Патент на изобретение №2168506
|
||||||||||||||||||||||||||
(54) 2-(N-ПИПЕРИДИЛ)-3,5-ДИМЕТИЛПИРИДИН В КАЧЕСТВЕ ИНГИБИТОРА КИСЛОТНОЙ КОРРОЗИИ СТАЛИ
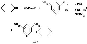
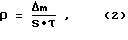
(57) Реферат: Изобретение относится к новому химическому соединению 2-(N-пиперидил)-3,5-диметилпиридину, который может быть использован в качестве ингибитора кислотной коррозии стали при кислотной обработке скважин или на нефтеперерабатывающих заводах. 1 табл. Изобретение относится к новым химическим соединениям, конкретно 2-(N-пиперидил)-5,5-диметилпиридину общей формулы (1), который может быть использован в качестве ингибитора кислотной коррозии стали ![]() Коррозия стального оборудования промышленных объектов при их контакте с водными растворами минеральных кислот приносит значительный ущерб народному хозяйству. На сегодняшний день наиболее эффективным способом защиты стального оборудования промышленных объектов является применение ингибиторов кислотной коррозии стали. Известен ингибитор кислотной коррозии стали – катапин Б-300/[1], Каталог “Ингибиторы коррозии”, М.: 1975, с.61/, который при концентрации 0.5 вес.% в 20% растворе HCl при 20oC защищает сталь от коррозии на 97%. Основным недостатком известного ингибитора является сравнительно большой (0.5% вес.) расход, что делает его невыгодным для широкого применения в промышленности. Известный в промышленности ингибитор кислотной коррозии – пиридин /[2], А. Алцибеева, С.Левин. Ингибиторы коррозии металлов. Изд. “Химия”, Л., 1968, с. 20/ защищает сталь от коррозии в 10% растворе соляной кислоты при 20oC на 71.4% (при концентрации пиридина 0.4%). Недостатками известного ингибитора являются относительно низкая степень защиты стали от коррозии (~ 71%); сравнительно большой расход ингибитора; высокая токсичность и летучесть пиридина, затрудняющие его крупномасштабное применение. Целью изобретения является выявление новых производных пиридина, позволяющих при использовании их в качестве ингибитора кислотной коррозии придавать стали повышенный защитный эффект. Поставленная цель достигается синтезом 2-(N-пиперидил)-3,5-диметилпиридина формулы (1). Предлагаемое соединение получают смешиванием в атмосфере инертного газа эквимольных количеств пиперидина с этилмагнийбромидом (EtMgBr) в тетрагидрофуране (ТГФ) с последующим перемешиванием при температуре ~ 40oC в течение 2 ч. Реакция сопровождается выделением этана. Реакционную массу охлаждают до ~ 0oC, добавляют каталитическое количество (2-5 мол.% по отношению к пиперидину) палладиевого катализатора (Pd[PPh3]4) и эквимольное по отношению к пиперидину количество 2-бром-3,5-диметилпиридина, перемешивают при температуре 30-50oC в течение 6-10 ч. Получают 2-(N-пиперидил)-5,5-диметилпиридин (1) с выходом 77-95% по схеме![]() Испытание защитного действия 2-(N-пиперидил)-3,5-диметилпиридина в качестве ингибитора коррозии углеродистых сталей в кислых средах проводились в лабораторных условиях. В качестве рабочих сред использовались 15% раствор HCl и 20% раствор H2SO4. Предварительно обработанные для коррозионных испытаний образцы стали СТ. 3 ГОСТ 380-71 помещают в рабочую среду на определенное время ( ) при 20oC. По истечении времени экспозиции образцы подвергают соответствующей обработке, взвешивают с точностью до 0,0001 г. Скорость коррозии ( ), степень защиты стали (Z) ингибитора металла от коррозии определяют в соответствии с формулами (2) и (3):![]() где m – изменение массы, г;S – площадь образца, м2; – время испытания, ч,![]() где 1 – скорость коррозии в среде без ингибитора; 2 – скорость коррозии в ингибированной среде.
Как показывают результаты испытаний, предлагаемый ингибитор проявляет высокий ингибирующий эффект 92.6-95.1% при концентрации ингибитора 0.05-0.1 вес.%, тогда как пиридин при концентрации 0.4 мас.% защищает сталь от коррозии только на 71.4%. Для получения равного эффекта защиты необходимо израсходовать катапина Б-300 в 5-10 раз больше (0.5 вес.%).
Таким образом, 2-(N-пиперидил)-3,5-диметилпиридин проявляет ингибирующие свойства (92.6-95.1%) при низком расходе реагента (0.05-0.1 вес.%).
Предлагаемый ингибитор кислотной коррозии стали предполагает возможность его применения в областях промышленности, где имеет место контактирование металлов с водными растворами минеральных кислот, в частности при кислотной обработке скважин или на нефтеперерабатывающих заводах.
Синтез 2-(N-пиперидил)-3,5-диметилпиридина иллюстрируется примером.
ПРИМЕР. К 10 ммолям EtMgBr в растворе ТГФ в атмосфере аргона добавляют 10 ммоль пиперидина и перемешивают 2 ч при температуре -40oC. Реакция сопровождается выделением этана. Далее при температуре ~ 0oC добавляют 0.3 ммоль Pd(PPh3)4 и 10 ммоль 2-бром-3,5-диметилпиридина, перемешивают при температуре -40oC 8 ч (общее время 10 ч). Реакционную массу охлаждают до ~ 20oC, добавляют насыщенный раствор NH4Cl, органический слой экстрагируют эфиром, сушат MgSO4. Получают 2-(N-пиперидил)-3,5-диметилпиридин с выходом 86%. Т. кип. 104-105oC (2 мм рт.ст.). ИК-спектр (V, см-1): 1248, 1123, 780, 752. Спектр ПМР ( , м.д.):1.53-1.72 м (6Н, CH2), 2.25 с (3Н, CH3), 3.46-3.59 м (4H, CH2, N), 6,87-8,62 м (2Н, пиридиновые). M+ 190. Данные, иллюстрирующие защитные свойства 2-(N-пиперидил)-3,5-диметилпиридина (1), приведены в таблице. Формула изобретения
![]() в качестве ингибитора кислотной коррозии стали. РИСУНКИ
MM4A Досрочное прекращение действия патента Российской Федерации на изобретение из-за неуплаты в установленный срок пошлины за поддержание патента в силе
Дата прекращения действия патента: 27.10.2001
Номер и год публикации бюллетеня: 11-2003
Извещение опубликовано: 20.04.2003
|
||||||||||||||||||||||||||


с этилмагнийбромидом (EtMgBr) в тетрагидрофуране (ТГФ) с последующим перемешиванием при температуре ~ 40oC в течение 2 ч. Реакция сопровождается выделением этана. Реакционную массу охлаждают до ~ 0oC, добавляют каталитическое количество (2-5 мол.% по отношению к пиперидину) палладиевого катализатора (Pd[PPh3]4) и эквимольное по отношению к пиперидину количество 2-бром-3,5-диметилпиридина, перемешивают при температуре 30-50oC в течение 6-10 ч. Получают 2-(N-пиперидил)-5,5-диметилпиридин (1) с выходом 77-95% по схеме
) при 20oC. По истечении времени экспозиции образцы подвергают соответствующей обработке, взвешивают с точностью до 0,0001 г. Скорость коррозии (
), степень защиты стали (Z) ингибитора металла от коррозии определяют в соответствии с формулами (2) и (3):
m – изменение массы, г;
, м.д.):