшей мере с одним атомом углерода, который вместе с группой -CH=CQ2 образует 3-20-членное алициклической кольцо, содержащее при необходимости один или несколько гетероатомов из группы силиция, кислорода, азота и серы; и который является незамещенным или замещен галогеном, =O, -CN, -NO2, R1R2R3Si-(O)u-, -COOM, -SO3M-, PO3M, -COO(M1)1/2, -SO3(M1)1/2, -PO3(M1)1/2, C1-C12-алкилом, C1-C12-галогеналкилом, C1-C12-гидроксиалкилом, C1-C4-цианоалкилом, C3-C6-циклоалкилом, C6-C12-арилом, C7-C12-аралкилом, C3-C6-гетероциклоалкилом, C3-C12-гетероарилом, C4-C12-гетероаралкилом или R4-X-; или у которого два соседних углеродных атома в этом радикале Q1 замещены -CO-О-CO- или -CO-NR5-CO-; или у которого при необходимости у соседних углеродных атомов сконденсировано алициклическое, ароматическое или гетероароматическое кольцо, незамещенное или замещенное галогеном -CN, -NO2, R6R7R8Si-, -COOM, -SO3М, -PO3М, -COO(M1)1/2-, SO3(M1)1/2, -PO3(M1)1/2, C1-C12-алкилом, C1-C12-галогеналкилом, C1-C12-гидроксиалкилом, C1-C4-цианоалкилом, С3-С6-циклоалкилом, C6-C12-арилом, C7-C12-аралкилом,C3-C6-гетероциклоалкилом, C3-C12-гетероарилом, C4-C12-гетероаралкилом или R13-X1-; X и X1 независимо друг от друга стоят вместо -О-, -S-, -CO-, -SO-, -SO2-, -O-C(О)-, -C(O)-O-, -C(O)-NR5-, -NR10-C(O)-, -SO2-O- или -O-SO2-; R1, R2 и R3 независимо друг от друга обозначают C1-C6-алкил, C1-C6-перфторалкил, фенил или бензил; М стоит вместо щелочного, a M1 вместо щелочноземельного металла; R4 и R13 независимо друг от друга обозначают C1-C12-алкил, C1-C12-галогеналкил, C1-C12-гидроксиалкил, C3-C8-циклоалкил, C6-C12-арил, C7-C12-аралкил; R5 и R10 независимо друг от друга обозначают водород, C1-C6-алкил, фенил или бензил, причем группы алкила в свою очередь являются незамещенными или замещены C1-C6-алкоксилом или C3-C6-циклоалкилом, R6, R7 и R8 независимо друг от друга представляют C1-C6-алкил, C1-C6-перфторалкил, фенил или бензил; u стоит вместо 0 или 1; причем образованное с помощью Q1 алициклическое кольцо содержит при необходимости дополнительные неароматические двойные связи; Q2 обозначает водород, C1-C12-алкил, C1-C12-галогеналкил, C1-C6-алкоксил, галоген, -CN, R11-X2-; R11 представляет C1-C12-алкил, C1-C12-галогеналкил, C1-C12– гидроксиалкил, C3-C6-циклоалкил, C6-C12-арил или C7-C12-аралкил; X2 обозначает -C(О)-O-или -C(O)-NR12-; и R12 обозначает водород, C1-C6-алкил, фенил или бензил; причем группы циклоалкила, гетероциклоалкила, арила, гетероарила, аралкила и гетероаралкила являются незамещенными или замещены C1-C6-алкилом, C1-C6-алкоксилом, -NO2, -CN или галогеном, и причем гетероатомы групп гетероциклоалкила, гетероарила и гетероаралкила выбраны из группы -О-, -S-, -NR9– и -N=; и R9 обозначает водород, C1-C6-алкил, фенил или бензил. Из этой группы предпочтение отдается тем соединениям формулы I, в которых Q1 является радикалом по меньшей мере с одним атомом углерода, который вместе с группой -CH=CQ2 образует 3-10-членное алициклическое кольцо, которое содержит при необходимости один гетероатом из группы силиция, кислорода, азота и серы, и которое является незамещенным или замещено галогеном, -CN, -NO2, R1R2R3Si-, -COOM, -SO3M, -PO3М, -COO(M1)1/2, -SO3(M1)1/2, -PO3(M1)1/2, C1-C6-алкилом, C1-C6-галогеналкилом, C1-C6– гидроксиалкилом, C1-C4-цианоалкилом, C3-C6-циклоалкилом, фенилом, бензилом или R4-X-; или у которого у соседних углеродных атомов сконденсировано при необходимости алициклическое, ароматическое или гетероароматическое кольцо, незамещенное или замещенное галогеном, -CN, -NO2, R6R7R8Si-, -COOM, -SO3М, -PO3М, -COO(M1)1/2, -SO3(M1)1/2, -PO3(M1)1/2, C1-C6-алкилом, C1-C6-галогеналкилом, C1-C6-гидроксиалкилом, C1-C4-цианоалкилом, C3-C6-циклоалкилом, фенилом, бензилом или R13-X1-; R1, R2 и R3 независимо друг от друга обозначают C1-C4-алкил, C1-C4-перфторалкил, фенил или бензил; М стоит вместо щелочного металла, a M1 вместо щелочноземельного металла; R4 и R13 независимо друг от друга обозначают C1-C6-алкил, C1-C6-галогеналкил, C1-C6-гидроксиалкил или C3-C6-циклоалкил; X и X1 независимо друг от друга стоят вместо -О-, -S-, -CO-, -SO- или -SO2; R6, R7 и R8 независимо друг от друга представляют C1-C4-алкил, C1-C4-перфторалкил, фенил или бензил; и Q2 обозначает водород. Заявленный способ пригоден, в частности, для полимеризации норборнена и производных норборнена. Среди производных норборнена особое предпочтение отдается тем, которые соответствуют либо формуле II ![]() где X3 обозначает -CHR16-, кислород или серу; R14 и R15 независимо друг от друга обозначают водород, -CN, трифторметил, (CH3)3Si-O-, (CH3)3Si- или -COOR17; R16 и R17 независимо друг от друга обозначают водород, C1-C12-алкил, фенил или бензил; либо формуле III ![]() где X4 обозначает -CHR19-, кислород или серу; R19 представляет водород, C1-C12-алкил, фенил или бензил; и R18 обозначает водород, C1-C6-алкил или галоген; либо формуле IV ![]() где X5 обозначает -CHR22-, кислород или серу; R22 представляет водород, C1-C12-алкил, фенил или бензил; R20 и R21 независимо друг от друга обозначают водород, CN, трифторметил, (CH3)3Si-O-, (CH3)3Si- или -COOR23; и R23 обозначает водород, C1-C12-алкил, фенил или бензил; либо формуле V ![]() где X6 обозначает -CHR24-, кислород или серу; R24 является водородом, C1-C12-алкилом, фенилом или бензилом; Y обозначает кислород или , аR25 обозначает водород, метил, этил или фенил. Для заявленного способа полимеризации особенно хорошо подходят следующие соединения формулы I, причем бициклические и полициклические системы могут быть получены с помощью реакций Диелса-Альдера ![]() ![]() ![]() ![]() ![]() ![]() ![]() ![]() ![]() ![]() ![]() ![]() ![]() ![]() ![]() ![]() ![]() ![]() ![]() ![]() ![]() ![]() ![]() ![]() ![]() ![]() ![]() ![]() ![]() ![]() ![]() ![]() ![]() ![]() ![]() ![]() ![]() ![]() ![]() ![]() ![]() ![]() ![]() ![]() ![]() ![]() ![]() ![]() Согласно изобретению особое предпочтение отдается применению мономеров и сомономеров, содержащих только углерод и водород. Сомономерные циклоолефины могут присутствовать в количестве от 0,01 до 99, предпочтительно от 0,1 до 95, более предпочтительно от 1 до 90 и лучше всего от 5 до 80 весовых процентов, в пересчете на количество мономеров, имеющееся в составе. Наиболее предпочтительным сомономером является норборнен в количестве, например, от 20 до 60 весовых процентов. В соединениях рутения и осмия, применяемых согласно изобретению, один монофосфин может быть связан с атомом металла один раз, дважды или трижды, а один дифосфин – один раз. В рутениевых и осмиевых катализаторах связаны предпочтительно от 1 до 4, более предпочтительно от 1 до 3, и лучше всего 2 лиганда. Фосфиновые лиганды соответствуют предпочтительно формулам VI и VIa. PR26R27R28 R26R27P-Z1-PR26R27 где R26, R27 и R28 независимо друг от друга представляют H, C1-C20-алкил, C1-C20-алкоксил, незамещенный или замещенный C1-C6-алкилом, C1-C6-галогеналкилом или C1-C6-алкоксилом C4-C12-циклоалкил или циклоалкоксил, или незамещенный или замещенный C1-C6-алкилом, C1-C6-галогеналкилом или C1-C6-алкоксилом C6-C16-арил или C6-C16-арилоксил, или незамещенный или замещенный C1-C6-алкилом, C1-C6-галогеналкилом или C1-C6-алкоксилом C7-C16-аралкил или C7-C16-аралкилоксил; радикалы R26 и R27 вместе обозначают незамещенный или замещенный C1-C6-алкилом, C1-C6-галогеналкилом или C1-C6-алкоксилом тетра- или пентаметилен, или тетра- или пентаметилендиоксил, или незамещенный или замещенный C1-C6-алкилом, C1-C6-галогеналкилом или C1-C6-алкоксилом и конденсированный одним или двумя 1,2-фениленами тетра- или пентаметилен, или тетра- или пентаметилендиоксил, или тетраметилендиоксил, незамещенный или замещенный C1-C6-алкилом, C1-C6-галогеналкилом или C1-C6-алкоксилом и конденсированный 1,2-фениленом в положениях 1,2 и 3,4, и R28 имеет вышеприведенное значение; и Z1 обозначает незамещенный или замещенный C1-C4-алкоксилом C2-C12-алкилен с нормальной или разветвленной цепью атомов, незамещенный или замещенный C1-C4-алкилом или C1-C4-алкоксилом 1,2- или 1,3-циклоалкилен, содержащий от 4 до 8 углеродных атомов, или незамещенный или замещенный C1-C4-алкилом или C1-C4-алкоксилом 1,2- или 1,3-гетероциклоалкилен с пятью или шестью элементами кольца и одним гетероатомом из группы О или N. Относительно радикалов R26, R27 и R28 речь идет предпочтительно об одинаковых радикалах. Кроме того, предпочтительными являются нуждающиеся в пространстве радикалы, например алкил или алкоксил с разветвленной цепью атомов, особенно разветвленной -цепью, или циклические радикалы.
R26, К27 и R28 обозначающие алкил, могут иметь нормальную или разветвленную цепь атомов и содержать от 1 до 12, предпочтительно от 1 до 8, лучше от 1 до 6 атомов углерода. Примерами алкила являются метил, этил, n- и i-пропил, n-, i- и t-бутил, изомеры пентила, гексила, гептила, октила, нонила, децила, ундецила, додецила, тридецила, тетрадецила, пентадецила, гексадецила, гептадецила, октадецила и эйкосила. Предпочтительными примерами являются метил, этил, n- и i-пропил, n-, i- и t-бутил, 1-, 2- или 3-пентил и 1-, 2-, 3- или 4-гексил;R26, R27 и R28, обозначающие алкоксил, могут иметь нормальную или разветвленную цепь атомов и содержать от 1 до 12, предпочтительно от 1 до 8, а лучше от 1 до 6 углеродных атомов. Примерами алкоксила являются метоксил, этоксил, n- и i-пропилоксил, n-, i- и t-бутилоксил, изомеры пентилоксила, гексилоксила, гептилоксила, октилоксила, нонилоксила, децилоксила, ундецилоксила, додецилоксила, тридецилоксила, тетрадецилоксила, пентадецилоксила, гексадецилоксила, гептадецилоксила, октадецилоксила и эйкосилоксила. Предпочтительными примерами служат метоксил, этоксил, n- и i-пропилоксил, n-, i- и t-бутилоксил, 1-, 2- или 3-пентилоксил и 1-, 2-, 3- или 4-гексилоксил. Если R26, R27 и R28 замещены, то как о заместителях речь идет предпочтительно о C1-C4-алкиле, C1-C4-галогеналкиле или C1-C4-алкоксиле. Галоген обозначает предпочтительно Cl, а лучше всего F. Примерами предпочитаемых заместителей служат метил, метоксил, этил, этоксил и трифторметил. R26, R27 и R28 замещены предпочтительно от одного до трех раз. Если R26, R27 и R28 обозначают циклоалкил, то речь идет предпочтительно о C5-C8-циклоалкиле и более предпочтительно о C5– или С6-циклоалкиле. Примерами служат циклобутил, циклогептил, циклооктил и особенно циклопентил и циклогексил. Примерами замещенного циклоалкила являются метил-, диметил-, триметил-, метокси-, диметокси-, триметокси-, трифторметил-, бистрифторметил- и тристрифторметилциклопентил и -циклогексил. Если R26, R27 и R28 обозначают циклоалкилоксил, то речь идет предпочтительно о 5-C8-циклоалкилоксиле, и наиболее предпочтительно о C5– или C6-циклоалкилоксиле. Вот некоторые примеры: циклобутилоксил, циклогептилоксил, циклооктилоксил и особенно циклопентилоксил и циклогексилоксил. Примерами замещенного циклоалкила являются метил-, диметил-, триметил-, метокси-, диметокси-, триметокси-, трифторметил-, бистрифторметил- и тристрифторметилциклопентилоксил и -циклогексилоксил. Если R26, R27 и R28 обозначают арил, то речь идет предпочтительно о C6-C12-ариле и наиболее предпочтительно о фениле или нафтиле. Примерами замещенного арила являются метил-, диметил-, триметил-, метокси-, диметокси-, триметокси-, трифторметил-, бистрифторметил- и тристрифторметилфенил. Если R26, R27 и R28 обозначают арилоксил, то речь идет предпочтительно о C6-C12-арилоксиле и наиболее предпочтительно о незамещенном или замещенном фенилоксиле или нафтилоксиле. Примерами замещенного арилоксила являются метил-, диметил-, триметил-, метилизопропил-, изопропил-, диизопропил-, триизопропил-, трет.-бутил-, метил- трет.-бутил-, дитрет.-бутил-, тритрет.-бутил-, метокси-, диметокси-, триметокси-, трифторметил-, бистрифторметил- и тристрифторметилфенилоксил. Если R26, R27 и R28 обозначают аралкил, то речь идет предпочтительно о C7-C13-apaлкиле, причем группу алкилена в аралкиле представляет предпочтительно метилен. Лучшим представителем аралкила является бензил. Примерами замещенного аралкила являются метил-, диметил-, триметил-, метокси-, диметокси-, триметокси-, трифторметил-, бистрифторметил- и тристрифторметилбензил. Если R26, R27 и R28 обозначают аралкилоксил, то речь идет предпочтительно о незамещенном или замещенном C7-C13-аралкилоксиле, причем группу алкилена в аралкилоксиле представляет предпочтительно метилен. Лучшим представителeм аралкилоксила является незамещенный или замещенный бензилоксил. Примерами замещенного аралкилоксила служат метил-, диметил-, триметил-, метокси-, диметокси-, триметокси-, трифторметил-, бистрифторметил- и тристрифторметилбензилоксил. Примерами тетра- и пентаметилена, связанного с атомом фосфора и при необходимости замещенного или конденсированного, являются ![]() ![]() Другими подходящими фосфинами являются циклоалифаты, замкнутые мостиковой связью с помощью группы =PRa и содержащие от 6 до 8 углеродных атомов кольца, например ![]() ![]() где Ra обозначает C1-C6-алкил, циклогексил, бензил, незамещенный или замещенный одним или двумя C1-C4-алкилами фенил. Если Z1 обозначает алкилен с нормальной или разветвленной цепью атомов, то речь идет предпочтительно об 1,2-алкилене или 1,3- алкилене, содержащем преимущественно от 2 до 6 углеродных атомов, например об этилене, 1,2-пропилене или 1,2-бутилене. Примерами циклоалкилена, обозначенного как Z1, являются 1,2- и 1,3-циклопентилен и 1,2- или 1,3-циклогексилен. Примерами гетероциклоалкилена, обозначенного как Z1 являются 1,2- и 1,3-пирролидин, 1,2- и 1,3-пиперидин, и 1,2- и 1,3-тетрагидрофуран. В одном из предпочтительных вариантов выполнения изобретения фосфиновые лиганды соответствуют формуле VI, где R26, R27 и R28 независимо друг от друга обозначают водород, C1-C6-алкил, незамещенный или замещенный C1-C4-алкилом циклопентил или циклогексил, или незамещенный или замещенный C1-C4-алкилом, C1– C4-алкоксилом или трифторметилом фенил или бензил. Наиболее предпочтительными примерами фосфиновых связанных групп формулы VI являются (C6H5)H2P, (3-CH3-6-t-C4H9-C6H3)3P, (3-CH3-6-t-C4H9-C6H3)3P, PH3, (2,6-ди-t-C4H9-C6H3)3P, (2,3-ди-t-C4H9-C6H3)3P, (2,4-ди-t-C4H9-C6H3)3P, (2,4-ди-CH3-C6H3)3P, (2,6-ди-CH3-C6H3)3P, (2-CH3-6-t-C4H9-C6H3)3P, (CH3)3P, (2-i-C3H7-C6H4)3P, (3-i-C3H7-C6H4)3P, (4-i-C3H7-C6H4)3P, (2-n-C4H9-C6H4)3P, (3-n-C4H9-C6H4)3P, (4-n-C4H9-C6H4)3P, (2-i-C4H9-C6H4)3P, (3-i-C4H9-C6H4)3P, (4-i-C4H9-C6H9)3P, (2-t-C4H9-C6H4)3P, (3-t-C4H9-C6H4)3P, (4-t-C4H9-C6H4)3P, (4-C2H5-C6H4)3P, (3-n-C3H7-C6H4)3P, (2-n-C3H7-C6H4)3P, (4-n-C3H7-C6H4)3P, (C2H5)2HP, (3-CH3-C6H4)3P, (4-CH3-C6H4)3P, (2-C2H5-C6H4)3P, (3-C2H5-C6H4)3P, (i-C3H7)H2P, (n-C4H9)H2P, (C6H5CH2)2HP, (C6H5CH2)H2P, (2-CH3-C6H4)3P, (C6H5)3P, (C5H11)H2P, (C6H5CH2)3P, (n-C3H7)2HP, (i-C3H7)2HP, (n-C4H9)2HP, (n-C3H7)H2P, (C2H5)H2P, (C5H11)3P, (C6H5HP, (C5H11)2HP, (n-C7H7)3P, (i-C3H7)3P, (n-C4H9)3P, (CH3)2HP, (C2H5)3P, (C6H11)3P, (C6H11)2HP, (C5H9)3P, (C5H9)2HP и (CH3)H2P. В другом предпочтительном варианте выполнения изобретения фосфиновые лиганды соответствуют формуле VI, где R26, R27 и R28 независимо друг от друга обозначают водород, C1-C6-алкоксил, незамещенный или замещенный C1-C4-алкилом циклопентилоксил или циклогексилоксил, или незамещенный или замещенный C1-C4-алкилом, C1-C4-алкоксилом или трифторметилом фенилоксил или фенил или незамещенный или замещенный C1-C4-алкилом, C1-C4-алкоксилом или трифторметилом бензилоксил. Примерами фосфитов являются (CH3О)3P, (C2H5О)3P, (n-C3H7O)3P, (i-C3H7O)3P, (n-C4H9О)3P, (i-C4H9O)3P, (t-C4H9O)3P, (C6H5О)3P, (2,4-ди-CH3-C6H3О)3P, (2,6-ди-CH3-C6H3О)3P, (2-C2H5-C6H4O)3P, (3-C2H5-C6H4O)3P, (4-C2H5-C6H4O)3P, (2-n-C3H7-C6H4O)3P, (3-n-C3H7-C6H4O)3P, (4-n-C3H7-C6H4O)3P, (2-i-C3H7-C6H4O)3P, (3-i-C3H7-C6H4O)3P (4-i-C3H7-C6H4O)3P, (2-n-C4H9-C6H4O)3P, (3-n-C4H9-C6H4О)3P, (4-n-C4H9-C6H4O)3P, (2-i-C4H9-C6H4O)3P, (3-i-C4H9-C6H4О)3P, (4-i-C4H9-C6H4O)3P, (2-t-C4H9-C6H4O)3P, (3-t-C4H9-C6H4O)3P, (4-t-C4H9-C6H4O)3P, (2-CH3-C6H4O)3P, (3-CH3-C6H4О)3P, (2-CH3-6-t-C4H9-C6H3О)3P, (3-CH3-6-t-C4H9-C6H3О)3P, (3-CH3-6-t-C4H9-C6H3O)3P, (2,6-ди-t-C4H9-C6H3O)3P, (2,3-ди-t-C4H9-C6H3O)3P, (2,4-ди-t-C4H9-C6H3O)3P, (4-CH3-C6H4)3P и фосфиты формулы ![]() где Ra обозначает C1-C6-алкил, циклогексил, бензил, незамещенный или замещенный одним или двумя C1-C4-алкилами фенил. Особое предпочтение отдается таким фосфинам, как три-i-пропилфосфин, три-t-бутилфосфин, трициклопентил- и трициклогексилфосфин. Лигандами для соединений рутения и осмия, используемых согласно заявленному изобретению, являются органические или неорганические соединения, атомы или ионы, скоординированные около центра металла. В рамках предложенного изобретения наиболее предпочтительными лигандами являются, например, выбранные из группы лигандов (A), состоящих из азота (N2); незамещенных или замещенных OH, C1-C4-алкилом, C1-C4-алкоксилом, C6-C12-арилом или галогеном моноциклических, полициклических или конденсированных аренов, содержащих от 6 до 24, предпочтительно от 6 до 18 и наиболее предпочтительно от 6 до 12 углеродных атомов; незамещенных или замещенных C1-C4-алкилом, C1-C4-алкоксилом или галогеном моноциклических гетероаренов; конденсированных гетероаренов; конденсированных арен-гетероаренов, содержащих от 3 до 22, предпочтительно от 4 до 16, а лучше от 4 до 10 атомов углерода и от 1 до 3 гетероатомов из группы О, S и N; и незамещенных или замещенных C1-C4-алкилом, C1-C4-алкоксилом или галогеном алифатических, циклоалифатических, ароматических или аралифатических нитрилов, содержащих от 1 до 22, предпочтительно от 1 до 18, наиболее предпочтительно от 1 до 12 и лучше от 1 до 7 атомов углерода. Как заместителям предпочтение отдается метилу, этилу, метоксилу, этоксилу, фтору, хлору и брому. Арены и гетероарены замещены предпочтительно одним-тремя радикалами. Среди гетероаренов предпочтение отдается гетероаренам с большим количеством электронов. Вот некоторые примеры аренов и гетероаренов: бензол, кумен, бифенил, нафталин, антрацен, аценафтен, фторен, фенантрен, пирен, хрисен, фторантрен, фуран, тиофен, пиррол, пиридин, -пиран, -тиопиран, пиримидин, пиразин, индол, кумарон, тионафтен, карбазол, дибензофуран, дибензотиофен, пиразол, имидазол, бензимидазол, оксазол, тиазол, изоксазол, изотиазол, хинолин, изохинолин, акридин, хромен, феназин, феноксазин, фенотиазин, триазины, тиантрен и пурин. Предпочтение отдается таким аренам и гетероаренам, как незамещенный или замещенный бензол, нафталин, кумен, тиофен и бензтиофен. Особое предпочтение отдано арену бензолу или бензолу, замещенному одним-тремя C1-C4-алкилами, например толуолу, ксилолу, триметилбензолу, изопропилбензолу, третичному бутилбензолу или кумену. Предпочтительным гетероареном является тиофен.
Нитрилы могут быть замещены, например, метоксилом, этоксилом, фтором или хлором; предпочтение отдается незамещенным нитрилам. Алкилнитрилы имеют предпочтительно нормальную цепь атомов. Некоторыми примерами нитрилов являются ацетонитрил, пропионитрил, бутиронитрил, пентилнитрил, гексилнитрил, циклопентил- и циклогексилнитрил, бензонитрил, метилбензонитрил, бензилнитрил и нафтилнитрил. В отношении нитрилов речь идет предпочтительно о C1-C4-алкилнитрилах с нормальной цепью атомов или бензонитриле. Среди алкилнитрилов особое предпочтение отдается ацетонитрилу.
В одной из предпочтительных подгрупп в отношении лигандов группы (A) речь идет об N2, незамещенном или замещенном одним-тремя C1-C4-алкилами бензоле, тиофене, бензонитриле или ацетонитриле.
При необходимости имеются и другие лиганды, например выбранные из группы лигандов (В), состоящих из неорганических и органических соединений, содержащих гетероатомы О, S или N и сольватизирующих, часто применяемых также в качестве растворителей; и незамещенного или замещенного C1-C4-алкилом, C1-C4-алкоксилом, (C1-C4-алкил)3Si или (C1-C4-алкил)3SiO-циклопентадиенила или инденила. Примерами таких соединений являются H2O, H2S, NH3; при необходимости галоидированные, особенно фторированные или хлорированные алифатические или циклоалифатические спирты или тиоспирты, содержащие от 1 до 18, предпочтительно от 1 до 12, наиболее предпочтительно от 1 до 6 углеродных атомов, ароматические спирты или тиолы, содержащие от 6 до 18, предпочтительно от 6 до 12 углеродных атомов, аралифатические спирты или тиолы, содержащие от 7 до 18, предпочтительно от 7 до 12 углеродных атомов; имеющие открытую цепь или циклические и алифатические, аралифатические или ароматические простые эфиры, тиоэфиры, сульфоокиси, сульфоны, кетоны, альдегиды, сложные эфиры карбоновых кислот, лактоны, при необходимости N-C1-C4-моно- или диалкилированные амиды карбоновых кислот, содержащие от 2 до 12 и особенно от 2 до 6 атомов углерода, и при необходимости N-C1-C4-алкилированные лактамы; имеющие открытую цепь или циклические и алифатические, аралифатические или ароматические, первичные, вторичные и третичные амины, содержащие от 1 до 20, предпочтительно от 1 до 12, а лучше от 1 до 6 углеродных атомов; и циклопентадиенилы, как, например, циклопентадиенил, инденил, один или несколько раз метилированные или триметилсилилированные циклопентадиенилы или инденилы. Примерами служат также аллил, металлил и кротил.
Дополнительными примерами группы лигандов (В) служат метанол, этанол, n- и i-пропанол, n-, i- и t-бутанол, 1,1,1-трифторэтанол, бистрифторметилметанол, тристрифторметилметанол, пентанол, гексанол, метиловый или этиловый тиоспирт, циклопентанол, циклогексанол, циклогексиловый тиоспирт, фенол, метилфенол, фторфенол, фениловый тиоспирт, бензиловый тиоспирт, бензиловый спирт, простые диэтиловый, диметиловый, диизопропиловый, ди-n- или ди-t-бутиловый эфиры, тетрагидрофуран, тетрагидропиран, диоксан, простой диэтиловый тиоэфир, тетрагидротиофен, диметилсульфоокись, диэтилсульфоокись, тетра- и пентаметиленсульфоокись, диметилсульфон, диэтисульфон, тетра- и пентаметиленсульфон, ацетон, метилэтилкетон, диэтилкетон, фенилметилкетон, метилизобутилкетон, бензилметилкетон, ацетальдегид, пропиональдегид, трифторацетальдегид, бензальдегид, сложный этиловый эфир уксусной кислоты, бутиролактон, диметилформамид, диметилацетамид, пирролидон и N-метилпирролидон, инденил, циклопентадиенил, метил- или диметил- или пентаметилциклопентадиенил и триметилсилилциклопентадиенил.
Первичные амины могут соответствовать формуле R29NH2, вторичные амины – формуле R29R30NH, а третичные – формуле R29R30R31N, причем R29 обозначает C1-C18-алкил, незамещенный или замещенный C1-C4-алкилом или C1-C4-алкоксилом C5– или C6-циклоалкил, или незамещенный или замещенный C1-C4-алкилом или C1-C4-алкоксилом C6-C18-арил или C7-C12-аралкил, R30 имеет самостоятельно значение R29 или R29 и R30 вместе обозначают тетраметилен, пентаметилен, 3-окса-1,5-пентилен или -CH2-CH2-NH-CH2-CH2– или -CH2-CH2-N(C1-C4-алкил)-CH2-C2-, и R31 самостоятельно имеет значение R29. Алкил содержит предпочтительно от 1 до 12 и более предпочтительно от 1 до 6 углеродных атомов. Арил содержит предпочтительно от 6 до 12 углеродных атомов, а аралкил – предпочтительно от 7 до 9 углеродных атомов. Примерами аминов являются метил-, диметил-, триметил-, этил-, диэтил-, триэтил-, метил-этил-, диметил-этил-, n-пропил-, ди-n-пропил-, три-n-бутил-, циклогексил-, фенил- и бензиламин, а также пирролидин, N-метилпирролидин, пиперидин, пиперазин, морфолин и N-метилморфолин.
В одной из предпочтительных подгрупп в отношении лигандов группы (В) речь идет об H2O, NH3, незамещенных или частично или полностью фторированных C1-C4-алканолах или о циклопентадиениле, индениле, аллиле, металлиле или кротиле. Особое предпочтение отдается H2O, NH3, циклопентадиенилу, инденилу, метанолу и этанолу.
В одном из предпочтительных вариантов выполнения изобретения рутениевые и осмиевые катализаторы, применяемые согласно изобретению, содержат арены и гетероарены в качестве связанных групп, фосфиновые группы и анионы для уравнивания зарядов. Лучше всего, если они содержат группу аренов в качестве лиганда, группу третичных фосфинов и одновалентные или двухвалентные анионы для уравнивания зарядов.
Подходящими анионами неорганических или органических кислот являются, например, гидрид (H), галогенид (например, ,Cl ,Br и I ) анион кислородной кислоты, и BF 4, PF 6, SbF 6 или AsF 6. Следует упомянуть, что вышеназванные лиганды циклопентадиенил, инденил, аллил, металлил и кротил являются анионоактивными соединениями и, таким образом, также служат для уравнивания зарядов.
Другими подходящими анионами являются C1-C12-, предпочтительно C1-C6 и наиболее предпочтительно C1-C4-алкоголяты, в частности имеющие разветвленную цепь атомов и соответствующие, например, формуле RxRyRzC-O , где Rx представляет водород или C1-C10 – алкил, Ry обозначает C1-C10-алкил, a Rz – C1-C10-алкил или фенил, и сумма атомов углерода Rx, Ry и Rz равна 11. В качестве примеров особо следует отметить i-пропилоксил и t-бутилоксил.
Другими подходящими анионами являются C3-C18-, предпочтительно C5-C14– и наиболее предпочтительно C5-C12-ацетилиды, которые могут соответствовать формуле Rw-C C , где Rw является C1-C16 алкилом, предпочтительно C3-C12-алкилом с разветвленной -цепью, например формулы RxRyRzC-, или незамещенным или замещенным одним-тремя C1-C4-алкилами или C1-C4-алкоксилом фенилом или бензилом. Вот некоторые примеры: i-пропил-, i- и t-бутил-, фенил-, бензил-, 2-метил-, 2,6-диметил-, 2-i-пропил-, 2-i-пропил-6-метил-, 2-t-бутил-, 2,6-ди-t-бутил- и 2-метил-6-t-бутилфенилацетилид.
В отношении анионов кислородных кислот можно говорить, например, о сульфате, фосфате, перхлорате, пербромате, перйодате, антимонате, арсенате, нитрате, карбонате, анионе 1-C8-карбоновой кислоты, как, например, формиат, ацетат, пропионат, бутират, бензоат, фенилацетат, моно-, ди- или трихлор- или -фторацетат, сульфонатах, например метилсульфонате, этилсульфонате, пропилсульфонате, бутилсульфонате, трифторметилсульфонате (трифлате), при необходимости замещенном C1-C4-алкилом, C1-C4 алкоксилом или галогеном, особенно фтором, хлором или бромом, фенилсульфонате или бензилсульфонате, например тосилате, месилате, бросилате, p-метокси- или p-этоксифенилсульфонате, пентафторфенилсульфонате или 2,4,6-триизопропилсульфонате, и фосфонатах, например метилфосфонате, этилфосфонате, пропилфосфонате, бутилфосфонате, фенилфосфонате, p-метилфенилфосфонате или бензилфосфонате.
Наиболее предпочтительными являются![]() 2,4,6-триметил-C6H5-SO 3 и 4-CF3-C6H5-SO 3,а также циклопентадиенил (Cp ).В одном из предпочтительных вариантов выполнения изобретения соединения рутения и осмия соответствуют формулам VII-VIId R32L1Me2+(Zn-)2/n R32L1L2Me2+(Zn-)2/n (R32)2L1Me2+(Zn-)2/n (R32)3L1Me2+(Zn-)2/n R32(L1)2Me2+(Zn-1)2/n где R32 является фосфиновым лигандом формулы VI или VIa; Me стоит вместо Ru или Os; n стоит вместо чисел 1, 2 или 3; Z является анионом неорганической или органической кислоты; (a) L1 обозначает лиганд группы A, причем отличается при необходимости от L1 формулы VIId, и (b) L2 обозначает лиганд группы В. Для R32, L1 и L2 сохраняются предпочтения, при веденные выше для отдельных значений. В формулах VII-VIId n стоит предпочтительно вместо 1 или 2, а лучше вместо 1. Для R32 сохраняются предпочтения, указанные выше для фосфиновых лигандов формулы VI и VIa, в частности речь идет о третичных фосфинах. Особое предпочтение отдается применению в заявленном способе соединений рутения или осмия одной из формул VIII-VIIId (R26R27R28P)L1Me2+ (Z11-)Z2-1 (R26R27R28P)2L1Me2+ (Z11-)Z2-1 (R26R27R28P)L1L2 Me2+(Z11-Z2-1 (R26R27R28P)3L1Me2+ (Z11-)Z2-1 (R26R27R28P)(L1)2Me2+ (Z11-)Z2-1 где Me стоит вместо Ru или Os; Z1 и Z2 независимо друг от друга представляют H, циклопентадиенил, ![]() R26, R27 и R28 независимо друг от друга обозначают C1-C6-алкил, незамещенный или замещенный одним-тремя C1-C4-алкилами циклопентил или циклогексил или циклопентилоксил или циклогексилоксил, или незамещенный или замещенный одним-тремя C1-C4-алкилами фенил или бензил или фенилоксил иди бензилоксил; L1 обозначает незамещенный или замещенный одним-тремя C1-C4-алкилами, C1-C4-алкоксилом, -ОН, -F или Cl C6-C16-арен или C5-C16-гетероарен или C1-C6-алкил-CN, бензонитрил или бензилнитрил, причем L1 в формуле VIIId имеют при необходимости разное значение; и L2 является H2O или C1-C6-алканолом. Если получение рутениевых и осмиевых катализаторов происходит в растворителях, которые могут координироваться около атома металла, как, например, алканолы, то могут образовываться сольватированные катионные комплексы рутения/осмия, о которых говорится в изобретении в рамках применения. Вот некоторые примеры соединений рутения и осмия, применяемых согласно изобретению [Tos обозначает тосилат]: (C6H11)2HPRu(p-кумен)Cl2, (C6H11)3PRu(p-кумен)Cl2, (C6H11)3PRu(p-кумен)(Tos)2, (C6H11)3PRu(p-кумен)Br2, (C6H11)3PRu(p-кумен)ClF, (C6H11)3PRu(C6H6)(Tos)2, (C6H11)3PRu(CH3-C6H5)(Tos)2, (C6H11)3PRu(C10H8)(Tos)2, (i-C3H7)3PRu(p-кумен)Cl2, (CH3)3PRu(p-кумен)Cl2, (C6H11)3PRu(CH3-CN)(C2H5-ОН)- (Tos)2, (C6H11)3PRu(p-кумен) (CH3-CN)2(PF6)2, (C6H11)3PRu(p-кумен)(CH3-CN)2 (Tos)2, (n-C4H9)3PRu(p-кумен) (CH3-CN)2(Tos)2, (C6H11)3PRu(CH3-CN)Cl2, (C6H11)3PRu(CH3-CN)2Cl2, (n-C4H9)3PRu(p-кумен)Cl2, (C6H11)3PRu(p-кумен)(C2H5ОН)2 (BF4)2, (C6H11)3PRu(p-кумен)(C2H5ОН)2 (PF6)2, (i-C3H7)3POs(p-кумен)Cl2, (CH3)3POs(p-кумен)Cl2, (C6H5)3POs(p-кумен)Cl2, [(C6H11)3P] 3Ru(CH3-CN), (C5H9)3PRu(p-кумен)Cl2, (C6H11)3PRu(p-кумен)HCl, (C6H11)3PRu[1,2,4,5-(CH3)4 C6H2]Cl2, (C6H11)3PRu[1,3,5-(i-C3H7)3 C6H3]Cl2, (C6H11)3PRu[(C4H9)- C6H5]Cl2, (C6H11)3POs(p-кумен)Cl2, (C6H5)3PRu(p-кумен)HCl, [(C6H11)3P] 2Ru(CH3-CN) (Tos)2, RuCl2(р-кумен) [(C6H11)2PCH2CH2P(C6H11)2], [(C6H11)3PRu(p-кумен)(C2H5OH) (BF4)2, (C6H11)3PRu(C6H6) (C2H5OH)2(Tos)2, (C6H11)3PRu(i-C3H7-C6H5) (Tos)2, (C6H11)3PRu(C6H6)(p-кумен) Br2, (C6H11)3PRu(бифенил)(Tos)2, (C6H11)3PRu(антрацен)(Tos)2, (2-CH3-C6H4)3POs(p-кумен)Cl2 и (C6H11)3PRu(хрисен)(Tos)2. Соединения рутения и осмия, применяемые согласно изобретению, известны и могут быть получены известными и аналогичными способами из соединений, содержащих металлгалоидную группу (например, MeX3 или [MeАренX2]2, с помощью реакции с фосфинами и формирователями связанных групп. Заявленный состав может содержать инертные растворители. Особо выгодно то, что при жидких мономерах можно провести процесс метатезисной полимеризации без использования растворителя. Кроме того, выгодно, что процесс полимеризации можно проводить даже в воде, полярных и протонных растворителях или смесях из воды и растворителя. В этих случаях в рамках предложенного изобретения выгодно использовать поверхностно-активное вещество. Подходящими инертными растворителями являются, например, протонно-полярные и непротонные растворители, которые можно использовать как самостоятельно, так и в виде смесей по меньшей мере из двух растворителей. В качестве примеров можно назвать простые эфиры (дибутиловый, тетрагидрофуран, диоксан, этиленгликольмонометиловый или -диметиловый, этиленгликольмоноэтиловый или -диэтиловый, диэтиленгликольдиэтиловый, триэтиленгликольдиметиловый), галоидированные углеводороды (хлористый метилен, хлороформ, 1,2-дихлорэтан, 1,1,1-трихлорэтан, 1,1,2,2-тетрахлорэтан), сложные эфиры карбоновых кислот и лактоны (этиловый эфир уксусной кислоты, метиловый эфир пропионовой кислоты, этиловый эфир бензойной кислоты, 2-метоксиэтилацетат, -утиролактон, -валеролактон, пивалолактон), амиды карбоновых кислот и лактамы (N,N-диметилформамид, N,N-диэтилформамид, N, N-диметилацетамид, тетраметил-мочевина, триамид гексаметилфосфорной кислоты, -бутиролактам, -капролактам, N-метилпирролидон, N-ацетилпирролидон, N-метилкапролактам), сульфоокиси (диметиловая сульфоокись), сульфоны (диметилсульфон, диэтилсульфон, триметиленсульфон, тетраметиленсульфон), третичные амины (N-метилпиперидин, N-метилморфолин), алифатические и ароматические углеводороды, например петролейный эфир, пентан, гексан, циклогексан, метилциклогексан, бензол или замещенные бензолы (хлорбензол, о-дихлорбензол, 1,2,4-трихлорбензол, нитробензол, толуол, ксилол) и нитрилы (ацетонитрил, пропионитрил, бензонитрил, фенилацетонитрил). Предпочтение отдается непротонным полярным и неполярным растворителям.
Предпочтительными растворителями являются алифатические и ароматические углеводороды, а также смеси из таких растворителей.
Особо следует отметить, что заявленный состав из ДЦПД, при необходимости циклоолефина и катализатора зачастую является невосприимчивым к кислороду и влаге, что дает возможность хранить его и проводить с ним реакции без присутствия защитного газа, предохраняющего от окисления.
Каталитические количества обозначают в рамках предложенного изобретения предпочтительно количество от 0,001 до 20, более предпочтительно от 0,01 до 15 и лучше всего от 0,01 до 10 молярных процентов в пересчете на количество мономера. Из-за высокой термокаталитической активности особое предпочтение отдается количествам от 0,001 до 2 молярных процентов.
Заявленный состав, применяемый в процессе полимеризации, может быть получен непосредственно перед процессом полимеризации или использован в качестве заранее заготовленной смеси, т.к. применяемые катализаторы обладают особенно высокой стабильностью. До проведения полимеризации смесь может храниться даже длительное время в качестве готового к употреблению состава, что несет с собой значительную выгоду для промышленного применения.
Заявленный состав может содержать вспомогательные вещества. Известными вспомогательными веществами являются антистатики, антиокислители, противостарители, предохраняющие от действия света или солнечных лучей, мягчители, красители, пигменты, наполнители, активные наполнители, технологические добавки для улучшения переработки, средства, улучшающие адгезию, средства повышения вязкости и вспомогательные вещества, способствующие лучшему выниманию изделия из (пресс) формы. Вспомогательные вещества могут присутствовать в неожиданно больших количествах, не оказывая при этом отрицательного влияния на процесс полимеризации, например в количестве до 70, предпочтительно от 1 до 70, более предпочтительно от 5 до 60, лучше от 10 до 50, особенно от 10 до 40 весовых процентов в пересчете на количество состава. Вспомогательные вещества, улучшающие оптические, физические, механические и электрические показатели, известны в большом количестве. Вот только некоторые примеры: стекло и кварц в форме порошков, шариков и волокон, окиси металлов и полуметаллов, карбонаты как MgCO3, CaCO3, доломит, сульфаты металлов как гипс и тяжелый шпат, натуральные и искусственные силикаты как тальк, цеолиты, волластонит, полевой шпат, глинозем как каолин, породная пыль, “ус” (нитевидный кристалл), карбоновые волокна, синтетические волокна или порошки и сажа. Средствами, способствующими повышению вязкости, являются, в частности, метатезисные полимеризаты, содержащие ненасыщенные олефинами группы и способные “встраиваться” в полимер в процессе полимеризации. Такие метатезисные полимеризаты известны и имеются в продаже, например под торговой маркой Vestenamer . Другими средствами повышения вязкости являются полибутадиен, полиизопрен или полихлорбутадиен, а также сополимеры бутадиена, изопрена и хлоропрена с олефинами.
Следующим предметом изобретения является способ получения метатезисных полимеризатов, отличающийся тем, что состав из (a) дициклопентадиена самого или в смеси с затрудненным циклоолефином и (b) каталитического количества по меньшей мере одного не содержащего карбенов двухвалентного катионоактивного соединения рутения или осмия в качестве однокомпонентного катализатора, имеющего по меньшей мере одну группу фосфинов и всего от 2 до 5 лигандов, связанных с атомом металла, и анионы кислоты для уравнивания зарядов, нагревают.
Заявленный способ реализуют предпочтительно при температуре по меньшей мере 50oC, а лучше по меньшей мере при 60oC. Заявленный способ реализуется, в частности, при температурах от 60 до 300oC, предпочтительно от 60 до 250oC, лучше от 60 до 200oC, особенно от 70 до 160oC. По окончании процесса полимеризации может быть выгодным подержать полимеры при повышенной температуре, например от 80 до 200oC.
Для получения линейных полимеров реакцию проводят предпочтительно в разбавленных растворах.
Процесс полимеризации может быть связан со способом формования, например каландрованием, литьем, прессованием, литьем под давлением или экструзией. С помощью заявленного способа можно получить материалы для изготовления формованных тел резанием или способные изменять свою форму термопластичные материалы для изготовления формованных тел любого типа, а также покрытия. Выгодным образом процессы формования и полимеризации связаны между собой в реактивных системах, не содержащих растворителей, причем могут применяться такие способы обработки, как, например литье под давлением, экструзия, полимеризация в заданных формах (при необходимости под давлением).
В отношении полимеризатов, полученных согласно изобретению, можно говорить о гомополимерах или сополимерах со статистическим распределением структурных единиц, привитых сополимерах или блок-сополимерах, а также о “сшитых” полимерах такого типа. Они могут иметь средний молекулярный вес например от 500 до 2 млн. дальтон, преимущественно от 1000 до 1 млн. дальтон (определено с помощью гель-проникающей хроматографии путем сравнения с более узким полистирол-стандартом).
Неожиданным образом обнаружилось, что полимеризация в растворителе с высоким выходом ведет к получению линейного полидициклопентадиена, полимера, имеющего структурные элементы формулы IX![]() Следующим предметом изобретения являются линейные сополимеры, имеющие структурные элементы формулы IX и структурные элементы формулы X ![]() ![]() и сшитые сополимеры, в частности имеющие структурные элементы формул IX, X и XI ![]() где Q1 и Q2 имеют значения, приведенные выше, включая предпочтения. “Несшитые” или линейные полимеры включают в себя олигомеры и полимеры и могут содержать, например, от 5 до 5000, предпочтительно от 10 до 2000, лучше от 20 до 1000, особенно от 20 до 500, в частности от 20 до 300 структурных единиц. Если полимеры подвергнуть дальнейшей переработке, то нужен более низкий молекулярный вес, а для переработки с получением формованных тел целесообразно использовать полимеры с более высоким молекулярным весом. Следующим предметом изобретения являются полимеризаты, которые можно получить, используя заявленный способ. Среди полимеров предпочтение отдается тем, которые содержат только углерод и водород. В зависимости от типа и количества используемых мономеров заявленные полимеры могут обнаруживать совершенно различные свойства. Одни отличаются очень высокой степенью кислородопроницаемости, исключительными диэлектрическими показателями (низкими диэлектрическими постоянными, низкими коэффициентами диэлектрических потерь или незначительным тангенсом угла диэлектрических потерь), хорошей теплостабильностью (критические температурами стекла выше 100oC), хорошей вязкостью (ударной вязкостью и ударной вязкостью образца с надрезом), упругостью и механической прочностью (сопротивление разрушению), твердостью и незначительным водопоглощением. Другие обладают замечательными оптическими показателями, например высокой степенью прозрачности и низким коэффициентом преломления. Кроме того, следует отметить также незначительную степень усадки и отличные поверхностные свойства (гладкость, блеск, сцепляемость). Поэтому они могут найти применение в различных областях техники. Заявленные составы как покрытия для поверхностей материалов носителей отличаются высокой прочностью сцепления. Покрытые слоем материалы отличаются еще очень высокой степенью гладкости и блеска поверхности. Среди хороших механических свойств следует отметить, в частности, незначительную степень усадки и высокую ударную вязкость, а также термостойкость. Кроме того, следует упомянуть легкое вынимание из формы и хорошую устойчивость к растворителям. Поверхности можно и дальше модифицировать, например покрывать лаком или набивать рисунок, причем и здесь также следует упомянуть о высокой степени сцепления лака. Полученные в соответствии с заявленным способом полимеры пригодны для изготовления медицинской аппаратуры, имплантантов или контактных линз; для изготовления электрических (литье катушек) и электронных конструктивных элементов; в качестве связывающих веществ для лаков; в качестве твердеющих при нагревании составов для изготовления моделей или в качестве клеящих веществ для склеивания материалов с низкой поверхностной энергетикой (например, тефлона, полиэтилена и полипропилена), а также в качестве способного к термополимеризации состава в стереолитографии. Заявленные составы можно использовать для приготовления лаков путем термополимеризации, причем можно использовать прозрачные и даже пигментированные составы. Можно использовать как белые, так и цветные пигменты. Можно упомянуть еще и изготовление формованных тел по способу термопластического формования для предметов потребления всех типов. Заявленные составы особенно подходят для получения защитных покрытий. Следующим предметом изобретения является вариант заявленного способа получения покрытых слоем материалов, при котором состав из (a) дициклопентадиена самого или в смеси с затрудненным циклоолефином, (b) катализатора и при необходимости растворителя наносят слоем на носитель, например путем макания, намазывания, литья, вальцевания, ракелирования или центробежного литья, удалив при необходимости растворитель, и слой нагревают для проведения процесса полимеризации. Таким способом можно модифицировать поверхности материалов или защитить их (например, от коррозии). Следующим предметом предложенного изобретения является материал носителя, покрытый слоем из заявленного олигомера или полимера и содержащий “сшивающее” вещество. Такие материалы подходят для получения защитных покрытий или рельефных изображений путем нагревания и последующего проявления с помощью растворителя. Подходящими для этих целей “сшивающими” веществами, которые могут присутствовать, например, в количестве от 0,01 до 20 весовых процентов, являются прежде всего органические бис-азиды, особенно имеющийся в продаже 2,6-бис(4-азидобензилиден)-4-метил-циклогексанон. Далее предметом предложенного изобретения является покрытый слоем материал носителя, отличающийся тем, что на субстрат нанесен слой из заявленного состава. Также предметом изобретения является покрытый слоем субстрат с отвержденным слоем из заявленного состава. Подходящими субстратами (материалами носителя) являются стекло, минералы, керамика, пластмасса, дерево, полуметаллы, металлы, окиси металлов и нитриды металлов. Толщина слоя зависит в основном от цели применения и может составлять, например, от 0,1 до 1000 m, предпочтительно от 0,5 до 500 m, наиболее предпочтительно от 1 до 100 m. Покрытые слоем материалы отличаются высокой степенью сцепления и хорошими термическими и механическими свойствами.
Заявленные покрытые слоем материалы можно получать известными способами, например намазыванием, ракелированием, литьем, в частности центробежным литьем.
Особенно хорошие результаты достигаются, если для термической метатезисной полимеризации применяют дополнительно циклоолефины, содержащие от одной до трех, и предпочтительно одну дополнительную двойную связь и представляющие в рамках изобретения полициклическую конденсированную систему колец.
Изобретение раскрывается подробнее с помощью следующих примеров.
Примеры 1-13.
Дициклопентадиен (дистиллированный или технический) и при необходимости сомономер (добавка) перемешивают, а (p- кумен)RuCl2[P(C6H11)3] как катализатор растворяют при слабом нагревании. Добавляют при необходимости Vestenamer или ди-t-бутил-p-крезол (ВНТ), и смесь подвергают сухой перегонке в вакууме при температуре 50-60oC. Смесь выливают в формы и подвергают термическому отверждению. Критическая температура стекла определяется по DSA (Differential Scanning Analyse). Набухание в толуоле дано в процентах весового поглощения толуола. Прочие сведения содержатся в табл. 1.
Примеры 14-21.
Работают как в примере 1 и дополнительно используют наполнитель, приведенный в табл. 2. Отверждают в течение 1 ч при температуре 80oC, затем в течение 1 ч при 100oC и 2 ч при 120oC. Количество катализатора составляет 0,5% в пересчете на ДЦПД. Прочие сведения даны в табл. 2.
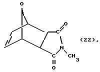
Пример 22.
190 г технического дициклопентадиена (по Шеллу) и 950 мг (C6H11)3PRu(p-кумен)Cl2 смешивают и подогревают в течение 4 ч при 90oC, затем 1 ч при 120oC и 4 ч при 150oC. Полученный полимер обладает следующими свойствами. Tg: 119oC; убыль в весе при 300oC: 5,3%; прочность при изгибе: 102,6 Nмм-2; продольная деформация волокна по кромке: 6,7%; E-модуль: 2100 Nмм-2; K1c: 3,62 Джм-2; ударная вязкость: 83,5 кДжм-2; (45 Гц, R.T.): 2,4; (45 Гц, 200oC): 2,4; (1 кГц R.T.): 2,4; (1 кГц, 200oC): 2,4; тан (%, 45 Гц, R. T. ): 0,1; тан (%, 45 Гц, 200oC): 1,0; тан (%, 1 кГц, R.T.): 0,1; тан %, 1 кГц, 200oC): 0,7; водопоглощение (14 дней, 70oC): <0,5%; электрическая [пробивная] прочность: 41,6 кВмм-2.
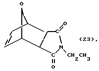
Пример 23.
170 г технического дициклопентадиена (по Шеллу), 5,1 г поли(норборнена) и 850 мг (C6H11)3PRu-(p-кумен)Cl2 смешивают и нагревают сначала 4 ч при 90oC, затем 1 ч при 120oC и 4 ч при 150oC. Полученный полимер обладает следующими свойствами. Tg: 119oC; убыль в весе при 300oC: 5,3%; прочность при изгибе: 102,3 Nмм-2; продольная деформация кромки волокна: 6,2%; E-модуль: 2200 Nмм-2; K1c: 3,11 Джм-2; G1c: 3800 Джм-2; ударная вязкость: 84,4 кДжм-2.
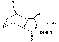
Пример 24.
150 г технического дициклопентадиена (по Шеллу), 4,5 г поли(норборнена), 225 г кварцевой муки W12 и 750 мг (C6H11)3PRu(p-кумен)Cl2 смешивают и подогревают сначала 4 ч при 90oC, затем 1 ч при 120oC и 4 ч при 150oC. Полученный полимер обладает следующими свойствами. Tg: 118oC, прочность при изгибе: 41,5 Nмм-2; продольная деформация кромки волокна: 1,3%; Е-модуль: 6800 Nмм-2; K1c: 2,51 Джм-2; (45 Гц, R.T.): 3,2; (45 Гц, 200oC): 7,5; (1 кГц R. T. ): 3,2; (1 кГц, 200oC): 4,3; тан (%, 45 Гц, R.T.): 0,4; тан (%, 45 Гц, 200oC): >20; тан (%, 1 кГц R.T.): 0,1 тан ( %, 1 кГц, 200oC): >20; водопоглощение (14 дней, 70oC): приблизительно 0,2%.
Пример 25.
150 г технического дициклопентадиена (по Шеллу) 4,5 г поли(норборнена), 279 г кварцевой муки W12 и 750 мг (C6H11)3PRu(p-кумен)Cl2 смешивают и нагревают 4 ч при 90oC, затем 1 ч при 120oC и еще 4 ч при 150oC. Полученный полимер имеет следующие свойства. Tg: 121oC; прочность при изгибе: 46,0 Nмм-2; продольная деформация кромки волокна: 1,1%; E-модуль: 7800 Nмм-2; K1c: 3,45 Джм-2; G1c: 1380 Джм-2.
Пример 26.
170 г технического дициклопентадиена (по Шеллу), 5,1 г поли(бутадиена) и 850 мг (C6H11)3PRu(p-кумен)Cl2 смешивают и нагревают сначала 4 ч при 90oC, а затем 1 ч при 120oC и еще 4 ч при 150oC. Полученный полимер обладает следующими свойствами. Tg: 109oC; убыль в весе при 300oC: 4,9%; прочность при изгибе: 87,3 Nмм-2; продольная деформация кромки волокна: 6,3%; E-модуль: 1900 Nмм-2; K1с: 3,36 Джм-2; G1c: 5050 Джм-2; ударная вязкость: 75,2 кДжм-2.
Пример 27.
Смешивают 150 г технического дициклопентадиена (по Шеллу), 4,5 г поли(бутадиена), 225 г кварцевой муки W12 и 750 мг (C6H11)3PRu(p-кумен)Cl2 и нагревают сначала 4 ч при 90oC, а затем 1 ч при 120oC и еще 4 ч при 150oC. Полученный полимер имеет следующие свойства. Tg: 117oC; прочность при изгибе: 44,6 Nмм-2; продольная деформация волокна по кромке: 1,7%; E-модуль: 6050 Nмм-2; K1c: 3,52 Джм-2, G1c: 1870 Джм-2; ударная вязкость: 4,60 кДжм-2.
Пример 28.
В сульфатор объемом 250 мл с термометром, подводом для N2 и капельной воронкой подают 80 мл воды и N2. При интенсивном размешивании через капельную воронку в течениe 30 с добавляют раствор 0,5 весовых процентов (C6H11)3PRu(p-кумен)Cl2 в 30 мл дициклопентадиена, и сульфатор ставят в масляную баню, предварительно нагретую до температуры 120oC (температура внутри возросла до 100oC). Через 1,5 ч образовавшийся полимер отфильтровывают и высушивают в вакууме в течение 24 ч при давлении 0,1 мбар и температуре 50oC. Выход: 11,0 г (36,7%).
Пример 29.
Смешивают 12 мл воды, 160 мг Дрезината 731 (поверхностно-активное вещество), 8,0 г дициклопентадиена и 80 мг (C6H11)3PRu(p-кумен)Cl2. После двухчасового перемешивания при температуре 150oC (температура ванны; температура внутри возросла до 140oC) смесь охлаждают, и образовавшийся полимер осаждают в 300 мл ацетона. Выход: 1,50 г (18,8%); Tg=117oC.
Пример 30.
Смешивают 12 мл воды, 8,0 г дициклопентадиена и 40 мг (C6)H11)3PRu(p-кумен)Cl2. После четырехчасового перемешивания при температуре 150oC (температура ванны) смесь охлаждают и образовавшийся полимер осаждают в 300 мл ацетона. Выход: 5,28 г (66%); Tg=59oC; элементарный анализ: C 90,85 (рассчитано); 88,80 (найдено); H 9,14 (рассчитано); 9,15 (найдено).
Пример 31.
Смешивают 12 мл воды, 160 мг Тритона X-100 (Fluka) (поверхностно-активное вещество), 8,0 г дициклопентадиена и 40 мг (C6H11)3PRu(p-кумен)Cl2. Смесь перемешивают в течение 4 ч при температуре 150oC (температура ванны) и охлаждают, а образовавшийся полимер осаждают в 300 мл ацетона. Выход: 7,2 г (90%); Tg=143oC; элементарный анализ: C 90,85 (рассчитано); 88,70 (найдено); H 9,14 (рассчитано); 9,26 (найдено).
Пример 32.
Смешивают 12 мл воды, 160 мг Диспонила APE-256 (Henkel) (поверхностно-активное вещество), 8,0 г дициклопентадиена и 40 мг (C6H11)3PRu(p-кумен)Cl2. Перемешивают в течение 4 ч при температуре 150oC (температура ванны) и смесь охлаждают, а образовавшийся полимер осаждают в 300 мл ацетона. Выход: 7,3 г (91%); Tg= 92oC; элементарный анализ: C 90,85 (расчет); 89,08 (найдено); H 9,14 (расчет); 9,21 (найдено).
Пример 33.
Смешивают 24 мл воды, 320 мг Тритона X-100 (Fluka) (поверхностно-активное вещество), 16,0 г дициклопентадиена и 80 мг (C6H11)3PRu(p-кумен)Cl2. В течение 4 ч интенсивно перемешивают при температуре 120oC (температура ванны; температура внутри повышена максимально до 90oC) и смесь охлаждают, а образовавшийся полимер осаждают в 300 мл ацетона. Выход: 12,54 г (78,4%); Tg= 131oC; элементарный анализ: C 90,85 (расчет); 87,95 (найдено); H 9,14 (расчет); 8,95 (найдено).
Формула изобретения
(R26R27R28P)L1Me2+(Z11)Z2-1 (R26R27R28P)2L1Me2+(Z11-)Z2-1 (R26R27R28P)L1L2Me2+(Z11-)Z2-1 (R26R27R28P)3L1Me2+(Z11-)Z2-1 (R26R27R28P)(L1)2Me2+(Z11-)Z2-1 где Me является Ru или Os; Z1 и Z2 обозначает независимо друг от друга H–, циклопентадиенил, Cl–, Br1, BF4–, PF6–, SbF6–, AsF6–, CF3SO3–, C6H5-SO3–, 4-метил-C6-H5-SO3–, 3,5-диметил-C6H5-SO3–; 2,4,6-триметил-C6H5-SO3 или 4-CF3-C6H5-SO3; R26, R27 и R28 обозначает независимо друг от друга водород, C1-C6-алкил, незамещенный или замещенный 1 -3 C1-C4-алкилами циклопентил, или циклогексил, или циклопентилоксил, или циклогексилоксил, или незамещенный или замещенный 1 – 3 C1-C4-алкилами фенил, или бензил, или фенилоксил, или бензилоксил; L1 представляет собой незамещенный или замещенный 1 – 3 C1-C4-алкилами, C1-C4-алкоксилом, -OH, -F или Cl-C6-C16-арен или C5-C16-гетероарен или C1-C6-алкил-CN, бензонитрил или бензилнитрил, причем L1 в формуле VIIIb имеет при необходимости разное значение; и L2 обозначает H2O или C1-C6-алканол. 2. Состав по п.1, отличающийся тем, что затрудненные циклоолефины представляют собой соединения с моноциклическими кольцами или полициклическими кольцами, замкнутыми мостиковой связью или с конденсированными кольцевыми системами с 2 – 4 кольцевыми, незамещенными или замещенными, содержащими один или несколько гетероатомов из группы O, S, N или Si, в одном или нескольких кольцах или с конденсированными ароматическими или гетероароматическими кольцами. 3. Состав по п.1, отличающийся тем, что затрудненные циклоолефины содержат кольца с 3 – 16 элементами кольца. 4. Состав по п.1, отличающийся тем, что затрудненные циклоолефины содержат другие неароматические двойные связи. 5. Состав по п.1, отличающийся тем, что затрудненные циклоолефины соответствуют формуле I ![]() где Q1 является радикалом по меньшей мере с одним атомом углерода, который вместе с группой -CH=CQ2– образуют по меньшей мере 3-членное алициклическое кольцо, которое при необходимости содержит один или несколько гетероатомов из группы кремния, фосфора, кислорода, азота и серы; и который не замещен или замещен галогеном, =O, -CN, -NO2, R1R2R3Si-(O)u-, COOM, -SO3M, -PO3M, -COO(M1)1/2, -SO3(M1)1/2, -PO3(M1)1/2, C1-C20-алкилом, C1-C20-гидроксиалкилом, C1-C20-галогеналкилом, C1-C6-цианоалкилом, C3-C8-циклоалкилом, C6-C16-арилом, C7-C16-аралкилом, C3-C6-гетероциклоалкилом, C3-C16-гетероарилом, C4-C16-гетероаралкилом или R4-X-; или у двух соседних атомов углерода замещены -CO-O-CO- или -CO-NR5-CO-; или у которого при необходимости у соседних атомов углерода алициклического кольца сконденсировано алициклическое, ароматическое или гетероароматическое кольцо, незамещенное или замещенное галогеном, -CN, -NO2, R6R7R8Si-(O)u-, -COOM, -SO3M, -PO3M, -COO(M1)1/2, -SO3(M1)1/2, -PO3(M1)1/2, C1-C20-алкилом, C1-C20-галогеналкилом, C1-C20-гидроксиалкилом, C1-C6-цианоалкилом, C3-C8-циклоалкилом, C6-C16-арилом, C7-C16-аралкилом, C3-C6-гетероциклоалкилом, C3-C16-гетероарилом, C4-C16-гетероаралкилом или R13-X1-; X и X1 обозначает независимо друг от друга -O-, -S-, -CO-, -SO-, -SO2-, -O-C(O)-, -C(O)-O-, -C(O)-NR5-, -NR10-C(O)-, -SO2-O- или -O-SO2-; R1, R2, R3 обозначают независимо друг от друга C1-C12-алкил, C1-C12-перфторалкил, фенил или бензил; R4 и R13 обозначают независимо друг от друга C1-C20-алкил, C1-C20-галогеналкил, C1-C20-гидроксиалкил, C3-C8-циклоалкил, C6-C16-арил, C7-C16-аралкил; R5 и R10 обозначают независимо друг от друга водород, C1-C12-алкил, фенил или бензил, причем группы алкила, в свою очередь, не замещены или замещены C1-C12-алкоксилом или C3-C8-циклоалкилом; R6, R7, R8 обозначают независимо друг от друга C1-C12-алкил, C1-C12-перфторалкил, фенил или бензил; М является щелочным металлом, а М1 является щелочноземельным металлом; и u является 0 или 1; причем образованное с помощью Q1 алициклическое кольцо содержит при необходимости другие неароматические двойные связи; Q2 представляет собой водород, C1-C20-алкил, C1-C20-галогеналкил, С1-С12-алкоксил, галоген, -CN, R11-X2-; R11 обозначает С1-С20-алкил, С1-С20-галогеналкил, С1-С20-гидроксиалкил, С3-С8-циклоалкил, С6-С16-арил или С7-С16-аралкил; Х2 представляет собой -С(О)-О- или -С(О)-NR12-; R12 представляет собой водород, С1-С12-алкил, фенил или бензил; причем вышеназванные группы циклоалкила, гетероциклоалкила, арила, гетероарила, аралкила и гетероаралкила не замещены или замещены С1-С12-алкилом, С1-С12-алкоксилом, -NO2, -CN или галогеном и причем гетероатомы указанных групп гетероциклоалкила, гетероарила и гетероаралкила выбраны из группы -О-, -S-, -NR9-, и -N=; и R9 представляет собой водород, С1-С12-алкил, фенил или бензил. 6. Состав по п.5, отличающийся тем, что алициклическое кольцо, образованное с помощью Q1 вместе с группой -CH=CQ2, имеет от 3 до 16 циклических атомов и причем речь идет о затрудненной, моноциклической, бициклической, трициклической или тетрациклической системе колец. 7. Состав по п.5, отличающийся тем, что Q2 в формуле I стоит вместо водорода. 8. Состав по п.1, отличающийся тем, что затрудненные циклоолефины представляют собой норборнен или производные норборнена. 9. Состав по п.8, отличающийся тем, что затрудненные производные норборнена представляют собой такие производные формулы II ![]() где Х3 обозначает -CHR16-, кислород или серу; R14 и R15 независимо друг от друга обозначают водород, -CN, трифторметил, (CH3)3Si-O-, (CH3)3Si- или -COOR17; и R16 и R17 независимо друг от друга обозначают водород, С1-С12-алкил, фенил или бензил; или соответствуют формуле III ![]() где Х4 обозначает -CHR19-, кислород или серу, R19 является водородом, С1-С12-алкилом, фенилом или бензилом; и R18 обозначает водород, С1-С6-алкил или галоген; или формуле IV ![]() где Х5 обозначает -CHR22-, кислород или серу, R22 представляет собой водород, С1-С12-алкил, фенил или бензил; R20 и R21 независимо друг от друга обозначает водород, CN, трифторметил, (CH3)3Si-O-, (CH3)3Si- или -COOR23, и R23 обозначает водород, С1-С12-алкил, фенил или бензил; или соответствуют формуле V ![]() в которой Х6 представляет собой -CHR24-, кислород или серу, R24; обозначает водород, С1-С12-алкил, фенил или бензил; Y представляет собой кислород или , и R25 обозначает водород, метил, этил или фенил.
10. Состав по п.1, отличающийся тем, что затрудненный циклоолефин содержит только углерод или водород.
11. Состав по п.1, отличающийся тем, что сомономерный затрудненный циклоолефин содержится в количестве от 0,01 до 99 вес.% в пересчете на количество мономеров, присутствующих в составе.
12. Состав по п.1, отличающийся тем, что лиганды фосфинов представляют собой (C6H5)3P, (C6H5CH2)3P, (C5H11)3P, (CH3)3P, (C2H5)3P, (n-C3H7)3P, (i-C3H7)3P, (n-C4H9)3P, (C6H5)2HP, (C6H5CH2)2HP,(C5H11)2HP, (CH3)2HP, (C2H5)2HP, (n-C3H7)2HP, (i-C3H7)2HP, (n-C4H9)2HP, (C6H5)H2P, (C6H5CH2)H2P, (C5H11)H2P, (CH3)H2P, (C2H5)H2P, (n-C3H7)H2P, (i-C3H7)H2P, (n-C4H9)H2P, PH3, (2-метил-C6H4)3P, (3-CH3-C6H4)3P, (4-CH3-C6H4)3P, (2,4-ди-CH3-C6H3)3P, (2,6-ди-CH3-C6H3)3P, (2-C2H5-C6H4)3P, (3-C2H5-C6H4)3P, (4-C2H5-C6H4)3P, (2-n-C3H7-C6H4)3P, (3-n-C3H7-C6H4)3P, (4-n-C3H7-C6H4)3P, (2-i-C3H7-C6H4)3P, (3-i-C3H7-C6H4)3P, (4-i-C3H7-C6H4)3P, (2-n-C4H9-C6H4)3P, (3-n-C4H9-C6H4)3P, (4-n-C4H9-C6H4)3P, (2-i-C4H9-C6H4)3P, (3-i-C4H9-C6H4)3P, (4-i-C4H9-C6H4)3P, (2-t-C4H9-C6H4)3P, (3-t-C4H9-C6H4)3P, (4-t-C4H9-C6H4)3P, (2-CH3-6-t-C4H9-C6H3)3P, (3-CH3-6-t-C4H9-C6H3)3P, (2,6-ди-t-C4H9-C6H3)3P, (2,3-ди-t-C4H9-C6H3)3P, (C6H11)3P, (C6H11)2HP, (C5H9)3P, (C5H9)2HP или (2,4-ди-t-C4H9-C6H3)3P. 13. Состав по п.1, отличающийся тем, что лиганды L1 и L2 представляют собой незамещенный или замещенный 1-3 С1-С4-алкилами бензол или тиофен, бензонитрили или ацетонитрил. 14. Состав по п.1, отличающийся тем, что лиганды представляют собой незамещенный или замещенный 1-3 С1-С4-алкилами бензол. 15. Состав по п.1, отличающийся тем, что к аренам и гетероаренам относятся такие соединения как бензол, кумен, бифенил, нафталин, антрацен, аценафтен, фторен, фенантрен, пирен, хризен, фторантрен, фуран, тиофен, пиррол, пиридин, -пиран, -тиопиран, пиримидин, пиразин, индол, кумарон, тионафтен, карбазол, дибензофуран, дибензотиофен, пиразол, имидазол, бензимидазол, оксазол, тиазол, изооксазол, изотиазол, хинолин, изохинолин, акридин, хромен, феназин, феноксазин, фенотиазин, триазины, тиантрен или пурин.
16. Состав по п.1, отличающийся тем, что соединения рутения и осмия выбраны из группы, состоящей из [Tos обозначает тизилат]: (C6H11)PRu(i-C3H7-C6H5)(Tos)2, (C6H11)PRu(C6H6) (C2H5OH)2(Tos)2, (CH3)3PRu(p-кумен)Cl2,(C6H11)3PRu(антрацен)(Tos)2, (C6H5)3PRu(p-кумен)HCl, [(C6H11)3P] 3Ru(CH3-CN), (C5H9)3PRu(p-кумен)Cl2, (C6H11)3PRu[(C4H9)-C6H5)] Cl2, (C6H11)3POs(p-кумен)Cl2, (C6H5)3POs(p-кумен)Cl2, (2-CH3C6H4)3POs(p-кумен)Cl2, (C6H11)3PRu(C6H6)(p-кумен)Br2, (C6H11)PRu(CH3CN)Cl2, (CH3)3POs(p-кумен)Cl2, (C6H11)3PRu[1,2,4,5-(CH3)4C6H2] Cl2, RuCl2(p-кумен)[(C6H11)2PCH2CH2P (C6H11)2], (C6H11)3PRu(p-кумен)(CH3-CN)2 (PF6)2, (C6H11)3PRu(p-кумен) (CH3-CN)2(Tos)2, (C6H11)3 PRu(p-кумен)(C2H5OH)2(BF4)2, (C6H11)3 PRu(p-кумен)(C2H5OH)2(PF6)2, (C6H11)3PRu[1,3,5-(i-C3H7)3C6H3]Cl2, (n-C4H9)3PRu(p-кумен)(CH3-CN)2(Tos)2, (i-C3H7)3PRu (p-кумен)Cl2, (n-C4H9)3PRu(p-кумен)Cl2, (i-C3H7)3POs(p-кумен)Cl2, (C6H11)3PRu(хризен)(Tos)2, (C6H11)3PRu(p-кумен)Cl2, (C6H11)3PRu(p-кумен)Br2, (C6H11)3PRu(p-кумен)(Tos)2, (C6H11)3PRu(p-кумен)ClF, (C6H11)3PRu(C6H6)(Tos)2, (C6H11)3PRu(CH3-C6H5)(Tos)2, (C6H11)3PRu(CH3-CN)2Cl2, (C6H11)3PRu(p-кумен)HCl, (C6H11)3HPRu(p-кумен)Cl2, (C6H11)3PRu(CH3-CN)(C2H5-OH)(Tos)2, (C6H11)3PRu(C10H8)(Tos)2, (C6H11)3 (p-кумен)(C2H5OH)(BF4)2, (C6H11)3PRu(бифенил)(Tos)2 и [(C6H11)3P]2RU(CH3-CN)Tos)2. 17. Состав по п.16, отличающийся тем, что однокомпонентным катализатором является (C6H11)3PRu(p-кумен)Cl2, (C5H9)3PRu(p-кумен)Cl2 или [CH(CH3)2] 3PRu(p-кумен)Cl2. 18. Состав по п.1, отличающийся тем, что содержит еще и растворитель. 19. Состав по п.1, отличающийся тем, что однокомпонентный катализатор присутствует в количестве от 0,001 до 20 мол.% в пересчете на количество мономера. 20. Состав по п.19, отличающийся тем, что однокомпонентный катализатор присутствует в количестве от 0,01 до 15 мол.%. 21. Состав по п.19, отличающийся тем, что однокомпонентный катализатор присутствует в количестве от 0,01 до 10 мол.%. 22. Состав по п.19, отличающийся тем, что однокомпонентный катализатор присутствует в количестве от 0,001 до 2 мол.%. 23. Состав по п.1 отличающийся тем, что содержит вспомогательные вещества. 24. Состав по п.23, отличающийся тем, что содержит вспомогательные вещества в количестве от 0,1 до 70 вес.%. РИСУНКИ
MM4A Досрочное прекращение действия патента Российской Федерации на изобретение из-за неуплаты в установленный срок пошлины за поддержание патента в силе
Дата прекращения действия патента: 12.12.2001
Номер и год публикации бюллетеня: 14-2004
Извещение опубликовано: 20.05.2004
|
||||||||||||||||||||||||||

.


-метилбензиле, фенбутиле или 



, а




















































-пиран,
,Cl
C

-валеролактон, пивалолактон), амиды карбоновых кислот и лактамы (N,N-диметилформамид, N,N-диэтилформамид, N, N-диметилацетамид, тетраметил-мочевина, триамид гексаметилфосфорной кислоты,
-капролактам, N-метилпирролидон, N-ацетилпирролидон, N-метилкапролактам), сульфоокиси (диметиловая сульфоокись), сульфоны (диметилсульфон, диэтилсульфон, триметиленсульфон, тетраметиленсульфон), третичные амины (N-метилпиперидин, N-метилморфолин), алифатические и ароматические углеводороды, например петролейный эфир, пентан, гексан, циклогексан, метилциклогексан, бензол или замещенные бензолы (хлорбензол, о-дихлорбензол, 1,2,4-трихлорбензол, нитробензол, толуол, ксилол) и нитрилы (ацетонитрил, пропионитрил, бензонитрил, фенилацетонитрил). Предпочтение отдается непротонным полярным и неполярным растворителям.
Предпочтительными растворителями являются алифатические и ароматические углеводороды, а также смеси из таких растворителей.
Особо следует отметить, что заявленный состав из ДЦПД, при необходимости циклоолефина и катализатора зачастую является невосприимчивым к кислороду и влаге, что дает возможность хранить его и проводить с ним реакции без присутствия защитного газа, предохраняющего от окисления.
Каталитические количества обозначают в рамках предложенного изобретения предпочтительно количество от 0,001 до 20, более предпочтительно от 0,01 до 15 и лучше всего от 0,01 до 10 молярных процентов в пересчете на количество мономера. Из-за высокой термокаталитической активности особое предпочтение отдается количествам от 0,001 до 2 молярных процентов.
Заявленный состав, применяемый в процессе полимеризации, может быть получен непосредственно перед процессом полимеризации или использован в качестве заранее заготовленной смеси, т.к. применяемые катализаторы обладают особенно высокой стабильностью. До проведения полимеризации смесь может храниться даже длительное время в качестве готового к употреблению состава, что несет с собой значительную выгоду для промышленного применения.
Заявленный состав может содержать вспомогательные вещества. Известными вспомогательными веществами являются антистатики, антиокислители, противостарители, предохраняющие от действия света или солнечных лучей, мягчители, красители, пигменты, наполнители, активные наполнители, технологические добавки для улучшения переработки, средства, улучшающие адгезию, средства повышения вязкости и вспомогательные вещества, способствующие лучшему выниманию изделия из (пресс) формы. Вспомогательные вещества могут присутствовать в неожиданно больших количествах, не оказывая при этом отрицательного влияния на процесс полимеризации, например в количестве до 70, предпочтительно от 1 до 70, более предпочтительно от 5 до 60, лучше от 10 до 50, особенно от 10 до 40 весовых процентов в пересчете на количество состава. Вспомогательные вещества, улучшающие оптические, физические, механические и электрические показатели, известны в большом количестве. Вот только некоторые примеры: стекло и кварц в форме порошков, шариков и волокон, окиси металлов и полуметаллов, карбонаты как MgCO3, CaCO3, доломит, сульфаты металлов как гипс и тяжелый шпат, натуральные и искусственные силикаты как тальк, цеолиты, волластонит, полевой шпат, глинозем как каолин, породная пыль, “ус” (нитевидный кристалл), карбоновые волокна, синтетические волокна или порошки и сажа. Средствами, способствующими повышению вязкости, являются, в частности, метатезисные полимеризаты, содержащие ненасыщенные олефинами группы и способные “встраиваться” в полимер в процессе полимеризации. Такие метатезисные полимеризаты известны и имеются в продаже, например под торговой маркой Vestenamer
например от 500 до 2 млн. дальтон, преимущественно от 1000 до 1 млн. дальтон (определено с помощью гель-проникающей хроматографии путем сравнения с более узким полистирол-стандартом).
Неожиданным образом обнаружилось, что полимеризация в растворителе с высоким выходом ведет к получению линейного полидициклопентадиена, полимера, имеющего структурные элементы формулы IX



m, предпочтительно от 0,5 до 500 




, и R25 обозначает водород, метил, этил или фенил.
10. Состав по п.1, отличающийся тем, что затрудненный циклоолефин содержит только углерод или водород.
11. Состав по п.1, отличающийся тем, что сомономерный затрудненный циклоолефин содержится в количестве от 0,01 до 99 вес.% в пересчете на количество мономеров, присутствующих в составе.
12. Состав по п.1, отличающийся тем, что лиганды фосфинов представляют собой (C6H5)3P, (C6H5CH2)3P, (C5H11)3P, (CH3)3P, (C2H5)3P, (n-C3H7)3P, (i-C3H7)3P, (n-C4H9)3P, (C6H5)2HP, (C6H5CH2)2HP,