|
|
(21), (22) Заявка: 2009107517/15, 01.08.2007
(24) Дата начала отсчета срока действия патента:
01.08.2007
(30) Конвенционный приоритет:
03.08.2006 US 11/462,056
(46) Опубликовано: 27.08.2010
(56) Список документов, цитированных в отчете о поиске:
US 6419895 B1, 16.07.2002. US 3950496 A, 13.04.1976. US 4101151 A, 01.08.1978. US 5350570 A, 27.09.1994. US 5290534 A, 01.03.1994. US 6776975 B2, 17.08.2004.
(85) Дата перевода заявки PCT на национальную фазу:
03.03.2009
(86) Заявка PCT:
US 2007/074972 20070801
(87) Публикация PCT:
WO 2008/016974 20080207
Адрес для переписки:
103735, Москва, ул. Ильинка, 5/2, ООО “Союзпатент”, пат.пов. С.Б.Фелицыной, рег. 303
|
(72) Автор(ы):
МИЛЛЕР Марк А. (US), МОСКОСО Джейм Дж. (US), ЛЬЮИС Грегори Дж. (US)
(73) Патентообладатель(и):
ЮОП ЛЛК (US)
|
(54) АЛЮМОСИЛИКАТНЫЙ ЦЕОЛИТ UZM-22, СПОСОБ ПРИГОТОВЛЕНИЯ И СПОСОБ ИСПОЛЬЗОВАНИЯ UZM-22
(57) Реферат:
Изобретение относится к синтезу цеолитов. Синтезировано новое семейство кристаллических алюмосиликатных цеолитов. Эти цеолиты представлены эмпирической формулой, приведенной в описании. Эти цеолиты подобны ZSM-18, но характеризуются уникальной картиной дифракции рентгеновских лучей и составом и имеют каталитические свойства для проведения различных процессов превращения углеводородов. Изобретение расширяет ассортимент цеолитов. 4 н. и 6 з.п. ф-лы, 15 табл.
Уровень техники
Цеолиты представляют собой кристаллические алюмосиликатные составы, которые являются микропористыми и которые образованы тетраэдрами AlO2 и SiO2 с общими вершинами. Многочисленные цеолиты, как встречающиеся в природе, так и синтетически полученные, используются в различных промышленных процессах. Синтетические цеолиты готовят посредством гидротермического синтеза, использующего подходящие источники Si, Al и структуронаправляющих агентов, таких как щелочные металлы, щелочноземельные металлы, амины или аммонийорганические катионы. Структуронаправляющие агенты постоянно находятся в порах цеолита и в значительной степени ответственны за специфическую структуру, которая, в конечном счете, формируется. Эти частицы уравновешивают заряд кристаллического каркаса, связанный с алюминием, и могут также служить заполнителями пустот. Цеолиты характеризуются наличием порообразных отверстий одинаковых размеров, имеющих значительную ионообменную емкость, и способны к обратимому десорбированию адсорбированной фазы, которая распределена всюду во внутренних пустотах кристалла, без значительного смещения каких-либо атомов, которые составляют постоянную структуру кристалла цеолита. Цеолиты могут использоваться в качестве катализаторов для реакций превращения углеводородов, которые могут иметь место как на внешних поверхностях, так и на внутренних поверхностях внутри пор.
Один специфический цеолит, обозначенный ZSM-18, впервые раскрыл Ciric в 1976 г. (см. US 3950496). Этот патент описывает синтез ZSM-18 из трикватного структуронаправляющего агента – тригидроксида 2,3,4,5,6,7,8,9-октагидро-2,2,5,5,8,8-гексаметил-1H-бензо[1,2-с:3,4-с:5,6-с]трипирролия (триквата 1, triquat 1). Основываясь на адсорбции циклогексана и Si/Al от 5 до 15, было найдено, что ZSM-18 имеет порообразные отверстия, большие, чем 7 Å. Также использовался Na+ в форме алюмината натрия и помогал уравновешивать заряд кристаллического каркаса внутри пор. Было также отмечено, что, если отношение Si/Al реакционной смеси было менее чем 10, то получающийся ZSM-18 был нестабильным при прокаливании. Только в 1990 г. о структуре ZSM-18 сообщили Lawton и др., показав 1-мерные 12-членные поры с ожидаемыми отверстиями 7 Å наряду с перпендикулярной системой 7-членных пор (см. Science, 247, 1319-1322 (1990)). Структура также впервые содержала 3-членные циклы, наблюдавшиеся в алюмосиликате. Авторы попытались исследовать роль катиона триквата в синтезе ZSM-18 с помощью примерки структуры триквата внутри 12-членной поры, обнаружив, что он может занимать только очень специфические положения. Это было интерпретировано как сильный матричный (темплатирующий) эффект триквата, и что такие объемные многозарядные темплатирующие катионы могут быть необходимы для получения наблюдаемого цеолита с 3-членными кольцами.
В 1994 г.Schmitt (см. US 5350570) раскрыл новый синтез ZSM-18, который использовал другой трикват, [(Me3N+(CH2)2)3N]·3OH– (трикват 2). Schmitt указал, что с 1976 г. с помощью ZSM-18 было сделано немного, потому что трикват 1 был очень дорог и трудным для изготовления и потому что термическое разложение при прокаливании часто разрушало образец ZSM-18. Новый трикват 2 также обладает объемной 3-складочной многократно заряженной структурой, напоминающей трикват 1, которая является, как замечено, необходимой для получения ZSM-18 посредством темплатирующего эффекта. В то время как термическое разложение ZSM-18 с трикватом 2 действительно успешно приводило к устойчивым протонным формам ZSM-18, теперь, 12 лет спустя, с ZSM-18 все еще сделано немного. Это происходит потому, что, в то время как трикват 2 является более экономичным, чем трикват 1, в патенте ‘570 заявлено, что он получен из тонких химических соединений и поэтому остается слишком дорогим для подходящего использования. «Рациональный синтетический» путь к ZSM-18 был описан также в 1994 г. (Zeolites, 14, 635-642 (1994)). Этот рациональный подход признает те же трудности, которые перечислены в патенте ‘570, относительно экономичности синтеза и термического разложения триквата 1. Данная статья также цитирует «почти совершенную подгонку» матрицы триквата 1 в 12-членной поре, заключив, что если темплатирующий эффект существует, то он присутствует в ZSM-18. Данная идея затем используется, чтобы выбрать темплат, альтернативный триквату 1, с помощью различных типов моделирования, приводящих к триквату 2, упомянутому выше, и триквату 3 [(Me3N+(CH2)2)3CH]·3OH–, который представляет собой то же самое, что и трикват 2, за тем исключением, что центральный N заменен на С-Н. Трикват 3 способен производить ZSM-18 только в присутствии затравок, в то время как трикват 2 производит низкокачественный ZSM-18 непосредственно, но высококристаллический ZSM-18 – когда в синтезе использовались затравки. Цеолит ZSM-18 все еще не используется или не изучается из-за трудности и затрат при его получении.
В отличие от уровня техники, описанного выше, заявители успешно приготовили новое семейство материалов, обозначенных UZM-22. Топология данных материалов подобна той, которая наблюдалась для ZSM-18. Данные материалы приготовлены посредством использования простых коммерчески доступных структуронаправляющих агентов, таких как гидроксид холина [HO(CH2)2NMe3]+OH– совместно с небольшими количествами Sr2+, Li+ или Sr2+ и Li+ совместно, используя Метод Несогласованности Плотности Заряда (Charge Density Mismatch Approach) к синтезу цеолита (см. US 2005/0095195).
Краткое раскрытие изобретения
Как сформулировано, настоящее изобретение относится к новому алюмосиликатному цеолиту, обозначенному UZM-22. Соответственно, один вариант воплощения настоящего изобретения представляет собой микропористый кристаллический цеолит, имеющий трехмерную каркасную структуру, состоящую, по меньшей мере, из тетраэдрических единиц AlO2 и SiO2 и эмпирический состав в состоянии «как синтезировано» и в расчете на безводную основу, выраженный эмпирической формулой:
Mm n+R+ rAl1-xExSiyOz,
где М представляет собой, по меньшей мере, один способный обмениваться катион, выбранный из группы, состоящей из щелочных, щелочноземельных и редкоземельных металлов, «m» представляет собой молярное отношение М к (Al+Е) и изменяется от 0,05 до 1,2, R представляет собой однозарядный аммонийорганический катион, выбранный из группы, состоящей из холина, этилтриметиламмония (ЕТМА+), диэтилдиметиламмония (DEDMA+), триметилпропиламмония, триметилбутиламмония, диметилдиэтаноламмония, тетраэтиламмония (TEA+), тетрапропиламмония (ТРА+) и их смесей, «r» представляет собой молярное отношение R к (Al+Е) и имеет значение от 0,25 до 2,0, «n» представляет собой средневзвешенную валентность М и имеет значение от 1 до 3, Е представляет собой элемент, выбранный из группы, состоящей из галлия, железа, бора и их смесей, «х» представляет собой мольную долю Е и имеет значение от 0 до 1,0, «у» представляет собой молярное отношение Si к (Al+Е) и изменяется от более чем 2 до 12 и «z» представляет собой молярное отношение О к (Al+Е) и имеет значение, определенное уравнением:
z=(m·n+r+3+4·y)/2,
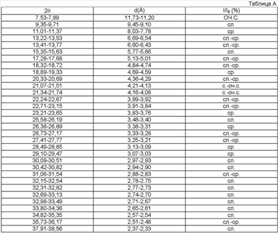
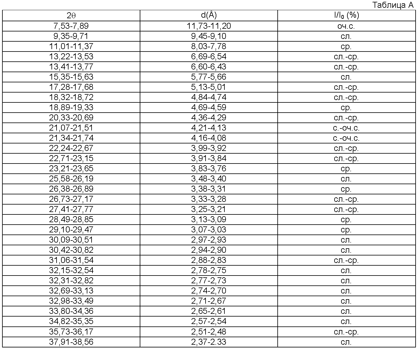
и характеризующийся тем, что он имеет картину дифракции рентгеновских лучей, имеющую, по меньшей мере, межплоскостные расстояния d и интенсивности, представленные в Таблице А:
| Таблица А |
2 |
d(Å) |
I/I0 (%) |
| 7,53-7,89 |
11,73-11,20 |
оч.с. |
| 9,35-9,71 |
9,45-9,10 |
сл. |
| 11,01-11,37 |
8,03-7,78 |
ср. |
| 13,22-13,53 |
6,69-6,54 |
сл.-ср. |
| 13,41-13,77 |
6,60-6,43 |
сл.-ср. |
| 15,35-15,63 |
5,77-5,66 |
сл. |
| 17,28-17,68 |
5,13-5,01 |
сл.-ср. |
| 18,32-18,72 |
4,84-4,74 |
сл.-ср. |
| 18,89-19,33 |
4,69-4,59 |
ср. |
| 20,33-20,69 |
4,36-4,29 |
сл.-ср. |
| 21,07-21,51 |
4,21-4,13 |
с.-оч.с. |
| 21,34-21,74 |
4,16-4,08 |
с.-оч.с. |
| 22,24-22,67 |
3,99-3,92 |
сл.-ср. |
| 22,71-23,15 |
3,91-3,84 |
сл.-ср. |
| 23,21-23,65 |
3,83-3,76 |
ср. |
| 25,58-26,19 |
3,48-3,40 |
сл. |
| 26,38-26,89 |
3,38-3,31 |
ср. |
| 26,73-27,17 |
3,33-3,28 |
сл.-ср. |
| 27,41-27,77 |
3,25-3,21 |
сл.-ср. |
| 28,49-28,85 |
3,13-3,09 |
ср. |
| 29,10-29,47 |
3,07-3,03 |
ср. |
| 30,09-30,51 |
2,97-2,93 |
сл. |
| 30,42-30,82 |
2,94-2,90 |
сл. |
| 31,06-31,54 |
2,88-2,83 |
сл.-ср. |
| 32,15-32,54 |
2,78-2,75 |
сл. |
| 32,31-32,82 |
2,77-2,73 |
сл. |
| 32,69-33,13 |
2,74-2,70 |
сл. |
| 32,98-33,49 |
2,71-2,67 |
сл. |
| 33,80-34,36 |
2.65-2,61 |
сл. |
| 34,82-35,35 |
2,57-2.54 |
сл. |
| 35,73-36,17 |
2,51-2,48 |
сл.-ср. |
| 37,91-38,56 |
2,37-2.33 |
сл. |
и является термически стабильным до температуры более чем 400°С.
Другой вариант воплощения настоящего изобретения представляет собой способ приготовления кристаллического микропористого цеолита, описанного выше. Данный способ включает формирование реакционной смеси, содержащей реакционноспособные источники М, R, Al, Si и, необязательно, Е, и нагревание данной реакционной смеси при температуре от 60°С до 175°С в течение времени, достаточного для формирования цеолита, причем реакционная смесь имеет состав, выраженный в терминах молярных отношений оксидов, как:
аМ2/nO:bR2/pO:1-cAl2O3:cE2O3:dSiO2:eH2O,
где «а» имеет значение от 0,05 до 1,25, «b» имеет значение от 1,5 до 40, «с» имеет значение от 0 до 1,0, «d» имеет значение от 4 до 40, «е» имеет значение от 25 до 4000.
Еще одним вариантом воплощения настоящего изобретения является способ конверсии углеводородов, использующий вышеописанный цеолит. Данный способ включает контактирование углеводорода с цеолитом в условиях конверсии, чтобы получить конвертированный углеводород.
Подробное раскрытие изобретения
Mm n+RrAl1-xExSiyOz,
где М представляет собой, по меньшей мере, один способный обмениваться катион, и выбран из группы, состоящей из щелочных, щелочноземельных и редкоземельных металлов. Определенные примеры катионов М включают, но не ограничиваются таковыми, литий, натрий, калий, рубидий, цезий, кальций, стронций, барий, лантан, иттербий и их смеси. R представляет собой однозаряженный аммонийорганический катион, примеры которых включают, но не ограничиваются катионом холина, [(CH3)3N(CH2)2OH]+, ЕТМА+, DEDMA+, триметилпропиламмония, триметилбутиламмония, диметилдиэтаноламмония, TEA+, TPA+ и их смесями, и «r» представляет собой молярное отношение R к (Al+Е) и изменяется от 0,25 до 2,0. Величина «n», которая представляет собой средневзвешенную валентность М, изменяется от 1 до 3, в то время как «m» представляет собой молярное отношение М к (Al+Е) и изменяется от 0 до 1,2. Отношение кремния к (Al+Е) представлено переменной «у», которая изменяется от 2 до 12. Е представляет собой элемент, который является тетраэдрически координированным, присутствует в каркасе и выбран из группы, состоящей из галлия, железа и бора. Мольная доля Е представлена переменной «х» и имеет значение от 0 до 1,0, в то время как «z» представляет собой молярное отношение О к (Al+Е) и задается уравнением:
z=(m·n+r+3+4·y)/2.
Когда М представляет собой только один металл, средневзвешенная валентность является валентностью этого одного металла, например,+1 или+2. Однако когда присутствует более чем один металл М, общее количество которого:

и средневзвешенная валентность «n» выражается уравнением:

Микропористый кристаллический цеолит UZM-22 приготовлен гидротермической кристаллизацией реакционной смеси, приготовленной объединением реакционноспособных источников М, R, алюминия, кремния и, необязательно, Е. Источники алюминия включают, но не ограничиваются алкоксидами алюминия, осажденными оксидами алюминия, металлическим алюминием, солями алюминия и золями оксида алюминия. Специфические примеры алкоксидов алюминия включают, но не ограничиваются орто-втор-бутоксидом алюминия и орто-изопропоксидом алюминия. Источники оксида кремния включают, но не ограничиваются тетраэтилортосиликатом, коллоидным оксидом кремния, осажденным оксидом кремния и щелочными силикатами. Источники элементов Е включают, но не ограничиваются щелочными боратами, борной кислотой, осажденным оксигидроксидом галлия, сульфатом галлия, сульфатом трехвалентного железа и хлоридом трехвалентного железа. Источники металлов М включают галогенидные соли, нитратные соли, ацетатные соли и гидроксиды соответствующих щелочных или щелочноземельных металлов. R представляет собой аммонийорганический катион, выбранный из группы, состоящей из холина, ЕТМА, DEDMA, TEA, ТРА, триметилпропиламмония, триметилбутиламмония, диметилдиэтаноламмония и их смесей, и их источники включают гидроксидные, хлоридные, бромидные, иодидные и фторидные соединения. Специфические примеры включают, не ограничиваясь ими, гидроксид холина и хлорид холина, гидроксид эталтриметиламмония, гидроксид диэтилдиметиламмония, гидроксид тетраэтиламмония, гидроксид тетрапропиламмония, хлорид тетрапропиламмония.
Реакционная смесь, содержащая реакционноспособные источники желаемых компонентов, в терминах молярных отношений оксидов может быть описана формулой:
аМ2/nO:bR2/pO:1-cAl2O3:cE2O3:dSiO2:eH2O,
где «а» изменяется от 0,05 до 1,25, «b» изменяется от 1,5 до 40, «с» изменяется от 0 до 1,0, «d» изменяется от 4 до 40, и «е» изменяется от 25 до 4000. Если используются алкоксиды, предпочтительно включать стадию дистилляции или испарения, чтобы удалить спиртовые продукты гидролиза. Теперь, реакционная смесь подвергается реагированию при температуре от 60°С до 175°С и, предпочтительно, от 80°С до 125°С в течение периода от 1 дня до 3 недель и, предпочтительно, в течение периода от 4 дней до 14 дней в закрытом реакционном сосуде под автогенным давлением. После того, как кристаллизация завершится, твердый продукт изолируют из гетерогенной смеси такими средствами, как фильтрация или центрифугирование, и, затем, промывают деионизированной водой и высушивают на воздухе при температуре от температуры окружающей среды до 100°С. Следует указать, что к реакционной смеси необязательно могут быть добавлены затравки UZM-22, чтобы ускорить формирование данного цеолита.
Предпочтительный синтетический подход для получения UZM-22 использует концепцию несогласованности плотности заряда, которая раскрыта в US 2005/0095195 и «Studies in Surface Science and Catalysis, (2004), Vol.154A, 364 – 372». Способ, раскрытый в US 2005/0095195, использует гидроксиды четвертичных солей аммония, чтобы растворять алюмосиликатные частицы, тогда как индуцирующие кристаллизацию агенты, такие как щелочноземельные металлы и более высокозаряженные аммонийорганические катионы, часто вводят на отдельной стадии. Как только при использовании этого подхода образовалось некоторое количество зародышей UZM-22, данные зародыши могут быть использованы на отдельной стадии синтеза UZM-22, используя, например, комбинацию гидроксида холина и щелочных и щелочноземельных катионов. Использование коммерчески доступного холина для получения UZM-22 предполагает значительные экономические преимущества перед структуронаправляющими агентами, применявшимися ранее (трикват 1 и трикват 2) для получения алюмосиликатов с топологией MEI. Кроме того, холин может использоваться в виде гидроксида или хлорида совместно с другими недорогими аммонийорганическими гидроксидами, используя концепцию несогласованности плотности заряда, чтобы еще более снизить затраты. Спустя более чем 30 лет после открытия ZSM-18 в области этого цеолита было сделано немного. Наконец, подход, раскрытый здесь и сейчас, делает доступными синтез, изучение и применение алюмосиликатов MEI.
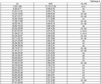
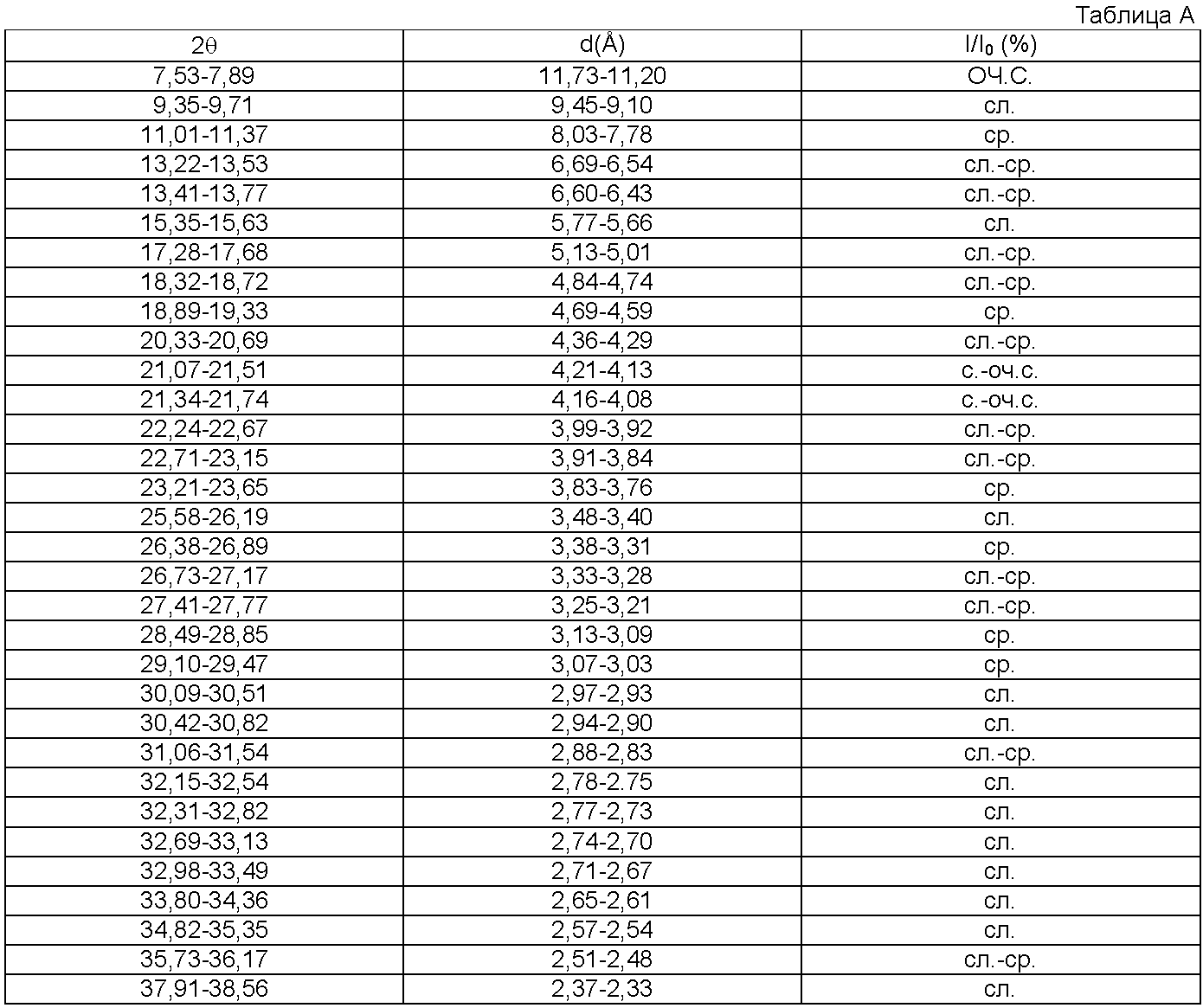
Алюмосиликатный цеолит UZM-22, который получен вышеописанным способом, характеризуется картиной дифракции рентгеновских лучей, имеющей, по меньшей мере, межплоскостные расстояния d и относительные интенсивности, показанные в Таблице А ниже.
| Таблица А |
2 |
d(Å) |
I/I0 (%) |
| 7,53-7,89 |
11,73-11,20 |
оч.с. |
| 9,35-9,71 |
9,45-9,10 |
сл. |
| 11,01-11,37 |
8,03-7,78 |
ср. |
| 13,22-13,53 |
6,69-6,54 |
сл.-ср. |
| 13,41-13,77 |
6,60-6,43 |
сл.-ср. |
| 15,35-15,63 |
5,77-5,66 |
сл. |
| 17,28-17,68 |
5,13-5,01 |
сл.-ср. |
| 18,32-18,72 |
4,84-4,74 |
сл.-ср. |
| 18,89-19,33 |
4,69-4,59 |
ср. |
| 20,33-20,69 |
4,36-4,29 |
сл.-ср. |
| 21,07-21,51 |
4,21-4,13 |
с.-оч.с. |
| 21,34-21,74 |
4,16-4,08 |
с.-оч.с. |
| 22,24-22,67 |
3,99-3,92 |
сл.-ср. |
| 22,71-23,15 |
3,91-3,84 |
сл.-ср. |
| 23,21-23,65 |
3,83-3,76 |
ср. |
| 25,58-26,19 |
3,48-3,40 |
сл. |
| 26,38-26,89 |
3,38-3,31 |
ср. |
| 26,73-27,17 |
3,33-3,28 |
сл.-ср. |
| 27,41-27,77 |
3,25-3,21 |
сл.-ср. |
| 28,49-28,85 |
3,13-3,09 |
ср. |
| 29,10-29,47 |
3,07-3,03 |
ср. |
| 30,09-30,51 |
2,97-2,93 |
сл. |
| 30,42-30,82 |
2,94-2,90 |
сл. |
| 31,06-31,54 |
2,88-2,83 |
сл.-ср. |
| 32,15-32,54 |
2,78-2,75 |
сл. |
| 32,31-32,82 |
2,77-2,73 |
сл. |
| 32,69-33,13 |
2,74-2,70 |
сл. |
| 32,98-33,49 |
2,71-2,67 |
сл. |
| 33,80-34,36 |
2,65-2,61 |
сл. |
| 34,82-35,35 |
2,57-2,54 |
сл. |
| 35,73-36,17 |
2,51-2,48 |
сл.-ср. |
| 37,91-38,56 |
2,37-2,33 |
сл. |
Как будет подробно показано в примерах, материал UZM-22 является термически стабильным до температуры, по меньшей мере, 400°С и, предпочтительно, до 600°С.
Будучи синтезирован, материал UZM-22 будет содержать в своих порах некоторые из способных обмениваться или уравновешивающих заряд ионов. Эти способные обмениваться катионы могут быть замещены на другие катионы или, в случае органических катионов, они могут быть удалены с помощью нагревания при контролируемых условиях. Поскольку UZM-22 представляет собой цеолит с крупными порами, возможно также удалять некоторые органические катионы непосредственно с помощью ионного обмена. Цеолит UZM-22 может быть модифицирован разными способами, чтобы адаптировать его для использования в специфических применениях. Модификации включают прокаливание, ионный обмен, пропаривание, экстрагирование различными кислотами, обработку гексафторосиликатом аммония или любые их комбинации, как очерчено для случая UZM-4 в US 6776975 В1, который полностью включен сюда посредством ссылки. Свойства, которые являются модифицированными, включают пористость, адсорбцию, отношение Si/Al, кислотность, термическую устойчивость и т.д.
Состав UZM-22, который модифицирован одним или более способом, описанным в патенте ‘975, (здесь UZM-22HS) описан эмпирической формулой в расчете на безводную основу:

где Ml представляет собой, по меньшей мере, один способный обмениваться катион, выбранный из группы, состоящей из щелочных, щелочноземельных металлов, редкоземельных металлов, иона аммония, иона водорода и их смесей, «а» представляет собой молярное отношение M1 к (Al+Е) и изменяется от 0,05 до 50, «n» представляет собой средневзвешенную валентность Ml и имеет значение от+1 до+3, Е представляет собой элемент, выбранный из группы, состоящей из галлия, железа, бора и их смесей, «х» представляет собой мольную долю Е и изменяется от 0 до 1,0, у’ представляет собой молярное отношение Si к (Al+Е) и изменяется от более чем 4 до фактически чистого оксида кремния, и z’ представляет собой молярное отношение О к (Al+Е) и имеет величину, определяемую по уравнению:
z’=(a·n+3+4·y’)/2.
Под фактически чистым оксидом кремния понимается, что фактически весь алюминий и/или металлы Е удалены из каркаса. Хорошо известно, что фактически невозможно удалить весь алюминий и/или металл Е. В количественном выражении цеолит представляет собой фактически чистый оксид кремния, когда у’ имеет значение, по меньшей мере, 3000, предпочтительно 10000 и наиболее предпочтительно 20000. Таким образом, диапазонами значений у’ являются от 4 до 3000, предпочтительно от более чем 10 до 3000; от 4 до 10000, предпочтительно от более чем 10 до 10000; и от 4 до 20000, предпочтительно от более чем 10 до 20000.
При определении здесь пропорций исходного материала цеолита или адсорбционных свойств готового цеолита и т.п. будет подразумеваться «безводное состояние» цеолита, если не утверждается иное. Термин «безводное состояние», использованный здесь, относится к цеолиту, по существу, лишенному как физически адсорбированной, так и химически поглощенной воды.
Цеолит UZM-22HS, полученный после одной или более вышеописанных обработок, будет иметь картину дифракции рентгеновских лучей, которая отличается (и, таким образом, уникальна) от таковой картины для UZM-22. Список основных пиков, которые являются общими для всех материалов UZM-22HS, приведен в Таблице В.
| Таблица В |
| UZM-22HS |
2 |
d(Å) |
I/I0 (%) |
| 7,69-7,93 |
11,49-11,14 |
оч.с. |
| 9,49-9,85 |
9,31-8,97 |
сл. |
| 11,09-11,49 |
7,97-7,70 |
ср. |
| 13,41-13,81 |
6,60-6,41 |
сл. |
| 14,58-14,90 |
6,07-5,94 |
сл.-ср. |
| 16,48-16,96 |
5,37-5,22 |
сл. |
| 17,61-17,85 |
5,03-4,97 |
сл.-ср. |
| 18,59-18,83 |
4,77-4,71 |
сл. |
| 19,09-19,69 |
4,65-4,51 |
сл. |
| 20,52-21,16 |
4,32-4,20 |
сл.-ср. |
| 21,28-22,08 |
4,17-4,02 |
ср. |
| 22.44-22,96 |
3,96-3,87 |
сл. |
| 23,01-23.41 |
3,86-3,80 |
сл. |
| 27,72-28,20 |
3,22-3,16 |
сл. |
| 29,25-29,97 |
3,05-2,98 |
сл.-ср. |
| 30,85-31,09 |
2,90-2,87 |
сл. |
| 31,36-32,02 |
2,85-2,79 |
сл. |
Кристаллический цеолит UZM-22 по настоящему изобретению может использоваться для разделения смесей молекулярных частиц, удаления загрязнителей посредством ионного обмена и катализирования различных процессов превращения углеводородов. Разделение молекулярных частиц может быть основано или на размере молекул (кинетический диаметр), или на степени полярности молекулярных частиц.
Цеолит UZM-22 по настоящему изобретению может использоваться также в качестве катализатора или носителя для катализатора в различных процессах превращения углеводородов. Процессы превращения углеводородов являются хорошо известными в технике и включают процессы крекинга, гидрокрекинга, алкилирования как ароматических соединений, так и изопарафинов, изомеризации, полимеризации, риформинга, гидрирования, дегидрирования, переалкилирования, деалкилирования, гидратации, дегидратации, гидроочистки, гидроденитрогенирования, гидродесульфуризации, метанирования и получения синтез газа по реакции сдвига. Специфические условия реакций и типы сырья, которые могут использоваться в этих процессах, представлены в US 4310440 и US 4440871, которые включены посредством ссылки. Предпочтительными процессами превращения углеводородов являются те, в которых компонентом является водород, такие, как гидроочистка или гидрорафинирование, гидрирование, гидрокрекинг, гидроденитрогенирование, гидродесульфуризация и т.д.
Условия гидрокрекинга типично включают температуру в диапазоне от 400° до 1200°F (204-649°C), предпочтительно между 600° и 950°F (316-510°С). Реакционное давление находится в диапазоне от атмосферного до 3500 фунт/кв. дюйм по манометру (манометрическое давление 24132 кПа), предпочтительно между 200 и 3000 фунт/кв. дюйм по манометру (1379 – 20685 кПа по манометру). Время контакта обычно соответствует среднечасовым объемным скоростям подачи жидкости (LHSV) в диапазоне от 0,1 ч-1 до 15 ч-1, предпочтительно между 0,2 и 3 ч-1. Скорости циркуляции водорода находятся в диапазоне от 1000 до 50000 стандартных кубических футов (скф, scf) на баррель загрузки (178 – 8888 стандартных м3/м3), предпочтительно между 2000 и 30000 скф на баррель загрузки (355-5333 стандартных м3/м3). Подходящие условия для гидроочистки находятся, в общем, в пределах широких диапазонов условий для гидрокрекинга, изложенных выше.
Исходящий из реакционной зоны поток обычно удаляют из слоя катализатора, подвергают парциальной конденсации и парожидкостному разделению и, затем, фракционируют, чтобы извлечь его различные компоненты. Водород и, если желательно, некоторые или все непрореагировавшие более тяжелые материалы возвращают в реактор. В качестве альтернативы может использоваться двухстадийный поток при подаче непревращенного материала во второй реактор. Катализаторы по предмету настоящего изобретения могут использоваться только на одной стадии такого процесса, или могут использоваться на обеих реакторных стадиях.
Каталитические крекинг-процессы предпочтительно выполняют с помощью составов с UZM-22, используя такие виды исходного сырья, как газойли, тяжелые лигроины, деасфальтированный остаток сырой нефти и т.д., с получением бензина, являющегося главным желаемым продуктом. Подходящими являются температурные условия от 454° до 593°С (от 850° до 1100°F), значения LHSV от 0,5 до 10 и давление от 0 до 345 кПа (от 0 до 50 фунт/кв. дюйм по манометру).
Алкилирование ароматических соединений обычно включает реагирование ароматического соединения (от С2 до C12), особенно бензола, с моноолефином, чтобы получить ароматическое соединение, замещенное линейным алкилом. Процесс выполняют при отношении ароматическое соединение: олефин (например, бензол: олефин) между 5:1 и 30:1, LHSV от 0,3 до 6 ч-1, температуре от 100° до 250°С и давлении от 1379 до 6895 кПа (от 200 до 1000 фунт/кв. дюйм по манометру). Дальнейшие детали относительно устройства могут быть найдены в US 4870222, который включен посредством ссылки.
Алкилирование изопарафинов с помощью олефинов, чтобы получить алкилаты, подходящие в качестве компонентов моторного топлива, выполняют при температурах от -30° до 40°С, давлениях от атмосферного до 6894 кПа (1000 фунт/кв. дюйм по манометру) и массовой среднечасовой объемной скорости (WHSV) от 0,1 до 120. Детали относительно алкилирования парафинов могут быть найдены в US 5157196 и US 5157197, которые включены посредством ссылки.
Следующие примеры представлены для иллюстрации настоящего изобретения и не предназначены в качестве неуместных ограничений на, в целом, широкий объем настоящего изобретения, как изложено в приложенной формуле изобретения.
Структура цеолита UZM-22 по настоящему изобретению была определена с помощью рентгеноструктурного анализа. Картины рентгеновской дифракции, представленные в следующих примерах, были получены, используя стандартные методы рентгеновской дифракции на порошках. Источником радиации являлась рентгеновская трубка высокой интенсивности, эксплуатировавшаяся при 45 кВ и 35 мА. Дифракционная картина от К-альфа линии меди была получена соответствующими компьютерными методами. Таблетки спрессованных порошкообразных образцов были непрерывно сканированы от 2° до 70° (2 ). Межплоскостные расстояния (d) в ангстремах были получены из положения дифракционных пиков, выраженных как , где представляет собой наблюдаемый брэгговский угол, переведенный в цифровую форму. Интенсивности определены из проинтегрированных областей дифракционных пиков после вычитания фона, причем «I0» представляет собой интенсивность самой сильной линии или пика, а «I» представляет собой интенсивность каждого из других пиков.
Как будет понято специалистами, определение параметра 2 подвержено как человеческой, так и аппаратной ошибке, которые в совокупности могут наложить неопределенность в ±0,4° на каждую опубликованную величину 2 . Данная неопределенность, конечно, также проявляется в опубликованных величинах межплоскостных расстояний d, которые вычислены из величин 2 . Эта неточность является общей для данного метода и не является достаточной, чтобы препятствовать дифференциации существующих кристаллических материалов друг от друга и от составов предшествующего уровня техники. В некоторых из опубликованных картин рентгеновской дифракции относительные интенсивности межплоскостных расстояний d показаны обозначениями vs, s, m и w, которые символизируют «очень сильный (оч. с.)», «сильный (с.)», «средний (ср.)» и «слабый (сл.)» соответственно. В терминах 100×I/I0 вышеупомянутые обозначения определены, как:
сл.=0-15; ср.=15-60; с.=60-80 и оч. с.=80-100.
В некоторых случаях чистота синтезированного продукта может быть оценена со ссылкой на картину дифракции рентгеновских лучей на его порошке. Таким образом, если, например, утверждается, что образец является чистым, это означает только то, что картина дифракции рентгеновских лучей образца свободна от линий, относящихся к кристаллическим загрязнениям, а не то, что не присутствует никаких аморфных материалов.
Для того чтобы более полно проиллюстрировать настоящее изобретение, представлены следующие примеры. Следует понимать, что данные примеры являются только способом иллюстрирования и не предназначены для неуместного ограничения широкого объема настоящего изобретения, как сформулировано в приложенной формуле изобретения.
ПРИМЕР 1
Алюмосиликатный раствор готовили смешиванием сначала 19,40 г гидроксида алюминия (27,78% А1) и 387,3 г гидроксида холина (50%-ный раствор) при энергичном перемешивании. После полного смешивания добавляли 300,0 г Ludox AS-40 (40% SiO2). Реакционную смесь гомогенизировали в течение дополнительного часа при помощи высокоскоростной механической мешалки и помещали на ночь в печь при 100°С. Анализ показал, что получающийся алюмосиликатный раствор содержит 7,45 масс.% Si и 0,73 масс.% Al, приводя к соотношению Si/Al 9,82.
Весь алюмосиликатный раствор (706,7 г) непрерывно перемешивали и добавляли к нему по каплям водный раствор, содержащий 13,02 г состава LiCl·9H2O и 18,19 г состава Sr(NO3)2·20H2O. Получающуюся реакционную смесь затем гомогенизировали в течение 1 часа, запечатывали в бутыли из Teflon , помещали в печь при 100°С и подвергали реагированию в течение 6 дней.
Твердые продукты извлекали центрифугированием, промывали деионизированной водой и высушивали при 95°С. С помощью рентгенографии продукт был идентифицирован как UZM-22. Репрезентативные дифракционные линии, наблюдаемые для данного продукта, показаны в Таблице 1. Состав продукта, определенный с помощью элементного анализа, выражается следующими молярными соотношениями: Si/Al=5,10, Li/Al=0,046, Sr/Al=0,149, C/N=5,37, N/Al=0,81.
Сканирующая электронная микроскопия (SEM) показала кристаллы с морфологией в форме палочек размером приблизительно 100 на 350 нм. Этот образец прокаливали при 560°С в течение 12 ч в атмосфере азота и, затем, воздуха. Найдено, что удельная поверхность по BET прокаленного UZM-22 равна 606 м2/г при объеме микропор 0,28 см3/г.
| Таблица 1 |
2 |
d(Å) |
I/I0 (%) |
| 7,72 |
11,44 |
оч. с. |
| 9,51 |
9,30 |
сл. |
| 11,20 |
7,90 |
ср. |
| 13,36 |
6,62 |
сл. |
| 13,60 |
6,51 |
ср. |
| 15,45 |
5,73 |
сл. |
| 17,50 |
5,06 |
сл. |
| 18,51 |
4,79 |
сл. |
| 19,12 |
4,64 |
сл. |
| 20,52 |
4,32 |
ср. |
| 21,30 |
4,17 |
оч.с. |
| 21,56 |
4,12 |
с. |
| 22,48 |
3,95 |
ср. |
| 22,95 |
3,87 |
ср. |
| 23,42 |
3.80 |
ср. |
| 25,89 |
3,44 |
сл. |
| 26,64 |
3,34 |
ср. |
| 26,99 |
3,30 |
ср. |
| 27,58 |
3,23 |
ср. |
| 28,66 |
3,11 |
ср. |
| 29,28 |
3,05 |
ср. |
| 30,34 |
2,94 |
сл. |
| 30,62 |
2,92 |
сл. |
| 31,32 |
2,85 |
ср. |
| 31,94 |
2,80 |
сл. |
| 32,31 |
2,77 |
сл. |
| 32,58 |
2,75 |
сл. |
| 32,89 |
2,72 |
сл. |
| 33,26 |
2,69 |
сл. |
| 34,12 |
2,63 |
сл. |
| 35,12 |
2,55 |
сл. |
| 35,98 |
2,49 |
сл. |
| 38,28 |
2,35 |
сл. |
ПРИМЕР 2
Алюмосиликатный реакционный раствор готовили смешиванием сначала 19,40 г гидроксида алюминия (27,78% Al) и 387,3 г гидроксида холина (50%-ный раствор) при энергичном перемешивании. После полного смешивания добавляли 300,0 г Ludox AS-40 (SiO2, 40%). Реакционную смесь гомогенизировали в течение 1 часа с помощью высокоскоростной механической мешалки, запечатывали в тефлоновую бутыль и помещали на ночь в печь при 100°С. Анализ показал, что алюмосиликатный раствор содержит 8,22 масс.% Si и 0,81 масс.% Al (Si/Al=9,76).
Порцию вышеупомянутого алюмосиликатного раствора массой 282,12 г непрерывно перемешивали и добавляли к ней по каплям составной водный раствор, содержащий 5,20 г LiCl·9H2O и 7,27 г Sr(NO3)2·20H2O. После того, как добавление было закончено, полученную реакционную смесь гомогенизировали в течение 1 часа, переносили в тефлоновую бутыль емкостью 500 см3 и подвергали реагированию при 100°С. На 5, 6, 7 и 10 дни были отобраны порции реакционной смеси. Твердый продукт из каждого из этих образцов извлекали центрифугированием, промывали деионизированной водой и высушивали при 95°С. Продукты, полученные из всех четырех реакций, были идентифицированы с помощью рентгенографии как UZM-22. Таблица 2 показывает репрезентативные дифракционные линии, наблюдавшиеся для образца, который подвергался реагированию в течение 5 дней. Элементный анализ показал состав продукта в молярном соотношении: Si/Al=5,05, Li/Al=0,07, Sr/Al=0,178, C/N=5,07, N/Al=1,12.
| Таблица 2 |
2 |
d(Å) |
I/I0 (%) |
| 7,72 |
11,45 |
оч.с. |
| 9,51 |
9,30 |
сл. |
| 11,16 |
7,92 |
ср. |
| 13,36 |
6,62 |
сл. |
| 13,58 |
6,52 |
ср. |
| 15,48 |
5,72 |
сл. |
| 17,45 |
5,08 |
сл. |
| 18,50 |
4,79 |
сл. |
| 19,10 |
4,64 |
ср. |
| 20,49 |
4,33 |
ср. |
| 21,26 |
4,18 |
оч.с. |
| 21,54 |
4,12 |
с. |
| 22,45 |
3,96 |
сл. |
| 22,90 |
3,88 |
ср. |
| 23,42 |
3,80 |
ср. |
| 25,90 |
3,44 |
сл. |
| 26,62 |
3,35 |
ср. |
| 26,96 |
3,30 |
ср. |
| 27,53 |
3,24 |
ср. |
| 28,64 |
3,11 |
ср. |
| 29,26 |
3,05 |
ср. |
| 30,29 |
2,95 |
сл. |
| 30,59 |
2,92 |
сл. |
| 31,32 |
2,85 |
ср. |
| 31,94 |
2,80 |
сл. |
| 32,30 |
2,77 |
сл. |
| 32,58 |
2,75 |
сл. |
| 32,90 |
2,72 |
сл. |
| 33,24 |
2,69 |
сл. |
| 34,11 |
2,63 |
сл. |
| 35,10 |
2,55 |
сл. |
| 35,90 |
2,50 |
сл. |
| 38,28 |
2,35 |
сл. |
ПРИМЕР 3
Алюмосиликатный раствор готовили смешиванием сначала 76,83 г гидроксида алюминия (27,78% Al) и 880,37 г гидроксида холина (47,1%) при энергичном перемешивании. К этой смеси добавляли 640,84 г коллоидного оксида кремния (Ludox AS-40, 40% SiO2), после чего добавляли 1,95 г дистиллированной воды. Реакционную смесь гомогенизировали в течение 1 ч с помощью высокоскоростной механической мешалки и затем выдерживали в течение ночи в тефлоновых бутылях при 100°С. После стадии выдерживания полученные алюмосиликатные растворы снова объединяли и анализировали, анализ показал содержание кремния 7,61 масс.% и 1,44 масс.% Al (Si/Al=5,08).
Порцию вышеупомянутого алюмосиликатного раствора массой 1600 г обрабатывали по каплям при энергичном перемешивании составным раствором, содержащим 26,33 г Sr(NO3)2 и 10,55 г LiCl, растворенных в 250,0 г дистиллированной воды. После получасовой гомогенизации реакционную смесь переносили в 2-литровую тефлоновую бутыль, которую помещали в печь при 100°С, и вываривали реакционную смесь в течение 6 дней при аутогенном давлении. Твердые продукты извлекали центрифугированием, промывали деионизированной водой и высушивали при 100°С.
Определение характеристик твердого продукта с помощью порошковой рентгенографии (XRD) показало те же линии в картине, которые присутствовали и для материала, определенного как UZM-22. Репрезентативные дифракционные линии, наблюдавшиеся для образца, приведены в Таблице 3. Сканирующая электронная микроскопия (SEM) показала, что кристаллиты должны состоять из палочек длиной приблизительно 20-300 нм. Чтобы получить кислотную форму цеолита, UZM-22 был подвергнут ионному обмену на аммоний перед прокаливанием, чтобы удалить щелочные/щелочноземельные металлы. Ионный обмен на аммоний был достигнут перемешиванием данного цеолита в избытке 1,5 М раствора NH4NO3 при 75°С в течение 2 ч. Найдено, что продукт, подвергнутый обмену на аммоний, имеет следующие молярные соотношения, определенные с помощью элементного анализа: Si/Al=4,58, Sr/Al=0.16 и Li/Al=0,005. Удельная поверхность по BET прокаленного материала составляла 624 м2/г, а объем микропор был 0,283 см3/г.
| Таблица 3 |
2 |
d(Å) |
I/I0 (%) |
| 7,70 |
11,47 |
оч.с. |
| 9,50 |
9,30 |
сл. |
| 11,16 |
7,92 |
ср. |
| 13,38 |
6,61 |
сл. |
| 13,56 |
6,52 |
ср. |
| 15,44 |
5,73 |
сл. |
| 17,48 |
5,07 |
сл. |
| 18,52 |
4,79 |
сл. |
| 19,08 |
4,65 |
ср. |
| 20,52 |
4,33 |
ср. |
| 21,28 |
4,17 |
оч.с. |
| 21,52 |
4,13 |
оч.с. |
| 22,46 |
3,96 |
ср. |
| 22,90 |
3,88 |
ср. |
| 23,42 |
3,80 |
ср. |
| 25,86 |
3,44 |
сл. |
| 26,62 |
3,345 |
ср. |
| 26,94 |
3,31 |
ср. |
| 27,56 |
3,23 |
сл. |
| 28,66 |
3,11 |
ср. |
| 29,24 |
3,05 |
ср. |
| 30,30 |
2,95 |
сл. |
| 30,56 |
2,92 |
сл. |
| 31,28 |
2,86 |
ср. |
| 31,89 |
2,80 |
сл. |
| 32,29 |
2,77 |
сл. |
| 32,56 |
2,75 |
сл. |
| 32,90 |
2,72 |
сл. |
| 33,24 |
2,69 |
сл. |
| 34,12 |
2,63 |
сл. |
| 35,10 |
2,55 |
сл. |
| 35,90 |
2,50 |
сл. |
| 38,30 |
2,35 |
сл. |
ПРИМЕР 4
Алюмосиликатный раствор готовили смешиванием сначала 154,54 г гидроксида алюминия (27,78% А1) и 1646,20 г гидроксида холина (47,1%) при энергичном перемешивании. К этой смеси добавляли 1198,31 г коллоидного оксида кремния (Ludox AS-40, 40% SiO2), после чего добавляли 0,75 г дистиллированной воды. Реакционную смесь гомогенизировали в течение 1 ч с помощью высокоскоростной механической мешалки и затем выдерживали в течение ночи в тефлоновых бутылях при 100°С. После стадии выдерживания полученные алюмосиликатные растворы снова объединяли и анализировали, анализ показал содержание кремния 7,62 масс.% и 1,43 масс.% А1 (Si/Al=5,12).
Порцию вышеупомянутого алюмосиликатного раствора массой 1250 г по каплям обрабатывали составным раствором Sr(NO3)2/LiCl, содержащим 21,01 г Sr(NO3)2 (99%-ного) и 4,2 г LiCl, растворенных в 150,0 г дистиллированной воды, применяя энергичное перемешивание. Реакционную смесь гомогенизировали в течение 30 мин с помощью высокоскоростной механической мешалки. Реакционную смесь переносили в 2-литровый перемешиваемый автоклав из нержавеющей стали (Parr). Автоклав нагревали до 103°С и поддерживали при этой температуре в течение 168 ч при аутогенном давлении. Твердые продукты извлекали центрифугированием, промывали и высушивали при 100°С.
Определение характеристик твердого продукта с помощью порошковой рентгенографии показало линии в картине, которые являются теми же, что и в материале, определенном как UZM-22. Репрезентативные наблюдаемые дифракционные линии приведены в Таблице 4 ниже. Элементный анализ показал, что состав выделенного продукта имеет молярные соотношения: Si/Al=4,89, Sr/Al=0,34, Li/Al=0,05. Сканирующая электронная микроскопия (SEM) показала, что кристаллиты состоят из палочек длиной приблизительно 20-300 нм. Чтобы получить кислотную форму данного цеолита, UZM-22 был подвергнут ионному обмену на аммоний перед прокаливанием, чтобы удалить щелочные и щелочноземельные металлы. Ионный обмен на аммоний был достигнут перемешиванием цеолита в избытке 1,5 М раствора NH4NO3 при 75°С в течение 2 ч. Состав продукта, подвергнутого ионному обмену на аммоний, как определено с помощью элементного анализа, продемонстрировал следующие молярные соотношения: Si/Al=5,75, Sr/Al=0,0006 и Li/Al=0,001.
| Таблица 4 |
2 |
d(Å) |
I/I0 (%) |
| 7,80 |
11,33 |
оч.с. |
| 9,62 |
9,19 |
сл. |
| 11,28 |
7,84 |
ср. |
| 13,46 |
6,58 |
сл. |
| 13,68 |
6,47 |
ср. |
| 15,56 |
5,69 |
сл. |
| 17,58 |
5,04 |
сл. |
| 18,62 |
4,76 |
ср. |
| 19,22 |
4,61 |
ср. |
| 20,60 |
4,31 |
ср. |
| 21,40 |
4,15 |
оч.с. |
| 21,64 |
4,10 |
оч.с. |
| 22,56 |
3,94 |
ср. |
| 23,04 |
3,86 |
ср. |
| 23,54 |
3.78 |
ср. |
| 26,04 |
3,42 |
сл. |
| 26,76 |
3,33 |
ср. |
| 27,06 |
3,29 |
ср. |
| 27,68 |
3,22 |
ср. |
| 28,76 |
3,10 |
ср. |
| 29,38 |
3.04 |
ср. |
| 30,40 |
2,94 |
сл. |
| 30,72 |
2,91 |
сл. |
| 31,42 |
2,84 |
ср. |
| 32,06 |
2,79 |
сл. |
| 32,44 |
2,76 |
сл. |
| 32,69 |
2,74 |
сл. |
| 33,02 |
2,71 |
сл. |
| 33,36 |
2,68 |
сл. |
| 34,22 |
2,62 |
сл. |
| 35,22 |
2,55 |
сл. |
| 36,06 |
2,49 |
сл. |
| 38,40 |
2,34 |
сл. |
ПРИМЕР 5
Данный пример иллюстрирует использование затравки с алюмосиликатным раствором. Порцию массой 1200 г алюмосиликатного раствора, приготовленного в Примере 4, обрабатывали по каплям составным раствором Sr(NO3)2/LiCl, содержащим 20,17 г Sr(NO3)2 (99%-ного) и 4,04 г LiCl, растворенных в 120,0 г дистиллированной воды при энергичном перемешивании. После завершения прибавления добавляли 10 г затравки UZM-22 из предшествующего получения UZM-22. Затем полученную смесь гомогенизировали в течение 30 мин с помощью высокоскоростной механической мешалки. 1400 г данной реакционной смеси переносили в 2-литровый перемешиваемый автоклав из нержавеющей стали (Parr), в котором смесь подвергалась реагированию при 107°С в течение 120 ч. Твердый продукт извлекали центрифугированием, промывали деионизированной водой и высушивали при 100°С.
Определение характеристик твердого продукта с помощью порошковой рентгенографии (XRD) показало те же линии в картине, что и в материале, определенном как UZM-22. Репрезентативные дифракционные линии, наблюдавшиеся для этого образца, показаны в Таблице 5 ниже. Состав выделенного продукта, как определено с помощью элементного анализа, имел следующие молярные соотношения: Si/Al=4,77; Sr/Al=0,36 и Li/Al=0,06. Сканирующая электронная микроскопия (SEM) показала, что кристаллиты состоят из палочек длиной приблизительно 20-300 нм. Чтобы получить кислотную форму UZM-22, он был подвергнут ионному обмену на аммоний перед прокаливанием, чтобы удалить щелочные и щелочноземельные металлы. Ионный обмен на аммоний был достигнут перемешиванием данного цеолита в избытке 1,5 М раствора NH4N03 при 75°С в течение 2 ч. Состав продукта, подвергнутого ионному обмену на аммоний, как определено с помощью элементного анализа, продемонстрировал следующие молярные соотношения: Si/Al=4,81; Sr/Al=0,014 и Li/Al=0,0009.
| Таблица 5 |
2 |
d(Å) |
I/I0 (%) |
| 7,78 |
11,36 |
оч. с. |
| 9,58 |
9,23 |
сл. |
| 11,18 |
7,91 |
ср. |
| 13,40 |
6,60 |
сл. |
| 13,60 |
6,51 |
ср. |
| 17,46 |
5,08 |
сл. |
| 18,48 |
4,80 |
сл. |
| 19,08 |
4,65 |
ср. |
| 20,46 |
4,34 |
ср. |
| 21,24 |
4,18 |
оч. с. |
| 21,46 |
4,14 |
с. |
| 22,42 |
3,96 |
сл. |
| 22,82 |
3,89 |
ср. |
| 23,34 |
3,81 |
ср. |
| 25,87 |
3,44 |
сл. |
| 26,58 |
3,35 |
ср. |
| 26,95 |
3,30 |
ср. |
| 27,52 |
3,24 |
сл. |
| 28,58 |
3,12 |
ср. |
| 29,22 |
3,05 |
ср. |
| 30,54 |
2,92 |
сл. |
| 31,28 |
2,86 |
ср. |
| 32,24 |
2,77 |
сл. |
| 32,80 |
2,73 |
сл. |
| 33,18 |
2,70 |
сл. |
| 35,84 |
2,50 |
сл. |
ПРИМЕР 6
Данный пример иллюстрирует подход с применением геля, использующий затравки UZM-22. Алюмосиликатная реакционная смесь была приготовлена добавлением 58,74 г Al(ОН)з (27,78% Al) к 624,93 г гидроксида холина (47,1%-ного) при энергичном перемешивании. При непрерывном перемешивании добавляли 454,9 г коллоидного оксида кремния (Ludox AS-40, 40% SiO2) с последующим добавлением составного раствора, содержащего 19,28 г Sr(NO3)2 (97%-ного) и 3,86 г LiCl, растворенных в 188,29 г дистиллированной воды. Далее смесь гомогенизировали в течение 30 минут с помощью высокоскоростной мешалки. Наконец, при перемешивании в течение 30 мин добавляли 5 г UZM-22. Часть этой реакционной смеси массой 1400 г переносили в 2-литровый перемешиваемый автоклав из нержавеющей стали (Parr), который нагревали до 107°С и оставляли при этой температуре на 100 ч. Твердый продукт извлекали центрифугированием, промывали деионизированной водой и высушивали при 100°С.
Анализ с помощью порошковой рентгенографии показал, что продукт имеет структуру UZM-22. Репрезентативные линии в наблюдаемой дифракционной картине приведены в Таблице 6. Состав выделенного продукта имел следующие молярные соотношения: Si/Al=2,92, Sr/Al=0,61 и Li/Al=0,20. Сканирующая электронная микроскопия (SEM) показала, что кристаллиты состоят из палочек длиной приблизительно 20-300 нм. Чтобы получить кислотную форму UZM-22, он был подвергнут ионному обмену на аммоний перед прокаливанием, чтобы удалить щелочные и щелочноземельные металлы. Обмен на аммоний был достигнут перемешиванием данного цеолита в избытке 1,5 М раствора NH4NO3 при 75°С в течение 2 ч. Найдено, что состав продукта, подвергнутого ионному обмену на аммоний, как определено с помощью элементного анализа, имеет следующие молярные соотношения: Si/Al=3,15, Sr/Al=0,05 и Li/Al=0,069.
| Таблица 6 |
2 |
d(Å) |
I/I0 (%) |
| 7,62 |
11,59 |
оч. с. |
| 9,44 |
9,36 |
сл. |
| 11,10 |
7,97 |
ср. |
| 13,30 |
6,65 |
ср. |
| 13,50 |
6,55 |
ср. |
| 15,42 |
5,74 |
сл. |
| 17,38 |
5,10 |
сл. |
| 18,42 |
4,81 |
сл. |
| 19,00 |
4,67 |
ср. |
| 20,42 |
4,35 |
ср. |
| 21,18 |
4,19 |
оч. с. |
| 21,44 |
4,14 |
с. |
| 22,35 |
3,98 |
ср. |
| 22,82 |
3,89 |
ср. |
| 23,32 |
3,81 |
ср. |
| 25,08 |
3,55 |
ср. |
| 25,74 |
3,46 |
сл. |
| 26,51 |
3,36 |
ср. |
| 26,84 |
3.32 |
ср. |
| 27,50 |
3,24 |
сл. |
| 28,60 |
3,12 |
ср. |
| 29,20 |
3,06 |
ср. |
| 30,20 |
2,96 |
сл. |
| 30,52 |
2,93 |
сл. |
| 31,18 |
2,87 |
ср. |
| 32,25 |
2,77 |
сл. |
| 32,48 |
2,75 |
сл. |
| 32,80 |
2,73 |
сл. |
| 33,10 |
2,70 |
сл. |
| 33,95 |
2,64 |
сл. |
| 35,02 |
2,56 |
сл. |
| 35,84 |
2,50 |
сл. |
| 38,16 |
2,36 |
сл. |
ПРИМЕР 7
К порции алюмосиликатного раствора массой 1200 г, приготовленного в Примере 4, добавляли при энергичном перемешивании составной водный раствор Sr(NO3)2/LiCl, содержащий 20,17 г Sr(NO3)2 (99%-ного) и 4,04 г LiCl, растворенных в 120,0 г дистиллированной воды. Затем добавляли 10 г затравки UZM-22, и реакционную смесь гомогенизировали в течение дополнительных 30 мин. Порцию реакционной смеси массой 1400 г переносили в 2-литровый перемешиваемый автоклав из нержавеющей стали (Parr), который нагревали до 115°С и оставляли при этой температуре на 99 ч. Твердый продукт извлекали центрифугированием, промывали деионизированной водой и высушивали при 100°С.
Определение характеристик с помощью порошковой рентгенографии (XRD) показало, что линии в картине являются такими же, как и для материала, обозначенного UZM-22. Репрезентативные дифракционные линии, наблюдаемые для данного продукта, приведены в Таблице 7. Состав выделенного продукта имеет молярные соотношения: Si/Al=4,69, Sr/Al=0,25 и Li/Al=0,69. Сканирующая электронная микроскопия (SEM) показала, что кристаллиты состоят из палочек длиной приблизительно 20-300 нм. Чтобы получить кислотную форму UZM-22, он был подвергнут ионному обмену на аммоний перед прокаливанием, чтобы удалить щелочные и щелочноземельные металлы. Ионный обмен на аммоний был достигнут перемешиванием данного цеолита в избытке 1,5 М раствора NH4NO3 при 75°С в течение 2 ч. Состав продукта, подвергнутого ионному обмену на аммоний, как определено с помощью элементного анализа, имел следующие молярные соотношения: Si/Al=5.08, Sr/Al=0,0017 и Li/Al=0,001.
| Таблица 7 |
2 |
d(Å) |
I/I0 (%) |
| 7,74 |
11,41 |
оч. с. |
| 9,57 |
9,23 |
сл. |
| 11,20 |
7,89 |
ср. |
| 13,44 |
6,58 |
сл. |
| 13,60 |
6,51 |
ср. |
| 15,48 |
5,72 |
сл. |
| 17,50 |
5,06 |
сл. |
| 18,54 |
4,78 |
сл. |
| 19,14 |
4,63 |
ср. |
| 20,52 |
4,32 |
ср. |
| 21,28 |
4,17 |
оч. с. |
| 21,54 |
4,12 |
с. |
| 22,48 |
3,95 |
ср. |
| 22,92 |
3,88 |
ср. |
| 23,40 |
3,80 |
ср. |
| 25,88 |
3,44 |
сл. |
| 26,64 |
3,34 |
ср. |
| 26,98 |
3,30 |
ср. |
| 27,56 |
3,23 |
ср. |
| 28,66 |
3,11 |
ср. |
| 29,30 |
3,05 |
ср. |
| 30,28 |
2,95 |
сл. |
| 30,58 |
2,92 |
сл. |
| 31,34 |
2,85 |
ср. |
| 32,32 |
2,77 |
сл. |
| 32,54 |
2,75 |
сл. |
| 32,92 |
2,72 |
сл. |
| 33,25 |
2,69 |
сл. |
| 34,08 |
2,63 |
сл. |
| 35,12 |
2,55 |
сл. |
| 35,96 |
2,50 |
сл. |
| 38,26 |
2,35 |
сл. |
ПРИМЕР 8
Порцию алюмосиликатного раствора массой 100,0 г, приготовленную в примере 4, применяя энергичное перемешивание, обрабатывали по каплям раствором Sr(NO3)2 (1,64 г 99%-ного Sr(NO3)2/15 г деионизированной воды). После получасовой гомогенизации реакционную смесь переносили в облицованный тефлоном автоклав емкостью 100 мл. Автоклав помещали в печь, установленную на 100°С, где реакционная смесь подвергалась реагированию в течение 19 дней при аутогенном давлении. Твердый продукт извлекали центрифугированием, промывали деионизированной водой и высушивали при 100°С.
Определение характеристик с помощью порошковой рентгенографии (XRD) показало, что линии в картине являются такими же, как и для материала, обозначенного UZM-22. Наблюдаемые дифракционные линии, репрезентативные для данной картины, приведены в Таблице 8 ниже. Состав выделенного продукта составлен из молярных соотношений Si/Al=4,85, Sr/Al=0,44, Na/Al=0,01, N/Al=0,81. Сканирующая электронная микроскопия (SEM) показала, что кристаллиты состоят из палочек длиной приблизительно 20-300 нм.
| Таблица 8 |
2 |
d(Å) |
I/I0 (%) |
| 7,76 |
11,38 |
оч.с. |
| 9.60 |
9,21 |
сл. |
| 11,26 |
7,85 |
ср. |
| 13,42 |
6,59 |
сл. |
| 13,62 |
6,50 |
ср. |
| 15,48 |
5,72 |
сл. |
| 17,58 |
5,04 |
сл. |
| 18,60 |
4,77 |
сл. |
| 19,20 |
4,62 |
ср. |
| 20,58 |
4,31 |
ср. |
| 21,36 |
4,16 |
оч.с. |
| 21,60 |
4,11 |
оч.с. |
| 22,54 |
3,94 |
ср. |
| 22,98 |
3,87 |
ср. |
| 23,46 |
3,79 |
ср. |
| 25,35 |
3,51 |
сл. |
| 25,98 |
3,43 |
сл. |
| 26,70 |
3,34 |
ср. |
| 26,98 |
3,30 |
ср. |
| 27,64 |
3,23 |
сл. |
| 28,70 |
3,11 |
ср. |
| 29,32 |
3,04 |
ср. |
| 30,34 |
2,94 |
сл. |
| 30,68 |
2,91 |
сл. |
| 31,42 |
2,85 |
ср. |
| 31,92 |
2,80 |
сл. |
| 32,38 |
2,76 |
сл. |
| 32,62 |
2,74 |
сл. |
| 32,98 |
2,71 |
сл. |
| 33,36 |
2,68 |
сл. |
| 34,12 |
2,63 |
сл. |
| 35,14 |
2,55 |
сл. |
| 35,98 |
2,49 |
сл. |
| 38,34 |
2,35 |
сл. |
| 40,06 |
2,25 |
сл. |
ПРИМЕР 9
Алюмосиликатный раствор готовили сначала растворением 77,94 г гидроксида алюминия (27,78% Al) в 50%-ном растворе 826,68 г гидроксида холина при энергичном перемешивании с последующим добавлением 600,0 г коллоидного оксида кремния (Ludox AS-40, 40% SiO2) и дополнительной гомогенизацией в течение часа. Реакционную смесь запечатывали в тефлоновые бутыли и подвергали реагированию в течение ночи при 100°С. Полученные алюмосиликатные растворы снова объединяли и анализировали, и, как найдено, они содержали 7,88 масс.% Si и 1,47 масс.% Al (Si/Al=5,16).
Часть вышеупомянутой смеси массой 300,0 г перемешивали и добавляли к ней по каплям 16,71 г раствора хлорида лития (LiCl·9H20). После добавления реакционную смесь гомогенизировали в течение дополнительного часа, распределяли по трем тефлоновым бутылям и подвергали реагированию при 100°С в течение 6 и 13 дней и при 80°С в течение 18 дней. Твердые продукты извлекали центрифугированием, промывали деионизированной водой и высушивали при 95°С.
Продукты данной реакции первоначально образовывали UZM-4 (ВРН), но при более длительных временах вываривания превращались в UZM-22 (MEI). Посредством порошковой рентгенографии было определено, что продукт, полученный после 6 дней реагирования, показывал большей частью UZM-4, притом что UZM-22 наблюдался в качестве минорного продукта. После 13 дней при 100°С ситуация полностью менялась, поскольку UZM-22 становился основным продуктом, загрязненным небольшой примесью UZM-4. Подобным образом, реакция при 80°С приводит к UZM-22 с небольшой примесью UZM-4 после 18 дней вываривания.
ПРИМЕР 10
Данный пример описывает модифицирование материала UZM-22. Порцию массой 10 г образца UZM-22 (Si/Al=4,6) прокаливали в атмосфере азота, повышая температуру со скоростью 3°С/мин до 560°С и выдерживая при этой температуре в течение дополнительного часа перед заменой атмосферы на воздух и продолжением прокаливания в течение еще 8 ч. Готовили раствор растворением в 120 г деионизированной воды сначала 2 г 69%-ной HNO3 и, затем, 10 г NH4NO3. Этот раствор нагревали до 75°С перед добавлением прокаленного UZM-22. Суспензию перемешивали в течение 1 ч при 75°С. Продукт выделяли фильтрованием, промывали деионизированной водой и высушивали при 100°С в течение 12 ч.
Посредством порошковой рентгенографии продукт был идентифицирован как UZM-22HS. Репрезентативный набор наблюдаемых дифракционных линий приведен ниже в Таблице 9. Элементный анализ подтвердил повышение отношения Si/Al до Si/Al=6,9, тогда как измерения адсорбции N2 привели к величинам удельной поверхности по BET 643 м2/г и объема микропор 0,31 см3/г.
| Таблица 9 |
2 |
d(Å) |
I/I0 (%) |
| 7,84 |
11,26 |
оч.с. |
| 9,71 |
9,10 |
сл. |
| 11,32 |
7,81 |
ср. |
| 13,66 |
6,48 |
сл. |
| 14,78 |
5,99 |
ср. |
| 16,78 |
5,28 |
сл. |
| 17,74 |
5,00 |
сл. |
| 18,74 |
4,73 |
сл. |
| 19,42 |
4,57 |
сл. |
| 20,92 |
4,24 |
сл. |
| 21,78 |
4,08 |
ср. |
| 22,73 |
3,91 |
сл. |
| 23,20 |
3,83 |
сл. |
| 23,80 |
3,74 |
ср. |
| 26,29 |
3,39 |
сл. |
| 27,00 |
3,30 |
ср. |
| 27,36 |
3,26 |
сл. |
| 28,00 |
3,18 |
сл. |
| 29,00 |
3,07 |
сл. |
| 29,58 |
3,02 |
сл. |
| 30,72 |
2,91 |
сл. |
| 30,98 |
2,88 |
сл. |
| 31,68 |
2,82 |
сл. |
ПРИМЕР 11
Данный пример демонстрирует модифицирование материала UZM-22. Порцию массой 40 г образца UZM-22 (Si/Al=4,6) прокаливали в атмосфере азота, повышая температуру со скоростью 3°С/мин до 560°С и выдерживая при этой температуре в течение 1 ч перед заменой атмосферы на воздух и продолжением прокаливания в течение еще 8 ч. Отдельно готовили раствор растворением в 490 г деионизированной воды сначала 8 г 69%-ной HNO3 и, затем, 40 г NH4NO3. Этот раствор нагревали до 75°С перед добавлением прокаленного UZM-22. Суспензию перемешивали в течение 1 ч при 75°С. Продукт выделяли фильтрованием, промывали деионизированной водой и высушивали при 100°С в течение 12 ч.
Посредством порошковой рентгенографии продукт был идентифицирован как UZM-22HS. Репрезентативный набор наблюдаемых дифракционных линий приведен ниже в Таблице 10. Элементный анализ подтвердил повышение отношения Si/Al до Si/Al=7,2, тогда как измерения адсорбции N2 показали величины удельной поверхности по BET 641 м2/г при объеме микропор 0,30 см3/г.
| Таблица 10 |
2 |
d(Å) |
I/I0 (%) |
| 7,78 |
11,35 |
оч. с. |
| 9,64 |
9,17 |
сл. |
| 11,24 |
7,87 |
ср. |
| 13,64 |
6,49 |
сл. |
| 14,70 |
6,02 |
ср. |
| 16,66 |
5,32 |
сл. |
| 17,70 |
5,01 |
сл, |
| 18,68 |
4,75 |
сл. |
| 19,31 |
4,59 |
сл. |
| 20,76 |
4,28 |
ср. |
| 21,68 |
4,10 |
ср. |
| 22,63 |
3,93 |
сл. |
| 23,16 |
3,84 |
сл. |
| 23,70 |
3,75 |
ср. |
| 26,94 |
3,31 |
ср. |
| 27,90 |
3,19 |
сл. |
| 29,52 |
3,02 |
сл. |
| 30,94 |
2,89 |
сл |
| 31,578 |
2,83 |
сл |
ПРИМЕР 12
Порцию образца UZM-22 (Si/Al=4,4) массой 100 г обрабатывали водяным паром, повышая температуру со скоростью 3°С/мин до 550°С в атмосфере воздуха, содержащего 50% пара, и выдерживали при этой температуре в течение 6 ч. Отдельно готовили раствор растворением 30,69 г 69%-ной HNO3 в 650,76 г деионизированной воды с последующим растворением 66,5 г NH4NO3. Данный раствор нагревали до 75°С перед добавлением 70 г обработанного паром UZM-22. Суспензию перемешивали при 75°С в течение 1 ч. Продукт выделяли фильтрованием, промывали деионизированной водой и высушивали в течение 12 ч при 100°С.
Посредством порошковой рентгенографии продукт был идентифицирован как UZM-22HS. Репрезентативные наблюдаемые линии в картине дифракции рентгеновских лучей показаны в Таблице 11. Элементный анализ подтвердил увеличение соотношения Si/Al до Si/Al=9,7, тогда как измерения адсорбции N2 привели к величинам удельной поверхности по BET 522 м2/г при объеме микропор 0,20 см3/г.
| Таблица 11 |
2 |
d(Å) |
I/I0 (%) |
| 7,84 |
11,27 |
оч. с. |
| 9,62 |
9,18 |
сл. |
| 11,34 |
7,80 |
ср. |
| 13,58 |
6,51 |
сл. |
| 14,72 |
6,01 |
ср. |
| 16,70 |
5,30 |
сл. |
| 17,72 |
5,00 |
ср. |
| 18,73 |
4,73 |
сл. |
| 19,46 |
4,56 |
сл. |
| 20,80 |
4,27 |
ср. |
| 21,66 |
4,10 |
ср. |
| 21,86 |
4,06 |
ср. |
| 22,76 |
3,9 |
сл. |
| 23,26 |
3,82 |
сл. |
| 23,78 |
3,74 |
ср. |
| 27.06 |
3,29 |
сл. |
| 27,38 |
3,26 |
сл. |
| 28,02 |
3,18 |
сл. |
| 29,12 |
3,06 |
сл. |
| 29,70 |
3,01 |
сл. |
| 30,80 |
2,90 |
сл. |
| 31,00 |
2,88 |
сл. |
| 31,78 |
2,81 |
сл. |
ПРИМЕР 13
Образец UZM-22 (125 г) (Si/Al=4,8) обрабатывали водяным паром, повышая температуру со скоростью 3°С/мин до температуры 550°С, в атмосфере, содержащей 50% пара, и выдерживали при этой температуре в течение 6 ч. Готовили раствор растворением в 976,14 г деионизированной воды 46,04 г 69%-ной HNO3 с последующим растворением 99,75 г NH4NO3. Данный раствор нагревали до 75°С перед добавлением 105 г обработанного паром UZM-22. Суспензию перемешивали при 75°С в течение 1 ч. Продукт отделяли фильтрацией, промывали деионизированной водой и высушивали в течение 12 ч при 100°С.
Посредством порошковой рентгенографии продукт был идентифицирован как UZM-22HS. Репрезентативный набор наблюдаемых дифракционных линий приведен в Таблице 12 ниже. Элементный анализ подтвердил увеличение соотношения Si/Al до Si/Al=12,12, тогда как измерения адсорбции N2 показали величину удельной поверхности по BET 565 м2/г при объеме микропор 0,21 см3/г.
| Таблица 12 |
2 |
d(Å) |
I/I0 (%) |
| 7,82 |
11,30 |
оч. с. |
| 9,67 |
9,14 |
сл. |
| 11,32 |
7,81 |
ср. |
| 13,56 |
6,52 |
сл. |
| 14,70 |
6,02 |
ср. |
| 16,72 |
5,30 |
сл. |
| 17,76 |
4,99 |
ср. |
| 18.72 |
4,72 |
сл. |
| 19,36 |
4.58 |
сл. |
| 20.84 |
4,26 |
ср. |
| 21,58 |
4,11 |
ср. |
| 21,82 |
4,07 |
ср. |
| 22,76 |
3,90 |
сл. |
| 23,23 |
3,83 |
сл. |
| 23,80 |
3,74 |
ср. |
| 27.04 |
3,30 |
сл. |
| 27,40 |
3,25 |
сл. |
| 27,96 |
3,19 |
сл. |
| 29,08 |
3,07 |
сл. |
| 29,70 |
3,01 |
сл. |
| 31,00 |
2,88 |
сл. |
| 31,80 |
2,81 |
сл. |
| 36,51 |
2,46 |
сл. |
Формула изобретения
1. Микропористый кристаллический цеолит, имеющий трехмерную каркасную структуру, состоящую, по меньшей мере, из тетраэдрических единиц SiO2, и имеющий эмпирический состав в состоянии «как синтезировано» и в расчете на безводную основу, выраженный эмпирической формулой Mm n+RrAl1-xExSiyOz, где М представляет, по меньшей мере, один способный обмениваться катион, выбранный из группы, состоящей из щелочных, щелочноземельных и редкоземельных металлов; m представляет молярное отношение М к (Al+Е) и изменяется от 0 до 1,2; R представляет однозаряженный аммонийорганический катион, выбранный из группы, состоящей из холина, этилтриметиламмония (ЕТМА), диэтилдиметиламмония (DEDMA), тетраэтиламмония (TEA), тетрапропиламмония (ТРА), триметилпропиламмония, триметилбутиламмония, диметилдиэтаноламмония и их смесей; r представляет молярное отношение R к (Al+Е) и имеет значение от 0,25 до 2,0; n представляет средневзвешенное значение валентности М и имеет значение от 1 до 3; Е представляет элемент, выбранный из группы, состоящей из галлия, железа, бора и их смесей; х представляет мольную долю Е и имеет значение от 0 до 1,0; у представляет молярное отношение Si к (Al+Е) и изменяется от более чем 2 до 12; z представляет молярное отношение О к (Al+Е) и имеет значение, определяемое по уравнению z=(m·n+r+3+4·y)/2, и характеризующийся тем, что он имеет картину дифракции рентгеновских лучей, имеющую, по меньшей мере, межплоскостные расстояния d и интенсивности, представленные в Таблице А:
 и является термически стабильным до температуры, по меньшей мере, 400°С.
2. Цеолит по п.1, в котором х равен нулю.
3. Способ получения микропористого кристаллического цеолита, имеющего трехмерную каркасную структуру, состоящую, по меньшей мере, из тетраэдрических единиц SiO2, и имеющего эмпирический состав в состоянии «как синтезировано» и в расчете на безводную основу, выраженный эмпирической формулой: Mm n+RrAl1-xExSiyOz, где М представляет, по меньшей мере, один способный обмениваться катион, выбранный из группы, состоящей из щелочных, щелочноземельных и редкоземельных металлов; m представляет молярное отношение М к (А1+Е) и изменяется от 0 до 1,2; R представляет однозаряженный аммонийорганический катион, выбранный из группы, состоящей из катионов холина, этилтриметиламмония (ЕТМА), диэтилдиметиламмония (DEDMA), тетраэтиламмония (TEA), тетрапропиламмония (ТРА), триметилпропиламмония, триметилбутиламмония, диметилдиэтаноламмония и их смесей; r представляет молярное отношение R к (Al+Е) и имеет значение от 0,25 до 2,0; n представляет средневзвешенное значение валентности М и имеет значение от 1 до 3; Е представляет элемент, выбранный из группы, состоящей из галлия, железа, бора и их смесей; х представляет мольную долю Е и имеет значение от 0 до 1,0; у представляет молярное отношение Si к (Al+Е) и изменяется от более чем 2 до 12; z представляет собой молярное отношение О к (Al+Е) и имеет значение, определяемое по уравнению z=(m·n+r+3+4·y)/2, и характеризующегося тем, что он имеет картину дифракции рентгеновских лучей, имеющую, по меньшей мере, межплоскостные расстояния d и интенсивности, представленные в Таблице А:
 и являющегося термически стабильным до температуры, по меньшей мере, 400°С; причем данный способ включает формирование реакционной смеси, содержащей реакционноспособные источники М, R, S1, необязательно Е и необязательно Al, нагревание данной реакционной смеси при температуре от 60°С до 175°С в течение времени, достаточного для образования цеолита, причем данная реакционная смесь имеет состав, выраженный в терминах молярных отношений оксидов: аМ2/nO:bR2/рО:1-cAl2O3:cE2O3:dSiO2:eH2O, где а имеет значение от 0,05 до 1,25; b имеет значение от 1,5 до 40; с имеет значение от 0 до 1,0; d имеет значение от 4 до 40; е имеет значение от 25 до 4000.
4. Способ по п.3, в котором реакционную смесь подвергают реагированию при температуре от 80°С до 125°С в течение времени от 1 дня до 3 недель.
5. Способ по п.3, в котором R представляет собой комбинацию холина и, по меньшей мере, одного из однозаряженных аммонийорганических катионов, выбранных из группы, состоящей из TEA, TPA, ETMA, DEDMA, триметилпропиламмония, триметилбутиламмония или диметилдиэтаноламмония.
6. Способ по п.3, который дополнительно включает введение затравок UZM-22 в реакционную смесь.
7. Способ превращения углеводородов, включающий контактирование потока углеводородов с катализатором в условиях превращения углеводородов для получения превращенного продукта, причем данный катализатор включает микропористый кристаллический цеолит, выбранный из группы, состоящей из UZM-22, UZM-22HS и их смесей, где UZM-22 имеет трехмерную каркасную структуру, состоящую, по меньшей мере, из тетраэдрических единиц SiO2, и эмпирический состав в состоянии «как синтезировано» и в расчете на безводную основу, выраженный эмпирической формулой Mm n+RrAl1-xExSiyOz, где М представляет, по меньшей мере, один способный обмениваться катион, выбранный из группы, состоящей из щелочных и щелочноземельных металлов; m представляет молярное отношение М к (Al+Е) и изменяется от 0 до 1,2; R представляет однозаряженный аммонийорганический катион, выбранный из группы, состоящей из холина, ETMA, DEDMA, TEA, TPA, триметилпропиламмония, триметилбутиламмония, диметилдиэтаноламмония и их смесей; r представляет молярное отношение R к (Al+Е) и имеет значение от 0,25 до 2,0; n представляет средневзвешенное значение валентности М и имеет значение от 1 до 3; Е представляет элемент, выбранный из группы, состоящей из галлия, железа, бора и их смесей; х представляет мольную долю Е и имеет значение от 0 до 1,0; у представляет молярное отношение Si к (Al+Е) и изменяется от более чем 2 до 12 z представляет молярное отношение О к (Al+Е) и имеет значение, определяемое по уравнению z=(m·n+r+3+4·y)/2, и характеризуется тем, что он имеет картину дифракции рентгеновских лучей, имеющую, по меньшей мере, межплоскостные расстояния d и интенсивности, приведенные в Таблице А:
 и является термически стабильным до температуры, по меньшей мере, 400°С; и UZM-22HS имеет трехмерную каркасную структуру, состоящую, по меньшей мере, из тетраэдрических единиц SiO2, и эмпирический состав в расчете на безводную основу:
 где M1 представляет, по меньшей мере, один способный обмениваться катион, выбранный из группы, состоящей из щелочных, щелочноземельных металлов, редкоземельных металлов, иона аммония, иона водорода и их смесей; а представляет молярное отношение M1 к (Al+Е) и изменяется от 0,05 до 50; n представляет средневзвешенную валентность M1 и имеет значение от +1 до +3; Е представляет элемент, выбранный из группы, состоящей из галлия, железа, бора и их смесей; х представляет мольную долю Е и изменяется от 0 до 1,0; у’ представляет молярное отношение Si к (Al+Е) и изменяется от более чем 4 до фактически чистого оксида кремния; z’ представляет молярное отношение О к (Al+Е) и имеет величину, определяемую по уравнению z’=(a·n+3+4·y’)/2, данный цеолит характеризуется тем, что он имеет картину дифракции рентгеновских лучей, имеющую, по меньшей мере, межплоскостные расстояния d и относительные интенсивности, приведенные в Таблице В:
 и является термически стабильным до температуры, по меньшей мере, 400°С.
8. Способ по п.7, в котором способ превращения углеводородов выбирают из группы, состоящей из алкилирования, изомеризации, димеризации и олигомеризации олефинов и депарафинизации.
9. Микропористый кристаллический цеолит, имеющий трехмерную каркасную структуру, состоящую, по меньшей мере, из тетраэдрических единиц SiO2, и имеющий эмпирический состав в расчете на безводную основу:
 где M1 представляет, по меньшей мере, один способный обмениваться катион, выбранный из группы, состоящей из щелочных, щелочноземельных металлов, редкоземельных металлов, иона аммония, иона водорода и их смесей; а представляет молярное отношение M1 к (А1+Е) и изменяется от 0,05 до 50; n представляет средневзвешенную валентность Ml и имеет значение от+1 до+3; Е представляет элемент, выбранный из группы, состоящей из галлия, железа, бора и их смесей; х представляет мольную долю Е и изменяется от 0 до 1,0; у’ представляет молярное отношение Si к (Al+Е) и изменяется от более чем 4 до фактически чистого оксида кремния; z’ представляет молярное отношение О к (Al+Е) и имеет величину, определяемую по уравнению z’=(a·n+3+4·y’)/2, данный цеолит характеризуется тем, что он имеет картину дифракции рентгеновских лучей, имеющую, по меньшей мере, межплоскостные расстояния d и относительные интенсивности, приведенные в Таблице В:
 и является термически стабильным до температуры, по меньшей мере, 400°С.
10. Цеолит по п.9, в котором M1 представляет ион водорода.
|
|