Патент на изобретение №2168502
|
||||||||||||||||||||||||||
(54) ЗАМЕЩЕННЫЕ ДИГИДРОДИБЕНЗ/B, F/АЗЕПИНЫ, СПОСОБ ИХ ПОЛУЧЕНИЯ, ФАРМАЦЕВТИЧЕСКАЯ КОМПОЗИЦИЯ, ОБЛАДАЮЩАЯ АНТИЭПИЛЕПТИЧЕСКОЙ АКТИВНОСТЬЮ
(57) Реферат: Изобретение относится к новым соединениям общей формулы I, где R это водород, алкил, аминоалкил, галогеналкил, аралкил, циклоалкил, циклоалкилалкил, алкокси, фенил или замещенный фенил или пиридильная группа; термин алкил обозначает углеродную цепь, прямую или разветвленную, содержащую 1 – 18 атомов углерода; термин галоген обозначает фтор. хлор, бром или йод; термин циклоалкил обозначает алициклическую насыщенную группу с 3 – 6 атомами углерода; термин аралкил обозначает арил-алкильную группу, где арил представлен незамещенной фенильной группой или фенилом, замещенным алкокси, галогеном или нитрогруппой. Также раскрыт способ получения этих новых соединений и фармацевтическая композиция на их основе, обладающая антиэпилептической активностью. Изобретение может быть использовано в медицине для лечения некоторых заболеваний перифирической и центральной нервной системы. 3 с. и 4 з.п. ф-лы, 2 табл.
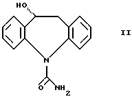
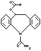
Настоящее изобретение относится к замещенным дигидродибенз/b,f/азепинам, к способам их получения и к содержащим их фармацевтическим композициям. Соединения обладают полезными фармацевтическими свойствами для лечения некоторых заболеваний периферической и центральной нервной системы. Соединения с дибенз/b, f/азепинциклической системой хорошо известны, и некоторые из них широко используются для лечения некоторых патологических состояний человека. Например, дибенз/b,f/азепин-5-карбоксамид (карбамазепин) известен как эффективное средство для оказания помощи при эпилепсии, невралгии тройничного нерва и эмоциональных нарушениях. Однако их применение в лечении людей осложнено тем, что они являются сильными индукторами окислительных ферментов печени, а также оказывают вредное влияние на центральную нервную систему и часто осложняются серьезными проявлениями идиосинкразии. Аналог карбамазепина, 10,11-дигидро-10-оксо-5H-дибенз/b,f/азепин-5- карбоксамид (окскарбазепин, смотри, например патент Германии 2011087) обходит проблему индукции микросомальных ферментов печени благодаря отличающемуся метаболическому профилю, в то время как у других указанных выше соединений эти проблемы сохраняются. Доказано, что окскарбазепин в процессе обмена веществ млекопитающих превращается в 10,11-дигидро-10-гидрокси-5Н-дибенз/b, f/азепин-5-карбоксамид, который обладает антиэпилептической активностью, сравнимой с таковой у исходного лекарственного средства. Использование этого метаболита в качестве антиэпилептического лекарственного средства обсуждалось (смотри, например патент Бельгии 747086), но оно не применялось на практике, потому что его предпочтительному оральному применению препятствует его низкая биопригодность и короткий полупериод распада. Также обнаружено (H. Schuetz et al., Xenobiotica 1986, Vol. 16 769), что этот метаболит, который в природе является хиральным, образуется у человека не полностью стереоселективно, и S (+)- и R(-)-10,11-дигидро-10-гидрокси-5H-дибенз/b, f/азепин-5-карбоксамид образуется приблизительно в соотношении 80 к 20% соответственно. Более этого, точное соотношение этих энантиомеров зависит от пациента. В дальнейшем они (энантиомеры) вступают в обмен с различной скоростью и образуют различные энантиомеры и некоторое количество диастереоизомеров метаболитов и конъюгатов, которые обладают значительными различиями в фармакодинамическом и фармакокинетическом поведении, так же как и побочными эффектами. Вышесказанное осложняет рациональное использование окскарбазепина в качестве антиэпилептического лекарственного средства для человека и представляет пример скрытого энантиомерного балласта в очевидно ахиральном лекарственном средстве. Задачей изобретения является улучшение некоторых вышеотмеченных характеристик, а именно: – улучшение низкой биопригодности и/или короткого полупериода жизни, присущего окскарбазепину и его главным метаболитам; – исключение примеси энантиомеров и ненужного продуцирования энантиомеров или диастереоизомеров метаболитов и конъюгатов. Таким образом, изобретение представляет лекарственное средство, не дающее побочных эффектов и лишенное непредсказуемого фармакокинетического и фармакодинамического поведения, присущих препаратам известного уровня техники, и относится к новым соединениям общей формулы I, включая все возможные стереоизомеры: ![]() где R – это водород, алкил, аминоалкил, галогеналкил, аралкил, циклоалкил, циклоалкилалкил, алкокси, фенил или замещенный фенил или пиридильная группа; термин алкил обозначает углеродную цепь, прямую или разветвленную, содержащую от 1 до 18 атомов углерода; термин галоген представляет фтор, хлор, бром или йод; термин циклоалкил представляет насыщенную алициклическую группу с 3-6 атомами углерода; термин аралкил обозначает арил-алкильную группу, где арил представлен незамещенной фенильной группой или фенилом, замещенным алкокси, галогеном или нитрогруппой. Предпочтительные соединения формулы 1 включают: 1. 10-ацетокси-10,11-дигидро-5H-дибензb,f/азепин-5-карбоксамид 2. 10-бензоилокси-10,11-дигидро-5H-дибенз/b,f/азепин-5-карбоксамид 3. 10-(4-метоксибензоилокси)-10,11-дигидро-5H-дибенз/b, f/aзeпин-5- кapбoкcaмид 4. 10-(3-метоксибензоилокси)-10,11-дигидро-5H-дибенз/b, f/азепин-5- карбоксамид 5. 10-(2-метоксибензоилокси)-10,11-дигидро-5H-дибенз/b,f/азепин-5- карбоксамид 6. 10-(4-нитробензоилокси)-10,11-дигидро-5H-дибенз/b, f/азепин-5- карбоксамид 7. 10-(3-нитробензоилокси)-10,11-дигидро-5H-дибенз/b, f/азепин-5- карбоксамид 8. 10-(2-нитробензоилокси)-10,11-дигидро-5H-дибенз/b, f/азепин-5- карбоксамид 9. 10-(4-хлорбензоилокси)-10,11-дигидро-5H-дибенз/b, f/азепин-5- карбоксамид 10. 10-(3-хлорбенэоилокси)-10,11-дигидро-5H-дибенз/b, f/азепин-5- карбоксамид 11. 10-(2-ацетоксибензоилокси)-10,11-дигидро-5H-дибенз/b, f/aзeпин-5- кapбoкcaмид 12. 10-пропионилокси-10,11-дигидро-5H-дибенз/b,f/азепин-5- карбоксамид 13. 10-бутирилокси-10,11-дигидро-5H-дибенз/b,f/ азепин-5-карбоксамид 14. 10-пивалоилокси-10,11-дигидро-5H-дибенз/b,f/азепин-5-карбоксамид 15. 10-[(2-пропил)пентаноилокси] -10,11-дигидро-5H-дибенз/b,f/азепин-5- карбоксамид 16. 10-[(2-этил)гексаноилокси] -10,11-дигидро-5H-дибенз/b, f/азепин-5- карбоксамид 17. 10-стеароилокси-10,11-дигидро-5H-дибенз/b,f/азепин-5-карбоксамид 18. 10-циклопентаноилокси-10,11-дигидро-5H-дибенз/b, f/азепин-5- карбоксамид 19. 10-циклогексаноилокси-10,11-дигидро-5H-дибенз/b, f/азепин-5- карбоксамид 20. 10-фенилацетокси-10,11-дигидро-5H-дибенз/b,f/азепин-5- карбоксамид 21. 10-(4-метоксифенил)ацетокси-10,11-дигидро-5H-дибенз/b, f/азепин-5- карбоксамид 22. 10-(3-метоксифенил)ацетокси-10,11-дигидро-5H-дибенз/b, f/азепин-5- карбоксамид 23. 10-(4-нитрофенил)ацетокси-10,11-дигидро-5H-дибенз/b,f/азепин-5- карбоксамид 24. 10-(3-нитрофенил)ацетокси-10,11-дигидро-5H-дибенз/b,f/азепин-5- карбоксамид 25. 10-никотиноилокси-10,11-дигидро-5H-дибенз/b,f/азепин-5-карбоксамид 26. 10-изоникотиноилокси-10,11-дигидро-5H-дибенз/b, f/азепин-5- карбоксамид 27. 10-(4-аминобутаноилокси)-10,11-дигидро-5H-дибенз/b,f/азепин-5- карбоксамид 28. 10-(2-амино-3-метилбутаноилокси)-10,11-дигидро-5H-дибенз/b, f/aзeпин-5- кapбoкcaмид 29. 10-хлорацетокси-10,11-дигидро-5H-дибенз/b,f/азепин-5- карбоксамид 30. 10-бромоацетокси-10,11-дигидро-5H-дибенз/b,f/азепин-5- карбоксамид 31. 10-формилокси-10,11-дигидро-5H-дибенз/b,f/азепин-5- карбоксамид 32. 10-этоксикарбонилокси-10,11-дигидро-5H-дибенз/b, f/азепин-5- карбоксамид 33. 10-(2-хлорпропионилокси)-10,11-дигидро-5H-дибенз/b,f/aзeпин-5- кapбoкcaмид Еще один аспект изобретения включает в себя способы получения соединений формулы I, где замещенный R определен выше, путем реакции соединения формулы II: ![]() с соединением общей формулы III: A-CO-R III где R такой же, как определено выше для общей формулы I; A это гидрокси, гало или -O-CO-R группа, или -O-CO-OR группа, где R’- низший алкил (C1-C4). Предпочтительно, чтобы процесс проводился в присутствии конденсирующего агента, такого как дициклогексилкарбодиимид, карбонилдиимидазол и этил- или изобутилхлорформиат и/или в присутствии органического или неорганического основания, такого как пиридин, триэтиламин, хинолин, имидазол или алкилкарбонаты. Могут быть использованы инертные растворители, такие как углеводороды (например, гексан, циклогексан), эфиры (например, диэтилэфир, тетрагидрофуран), хлорированные алканы (например, дихлорметан, 1,2-дихлорэтан) или апротонные диполярные растворители (например, ацетонитрил, диметилформамид), или же реакция может протекать в смеси вышеуказанных растворителей или при отсутствии какого-либо растворителя. Реакция ацилирования, описанная выше, может проводиться при различной температуре и давлении, например, между 0oC и температурой кипения реакционной смеси, и при атмосферном или повышенном давлении. Соединения формулы II известны (смотри, например патент Германии 2011045), и соединения формулы III также хорошо известны и могут быть получены способами, применяемыми в известном уровне техники, включая, например, способы, описанные в “Comprehensive Organic Transformation” by Richard C. Larock, VCH Publishers, 1989, pp 966-972. В процессе, описанном выше, иногда необходимо защитить несколько функциональных групп во время протекания реакции. Обычные защитные группы, такие как бензилоксикарбонил- или третбутилоксикарбонил- действенны и в данном случае и могут быть удалены после ацилирования обычными способами. Другой аспект изобретения предлагает фармацевтические композиции, содержащие соединение формулы I и их фармацевтически приемлемый носитель. Такие композиции могут быть получены при смешивании соединения с носителем. Соединения формулы I обладают фармацевтическими свойствами, полезными для лечения некоторых нарушений центральной и периферической нервной системы, а именно для лечения эпилепсии, невралгии тройничного нерва, аффективных мозговых нарушений и нервных функциональных нарушений при дегенеративных и постишемических заболеваниях. Эпилепсия – одно из наиболее распространенных заболеваний человека с распространенностью, равной 1%. Со времен Haghling Jakson более 100 лет назад эпилептические припадки известны как “неожиданные, внезапные, чрезмерные, быстрые и локальные нарушения нервной ткани”. Эпилептические припадки делятся на две основные группы: частичные и генерализованные. Частичные припадки – это те, в которых нарушение начинается местно и часто остается локальным. Генерализованные припадки захватывают весь мозг, включая ретикулярную систему таким образом, что ненормальная электрическая активность возникает в обоих полушариях и ведет к потери сознания. Частичные припадки делятся на: (a) частичные простые припадки, (b) сложные частичные припадки, (c) частичные вторично генерализованные припадки. Генерализованные припадки включают: (1) тонически-клонические припадки (grand mal), (2) отсутствие припадков (petit mai), (3) миоклонические припадки, (4) атонические припадки, (5) клонические припадки и (6) тонические припадки. Эпилепсия в отличие от припадков – это хроническое заболевание, характеризующееся повторяющимися припадками (Gastaut, H. : Dictionary of epilepsy. World Health Organization, Geneve, 1973). Существует два пути, которыми лекарственное средство может предотвратить или ослабить припадок: (а) посредством воздействия на пораженные нейроны очага припадка, чтобы предупредить или ослабить их чрезмерную нагрузку, и (б) посредством действий, которые могут уменьшить распространение возбуждения от очага припадка и предупредить нарушение функционирования нормальных скоплений нейронов. Большинство, если не все доступные антиэпилептические лекарственные препараты, работают в основном по второму механизму, изменяя способность мозга отвечать на различные стимулы, вызывающие припадок. Лекарственные средства, вызывающие судороги, такие как пентилентетраэол (метразол), часто используется, особенно при исследовании противосудорожных средств, и припадки, вызванные электрической стимуляцией всего мозга, используются с этими же целями. Эмпирически обнаружено, что активность ингибирования метразол-индуцированных припадков и повышение порога чувствительности при электро-индуцированных припадках является очень хорошим показателем эффективности средств против возникновения припадков. С другой стороны, активность в уменьшении длительности и распространения электро-индуцированных припадков коррелируется с эффективностью в контролировании других видов эпилепсии, таких как тонически-клонические припадки. Противосудорожный эффект соединений формулы I изучали на модели электро-индуцированных судорог, максимального электрошокового (MES) анализа, и на модели химически индуцированных судорог, метразоловый тест. MES анализ позволяет оценить способность лекарственных средств предупреждать электро-индуцированное тоническое растяжение задних конечностей у крыс, эффективность которых считается предупредительным антиконвульсивным действием, направленным против генерализации тонически-клонических припадков у человека (grand mal). Метразоловый тест предсказывает способность возможных антиэпилептических средств предупреждать клонические припадки и проявлять эффективность при отсутствии припадков (petit mal). Материалы и методы Использовались мужские особи крыс Wistar, полученные от семейства животных института Gulbenkian de Ciencia (Oeiras, Hjrnngal) с весом 180-280 г. Животных содержали по два в клетке, контролируя условия окружающей среды (12 часовой цикл свет/темнота и комнатная температура 24oC). Пища и проточная вода предоставлялась по потребности, и все эксперименты проводились в течение дневных часов. 1 – MES анализ MES стимуляция проводилась импульсами в 0,2 с с использованием Uqo Basile EST unit 7801 с частотой 100 Гц и интервалами между импульсами в 0,6 мс и силой тока в 150 мА, через биполярный роговичный электрод. Капли электролит/анестетик – оксибупрокаина хлорида, закапывались в глаза животному непосредственно перед помещением роговичных электродов. Исчезновение тонического компонента разгибателей задних конечностей принимали за конечную точку. Эти экспериментальные условия вызывали тонико-клонические судороги у 97% использованных животных, причем использовались только крысы, которые показывали типичные тонически-клонические судороги. Все крысы подвергались максимум 3 MES-воздействиям, первое MES-воздействие проводилось для сортирования животных и отбора крыс, демонстрирующих типичное судорожное поведение. На следующий день крысам давали исследуемые соединения или индифферентное вещество и проводили второе MES-воздействие через 2-4 часа после приема исследуемых лекарственных средств. Третье MES-воздействие проводилось через 6, 8 или 12 часов после приема исследуемого лекарственного средства. Интервал времени между каждым MES-воздействием был по крайней мере 4 часа (крыс, которых исследовали через 2 часа, исследовали повторно через 6 часов, а крыс, которых исследовали через 4 часа, исследовали повторно через 8 часов). Оценка противосудорожного профиля исследуемого лекарственного средства основывалась на длительности тонической фазы (в секундах), имея для каждой крысы собственный контроль (внутренний контроль), полученный при первом MES-воздействии. Также изучалась внешняя контрольная группа, в этом отдельном случае крысам давали индифферентное вещество и подвергали трем MES-воздействиям, как описано выше. Все использованные лекарственные средства суспендировались в 0,5% карбоксиметилцеллюлозе (4 мл/кг) и вводились через желудочный зонд. 2 – Метразоловый анализ Введение соединений формулы I проводилось за 2 часа до приема метразола. Метразол (75 мг/кг) вводился подкожно в спину; обнаружено, что эта доза метразола вызывает судороги у 95% животных. Наблюдаемые параметры касаются длительности припадков в течение 30 минутного периода наблюдения, следующего за назначением метразола. ED50 (мг/кг) – это доза, дающая 50% снижение длительности припадка. Результаты 1 – MES анализ При наибольших из исследуемых доз (35 мг/кг) соединения формулы I дают полную защиту против MES через 2 часа после приема. Через 4 и 8 часов защита, созданная соединением формулы I, была такой же, как вызванная упомянутым препаратом карбамазепина. При самых высоких из анализируемых доз (35 мг/кг) карбамазепин создавал полную защиту против MES через два часа после применения; через 4 и 8 часов после применения защита сохранялась более чем на 80%. Значения ED50 для карбамазепина через 2,4 и 8 часов после применения – 7,95, 15,80 и 2,70 мг/кг соответственно. В отличие от окскарбазепина и подобно карбамазепину соединения формулы I проявляют большую силу через 8 часов со значением ED50, значительно более низким, чем у окскарбазепина. Значение ED50 для соединений формулы I через 2, 4 и 8 часов после применения – 17,97, 13,90 и 3,90 мг/кг соответственно. Окскарбазепин представляется не таким сильным, как карбамазепин и соединение формулы I. Значения ED50 для окскарбазепина через 2, 4 и 8 часов после применения – 16,18, 16,28 и 13,24 мг/кг соответственно. 2 – Метразоловый анализ Соединения формулы I эффективны в защите крыс от судорог, вызванных метразолом. Наиболее эффективная доза соединений формулы I – 30 мг/кг, она снижает общее время припадка до 69%. Значение ED50 для соединений формулы I – 14,7 мг/кг. Карбамазепин при 30 и 60 мг/кг вызывал на соответственно 41% и 44% снижение общего времени припадка. Окскарбазепин проявляет меньшую силу, чем карбамазепин. При 30 и 60 мг/кг окскарбазепина наблюдалось 3% и 32% снижение общего времени припадка соответственно. Заключение Соединения формулы I обладают значительной антиэпилептической активностью, как показывают MES и метразоловые анализы, и обеспечивают большую или такую же противосудорожную способность, как упомянутые соединения карбамазепина и окскарбазепина. Применение соединений формулы I может доказать их пригодность в лечении некоторых других заболеваний центральной и периферической нервной системы человека, например невралгии тройничного нерва и аффективных мозговых нарушениях и нервных функциональных изменений при дегенеративных и постишемических заболеваниях. Для получения фармацевтических препаратов из соединений формулы I инертные фармацевтически приемлемые носители смешиваются с активными соединениями. Фармацевтически приемлемые носители могут быть как твердыми, так и жидкими. Препараты твердых форм включают порошки, таблетки, дисперсные гранулы и капсулы. Твердый носитель может состоять из одного или большего количества веществ, которые могут также играть роль разжижителя, ароматизатора, растворителя, смазывающего вещества, суспендирующего агента, связывающего или дизентегрирующего таблетки агента; он также может быть представлен в виде инкапсулированного вещества. Предпочтительно, чтобы фармацевтический препарат был представлен в виде единичных дозированных форм, например, упакованный препарат, упаковки, содержащей отдельные количества препарата, такие как таблетки, капсулы и порошки в пузырьках или ампулах. Дозировка может варьироваться в зависимости от требований пациента, серьезности заболевания и конкретного используемого соединения. Для удобства общая дневная доза может быть разделена и приниматься отдельными порциями в течение дня. Определение подходящей дозы для каждого конкретного случая входит в известный уровень медицинской техники. Раскрытое здесь изобретение подкрепляется следующими примерами, которые не должны ограничивать область применения. Альтернативные пути и аналогичные структуры могут быть очевидны для квалифицированных специалистов. Пример 1. 10-формилокси-10,11-дигидро-5H-дибенз/b,f/азепин-5-карбоксамид Суспензию 2,54 г (10 ммоль) 10-гидрокси-10,11-дигидро-5H- дибенз/b, f/азепин-5-карбоксамида в 50 мл 1,2-дихлорэтана обрабатывают 1,23 г (15 ммоль) смеси ангидрида уксусной и муравьиной кислот и 1,36 г (20 ммоль) имидазола, смесь перемешивают при 25oC в течение 3 часов и затем ее выливают в перемешиваемую смесь 100 мл 0,1 М водного HCl и 50 г льда. Органический слой отделяют и экстрагируют с насыщенным раствором NaHCO3, насыщенным солевым раствором, и летучие компоненты удаляют испарением при пониженном давлении. Оставшийся неочищенный продукт очищают хроматографией на силикагеле, элюируя сначала метиленхлоридом и затем 1% смесью метанолметиленхлорид для получения ожидаемого продукта в виде белых кристаллов с точкой плавления 202-203oC. Пример 2-3 Используя вышеописанную технологию и сходные процессы, известные в современном уровне техники, и используя подходящие ангидриды, получают 10-пропионилокси-10,11-дигидро-5H- дибенз/b, f/азепин-5-карбоксамид и 10-бутирилокси-10,11-дигидро- 5H-дибенз/b,f/азепин-3-карбоксамид. Пример 4 (+)-10-aцeтoкcи-10,11-дигидpo-5H-дибeнз/b, f/азепин-5-карбоксамид Раствор 9,42 г (0,12 моль) ацетилхлорида в 100 мл дихлорметана добавляют по каплям к перемешиваемой и охлажденной (t<10oC) суспензии 25,4 г (0,1 моль) (-)-10-гидрокси-10,11- дигидро-5H-дибенз/b,f/азепин-5-карбоксамида в 500 мл дихлорметана и 11,9 г (0,15 моль) пиридина. Реакционную смесь затем перемешивают и кипятят в течение двух часов, затем охлаждают до 5oC и последовательно экстрагируют 500 мл каждого из 0,2 М водной серной кислоты, насыщенного водного бикарбоната натрия и насыщенного солевого раствора. Органическую фазу высушивают сульфатом натрия, фильтруют через рыхлую фильтровальную бумагу из силикагеля и летучие компоненты фильтрата удаляют испарением при пониженном давлении. Остаток выкристаллизовывают из смеси дихлорметан-этилацетат, получая ожидаемое соединение в виде белых кристаллов (точка плавления 186-187oC), [ ]2D0 = +21,5 (c=1, пиридин).
Пример 5-17Применяя вышеописанную методику и сходные процессы, известные в современном уровне техники, но используя подходящие кислые галогениды, получают следующие соединения: 10-бензоилокси-10,11-дигидро-5H-дибенз/b,f/азепин-5- карбоксамид 10-(4-метоксибензоилокси)-10,11-дигидро-5H-дибенз/b, f/азепин-5- карбоксамид 10-(4-нитробензоилокси)- 10,11-дигидро-5H-дибенз/b, f/азепин-5- карбоксамид 10-(4-хлорбензоилокси)-10,11-дигидро-5H-дибенз/b,f/азепин-5- карбоксамид 10-этоксикарбонилокси-10,11-дигидро-5H-дибенз/b,f/азепин-5- карбоксамид 10-(2-ацетоксибензоилокси)-10,11-дигидро-5H-дибенз/b,f/азепин-5- карбоксамид 10-пивалоилокси-10,11-дигидро-5H-дибенз/b,f/азепин-5-карбоксамид 10-стеароилокси-10,11-дигидро-5H-дибенз/b,f/азепин-5- карбоксамид 10-фенилацетокси-10,11-дигидро-5H-дибенз/b,f/азепин-5-карбоксамид 10-хлорацетокси-10,11-дигидро-5H-дибенз/b,f/азепин-5-карбоксамид 10-бромацетокси-10,11-дигидро-5H-дибенз/b,f/азепин-5-карбоксамид 10-(2-хлорпропионилокси)-10,11-дигидро-5H-дибенз/b, f/азепин-5-карбоксамид Пример 18 10-никотиноилокси-10,11-дигидро-5H-дибенз/b,f/азепин-5- карбоксамид К перемешиваемой суспензии 0,254 г (1 ммоль) 10-гидрокси-10,11-дигидро-5H-дибенз/b, f/aзeпин-5-кapбoкcaмидa и 0,130 г (1 ммоль) никотиновой кислоты в 5 мл тетрагидрофурана добавляют 0,230 г (1,1 ммоль) дициклогексилкарбодиимида и 0,02 г (0,2 ммоль) 4-диметиламинопиридина и смесь перемешивают при 20oC в течение шести часов. Осажденную мочевину удаляют фильтрацией и фильтрат испаряют при пониженном давлении. Остаток хроматографируют на силикагеле 0,5% смесью метанол-дихлорметан. Хроматографически гомогенные фракции объединяют, растворители подвергают перегонке при пониженном давлении и остаток кристаллизуют из ацетонитрила, получая ожидаемое соединение (точка плавления 196-198oC). Примеры 19-23 Применяя вышеописанную методику и сходные процессы, известные в современном уровне техники, но используя подходящие кислоты, получают следующие соединения: 10-[(2-пропил)пентаноилокси] -10,11-дигидро-5H-дибенз/b,f/азепин-5- карбоксамид 10-[(2-этил)гексаноилокси] -10,11-дигидро-5H-дибенз/b,f/азепин-5- карбоксамид 10-циклогексаноилокси-10,11-дигидро-5H-дибенз/b,f/азепин-5-карбоксамид 10-(4-метоксифенил)ацетокси-10,11-дигидро-5H-дибенз/b,f/азепин-5- карбоксамид 10-(4-нитрофенил)ацетокси-10,11-дигидро-5H-дибенз/b, f/азепин-5- карбоксамид Пример 24 10-(4-аминобутаноилокси)-10,11-дигидро-5H-дибенз/b, f/азепин-5- карбоксамид Раствор изобутил хлорформиата (0,144 г, 1,05 ммоль) в 2 мл тетрагидрофурана медленно добавляют к раствору 0,204 г (1 ммоль) N-третбутоксикарбонил-гамма-аминомасляной кислоты и 0,106 г (1,05 ммоль) триэтиламина в 3 мл тетрагидрофурана. Реакционную смесь перемешивают в течение 1 часа при -5oC, затем фильтруют и фильтрат медленно добавляют к суспензии 0,254 г (1 ммоль) 10-гидрокси-10,11-дигидро-5H- дибенз/b, f/азепин-5-карбоксамида в 5 мл тетрагидрофурана и 0,09 г (1,1 ммоль) пиридина. Реакционную смесь перемешивают в течение 4 часов при 25oC, затем выливают в 50 мл холодного 5% раствора KHSO4 и экстрагируют дихлорметаном. Органический слой экстрагируют насыщенным водным раствором NaHCO3 и насыщенным солевым раствором, высушивают сульфатом натрия, летучие соединения удаляют дистилляцией при пониженном давлении. Остаток хроматографируют на силикагеле 0,5% метанолом в дихлорметане. Гомогенные фракции объединяют и растворитель выпаривают под вакуумом. Оставшееся защищенное производное растворяют в 10 мл дихлорметана и 2 мл трифторуксусной кислоты. Реакционную смесь перемешивают в течение 1 часа при комнатной температуре и затем экстрагируют холодным насыщенным раствором NaHCO3 и насыщенным солевым раствором. Органический слой высушивают сульфатом магния, упаривают до небольшого объема при пониженном давлении и затем разводят 5 мл диэтилового эфира и добавляют 2 мл 2% раствора HCl в диэтиловом эфире. Осажденные кристаллы собирают фильтрацией и высушивают до получения гидрохлорида ожидаемого соединения. Соль вновь суспендируют в 5 мл водного раствора 2% карбоната натрия и экстрагируют 10 мл дихлорметана. Органический растворитель высушивают сульфатом натрия и упаривают при пониженном давлении, при этом остается ожидаемый продукт в виде аморфного твердого вещества, которое разлагается без плавления при приблизительно 120oC. Пример 25 Используя процесс, аналогичный описанному в предыдущем примере, но применяя подходящую кислоту, получают 10-(2-амино-3-метилбутаноилокси)-10,11-дигидро-5H-дибенз/b,f/азепин -5-карбоксамид. Физико-химические характеристики полученных соединений. Пример 2. 10-пропионилокси-10,11-дигидро-5H-дибенз/b,f/азепин-5- карбоксамид – т.пл. 141-143oC. Пример 3. 10-бутирилокси-10,11-дигилро-5H-дибенз/b, f/азепин-5-карбоксамид – т.пл.167-169oC. Пример 5. 10-бензоилокси-10,11-дигидро-5H-дибенз/b,f/азепин- 5-карбоксамид – т.пл. 179-180oC. Пример 9. 10-этоксикарбонилокси-10,11-дигидро-5H-дибенз/b, f/азепин-5- карбоксамид – т. пл. 90-92oC. Пример 10. 10-(2-ацетоксибензоилокси)-10,11-дигидро-5H- дибенз/b, f/азепин-5-карбоксамид – соединение разлагается при нагревании без четкой точки плавления. Пример 11. 10-пизалоилокси-10,11-дигидро-5H-дибенз/b, f/азепин-5- карбоксамид – т.пл. 205-207oC. Пример 12. 10-стеароилокси-10,11-дигидро-5H-дибенз/b, f/азепин-5- карбоксамид – т.пл. 125-126oC. Пример 13. 10-фенилацетокси-10,11-дигидро-5H-дибенз/b,f/азепин- 5-карбоксамид – т.пл. 199-200oC. Пример 14. 10-хлорацетокси-10,11-дигидро-5H-дибенз/b,f/азепин-5- карбоксамид – т.пл. 185-186oC. Пример 15. 10-бромацетокси-10,11-дигидро-5H-дибенз/b,f/азепин-5- карбоксамид – т.пл. 177-178oC. Пример 16. 10-(2-хлорпропионилокси)-10,11-дигидро-5H-дибенз/b, f/азепин-5- карбоксамид – т.пл. 192-193oC. Пример 19. 10-[(2-пропил)пентаноилокси] -10,11-дигидро-5H-дибенз/b, f/ азепин-5-карбоксамид – т.пл. 170-171oC. Пример 20 10-[(2-этил)гексаноилокси]-10,11-дигидро-5H-дибенз/b,f/ азепин-5-карбоксамид – т.пл. 148-149oC. Пример 22. 10-(4-метоксифенил)ацетокси-10,11-дигидро-5H- дибенз/b, f/азепин-5-карбоксамид – т.пл. 162-163oC. Пример 23. 10-(4-нитрофенил)ацетокси-10,11-дигидро-5H- дибенз/b, f/aзeпин-5-кapбoкcaмид – т.пл. 200-203oC. Было показано, что 10,11-дигидро-10-гидрокси-5H- дибенз/b,f/азепин-5-карбоксамид является основным метаболитом окскарбазепина у млекопитающих (Schuetz et al, Xenobiotica 1986, vol. 16,769) и что проявляет сопоставимую с родственным соединением – окскарбазепином – антиэпилептическую активность. 10,11-Дигидро-10-гидpoкcи-5H-дибeнз/b, f/aзeпин-5-карбоксамид согласно D1 имеет хиральную природу и получен путем энзиматического восстановления окскарбазепина в организме человека, образуя при этом как изомер (S)-, так и изомер (R)- в соотношении 8:2 приблизительно. В таблице 1 представлены рацематические и изомерные формы 10,11-дигидро-10-гидрокси-5H-дибенз/b, f/азепин-5-карбоксамида, а также изомерные и рацемические формы соединений согласно изобретению, в которых R является метилом. Противосудорожная активность (MES тест), неврологическое повреждение (Rotarod тест) и индекс защиты, показанные в таблице 2, были проведены после i.p. введения. В таблице 1 указаны тестируемые соединения. В тесте на вращающемся стержне крыс испытывали на двигательную токсичность на аппарате с вращающимся стержнем (Accelerator Rota-Rod, Jones & Roberts, 7750; Ugo Basile). Крыс, не подвергнутых какому-либо воздействию, дрессировали, чтобы они могли держаться на цилиндре диаметром 5 см, покрытом неопреном, до тех пор пока они могли сохранять равновесие в течение 3 мин во время вращения со скоростью 9 r.p.m. На следующий день крысам давали i.p. испытываемое лекарство (растворенное в ДМСО 2 мл/кг) и помещали на вращающийся со скоростью 9 r.p.m. стержень. У крыс, получающих лекарство, неврологические расстройства выражаются в неспособности крыс сохранять равновесие в течение 1 мин в каждом из трех испытаний (Rogawski et al, J.Pharmacol. Exp. Ther. 1991, vol. 259, 30). В таблице 2 показано, что все формы производных спирта, а именно, 10,11-дигидро-10-гидрокси-5Н- дибенз/b, f/азепин-5-карбоксамид – соединения а), в) и с) имеют схожие результаты в тестах MES и вращающемся стержне и соответственно имеют схожие значения индексов защиты. Удивительно, что все три формы ацетатных производных по изобретению в обоих указанных выше тестах (для соединений д), е) и ж) показывают превосходные результаты (таблица 2) при сравнении со спиртовыми производными (соединения а), в), с)); значение ED50 до соединения в) в отношении судорог, индуцированных MES тестом, почти 3-х кратно выше, чем для соединения ж). Индексы защиты также значительно различаются для соединений согласно настоящему изобретению и спиртовыми производными 10,11-дигидро-10-гидрокси-5H-дибенз/b, f/азепин-5-карбоксамида, наиболее резко он выражен для соединения ж) и составляет самое высокое значение (12,5) среди всех тестируемых соединений. Эти данные показывают, что соединения общей формулы I по изобретению обладают противосудорожной активностью и они могут быть метаболизированы способами, которые зависят от абсолютной стереохимии C-10 хирального центра и, более того, проявляют более высокий индекс защиты по сравнению с соответствующим гидроксисоединением 10,11-дигидро-10-гидрокси-5H-ди6енз/b, f/азепин-5- карбоксамида. Как можно видеть из вышеуказанного, соединения общей формулы I обладают значительной антиэпилептической активностью, как определено в MES тесте и метразольном тесте, и проявляют высокую активность в сравнении с 10,11-дигидро-10-гидрокси-5H-дибенз/b,f/азепин-5-карбоксамидом. Соединения формулы I могут быть использованы в оптически чистой форме, предотвращая таким образом продукцию нежелательных энантиомеров и диастереомеров метаболитов и конъюгатов. Таким образом, настоящее изобретение позволяет получить чистые, надежные лекарственные средства с высоким индексом защиты, что повышает их безопасность. Приготовление препарата (твердая форма) Препарат в твердой форме может быть приготовлен путем смешения соединения формулы I с разбавителем, дизентегратором и/или связующим и смазывающими агентами. Смесь может быть смешена или гранулирована, а затем или спрессована в таблетки, или ею заполняют желатиновые капсулы. Таблетки и капсулы могут содержать следующие ингредиенты: соединение формулы I лактоза, микрокристаллическая целлюлоза или декстроза, натрий кроскармелоза, поливинилпирролидин или крахмал, тальк, стеарат магния или стеариновая кислота. Формула изобретения
![]() где R – это водород, алкил, аминоалкил, галогеналкил, аралкил, циклоалкил, циклоалкилалкил, алкокси, фенил или замещенный фенил или пиридильная группа; термин алкил обозначает углеродную цепь, прямую или разветвленную, содержащую 1 – 18 атомов углерода; термин галоген обозначает фтор, хлор, бром или йод; термин циклоалкил обозначает алициклическую насыщенную группу с 3 – 6 атомами углерода; термин аралкил обозначает арил-алкильную группу, где арил представлен незамещенной фенильной группой или фенилом, замещенным алкокси, галогеном или нитрогруппой. 2. Соединение по п.1, отличающееся тем, что представляет: (1) 10-ацетокси-10,11-дигидро-5Н-дибенз/b,f/азепин-5-карбоксамид (2) 10-бензоилолкси-10,11-дигидро-5Н-дибенз/b,f/азепин-5-карбоксамид; (3) 10-(4-метоксибензоилокси)-10,11-дигидро-5Н-дибенз/b, f/азепин-5-карбоксамид; (4) 10-(3-метоксибензоилокси)-10,11-дигидро-5Н-дибенз/b, f/азепин-5-карбоксамид; (5) 10-(2-метоксибензоилокси)-10,11-дигидро-5Н-дибенз/b, f/азепин-5-карбоксамид; (6) 10-(4-нитробензоилокси)-10,11-дигидро-5Н-дибенз/b, f/азепин-5-карбоксамид; (7) 10-(3-нитробензоилокси)-10,11-дигидро-5Н-дибенз/b, f/азепин-5-карбоксамид; (8) 10-(2-нитробензоилокси)-10,11-дигидро-5Н-дибенз/b, f/азепин-5-карбоксамид; (9) 10-(4-хлорбензоилокси)-10,11-дигидро-5Н-дибенз/b, f/азепин-5-карбоксамид; (10) 10-(3-хлорбензоилокси)-10,11-дигидро-5Н-дибенз/b, f/азепин-5-карбоксамид; (11) 10-(2-ацетоксибензоилокси)-10,11-дигидро-5Н-дибенз/b, f/азепин-5-карбоксамид; (12) 10-пропионилокси-10,11-дигидро-5Н-дибенз/b,f/азепин-5-карбоксамид; (13) 10-бутирилокси-10,11-дигидро-5Н-дибенз/b,f/азепин-5-карбоксамид; (14) 10-пивалоилокси-10,11-дигидро-5Н-дибенз /b,f/азепин-5-карбоксамид; (15) 10-[(2-пропил)пентаноилокси] -10,11-дигидро-5Н-дибенз/b,f/азепин-5-карбоксамид; (16) 10-[(2-этил)гексаноилокси] -10,11-дигидро-5Н-дибенз/b,f/азепин-5-карбоксамид; (17) 10-стеароилокси-10,11-дигидро-5Н-дибенз/b,f/азепин-5-карбоксамид; (18) 10-циклопентаноилокси-10,11-дигидро-5Н-дибенз/b, f/азепин-5-карбоксамид; (19) 10-циклогексаноилокси-10,11-дигидро-5Н-дибенз/b, f/азепин-5-карбоксамид; (20) 10-фенилацетокси-10,11-дигидро-5Н-дибенз/b,f/азепин-5-карбоксамид; (21) 10-(4-метоксифенил)ацетокси-10,11-дигидро-5Н-дибенз/b,f/азепин-5-карбоксамид; (22) 10-(3-метоксифенил)ацетокси-10,11-дигидро-5Н-дибенз/b,f/азепин-5-карбоксамид; (23) 10-(4-нитрофенил)ацетокси-10,11-дигидро-5Н-дибенз/b,f/азепин-5-карбоксамид; (24) 10-(3-нитрофенил)ацетокси-10,11-дигидро-5Н-дибенз/b,f/азепин-5-карбоксамид; (25) 10-никотиноилокси-10,11-дигидро-5Н-дибенз/b,f/азепин-5-карбоксамид; (26) 10-изоникотиноилокси-10,11-дигидро-5Н-дибенз/b, f/азепин-5-карбоксамид; (27) 10-(4-аминобутаноилокси)-10,11-дигидро-5Н-дибенз/b,f/азепин-5-карбоксамид; (28) 10-(2-амино-3-метилбутаноилокси)-10,11-дигидро-5Н-дибенз/b, f/азепин-5-карбоксамид; (29) 10-хлорацетокси-10,11-дигидро-5Н-дибенз/b,f/азепин-5-карбоксамид; (30) 10-бромацетокси-10,11-дигидро-5Н-дибенз/b,f/азепин-5-карбоксамид; (31) 10-формилокси-10,11-дигидро-5Н-дибенз/b,f/азепин-5-карбоксамид; (32) 10-этоксикарбонилокси-10,11-дигидро-5Н-дибенз/b, f/азепин-5-карбоксамид; (33) 10-(2-хлорпропионилокси)-10,11-дигидро-5Н-дибенз/b,f/азепин-5-карбоксамид; 3. Способ получения замещенных дигидробенз/b,f/азепинов, имеющую общую формулу I ![]() где R такой, как определено в п.1, путем взаимодействия соединения формулы II ![]() с соединением общей формулы III A-CO-R где R такой же, как определено выше для общей формулы I; A это гидрокси, галоген, или -O-CO-R – группа, или -O-CO-OR’ – группа, где R’ – низший алкил. 4. Способ по п.3, отличающийся тем, что реакция проводится в присутствии конденсирующего агента и/или основания. 5. Фармацевтическая композиция, обладающая антиэпилептической активностью, содержащая соединения формулы I, как определено в п.1, в эффективном количестве, и фармацевтически приемлемый носитель. 6. Композиция по п.5, отличающаяся тем, что названное соединение является одним из перечисленных в п.2. 7. Соединения по пп.1 и 2 для получения композиции, обладающей антиэпилептической активностью. РИСУНКИ
PD4A – Изменение наименования обладателя патента СССР или патента Российской Федерации на изобретение
(73) Новое наименование патентообладателя:
Адрес для переписки:
Извещение опубликовано: 10.10.2009 БИ: 28/2009
|
||||||||||||||||||||||||||



]2D0 = +21,5
(c=1, пиридин).
Пример 5-17

