Патент на изобретение №2168513
|
||||||||||||||||||||||||||
(54) ПРОИЗВОДНЫЕ ТАКСАНА, СПОСОБ ИХ ПОЛУЧЕНИЯ И ФАРМАЦЕВТИЧЕСКАЯ КОМПОЗИЦИЯ
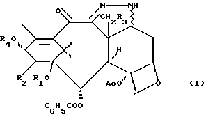
(57) Реферат: Описываются новые производные таксана общей формулы I, где R1 и R2 представляют атомы водорода или R1 и R2 вместе образуют циклическую карбонатную или циклическую тиокарбонатную группу формулы (а) или (b), R3 представляет водород, R4 представляет водород или остаток изосерина формулы II, где 5 представляет С1 -C5-алкильную группу или фенильный остаток, R6 имеет такие же значения, как и R5, или представляет трет-бутоксигруппу. Новые производные таксана проявляют противоопухолевую активность, ингибируя клеточную пролиферацию нормальных и устойчивых клеточных линий опухолей и индуцируя апоптоз. Эти молекулы, благодаря их основному характеру, можно вводить после образования соли в водной среде без необходимости использования токсичных поверхностно-активных веществ. Описывается способ их получения и фармацевтическая композиция. 3 с. и 8 з. п. ф-лы, 1табл. ![]() ![]()
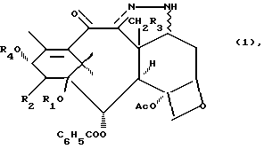
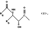
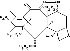
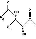
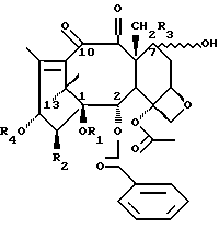
Настоящее изобретение относится к производным таксана, полученным из 10-деацетилбаккатина III, 14-гидрокси-10-деацетилбаккатина III, 19-гидрокси-10-деацетилбаккатина III и их сложных эфиров по 13 реакцией соответствующих 10-дегидропроизводных с гидразином, гидроксиламином и их производными. В EP 253738 описываются производные таксола, имеющие гидроксилы в положениях 10 и 7 и кето в положении 9, эти производные могут быть замещены остатком изосерина в положении 13; в WO 94/25441 описываются антрапиразолоны, которые можно использовать в качестве противораковых средств, и способ их синтеза; в “Journal of the American Chemical Society”, vol. 93, N 9, стр. 2325-2327 описывается выделение и исследование производных таксола, обладающих свойствами ингибирования опухолей. Новые соединения содержат группу пиразолина, включающую углероды C2 и C9. Сложные эфиры по C13 с изосериновыми цепями, функционализированными по C’3 и по NH, обладают цитотоксической активностью на клеточных линиях наиболее обычных опухолей человека, а также противораковой активностью in vivo. Соединения изобретения являются сильнодействующими цитотоксическими средствами, особенно активными на клетках, устойчивых к известным средствам, препятствующим росту клеток, и являются сильными средствами, вызывающими апоптоз на этих клеточных линиях, эта активность существенно важна в онкологической терапии. Производные настоящего изобретения имеют следующую общую формулу (1) ![]() где R1 и R2 представляют атомы водорода или R1 представляет водород и R2 представляет гидрокси-, алкокси- или ацилоксигруппу, или R1 и R2 вместе образуют циклическую карбонатную или циклическую тиокарбонатную группу формулы ![]() R3 представляет водород или гидрокси; R4 представляет водород или остаток изосерина формулы (2). ![]() где R5 представляет C1-C5-алкильную или C2-C5-алкенильную группу или арильный остаток, R6 имеет такие же значения, как и R5, или представляет трет-бутоксигруппу. Арильная группа предпочтительно представляет фенильную группу. Алкоксигруппа предпочтительно представляет метокси или этоксигруппу. Ацилоксигруппа предпочтительно представляет ацетоксигруппу. Соединения формулы (1) получают из таксана формулы (3) ![]() где R1, R2, R3 и R4 являются такими, как определено выше, реакцией с гидразином в спиртах, предпочтительно в метаноле. В результате реакции образуются два диастереомера в – и -конфигурации по C7, которые можно разделить фракционной кристаллизацией или, что лучше, хроматографией с использованием, например, колонок с силикагелем и смесей этилацетата и гексана в качестве элюентов. В реакции с гидразином изомер образуется предпочтительно в отношении примерно 8:2. Следовательно, две формы изомеров также являются объектом настоящего изобретения. Реакцию можно применять, кроме баккатина III или 14- -гидроксибаккатина III или соответствующих карбонатов или тиокарбонатов, полученных реакцией с фосгеном или тиофосгеном в пиридине (заявки на патенты Италии M195A000533 и M195001022), также для продуктов, уже этерифицированных по C13, таких как паклитаксел, цефаломаннин, доцетаксел и их полусинтетические аналоги. Вышеуказанные продукты, после удаления ацетата по C10 обработкой гидразином в метаноле, окисляют ацетатом меди в 10-дегидропроизводные (см. цитированные выше заявки на патенты Италии), которые непосредственно превращают в соответствующие производные пиразолина путем обработки гидразином. Выходы превращения являются почти количественными в различных стадиях. Производные пиразолина можно использовать как таковые, и они имеют активность, сравнимую или выше, чем активность исходных продуктов, что касается цитотоксичности. Полученные производные пиразолина можно превратить в дигидропроизводные каталитическим гидрированием или их можно превратить в производные у атома азота.
В качестве примера описывается цитотоксичность некоторых полученных соединений.
Результаты приведены в таблице.
Соединения настоящего изобретения содержат, предпочтительно, соединения с цепью по C13, модифицированной по сравнению с паклитакселом и доцетакселом, где фенил фенилизосерина замещен изобутильной, изобутенильной или пропенильной группой.
Соединения изобретения можно вводить в общепринятые фармацевтические композиции, такие как растворы активного ингредиента в полиоксиэтиленированном касторовом масле, свободные от, в частности, катионов металла, неблагоприятно влияющих как на стабильность действующих (активных) начал, так и на их кардиотоксичность, или в композиции, содержащие другие эксципиенты, такие как полисорбаты или фосфолипиды, образующие с последними липосомы. Соединения настоящего изобретения могут быть, кроме того, измельчены вместе с олигомерами циклодекстрина, в частности с – и – циклодекстрином, или образовать соль с фармацевтически приемлемыми кислотами, чтобы затем быть введенными в полностью водной среде. Следующие примеры иллюстрируют изобретение.
Пример 1Синтез 10-деацетил-10-дегидробаккатин III – или -пиразолинаК суспензии 10-деацетил-10-дегидробаккатина III (1 г, 1,845 ммоль) в 15 мл метанола добавляют 11,7 мл 10% раствора гидразина (31,5 ммоль). Суспензию кипятят с обратным холодильником, и через 10 мин она становится прозрачной. Реакцию контролируют ТСХ на силикагеле, следя за исчезновением 10-деацетил-10-дегидробаккатина III (CHCl3-ацетонитрил, 2:1). Через 2 ч реакционную смесь разбавляют H2O, подкисляют HCl (100 мл) и экстрагируют EtOAc. Органическую фазу сушат на Na2SO4 и концентрируют досуха. Остаток очищают хроматографией на колонке с силикагелем (40 г силикагеля, элюент гексан-этилацетат, 1: 1). Получают 687 мг -пиразолина и 208 мг -пиразолина, имеющих следующие физико-химические и спектроскопические характеристики: -пиразолин: т. пл. 195oC,MS+ 538, 1H-NMR (CDCl3) H2 5.80 d J 8.6, H3 3.16 d J 8.6, H5 5.04 dd J 9.5/4.5, H6a 2.43 ddd J 13.5/9.5/4.5, H6 2.20 dd J 13.5/13.5/4.5, H7 4.20 ddd J 15.5/4.5/3.0, H13 4.69, H14 2.34 m, H16 1.23 s, H17 1.15 s, H18 1.66 s, H19 1.50 s, H20a 4.47 d, J 8.6, H20b 4.33 d J 8.6, NH 6.44 br s, OH 2.33 brs/i,87 brs, Ac 2.26 s, Bz 8.14 brd 6.7. -пиразолин: т. пл. 219-222oC, MS 538–, 1H-NMR (CDCl3)H26.04 d J 6.0, H3 3.71d J 6.0, H5 4.93 br d J 2.5, H6 2.06 td J14.0/14.0/2.5, 6′ 1.85 m, H7 4.39dd J14.0/4.2, H13 4.79, brdd J 10.0/6.5, 14a 2.46 dd J 15.0/10.0, 14b 1.88dd J15.0/6.5, H16 1.33s, H17 1.23 s, H18 1.74 brs, H19 1.70 s, 2O 4.38s, NH 6.34 brs, OH 2.63/2.00, Ac 2.36s, Bz 8.12 brd, /.6. Пример 2 Синтез 10-деацетил-10-дегидропаклитакселпиразолина 400 мг 10-дегидропаклитаксела (0,49 ммоль) растворяют в 10 мл метанола и добавляют 10 мол. экв. раствора NH2NH2 (4,9 ммоль, 1,5 мл), полученного разбавлением 1 мл чистого NH2NH2 в 10 мл метанола. Через 2 ч реакционную смесь разбавляют водой и 3 мл разбавленной HCl и экстрагируют этилацетатом. Органическую фазу противоточно промывают, затем сушат над сульфатом натрия и выпаривают досуха. Остаток хроматографируют через 10 г силикагеля, элюируя смесью гексан/этилацетат, 1: 1, выделяя фракции, содержащие паклитаксел- -пиразолин. Получают 250 мг соединения, имеющего следующие характеристики: т. пл. 190oC,MC 823 (M+ NH4)+ и 1H-ЯМР и 13C-ЯМР, соответствующие этой структуре. Пример 3 Синтез 10-дегидро-13-(N-Boc-фенилизосеринил)-10-деацетилбаккатина III 1 г доцетаксела растворяют в 50 мл сухого метанола и при перемешивании добавляют 3,71 г мелкоизмельченного ацетата меди; реакционную смесь перемешивают в течение 6 ч при комнатной температуре. Нерастворенный ацетат меди отфильтровывают, и раствор разбавляют водой и экстрагируют этилацетатом. Органическую фазу противоточно промывают разбавленным раствором аммиака, затем сушат и концентрируют досуха. Получают бледно-желтый твердый продукт с выходом 85%, соответствующий 10-дегидро-13-(N-Boc-фенилизосеринил)-10-деацетилбаккатину III. М+ 801. Пример 4 Синтез 13-(N-Boc-фенилизосеринил)-10-дегидро-10-деацетилбаккатин III-пиразолина 390 мг 10-дегидро-13-(N-Boc-фенилизосеринил)-10-деацетилбаккатина III (0,49 ммоль) растворяют в 10 мл метанола и добавляют 10 мол. экв. раствора NH2NH2 (4,9 ммоль, 1,5 мл), полученного разбавлением 1 мл чистого NH2NH2 в 10 мл метанола. Через 2 ч реакционную смесь разбавляют водой и 3 мл разбавленной HCl и экстрагируют этилацетатом. Органическую фазу промывают противотоком, сушат над сульфатом натрия и выпаривают досуха. Остаток хроматографируют через 10 г силикагеля с элюированием смесью гексан/этилацетат, 1: 1, выделяя фракции, содержащие доцетаксел- -пиразолин. Получают 280 мг соединения, имеющего следующие характеристики: т. пл. 190oC, MC 823 (M+ NH4)+ и 1H-ЯМР и 13C-ЯМР, соответствующие этой структуре.
Пример 5Синтез 13-(N-Boc-3′-изобутил)изосеринил-10-дегидробаккатин III-пиразолина К раствору 100 мг 13-(N-Boc-3′-изобутил)изосеринилбаккатина III (0,12 ммоль) в 2 мл этанола добавляют 10 мол. экв. свежеприготовленного 10% раствора гидразина в этаноле (1,2 ммоль, 0,38 мл этанольного раствора), затем два раза последовательно добавляют 15 мол. экв. гидразина с интервалом 12 ч между добавлениями. Через три дня реакция деацетилирования завершается, и смесь разбавляют водой и 2 мл разбавленной HCl, и всю смесь экстрагируют этилацетатом. Органическую фазу промывают водой до нейтральности, затем сушат и концентрируют досуха. Остаток хроматографируют через колонку силикагеля, элюируя смесью этилацетат/гексан, 4:6. Получают 67 мг 13-(N-Boc-3′-изобутил)изосеринил-10-деацетилбаккатина III. К раствору 57 мг 13-(N-Boc-3′-изобутил)изосеринил-10-деацетилбаккатина III (0,07 ммоль) в 3 мл метанола добавляют 15 мол. экв. порошкообразного Cu(OAc)2, и всю смесь перемешивают в течение 6 ч. Реакционную смесь разбавляют водой и экстрагируют этилацетатом; органическую фазу промывают аммиаком, затем водой до достижения нейтральности и концентрируют досуха. Остаток растворяют в 3 мл метанола и добавляют 20 мол. экв. 10% раствора гидразина в этаноле. Реакционную смесь в течение двух часов кипятят с обратным холодильником, контролируя реакцию ТСХ до тех пор, пока реагенты не исчезают. Реакционную смесь разбавляют водой, и разбавленной хлористоводородной кислотой и затем экстрагируют этилацетатом. Органическую фазу промывают водой, сушат и концентрируют досуха; остаток хроматографируют на силикагеле, элюируя смесью гексан/этилацетат, 1:1. Получают 29,2 мг -пиразолина и 11 мг -пиразолина.
Пример 6Синтез 13-(N-Boc-фенилизосеринил)-1,14-карбонат-10-дегидро-10- деацетилбаккатин III-пиразолина К раствору 100 мг N-Boc-14-гидрокситаксол 1,14-карбоната (0,11 ммоль) в 3 мл MeOH добавляют 10 мол. экв. свежеприготовленного 10% раствора NH2NH2 в этаноле (1,12 ммоль, 0,36 мл этанольного раствора. Через 12 часов добавляют дополнительные 10 мол. экв. (всего было добавлено 20 мол. экв.). Реакцию контролируют ТСХ (Ex-EtOAc, 3:7). Через 48 часов реакционную смесь разбавляют водой и 2 мл разбавленной HCl, экстрагируют EtOAc (x 3), органическую фазу промывают соляным раствором, сушат, фильтруют, выпаривают и разделяют КХ (колоночной хроматографией) (Ex-EtOAc, 6:4 и затем 5:5), получая 30 мг исходного продукта и 40 мг 10-деацетилпроизводного. К раствору 40 мг 10-деацетилпроизводного (0,05 ммоль) в 3 мл MeOH добавляют 15 мол. экв. порошкообразного Cu(OAc)2 (0,69 ммоль, 138 мг). Реакцию, которая продолжается 24 часа, контролируют ТСХ (Ex-EtOAc, 3:7). Реакционную смесь разбавляют водой и экстрагируют EtOAc (x 3); органическую фазу промывают раствором NH3:H2O, 1:5, (x 2) и затем соляным раствором. Органическую фазу выпаривают, получая бледно-желтое твердое вещество почти с количественным выходом. Сырой продукт окисления при помощи Cu(OAc)2 растворяют в 2 мл MeOH и добавляют 20 мол. экв. 10% раствора NH2NH2 в этаноле (0,8 ммоль, 0,25 мл этанольного раствора). Реакционную смесь кипятят с обратным холодильником в течение 2 часов, реакцию контролируют ТСХ (Ex-EtOAc, 3:7), затем разбавляют водой, добавляют 2-3 мл разбавленной HCl и экстрагируют EtOAc (x 3). Органическую фазу промывают соляным раствором, сушат, смешивают, фильтруют, выпаривают и разделяют КХ с Ex-EtOAc, 6:4/5:5, получая 10,5 мг пиразолина (смесь и ).
Пример фармацевтической композиции 1Получают фармацевтическую композицию в форме инъецируемого стерильного раствора, состоящего из: Соединение примера 1 – 2 мг Кремофор EL – 175 мг Абсолютный этанол – Сколько потребуется до 0,4 мл Пример фармацевтической композиции 2 Получают фармацевтическую композицию в форме инъецируемого стерильного раствора, состоящего из: Соединение примера 2 – 6 мг Кремофор EL – 0,5 мл Безводная лимонная кислота – 2,0 мг Абсолютный этанол – Сколько потребуется до 1 мл Пример фармацевтической композиции 3 Получают фармацевтическую композицию в форме инъецируемого стерильного раствора, состоящего из: Соединение примера 3 – 4 мг Эмульфор EL – 0,1 мл Абсолютный этанол – 0,1 мл Физиологический раствор – 1,8 мла Формула изобретения
![]() где R1 и R2 представляют атомы водорода или R1 и R2 вместе образуют циклическую карбонатную или циклическую тиокарбонатную группу формулы ![]() R3 представляет водород, R4 представляет водород или остаток изосерина формулы II ![]() где R5 представляет C1 – C5-алкильную группу или фенильный остаток; R6 имеет такие же значения, как и R5, или представляет третбутоксигруппу. 2. Соединение по п.1, где R1, R2, R3 и R4 представляют водород. 3. Соединение по п.1, где R1, R2, R3 представляют водород и R4 представляет остаток формулы II, где R5 и R6 представляет фенил. 4. Соединение по п.1, где R1, R2 и R3 представляют водород и R4 представляет остаток формулы II, где R5 представляет фенил и R6 представляет трет.бутокси. 5. Соединение по п.1, где R1, R2 и R3 представляют водород и R4 представляет остаток формулы II, где R5 представляет изобутил и R6 представляет трет.бутокси. 6. Соединение по п.1, где R1 и R2 вместе образуют циклическую карбонатную группу, R3 представляет водород и R4 представляет остаток изосерина, где R5 представляет фенил и R6 представляет трет.бутокси. 7. Соединение по п.1, выбранное из: 7-деокси-9-деоксо-7-гидразинил-9-илиден-10-деацетил-10-дегидробаккатин III (7 – и 7 -изомеры); 7-деокси-9-деоксо-7-гидразинил-9-илиден-10-деацетил-10-дегидропаклитаксел; 13-(N-BOC-фенилизосеринил)-10-деацетил-10-дегидробаккатин III; 13-(N-BOC-фенилизосеринил)-7-деокси-9-деоксо-7-гидразинил-9-илиден-10-деацетил-10-дегидробаккатин III; 13-(N-BOC-3′-изобутилизосеринил)-7-деокси-9-деоксо-7-гидразинил-9-илиден-10-деацетил-10-дегидробаккатин III; 13-(N-BOC-фенилизосеринил)-7-деокси-9-деоксо-7-гидразинил-9-илиден-10-деацетил-10-дегидро-14 -гидроксибаккатин III-1,14-карбоната.
8. Соединения по п.1 для получения цитотоксического и противоопухолевого лекарственного средства.
9. Способ получения соединений формулы I по п.1 из таксана формулы III:![]() где R1, R2, R3 и R4 являются такими, как определено выше, реакцией с гидразином в спирте. 10. Способ по п.9, отличающийся тем, что в качестве спирта используют метанол. 11. Фармацевтическая композиция, обладающая цитотоксическим и противоопухолевым действием и содержащая в качестве активного ингредиента соединение по п.1 в смеси с подходящим носителем. РИСУНКИ
|
||||||||||||||||||||||||||







– и
-конфигурации по C7, которые можно разделить фракционной кристаллизацией или, что лучше, хроматографией с использованием, например, колонок с силикагелем и смесей этилацетата и гексана в качестве элюентов. В реакции с гидразином изомер
– циклодекстрином, или образовать соль с фармацевтически приемлемыми кислотами, чтобы затем быть введенными в полностью водной среде. Следующие примеры иллюстрируют изобретение.
Пример 1


